Регламентированные методы испытаний комбайнов зерноуборочных
Министерство сельского хозяйства и
продовольствия Республики Беларусь
Учреждение образования
"Белорусский государственный аграрный технический университет"
УДК 631.354.2
Кафедра "Стандартизация и
метрология"
САМОСТОЯТЕЛЬНАЯ РАБОТА МАГИСТРАНТА
Регламентированные методы испытаний
комбайнов зерноуборочных
Выполнил: магистрант АМФ группы маг15м
Мальцев Денис Романович
Принял: профессор д. т. н. Караткевич
Александр Викеньтьевич
Минск 2016
Содержание
Введение
1. Подготовка к испытаниям
2. Оценка технических параметров и агротехническая оценка комбайна.
Требования к условиям испытаний
3. Методика определения характеристик убираемой культуры, валка,
поля
4. Определение агротехнических показателей при лабораторно-полевых
испытаниях
Заключение
Список использованных источников
Введение
Испытание сельскохозяйственной техники - это финальный этап
создания новых машин для механизации сельскохозяйственного производства. Также
это способ экспериментального контроля качества изготовления серийной техники.
Испытания проводят для того, что бы экспериментально
определить качественные и количественные характеристики функционирования
техники.
По причине сложности и малой изученности закономерностей
взаимодействия рабочих органов машин и обрабатываемых сельскохозяйственных
материалов, а так же большим разнообразием условий применения техники и
недостаточно полным или отсутствующим аналитическим описанием этих условий,
роль испытаний и экспериментальных исследований в создании новых поколений
технических средств для механизации сельского хозяйства возрастает. Более
половины всех трудозатрат на разработку сельскохозяйственной техники занимают
исследования и испытания.
Учитывая тот факт, что количество типов машин,
изготавливаемых в республике, постоянно возрастает, потребность в испытаниях
увеличивается еще больше.
Результаты испытаний техники необходимы руководителям и
специалистам министерств и хозяйственных органов управления. Они облегчают
принятие решений о целесообразности постановки на производство новых машин с
учетом их фактической эффективности, сохранения в производстве серийных
изделий. Специалистам сельскохозяйственных предприятий информация о результате
испытаний позволяет обоснованно принять решения по комплектованию
машинно-тракторного парка своего хозяйства новой техникой. Конструкторы и
изготовители сельскохозяйственной техники используют результаты испытаний для
дальнейшего совершенствования своей продукции, устранения выявленных при
испытаниях недостатков машин.
Испытания должны проводить высококвалифицированные
специалисты, знающие программы и методики, владеющие современными приборами и
другими техническими средствами измерений.
испытание зерноуборочный комбайн показатель
1. Подготовка
к испытаниям
Испытание зерноуборочных комбайнов проводят по программе
испытаний. Типовая программа испытаний включает следующие виды оценок:
. Оценка технических параметров;
2. Агротехническая оценка;
. Энергетическая оценка;
. Оценка безопасности и эргономичности конструкции
изделия;
. Эксплуатационно-технологическая оценка;
. Оценка надежности;
. Экономическая оценка.
Приемочные, типовые, периодические и квалификационные виды
испытаний проводятся при оценке технических параметров, оценке безопасности и
эргономичности, эксплуатационно-технологической оценке и оценке надежности. При
агротехнической, энергетической и экономической оценках проводятся только
приемочные и типовые испытания.
Для испытания комбайна составляют рабочую программу-методику,
в которой указывают, с учетом особенностей конкретного образца, перечень
определяемых показателей по каждому виду оценки, режимы, условия и место
испытаний, наименования приборов и оборудования, применяемых при испытании.
Эксплуатационная документация, представляемая производителем с комбайном,
должна соответствовать ГОСТ 27388.
Комбайн укомплектовывают жаткой (хедером) и подборщиком в
соответствии с инструкцией по эксплуатации. В обязательном порядке, перед
началом испытаний должны быть выполнены обкатка и регулировка машины в
соответствии с инструкцией по эксплуатации. При сравнительной оценке комбайнов
на уборке зерновых колосовых культур основной комплектацией комбайна является
капот для укладки соломы и половы в валок. Испытания других приспособлений для
уборки и утилизации побочной продукции (измельчителя-разбрасывателя, копнителя,
прицепной емкости и др.) проводят по специальной программе.
