Розрахунок роторно-дискового екстрактора для очищення води від діоксану екстракцією бензолу продуктивністю 8 м3/год
КУРСОВИЙ ПРОЕКТ
з
дисципліни "Процеси і апарати хімічних виробництв"
на
тему: Розрахунок роторно-дискового екстрактора для очищення води від діоксану
екстракцією бензолу продуктивністю 8 м3/год
ЗАВДАННЯ
на курсовий проект студентові
Гаргаун Руслані Василівні
1. Тема проекту: "Розрахунок роторно-дискового
екстрактора для очищення води від діоксану екстракцією бензолу продуктивністю 8
"
2. Термін здачі студентом закінченого проекту 05. 06. 2014р.
. Вихідні дані до проекту:
Витрати початкової суміші
Початкова концентрація діоксану в воді
Кінцева концентрація діоксану в воді
Початкова концентрація діоксану в екстрагенті
Температура в екстракторі
Регенерація екстрагента з розчину лугу в апараті з мішалкою
Регенерація екстрагента з рафінату не відбувається
4. Зміст пояснювальної записки: пояснювальна записка
представлена на 34 с., рис. - 10, таблиць - 1, список використаної літератури -
8.
. Перелік графічного матеріалу:графічна частина включає 2
листа формату А1: принципова технологічна схема екстракційної установки, схема
роторно - дискового екстрактора .
Зміст
Введення
. Літературний огляд
.1 Теоретичні основи екстракції
.2 Апарати для екстракції
. Технологічна схема
3. Розрахунок
роторно-дискового екстрактора
4. Вибір конструкційного матеріалу екстракційної установки
. Конструкційний матеріал для екстрактора
Висновок
Введення
Хімічний комплекс охоплює галузі промисловості, що продукують сировину і
конструкційні матеріали. До них передусім належать хімічна промисловостіь,яка
забезпечує народне господарство мінеральними добривами, содою, фарбами,
паливно-мастильними продуктами, пластмасами, синтитичними волокнами, та
багатьма іншими видами сировини і матеріалів.
Особливістю хімічної промисловості є здатність забезпечити народне
господарство матеріалами з наперед визначеними властивостями, поліпшеної якості
і в необхідній кількості. Хімізація народного господарства України виявляється в
широкому використанні мінеральних добрив у різних галузях та сферах народного
господарства, у впровадженні хімічних технологій у промисловості й сільському
господарстві, сприяє інтенсифікації виробничих процесів, економії витрат
суспільної праці.
Багатогалузева хімічна промисловість України випускає продукцію більш як
120 тис. найменувань. До її складу входить більше 200 підприємств, таких
галузей: гірничо-хімічної, коксохімії, основної хімії, хімічних волокон,
синтетичних волокон і пластмас, лакофарбових і синтетичних фарбників.
Найбільш важливі галузі: гірничо-хімічна та основна хімія. Хімічна
промисловість належить до складних галузей. У структурі хімічної та
нафтохімічної промисловості виділяють такі підгалузі: гірничо-хімічну; основну
хімію; хімію органічного синтезу; галузі з виробництва полімерних матеріалів,
хімію тонкого органічного синтезу (лаків, фарб, фотохімічних товарів); побутову
хімію.Основу хімічної промисловості становлять видобуток сировини, виробництво
мінеральних добрив і полімерних матеріалів.В Україні розвинута багатогалузева
хімія і нафтохімія.
Процес екстракції є одним із способів розділення рідких
сумішей, що застосовується в різних галузях промисловості. Рідинна екстракція широко
використовується для вилучення компонентів з розбавлених розчинів. Екстракція
ефективно використовується для виділення в чистому вигляді різних продуктів
органічного і нафтохімічного синтезу , вилучення рідкісних елементів, очищення
стічних вод і т.д.
Основними перевагами процесу екстракції, порівняно іншими процесами розділення рідких сумішей,є:
Низька робоча температура (процес, як правило, проводиться при кімнатній температурі);
Висока швидкість масообміну між двома
контактуючими фазами (внаслідок дуже значній площі їх контакту при емульгуванні
органічної фази у водному розчині);
Висока селективність екстрагентів, що дозволяє розділити родинні,
елементи;
Легкість поділу двох фаз (незмішувані
рідини з різною густиною);
Можливість вилучення металів з сильно розбавлених розчинів;
Можливість регенерації витрачених реагентів;
Можливість повної механізації і автоматизації процесу
Серед великого різноманіття екстракційного устаткування можна
виділити гравітаційні колони з сітчатимі тарілками і насадкові колони. Для
інтенсифікації процесів масопереносу використовуються екстрактори з введенням
зовнішньої енергії для контакту фази ( вібраційні , пульсаційні і з механічним
перемішуванням )
1.
