Газы и тепловые машины. Идеальные и неидеальные газы. Силы Ван-дер-Ваальса

  • Вид работы:
    Реферат
  • Предмет:
    Физика
  • Язык:
    Русский
    ,
    Формат файла:
    MS Word
    94,64 Кб
  • Опубликовано:
    2015-10-25
Вы можете узнать стоимость помощи в написании студенческой работы.
Помощь в написании работы, которую точно примут!

Газы и тепловые машины. Идеальные и неидеальные газы. Силы Ван-дер-Ваальса

Российский Государственный Аграрный Университет - МСХА им. К.А.Тимирязева









РЕФЕРАТ

По дисциплине: Физика

ТЕМА:

Газы и тепловые машины. Идеальные и неидеальные газы. Силы Ван-дер-Ваальса


Выполнила: Ковалевская Е.И.

Руководитель: Рассказов А.В.




Москва

Содержание

1. Газы

.1 Идеальные газы и их законы

.2 Неидеальные (реальные)газы

. Первое начало термодинамики

.1 Адиабатический процесс

. Второе начало термодинамики

. Принцип действия тепловых машин

. Двигатель Карно

. КПД тепловых двигателей и второй начало термодинамики

. Силы Ван-дер-Ваальса

. Источники


1. Газы

.1 Идеальные газы и их законы

Газ (газообразное состояние) - одно из четырех агрегатных состояний вещества, характеризующееся очень слабыми связями между составляющими его частицами (молекулами, атомами или ионами), а также их большой подвижностью. Частицы газа почти свободно и хаотически движутся в промежутках между столкновениями, во время которых происходит резкое изменение характера их движения.

Идеальный газ - это газ, в котором молекулы можно считать материальными точками, а силами притяжения и отталкивания между молекулами можно пренебречь.

Различают три типа идеального газа:

.Классический идеальный газ или газ Максвелла-Больцмнана; 2.Идеальный квантовый газ Бозе (состоит из бозонов); 3.Идеальный квантовый газ Ферми (состоит из фермионов).

Основными параметрами газа являются температура, давление и объем. Опыты показывают, что если уменьшить объем, заполненный определенным количеством газа, то давление в нем будет возрастать, при условии, что температура остается неизменной.

Примерно 300 лет назад Бойль обнаружил, что для большинства газов измерение давления связано с изменением объема простым соотношением. Если вначале давление и объем были соответственно равны P1 и V1, а в конце P2 и V2, то закон Бойля утверждает, что P1V1 = P2V2, если температура поддерживается постоянно, а количество газа остается одним и тем же.

Известно несколько законов идеальных газов:

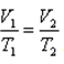
1. Изохорический процесс. Закон Шарля.(1787г.)  V = const.

Изохорическим процессом называется процесс, протекающий при постоянном объёме V. Поведение газа при этом изохорическом процессе подчиняется закону Шарля:

При постоянном объёме и неизменных значениях массы газа и его молярной массы, отношение давления газа к его абсолютной температуре остаётся постоянным: = const.

График изохорического процесса на РV-диаграмме называется изохорой. Уравнение изохоры:

 

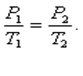
2. Изобарический процесс. Закон Гей-Люссака. Р = const.

Изобарическим процессом называется процесс, протекающий при постоянном давлении Р. Поведение газа при изобарическом процессе подчиняется закону Гей-Люссака:

При постоянном давлении и неизменных значениях массы и газа и его молярной массы, отношение объёма газа к его абсолютной температуре остаётся постоянным:  = const.

График изобарического процесса на VT-диаграмме называется изобарой. Уравнение изобары:




3. Изотермический процесс. Закон Бойля - Мариотта.(1662г.) T = const.

Изотермическим процессом называется процесс, протекающий при постоянной температуре Т.

Поведение идеального газа при изотермическом процессе подчиняется закону Бойля - Мариотта:

При постоянной температуре и неизменных значениях массы газа и его молярной массы, произведение объёма газа на его давление остаётся постоянным: PV = const.

