Ветроэнергетическая установка 'парусно-флюгерного типа' с вертикальной осью вращения
Ветроэнергетическая установка «парусно-флюгерного типа» с
вертикальной осью вращения
Введение
ветроустановка энергия парусный
флюгерный
К работе над данным проектом нас
подтолкнули нельзя сказать, чтобы частые, но довольно неприятные отключения
электроэнергии. Так как отключения случались в основном из-за сильного ветра,
мы решили именно его использовать в качестве источника энергии.
В своей модели мы решили
использовать не сложный в изготовлении пропеллер, а жесткий лист, который в
рабочем цикле движется перпендикулярно направлению ветра, а в холостой цикл
возвращается в исходное положение, имея минимальное сопротивление ветру.
Актуальность работы: запасы не
возобновляемых сырьевых ресурсов - нефти, газа и угля - будут исчерпаны. Чем
активнее мы их используем, тем меньше их остается и тем дороже они нам
обходятся. По расчетам специалистов, при нынешних объемах добычи угля на Земле
хватит лет на 400-500, а нефти и газа - максимум на столетие. К тому же
опустошение земных недр и сжигание топлива уродуют планету, и год от года
ухудшают ее экологию. Задача освоения экологически чистых, возобновляемых, или,
как их еще называют, нетрадиционных, источников энергии сейчас как никогда
актуальна. Среди них лишь энергия Солнца и ветра поистине неисчерпаема и не
вносит практически никаких изменений в природу.
Цель проекта
Разработка и создание действующей
модели альтернативного источника электроэнергии, исследование его работы.
Задачи проекта
• Создать
действующую модель ветроэнергетической установки с вертикальной осью вращения.
• Провести
исследования и определить возможности использования ветроустановок этого типа
как источника электроэнергии.
• Обобщить
теоретический и экспериментальный материал с определением его возможного
использования
Краткое описание хода работы
. Изготовление модели
ветроэнергетической установки с модулями двух типов (схема модулей
прилагается);
2. Исследование технических
характеристик каждого модуля (измерение момента силы при разных углах, частоты
вращения при одинаковой силе ветра и нагрузке, измерении силы тока и
напряжения, вычисление КПД);
. Выбрать лучший вариант и
рассчитать зависимость его мощности от скорости ветра и площади паруса-флюгера;
4. Обобщение теоретического и
экспериментального материала с определением его практического применения.
1. История развития
ветроэнергетики
Механическая энергия, полученная в
результате вращения лопастей ветроколеса, на первом этапе использовалась для
помола зерна, подачи воды, осушения заболоченных мест, распиловки древесины и
т.д. Следы использования ветряных мельниц, найденных в Египте, относятся к IV ст. до н.э. Обнаружены
следы использования ВЭУ в Китае, Иране. Этот период относится к X ст. н.э. Ветряные мельницы,
производящие электричество, были изобретены в XIX веке в Дании. Там в
1890-м году была построена первая ветроэлектростанция, а к 1908-му году
насчитывалось уже 72 станции мощностью от 5 до 25 кВт.
И, наконец, к 1990
г. на побережье Северного моря, между Голландией и Данией, использовалось уже
сто тысяч ветряков, которые выполняли различную механическую работу. Энергия
ветра нашла применение и на другом континенте. Так, в США в 20-е гг. нашего
века насчитывалось около 6 млн ветроустановок.
Развитие
ветроэнергетики в СССР началось в 30-е гг. В 1931 г. был организован Центральный
ветроэнергетический институт. Исследовательские работы проводились и в других
институтах. Налаживалось их производство. Так, только на Херсонском заводе
выпуск ВЭУ мощностью 11 и 75 кВт составлял 2000 штук в год. В том же 1931 г. в
Крыму была построена самая крупная в то время ВЭУ мощностью 100 кВт, которая
работала до 1942 г. В 1935 г. была разработана ВЭУ мощностью 1000 кВт.
Производство ветроустановок набирало силу, и в 1956 г. их выпуск достиг 9000
штук. Однако вскоре их производство было прекращено. В стране набирала силу
«гигантомания».
В период с 1940-х по 1970-е годы
ветроэнергетика переживает период упадка в связи с интенсивным развитием
передающих и распределительных сетей, дававших независимое от погоды
энергоснабжение за умеренные деньги.
За рубежом нетрадиционная энергетика
начала всерьез развиваться после нефтяного кризиса середины 1970-х годов. И
хотя на первых порах ветроэнергетические станции (ВЭС) не давали прибыли,
отрасль развивалась. Сегодня мировая ветроэнергетика вышла на прибыль и
существует без каких-либо дотаций, но в условиях активного госрегулирования.