Літературний огляд
.1
Теоретичні основи екстракції
Екстракцією називають процес розділення рідких сумішей і
вилучення компонентів з твердих речовин за допомогою рідкого розчинника (
екстрагента ), який вибірково розчиняє тільки видобувні компоненти.
Вихідна рідка суміш обробляється екстрагентом, який не розчинний або мало розчинний у вихідній суміші. У
результаті взаємодії екстрагенту з вихідним розчином утворюються: екстракт -
розчин витягнутих з вихідної суміші компонентів в екстрагенті і рафінат - рідка
суміш, збіднений витягнутими
компонентами і зазвичай містить деяку
кількість екстрагента.
Поділ рідкої суміші методом екстракції складається з наступних процесів:
) змішання вихідної суміші з екстрагентом для створення між ними тісного
контакту;
) поділ двох змішуються рідких фаз ( екстракту і рафінату );
)регенерація екстрагента, тобто видалення його з екстракту і рафінату.
Рис. 1. Схема процесу екстракції
Розділення рідких сумішей екстракцією складніше поділу їх
ректифікацією, але в багатьох випадках застосування екстракції є більш доречним
або вона є єдино можливим методом поділу суміші. Іноді ці процеси поділу
застосовуються спільно, наприклад при екстракційній перегонці або для
підвищення концентрації розподіленої речовини в розчині перед ректифікацією,
яка здійснюється при цьому з меньшими витратами тепла. В якості екстрагентів застосовуються
органічні сполуки. Ідеальний екстрагент повинен
відрізнятися такими властивостями:
- Бути достатньо селективним (тобто вибірково витягувати з водних
розчинів, що містять сукупність
металів, тільки
певні компоненти);
Володіти високою екстракційною здатністю
(поглинати в одиниці свого об'єму значну кількість компоненту який екстрагується);
Забезпечувати досить легко здійснювану регенерацію екстрагента з витяганням металу з органічної фази;
Бути безпечним при роботі (не токсичним, не летючим, вогненебезпечним);
Зберігати стійкість під час зберігання або при контакті з кислотами і
лугами;
Бути достатньо дешевим.
Знайти такий ідеальний екстрагент майже неможливо, тому зазвичай
приймається компромісне рішення.
Органічні екстрагенти, як правило, є досить в'язкими середовищами. При
цьому в'язкість органічної фази різко зростає із збільшенням насичення її
іонами металу. Підвищення в'язкості органічної фази вище певної межі може різко
загальмувати процес екстракції. Тому іноді недоцільно досягати значного насичення
екстрагента металами. Але навіть при обмеженні можливої насиченості
екстрагента в ряді випадків необхідно штучно знижувати в'язкість органічної
фази.
Крім того, для кращого
розшаровування фаз після екстракції треба мати достатню різницю густин цих фаз, тобто екстрагент повинен бути значно легше
водного розчину. Тому на практиці екстрагент рідко використовують у чистому
вигляді; його зазвичай розбавляють дешевим органічним розчинником, щоб знизити
в'язкість і густину. Цей допоміжний розчинник, як правило,
є інертним і не бере участі в процесі екстракції. У такій системі з двох
органічних розчинників органічна сполука , яка бере участь у хімічних реакціях
екстракції, називається екстракційним реагентом, а розчинник екстракційного
реагенту називається розріджувачем. Весь органічний розчин - це
екстрагент. Слід зауважити, що розчинник застосовується не тільки для зниження
в'язкості і густини органічної фази, але і для розчинення продуктів, що
утворюються при екстракційній реакції.
Найбільш широко застосовуються такі типи органічних розчинників:
Вуглеводні та їх галогенпохідні;
Кисневі
сполуки;
Фосфоровмісні сполуки;
Азотвмісні сполуки;
Сірковмісні сполуки.
1.2
Апарати для екстракції
Запропоновано велику кількість конструкцій різноманітних
екстракторів, проте в промисловості застосовується лише обмежене число типів
екстракційних апаратів.
За характером зміни складу рідких фаз екстракційні апарати
можна розділити на дві групи:
) диференційно - контактні екстрактори, в яких характер зміни
складу фаз близький до безперервного;
) ступінчасті екстрактори, в яких зміна складу фаз
відбувається стрибкоподібно (ступінчато), в кожній ступені здійснюється
змішування і поділ (сепарація) фаз.