График изотермического процесса на РV-диаграмме называется изотермой. Уравнение изотермы:


4. Закон Авогадро. При одинаковых давлениях и одинаковых температурах, в равных объёмах различных идеальных газов содержится одинаковое число молекул. В одном моле различных веществ содержится NA=6,02·1023молекул (число Авогадро). N=nNA, где N-число молекул, n-число молей.

5. Закон Дальтона. Давление смеси идеальных газов равно сумме парциальных давлений Р, входящих в неё газов

 

Парциальное давление Pn - давление, которое оказывал бы данный газ, если бы он один занимал весь объем.

При

,

давление смеси газов:


6. Объединённый газовый закон (Закон Клапейрона).

В соответствии с законами Бойля - Мариотта и Гей-Люссака можно сделать заключение, что для данной массы газа:


Теперь следует учесть ещё одну величину, которую до сих пор мы считали постоянной - количество этого газа. Экспериментально подтверждено, что: при постоянных температуре и давлении замкнутый объём газа увеличивается прямо пропорционально массе этого газа:

PV=mT

Эта зависимость связывает все основные величины газа. Если ввести в эту пропорциональность коэффициент пропорциональности, то мы получим равенство. Однако опыты показывают, что в разных газах этот коэффициент разный, поэтому вместо массы m вводят количество вещества n (число молей).

В результате получаем:

PV=nRT

где n - число молей, а R - коэффициент пропорциональности. Величина R называется универсальной газовой постоянной(также постоянная Менделеева). На сегодняшний день самое точное значение этой величины равно:  Дж/моль. Данная формула называется уравнением идеального газа или законом идеального газа.

Поскольку общее число молекул N газа равно числу молекул в одном моле, умноженному на число молей, закон идеального газа можно переписать следующим образом:

=nRT=N/NART или PV=NkT ,

где k называется постоянной Больцмана и имеет значение равное:

Дж/К.

.2 Неидеальные(реальные) газы

Реальный газ- это газ, между молекулами которого действуют силы межмолекулярного взаимодействия. Опыт показал, что законы идеальных газов справедливы для реальных газов лишь в условиях, близких к нормальным. При повышении давления и понижении температуры обнаруживаются значительные отклонения в поведении всех реальных газов. Реальный газ имеет сжимаемость от внешних сил значительно меньшую, чем идеальный. Реальные газы конденсируются, а уравнение состояния идеального газа не может объяснить переход вещества из газообразного состояния в жидкое.

2. Первое начало термодинамики

Мы знаем, что теплота-способ передачи энергии от одного тела к другому благодаря разности их температур. Таким образом,теплота очень похожа на работу, которая,в свою очередь, представляет собой механический способ передачи энергии от одного тела другому. Термодинамика имеет дело с процессами, которые передаются как работа или теплота. Обычно, нас интересует та или иная система, и мы рассматриваем передачу энергии в эту систему или из неё. Можно определить несколько типов систем. Замкнутая система- это система,масса которой постоянна. Незамкнутая, или открытая,- система,масса которой может меняться. Говорят, что замкнутая система является изолированной, если энергия ни в какой форме не передается через границы системы; в противном случае она называется незамкнутой


 

где Q-количество теплоты, сообщенное системе, а W-работа совершаемая системой.

Данное выражение известно как первый закон термодинамики.

Это уравнение применимо как к замкнутым системам, так и к не замкнутым, если учесть изменение энергии вследствие изменения количества вещества в данной системе.

При переходе системы из одного состояния в другое (1 в 2) количество теплоты Q, сообщённое системе, и работа W, совершённая системой, зависят от конкретного процесса (или пути), в котором участвовала система. И для разных процессов эти величины различны, даже если начальные и конечные состояния системы одинаковы. Однако эксперименты показали, что при одинаковых начальном и конечном состояниях разность Q-W одинакова для всех процессов, переводящих систему из одного состояния в другое.

2.1 Адиабатический процесс

Адиабатическим называется процесс, при котором от системы не отбирается и не сообщается энергии. Такой процесс может происходить, если система изолирована или протекает столь быстро, что теплообмен практически не происходит. Примером процесса, очень близкого к адиабатическому, является расширение газов в двигателях внутреннего сгорания.