Ветроэнергетика как сектор
энергетики присутствует в более чем 50 странах мира. Страны с наибольшей
установленной мощностью: Германия (18 428 МВт), Испания (10 027 МВт), США (9 149
МВт), Индия (4 430 МВт) и Дания (3 122 МВт). Ряд других стран, включая Италию,
Великобританию, Нидерланды, Китай, Японию и Португалию, перешли отметку в 1 000
МВт.
Анализ мирового развития
ветроэнергетики показал, что за последние 5 лет мощность ветроэнергетических
станций (ВЭС) в мире возросла в 5 раз и достигла уровня около 35,0 миллионов
киловатт. За последние 10 лет в результате принятых политических решений и
значительных капитальных вложений в исследования и организацию производства в
ряде стран (Дания, США, Германия, Голландия, Великобритания и др.) создана
целая отрасль ветроэнергетики. Сегодня эта отрасль обеспечивает выработку
электроэнергии при себестоимости 4-5 центов/кВт-ч.
Дания к 2030 году планирует довести
этот показатель до 50%. Если посмотреть европейский «разрез» по установленной
мощности ветровых энергоустановок, то видно, что лидирующее положение в Европе
занимает Германия (18 млн. кВт), затем Испания (около 10 млн. кВт), Дания и
Голландия, где имеются мощности свыше одного миллиона киловатт.
До сих пор ветроэнергетика наиболее
динамично развивалась в странах ЕС, но сегодня эта тенденция начинает меняться.
Всплеск активности наблюдается в США и Канаде, в то время как в Азии и Южной
Америке возникают новые рынки. В Азии, как в Индии, так и в Китае, в 2005 году
зарегистрирован рекордный уровень роста.
Белорусская энергетическая программа
основными направлениями использования ветроэнергетических ресурсов на ближайший
период предусматривает их применение для привода насосных установок и в качестве
источников энергии для электродвигателей автономного обеспечения. Эти области
применения характеризуются минимальными требованиями к качеству электрической
энергии, что позволяет резко упростить и удешевить ветроэнергетические
установки.
. Перспективы и проблемы
использования нетрадиционных возобновляемых источников энергии
Общие сведения
Ветер представляет собой движение
воздушных масс земной атмосферы, вызванное перепадом температуры в атмосфере
из-за неравномерного нагрева ее Солнцем. Таким образом, используемая энергия
ветра является преобразованной в механическую энергией Солнца.
Устройства, преобразующие энергию
ветра в полезную механическую, электрическую или тепловую виды энергии,
называются ветроэнергетическими установками (ВЭУ) или ветроустановками.
При правильной организации
использования ветроэнергетики такой дешевый и неиссякаемый источник энергии,
как ветер, может удовлетворить большую часть потребностей в любой отрасли
народного хозяйства. Установки, преобразующие энергию ветра в электрическую,
тепловую и механическую, могут обеспечить:
автономное энергоснабжение различных
локальных объектов (оросительные системы, механизмы животноводческих ферм,
вентиляцию, устройства микроклимата и т.п.);
горячее водоснабжение, отопление,
энергообеспечение холодильных агрегатов;
подъем воды для садовых участков, на
пастбищах и т.п.;
откачку воды из систем вертикального
и горизонтального дренажа и прочих систем.
По сравнению с другими видами
источников энергии ветроэнергетические установки имеют следующие преимущества:
отсутствие затрат на добычу и
транспортировку топлива;
снижение более чем в 10 раз
трудозатрат на сооружение ветроэнергетической установки по сравнению со
строительством тепловых или атомных станций;
широкий технологический диапазон
прямого использования энергии ветроустановок (автономность или совместная
работа с централизованными сетями, совместимость с другими источниками
возобновляемой энергетики и т.п.);
минимальные сроки ввода мощностей в
эксплуатацию;
улучшение экологической обстановки
за счет снижения уровня загрязнения окружающей среды.
Мы выбрали ВЭУ с вертикальным
валом ротора, который жестко связан с вертикально установленными крыльями
как минимум по три в каждом ярусе. Такая установка может быть модернизирована
путем размещения по вертикали нескольких ярусов, в каждом ярусе можно
разместить одну турбину внутри другой, которые вращаются в разные стороны.
В такой схеме привлекает:
• полная независимость аэродинамических режимов работы всех лопастей, расположенных на разной высоте;
• прямая
жесткая связь вала установки с ротором электрогенератора, расположенного
внизу, практически на земле;
• возможность
наращивать суммарную мощность ВЭУ за счет установки дополнительных ярусов
ветродвижителей и дополнительных генераторов на одной оси.
• возможность
компактного размещения ВЭУ на местности и близко к потребителю.