Екстрактори обох груп можуть бути класифіковані за двома
ознаками:
б) по виду сепарації фаз, яка може відбуватися внаслідок
різниці густин фаз (гравітаційна сепарація) або під дією відцентрових сил
(відцентрова сепарація).
Екстрактори, в яких змішування і сепарація фаз відбуваються у
полі відцентрових сил, називаються відцентровими. Промислові екстрактори є
переважно апарати безперервної дії. Лише при лабораторних роботах (а іноді у
виробництвах невеликого масштабу) використовують екстрактори періодичної дії.
Класифікація екстракційних апаратів:
) Диференційно - контактні екстрактори
Без механічних перемішуючих пристроїв (розпилювальні, з
тарілками перегородками, насадкові)
Механічні (багатоступінчаті змішувальні, пульсаційні,
центробіжні)
) Ступінчаті екстрактори
Без механічних перемішуючих пристроїв (тарілчасті)
Змішувально - відстійні (горизонтальні, вертикальні,
вертикальні центробіжні)
1.3 Розпилювальні екстрактори
Розпилюючий екстрактор являє собою порожню колону, заповнену
однією з рідин - суцільною (дисперсійною) фазою (на рис. 2 показаний
екстрактор, в якому суцільною фазою є важка рідина).
Рис. 2. Розпилювальний екстрактор
Для створення більшої поверхні контакту фаз інша рідина
(дисперсна фаза) розпорошується за допомогою розподільчого пристрою в суцільній
фазі. На певному рівні краплі дисперсної фази зливаються і утворюють шар,
відділений від суцільної фази поверхнею поділу фаз. Рівень цієї поверхні
підтримують на потрібній висоті (вгорі, внизу або посередині колони), встановлюючи
відповідний рівень переливу через нижню відвідну трубу (на малюнку не
показана), або регулюючи ступінь відкриття встановленого на ній вентиля. Зверху
і знизу екстракційна колона розширена , що сприяє кращому відстоюванню фаз.
Розпилювальні колони володіють високою продуктивністю, але
мають малу ефективність, що пояснюється укрупненням крапель дисперсної фази і
зворотним перемішуванням, при виникненні якого кралі дисперсної фази
захоплюються частинками суцільної фази (або навпаки), в результаті в колоні
утворюються місцеві циркуляційні струми, що порушують протитечію фаз.
Колонні екстрактори з тарілками - перегородками
У таких колонах (рис. 3) для зменшення зворотного
перемішування і для турбулізації потоків фаз встановлені перегородки у вигляді плоских
дисків (або тарілок) і кілець, які чергуються. Відстань між перегородками
75-150 мм і більше.
Контакт між фазами здійснюється при обтіканні перегородок
дисперсною фазою у вигляді тонкої плівки (при коалісценціі крапель) і при русі
крапель дисперсної фази в просторі між перегородками.
Рис .3. Колонні екстрактори з тарілками - перегородками:
а - перегородки у вигляді дисків і кілець; б - перегородки у вигляді
тарілок і кілець.
Ефективність таких колон, може бути підвищена при зменшені відстані між
тарілками.
Насадкові екстрактори
Насадкові екстрактори не відрізняються по влаштуванню від насадкових
абсорберів.
Насадка, безладно засипана на опорну гратку, виконує роль перегородок:
вона сприяє багаторазовому дробленню і злиттю крапель дисперсної фази і зводить
до мінімуму зворотне перемішування.
У насадкових екстракторах насадку розташовують у вигляді шарів, поміщених
на опорні решітки; відстань між решітками 0,9-1,8 м.
Через простоту пристрою насадкові екстрактори наближаются до
розпилювальних, але гранична продуктивність їх нижче, оскільки деяка частина
перерізу колони зайнята насадкою. Ефективність поділу в насадкових екстракторах
невисока.
Пульсаційні екстрактори
Пульсаційний екстрактор (рис. 4.) являє собою колону з сітчатими
тарілками без патрубків для перетікання суцільної фази. У колоні за допомогою
спеціального механізму (пульсатора) рідині надаються пульсації - коливання
невеликої амплітуди (10-25 мм) і певної частоти. В якості пульсатора найчастіше
використовують безклапанний поршневий насос, що приєднується до днища колони
(рис. 4 , а) або до лінії подачі легкої рідини (рис. 5 , б). При наданні рідині
пульсацій, відбувається багаторазове тонке диспергування однієї з фаз, що
обумовлює интенсивну массопередачу. Крім сітчатих екстракторів, застосовуються
також насадкові пульсаційні колони.
Ефективний спосіб інтенсифікації процесу екстракції шляхом надання рідині
пульсацій може бути використаний також в екстракційних апаратах інших типів.
