Характеристика сучасних електронно-променевих установок

  • Вид работы:
    Дипломная (ВКР)
  • Предмет:
    Информатика, ВТ, телекоммуникации
  • Язык:
    Украинский
    ,
    Формат файла:
    MS Word
    1,84 Мб
  • Опубликовано:
    2015-06-17
Вы можете узнать стоимость помощи в написании студенческой работы.
Помощь в написании работы, которую точно примут!

Характеристика сучасних електронно-променевих установок

ВСТУП


В останні десятиліття набули важливе значення електронні методи обробки матеріалів і виробів, основані на технологічному застосуванні потоків заряджених часток, що пов'язано з розширеним використанням матеріалів зі спеціальними фізико-механічними властивостями і підвищеними вимогами до якості виготовлення машин та апаратів. Особливо широке застосування отримали процеси, в основі яких лежить використання прискорених потоків електронів, що генеруються електронними гарматами. Електронно-променевий нагрів у вакуумі відрізняється високою питомою потужністю, універсальністю, великим ККД і забезпечує проведення технологічних операцій, виконання яких за допомогою інших видів нагріву ускладнено або неможливо.

Сфера застосування електронно-променевих технологій сьогодні охоплює різні галузі, від мікроелектроніки і приладобудування до важкого машинобудування. При цьому, поряд із вдосконаленням конструкцій електронно-променевого устаткування і поліпшенням його технологічних характеристик, спостерігається швидке зростання потужності, що стимулюється такими технологічними процесами, як плавка металів, відпалювання і покриття металевих стрічок, та іншими процесами. Подальший розвиток електронно-променевих методів обробки вимагає розробки надійного, достатньо довговічного і відносно недорогого електронно-променевого устаткування, що пов'язано, насамперед, зі створенням джерел електронів, які відповідають таким вимогам.

Ефективним є застосування ГРЕГ ВТР з анодною плазмою для нанесення покриттів складного складу в реактивному середовищі, яке має переваги перед термокатодними випаровувачами, основною з яких є можливість роботи в різних газових середовищах при середньому вакуумі та часткова іонізація робочих газів, потрапляющих в технологічну камеру через гармату, що в деяких випадках не потребує іонізації додатковим розрядом. Застосування ефективної розв’язки по тиску гармати та технологічної камери дозволяє застосовувати ГРЕГ для напилення плівок металів.

Важливою умовою нормальної роботи ГРЕГ є забезпечення необхідного тиску газу в гарматі та його стабілізація на заданому рівні. Тиск впливає на струм розряду, а також може впливати на геометричні параметри електронного пучка, що пов’язано з змінами конфігурації та напруженості поля в при катодному просторі та процесами зіткнень частинок в газі.

На струм розряду суттєвий вплив можуть виявляти зміни емісійних властивостей катоду в часі під дією іонного бомбардування та процесів в зоні дії електронного пучка. Цей вплив може компенсуватися відповідною зміною тиску або зміною концентрації анодної плазми ВТР з допомогою допоміжного розряду.

Стабілізацію та керування потужністю пучка доцільно виконувати керуючи струмом розряду ГРЕГ при сталій напрузі живлення. При цьому керування струмом можна здійснювати регулюванням тиску в гарматі. Зараз відомі системи автоматичного регулювання тиску в технологічних камерах вакуумних установок або струму розряду технологічних газорозрядних джерел заряджених частинок шляхом напуску газу в вакуумну камеру при безперервній її відкачці, а також виконуючі пристрої, які використовуються або можуть використовуватись в таких.

Втім застосування таких пристроїв для керуванням струмом ГРЕГ в більшості випадків неможливо, оскільки потрібні спеціальні системи керування, що будуть забезпечувати необхідні характеристики керування.

Рішення таких задач може бути досягнуто розробкою систем мікроконтроллерного керування струмом ГРЕГ зміною тиску безпосередньо під конкретне електронно-променеве обладнання з заданими газодинамічними характеристиками та з врахуванням вимог технологічних процесів, що проводяться на цьому обладнанні, до стабільності та керованості параметрів ГРЕГ.

1. РОЗГЛЯД ЕЛЕКТРОННО-ПРОМЕНЕВИХ УСТАНОВОК ТА ФІЗИЧНИХ ОСНОВ РОБОТИ ЕЛЕКТРОННИХ ГАРМАТ ВТР

 

1.1 Загальна характеристика сучасних електронно-променевих установок

 

Сьогодні електронно-променеві технології знаходять широке впровадження у різних галузях промисловості, зокрема у електроніці, включаючи мікроелектроніку та наноелектроніку, приладобудуванні, машинобудуванні, у металургії тощо [1, 2]. Це пов’язано із такими важливими перевагами електронного променя як технологічного інструмента, як висока загальна та питома потужність, простота електричного та магнітного керування потужністю електронного променя та положенням його фокуса у просторі, високий коефіцієнт корисної дії електронних гармат, а також проведення технологічних операцій у вакуумі, що забезпечує високу частоту отримуваних матеріалів та якість виробів. Зокрема, потужність електронного пучка в фокусі може досягати 108 - 109 Вт/см2, більшу питому потужність можна отримати тільки у лазерному промені [1, 2]. Ефективність та висока швидкість керування потоками заряджених часток дозволяє забезпечити високу продуктивність електронно-променевих технологічних процесів. Вказані переваги зазвичай дають можливість проводити складні технологічні операції, виконання яких з використанням традиційних засобів обробки речовин є досить ускладненим або взагалі неможливим. Сьогодні зацікавленість у вивченні нових електронно-променевих технологічних процесів стає ще більшою, що пов’язано із розвитком найсучасніших нанотехнологій.

Технологічні операції, які здійснюються з використанням електронно-променевих тех-нологій, розділяють за методами дії електронного променя на речовину, при цьому загальним для цих методів є характер процесів, які протікають у твердому тілі при його взаємодії з електронним променем. Розрізняють такі методи електронно-променевої обробки речовин та виробів.

. Методи електронно-променевого нагріву, основу яких складають теплові процеси, не пов’язані із фазовими переходами, зокрема: зварювання, паяння, відпалювання, очищення речовин від газової складової [1, 2].

. Методи електронно-променевого нагріву речовин, основу яких складають теплові процеси, що пов’язані із фазовими переходами, зокрема плавлення та випаровування, нанесення покриттів різної товщини та різного складу [1].

. Електронно-ерозійні методи, основу яких складає руйнування речовини та видалення її часток, за рахунок чого утворюються отвори, канали, опуклості тощо. Прикладами таких технологічних процесів є розмірна обробка металів та електронна літографія [1].

. Методи, в яких використовується радіаційна дія електронів на речовину, що викликає зміну побудови кристалів та виникнення дефектів у твердому тілі, зокрема прискорення дифузії, зміна фізичних властивостей поверхні [1].

. Методи, основані на хімічній дії електронного променя на речовину, яка у більшості випадків проявляється у стимулюванні процесів дисоціації складних хімічних сполук та у прискоренні процесів полімеризації, зокрема знегажування поверхонь, нанесення полімерних покриттів, електронна літографія [1].

Крім цього, електронний промінь при виконанні технологічних операцій використовується як засіб аналізу та контрольно-вимірювальний інструмент, який дозволяє підвищувати точність проведення відповідної технологічної операції, виявляти дефекти, контролювати параметри приладів у процесі їх виготовлення.

Враховуючи широкий спектр технологічних операцій, які здійснюються з використанням електронного променя, проводяться різноманітні наукові та інженерні дослідження, спрямовані на подальше вдосконалення джерел електронів та електронно-променевого технологічного обладнання. Сьогодні наукові дослідження у галузі електронно-променевих технологій зазвичай стосуються розв’язку наступних проблем.

. Збільшення потужності джерел електронів та їх коефіцієнта корисної дії.

. Підвищення надійності роботи та довговічності джерел електронів.

. Розробка нових технологічних процесів, для реалізації яких застосовуються електронно-променеві технології.

. Погодження параметрів джерел електронів із параметрами технологічного процесу, який здійснюється.

. Комплексна автоматизація технологічного електронно-променевого обладнання з використанням сучасних засобів інформаційної електроніки та комп’ютерної техніки, зокрема методів відеоспостереження та комп’ютерної обробки інформації.

Взагалі подальший бурхливий розвиток електронно-променевих технологій та поширення їх впровадження у виробництво потребує розробки новітнього надійного, достатньо довговічного та відносно дешевого електронно-променевого обладнання, і насамперед, надійних та недорогих джерел електронів, пристосованих до вимог відповідного технологічного процесу.

Основні параметри електронних пучків, які використовуються для найбільш поширених електронно-променевих технологічних процесів, наведені у таблиці 1, де Uпр - прискорюючи напруга, Іп - струм електронного пучка, dпо - діаметр пучка на об’єкті, який оброблюється, Р та Рпит - відповідно загальна та питома потужність електронного пучка.


Таблиця 1.1. Основні параметри електронних пучків

Технологічний процес

Uпр, кВ

Іп, А

dпо, мм

Р, Вт

Рпит, Вт/см2

Плавка

15-40

1-40

10-50

104-107

103-104

Зварювання

15-175

0,01-1

0,1-5

102-105

105-107

Випаровування

10-40

0,1-10

3-30

5∙102-5∙105

103-104

Розмірна обробка

20-150

0,001-0,01

0,005-0,1

10-103

105-109


На теперішній час в електронно-променевих технологіях широко використовуються термокатодні гармати, які досягли достатньо високого рівня розвитку [1, 2]. Серед них відрізняють короткофокусні електронні гармати, зокрема гармати Пірса, та довгофокусні гармати. Для формування електронного пучка застосовуються спеціальні конфігурації електродів, а фокусування пучка здійснюється з використанням електростатичних та магнітних лінз, при цьому використовуються відомі закони електронної оптики [1, 3].