Все средства измерений и испытательное оборудование,
применяемые при испытаниях, должны быть исправны, поверены/калиброваны и иметь
свидетельство об их поверке/калибровке в соответствии с требованиями СТБ 8003.
2. Оценка
технических параметров и агротехническая оценка комбайна. Требования к условиям
испытаний
Оценку технических параметров проводят по ГОСТ 26025. Сюда
также входит определение габаритных размеров, массы, ширины захвата и
минимальных радиусов поворота. Вместимость зернового бункера комбайна
определяют в единицах объема зерна при влажности не более 15 %, засоренности до
3 %. Вместимость вычисляют делением массы выгруженного зерна на его натуру. В
свою очередь максимальную скорость выгрузки зернового бункера определяют
измерением объема зерна, выгружаемого в течение 30-секундного периода, который
измеряют через пять секунд после того, как зерно начало поступать из выгрузного
устройства. Ширину захвата жатки определяют как расстояние между центральными
линиями делителя, а ширину захвата подборщика - как расстояние, между
боковинами подборщика, ограничивающими транспортирующие элементы.
Агротехническую оценку зерноуборочного комбайна и его рабочих
органов (жатки, подборщика, молотилки) проводят при лабораторно-полевых
испытаниях.
Главными оценочными показателями при испытании жатки
являются: скорость движения в км/ч, высота среза хлебной массы, ширина захвата,
потери зерна в %, суммарные потери в том числе: свободным зерном, зерном в
срезанных колосьях, зерном в несрезанных колосьях. Высота среза хлебной массы
включает в себя среднее значение в см, стандартное отклонение в см, коэффициент
вариации в %. Ширина захвата включает в себя среднее значение в м, стандартное
отклонение в м, коэффициент вариации в %.
При испытании подборщика главными оценочными показателями
являются: скорость движения в км/ч; потери зерна в % в том числе: свободным
зерном, неподобранным колосом;
При испытании молотилки комбайна определяют следующие главные
показатели: подача хлебной массы в молотилку в кг/с, пропускная способность
молотилки комбайна в кг/с, дробление зерна, сорная примесь и суммарные потери
зерна молотилкой в % в том числе: потери зерна в соломе, потери зерна в полове,
потери зерна распылом, потери зерна из за недостаточного уплотнения молотилки.
При определении подачи хлебной массы в молотилку выделяют фактическую и
приведенная к нормативному значению показателей по урожайности, соломистости,
влажности зерна и соломы, массе 1000 зерен.
К условиям испытаний предъявляют некоторые требования,
перечисленные ниже.
Агротехническую оценку комбайна и его рабочих органов (жатки,
подборщика, молотилки) проводят на одной, преобладающей в зоне, зерновой
культуре, на районированном в данной зоне сорте, на преобладающем способе
уборке. Характеристика убираемой культуры должна содержать показатели,
соответствующие техническому заданию (ТЗ), техническим условиям (ТУ) на
разработку комбайна для данной зоны. Характеристика поля (рельеф, уклон поля,
влажность, твердость почвы и др.) должна соответствовать требованиям ТЗ (ТУ).
Размеры испытательного участка, на котором определяют показатели качества
работы комбайна и энергетические показатели, должны обеспечивать возможность
проведения испытаний на всех запланированных режимах работы. При отсутствии
условий, указанных в ТЗ (ТУ), допускается испытание комбайна в других условиях,
при этом заключение о соответствии комбайна требованиям ТНПА на него не дается.
До начала лабораторно-полевых испытаний комбайн должен быть обкатан и
отрегулирован в соответствии с инструкцией по эксплуатации.
. Методика
определения характеристик убираемой культуры, валка, поля
Для определения высоты растений, естественных потерь зерна
(потерь зерна от самоосыпания), полеглости стеблестоя, отношения массы зерна к
массе соломы на поле вдоль всего прокоса с помощью рамки размером 50х50 см,
отступив на 100 см в нескошенный хлебостой, выделяют десять площадок (по пять
площадок на каждой стороне прокоса). Естественные потери определяют внутри рамки
на каждой площадке методом сбора зерна на земле. Зерно взвешивают с
погрешностью ± 0,1 г. Среднее значение естественных потерь зерна qe,
г, вычисляют по формуле:
где qei - масса зерна, собранного с i-й площадки,
г;- число учетных площадок, шт.