Рис .4. Пульсаційні сітчаті екстрактори (А - важка рідина, В - легка
рідина), а - пульсатор приєднаний до днища колони; б - пульсатор приєднаний до
трубопроводу для подачі легкої рідини; в - пульсації передаються через
мембрану; г - пульсації передаються через сильфон; д - пульсації передаються
через буферний шар повітря (повітряну подушку).
Для надійного відділення механізму пульсатора від робочого середовища при
обробці хімічно агресивних і радіоактивних речовин застосовують мембрану (рис.
5, в), сильфон (рис. 5, г) або пневматичний пристрій (рис. 5, д). В останньому
випадку між поршнем пульсатора і колоною приміщають буферний шар повітря, який
поперемінно розширюється і стискається, надаючи коливання рідині в колоні.
Відцентрові екстрактори
При малій різниці густин фаз достатнє збільшення швидкості крапель
дисперсної фази, інтенсивне змішання і розділення фаз досягаються під дією
відцентрових сил шляхом збільшення ефективної різниці густин фаз.
Рис.5. Відцентровий екстрактор: а - розріз апарату; б - принципова схема
руху рідин, 1 - барабан; 2 - вал; 3 - перфорована перегородка (перфорація по
всій перегородці не показана); 4 - канали.
Найбільш поширений відцентровий екстрактор, показаний на рис. 5. Корпус
апарату являє собою циліндричний барабан 1, швидко обертається на
горизонтальному валу 2 (1500-5000 об / хв). Усередині барабан розділений
спіральною перфорованою перегородкою 3 на канали 4 прямокутного перерізу.
Контактуючі рідкі фази подають за допомогою насосів через вал по
відокремленим каналам, важка рідина подається в барабан по його осі, легка
рідина підводиться до периферії барабана. У барабані рідини рухаються
протитечією, вони багаторазово змішуються, головним чином при стіканні через
отвори в перегородці, і розділяються під дією відцентрових сил. Рафінат і
екстракт видаляються також через відокремлені канали валу.
Апарати цього типу відрізняються високою інтенсивністю поділу.
Тарілчаті екстрактори
У екстракторах з сітчастими тарілками (рис.6), аналогічних сітчастим
абсорберам, дисперсна фаза багаторазово подрібнюється при проходженні крізь
отвори ситчастих тарілок (діаметр отворів 2-9 мм). Цівки дисперсної фази
розпадаються при цьому на дрібні краплі, які утворюють шари над тарілками, якщо
диспергується важка рідина, або під тарілками, якщо диспергується легка рідина.
Диспергування відбувається, коли гідростатичний тиск шару рідини стає
достатнім для її проходження крізь отвори. Для стоку суцільної фази на тарілках
розташовують зливні патрубки. Відстань між тарілками становить 0,15-0,6 м.
Рис.6. Екстрактор з сітчастими тарілками.
При обробці рідин, що містять тверді суспензії, застосовують сітчастиі
тарілки з вертикальними перфорованими стінками; отвори таких тарілок менше
засмічуються твердими частинками.
Екстрактори з ковпачковими тарілками зазвичай мають низьку ефективність.
У деяких випадках застосовують екстрактори з тарілками у вигляді вертикальних
вигнутих перфорованих пластин, розташованих каскадом, які ефективніше звичайних
ковпачкових тарілок.
Горизонтальні змішувально- відстійні екстрактори
Екстрактор такого типу (рис. 7) являє собою циліндричний апарат,
розділений перегородками на відсіки. Кожен відсік складається з камери
змішування (труба з внутрішнім занурювальним насосом) і відстійної камери.
Вихідний розчин, що подається в екстрактор, надходить по переливній трубі 1.
Рис.7. Горизонтальний зміщувально - відстійний екстрактор:
- переливна труба для подачі розчину в камеру змішування; 2 - труба для
перетікання екстрагента; 3 - патрубок для подачі суміші в відстійну камеру; 4 -
воронка для відводу екстракту; 5 - штуцер для подачі свіжого екстрагента в
першу по ходу розчину камеру змішання.
У цю ж камеру по трубі 2 надходить з попереднього ступеня екстрагент,
збагачений виділеною речовиною. У камері змішування фази за допомогою насоса
перемішуються, і суміш подається через патрубок 3 на поділ в відстійну камеру.
Звідси екстракт відводиться з апарату через воронку 4, а збіднений розчин
(рафінат) по переливній трубі направляється в наступну камеру змішування, де
знову змішується з екстрактом, що надходить з попередньої щаблі, потім суміш
направляється в наступну відстійну камеру. Змішання і поділ фаз повторюється
багаторазово, аж до останнього ступеня, де розчин змішується зі свіжим
екстрагентом, що надходять через штуцер 5. З цієї щаблі видаляється кінцевий
рафінат.