Проте принциповим недоліком термокатодних гармат є висока робоча температура емітера, що приводить до необхідності створення в області формування і прискорення електронного пучка тиску нижче 10-2 Па, ускладнює конструкцію і підвищує її вартість, визначає малий термін служби катода, нестабільність роботи гармати при зміні тиску та складу газу, а також фокальних параметрів електронного пучка. Тому сьогодні, з метою поліпшення технічних характеристик джерел електронів, їх стабільності та надійності роботи, поряд з удосконаленням конструкцій традиційних термокатодних гармат, проводяться дослідження і розробки джерел електронів з холодними катодами і плазмових джерел електронів, які не мають основних недоліків, властивих термокатодним гарматам, і у багатьох випадках можуть замінити їх.

Для роботи в складних вакуумних умовах технологічних електронно-променевих установок перспективними є джерела електронів з холодним катодом, де для отримання достатньо потужних електронних пучків використовується високовольтний тліючий розряд (ВТР). Джерела електронів на основі ВТР можуть бути простими за конструкцією, і при цьому вони надійні і довговічні в роботі. Вони також забезпечують можливість отримання інтенсивних і потужних потоків різної форми, можуть стійко працювати в широкому діапазоні тиску в атмосфері різних газів і пари. Їх використання відкриває дуже широкі перспективи для впровадження електронно-променевих технологій у нових галузях промислового виробництва.

З урахуванням особливостей технологічних процесів термічної електронно-променевої обробки матеріалів і виробів існують вимоги до електронних гармат технологічного призначення, основними з яких є необхідність формування пучків заданої геометрії і розмірів, забезпечення необхідної загальної та питомої потужності пучка при заданій прискорювальній напрузі, забезпечення достатньо великої і стабільної густини струму емісії, забезпечення стійкої роботи катода в несприятливих умовах експлуатації, забезпечення необхідної компресії електронного пучка, мінімальне осідання струму на електроди гармати, забезпечення електричної міцності для заданої величини прискорювальної напруги. Крім того, в електронній гарматі має бути забезпечене досить гнучке керування вихідними параметрами електронного пучка. Гармата також має бути достатньо довговічною, простою і зручною в експлуатації.

 

1.2 Загальні характеристики електронно-променевого технологічного обладнання


Для виконання технологічних операцій з використанням електронного променя використовують різноманітні види електронно-променевого технологічного устаткування. Проте, незважаючи на різноманітність електронно-променевих установок, призначених для виконання різних технологічних операцій, можна виділити окремі елементи та блоки, які завжди входять до складу електронно-променевого технологічного обладнання. У загальному випадку електронно-променева установка містить наступні головні елементи [1, 2]:

. електронну гармату;

. технологічну камеру;

. систему відкачки;

. високовольтне джерело живлення;

. систему керування та контролю за роботою вузлів гармати та за процесом обробки виробів.

Розрізняють універсальні та спеціалізовані електронно-променеві технологічні установки. Універсальні установки не орієнтовані на виконання конкретної технологічної операції, у них передбачена можливість гнучкого керування параметрами електронного пучка та його просторовим розташуванням. Проте такі установки зазвичай мають низьку продуктивність.

Спеціалізовані електронно-променеві установки пристосовані для виконання конкретних технологічних операцій та для обробки певного виду виробів. Такі установки мають досить високу продуктивність за рахунок застосування завантажувальних пристроїв періодичної або неперервної дії та за рахунок автоматизації всього процесу обробки виробів.

Установка, яка досліджується містить технологічну вакуумну камеру, електронну гармату ВТР, систему відкачки, високовольтне джерело живлення гармати, та систему керування струмом гармати.

До складу спеціалізованих електронно-променевих технологічних установок обов’язково входить також система керування технологічним процесом та контролю його параметрів. Узагальнені структурні схеми промислового електронно-променевого технологічного обладнання наведені у монографіях [1, 2].

На панелі високовольтного джерела живлення розташовані вимикач напруги електричної мережі, вимикач високої напруги та регулятор високої напруги. На панелі вакуумної установки розташовані кнопки для включення насосів та переміщення вакуумних затворів.

Керування струмом електронної гармати ВТР здійснюється за допомогою мікроконтроллерної системи керування.

1.3 Фізичні основи роботи джерел електронів на основі високовольтного тліючого розряду

Високовольтний тліючий розряд запалюється між електродами у низькому та середньому вакуумі в діапазоні тиску одиниці Паскаль при прискорювальній напрузі одиниці-десятки кіловольт. На кривій Пашена умовам горіння ВТР відповідає ліва гілка. В діапазоні низьких тисків умови горіння ВТР обмежені вакуумним дуговим пробоєм, а у діапазоні високих тисків - лавинним дуговим пробоєм. У разі високих прискорювальних напруг, при яких запалюється ВТР, електрони отримають досить великі швидкості на малій відстані, тому ефективна іонзація атомів залишкового газу прискореними електронами не відбувається. Тому межування світлих та темних областей, яке зазвичай притаманне низьковольтним розрядам, у ВТР не спостерігається [4, 5, 6]. Згідно із фізикою горіння розряду можна чітко виділити дві головні області ВТР: область катодного падіння потенціалу та анодну плазму. Узагальнена схема електродної системи гармати ВТР, яка пояснює фізичні основи горіння розряду та процесу генерації електронного пучка, наведена на рис. 1.2.

Рис.1.2. Схема електродної системи електронної гармати ВТР.

- катод; 2 - анод; 3 - анодна плазма; 4 - область катодного падіння потенціалу.

вакуумний натікач тиск дозуючий

При запалюванні ВТР в анодній області розряду утворюється низькотемпературна плазма, яка при аналізі властивостей розряду має ряд важливих функцій. У загальному випадку анодна плазма ВТР розглядається як джерело іонів та як прозорий для електронів електрод з фіксованим потенціалом. Іони, які емітуються анодною плазмою, прискорюються електричним полем у напрямку до металевого катоду та спричиняють генерацію електронів з його поверхні як результат процесу вторинної іонно-електронної емісії. Як вже відмічалося, прискорені електрони не впливають суттєво на властивості ВТР, натомість велику роль у підтримці горіння розряду відіграють елементарні взаємодії заряджених та нейтральних часток, зокрема, резонансні перезарядження прискорених іонів на молекулах залишкового газу.

Для формування електронного пучка в електродних системах ВТР використовують спеціальні геометричні форми електродів, які забезпечують найкращу збіжність електронного потоку та стабільність його параметрів. Тому для вивчення властивостей електронних потоків, що формуються у ВТР, використовують закони електронної оптики інтенсивних потоків заряджених часток. Зазвичай для забезпечення найкращого фокусування поверхня катода виконується у вигляді сферичного сегмента, а порожнистий анод для забезпечення стабільності горіння розряду виготовляється циліндричним або конічним.

Під дією іонного бомбардування здійснюється нагрівання катоду, яке негативне впливає на його емісійні властивості. Тому у джерелах електронів ВТР середньої та великої потужності для забезпечення стабільності роботи катод зазвичай охолоджується водою. Як матеріал катоду зазвичай використовують алюміній, який завдяки оксидній плівці на поверхні має високий коефіцієнт вторинної іонно-електронної емісії.

Із описаних вище загальних основ фізики ВТР зрозуміло, що його вольт-амперні характеристики можна вивести через аналіз загальних законів електрофізики та законів руху самоузгоджених потоків часток у електричному полі. Проте при цьому слід враховувати низку складних та взаємопов’язаних фізичних ефектів, які є специфічними для ВТР. Зокрема, необхідно мати аналітичний опис закону вторинної іонно-електронної емісії, а також слід враховувати вплив резонансних перезаряджень іонів на параметри електронного потоку, який формується у ВТР.

1.4 Методика формування моделей макрорівня джерела електронів ВТР і дослідження їх вольт-амперних і енергетичних характеристик

Розглянемо методику апроксимації вольт-амперних характеристик високовольтного тліючого розряду, що представляють собою модель метарівня, яка використовується при аналізі роботи джерел електронів у складі електронно-променевого технологічного обладнання.

Основне завдання отримання апроксимаційних моделей джерел електронів ВТР полягає в наступному: на основі наявних експериментальних даних необхідно отримати апроксимаційні залежність струму розряду від прискорення напруги і від тиску газу в розрядній камері. Отримана функція апроксимації повинна давати найменшу похибку в відлікових точках відповідно до використовуваним рівнянням регресії, і адекватно відображати характер поведінки функції між точками відліку.

Спочатку запишемо функціональну залежність струму розряду Ip від прискорює напруги Uпр і тиску в розрядному проміжку р в загальному вигляді:

,       (1.1)


,        (1.2.)

де 0 - електрична стала, i(x) - густина заряду іонів, е(x) - густина заряду електронів.

Для визначення просторового заряду іонів необхідно знати їх швидкість, яка для фізичних умов існування ВТР визначається через співвідношення (1.2):

,                                           (1.3.)

де ξ - коефіцієнт електропереносу, pаО- приведений тиск у розрядному проміжку, QiOn - перетин резонансного перезарядження іонів на атомах залишкового газу.

Коефіцієнт електропереносу ξ пов’язаний з енергетичною ефективністю та коефіцієнтом розпилення катоду через співвідношення:

,                                                 (1.4)

де - коефіцієнт вторинної іонно-електронної емісії, який є функцією прискорювальної напруги; S - площа поверхні катода; Се - енергетична ефективність емісії холодного катода; Ср - енергетична ефективність розпилення холодного катода.