Вычисления проводят с округлением до первого десятичного
знака. Высоту растений в естественном и выпрямленном состоянии определяют на
каждой площадке у двадцати растений, выбранных случайно. Погрешность измерения
- ± 1 см. Полеглость растений П, %, вычисляют по формуле:
где l - средняя высота растений в выпрямленном состоянии, см;i - средняя высота
растений в естественном состоянии, см.
Вычисления проводят с округлением до целого числа. После
измерения высоты растения на площадках срезают, формируют в снопы. Погрешность
взвешивания снопов - ± 5 г, зерна, вымолоченного из снопа, - ± 0,1 г.
Определяют засоренность снопа сорняками на высоте среза по ГОСТ 20915 и массу
1000 зерен по ГОСТ 10842.
Урожайность зерна У3, т/га, определяют по результатам
взвешивания бункерного зерна при отборе проб на качество работы машины с учетом
всех видов потерь, но без учета сорной примеси.
Влажность зерна и соломы определяют методом высушивания или с
помощью влагомера. Пробы зерна отбирают через каждые 2 ч по ГОСТ 13586.3 Пробы
соломы (совместно с половой) отбирают от выходов комбайна в каждом опыте.
Допускается применять влагомеры, позволяющие определять влажность материала с
погрешностью не более 1,5 %.
Высоту и толщину валка, просвет между почвой и валком
измеряют линейкой в трех местах по ширине и десяти местах по длине валка с
интервалом от 5 до 10 м. Измерения проводят не менее чем на трех валках,
расположенных не ближе 50 м от края поля. Погрешность измерения - ± 1 см.
Высоту валка определяют измерением расстояния от поверхности почвы до верхней
части валка. Просвет между почвой и валком определяют измерением расстояния от
поверхности почвы до нижней части валка. Толщину валка определяют как разницу
между высотой валка и просветом между почвой и валком.
Ширину валка и расстояние между валками измеряют рулеткой в
тех же местах, где измеряют высоту валка. При этом измеряют расстояние между
краями валка и между внутренними краями смежных валков. Ширину захвата валковой
жатки, сформировавшей валок, определяют как сумму средних значений расстояния
между валками и ширины валка.
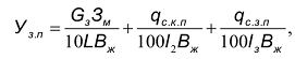
Массу одного погонного метра валка qв, кг,
определяют по результатам взвешивания продуктов обмолота, собранных с учетной
делянки, и вычисляют по формуле:
где GЗ - масса зерна, кг;C - масса
соломы, кг;п - масса половы, кг;- длина учетной делянки, м.
Допускается массу одного погонного метра валка определять по
результатам взвешивания шести частей валка длиной один метр каждая, вырезанных
в разных местах двух случайно взятых валков.
Массу одного метра валка вычисляют как среднее значение всех
измерений. Соломистость хлебной массы С определяют по результатам взвешивания
продуктов обмолота, собранных с учетной делянки, и вычисляют по формуле
4.
Определение агротехнических показателей при лабораторно-полевых испытаниях
На выбранном для проведения испытания участке поля делают
прокос. По обеим сторонам прокоса комбайн с испытуемой жаткой делает пробный
проход на оптимальной скорости движения. При удовлетворительном технологическом
процессе работы жатки делают учетные проходы. Если на заданной скорости
движения комбайна отмечаются нарушения технологического процесса жатки, то скорость
движения снижают до скорости, при которой технологический процесс протекает
нормально, и затем делают учетный проход. На учетных делянках комбайн должен
двигаться без остановки. Время прохождения учетной делянки измеряют
секундомером с погрешностью ± 1,0 с. Длину учетной делянки измеряют мерным
циркулем (колесом) с погрешностью не более 1,0 %. Результаты записывают в
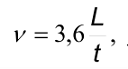
журнал испытаний. Скорость движения агрегата ν, км/ч, вычисляют по
формуле:
где t - время прохождения учетной делянки, с.
В конце учетной делянки комбайн останавливают, промолачивают
массу, оставшуюся в комбайне, в течение 30 с, после остановки молотилки
комбайна выгружают зерно из бункера, взвешивая его с погрешностью не более 1,0
%. Результаты взвешивания записывают в журнал испытаний. Массу зерна с учетной
делянки используют для расчета потерь зерна за жаткой комбайна.