При медленном адиабатическом расширении из уравнения первого законно термодинамики следует (так как Q=0 (по определению адиабатического процесса)):

 

т.е. внутренняя энергия системы убывает, и поэтому температура понижается.

Соответственно при адиабатическом сжатии внутренняя энергия повышается и, следовательно, температура повышается. Например в двигателе Дизеля объем быстро уменьшается, и поэтому температура увеличивается, а впрыскиваемая смесь из-за высокой температуры воспламеняется.

3. Второе начало термодинамики

Согласно первому закону термодинамики, энергия сохраняется. Но существует множество примеров, которые говорят о том, что так бывает навсегда. Например, в природе, когда горячее тело входит в контакт с холодным, теплота идет всегда от горячего тела к холодному и никогда наоборот. Если бы теплота шла от холодного тела к горячему, тогда энергия бы сохранялась. Существует ещё множество примеров и процессов, которые могут быть в природе, тогда как обратные им никогда не происходят. Для того, чтобы объяснить отсутствие обратимости процессов, ученые во второй половине прошлого века пришли к формулировке нового закона, известного как второе начало термодинамики. Согласно этому закону можно судить, какие процессы могу происходить в природе, а какие нет.

Одна из его формулировок, принадлежащая Р. Ю. Э. Клаузису (1822-1888), гласит, что теплота в естественных условиях переходит от горячего тела к холодному, в то время как от холодного к горячему теплота сама по себе не переходит. Эта формулировка относится к определенному процессу и не вполне ясно, каким образом её отнести к иным процессам. Более общая формулировка второго начала термодинамики, в которой явным образом учтены и возможности других процессов, была сформирована в ходе изучения тепловых двигателей.

4. Принцип действия тепловых машин

Несложно получить тепловую энергию за счет работы, например достаточно потереть два предмета друг о друга и выделится тепловая энергия. Однако получить механическую работу за счет тепловой энергии гораздо труднее, и практически полезное устройство для этого было изобретено лишь около 1700 г.

Тепловой двигатель - это любое устройство, преобразующее тепловую энергию в механическую работу.

Основная идея лежащая в основе любого теплового двигателя, состоит в следующем: механическая энергия может быть получена за счет тепловой, только если дать возможность тепловой энергии переходить из области с высокой температурой в область с низкой температурой, причем в процессе этого перехода часть тепловой энергии может перейти в механическую работу.

В настоящее время используется множество тепловых машин. Рассмотрим два тепловых двигателя - это паровой и внутреннего сгорания.

В основном используется два паровых двигателя: возвратного типа и паровая турбина.


В двигателях возвратного типа (рис.4) нагретый пар проходит через впускной клапан и затем расширяется в пространстве под поршнем, вынуждая его тем самым двигаться. Затем, когда поршень возвращается в исходное положение, он вытесняет пар через выпускной клапан.

В паровых турбинах по существу происходит тоже самое. Различие состоит в том, что возвратно-поступательный поршень заменен турбиной (рис.5), напоминающей гребное колесо.


Наиболее распространенным двигателем сейчас является четырёхтактный двигатель внутреннего сгорания (рис.6).

На рисунке 6 буквами обозначены следующие процессы:

а. Смесь воздуха с бензином всасывается в цилиндр, при движении поршня вниз.

б. Поршень движется вверх и сжимает смесь.

в. Искра от свечи воспламеняет смесь. При этом температура смеси резко возрастает.

г. Газы, находящиеся при высоких температуре и давлении, расширяются, перемещая при этом поршень вниз (рабочий ход двигателя).

д. Отработавшие газы выбрасываются через выпускной клапан; затем весь цикл повторяется.

Вещество, которое нагревают и охлаждают (в паровых машинах - пар), называют рабочим телом.