Враховуючи, що перетин перезарядження іонів пов’язаний з електричним полем у розрядному проміжку через співвідношення:

,                                         (1.5)

де , , a - емпіричні сталі, які залежать від роду газу, отримуємо із співвідношень (1.2 - 1.5) диференціальне рівняння відносно координати x, яке описує розподіл електричного поля у розрядному проміжку ВТР:

.                                       (1.6)

У співвідношенні (1.5) параметр  визначає напруженість електричного поля, при якій перетин перезарядження іонів є максимальним [7].

Рівняння (1.6) суттєво відрізняється співвідношень, які описують розподіл електричного поля у низьковольтному розряді в режимі високого тиску. Коефіцієнти k та n у співвідношенні (1.6) пов'язані із внутрішніми параметрами розряду та обчислюється через такі співвідношення:

, .                    (1.7)

Після дворазового інтегрування рівнянь (1.6) з урахуванням (1.7) при граничних умовах x = 0; E = Eк; U = 0 та x = dкп; E = 0; U = Uкп, одержуємо:

; ; ; ,       (1.8)

де  - довжина області катодного падіння потенціалу,  - напруга плазма-катод.

Тоді, з урахуванням (1.7), залежність густини струму розряду від напруги буде мати вигляд :

,                     (1.9)

де  - густина струму розряду. Коефіцієнт вторинної іонно-електронної емісії  визначається із напівемпіричного співвідношення виду:

,                                                             (1.10)

де Се та  - емпіричні коефіцієнти.

Згідно із співвідношеннями (1.9, 1.10), узагальнений вираз для вольт-амперної характеристики високовольтного тліючого розряду можна записати у вигляді:

(1.11)

де  - струм розряду,  - прискорювальна напруга,  - тиск у розрядному проміжку, ,  та  - емпіричні константи, які залежать від матеріалу катода та типа робочого газу, а також від геометрії розрядного проміжку.

Висновки: В даному розділі були розглянуто загальна характеристику сучасних електронно-променевих установок та технологічного обладнання. А також розглянуто газорозрядну електронну гармату з вивоковольним тліючим розрядом.

1.  

2. РОЗГЛЯД ІСНУЮЧИХ ТИПІВ НАТІКАЧІВ ТА СИСТЕМ МІКРОКОНТРОЛЕРНОГО КЕРУВАННЯ ДО НИХ

 

2.1 Натікачі


Основні вимоги до нтікачів достатньо добре сформульовані в наявній літературі [8]. Ці вимоги відносяться як до газодинамічних властивостей натікача, так і до його конструкції, а саме:

1. Мала швидкість знегаження всіх частин натікача.

2. Мале витікання при подачі газу. Це витікання може виникнути внаслідок невдалої конструкції, особливо механізму, що керує роботою натікача, наприклад, при використанні еластомiрів для герметизації сідла клапана та штоку від зовнінього тиску. Гума еластомірних прокладок також може виділяти гази та забруднювати вакуумну систему. Вельми важливою є цілковита ізоляція керуючого механізму від безспосередньо вакуумної частини натікача. Це за звичай досягається з допомогою мембран.

3. Можливість витримувати великі перепади тиску (1 бар і більше).

4. Висока провідність натікача в положенні "натікач відкрито". Це досить важливий параметр, але інколи його досить важко досягти, оскільки інші параметри можуть мати важливіше значення.

Наприклад:

5. Число вікривань-закривань натікача, тобто час надійної роботи натікача.

6. Допустима частота операцій відкривання-закривання натікача, тобото число таких операцій в одиницю часу.

7. Час відкривання та закривання.

8. Здатність витримувати високу температуру, радіацію, вібрацію.

9. Герметичність по відношенню до атмосферного тиску в одному або в обох напрямках.

10.Максимально допустимий перепад тисків.

11.Простота обслуговування.

12.Допустимий робочий діапазон тисків (Зазвичай від атмосферного до високого вакууму).

13.Легкість дозування газу (для натікачів імпульсної дії)

14.Доступність матеріалів, з яких виготавлюється натікач. В конструкції корпуса натікача зазвичай використовується алюміній (або сплави з нього) та нержавіюча сталь. Сталь також використовується також при виготовленні внутрішніх деталей. Для прокладок використовується резина, фторопласти, а також мідь ( в цільнометалічних натікачах).

Всі натікачі можна розділити на групи в залежності від конструктиіних особливостей, режиму роботи і т.і.

По режиму роботи натікачі розрізняють як ручні та автоматичні. Ручні натікачі керуються безпосередньо оператором, що само собою викликає значну інерційність. Такий натікач може бути прокалібрований з допомогою шкали з обертаючоюся ручкою керування натікачем для різних типів газів с тим, щоб оператор міг встановлювати з допомогою шкали певну величину потоку газу.

Автоматичні натікачі використовуються у випадку проведення тонких технологічних операцій, таких як, наприклад, реакціонний синтез, термоіонне осадження, розпилення окислів металлів і т.і., що потребують достатньо жорсткого дотримання величини заданого тиску в технологічній камері, а при необхідності використання газових сумішей парціального тиску газа-реагента. Автоматичні натікачі передбачають також можливість дистанційного керування процесом натікання газу.

З допомогою автоматичного натікача, зокрема, можна вельми точно підтримувати заданий тиск.

По принципу дії натікачі поділяються на дискретні (імпульсні) та аналогові.

В дискретних натікачах регулювання газового потоку відбувається періодичним відкриванням клапану з частотою керуючого сигналу, що подається на катушку електромагніту або на п’єзоелемент (вони служать приводом натікача). Такі натікачі стабільні в роботі, забезпечують ефективне керування. Але вони мають також і суттєві недоліки: пульсуюче надходження газу в вакуумну камеру, короткий строк служби запірного органа, недостатню швидкодію.

Аналогові натікачі забезпечують можливість плавного регулювання потоку газу у всьому діапазону тисків. Запорним органом зазвичай слугує голка з сідлом, а в натікачі з термоприводом - нагріваємий струмом провідник, що вміщений в газовому каналі натікача. Недоліками аналогових натікачів з сервоприводом та термоприводом є їх велика інерційність, натікачців на пьезокераміці - висока керуюча напруга та короткий срок служби в аналоговому режимі.

Автоматичні натікачі можна також класифікувати по конструкції приводу: натікачі з пьєзоприводом, натікачі з сервоприводом, натікачі з термоприводом, натікачі з електромагнітним приводом.

Натікачі можна також класифікувати по діапазону швидкості натікання газу. Кожен натікач з змінюємою швидкістю натікання має визначений діапазон (наприклад, 10-1 - 1000 мбар/сек). Всього ці діапазони різних натікачів, перекриваючись, займають 8 порядків величини.

Роглянемо натікач з електромагнітним приводом. Приклад такого натікача приведено на рис. 2.1. При подачі струму на обмотку катушки електромагніту 2 якор електромагніту 3, разом зі штоком починає коливатися, внаслідок дій прижимної сили пружини 1 та сили викликаною протіканням струму в обмотці катушки. Внаслідок цього натікач починає відкриватися і закриватися з частотою струму. Об’єм подаваємої порції газу залежить від частоти та амплітуди струму, що проходить через обмотку електромагніту.

Основним недоліком такого натікача є пульсація газового потоку.

Натікач з пьєзоприводом [9] забезпечує гарну швидкодію і дозволяє здійснювати імпульсний напуск газу. Конструкція натікача приведена на рис. 2.2. Принцип роботи наступний: на п’єзо перетворювач 9 подають змінну напругу з заданою частотою, внаслідок чого під дією змінного електричного струму, що підводиться до п’єзо перетворювача, останній змінює свої геометричні розміри в такт частоті. Шток починає коливатись під дією п’єзоелемента та штовхача 8. Таким чином здійснюється імпульсний напуск газу.

Натікачі з термоприводом. Конструкція такого натікача [10] приведена на рис. 2.3. В початковому стані газовий натікач закритий і за рахунок розташування ущільнюючої поверхні пружнього ущільнювача 7 під гострим кутом до осі отвору штуцера 2, кромка якого перпендикулярна до осі, ущільнююче зусилля розподілено нерівномірно по периметру ущільнювача. При подачі на дріт 9 через електровводи 4 керуючої напруги дріт 9 подовжується і пружина 5 віджимає пружній ущільнювач 7 від отвору 3. Оскільки переміщення малі, то можна сказати, що пружній ущільнювач переміщується параллельно осі отвору 3 штуцера 2. При цьому газовий натікач починає відкриватися. Забезпечується плавність регулювання як на начальному так і на послідуючому участку. При усунені керуючого струму з дроту 9 відбувається закриття натікача в зворотньому порядку. Використання описанного технічного рішення в конструктивному виконанні газового натікача дозволяє підвищити плавність регулювання величини газового потоку.

Натікач з сервоприводом. Конструкція даного натікача [10] базується на принципі дії парціального крану. Ротор і статор натікача мають де-яку кількість каналів, через які при обертанні ротору з визначеною швидкістю встановлюється газовий потік, якщо тиск на виході натікача залишається постійним.



Змінюючи швидкість обертання ротору, можна змінювати провідність натікача. Недоліками є пульсація газового потоку та значна інерційність натікача. Його перевага - великий діапазон швидкостей натікання газу.

2.2 Фізична модель розробленої системи автоматичного керування струмом газорозрядної електронної гармати


Перед побудовою математичної моделі системи автоматичного керування струмом ГРЕГ необхідно розробити її фізичну модель, яка наглядно відображає взаємодію основних елементів розроблюваної газодинамічної системи вакуумної установки та електронного регулятора, а лише після цього проводити математичний опис окремих ланок даної системи.

Фізична модель розробленої системи автоматичного керування представлена електрофізичною схемою на Рис. 2.4. Система складається з газорозрядної електронної гармати 1 з променепроводом 2, датчика струму гармати 3, електронного регулятора 4, натікача газу, який містить електромагнітний привід 5, дозуючий пристрій 6 і газову камеру 7, каналу для напуску газу 8, що з’єднує натікач з гарматою, вакуумної камери 9, вакуумопровода 10, що з’єднує вакуумну камеру з вакуумним насосом 11. Безперервне відкачування гармати відбувається через її променепровід. Датчиком струму гармати є низькоомний опір, включений послідовно в низьковольтну ділянку кола розряду.

