Пасив балансу, хатактеристика його розділів і статей. Система обліку на підприємстві 'ТОВ 'Бонум ГРУП'
РЕФЕРАТ
59 стор, 3
рис.,
8 табл., 35 літ., 4
дод.
На курсову роботу за темою: Пасив
балансу, хатактеристика його розділів і статей. Система обліку на підприємстві
«ТОВ
«Бонум
ГРУП».
Об’єкт роботи - процес
бухгалтерського обліку на підприємстві
Предмет роботи -
теоретико-методологічні та практичні аспекти організації та ведення
бухгалтерського обліку на підприємстві.
Мета курсової роботи - формування
системи знань з теорії та практики ведення бухгалтерського обліку на
підприємствах.
Завдання курсової роботи: Теоретично
розглянути питання пасиву балансу, дати характеристику його розділів і статей.
Розглянути теоретично-методологічні аспекти та проаналізовати практику
організації та ведення бухгалтерського обліку на ТОВ «Бонум ГРУП», вивчити
організаційну структуру та функцій бухгалтерії як структурного підрозділу
управління.. Набути навички щодо опрацювання і використання облікової
інформації в управлінні.
БУХГАЛТЕРСЬКИЙ ОБЛІК, ФОРМА ОБЛІКУ,
ОРГАНІЗАЦІЯ ОБЛІКУ, ОБЛІКОВІ РЕГІСТРИ
ЗМІСТ
ВСТУП
. Пасив балансу, характеристика
його розділів і статей
.1 Загальна характеристика
облікової політики на підприємстві
.2 Опис діючої на підприємстві
форми бухгалтерського обліку. Кореспонденція рахунків
.3 Характеристика балансу
.4 Характеристика статей пасиву
балансу
. СИСТЕМА ОБЛІКУ НА ТОВ «БОНУМ
ГРУП»
.1 Загальна характеристика
підприємства, опис організаційної структури
.2 Форма бухгалтерського обліку
на підприємстві, розкриття функціональних обов’язків працівників
бухгалтерського підрозділу
.3 Характеристика управлінського
плану рахунків, опис ступеню автоматизації аналітичного та синтетичного обліку
на підприємстві
. ПРАКТИЧНА ЧАСТИНА
.1 Журнал господарських
операцій
.2 Розкриття облікової
інформації та Т - рахунках
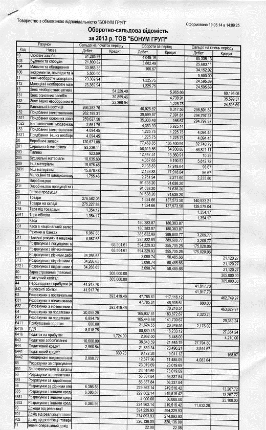
.3 Оборотно- сальдова відомість
ВИСНОВКИ
СПИСОК ВИКОРИСТАНОЇ ЛІТЕРАТУРИ
ДОДАТОК А
ДОДАТОК Б
ДОДАТОК В
ДОДАТОК Г
ВСТУП
Актуальність теми.
Бухгалтерський облік як система представляє собою сукупність елементів певного
змісту і форми, пов'язаних між собою та об'єднаних регулярною взаємодією. Це
система інформації про стан та рух ресурсів підприємства, про характер і
результати господарської діяльності, що відображає і узагальнює господарські
операції в єдиному грошовому вимірнику. Бухгалтерський облік виступає
з'єднуючою ланкою між виробничо-фінансовою діяльністю господарюючих суб'єктів і
особами, що приймають рішення, тому належні організація та його ведення є
передумовою ефективного функціонування підприємства.
Мета курсової роботи - формування
системи знань з теорії та практики ведення бухгалтерського обліку на
підприємстві ТОВ «Бонум Груп».
Завдання курсової роботи:
·
теоретично розглянути питання пасиву
балансу, дати характеристику його розділів і статей;
·
розглянути організаційну структуру
ТОВ «Бонум ГРУП» та зробити аналіз щодо організацій ведення бухалтерського
обліку на підприємстві;
·
набути навички щодо опрацювання і
використання облікової інформації в управлінні.
Об’єкт роботи - процес
бухгалтерського обліку на підприємстві ТОВ «Бонум Груп».
Предмет роботи -
теоретико-методологічні та практичні аспекти організації та ведення
бухгалтерського обліку на підприємстві ТОВ «Бонум Груп».
Методи роботи - теоретичною та
методичною основою курсової роботи є фундаментальні положення в галузі
організації та ведення бухгалтерського обліку, які визначені у чинних нормативно-правових
актах та висвітлені в наукових працях вітчизняних та зарубіжних учених.
Результати отримані з урахуванням
сукупності загальнонаукових та спеціальних методів наукового дослідження, а
саме: узагальнення - для розкриття сутності понятійного апарату організації та
ведення бухгалтерського обліку; графічних методів - для відображення
організаційних схем; монографічного методу - для дослідження організації та
ведення бухгалтерського обліку на ТОВ «Бонум Груп»; методу подвійного запису -
для відображення господарських операцій в системі бухгалтерських рахунків.
