Виды тепловых машин
Виды тепловых машин
1. Тепловые машины
двигатель сгорание тепловой
С давних времён человек хотел
освободиться от физических усилий или облегчить их при перемещении чего-либо,
располагать большей силой, быстротой.
Создавались сказания о коврах
самолётах, семимильных сапогах и волшебниках, переносящих человека за тридевять
земель мановением жезла. Таская тяжести, люди изобрели тележки, ведь катить
легче. Потом они приспособили животных - волов, оленей, собак, больше всего
лошадей. Так появились повозки, экипажи. В экипажах люди стремились к комфорту,
всё более совершенствуя их
В современной технике механическую
энергию получают главным образом за счет внутренней энергии топлива.
Устройства, в которых происходит преобразование внутренней энергии в
механическую, называют тепловыми двигателями.
Обязательными частями тепловой
машины являются нагреватель (источник энергии), холодильник, рабочее тело (газ,
пар).
Для совершения работы за счет
сжигания топлива в устройстве, называемом нагревателем, можно воспользоваться
цилиндром, в котором нагревается и расширяется газ и перемещает поршень. Газ,
расширение которого вызывает перемещение поршня, называют рабочим телом.
Расширяется же газ потому, что его давление выше внешнего давления. Но при
расширении газа его давление падает, и рано или поздно оно станет равным
внешнему давлению. Тогда расширение газа закончится, и он перестанет совершать
работу.
Для того чтобы двигатель работал
непрерывно, необходимо, чтобы поршень после расширения газа возвращался каждый
раз в исходное положение, сжимая газ до первоначального состояния. Сжатие же
газа может происходить только под действием внешней силы, которая при этом
совершает работу (сила давления газа в этом случае совершает отрицательную
работу). После этого вновь могут происходить процессы расширения и сжатия газа.
Значит, работа теплового двигателя должна состоять из периодически
повторяющихся процессов (циклов) расширения и сжатия. Вернуться в исходное
состояние можно с меньшими затратами, если отдать часть тепла. Или если
охладить пар, то его легче сжать, следовательно, работа сжатия будет меньше
работы расширения. Поэтому в тепловых машинах используется холодильник.
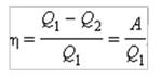
Рабочее тело, получая некоторое
количество теплоты Q1 от нагревателя, часть этого количества теплоты, по модулю
равную |Q2|, отдает холодильнику. Поэтому совершаемая работа не может быть
больше A = Q1 - |Q2|. Отношение этой работы к количеству теплоты, полученному
расширяющимся газом от нагревателя, называется коэффициентом полезного действия
тепловой машины:
Коэффициент полезного действия
тепловой машины, работающей по замкнутому циклу, всегда меньше единицы. Задача
теплоэнергетики состоит в том, чтобы сделать КПД как можно более высоким, т.е.
использовать для получения работы как можно большую часть теплоты, полученной
от нагревателя. В данном реферате пойдет речь о четырех видах тепловых машин:
паровая машина, двигатель внешнего сгорания, двигатель внутреннего сгорания,
дизельный ДВС.
2. Паровая машина
Паровые двигатели были установлены и
приводили в движение большую часть паровозов в период начала 1800 и вплоть до
1950 годов прошлого века. Принцип работы этих двигателей всегда оставался
неизменным, несмотря на изменение их конструкции и габаритов.
Первый такт
Пар из котла поступает в паровую
камеру, из которой через паровую задвижку-клапан попадает в верхнюю (переднюю)
часть цилиндра. Давление, создаваемое паром, толкает поршень влево. Во время
движения поршня от правой стенки к левой колесо делает пол оборота.
Выпуск
В самом конце движения поршня к
левой стенке паровой клапан смещается, выпуская остатки пара через выпускное
окно, расположенное ниже клапана. Остатки пара вырываются наружу, создавая
характерный для работы паровых двигателей звук.
В то же самое время, смещение
клапана на выпуск остатков пара открывает вход пара в нижнюю (заднюю) часть
цилиндра. Созданное паром в цилиндре давление заставляет поршень двигаться к
правой стенке. В это время колесо делает еще пол оборота.
Выпуск
В конце движения поршня к ВМТ
остатки пара освобождаются через все то же выпускное окно. Цикл повторяется
заново.
Первые практически действующие
универсальные паровые машины были созданы русским изобретателем Иваном Ивановичем
Ползуновым (в 1766 г.) и англичанином Джемсом Уаттом (в 1784 г.).
Главным недостатком первых паровых
машин был низкий КПД. У паровозов КПД не превышал 9%.
Значительного повышения КПД удалось
достигнуть в результате изобретения паровой турбины.
Первая паровая турбина, нашедшая
практическое применение, была изготовлена шведским инженером Густавом Лавалем в
1889 г. Для работы паровой турбины за счет энергии, освобождаемой при сжигании
каменного угля или мазута, вода в котле нагревается и превращается в пар. Пар
нагревается до температуры более 500°С и при высоком давлении выпускается из
котла через сопло. При выходе пара внутренняя энергия нагретого пара
преобразуется в кинетическую энергию струи пара. Скорость струи пара может
достигнуть 1000 м/с. Струя пара направляется на лопатки турбины и приводит
турбину во вращение. На одном валу с турбиной находится ротор электрического
генератора. Таким образом энергия топлива в конечном счете преобразуется в
электрическую энергию.