У процесі роботи гармати сигнал з датчика струму розряду поступає в електронний блок керування, де порівнюється із заданою опорною напругою, встановленою залежно від необхідної величини струму розряду, посилюється ПІД-підсилювачем і підсилювачем потужності і поступає на натікач. Залежно від величини сигналу керуючої дії натікач змінює потік газу в гармату, що знаходиться під безперервним відкачуванням, встановлюючи тиск в ній таким, при якому струм розряду відповідає заданому.

При проектуванні систем автоматичного керування струмом ГРЕГ зміною тиску необхідно враховувати ряд істотних особливостей:

тиск в гарматі при зміні швидкості напуску газу встановлюється не відразу, а протягом деякого часу, тобто газодинамічні процеси в ГРЕГ інерційні; час встановлення заданого тиску визначається швидкістю дії вакуумного насоса, геометричними параметрами вакуумопроводів і вакуумних об'ємів у вакуумній системі установки, швидкістю напуску газу;

регульований потік газу поступає в розрядну камеру не миттєво, а через час τ, середній час переміщення молекул газу у напрямі потоку газу, залежний від геометрії вакуумопровода, шорсткості його поверхні та ін.;

при роботі пристрою напуску газу в більшості випадків хід клапана складає одиниці-десятки мікронів, тому при розробці конструкції таких пристроїв необхідно враховувати теплове лінійне розширення деталей конструкції;

інерційність приводу пристрою напуску газу повинна бути мінімальною і не перевищувати інерційність газодинамічних процесів в ГРЕГ;

привід пристрою напуску газу повинен працювати в аналоговому режимі, оскільки імпульсний режим роботи викликає пульсації струму гармати, а застосування демпфуючих пристроїв збільшує постійну часу регулювання системи керування.

Розробка систем автоматичного керування струмом ГРЕГ, пов'язана з значним об'ємом експериментальних досліджень, значно спрощується при математичному моделюванні газодинамічних процесів в ГРЕГ з системою відкачування і пристроєм напуску газу і дослідженні системи автоматичного керування, що розробляється, на ПЕОМ. Це дозволяє оптимізувати характеристики вакуумної системи проектованих електронно-променевих установок з ГРЕГ, визначати необхідні характеристики пристрою напуску газу, а також параметри електронного регулятора з подальшою їх оптимізацією на експериментальному макеті.

Рис. 2.4. Електро-вакуумна функціональна схема системи автоматичного керування струмом гармати:

- розрядна камера гармати; 2 - променепровід; 3 - датчик струму гармати; 4 - електронний регулятор; 5- електромагнітний привід; 6 - дозуючий пристрій натікача; 7 - газова камера натікача; 8 - канал напуску газу; 9 - вакуумна камера; 10 -вакуумопровід; 11 - вакуумний насос; 12 - електронний регулятор, 13 - оброблюваний зразок.

При складанні математичної моделі газодинамічна система гармати з системою відкачування розглядалася як система із зосередженими параметрами, в якій не враховувалися об'єми вакуумопроводів і газовиділення з їх поверхонь. Не враховувалися також потоки газів, які не мають помітного впливу на динаміку зміни тиску в ГРЕГ в процесі її роботи, такі як натікання газу в гармату і вакуумну камеру технологічної установки, сорбційні процеси на поверхні розрядної камери гармати і вакуумної камери установки та ін. Передбачалося, що відкачування вакуумної камери і газорозрядної гармати здійснюється вакуумним насосом, в якому швидкість дії значною мірою постійна в широкій області тиску, що характерно для найбільш широко застосованих в електронно-променевих установках дифузійних, ротаційних та інших насосів.

Математичну модель газодинамічної системи ГРЕГ можна представити системою диференціальних рівнянь, що описують динаміку приводу пристрою напуску газу і умови балансу газових потоків в розрядній камері гармати і вакуумній камері електронно-променевої установки.

 

2.3 Методика моделювання системи мікроконтролерного керування струмом газорозрядної гармати


В роботі [11] приведено аналіз процесу автоматичного керування струмом газорозрядної гармати за допомогою електромагнітного натікача та запропонована його математична модель та обрано ефективний спосіб її розв’язку.

Математичні модель системи автоматичного керування струмом ГРЕГ можна представити системою диференційних рівнянь, що описують динаміку привода пристрою напуску газу, залежність його газової провідності від амплітуди керуючого сигналу, та умови балансу газових потоків в розрядній камері гармати та в вакуумній камері електронно-променевої установки.

При складанні математичної моделі газодинамічна система гармати з системою відкачки розглядалась як система з зосередженими параметрами, в якій не враховувались об’єми вакуумопроводів та виділення газів з поверхонь. Не враховувались також потоки газів, які не виявляють суттєвого впливу на динаміку зміни тиску в ГРЕГ в процесі її роботи, такі як натікання газу в гармату та вакуумну камеру технологічної установки, сорбаційні процеси на поверхні розрядної камери гармати та вакуумної камери установки та інш. Передбачалось, що відкачування вакуумної камери та газорозрядної гармати здійснюється вакуумним насосом, швидкість дії якого в значній мірі постійна в широкій області тисків, що характерно для найбільш широко застосовуваних в електронно-променевих установках диффузійних, ротаційних та інших насосів.

Динаміка привода електромагнітного натікача описується рівнянням балансу напруг в колі живлення електромагніта та умовою рівноваги сил його механічної частини. які в малих відхиленням мають вид відповідно


де Rk, Lk ,iн,Uн - активний опір, індуктивність, струм та напруга в обмотці електромагніту натікача; mН - маса рухомої частини натікача; lН - координата, що визначає положення якора зі штоком відносно сідла клапана; FЭ - тягова сила електромагніта; FП - пружня сила пружини та FТ - сила тертя.

 


где Сэ - крутизна тяговоъ характеристики електромагніта; СП - коефіцієнт жорсткості пружини; СК - коефіцієнт сили тертя.

Дозуючий пристрій натікача являє собою клапан, пропускна здатність SД якого залежить від координати lН, що визначає положення штока відносно сідла клапана, SД=fН(lН) Ця функція залежить від геометрії дозуючого вузла натікача і для найбільш часто застосовуємих конструкцій може бути записана у вигляді


де А, В, k - постійні, що залежать від конструкції дозуючого клапана, рА - атмосферний тиск.

З врахуванням часу транспортного запізнення, обумовленого переміщенням молекул газу по каналу напуску газу, сумарна провідність Sk натікача та газового канала, з’єднуючого натікач з гарматою буде мати вигляд


Модель газодинамічної системи гармати з системою відкачки можна представити системою диференційних рівнянь, що описують умови баланса газових потоків в розрядній камері гармати та вакуумній камері електронно-променевої установки. Основними потоками, визначающими тиск в розрядний камері гармати, є регулює мий потік газу QГ, що надходить в ГРЕГ через натікач та вакуумопровід, з’єднуючий натікач з розрядною камерою гармати, і потік газу, що відкачується з гармати через променепровід QЛ. Рівняння баланса газових потоків в розрядній камері ГРЕГ можна записати у вигляді

,

де VП - об’єм розрядної камери гармати; PП - тиск газу в гарматі.

Регулюємий потік газа QГ визначається провідністю SГ та різницею тисків в натікачі pA і гарматі pП

,

Потік газу, відкачуємого з гармати через променепровід QЛ, визначається провідністю променепроводу та різницею тисків в гарматі та вакуумній камері електронно-променевої установки.

,

де SЛ - провідність променепроводу; РК - тиск в вакуумній камері електронно-променевої установки.

Основними потоками, що визначають тиск в вакуумній камері електронно-променевої установки в ГРЕГ, є потік газа, що надходить з гармати в вакуумну камеру QЛ, і потік газа, що відкачується з вакуумний камери вакуумним насосом Q0. Рівняння балансу газових потоків в вакуумній камері електронно-променевої установки можна записати у вигляді

,

де VК - об’єм вакуумної камери.

Потік газа, що відкачуються з вакуумної камери, пропорційний швидкості відкачки камери SOT та тиску в ній pK,

=SOT∙∙ pк

Швидкість відкачування камери визначається швидкодією вакуумного насоса Sн та провідністю вакуумопровода SВ, з’єднуючого вакуумну камеру та вакуумний насос,

.

Провідність SB визначається геометрією вакуумопровода, залежить від тиску в вакуумопроводі та може бути розрахована з допомогою рівнянь динаміки розрідженого газа.

Швидкодія вакуумного насоса, згідно [11], визначається по формулі


де SР та pМ - розрахункова швидкодія насоса та граничний тиск в насосі, параметри, які приводяться підприємством-виробником в технічному паспорті на насос.

Тоді вираз для визначення потоку відкачуваємого газу з вакуумної камери буде мати вигляд


Вихідним параметром об’єкта керування є струм розряду гармати Iп. Залежність струму від тиску в гарматі описується емпиричною формулою [7]

П = арПmUПn,

де а, m, n - постійні, що залежать від роду газу, матеріалу катоду, геометрії електродів, причому m вимірюється в межах 2 ÷ 4.

Математичну модель для ГРЕГ, як об’єкта, в якому стабілізується струм розряду шляхом зміни тиску в розрядному проміжку з допомогою автоматично керуємого електромагнітного натікача можна записати у вигляді


Вхідним параметром моделі є керуюча напруга на натікачі Uн, а вихідним - струм гармати IП.