Показатели качества работы жатки комбайна определяют на двух
рабочих скоростях движения - максимальной согласно ТЗ (ТУ) и на 20 % - 30 %
ниже. В условиях, не соответствующих требованиям ТЗ (ТУ), определяют
номинальную скорость. Параметры настройки рабочих органов жатки на рабочих
скоростях не меняются, за исключением скорости вращения мотовила.
Число учетных делянок на каждом режиме должно быть не менее
четырех - в одну сторону и две в обратную (с учетом полеглости), длина - не
менее 50 м. Для определения ширины захвата жатки в пределах учетной делянки до
учетного прохода комбайна на расстоянии 1 м от нескошенного стеблестоя ставят десять
колышков с интервалом от 5 до 10 м. После прохода комбайна измеряют рулеткой
расстояние от каждого колышка до нескошенного стеблестоя. Ширину захвата жатки
вычисляют по разнице измерений до и после прохода комбайна. Среднюю ширину
захвата вычисляют с округлением до первого десятичного знака. Допускается
проводить определение ширины захвата жатки с помощью маркера, установленного на
жатку. Против каждого колышка по ширине захвата жатки делают не менее десяти
измерений высоты среза для зерновых или длины стерни для бобовых культур. Для
определения высоты среза линейкой измеряют расстояние от поверхности почвы до
линии среза растений в естественном состоянии, длины стерни - в выпрямленном
состоянии. Измерения проводят с погрешностью ± 1 см. Результаты измерений
записывают в форму Б.7 и вычисляют среднюю высоту среза или длину стерни,
стандартное отклонение, коэффициент вариации. Вычисления проводят с округлением
до целого числа. Потери зерна за жаткой комбайна включают в себя потери
свободным зерном и зерном в срезанных и несрезанных колосьях (метелках, бобах).
Для определения потерь зерна после прохода комбайна на стерню учетной делянки
накладывают рамки. Для сбора потерь зерна в колосьях (метелках, бобах)
применяют рамки длиной 1 м, шириной, равной рабочей ширине захвата жатки. Для
учета потерь свободным зерном применяют рамку такой же ширины, длиной 0,15 м.
Эта рамка накладывается на стерню внутри большей рамки. Собранное зерно
взвешивают с погрешностью ± 0,1 г. Результаты записывают в форму Б.8. Массовую долю
потерь зерна за жаткой комбайна в несрезанных колосьях Δqн. к. ж, %, вычисляют по формуле:
где qн. к. ж - потери зерна в несрезанных колосьях
(метелках, бобах) за жаткой, г;1 - площадь рамки для учета потерь
зерна в несрезанных (срезанных) колосьях (метелках, бобах), м2;
Уз. ж - урожайность зерна с учетной делянки при
испытаниях жатки комбайна, т/га.
Урожайность зерна Уз. ж, т/га, при испытаниях
жатки комбайна вычисляют по формуле:
где
Зм - содержание зернового материала (основного зерна и
зерновой примеси) в зерне из бункера комбайна, %;
Вж - ширина захвата жатки, м;с. к. ж - потери зерна в
срезанных колосьях (метелках, бобах) за жаткой, г;с. з. ж - потери свободного
зерна за жаткой, г;- площадь рамки для учета потерь свободного зерна за жаткой,
г.
Массовую долю потерь зерна за жаткой комбайна в срезанных
колосьях Δqс. к. ж, %, вычисляют по формуле:
Массовую долю потерь свободным зерном за жаткой комбайна Δ qс. з. ж.,%, вычисляют по формуле
где S - площадь рамки для учета потерь зерна от самоосыпания,
м2;е - потери зерна от самоосыпания, г.
Суммарные потери зерна за жаткой комбайна Δqж, %, вычисляют по формуле
Вычисления проводят с округлением:
урожайности зерна - до второго десятичного знака;
потерь зерна - до второго десятичного знака.
При испытаниях жатки комбайна необходимо подвязывать брезент
под молотилку комбайна для сбора потерь зерна из-за недостаточного уплотнения
молотилки, во избежание попадания их на учетную делянку.
На основании рабочих ведомостей составляют ведомость исходных
данных результатов испытаний жатки комбайна по форме В.1, которую передают для
обработки на ЭВМ. Показатели качества выполнения технологического процесса
жаткой комбайна после обработки записывают в форму А.3.