Современные паровые турбины обладают
высоким КПД преобразования кинетической энергии струи пара в механическую
энергию, превышающим 90%. Поэтому электрические генераторы практически всех
тепловых и атомных электростанций мира, дающие более 80% всей вырабатываемой
электроэнергии, приводятся в действие паровыми турбинами.
3. Двигатели внешнего
сгорания
Двигатели внешнего сгорания - класс
двигателей, где источник тепла или процесс сгорания топлива отделены от
рабочего тела. Самой известной разновидностью является двигатель Стирлинга.
Двигатель Стирлинга - тепловая
машина, в которой рабочее тело, в виде газа или жидкости, движется в замкнутом
объёме. Основан на периодическом нагреве и охлаждении рабочего тела с
извлечением энергии из возникающего при этом изменения объёма рабочего тела. Может
работать не только от сжигания топлива, но и от любого источника тепла.
Двигатель Стирлинга был впервые
запатентован шотландским священником Робертом Стирлингом 27 сентября 1816 года.
В 1843 году Стирлинг использовал этот двигатель на заводе, где он в то время
работал инженером. В 1938 году фирма «Филипс» инвестировала в двигатель
Стирлинга мощностью более двухсот лошадиных сил и отдачей более 30%. Этот
двигатель имеет много преимуществ и был широко распространён в эпоху паровых
машин.
Цикл Стирлинга состоит из четырёх
фаз и разделён двумя переходными фазами: нагрев, расширение, переход к
источнику холода, охлаждение, сжатие и переход к источнику тепла. Таким
образом, при переходе от тёплого источника к холодному источнику происходит
расширение и сжатие газа, находящегося в цилиндре. При этом изменяется
давление, за счёт чего можно получить полезную работу.
Фазы:
. Внешний источник тепла
нагревает газ в нижней части теплообменного цилиндра. Создаваемое давление
толкает рабочий поршень вверх (обратите внимание, что вытеснительный поршень
неплотно прилегает к стенкам).
. Маховик толкает
вытеснительный поршень вниз, тем самым перемещая разогретый воздух из нижней
части в охлаждающую камеру.

. Вытеснительный поршень
поднимается вверх, тем самым перемещая охлаждённый воздух в нижнюю часть. И
цикл повторяется.
Разновидности циклов:
Альфа-Стирлинг - содержит два
раздельных силовых поршня в раздельных цилиндрах, один - горячий, другой -
холодный. Цилиндр с горячим поршнем находится в теплообменнике с более высокой
температурой, с холодным - в более холодном. У данного вида двигателя отношение
мощности к объёму достаточно велико, но, к сожалению, высокая температура
«горячего» поршня создаёт определённые технические трудности.
Бета-Стирлинг - цилиндр всего один,
горячий с одного конца и холодный с другого. Внутри цилиндра движутся поршень
(с которого снимается мощность) и вытеснитель, изменяющий объём горячей
полости. Газ перекачивается из холодной части цилиндра в горячую через
регенератор.
Гамма-Стирлинг - тоже есть поршень и
вытеснитель, но при этом два цилиндра - один холодный (там движется поршень, с
которого снимается мощность), а второй горячий с одного конца и холодный с
другого (там движется вытеснитель).
Двигатель Стирлинга применим в
случаях, когда необходим небольшой преобразователь тепловой энергии, простой по
устройству, либо когда эффективность других тепловых двигателей оказывается
ниже: например, если разницы температур недостаточно для работы паровой или
газовой турбины.
4. Двигатель внутреннего
сгорания
Проект первого двигателя внутреннего
сгорания (ДВС) принадлежит известному изобретателю часового анкера Христиану
Гюйгенсу и предложен ещё в XVII веке. Интересно, что в качестве топлива
предполагалось использовать порох, а сама идея была подсказана артиллерийским орудием.
Все попытки Дениса Папена построить машину на таком принципе, успехом не
увенчались. Исторически первый работающий двигатель внутреннего сгорания -
двигатель, запатентованный в 1859 г. бельгийским изобретателем Жаном Жозефом
Этьеном Ленуаром. У двигателя Ленуара низкий термический КПД, кроме того, по
сравнению с другими поршневыми двигателями внутреннего сгорания у него была
крайне низкая мощность.
В 1862 г. французский изобретатель
Бо де Роша предложил использовать в двигателе внутреннего сгорания
четырехтактный цикл: 1) всасывание; 2) сжатие; 3) горение и расширение; 4)
выхлоп. Эта идея была использована немецким изобретателем Н. Отто, построившим
в 1878 г. первый четырехтактный газовый двигатель внутреннего сгорания. КПД
этого двигателя достигал 22%, что превосходило значения, полученные при
использовании двигателей всех предшествующих типов.