3. Действующая модель
парусно-флюгерной ветроустановки с вертикальной осью вращения
Теория
В начале своих «научных изысканий»
мы провели поиск в интернете «ветроэнергетических установок» и не нашли ничего
похожего на проект нашей ветроэнергетической установки:
Рис. 1. Типы ветряных колес
Приводим также описание их
характеристик: Ветроустановки классифицируются по двум основным признакам - геометрии
ветроколеса и его положению относительно направления ветра.
Если ось вращения ветроколеса
параллельна воздушному потоку, то установка называется горизонтально-осевой,
если перпендикулярна - вертикально-осевой.
Ветроколесо с горизонтальной осью, использующее
подъемную силу (двух- или трехлопастное ветроколесо), показано на рис. 1 (а, б,
в, г).
Ветроустановки, использующие силу
лобового сопротивления, состоят из укрепленных вертикально оси лопастей
различной конфигурации (рис. 1 е, ж, з, и, к).
На рис. 1, д представлено
ветроколесо, использующее эффект Магнуса (эффект возникновения подъемной силы,
перпендикулярной направлению ветра, при вращении цилиндра или конуса).
Но после того как мы определились с
названием нашей ВЭУ «Парусно-флюгерного типа» и набрали в поисковике
соответствующую фразу то нашли достаточное количество подобных установок.
Наверное, первой из них является «Карусельный ветродвигатель Нухова».
После этого мы решили в нашей
установке расположить ось поворота паруса-флюгера вертикально, и это помогло
нам значительно упростить и следовательно удешевить конструкцию
В литературе мы нашли разные подходы
к определению мощности ветроустановки:
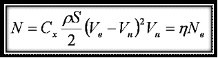
. (По теории Н. Жуковского)
Воздушный поток, проходя перпендикулярно через лопасти ветроколеса, вызывает
его вращение, производя механическую энергию. Если объем протекающего за 1 с
воздуха V = Fv, то мощность ВЭУ может быть получена из выражения:
N = 1/2ρv3S [Вт],
где S - площадь ветроколеса, v и ρ - скорость и плотность
воздуха соответственно. Однако не вся, а лишь часть энергии ветра может быть
преобразована в механическую энергию. Эта величина оценивается коэффициентом
использования энергии ζ, который определяется как отношение энергии, преобразованной в
механическую, к полной энергии потока. Теоретическое значение коэффициента ζ равно 0,59. Практически
же этот коэффициент в современных конструкциях составляет примерно 0,45 - 0,48.
Механическая
энергия может быть преобразована в электрическую с коэффициентом полезного
действия η, учитывающего потери в системе преобразования. Тогда окончательно
мощность ВЭУ
Nэ = 1/2 ηζρv3F [Вт]
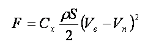
2. (Розин Михаил Николаевич
«Теория парусных установок») Если пластина неподвижна и перпендикулярна
скорости ветра, то на нее действует сила
Где:
F - сила давления воздушного потока [н],
Сx - коэффициент сопротивления, зависящий от формы тела,
р - плотность воздуха 1,29 [кг/м 3],
S - площадь поперечного сечения пластины [м 2]
Vв - скорость потока воздуха [м/с].
Коэффициент Cx
зависит от формы тела. Понятно, что скорлупка, обращенная отверстием навстречу
потоку, имеет большее сопротивление, чем та же скорлупка, обращенная
выпуклостью к потоку. Самым же обтекаемым будет каплеобразная форма тела,
обращенная тупым, а не острым, как ни странно, концом к потоку. Значения
коэффициентов Cx для некоторых тел приведены ниже.
· Тонкая
пластина перпендикулярная потоку Cx =1,11 - для небольших
пластин и Cx = 1,33 для больших пластин
· Полусфера,
отверстие обращено навстречу потоку (парашют) Cx=1,33
· Полусфера,
отверстие обращено по потоку Cx =0,35
· Тело
обтекаемой каплеобразной формы Cx =0,05
Когда пластина движется, то она как
бы убегает от ветра и относительная скорость воздушного потока, набегающего на
пластину, снижается. Поэтому сила напора воздушного потока также будет меньше
п - скорость перемещения пластины.
Мощность равняется произведению силы
на скорость
= FV п
Мощность, получаемая на генераторе,
составит
Для плоской пластины
КИЭВ η равен 0,164 - 0,197.
Если пластина неподвижна, то
полезная мощность равна нулю. Если пластина движется со скоростью ветра, то она
не испытывает давления и мощность тоже равна нулю.
При скорости ветра 5 м/с мощность
согласно первой теории превышает вторую более чем в 10 раз.
Практика
В своей модели мы решили
использовать не сложный в изготовлении пропеллер, а жесткий лист, который в
рабочем цикле движется перпендикулярно направлению ветра, а в холостой цикл
возвращается в исходное положение, имея минимальное сопротивление ветру.
Увлеченные идеей, мы занялись конструированием самой установки, ее механики и
преодолением возникающих при решении этой задачи технических сложностей.