Система рівнянь є нелінійною. Для попереднього анализу системи керування здійснювалась лінеаризація рівнянь в околицях робочої точки, прийнятого за базовий. Структурно лінеаризована система рівнянь представлена у вигляді, показаному на рис. 2.5, де передаточні функції ланок мають вигляд

 де

де


Рис.2.5. Структурна схема системи керування струмом ГРЕГ в замкнутому вигляді.

Отримана математична модель, що враховує основні потоки газів в ГРЕГ ВТР та системі її відкачки, дозволила розробити програмне забезпечення та моделювати процес газодинамічного керування на персональній ЭВМ при дослідженні та проектуванні систем автоматичного керування струмом ГРЕГ ВТР.

 

2.4 Розробка структурної схеми електронного блоку системи мікроконтролерного керування струмом гармати


Структурна схема системи мікроконтроллерного керування, показана на рис.2.6, складається з датчика струму гармати, аналого-цифрового перетворювача, мікроконтроллера, цифро-аналогового перетворювача, натікача газу.

В якості датчика струму електронних гармат у більшості випадків використовують низькоомний опір, який включають на низькопотенціальній ланці схеми системи високовольтного живлення гармати між позитивним полюсом джерела живлення та заземленим корпусом електронно-променевої установки.

Рис 2.6. Структурна схема системи мікроконтроллерного керування

Такий датчик є дешевим та простим у використанні. Проте має суттєві недоліки, основними з яких є наявність гальванічного зв’язку між схемою керування та корпусом установки, а також залежність опору датчика від його температури, що особливо характерно при застосуванні потужних гармат.

Більш ефективним є датчик струму гармати, який працює на ефекті Холла. Такий датчик встановлюють на високовольтній ділянці системи живлення поблизу електронної гармати. Датчик Холла гальванічно розв’язаний від джерела живлення, що значно знижує вплив нестабільностей в гарматі на роботу системи автоматичного керування її струмом. Проте датчик Холла має низький по амплітуді та слабкий по потужності вихідний сигнал, що потребує додаткового його підсилення та адаптації до мікроконтролера, що застосовується.

Мікроконтролер виконує функцію ПІД-регулятора в системі регулювання струму гармати. При цьому параметри налаштування регулятора визначаються шляхом комп’ютерного моделювання системи керування та задаються за допомогою персонального компютера. Оптимальне налаштування параметрів ПІД-регулятора здійснюється безпосередньо при роботі гармати на конкретній електронно-променевій установці з заданими газодинамічними характеристиками.

Одним з недоліків, що мають місце при роботі газорозрядної електронної гармати - це наявність дугових пробоїв в розрядному проміжку, тобто перехід високовольтного тліючого розряду в дуговий, коли струм розряду різко зростає, а напруга між катодом та анодом падає до десятків Вольт. При цьому джерело високовольтного живлення переходить в режим короткого замикання, що спричиняє спрацьовування пускозахисної апаратури, яка відключає високовольтне джерело від силової мережі, та обривається електрична дуга в гарматі. Внаслідок цього переривається технологічний процес, що знижує якість виробу, або призводить до його повної непридатності.

В розробленій системі керування мікроконтролер на момент пробою запам’ятовує амплітуду керуючого сигналу, що був перед пробоєм, і подає даний сигнал безперервно на натікач, підтримуючи тиск газу в гарматі сталим, який відповідає заданому струму гармати.

З виходу мікроконтролера сигнал керуючої дії поступає на цифро-аналоговий перетворювач, далі на обмежувач максимального струму натікача, після чого подається на котушку електромагнітного натікача.

Висновоки: В даному розділі були розглянуті існуючі види натікачів і їх особливості. Було приведено фізичну та математичну модель систем керування ГРЕГ, а також розроблена структурна схема електронного блоку системи керування ГРЕГ.

3. ВИБІР МІКРОКОНТРОЛЕРА ТА ОПИС ЙОГО ПРИНЦИПУ РОБОТИВ

 

3.1 Вибір мікроконтролера


В якості центрального обчислювального вузла прийнято рішення використовувати мікроконтролери виробництва компанії Atmel на базі ядра AVR, оскільки вони мають достатню швидкодію, про що зокрема свідчить наявність версії операційної системи реального часу FreeRTOS для цього ядра, багату периферію, економічні, виробник надає зручне та безкоштовне програмне забезпечення для розробки прошивки.


Рис.3.1. МК ATmega8 в корпусі PDIP-28

В табл.3.1. наведено основні параметри МК, подібних до ATmega8 для порівняльного аналізу.

Мікроконтролери STM, як видно з табл.1, споживають менший струм живлення, ніж мікроконтролери Atmel. Однак, оскільки пристрій, що розробляється, призначений для стаціонарного використання, питання енергоспоживання можна не брати до уваги.

Таблиця 3.1. Основні параметри мікроконтролерів

МК\Параметр

Максимальна частота тактування, fmax, МГц

Вбудований тактовий генератор

Максимальний струм живлення Iж, мА

Кількість каналів вводу-виводу

Кількість виводів

Типи корпусів

ATmega8

8

так

3,6

23

28

PDIP, QFN, TQFP

ATmega16

16

так

1,1

32

40

PDIP, QFN, TQFP

STM8AF6223

16

так

0,9

16

20

TSSOP

STM8AF6226

16

так

0,9

28

32

LQFP


Використання в пристрої МК STM8AF6223 є небажаним, оскільки всі його доступні канали вводу-виводу будуть зайняті під керування матрицею діодів, і не залишиться жодного доступного каналу для комунікації з зовнішніми пристроями.

МК ATmega16 і STM8AF6226 є досить подібними за своїми характеристиками, але їх використання в пристрої матиме надлишковий характер через велику кількість незадіяних каналів вводу-виводу. Велика кількість виводів, зокрема, означає більші габаритні розміри корпусів, що приведе до збільшення розмірів друкованої плати, що є небажаним.

Із зазначеного вище випливає, що МК ATmega8 є найбільш простим і найбільш компактним мікроконтролером із наведених для порівняння, і при цьому здатний забезпечити керування пристроєм. Слід також зазначити, що цей МК доступний в корпусі PDIP, який простіше використовувати для створення прототипу і його відладки.

 

3.2 Алгоритм оброблення вимірювальної інформації в мікроконтролері


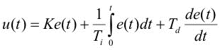
Мікроконтроллер працює як ПІД-регулятор, що має передавальну функцію типу:

(3.1)

де t - час; K - пропорційний коефіцієнт, Ti - постійна інтегрування, Td - постійна диференціювання, Ki = 1 / Ti - інтегральний коефіцієнт, Kd = Td - диференційний коефіцієнт.

ПІД-регулятор здатний управляти процесом, ґрунтуючись на його історії та швидкості зміни. Основна ідея в тому, що контролер отримує інформацію про стан системи за допомогою технологічного датчика. Потім віднімає виміряне значення із заданого для обчислення помилки. Помилка буде оброблятися трьома способами: 1) в теперішньому часі пропорційною складовою, використовуючи інтегральну складову; 2) пророкуванням майбутнього зміни, через диференціальну складову.

Пропорційна складова виробляє вихідний сигнал, що протидіє відхиленню регульованої величини y від заданого значення y0, спостережуваному в даний момент часу. Він тим більше, чим більше це відхилення. Якщо вхідний сигнал дорівнює заданому значенню, то вихідний дорівнює нулю.

Однак при використанні тільки пропорційного регулятора значення регульованої величини ніколи не встановиться на заданому значенні.

Чим більше коефіцієнт пропорційності K між вхідним і вихідним сигналом (коефіцієнт посилення), тим менше статична помилка, проте при дуже великому коефіцієнті посилення можуть початися автоколивання, а при подальшому збільшенні коефіцієнта система може втратити стійкість.

Для усунення статичної помилки використовують інтегральну складову. Вона дозволяє регулятору враховувати минулі значення. Якщо система не зазнає зовнішніх збурень, то через якийсь час регульована величина y стабілізується на заданому значенні y0, сигнал пропорційною складовою буде дорівнює нулю, а вихідний сигнал буде повністю забезпечувати інтегральна складова.

Фізично інтегральна складова являє затримку реакції регулятора на зміну величини неузгодженості, вносячи в систему інерційність, що може бути корисно для управління об'єктами c високою чутливістю.

Зазвичай інтегральну складову використовують спільно з пропорційною, в так званих ПІ-регуляторах. Використання тільки інтегральною складовою дає повільну підстроювання і часто коливальну систему.

Диференціальна складова протидіє передбачуваним відхиленням регульованої величини, які можуть відбутися в майбутньому. Відхилення можуть бути спричинені як зовнішніми збуреннями, так і запізненням впливу регулятора на систему. Чим швидше регульована величина y відхиляється від заданої y0, тим сильніше протидія, створюване диференціальної складової. Коли неузгодженість стає постійною величиною, диференціальна складова перестає впливати на сигнал управління.

Диференціальна складова являє собою швидкість зміни помилки. Додавання цієї складової покращує відгук системи на раптову зміну її стану. Велика диференціальна складова зазвичай робить систему НЕ нестійкою. Зверніть увагу, що диференціальна складова фактично веде себе як фільтр високих частот для сигналу помилки і, таким чином легко робить систему нестабільною і більш чутливою до шуму.

Процес налаштування ПІД-регулятора складається в основному із завдання уставки регульованого параметра і зазначених вище трьох коефіцієнтів. Існує різні математичні методи обчислення оптимальних коефіцієнтів ПІД-регулятора виходячи із забезпечення найкращої стійкості системи.

