|

Исходя из соответствующих величин
технологической и коммунальной нагрузок, принимаем к установке турбины типа
ПТ-50/60-12,8/0,7 - две штуки и турбину типа Т-50/60-12.8 - одну штуку.
Расчетные коэффициенты теплофикации по
пару и сетевой воде
Выбор типа и количества паровых котлов
производиться по сумме максимальных расходов свежего пара на все турбины ( ) и РОУ ( ) с коэффициентом 1.02
для компенсации неучтенных потерь в цикле ТЭЦ, кг/с
Где - энтальпии свежего пара
и питательной воды паровых котлов, кДж/кг; - КПД РОУ.
Принимаем к установке котел типа
Е-500-13,8 - две штуки суммарной паропроизводительностью 278 кг/с.
Пиковые нагрузки потребителей сетевой воды
покрываются от пиковых водогрейных котлов (ПВК) в соответствии с выражением
Для покрытия пиковых нагрузок по сетевой
(горячей) воде принимаем к установке водогрейные котлы типа КВ-ТК-100 - две
штуки суммарной теплопроизводительностью 232 МВт и водогрейный котел КВ-ТК-30 с
теплопроизводительностью 34,9 МВт. Суммарная теплопроизводительность трех
котлов составляет 266,9 МВт
1.3 Годовые показатели
ТЭЦ
Годовая выработка электроэнергии, кВт*ч
где - нагрузка производственных отборов
выбранных турбин типа ПТ и Р (Прилож. - П 6), кг/с; - нагрузка отопительных отборов выбранных
турбин типа ПТ и Т (Прилож. - П 6), МВт; - годовой коэффициент теплофикации по пару и сетевой воде
(Прилож. - П 10); - коэффициенты аварийного и ремонтного
простоя (среднегодовые значения ориентировочно принимаются равными
соответственно 0,98 и 0,92…0,94); - средневзвешенные значения удельной выработки электроэнергии на
технологическом и отопительном теплопотреблении, которые представляют собой,
кВт·ч/ГДж
а соответствующие значения удельной выработки электроэнергии для
выбранных типов турбин приведены в Приложениях (П 9).
Годовой расход условного топлива на ТЭЦ складывается из годовых
расходов на отпуск электроэнергии (ВЭ) и теплоты (ВТ),
вычисляемых по формулам
где , - удельный расход топлива на отпуск электроэнергии и теплоты от
ТЭЦ с высокими параметрами пара (ориентировочно: при работе на ГМ = 0,324 кгут/кВт·ч и = 34,0 кгут/ГДж, а на Т соответственно -
0,354 кгут/ кВт·ч и 34,5 кгут/ГДж [18]);
- удельный расход электроэнергии на собственные нужды ТЭЦ
(ориентировочно: при работе на ГМ равен 7…7,5%, а на Т - 9…9,5%).
2. Теплоутилизационная
установка
2.1 Выбор основного
оборудования ТУУ
Принимаем к установке котлы утилизаторы
типа КУ-80-3 - шесть штук.
Номинальная паропроизводительность
выбранных КУ, кг/с
где - номинальная паропроизводительность
выбранного КУ, кг/с (Прилож. - П 11).
Выбираем комбинированное направление использования ВЭР.
Принимаем к установке УТ для ТУУ типа ПТ-25-3.4/0.6 - одну штуку.
Возможный расход пара на УТ составляет, кг/с
Коэффициент нагрузки УТ
где - номинальный расход свежего пара на УТ
выбранного типа, кг/с (Прилож. - П 12).
Суммарные нагрузки по промышленному пару и сетевой воде выбранных
УТ:
2.2 Годовые показатели
ТУУ
Располагаемая электрическая мощность УТ,
МВт
Годовая выработка электроэнергии в ТУУ,
МВт*ч
где - коэффициенты аварийного и ремонтного
простоя УТ, принимаемые равными 0,98.
Отпуск электроэнергии потребителям промпредприятия от ТУУ равен
выработке за вычетом расхода электроэнергии на собственные нужды, т.е.
где - удельный расход электроэнергии на
собственные нужды ТУУ, принимаемый равным 8…9%.
Среднегодовое значение удельной теплофикационной выработки
электроэнергии на ТЭЦ, кВт*ч/ГДж
Суммарная нагрузка производственных
отборов УТ, МВт
Годовой отпуск теплоты от ТУУ по
комбинированному и тепловому направлению, ГДж
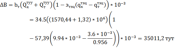
Годовая экономия топлива, тут
Перегрев пара в ЦП связан с переходом
топлива, определяемым по формуле, тут
где - расход пара УИО, направляемый для
перегрева в ЦП, кг/с; - номинальная паропроизводительность и
номинальный расход топлива в ЦП, кг/с и кгут/с (Прилож. - П 13).
Следовательно, в общем случае, годовая экономия топлива за счёт
применения ТУУ должна составить
Избыточный пар УИО, используемый по тепловому направлению, не
следует перегревать в ЦП.
Результаты расчета приведены в таблице 3.