Крім конструкції екстрактора, показаної на рис. 7, застосовуються
горизонтальні змішувально - відстійні екстрактори у вигляді батареї змішувачів
(з механічними мішалками) і відстійників, що чергуються між собою і з'єднаних
трубопроводами. Змішувачі та відстійники встановлені каскадом, причому важка
фаза рухається через батарею апаратів самотечійно, а легка фаза перекачується
насосами. Іноді перемішування проводиться безпосередньо в насосах, які слугують
змішувачами і чергуються з відстійниками.
Зазвичай в межах кожного ступеня екстракції рідини рухаються
прямотечійно, а установка в цілому працює при протитечії фаз.
Вертикальні змішувально - відстійні екстрактори
До числа цих апаратів відносяться ящикові вертикальні екстрактори, в яких
встановлені прямокутні відстійні камери безпосередньо одна над іншою, а для
змішування фаз служать насоси, вмонтованіванні на бічних стінках відстійних
камер. Такі апарати займають значно меншу площу, ніж горизонтальні змішувально
- відстійні екстрактори. Крім того, завдяки прямокутній формі відстійних камер
вдається зменшити відношення висоти камер до їх перерізу, що сприяє прискореню
відстоювання і призводить до більшої компактності апарату.
Різновидом апаратів цього типу яв є колонний екстрактор, показаний на
рис. 8.
Рис. 8. Вертикальний змішувально - відстійний екстрактор:
- мішалка; 2 - насадка.
Колона розділяється по висоті на змішувальні і відстійні секції, які
чергуються причому відстійні секції (кожна висотою 0,3 м і більше) заповнені
спеціальною насадкою у вигляді згорнутої в рулон рідкоплетеної сітки (площа
всіх отворів сітки становить 97 - 98 % її загальної площі). У змішувальних
зонах перемішування відбувається чотирилопатевими мішалками, які обертаються на
загальному вертикальному валу, який проходить по осі колони.
Багатоступінчасті змішувальні екстрактори (роторно - дисковий екстрактор).
Найбільш поширеним апаратом цього типу є роторно - дисковий екстрактор
(рис. 9)
Рис. 9. Роторно - дисковий екстрактор:
- вал; 2 - плоскі диски; 3 - кільцеві перегородки; 4 - привід.
По осі колони обертається ротор - вал, на якому прикріплені плоскі диски
2, які перемішують рідину. Колона ділиться на секції кільцевими перегородками
3, укріпленими на стінках апарату, причому диски знаходяться на середині висоти
кожної секції. Рухомі протитечією рідкі фази змішуються в кожній секції і в
деякій мірі розділяються при обтіканні нерухомих кільцевих перегородок, що
обмежують секції.
Продуктивність і ефективність описаних екстракторів залежать від числа
обертів ротора, співвідношення розмірів дисків і кільцевих перегородок і
відстані між ними, а також, як і в інших екстракторах, від співвідношення
витрат фаз.
Різновидом апаратів цього типу є колонний екстрактор, в якому замість
плоских дисків встановлені відкриті турбінні мішалки.
2.
Технологічна схема
Схема екстракційної установки показана на рис. 10.
У даному процесі вихідна суміш є легшою рідиною, ніж екстрагент. Вихідний
розчин з ємності Е1 насосом Н1 подається в нижню частину роторно - дискового
екстрактора РДЕ. У верхню частину цього екстрактора з ємності Е2 насосом Н4
подається кубовий залишок. У роторно - дисковому екстракторі, диспергується
легша фаза вихідної суміші. Виходить з розподільника дисперсної фази, краплі
осідають вниз і, пройшовши робочу зону екстрактора, надходить у нижню відстійну
зону, де утворюють шар важкої фази - екстракт. Екстракт через підігрівач П
надходить в колону ректифікації КР. У нижню частину цієї колони подається
суміш, яка нагрівається в кип'ятильник К до температури кипіння. При кипінні
пара рідинної емульсії утворює пари, які підіймаються вгору по колоні. Пари
проходять крізь кулю суміші на тарілці. У результаті взаємодії між сумішшю і
парою, яка має високу температуру, частина пари рідинної емульсії
випаровується, при цьому пар переходить переважно в НК (низькокиплячий
компонент). Випаровування суміші на тарілці відбувається за рахунок тепла
конденсації пари. Пара конденсується і переходить в суміш переважно в ВК
(висококиплячий компонент). Таким чином, у верхній частині колони збираються пари
практично чистого НК. Ці пари надходять і конденсуються в дефлегматорі . Суміш,
яка виходить з розподільника ділиться на дистилят і флегму. Флегма повертається
в КР на зрошення, а дистилят прямує в холодильник Х2, після чого потрапляє в
ємність Е3. З нижньої частини КР пари рідинної емульсії потрапляють в
холодильник Х1, з холодильника вже пари дистиляту потрапляють в ємність Е2.