Мы решили создать ВЭУ
(ветроэнергетическую установку) из доступных материалов с наименьшим
количеством деталей. С целью регулирования мощности устанавливается необходимое
количество модулей.
История создания нашей ВЭУ пока
состоит из трех этапов:
. ВЭУ с поворотом паруса в
горизонтальной плоскости (рис. 1): основной недостаток - для возвращения
пластины в горизонтальное положение необходимо усилие равное ½ веса пластины. Установка
начинала вращение при скорости ветра более 2 м/с, КПД существенно снижался.
. ВЭУ с поворотом паруса в
горизонтальной плоскости с противовесами (рис. 2): недостатки - усложнение
конструкции, задержка в возвращении в рабочее положение (перпендикулярно потоку
воздуха).
. ВЭУ с поворотом паруса в вертикальной
плоскости (рис. 3): преимущества - наиболее простая конструкция, низкая
шумность, устойчивость при порывах ветра, самоторможение при ураганном ветре.
4. Исследование
ветроэнергетической установки парусно-флюгерного типа с вертикальной осью вращения
(на модели)
Результаты испытаний
На сегодняшний день мы успели
провести следующие исследования:
. Вначале мы решили проверить
на практике справедливость формулы
и использовать её
для определения скорости ветра:

Где:
F - сила давления воздушного потока [н],
Сx - коэффициент сопротивления, зависящий от формы тела,
р - плотность воздуха 1,29 [кг/м 3],
S - площадь поперечного сечения пластины [м 2]
Vв - скорость потока воздуха [м/с].
Опыт мы проводили следующим образом:
измерили с помощью динамометра силу
давления ветра на пластины
S=0.125 м2 - F =0.5 н
S=0.25 м2 - F =1 н
измерили скорость ветра с помощью
воздушного шара, секундомера и рулетки - Vв = 2 м/с (V=S/t)
определили частоту вращения нашей
ветроустановки без нагрузки
n = 2 об/сек,
вычислили линейную скорость середины
пластины D=0.5 м - Vпс = 1,6 м/с, крайней
точки D=1 м - Vпк = 3,2 м/с
- провели вычисления с
помощью электронной таблицы и сделали следующие выводы: а) формула 
справедлива и с её
помощью можно вычислять скорость ветра и создать прибор для вычисления скорости
ветра
б) крайние точки
пластины вращаются со скоростью выше скорости ветра и в справедливости формулы
стоит усомниться.
2. Измерили силу, при которой
ветроустановка начинала вращаться с подключенным генератором: F = 4н - согласно теории 2 это должно
было происходить при скорости ветра около 3,7 м/с. При наших испытаниях
скорость ветра не превышала 3 м/с и установка вращалась с частотой 0,4 об/сек.
Показания вольтметра и амперметра были незначительны - 0,6 v, 0.2 A.
Заключение
Модель ветроэнергетической установки
парусно-флюгерного типа работает и начинает вырабатывать электроэнергию при скорости
ветра более 2 м/с.
Коэффициент использования энергии
ветра (или КПД) такой установки выше 0,2.
Ветроэнергетическая установка
парусно-флюгерного типа с вертикальной осью вращения рассчитана на любые
характеристики ветрового потока. Установка способна вырабатывать электроэнергию
при минимальной скорости ветра. Чем медленнее вращается ротор, тем больше сила
взаимодействия с воздушным потоком, следовательно, можно ставить редуктор с
максимальным передаточным числом, автомобильный генератор и не заботиться об
управлении отбора мощности.
Для увеличения мощности при
известном ветре, достаточно просто увеличивать площадь паруса и количество
модулей.
Цель проекта - «разработка и
создание действующей модели альтернативного источника электроэнергии,
исследование его работы» в части «исследования его работы» требует продолжения.
Литература
1. Ветроэнергоресурсы и условия возведения ветроэнергетических
установок на территории Восточной Прибалтийско-Черноморской зоны Европы /
Лаврентьев Н.А., Волобуева Г.В., Гноевой А.И., Камлюк Г.Г., Евчук В.И.; под
научной редакцией Н.А. Лаврентьева. - Минск: Право и экономика, 2010. - 455 с.
. Жуков Д.Д., Лаврентьев Н.А. Энергию ветра - на ветер?. //
Архитектура и строительство. - 1999. - № 5. - С. 36-38.
. Патент на изобретение BY 4323. Ветроэнергетическая установка.
Лаврентьев Н.А., Хлебцевич В.А. Приоритет от 23.11.1998.
. Патент на изобретение BY 9608. Ветроэнергетическая установка.
Лаврентьев Н.А., Жуков Д.Д., Шляхтенко В.Г., Лаврентьева Ю.Н. Приоритет от
12.24.2003.