Практичні розрахунки виконано за допомогою програмного пакету MS Excel.
Інформаційна база роботи:
законодавчі акти та нормативні матеріали Верховної Ради України, Кабінету
Міністрів України, Державного комітету статистики України; публікації
періодичних та спеціалізованих вітчизняних і зарубіжних видань; дані
бухгалтерського обліку і звітності ТОВ «Бонум Груп».
1. Пасив
балансу, характеристика його розділів і статей
.1 Загальна
характеристика облікової політики на підприємстві
Облікова політика підприємства
істотно впливає на величини показників собівартості продукції, податків на
прибуток, додану вартість, майно, самого прибутку, а також на загальні
показники фінансового стану. Без аналізу облікової політики порівнювати
показники діяльності організації в різні періоди її діяльності не можна.
Питання щодо формування облікової
політики розглянуто у працях вітчизняних дослідників, а саме: С.В. Голова, В.С.
Леня, В.В. Гливенко, Ф.Ф. Бутинця, П.С. Безруких, В.Г. Швеця, М.С. Пушкаря,
М.Т. Щирби, С.В. Свірко, П.Є. Житнього та ін. Однак, незважаючи на значні
досягнення в теорії та практиці формування облікової політики, велика кількість
збиткових підприємств, низький рівень платоспроможності, фінансової
стабільності, ефективності господарювання та конкурентоспроможності вітчизняних
підприємств свідчать про її нерозв'язаність. Через мінливі умови зовнішнього
середовища, виникає необхідність формування облікової політики підприємства з
урахуванням вимог сучасного господарювання.
Відповідно до ст. 1 Закону України
"Про бухгалтерський облік і фінансову звітність в Україні",
"облікова політика - сукупність принципів, методів і процедур, які
використовуються підприємством для складання і подання фінансової звітності.
Основною її метою є забезпечення одержання достовірної інформації про
результати фінансово-господарської діяльності, необхідної для користувачів
фінансової звітності з метою прийняття відповідних управлінських рішень"
[1]. Тобто під обліковою політикою варто розуміти сукупність способів ведення
бухгалтерського обліку, прийняту підприємством - первинного спостереження,
вартісного виміру, поточного групування та узагальнення фактів господарського
життя.
Розглянемо, як визначають поняття
облікової політики на міжнародному рівні. Згідно з п.5 МСБО (IAS) 8
"Облікові політики, зміни в облікових оцінках та помилки",
"облікові політики - конкретні принципи, основи, домовленості, правила і
практика, застосовані суб'єктом господарювання при складанні та поданні
фінансових звітів" [4].
Таблиця 1.1 - Підходи до визначення
облікової політики
|
Автор
|
Визначення облікової політики
|
|
1 підхід
|
|
С.В. Свірко [30]
|
Сукупність облікових принципів, методів,
процедур та заходів для забезпечення якісного, безперервного проходження
інформації від етапу первинного спостереження до узагальнюючого - складання
фінансової звітності
|
|
С.В. Голов [19]
|
Сукупність принципів, методів і процедур, що
використовуються підприємством для складання фінансової звітності
|
|
В.С. Лень [24]
|
Сукупність принципів, методів і процедур, що
використовуються підприємством для складання та подання фінансової звітності
|
|
2
підхід
|
|
Ф.Ф. Бутинець [14]
|
Система способів і прийомів організації та
ведення обліку на конкретному підприємстві, закріплена відповідним внутрішнім
нормативним актом на визначений термін
|
|
П.С. Безруких [11]
|
Вибір підприємством конкретних методик, форм,
техніки ведення і організації бухгалтерського обліку, виходячи з встановлених
правил і особливостей діяльності (організаційних, технологічних, чисельності
і кваліфікації облікових кадрів, рівня технічного оснащення бухгалтерії)
|
|
П.Є. Житний [22]
|
Спосіб ведення бухгалтерського обліку, обраний
підприємством відповідно до умов його господарської діяльності
|
|
В.Г. Швець [33]
|
Сукупність конкретних методів і способів
організації та форм бухгалтерського обліку, прийнятих підприємством на
підставі загальних правил і особливостей господарської діяльності
|
|
3
підхід
|
|
О.В.
Пальчук [11]
|
Цілеспрямована діяльність людей з управління
бухгалтерським обліком для досягнення поставленої мети
|
|
Н.С.
Сахчинська [15]
|
Облікова політика є вагомим інструментом в
управлінні комер- ційною організацією
|
|
П.Є.
Житний [12], М.С.
Пушкар, М.Т. Щирба [14], Н.Г.
Шпановська [17]
|
Облікова політика - один із методів управління
діяльністю суб'єкта Господарювання
|
На підприємстві ТОВ «Бонум Груп»
нема жодного внутрішнього документу, який регламентував би організацію та
ведення обліку, основні положення визначаються на підприємстві чинним
законодавством.
Тому пропонуємо підприємству ТОВ «Бонум
Груп» розглянути складові, за якими формується зміст облікової політики, які
представлено в таблиці 1. 2.