Рис. 10 Схема екстракційної установки
3. Розрахунок роторно-дискового екстрактора
Початкові данні
|
Показник
|
Одиниці вимірювання
|
Значення
|
|
Початкова концентрація діоксана в воді
|
кг/м3
|
0,52
|
|
Кінцева концентрація діоксана в воді
|
кг/м3
|
0,07
|
|
Початкова
концентрація діоксана в екстрагенті
|
кг/м3
|
0,01
|
|
Витрати початкової
суміші
|
м3/ч
|
8
|
|
Температура в екстракторі
|
оС
|
28
|
|
Об’ємні
витрати екстрагуючої речовини в суцільній фазі
|
м3/с
|
0,002222
|
|
Об’ємні витрати екстрагента
в дисперсній фазі
|
м3/с
|
0,004444
|
|
Густина суцільної фази
|
кг/м3
|
996,5
|
|
Густина дисперсної фази
|
кг/м3
|
874
|
|
Різниця
густин фаз
|
кг/м3
|
122,5
|
|
В’язкість суцільної
фази
|
мПа с
|
0,864 10-3
|
|
В’язкість
дисперсної фази
|
мПа с
|
0,573 10-3
|
|
Коефіцієнт
дифузії суцільної фази
|
м2/с
|
1,2 10-9
|
|
Коефіцієнт
дифузії дисперсної фази
|
м2/с
|
2,4 10-9
|
|
Міжфазний
натяг
|
Н/м
|
0,0338
|
Для
проведення розрахунків використовують завдання на проектування, а також
довідкові данні.
Кінцева концентрація діоксана в бензолі:
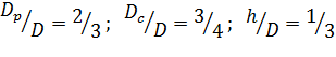
Соотношения размеров внутренних устройств экстрактора:
где D, Dp и Dc - соответственно диаметр колонны и
дисков и внутренний диаметр колец статора;
h -
высота секции.
Рассчитаем роторно - дисковой экстрактор, работающий при nDp = 0,2м/с.
Средний размер капель. Зададимся числом секций N = 20.
где
-
диаметр дисков; N - число дисков в экстракторе.
Суммарная фиктивная скорость фаз при захлебывании. Рассчитав
скорость свободного осаждения капель бензола размером 2,03мм в воде, получим: w0=5,73 см/с. Определим характеристическую скорость
капель:

Следовательно, α = 0,485, и характеристическая скорость капель
равна:
Фиктивную суммарную скорость фаз при захлебывании находим из уравнения:
в котором Ф3 - удерживающая способность при захлебывании
равна:
Диаметр колонны и размеры внутренних устройств. Минимально
возможный диаметр колонны равен:
Принимаем внутренний диаметр колонны равным 1 м.
Фиктивные скорости фаз в такой колонне равны:
см/с;
= = 0,177 см/с. Суммарная скорость
фаз составит 69% от суммарной скорости фаз при захлебывании.
Основные размеры внутренних устройств экстрактора:
,
,
.
Частота вращения ротора:
с-1.
Удельная поверхность контакта фаз. Подставив
значения фиктивных скоростей фаз и характеристической скорости, получим
кубическое уравнение
Решая это уравнение, находим удерживающую способность Ф
= 0,169. Следовательно, удельная поверхность контакта фаз равна

.
Высота колонны. Рассчитаем высоту рабочей зоны
колонны и, следовательно, число дисков с учетом продольного перемешивания на
основе диффузионной. Коэффициенты продольного перемешивания в сплошной Ес
и дисперсной ЕД фазах вычислим из следующих эмпирических
зависимостей:
Расчет по этим уравнениям дает:
Для определения коэффициентов массоотдачи необходимо
знать относительную скорость капель в колонне и критерий Рейнольдса:
;
Параметр T равен:
Так как Т < 70, то капли не осциллируют.
Ввиду того что Re заметно больше единицы, для расчета коэффициентов
массоотдачи используем диффузионные критерии Нуссельта и Прандтля для
дисперсной фазы. При определении размеров капель число секций экстрактора
принято равным 20. Поэтому в качестве первого приближения для высоты
экстрактора примем значение:
.