Для практической работы любого теплового двигателя необходима разность температур. Почему? Что бы ответить на этот вопрос представим себе паровую машину (как на рис.4), но без конденсатора и насоса. В таком случае пар имел бы одинаковую температуру во всей системе. Это означало бы, что давление пара при его выпуске было бы таким же, как и при впуске. Тогда работа, которую совершил пар над поршнем при своем расширении, в точности была бы равна работе, которую совершил поршень над паром при его выпуске, то есть не было бы совершено никакой результирующей работы. В реальном двигателе выпускаемый газ охлаждается до более низкой температуры и конденсируется, так что давление при выпуске меньше, чем при впуске. В таком случае работа, которую должен совершить поршень для выталкивания газа из цилиндра, будет меньше, чем работа совершаемая газом работа над цилиндром. Таким образом может быт получена результирующая работа. Аналогично и с паровой турбиной: если бы не было разности давлений по обе стороны лопаток, то турбина не стала бы вращаться.

В паровых двигателях разность температур достигается за счет сжигания топлива, при этом нагревается пар. В двигателе внутреннего сгорания за счет сгорания рабочей смеси внутри цилиндра двигателя.

Принцип действия холодильника или теплового насоса состоит в обращении рабочих стадий теплового двигателя.

Работа обычно совершается мотором компрессора (рис.7).


В обычном холодильнике цикл состоит из нескольких стадий:

а. Пар сжимается компрессором, нагреваясь при этом.

б. Нагретый пар поступает в конденсатор образуется горячая жидкость.

в. Через расширительный клапан горячая жидкость поступает в теплообменник, где испаряясь охлаждается.

г. Затем пар снова поступает в компрессор и цикл повторяется.

5. Двигатель Карно

В начале ХIХ века процесс преобразования теплоты в механическую работу подробно изучал французский ученый Н.Л. Сади Карно (1796-1832). Он намеревался определить способы повышения КПД тепловых машин, однако исследования привели к изучению основ термодинамики.

Как вспомогательное средство для своих исследований он на бумаге изобрел идеализированный тип двигателя, который теперь принято называть двигателем Карно.

В этом двигателе происходят обратимые процессы, т.е. протекающие чрезвычайно медленно, так что его можно рассматривать, как последовательный переход от одного равновесного состояния к другому, причем этот процесс можно провести в обратном направлении без изменения совершенной работы и переданного количества теплоты. Например, газ находящийся в цилиндре с плотно прижатым к стенке поршнем, который не имеет трения, можно сжать изотермически, если сжатие производить очень медленно. Однако если в процессе участвуют какие-либо еще факторы, например трение, то работа совершенная в обратном направлении не будет равна совершенной при сжатии. Вполне естественно, что обратимые процессы невозможны, поскольку на их совершение потребуется бесконечно много времени. Но тем не менее такие процессы можно моделировать со сколь угодной точностью. Все реальные процессы необратимы, так как могут присутствовать: трение, в газах - возмущения и многие другие факторы.

Двигатель Карно основан на обратимом цикле, т.е. на последовательности обратимых процессов.



В двигателе Карно используется одноименный цикл (рис.8). В точке а начальное состояние системы. Сначала газ расширяется изотермически и обратимо по пути ab при заданной температуре TH, например газ приходит в контакт с термостатом, имеющим очень большую теплоемкость. Затем газ расширяется адиабатически и обратимо по пути bc, при этом передача теплоты практически не происходит и температура газа падает до более низкого значения TL.

На третьей стадии цикла происходит изотермическое и обратимое сжатие газа по пути cd, здесь газ контактирует с холодным термостатом при температуре ТL. И наконец газ адиабатически и обратимо сжимается по пути da возвращаясь, таким образом, в исходное состояние.

Несложно показать, что результирующая работа численно равна площади ограниченной кривыми.

КПД двигателя Карно определяется также как и любого другого двигателя:


Однако можно показать, что его КПД зависит лишь от ТН и ТL.