Проведение испытания подборщиков отличается от испытания
жатки. Для проведения испытаний подборщика должны быть заложены валки серийной
валковой жаткой на оптимальной рабочей скорости. Показатели качества работы
подборщика определяют на скоростях движения как у жатки. Если на заданной
скорости движения комбайна отмечаются нарушения технологического процесса
подборщика, то скорость движения снижается до скорости, при которой
технологический процесс протекает нормально, и затем делают учетный проход.
Число учетных делянок, длиной не менее 50 м, на каждом режиме должно быть не
менее трех. Время прохождения учетной делянки, ее длину, скорость движения
агрегата определяют аналогично, как и у жатки. В конце учетной делянки комбайн
останавливают, промолачивают массу, оставшуюся в комбайне, в течение 30 с,
выгружают зерно из бункера и взвешивают с погрешностью не более 1 %. Результаты
измерений времени, пути и взвешивания зерна записывают в журнал испытаний.
Массу зерна с учетной делянки используют для расчета потерь зерна за
подборщиком комбайна.
Потери зерна за подборщиком комбайна включают в себя потери
свободным зерном и зерном в срезанных колосьях (метелках, бобах). Потери
определяют после прохода подборщика. Для определения потерь зерна в колосьях
(метелках, бобах) применяют рамки длиной 2 м, шириной, равной ширине валка плюс
0,5 м с обеих сторон валка. Для определения потерь свободным зерном в пределах
указанной выше рамки накладывают на стерню вторую рамку такой же ширины, длиной
0,15 м. На каждом режиме потери зерна определяют в шестикратной повторности.
Собранное зерно взвешивают с погрешностью ± 0,1 г. Результаты записывают в
форму Б.8. Массовую долю потерь зерна в срезанных колосьях (метелках, бобах) за
подборщиком Δqс. к. п, %, вычисляют по
формуле:
где Δqс. к. п - потери зерна в
срезанных колосьях (метелках, бобах) за подборщиком, г;2 - длина
рамки для учета потерь зерна в срезанных колосьях (метелках, бобах) за
подборщиком, м;
Уз. п - урожайность зерна с учетной делянки при
испытаниях подборщика, т/га;
Δ q скв. -
потери зерна в срезанных колосьях (метелках, бобах) в меж валковом пространстве
за валковой жаткой, %.
Урожайность зерна Уз. п, т/га, при испытаниях
подборщика вычисляют по формуле:
где Δqс. з. п - потери свободным зерном
за подборщиком, г;з - длина рамки для учета потерь свободным зерном
за подборщиком, м.
Массовую долю потерь свободным зерном за подборщиком Δqс. з. п, %, вычисляют по формуле:
где Δqс. з. в - потери свободным зерном
под валком за валковой жаткой, %.
Суммарные потери зерна за подборщиком Δqп, %, вычисляют по формуле
Вычисления проводят с округлением:
урожайности зерна - до второго десятичного знака;
потерь зерна - до второго десятичного знака. Потери зерна за
валковой жаткой определяют перед подбором валков. Потери включают в себя потери
свободным зерном под валком и потери зерна в срезанных колосьях (метелках,
бобах) в межвалковом пространстве.
Для определения потерь зерна в срезанных колосьях (метелках,
бобах) в межвалковом пространстве накладывают рамки длиной 2 м, шириной, равной
расстоянию между внутренними краями смежных валков. Для определения потерь
свободным зерном под валком часть валка осторожно приподнимают и убирают, а на
его место накладывают рамку длиной 0,15 м, шириной, равной ширине валка плюс
0,5 м с обеих сторон валка. В пределах рамок зерно собирают и взвешивают с
погрешностью ± 0,1 г. Результаты записывают в форму Б.8.
Массовую долю потерь зерна в срезанных колосьях (метелках,
бобах) за валковой жаткой Δqс. к. в, %, вычисляют по формуле
где qс. к. в - потери зерна в срезанных колосьях
за валковой жаткой, г;′1 - площадь рамки для учета потерь
зерна в срезанных колосьях за валковой жаткой, м2.
Массовую долю потерь свободным зерном под валком за валковой
жаткой Δ q с. з. в., %, вычисляют по формуле
где qс. p. в - потери свободным зерном под валком
за валковой жаткой, г;′2 - площадь рамки для учета потерь
свободным зерном под валком за валковой жаткой, м2;3 - площадь рамки
для учета потерь свободным зерном в межвалковом пространстве за валковой
жаткой, м2.