Рассчитаем коэффициенты массоотдачи:
;
;

Находим коэффициент массопередачи и высоту единицы
переноса по водной фазе, соответствующую режиму идеального вытеснения:
м/с
м
Так как расходы фаз в рассматриваемом процессе
практически не меняются, а равновесие между фазами характеризуется линейной
зависимостью, для расчета общих чисел единиц переноса можно использовать
уравнение, которое при выражении составов в кг/м3 может быть
представлено в виде:
Для рассматриваемого процесса
Следовательно,
Таким образом, при режиме идеального вытеснения по обеим фазам высота
рабочей зоны колонны
. Определяем
значение критерия Пекле для продольного перемешивания в обеих фазах:
В первом приближении коэффициенты
и
вычисляем, пренебрегая вторыми
членами в правой части:
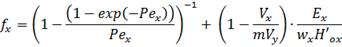
Находим первое приближение для кажущейся высоты единицы
переноса:
где
Значение Нох можно найти, принимая fx = fy = 1 или Hox' =Hox. Полученному значению Hox' = 0,941м соответствует высота
колонны H = Hox
nox = 2,72
0,941 = 2,55м.
Полученные значения
и
используем для более точного
определения критерия Пекле и коэффициентов
и
:
Второе приближение для кажущейся высоты единицы
переноса равно:
При такой
высота колонны должна быть равна
Проводя расчет
и Н несколько раз, до тех пор, пока значения
этих величин в двух последовательных итерациях не станут практически равными,
получим:
=0,951 м; Н = 2,6 м. Так как
расстояние между дисками принято равным 0,333 м, колонна такой высоты должна
иметь 2,6/0,333 = 7,8 дисков. Принимая число дисков равным 8; получим для
высоты рабочей зоны значение: 8
0,333 = 2,7 м.
В начале расчета при определении размеров капель число
секций в колонне было принято равным 20. Если подставить N = 18, получим средний размер капель d = 2,08 мм, что на 2,5 % отличается от значения d при N = 20. Поскольку такое
отклонение находится в пределах точности уравнения (3.20), пересчет размеров
капель и всех остальных гидродинамических параметров экстрактора не имеет
смысла.
Энергетические затраты на перемешивание. Для
вращающегося диска критерий мощности при достаточно больших значениях критерия
Рейнольдса (ReM > 105) равен примерно KN = 0,03. В данном случае:
Средняя плотность перемешиваемой среды:
кг/м3.
Следовательно, затраты энергии на перемешивание одним
диском составляют
Вт.
Таким образом, затраты мощности на перемешивание очень
невелики и для всех дисков составляют около 1 Вт.
4. Вибір
конструкційного матеріалу екстракційної установки
При конструюванні апаратів, обраний конструкційний матеріал повинен
володіти: високою механічною міцністю; високою термостійкістю, тобто здатністю
зберігати необхідну міцність при роботі в умовах високих температур; високою
в'язкістю і втомними властивостями (циклічною міцністю) - стійкістю проти
знакозмінних або повторних однозначних навантажень; малою схильністю до
старіння, тобто до несприятливих змін з плином часу механічних властивостей, що
виражається в зниженні в'язкості і підвищенні твердості і міцності; високу
корозійну стійкість в агресивних середовищах, а також термостійкістю -
стійкістю проти хімічного руйнування при високих температурах; низька вартість
і доступність матеріалу.
Для хімічного обладнання використовуються в основному матеріали 1 і 2
груп стійкості. Корозійна стійкість визначається за десятибальною шкалою,
зображеної в таблиці 1.
Таблиця 1. Десятибальна шкала оцінки корозійної стійкості матеріалів .
|
Група стійкості
|
Швидкість корозії,
|
Бал стійкості
|
|
1. Абсолютно стійкі
|
< 0,001
|
1
|
|
2. Вельми стійкі
|
0,001 - 0,005 0,005 - 0,01
|
2 3
|
|
3. Стійкі
|
0,01 - 0,05 0,05 - 0,1
|
4 5
|
|
4. Понижено стійкі
|
0,1 - 0,5 0,5 - 1
|
6 7
|
|
5. Малостійкі
|
1 - 5 5 - 10
|
8 9
|
|
6. Слабкостійкі
|
> 10
|
10
|
З різноманіття матеріалів, що володіють жорсткістю і міцністю, достатніми
для обмеження пружної і пластичної деформації, при гарантованій надійності і
довговічності є сталь .
5.