3.3 Режими роботи мікроконтролера

Під режимом роботи 16-розр. таймера розуміється його алгоритм рахунку і поведінку пов'язаного з ним виходить формувача імпульсів, який визначається комбінацією біт, які задають режим роботи таймера (WGM13: 0) і режим формування вихідного сигналу (COM1x1: 0). При цьому біти завдання режиму формування вихідного сигналу не впливають на алгоритм рахунку, тому алгоритм рахунку залежить тільки від стану біт завдання режиму роботи таймера. В режимах з ШИМ біти COM1x1: 0 дозволяють включити / відключити інверсію на генерованому ШІМ-виході (тобто вибрати ШИМ з інверсією або ШИМ без інверсії). Для режимів без ШИМ біти COM1x1: 0 визначають, яку дію необхідно виконати при виникненні збіги: скинути, встановити або інвертувати .

Найпростішим режимом роботи є нормальний режим (WGM13: 0 = 0). В даному режимі лічильник працює як суммируючий, при цьому скидання лічильника не виконується. Переповнення лічильника відбувається при переході через максимальне 16-розр. значення (0xFFFF) до нижньої межі рахунку (0x0000).

У нормальному режимі роботи прапор переповнення таймера-лічильника TOV1 буде встановлений на тому ж такті синхронізації, коли TCNT1 прийме нульове значення.

Фактично, прапор переповнення TOV1 є 17-м бітом таймера-лічильника за тим винятком, що він тільки встановлюється і не скидається. Однак програмно це властивість може бути використано для підвищення роздільної здатності таймера, якщо використовувати переривання по переповненню таймера, при виникненні якого прапор TOV1 скидається автоматично. Для нормального режиму роботи не існує яких-небудь особливих ситуацій, тому запис нового стану лічильника може бути виконана в будь-який момент.

У нормальному режимі можна використовувати блок захвату. Однак при цьому слід дотримуватися, щоб максимальний інтервал часу між виникненням зовнішніх подій не перевищив періоду переповнення лічильника. Якщо така умова не дотримується, необхідно використовувати переривання за переповненням таймера-лічильника або предделителя.

Блок порівняння може використовуватися для генерації переривань. Чи не рекомендується використовувати вихід OC1x для генерації сигналів в нормальному режимі роботи, тому в цьому випадку буде витрачена значна частина процесорного часу.

У режимі скидання таймера при збігу (WGM13: 0 = 4 або 12) роздільна здатність таймера задається регістрами OCR1A або ICR1. У режимі СТС відбувається скидання лічильника (TCNT1), якщо його значення збігається зі значенням регістра OCR1A (WGM13: 0 = 4) або з ICR1 (WGM13: 0 = 12). Значення регістра OCR1A або ICR1 визначає верхня межа рахунку, а, отже, і роздільну здатність таймера. У даному режимі забезпечується більш широкий діапазон регулювання частоти генерованих прямокутних імпульсів. Він також спрощує роботу лічильника зовнішніх подій. Тимчасова діаграма роботи таймера в режимі СТС показана на малюнку 37. Лічильник (TCNT1) інкрементує свій стан до тих пір, поки не виникне збіг із значенням OCR1A або ICR1, а потім лічильник (TCNT1) скидається.

По досягненні верхньої межі рахунку може генеруватися переривання з допомогою прапорів OCF1A або ICF1, відповідним використовуваним регістрам для завдання верхньої межі рахунку. Якщо переривання дозволено, то процедура обробки переривання може використовуватися для оновлення верхньої межі рахунки. Однак, завдання значення вершини рахунку близького до значення нижнього межі рахунки, коли лічильник працює без предделенія або з малим значенням предделенія, необхідно виконувати з особливою обережністю, тому в режимі СТС немає подвійний буферизації. Якщо значення, записане в OCR1A або ICR1, менше поточного значення TCNT1, то скидання лічильника по умові збігу настане, коли він досягне максимального значення (0xFFFF), потім перейде у вихідне стан 0x0000 і досягне нового значення OCR1A або ICR1. У багатьох випадках виникнення такої ситуації не бажано. Як альтернатива може виступити режим швидкої ШІМ, де регістр OCR1A визначає верхня межа рахунки (WGM13: 0 = 15), тому в цьому випадку OCR1A має подвійну буферизацію.

Для генерації сигналу в режимі CTC вихід OC1A може використовуватися для зміни логічного рівня при кожному збігу, для чого необхідно задати режим перемикання (COM1A1: 0 = 1). Значення OC1A буде присутній на виведення порту, тільки якщо для даного висновку задано вихідна напрям (DDR_OC1A = 1). Максимальна частота генерованого сигналу дорівнює fOC1A = fclk_I / O / 2, якщо OCR1A = 0x0000.

Режим швидкої широтно-імпульсної модуляції (ШІМ) (WGM13: 0 = 5, 6, 7, 14, або 15) призначений для генерації ШІМ-імпульсів підвищеної частоти. На відміну від інших режимів роботи в цьому використовується односпрямована робота лічильника.

Рахунок виконується в напрямку від нижнього до верхньої межі рахунку. Якщо заданий неінвертуючий режим виходу, то при збігу TCNT1 і OCR1x сигнал OC1x встановлюється, а на верхній межі рахунку скидається. Якщо заданий інвертується режим, то вихід OC1x скидається при збігу і встановлюється на верхній межі рахунку. За рахунок односпрямованість рахунки, робоча частота для даного режиму в два рази вище в порівнянні з режимом ШІМ з фазовою корекцією, де використовується двонаправлений рахунок.

Можливість генерації високочастотних ШІМ сигналів робить використання даного режиму корисним в задачах стабілізації живлення, випрямлення і цифро- аналогового перетворення. Висока частота, при цьому, дозволяє використовувати зовнішні елементи фізично малих розмірів (індуктивності, конденсатори), тим самим знижуючи загальну вартість системи.

Роздільна здатність ШІМ може бути фіксованою 8, 9 або 10 розрядів або задаватися регістром ICR1 або OCR1A, але не менше 2 розрядів (ICR1 або OCR1A = 0x0003) і не більше 16 розрядів (ICR1 або OCR1A = 0xFFFF).

Тимчасова діаграма для режиму швидкої ШІМ представлена на малюнку 38. На малюнку показаний режим швидкої ШІМ, коли для завдання верхньої межі використовується регістр OCR1A або ICR1.

Значення TCNT1 на тимчасовій діаграмі показано у вигляді графіка функції для ілюстрації односпрямованість рахунку. На діаграмі показані як інвертований, так і неінвертірованний ШІМ-виходи. Короткою горизонтальною лінією показані точки на графіку TCNT1, де збігаються значення OCR1x і TCNT1x. Прапор переривання OC1x встановлюється при виникненні збігу.

Прапор переповнення таймера-лічильника (TOV1) встановлюється всякий раз, коли лічильник досягає верхньої межі. Додатково тим же тактовим імпульсом разом з прапором TOV1 можуть встановитися прапори OC1A або ICF1, якщо для завдання верхньої межі використовується регістр OCR1A або ICR1, відповідно. Якщо одне з цих переривань дозволено, то в процедурі обробки переривання може бути виконано оновлення верхньої межі рахунку і порогів порівняння.

Якщо змінюється значення верхньої межі рахунку, то необхідне дотримання умови, щоб записуване нове значення верхньої межі було більше або одно значень у всіх регістрах порогу порівняння. В іншому випадку збіг між TCNT1 і OCR1x ніколи не виникне. Зверніть увагу, що при використанні фіксованих значень верхньої межі під час запису в регістри OCR1x відбувається маскування до 0 невживаних розрядів.

Механізм модифікації регістра ICR1 відрізняється від OCR1A в тому випадку, якщо він використовується для завдання верхньої межі. Регістр ICR1 не має подвійний буферизації. Це означає, що якщо в ICR1 записується мале значення під час роботи лічильника з малим предделеніем або без нього, то є небезпека записи в регістр ICR1 значення, яке виявиться менше поточного значення TCNT1. Як результат, в такій ситуації буде пропущено збіг на вершині рахунку. В цьому випадку лічильник дійде до максимального значення (0xFFFF), перезапуститься зі значення 0x0000, а тільки потім виникне збіг. Регістр OCR1A містить схему подвійної буферизації, тому, його можна модифікувати в будь-який момент часу.

Якщо виконується запис за адресою OCR1A, то фактично значення поміщається в буферний регістр OCR1A. Якщо ж виникає збіг між TCNT1 і вершиною рахунки, то наступним тактом синхронізації таймера відбувається копіювання буферного регістра в регістр порогу порівняння OCR1A. Оновлення регістра виконується тим же тактом, що і скидання TCNT1 і установка прапора TOV1.

Рекомендується використовувати регістр ICR1 для завдання верхньої межі, якщо верхня межа рахунку є константою. У цьому випадку також звільняється регістр OCR1A для генерації ШІМ-сигналу на виході OC1A. Однак, якщо частота ШІМ динамічно змінюється (за рахунок зміни верхньої межі), то в цьому випадку вигідніше використовувати регістр OCR1A для завдання верхньої межі, тому він підтримує подвійну буферизацію.

У режимі швидкої ШІМ блоки порівняння дозволяють генерувати ШІМ-сигнали на висновках OC1x. Якщо COM1x1: 0 = 2, то задається ШІМ без інверсії виходу, а якщо COMnx1: 0 = 3, то задається режим ШІМ з інверсією на виході .

Фактичне значення OC1x можна спостерігати на виведенні порту, якщо для нього задано вихідна напрям (DDR_OC1x). Шим сигнал генерується шляхом установки (скидання) регістра OC1x при виникненні збіги між OCR1x і TCNT1.