При испытаниях подборщика под молотилку комбайна подвязывают
брезент. На основании рабочих ведомостей составляют ведомость исходных данных
результатов испытаний подборщика по форме В.2 которую передают для обработки на
ЭВМ. Оказатели качества выполнения технологического процесса подборщиком после
обработки записывают в форму А.4
При определении показателей качества работы молотилки
комбайна, а выбранном участке поля делают прокосы. Отступив от края поля не
менее 50 м, размечают делянки для отбора проб. Длина делянки для всех зерновых
колосовых культур должна быть не менее 40 м, для риса - не менее 30 м. При
двухфазном способе уборки на участке под контролем агронома должны быть
заложены валки серийной валковой жаткой на оптимальной рабочей скорости. Перед
отбором проб комбайн должен быть настроен на оптимальный режим применительно к
условиям испытаний и оборудован устройствами (пробоотборниками) для сбора проб
соломы и половы раздельно. Окончательно установленные параметры режима
записывают в журнал испытаний. Пробоотборники для отбора проб соломы и половы
могут быть различной конструкции, но они должны обеспечивать выполнение
следующих требований:
учетные делянки комбайн должен проходить без остановок;
отбор проб соломы и половы от молотилки комбайна должен
обеспечиваться как раздельно, так и совместно;
пробы должны отбираться в установившемся режиме загрузки
молотилки, без нарушения технологического процесса работы комбайна, воздушного
режима очистки, схода соломы с соломотряса, кинематического режима.
Во время отбора проб комбайн должен работать с максимальной
шириной захвата жатки. При сравнительных испытаниях все комбайны должны быть
отрегулированы на одинаковую высоту среза.
Показатели качества выполнения технологического процесса
молотилкой комбайна определяют на трех скоростях движения комбайна,
обеспечивающих подачу растительной массы:
расчетную, соответствующую ТЗ (ТУ);
% - 80 % от расчетной;
% - 130 % от расчетной.
На каждом режиме пробы отбирают не менее чем в трехкратной
повторности. В случае, если на подаче 120 % - 130 % от расчетной, потери зерна
за молотилкой комбайна получены менее 1,5 %, дополнительно проводят отбор проб
на подаче более 130 % от расчетной, при которой потери зерна составят 1,5 % или
более этого значения. В каждом опыте определяют: урожайность зерна,
соломистость вороха; влажность зерна; влажность соломы; массу 1000 зерен. Во
время каждой повторности от комбайна отбирают следующие продукты обмолота для
анализа: зерно из бункера, солому, полову, зерно, просыпавшееся на почву из-за
недостаточного уплотнения молотилки. Для отбора проб на выходе соломы и половы
из комбайна устанавливают пробоотборники. В момент начала поступления
растительной массы на жатку комбайна включают секундомер. После входа комбайна
в установившийся режим включают в работу пробоотборник. В конце учетной делянки
комбайн останавливают, выключают секундомер и промолачивают оставшуюся в
комбайне массу в течение 30 с. После остановки молотилки снимают пробоотборник
и выгружают зерно из бункера. При выгрузке зерна отбирают средний образец
массой от 2,0 до 2,5 кг для анализа, а также отбирают пробы соломы, половы и
зерна для определения влажности. Солому, полову и зерно, собранные с учетной
делянки, взвешивают с погрешностью не более 1 %. Результаты записывают в формы
Б.9, Б.10. Фактическую подачу Qф, кг/с, и приведенную QП,
кг/с, вычисляют по формуле:
Для выделения потерь зерна пробы соломы и половы обрабатывают
на лабораторной молотилке. При этом солому и полову необходимо подавать
равномерно. Выделенное свободное зерно и зерно из вымолоченных колосков
(метелок) очищают от мелких примесей и взвешивают с погрешностью ± 1 г.
Результаты записывают в форму Б.11. В процессе обработки проб необходимо
тарировать лабораторную молотилку, для чего при обработке трех проб, отобранных
на расчетном режиме загрузки любого из испытуемых комбайнов, ее устанавливают
на брезент. После первой обработки всю соломистую массу (солому и полову) собирают
и обрабатывают повторно. Зерно, выделенное при первом и повторном обмолоте,
очищают и раздельно взвешивают с погрешностью ± 1 г. Результат записывают в
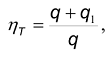
форму Б.12. Коэффициент тарировки лабораторной молотилки ηТ в относительных единицах вычисляют по формуле:
где q - масса потерь зерна при первом обмолоте пробы
лабораторной молотилкой, г;1 - масса потерь зерна при повторном
обмолоте пробы лабораторной молотилкой, г.