В первом изотермическом процессе ab совершаемая газом работа равна:

Wab=nRTHln(Vb/Va),

где n - число молей идеального газа, используемого в качестве рабочего тела. Поскольку внутренняя энергия идеального газа не меняется, когда температура постоянна, сообщаемая газу теплота полностью переходит в работу (в соответствии с первым началом термодинамики):

½QH½=nRTHln(Vb/Va)

Аналогично запишется теплота отдаваемая газом в процессе cd:

½QL½=nRTLln(VC/Vd)

Поскольку bc и da адиабатические процессы, получаем:

bVb=PcVc и PdVd=PaVa

В соответствии с уравнением состояния идеального газа получаем:


С помощью несложных математических преобразований этих выражений получаем математическое выражение отображающее суть цикла Карно:

½QL½/½QH½=TL/TH

 

Таким образом КПД двигателя Карно можно записать в виде:

h=1-½QL½/½QH½=1- TL/TH

Карно сформулировал следующую теорему (являющуюся ещё одной формулировкой второго начала термодинамики):

Эта теорема определяет максимально возможный КПД для любого необратимого (реального) двигателя.

Рассмотрим идеальный цикл используемый в двигателях внутреннего сгорания, так называемый цикл Отто (рис. 9)


 В этом цикле сжатие и расширение смеси происходит адиабатически, а нагревание и охлаждение осуществляется при постоянном объеме. На рисунке 9 дана диаграмма идеального цикла быстрого сгорания: 1-2 - адиабата сжатия, 2-3 -нагревание смеси при V=const (сгорание смеси), 3-4 адиабата расширения, 4-1 - охлаждение смеси при V=const (выхлоп).

КПД идеального двигателя построенного на основе цикла Отто рассчитывается аналогично. Однако, в реальных двигателях КПД всегда несколько ниже, чем КПД идеального двигателя. Этому способствуют 5 основных причин:

1.      В действительном цикле рабочее тело из меняет свой химический состав в течение процесса сгорания.

2.      Процессы сжатия и расширения не идут адиабатически, а протекают, сопровождаясь теплообменом со стенками цилиндра. Явление теплообмена со стенками цилиндра имеет место также и в процессе сгорания.

.        Процесс сгорания не происходит при постоянном объеме, а начинается в точке 2’ (рис. 10) и кончается после точки 3. В процессе сгорания тепло получается не извне, а за счет изменения химического состава рабочего тела. Химическая реакция сгорания не успевает закончиться полностью на линии сгорания (2-3), а продолжается в течение процесса расширения вплоть до момента выхлопа.


4.      Процесс охлаждения рабочего тела в действительности заменяется выхлопом и выталкиванием отработанных газов и последующим засасыванием рабочей смеси (линия 4’-4-5-1).

.        Процесс всасывания заканчивается позднее точки 1 (в точке 1’) так, что от точки 4’ до 1’ в цилиндре находится не постоянное количество рабочего тела.

6. КПД тепловых двигателей и второе начало термодинамики

КПД тепловой машины определяется следующей формулой:

h=W/½QH½,

где W - полезная работа совершенная этой машиной, QH - теплота сообщенная этой машине (Q взято под знак модуля, в связи с тем, что тепловой поток может иметь разное направление).

По закону сохранения энергии получаем соотношение:

½QH½=W+½QL½,

где ½QL½ - количество теплоты отводимой при низкой температуре.

Таким образом, W=½QH½-½QL½, и КПД двигателя можно записать в виде:


Из этого соотношения видно, что чем больше будет КПД двигателя, тем меньше будет теплота½QL½. Однако опыт показал, что величину ½QL½ невозможно уменьшить до нуля. Если бы это было осуществимо, то мы получили бы двигатель с КПД 100%. То, что такой идеальный двигатель, непрерывно совершающий рабочие циклы, невозможен, составляет содержание ещё одной формулировки второго начала термодинамики:

Невозможен такой процесс, единственным результатом, которого было бы преобразование отобранной у источника теплоты Q, при неизменной температуре, полностью в работу W, так, что W=Q.

Эта утверждение известно как формулировка второго начала термодинамики Кельвина-Планка.

Существует также аналогичное утверждение относительно холодильника, высказанное Клаузисом:

Невозможно осуществить периодический процесс, единственным результатом, которого был бы отбор теплоты у одной системы при данной температуре и передача в точности такого же количества теплоты другой системе при более высокой температуре.