Режим широко-імпульсної модуляції з фазовою корекцією (ШІМ ФК) (WGM13: 0= 1, 2, 3, 10, або 11) призначений для генерації ШІМ сигналу з фазовою корекцією і високою роздільною здатністю. Режим ШІМ ФК заснований на двобічної роботі таймера-лічильника. Лічильник циклічно виконує рахунок в напрямку від нижньої межі (0x0000) до верхньої межі, а потім назад від верхньої межі до нижньої межі. Якщо заданий неінвертуючий режим виходу формирователя імпульсів, то вихід OC1x скидається / встановлюється при збігу значень TCNT1 і OCR1x під час прямого / зворотного рахунку. Якщо заданий інвертується режим виходу, то, навпаки, під час прямого рахунку відбувається установка, а під час зворотного - скидання виходу OC1x. При двобічної роботі максимальна частота ШІМ-сигналу менше, ніж при односпрямованої роботі, однак, за рахунок такої особливості, як симетричність в режимах ШІМ з двобічної роботою, дані режими воліють використовувати при вирішенні завдань управління приводами.

Роздільна здатність ШІМ в даному режимі може бути або фіксованою (8, 9 або 10 розрядів) або задаватися за допомогою регістра ICR1 або OCR1A.

Мінімальна роздільна здатність дорівнює 2-м розрядами (ICR1 або OCR1A = 0x0003), а максимальна -16-ти розрядам (ICR1 або OCR1A = 0xFFFF). Якщо заданий верхня межа, то роздільна здатність ШІМ в даному режимі визначається наступним чином:

У режимі ШІМ ФК лічильник інкрементується поки не досягне одного з фіксованих значень 0x00FF, 0x01FF або 0x03FF (відповідно для WGM13: 0 = 1, 2, або 3), а також значення рівного ICR1 (якщо WGM13: 0 = 10) або OCR1A (якщо WGMn3: 0 = 11). Далі, при досягненні верхньої межі, лічильник змінює напрямок счета. Значеніе TCNT1 залишається рівним верхній межі протягом одного такту синхронізації таймера. регістра OCR1A або ICR1 для завдання верхньої межі.

Прапор переповнення таймера-лічильника (TOV1) встановлюється всякий раз, коли лічильник досягає нижньої межі. Якщо для завдання верхньої межі використовується регістр OCR1A або ICR1, то, відповідно встановлюється прапор OC1A або ICF1 тим же тактовим імпульсом, на якому відбулося оновлення регістра OCR1x з буферного регістра (на вершині рахунку). Прапори переривання можуть використовуватися для генерації переривання по досягненні лічильником нижнього або верхньої межі.

При зміні значення верхньої межі рахунку необхідно стежити, щоб воно було більше або дорівнює значенням у всіх регістрах порівняння. В іншому випадку збіг між TCNT1 і OCR1x ніколи не виникне. Зверніть увагу, що при використанні фіксованих значень верхньої межі рахунки під час запису в регістри OCR1x невикористовувані розряди обнуляються.

Оскільки,оновлення OCR1x виникає на вершині рахунку, то і період ШІМ починається і закінчується на вершині рахунку. Це передбачає, що тривалість зворотного рахунку визначатиметься попереднім значенням верхньої межі, а прямого - новим значенням верхньої межі.

Якщо два цих значення різні, то і тривалість прямого і зворотного рахунку буде також відрізнятися. Різниця в тривалості призводить несиметричності вихідних імпульсів.

Якщо стоїть завдання зміни верхньої межі при працюючому лічильнику, то замість цього режиму рекомендується використовувати режим ШІМ ФЧК (фазова і частотна корекція). Якщо використовується статичне значення верхньої межі, то між даними режимами практично немає відмінностей.

У режимі ШІМ ФК блоки порівняння дозволяють генерувати ШІМ-сигнали на висновках OC1x. Якщо встановити COM1x1: 0 = 2, то вихід ШІМ буде без інверсії, а якщо COM1x1: 0 = 3, то з інверсією (див. таблицю 38 сторінці 98). Фактичне значення OC1x можна спостерігати на виведенні порту, якщо в регістрі напрямки даних для даного виводу порту задано вихідна напрям (DDR_OC1x).

ШІМ-сигнал генерується шляхом установки (скидання) регістра OC1x при збігу значень OCR1x і TCNT1 під час прямого рахунку, а також шляхом скидання (установки) регістра OC1x при збігу між OCR1x і TCNT1 під час зворотного рахунку.

Запис граничних значень в регістр OCR1x пов'язано з особливими випадками в генерації шим сигналів в режимі ШІМ ФК. Якщо задати режим ШІМ без інверсії і OCR1x встановити рівним нижній межі, то на виході безперервно буде встановлений лог. 0, а якщо рівним верхній межі, то на виході постійно присутній лог. 1. Для ШІМ з інверсією зазначені рівні необхідно замінити протилежними.

Якщо задати використання OC1A в якості верхньої межі (WGM13: 0 = 11) і встановити COM1A1: 0 = 1, то на виході OC1A буде генеруватися меандр.

Режим широко-імпульсної модуляції з фазовою і частотною корекцією (ШИМ ФЧК) (WGM13: 0 = 8 або 9) призначений для генерації ШІМ-імпульсів високої роздільної здатності з фазовою і частотною корекцією. Також як і режим ШІМ ФК режим ШІМ ФЧК заснований на двобічної роботі лічильника. Лічильник циклічно вважає від нижньої межі (0x0000) до верхньої межі, а потім назад від верхньої межі до нижньої межі. Якщо заданий неінвертуючий режим ШІМ, то вихід OC1x скидається, якщо виникає збіг між TCNT1 і OCR1x під час прямого рахунку, і встановлюється, якщо виникає збіг під час зворотного рахунку. У інвертуючому режимі робота інверсна.

Двонаправлена робота, в порівнянні з односпрямованої, пов'язана з генерацією більш низьких частот. Однак, завдяки симетричності в режимах ШІМ з двонаправленим рахунком, їх застосування переважно в задачах управління приводами.

У режимі ШІМ ФЧК лічильник інкрементується до збігу зі значенням в ICR1(WGM13: 0 = 8) або в OCR1A (WGM13: 0 = 9).

Це означає досягнення вершини рахунку, після чого відбувається зміна напрямки рахунку. Значення TCNT1 залишається рівним вершині рахунку протягом одного такту синхронізації таймера.

Значення TCNT1 показано у вигляді графіка функції для ілюстрації двобічної рахунку. На діаграмі показаний як неинвертирующий, так і інвертується ШІМ виходи. Короткі горизонтальні лінії вказують на точки графік TCNT1, де виникає збіг між OCR1x і TCNT1. Прапор переривання OC1x встановлюється після виникнення збіги.

Прапор переповнення таймера-лічильника (TOV1) встановлюється тим же тактом, коли відбулося оновлення регістрів значенням з буферного регістра (на нижньому межі рахунку). Якщо для завдання верхньої межі використовується регістр OCR1A або ICR1, то по досягненні лічильником верхньої межі встановлюється прапор OC1A або ICF1, відповідно. Прапори переривання можуть використовуватися для генерації переривання при досягненні лічильником верхнього або нижнього краю.

При зміні верхньої межі необхідно стежити, щоб нове значення було більше або дорівнює значенням у всіх регістрах порогу порівняння. В іншому випадку, якщо задано значення верхньої межі менше будь-якого із значень регістрів порогу порівняння, збіг між TCNT1 і OCR1x ніколи не настане.

Висновки: В цьому розділі було проведено вибір мікроконтролера, наведені основні його відмінності. Також було розглянуто принцип роботи мікроконтролера на основі ПІД-регулятора.


4. Охорона праці


Даний розділ дипломного проекту розглядає забезпечення охорони праці для осіб, які проводять проектування та програмування автоматичних систем керування газорозрядної електричної гармати.

При роботі на електропроменевій установці необхідно чітко дотримуватись правил техніки безпеки в силу специфіки цієї установки. Мається на увазі те, що в установці присутні високі напруги до 15 кВ (робоча напруга гармати) та мережева напруга в 220 В та 380 В (насоси, блок керування).

Проаналізувавши можливий вплив шкідливих виробничих факторів на людей в робочому приміщенні, необхідно організувати робоче місце працівника з сприятливими умовами праці. Також для підвищення безпеки праці необхідно проводити навчання та інструктажі з техніки безпеки на робочих місцях.

 

4.1 Характеристика приміщення


Рис.4.1. - План робочого приміщення.

Дана дипломна робота розроблялася у робочому приміщенні, яке містить два робочих місце та має розміри: довжина - 6 м, ширина - 4 м, висота - 3м [13].

Скориставшись параметрами приміщення, вирахуємо його об’єм та площу:

об’єм приміщення V=72 м3;

площа приміщення S = 24 м2.

Об’єм та площа в розрахунку на одного працівника:

об’єм V1=36 м3;

площа S1 = 12 м2.

Відповідно до ДНАОП 0.00.1.31.99 та ДСанПІН 3.3.2-007-98 “Державні санітарні правила і норми роботи з візуальними дисплейними терміналами ЕОМ ” об’єм простору для одного працівника лабораторії з ЕОМ повинен бути не меншим 20 м3, а площа - 6 м2. Розраховані значення більші за мінімальні, тож приміщення задовольняє нормативні умови.

Робоче місце обладнуємо так, щоб усі значення задовольняли нормативні.

 

4.2 Мікроклімат


Для постійних робочих місць, якими є робочі місця операторів ПК, встановлені оптимальні параметри мікроклімату. Лабораторія є приміщенням І- а категорії (виконуються легкі фізичні роботи), тому повинні дотримуватися вимог:представлених в таблиці 4.1.

Для створення і автоматичної підтримки в лабораторії незалежно від зовнішніх умов оптимальних значень температури, вологості, чистоти і швидкості руху повітря, в холодну пору року використовується водяне опалення, в теплу пору року застосовується кондиціонування повітря. Кондиціонер являє собою вентиляційну установку, яка за допомогою приладів автоматичного регулювання підтримує в приміщенні задані параметри повітряного середовища [14].

Таблиця 4.1. Параметри мікроклімату для приміщень з ПК.


.3 Освітлення

Для створення комфортних умов зорової роботи дослідника застосовують природне і штучне освітлення, а також суміщене, яке нормується будівельними нормами ДНБ В.2.5-28-2006 .