Конструкційний матеріал для екстрактора
екстракція роторний сталь конструкційний
Так як вода, діоксан і бензол - агресивні середовища, використовуємо
сталь Х18Н10Т і сталь 3сп. для виготовлення труб.
Сталь Х18Н10Т - корозійностійка, термостійка і термоміцна високолегована
сталь 12Х18Н10Т може бути використана для виробництва:
• виробів, що експлуатуються в агресивних середовищах і стійких до
електрохімічної корозії при невисоких температурах (I група);
• слабонавантажених або ненавантажених деталей, що працюють при
температурах 550-800 ° С в умовах хімічно активного газового середовища (II
група);
• навантажених деталей, здатних працювати протягом 50000-100000 годин при
температурі до 600 ° С (III група).
Нестійка в сірковмісній атмосфері при високих температурах. Рекомендована
до застосування у випадках, коли неможливе використання безнікеліевих сталей. З
даного матеріалу виготовляють зварену апаратуру самого різного призначення. Як
жаростійкий і жароміцний матеріал сталь використовується при виробництві різних
деталей вихлопних систем, печей та інших агрегатів. Сталь не схильна до
утворення пустот при литті, що дозволяє отримувати деталі високої якості.
Сталь 12Х18Н10Т має високу зварюваність різними методами
електрозварювання, а також паяється твердими і м'якими припаями, добре обробляється
різанням і має високу пластичність при холодній деформації.
Сталь 3сп. - Відноситься до сталі конструкційної вуглецевої звичайної
якості, використовують в якості несучих елементів різних конструкцій і деталей,
що здійснюють свою роботу при додатній температурі. Вона може бути використана
як фасонного та листового прокату товщиною не більше 10 мм в якості несучих
елементів для конструкцій, споруджених за допомогою зварювання і працюючих
навантаженні від - 40 до + 425 ° С.
Хімічний склад сталі Ст. 3сп. в%:
. C (вуглець): 0.14-0.12;
. Mn (марганець): 0.40-0.65;
. Si (кремній): 0.12-0.30;
. S (сірка): < 0.055;
. P (фосфор): < 0.050;
Висновок
У цій роботі були розглянуті основи процесу екстракції і основні види
екстракторів, застосовуваних на виробництві, наведено короткий опис їх
влаштування та принцип роботи, їх недоліки та переваги.
Основною перевагою процесу екстракції в порівнянні з іншими процесами
розділення рідких сумішей (ректифікацією, випарюванням та ін.) є низька робоча
температура процесу. Цей процес проводиться найбільш часто при нормальній
(кімнатній) температурі.
До основних переваг роторних екстракторів відносяться висока ефективність
масопереносу, мала чутливість до твердих домішок в фазах, можливість створення
апаратів великої одиничної потужності та ін.
Був проведений розрахунок роторно - дискового екстрактора, з наступними
параметрами висота колони Н = м, відстань між дисками h = 0,333 м, число дисків
n= , висота робочої зони м, діаметр колони м, діаметр дисків 0,667 м,
внутрішній діаметр кілець статора 0,75 м.
Запропоновано конструкційний матеріал для виготовлення роторно -
дискового екстрактора - нержавіюча високолегована сталь аустенітного класу -
12Х18Н10Т, а також сталь 3сп. - Сталь конструкційна вуглецева звичайної якості.
Список використаної літератури
1. Основы жидкостной экстракции / Под ред. Г. Я.
Ягодина. - М.: Химия, 1981. - 399 с.
. Каган С.З., Аэров М.Э., Волкова Т.С., Труханов В.Г.
// ЖПХ. Т. 37 - № 1. - 1964.
. Павлов К. Ф. Примеры и задачи по курсу процессов и
аппаратов химической технологии / К. Ф. Павлов, П. Г. Романков, А. А. Носков. -
Л.: Химия, 1987. - 575 с.
. Основные процессы и аппараты химической технологии:
Пособие по проектированию / под ред. Ю.М. Дытнерского. - 2-е изд. - М.: Химия,
1992.
. Плановский А.Н. , Рамм В.М., Каган С.З. Процессы и
аппараты химической технологии. - М., 1965.- 848 с
. Романков П. Г., Фролов В. Ф. Массообменные процессы
химической технологии. - М.: Высшая школа, 1990. - 129 с.
7. Луняка К.В. Процеси і апарати хімічних
виробництв. Курс лекцій. Навчальний посібник.- Херсон: ХНТУ, 2006.-152 с.
8. Курс лекцій по корозії металів/ К.В. Луняка.
- Херсон, ХНТУ, 2003. - 146 с.
9. http://www.chemport.ru/data/chemipedia/article_4456.html