Основной частью двигателя
внутреннего сгорания является один или несколько цилиндров, внутри которых
производится сжигание топлива. Внутри цилиндра передвигается поршень. Поршень
снабжен металлическим стержнем, служащим для соединения поршня с шатуном. Шатун
в свою очередь служит для передачи движения от поршня коленчатому валу. Верхняя
часть цилиндра сообщается с двумя каналами, закрытыми клапанами. Через один из
каналов - впускной подается горючая смесь, через другой - выпускной
выбрасываются продукты сгорания. Кроме клапанов, в верхней части цилиндра
помещается так называемая свеча. Это - приспособление для зажигания смеси
посредством электрической искры. Весьма важной частью бензинового двигателя
является прибор для получения горючей смеси - карбюратор.
Работа двигателя состоит из четырех
тактов:такт - всасывание. Открывается впускной клапан, и поршень, двигаясь
вниз, засасывает в цилиндр горючую смесь из карбюратора. Этот процесс
происходит при постоянном давлении.такт - сжатие. Впускной клапан закрывается,
и поршень, двигаясь вверх, сжимает горючую смесь. Сжатие происходит быстро, и
поэтому процесс близок к адиабатическому. Смесь при сжатии нагревается (АВ).такт
- сгорание. Когда поршень достигает верхнего положения, смесь поджигается
электрической искрой, даваемой свечой. Быстрое сгорание паров бензина
сопровождается передачей рабочему телу - воздуху - количества тепла, резким
возрастанием температуры, давления воздуха и продуктов сгорания. За короткое
время горения смеси поршень практически не изменяет своего положения в
цилиндре, поэтому процесс нагревания газа в цилиндре можно считать
изохорическим (ВС). Сила давления газов - раскаленных продуктов сгорания
горючей смеси - толкает поршень вниз. Движение поршня передается коленчатому
валу, и этим производится полезная работа. Производя работу и расширяясь,
продукты сгорания охлаждаются и давление их падает. К концу рабочего хода
давление в цилиндре падает почти до атмосферного (СD).такт - выпуск (выхлоп).
Открывается выпускной клапан, и отработанные продукты горения выбрасываются
сквозь глушитель в атмосферу.
Из четырех тактов двигателя только
один, третий, является рабочим. Ввиду этого одноцилиндровый двигатель должен
быть снабжен массивным маховиком, за счет кинетической энергии которого
двигатель движется в течение остальных тактов. Одноцилиндровые двигатели
ставятся главным образом на мотоциклах. На автомобилях, тракторах и т.п. с
целью получения более равномерной работы двигателя ставятся четыре, шесть и
более цилиндров, установленных на общем валу так, что при каждом такте по
крайней мере один из цилиндров работает. На практике КПД двигателей внутреннего
сгорания равен обычно 20-30%.
Двигатель Дизеля
Для дальнейшего повышения КПД
двигателя внутреннего сгорания в 1892 г. немецкий инженер Рудольф Дизель
предложил использовать еще большие степени сжатия рабочего тела.
Высокая степень сжатия без детонации
достигается в двигателе Дизеля за счет того, что сжатию подвергается не горючая
смесь, а только воздух. По окончании процесса сжатия в цилиндр впрыскивается
горючее. Для его зажигания не требуется никакого специального устройства, так
как при высокой степени адиабатического сжатия воздуха его температура
повышается до 600 - 700°С. Горючее, впрыскиваемое с помощью топливного насоса
через форсунку, воспламеняется при соприкосновении с раскаленным воздухом.
Подача топлива управляется особым
регулятором, в результате чего процесс горения протекает не столь
кратковременно, как в карбюраторном двигателе, а происходит изобарно, а затем
адиабатно. При обратном движении поршня осуществляется выхлоп.
Кроме вышеописанного четырёхтактного
цикла, возможно использование двухтактного цикла.
Современные дизели имеют КПД около
40%.
Дизельные двигатели применяются для
привода стационарных силовых установок, на рельсовых (тепловозы, дизелевозы,
дизель-поезда, автодрезины) и безрельсовых (автомобили, автобусы, грузовики)
транспортных средствах, самоходных машинах и механизмах (тракторы, комбайны,
асфальтовые катки, скреперы и т.д.), а также в судостроении в качестве главных
и вспомогательных двигателей. 23 августа 2006 года на просторах высохшего озера
Бонневиль (Bonneville) прототип JCB Dieselmax под управлением пилота Энди Грина
установил новый мировой рекорд скорости для дизельных автомобилей - 563,418
км/ч.
Заключение
Тепловые двигатели - необходимый
атрибут современной цивилизации. С их помощью вырабатывается около 80%
электроэнергии. Без тепловых двигателей невозможно представить современный
транспорт. В тоже время повсеместное использование тепловых двигателей связано
с отрицательным воздействием на окружающую среду. В связи с этим весьма важной
стала проблема охраны природы. Для охраны окружающей среды необходимо
обеспечить эффективную очистку выбрасываемых в атмосферу отработанных газов,
использование качественного топлива, создание условий для более полного его
сгорания, повышение КПД тепловых двигателей за счет уменьшения потерь на трение
и полного сгорания топлива и др.