Заключение
. Для удовлетворения нужд потребителей и
по результатам расчета отпуска теплоты было выбрано следующие основное
оборудование проектируемой ТЭЦ:
- Паровые турбины типа
ПТ-50/60-12,8/0,7 в количестве двух штук, типа Т-50/60-12,8 в количестве одной
штуки;
- Паровые котлы типа
Е-500-13,8 ГМ в количестве двух штук;
- Пиковые водогрейные котлы
типа КВ-ТК-100 в количестве двух штук и пиковый водогрейный котел КВ-ТК-30 - 1
шт.
Также в ходе расчета было выбрано
следующее основное оборудование теплоутилизационых установок (ТУУ):
- Котлы утилизаторы (КУ)
типа КУ-80-3 в количестве четырех экземпляров;
- Центральный перегреватель
типа ЦП-60-45 в трёх экземплярах;
- Утилизационные турбины
(УТ) ПТ-25-3.4/0.6 типа в количестве одного экземпляра, комбинации УТ типа
П-6-3.4/0.5 и Р-4-3.4/0.5-1 и П-6-1.2/0.5 и
Р-12-3.4/0.3, взятые по одному экземпляру.
. Был выполнен расчет годовых показателей
ТЭЦ и ТУУ. В ходе расчета была определена соответственно:
- Годовая выработка
электроэнергии на технологическое и отопительное потребление ТЭЦ (Э) равная
607,1 ГВт×ч, а также годовой расход топлива (B) равный 597,32 тыс.
тут.;
. В пункте расчета сравнивалось три
варианта оборудования ТУУ. По результатам выбирается вариант с лучшим
показателем годового экономия топлива. В данном случае это Вариант 1 (Таблица
7).
. По итогам работы строится тепловая схема
(представлена в Приложении).
Литература
1.
Основные
методические положения по планированию использования вторичных энергетических
ресурсов. - М.: Энергоатомиздат, 1987.
2.
Источники
и системы теплоснабжения промышленных предприятий. МУКП. - СПб.: СЗПИ, 1998.
3.
Инструкция
о порядке разработки, согласования, утверждения и составе проектной
документации на строительство предприятий, зданий и сооружений. СНиП 11-01-95.
- М.: ГП «ЦЕНТРИНВЕСТпроект», 1995.
4.
Порядок
разработки, согласования, утверждения и состав обоснований инвестиций в
строительство предприятий, зданий и сооружений. СП 11-101-95. - М.: Минстрой
России, 1995
5.
Методические
рекомендации по оценке эффективности инвестиционных проектов и их отбору для
финансирования. - М.: НПКВЦ «Теринвест», 1994.
6.
Виленский
П.Л., Лившиц В.Н., Орлова Е.Р., Смоляк С.А. Оценка эффективности инвестиционных
проектов. - М.: Дело, 1998.
7.
Ковалёв
В.В. Методы оценки инвестиционных проектов. - М.: Финансы и статистика, 1998.
8.
Мелкумов
Я.С. Экономическая оценка эффективности инвестиций и финансирование
инвестиционных проектов. - М.: ИКЦ «ДИС», 1997.
9.
Тепловые
сети. СНиП 2.04.07-86*. - М.: Минстрой России, 1994.
10.Строительная климатология и геофизика. СНиП
2.01.01-82. - М.: Стройиздат, 1983
11.Манюк В.И., Каплинский И.И., Хиж Э.Б. и др.
Наладка и эксплуатация водяных тепловых сетей. - М.: Стройиздат, 1988. - 432 с.
12.Промышленная теплоэнергетика и теплотехника.
Справочник / Под общ. ред. В.А. Григорьева, В.М. Зорина. - М.: Энергоатомиздат,
1991.
13.Тепловые и атомные электрические станции.
Справочник / Под общ. ред. В.А. Григорьева, В.М. Зорина. - М.: Энергоатомиздат,
1989.
14.Паротурбинные энергетические установки. - М.:
ЦНИИТЭИтяжмаш, 1988.
15.Паровые турбины и турбогенераторы. Номенклатурный
перечень №1. - Калуга, ОАО КТЗ, 2001.
16.Котлы-утилизаторы и энерготехнологические
агрегаты / А.П. Воинов, В.АЗайцев, Л.И. Куперман, Л.Н. Сидельковский. - М.:
Энергоатомиздат, 1989.
17.Котлы-утилизаторы и котлы энерготехнологические.
Отраслевой каталог / В.А. Зайцев, Л.М. Микрюкова. - М.: НИИЭИНФОРМЭНЕРГОМАШ,
1985.
18.Астахов Н.Л., Калинов В.Ф., Киселёв Г.П.
Современная методика расчёта показателей тепловой экономичности ТЭС. -
Энергетик, 1997, №12.
19.Ривкин С.Л., Александров А.А. Теплофизические
свойства воды и водяного пара - М.: Энергия, 1980.
Похожие работы на - Выбор и обоснование структуры оборудования теплофикационнаого источника крупного промышленного предприятия
|