По характеру зорової роботи, робота відноситься до малої точності, розряд зорової роботи IV, підрозряд б, найменший розмір об’єкту розрізнення 0.5 - 1.0 мм.

Всі виробничі приміщення з постійним знаходженням в них людини, відповідно до санітарних норм та правил, мають природне освітлення. Природне освітлення нормується за допомогою коефіцієнта природної освітленості по ДНБ В.2.5-28-2006.

В лабораторії повинно бути 8 люмінесцентних світильників (всього 32 лампи), які забезпечують необхідну освітленість при недостатньому природньому освітленні. Значення КПО повинно бути не менше ніж 1,5 %. Періодичність протирання вікон: 1 раз на півроку; світильників не рідше ніж два рази на місяць [15].

 

4.4 Шум в робочому приміщенні


Допустимий рівень шуму при роботі в лабораторії визначається нормативним документом ДСН 3.3.6.037.99. Як було зазначено вище, в лабораторії знаходиться 2 робочих місця, кожне з яких обладнано монітором, вінчестером в системному у блоці, двома вентиляторами системи охолодження ПК і клавіатурою. Таким чином у приміщенні мають місце шуми механічного та аеродинамічного походження. Шум, який створюється роботою ПК в класах, умовно можна віднести до постійного.

Таблиця 4.2 - Рівні шуму від різних джерел

Джерело шуму

Рівень шуму, дБА

Жорсткий диск

26

Кулер

28


Допустимий еквівалентний рівень шуму для робочого місця користувача ПК складає 50 дБА [16].

 

4.5 Електробезпека


При експлуатації установки є можливість ураження електричним струмом від мережевої (220В, 380В) та високої напруги (до 15 кВ). Проходячи через організм людини, струм справляє термічну, електричну та механічну (динамічну) дію. Ці фізико-хімічні процеси притаманні живій та неживій матерії. Одночасно електричний струм здійснює і біологічну дію, котра є специфічним процесом, властивим лише живій тканині.

Термічна дія струму проявляється через опіки окремих ділянок тіла, нагрівання до високої температури кровоносних судин, нервів, серця, мозку та інших органів, котрі знаходяться на шляху струму, що викликає в них суттєві функціональні розлади.

Наявність такого широкого кола дій електричного струму призводить до двох видів ураження: електроудар та електротравма, що можуть призвести до важких наслідків включаючи смерть.

 

4.6 Пожежна безпека

 

Будинок, в якому розміщується лабораторія, відноситься до ІІІ ступеню вогнестійкості [17]. Приміщення лабораторії відноситься до ПІІа класу пожежонебезпеки, в той же час установка, що в ньому використовується характеризується як виробництво по категорії "В-Iб.

Вибір типу i розрахунок необхідної кількості вогнегасників проводиться відповідно до чинних нормативів (НАПБ Б.03.002-2007 Норми визначення категорій приміщень, будинків та зовнішніх установок за вибухопожежною та пожежною небезпекою).

Лабораторія в якій проводиться експеримент відноситься до категорії В за вибухо-пожежною і пожежною небезпекою, вона повинна містити 13 вуглекислих вогнегасників з зарядом вогнегасної рідини 3,5 кг.

Причинами пожежі в лабораторії можуть бути несправність обладнання або неправильне його використання.

 

4.7 Техніка безпеки при роботі з ПК


Перед початком роботи на ПК користувач повинен:

пересвідчитися у цілості корпусів і блоків (обладнання) ПК;

перевірити наявність заземлення, справність і цілість кабелів живлення, місця їх підключення.

Забороняється вмикати ПК та починати роботу при виявлених несправностях.

Під час роботи, пересвідчившись у справності обладнання, увімкнути електроживлення ПК, розпочати роботу, дотримуючись умов інструкції з її експлуатації.

Забороняється:

з'єднувати і роз'єднувати вилки та розетки первинних мереж електроживлення, які знаходяться під напругою;

знімати кришки, які закривають доступ до струмопровідних частин мережі первинного електроживлення при ввімкненому обладнанні;

користуватися паяльником з незаземленим корпусом;

замінювати запобіжники під напругою;

залишати ПК у ввімкненому стані без нагляду.

По закінченні робочого дня:

кнопкою "ВИМК" відключити електроживлення ПК згідно з інструкцією експлуатації, вийнявши вилку кабелю живлення з розетки;

впорядкувати робоче місце користувача ПК, прибравши використане обладнання та матеріали у відведені місця;

про виявлені недоліки у роботі ПК протягом робочого часу необхідно повідомити відповідним посадовим особам та спеціалістам.

Залишаючи приміщення після закінчення робочого дня, дотримуючись встановленого режиму огляду приміщення, необхідно:

зачинити вікна, кватирки;

перевірити приміщення та переконатися у відсутності тліючих предметів;

відключити від електромережі всі електроприлади, електрообладнання та вимкнути освітлення;

зачинити двері кабінету на замок і опломбувати металевою печаткою.

 

4.8 Гімнастика для очей при роботі з ПК


. Міцно примружтеся на 3-5 секунд. Відкрийте очі і не блимайте 3-5 секунд. Повторити 7-8 разів.

. Закрийте очі і масажуйте їх круговими рухами пальців, не натискаючи на очні яблука, протягом 1-2 хвилин.

. Поставте 3 пальці під кожною бровою і злегка потягніть ними шкіру вгору, щоб піднялися очі. Потримайте протягом 1-2 секунд, потім відпустіть. Повторити 5 разів.

. Фокус на віддаленому об'єкті протягом 10-15 секунд. Потім повільно переведіть погляд на довколишній об'єкт, не рухаючи головою. Фокус знову протягом 10-15 секунд. Потім поверніться на далекий об'єкт. Зробіть цю вправу 5 разів.

. Подивіться на протилежну стіну і водіть очима так, як ніби ви пишете очима. Не рухайте головою.

Після проведення аналізу шкідливих факторів (мікроклімат, освітлення, шум, електробезпека, пожежна безпека) визначено, що приміщення задовольняє нормативним документам. Можна зробити висновок, що дане робоче місце придатне для роботи. Для забезпечення безпеки на робочому місці потрібно дотримуватись правил техніки безпеки при роботі з персональним комп’ютером.

ВИСНОВКИ

В наслідок написання курсового проекту було:

. Розглянуто загальна характеристику сучасних електронно-променевих установок та газорозрядної електронної гармату з високовольтним тліючим розрядом.

. Були вивчені існуючі види натікачів і їх особливості. Було приведено фізичну та математичну модель систем керування ГРЕГ, а також розроблена структурна схема мікроконтролерної системи керування ГРЕГ.

. Було здійснено вибір мікроконтролера, наведено основні його відмінності. Також було розглянуто принцип роботи мікроконтролера на основі ПІД-регулятора та побудовано алгоритм роботи програми.

. Розглянуто забезпечення охорони праці для осіб, які проводять проектування та програмування мікроконтролерних систем керування газорозрядної електричної гармати.

СПИСОК ВИКОРИСТАНИХ ДЖЕРЕЛ

1. Шиллер З., Гайзиг У., Панцер З. Электронно-лучевая технология. - М.: Энергия, 1980. - 528 с.

. Электронно-лучевая сварка. Под ред. Патона Б.Е. Киев: Наукова думка, 1987. - 256 с.

. Молоковский С.И., Сушков Д.И. Интенсивные электронные и ионные пучки. - М. Энергоатомиздат, 1991. - 304 с.

4. Райзер Ю.П. Физика газового разряда - М. : Наука, 1987. - 592 с.

. Грановский В.Л. Электрический ток в газе. - М.: Гостехиздат, 1952.

. Мельник И.В. Аппроксимация вольт-амперных характеристик технологических источников электронов высоковольтного тлеющего разряда с использованием средств системы MatLab // Вестник Херсонского государственного технического университета. Вып. 2 (35). - Херсон, 2009. - С. 299-305.

. Новиков А.А. Источники электронов высоковольтного тлеющего разряда с анод¬ной плазмой. - М.: Энергоатомиздат, 1983. - 96 с.

. Адамяк Б. Ю., Морозов Н. В., Автоматический натекатель. Приборы и техника эксперимента, 1985, № 2, с. 216.

. Мельник И.В., Тугай Б.А., Тугай С.Б. Повышение стабильности работы электро-магнитного натекателя в системе автоматического управления током газоразрядной пушки. // Электроника и связь, №14 (2002). - С. 172-175.

. Баранчук Е. И. Проектирование и настройка электронных регуляторов М. − Л., Машгиз, 1963. 372 стр.

. Воскресенский В. Р., Демин А. П., Елесин А. П., Устройство для автоматического регулирования давления газов., Электронная техника, сер. 4, 1977, вып. 9, с. 129-131.

12. ATmega8 / L Datasheet Summary [Електронний ресурс] - Режим доступу до інформації: <http://www.atmel.com/Images/2503s.pdf>

. ГСанПиН 3.3-2 007-98. Государственные санитарные правила и нормы работы с визуальными дисплейными терминалами ЭВМ. - Киев, 1999. - 18 с.

. ДСН 3.3.6.042-99. Санитарные нормы микроклимата производствен-ных помещений. - Киев, 2000.

. ДБН В.2.5-28-2006.   Естественное и искусственное освещение. Государственные строительные нормы Украины.

. НАОП 0 03-3 14-85. Санитарные нормы допустимых уровней шума на рабочих местах №3223-85 - М. 1985.

. ОНТП 24-86/МВД СССР Определение категорий помещений и зданий по взрывопожарной и пожарной опасности.

Похожие работы на - Характеристика сучасних електронно-променевих установок

 

Не нашли материал для своей работы?
Поможем написать уникальную работу
Без плагиата!
Без нейросетей!