Вычисления проводят с округлением до первого десятичного
знака. Потери зерна из-за недостаточного уплотнения молотилки комбайна
определяют в трех повторностях на одном из режимов. При этом под комбайн (на
стыке наклонной камеры с молотилкой, под молотилкой) подвязывают брезент. В
конце опыта зерно, просыпавшееся на брезент, собирают в сумочку и взвешивают с
погрешностью ± 1 г. Результаты записывают в форму Б.8 и ведомость формы В.3.
Потери зерна распылом определяют только на уборке пшеницы из расчета 10 %
дробленого зерна, полученного при анализе зерна из бункера комбайна и относят
их к суммарным потерям за молотилкой комбайна.
Потери зерна за молотилкой комбайна (соломотрясом, очисткой)
qм, г, вычисляют по формуле
где qн. с - потери зерна недомолотом в соломе, г;н.
п - потери зерна недомолотом в полове, г;с. с - потери
свободным зерном в соломе, г;с. п - потери свободным зерном в
полове, г.
Массовую долю потерь зерна недомолотом в соломе Δqн. с, %, вычисляют по формуле:
Массовую долю потерь зерна недомолотом в полове Δqн. п, %, вычисляют по формуле:
Массовую долю потерь свободным зерном в соломе Δqс. с, %, вычисляют по формуле:
Массовую долю потерь свободным зерном в полове Δqс. п, %, вычисляют по формуле:

где ДДР - массовая доля дробленого зерна, %
(согласно форме Б.13,);
КР - коэффициент распыла, равный 0,1.
Массовую долю потерь зерна из-за недостаточного уплотнения
молотилки комбайна Δqуп, %, вычисляют по
формуле:
где qуп - потери зерна из-за недостаточного
уплотнения молотилки комбайна, г.
Суммарные потери зерна за молотилкой Δqм, %, вычисляют по формуле:
Урожайность зерна на учетной делянке при испытаниях молотилки
комбайна Уз. м, т/га, вычисляют по формуле:
Вычисления проводят с округлением:
урожайности зерна - до второго десятичного знака;
потерь зерна - до второго десятичного знака.
Для анализа бункерного зерна из среднего образца выделяют две
навески по ГОСТ 13586.3 Анализ проводят по ГОСТ 30483. Навески разбирают на
следующие фракции: основное зерно, зерновую примесь (дробленое зерно, зерно в
колосках и пленках, обрушенное зерно (для пленчатых культур)), сорную примесь.
При анализе навески щуплое зерно и зерно других зерновых культур относят к
основному, а все битые, независимо от величины отбитой части, относят к
дробленому зерну. К обрушенному зерну относят зерно, потерявшее полностью или
частично оболочку. Зерно в колосках и пленках очищают, отход относят к сорной примеси,
а зерно - к зерновой примеси. К сорной примеси относят органические и
минеральные примеси, семена сорняков. Каждую фракцию взвешивают с погрешностью
± 0,1 г, результаты записывают в форму Б.13. Массовую долю дробленого
(обрушенного) зерна ДДР, %, вычисляют по формуле:
где qДР - масса дробленого (обрушенного) зерна, г;ц
- масса основного зерна, г;к. п - масса зерна в колосках и пленках,
г.
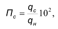
Содержание сорной примеси Пс, %, вычисляют по
формуле:
где qс - масса сорной примеси, г;н -
масса навески, г.
Заключение
В работе были рассмотрены подготовка к испытаниям,
существующие виды оценок зерноуборочных комбайнов. Так же была описана методика
определения характеристик убираемой культуры, валка и поля и раскрыт вопрос
определения агротехнических показателей при лабораторно-полевых испытаниях
В процессе проведения работы были изучены различные
технические нормативные - правовые акты, перечень которых приведен ниже в
разделе "Список использованных источников".
Список
использованных источников
1. ГОСТ
7.32 Система стандартов по информации, библиотечному и издательскому делу.
Отчет о научно-исследовательской работе. Структура и правила оформления.
2. ГОСТ
28301 Комбайны зерноуборочные. Методы испытаний.
. ТКП
196 Сельскохозяйственная техника. Комбайны зерноуборочные. Методы испытаний.