7. Силы Ван-дер-Ваальса

В реальных тепловых двигателях используются реальные газы. Как было замечено поведение их заметно отклоняется, например, при высоком давлении, от поведения идеального газа. Ян Д. Ван-дер-Ваальс (1837-1923) исследовал эту проблему с точки зрения МКТ и в 1873 году получил уравнение более точно описывающее поведение реальных газов. Свой анализ он основывал на МКТ, но при этом учитывал:

1.      Все молекулы имеют конечные размеры (классическая МКТ ими пренебрегает)

2.      Молекулы взаимодействуют друг с другом всё время, а не только во время столкновений.

Предположим, что молекулы газа представляют собой шарики с радиусом r. Если считать, что такие молекулы ведут себя подобно твердым сферам, то две молекулы будут сталкиваться и разлетаться в разные стороны при расстоянии между центрами равным 2r. Таким образом, реальный объем, в котором могут двигаться молекулы несколько меньше, чем объем V сосуда содержащего газ. Величина этого "недоступного объема" зависит от объема молекул газа и от количества этих молекул. Пусть b представляет собой "недоступный объем" в расчете на один моль газа. Тогда в уравнении состояния идеального газа нужно заменить V на V-nb, где n - число молей газа, и мы получим:

P(V-nb)=nRT

Если разделить это выражение на n и считать, что величина v=V/n является объемом, который занят одним молем газа (v - удельный объем), то получим :

P(v-b)=RT(1)

Это соотношение показывает, что при данной температуре давление будет больше, чем в идеальном газе. Это происходит потому, что уменьшение объема означает, что число столкновений со стенками возрастает.

Следует учесть гравитационное взаимодействие между молекулами, равное:

F=m1m2,

 

где m1 и m2 - массы молекул.

Внутри газа силы притяжения действуют на молекулу во всех направлениях. Однако на молекулу, находящуюся на краю газа действует результирующая сила, направленная внутрь. Молекулы, которые направляются к стенке сосуда, замедляются этой направленной результирующей силой и, таким образом, действуют на стенку с меньшей силой; следовательно, эти молекулы создают меньшее давление, чем в том случае, когда силы притяжения отсутствуют. Уменьшенное давление будет пропорционально числу молекул, приходящихся на единицу объема в поверхностном слое газа, а также числу молекул в следующем слое газа, создающим направленную внутрь силу. Поэтому можно ожидать, что давление уменьшится на величину пропорциональную (N/V)2. Поскольку N=nNA можно записать (N/V)2=( nNA/V)2= NA2/v2; следовательно, давление уменьшится на величину пропорциональную 1/v2. Если для определения давления используется выражение (1), то получаемое давление нужно уменьшить на величину a/v2, где a - коэффициент пропорциональности.

Таким образом, мы имеем:


Это и есть уравнение Ван-дер-Ваальса. Где a и b - для разных газов различны и определяются путем подгонки для каждого конкретного газа. Следует заметить, что при низкой плотности газа уравнение Ван-дер-Ваальса сводится к уравнению состояния идеального газа.

Однако ни уравнение Ван-дер-Ваальса, ни какое другое уравнение состояния, которое было предложено, не выполняются точно для всех газов при любых условиях. Но тем не менее это уравнение очень полезно, и, поскольку оно достаточно точно определяет поведение газа, его вывод позволяет глубже проникнуть в природу газов на микроскопическом уровне.

8. Источники

1.        Д. Джаконли "ФИЗИКА", I том, Москва "МИР", 1989 г.

2.        Дж. Орир "Популярная Физика", Москва " МИР", 1969 г.

. Кл. Э. Суарц "Необыкновенная физика обыкновенных явлений", I том, Москва "НАУКА, главная редакция физико-математической литературы, 1986 г.

Похожие работы на - Газы и тепловые машины. Идеальные и неидеальные газы. Силы Ван-дер-Ваальса

 

Не нашли материал для своей работы?
Поможем написать уникальную работу
Без плагиата!
Без нейросетей!