Таблиця 1.2 - Зміст Наказу про
облікову політику
|
НАКАЗ ПРО ОБЛІКОВУ ПОЛІТИКУ
|
|
Облікова політика
|
|
Теорія
|
Включає принципи обліку, законодавчі акти,
наукові положення конструювання підсистем обліку. Основним змістом цього
розділу є визначення теоретичних основ бухгалтерського обліку (предмет,
методи, правила складання документів, регістрів, звітності), положення та
нормативні акти з питань організації обліку в Україні
|
|
Організація
|
Визначає структуру бухгалтерії
(централізовану, децентралізовану, змішану систему обробки інформації),
розробку інструкцій, внутрішніх стандартів, спосіб ведення обліку, взаємодію
бухгалтерії з управлінськими службам й та інші аспекти діяльності облікового
апарату
|
|
Методика
|
Включає принципи та правила отримання,
обробки, фіксації, передачі інформації оцінки, ведення рахунків, критеріїв
розмежування основних засобів та МШП, нарахування амортизації обліку
ремонтів, оцінки запасів та готової продукції списання витрат майбутніх
періодів, визначення обсягу реалізації продукції встановлення резерву
сумнівних та безнадійних боргів, обліку та розподілу накладних витрат і
включення їх до собівартості утворення статутного (акціонерного, додаткового,
резервного) капіталу, визначення результатів діяльності (щомісяця,
щокварталу, раз в рік), фондів спеціального призначення тощо
|
|
Технологія
|
Передбачає
використання наступних елементів: план рахунків
бухгалтерського обліку форма бухгалтерського обліку документообіг організація
внутрішнього контролю порядок складання регістрів обліку та форм звітності
проведення інвентаризації майна та зобов'язань
|
Враховуючи значення дієслова
«формувати», процес формування облікової політики передбачає сукупність дій
щодо:
встановлення переліку об'єктів
облікової політики залежно від ряду факторів;
вибору за кожним об'єктом елементів
облікової політики.
Начебто облікова політика збирає у
собі інформацію яка вже зазначена у законодавстві та положеннях, проте ми
вважаємо що все одно кожному підприємству треба розробляти облікову політику, і
вести облік згідно чинного документі на підприємстві ТОВ «Бонум Груп». Не
можемо сказати, що це негативний момент ведення обліку на підприємстві, і він
зводить його на помилки, проте краще б воно було розробити наказ про облікову
політику. Тому пропонуємо у наступному році внести ці доробки в облік.
1.2 Опис
діючої на підприємстві форми бухгалтерського обліку. Кореспонденція рахунків
Однією з важливих передумов
раціональної організації обліку є застосування найбільш ефективної форми
бухгалтерського обліку, його технічної оснащеності
Під формою бухгалтерського обліку
розуміють певну систему взаємопов'язаних між собою облікових регістрів
встановленої форми і змісту, що зумовлює послідовність і способи облікових
записів.
Основними відмітними ознаками, що
визначають особливості окремих форм бухгалтерського обліку, є: зовнішній вигляд
і будова облікових регістрів, взаємозв'язок регістрів синтетичного й
аналітичного обліку, послідовність і техніка облікової реєстрації.
Сучасними формами бухгалтерського
обліку, що застосовуються на підприємствах і в організаціях України, є:
· меморіально-ордерна
(контрольно-шахова),
· Журнал-головна,
· журнально-ордерна,
· автоматизована
(комп'ютерна),
· спрощена форма
обліку.
Меморіально-ордерна
(контрольно-шахова) форма бухгалтерського обліку характеризується застосуванням
книг для ведення синтетичного обліку і карток - для аналітичного
[27].
На підставі оформлених і перевірених
документів (первинних або згрупованих) складають меморіальні ордери. В них
роблять посилання на документ, що служить підставою для записів (або коротко
викладається зміст запису), його номер і дата складання, вказуються
кореспондуючі рахунки по даній операції і суми. Це допомагає упорядкуванню
облікових записів.
Меморіальні ордери складають на
окремих бланках або на самому документі, якщо на ньому відтворена (друкарським
або іншим способом) форма ордера. Меморіальні ордери реєструють у
хронологічному регістрі синтетичного обліку - Реєстраційному журналі
[26].
Після реєстрації дані меморіальних
ордерів записують у Головну книгу, яка є систематичним регістром синтетичного
обліку. Рахунки у Головній книзі будують за шаховим принципом у вигляді
двосторонніх багатографних таблиць, окремі графи яких призначені для запису
операцій у розрізі кореспондуючих рахунків. Така будова Головної книги полегшує
контроль кореспондуючих рахунків, дає змогу аналізувати обороти за даними
рахунків синтетичного обліку.
Аналітичний облік при меморіально-ордерній
формі ведуть, як правило, на картках, а касових операцій - у Касовій книзі.
Записи в регістри аналітичного обліку роблять із первинних документів, доданих
до меморіального ордера. Після закінчення місяця підраховують підсумки і
складають оборотні (або сальдові) відомості по рахунках аналітичного обліку.
Дані цих відомостей звіряють з оборотами і залишками відповідних синтетичних
рахунків. Цим досягається взаємна перевірка достовірності записів на рахунках
синтетичного й аналітичного обліку. Після звірки записів за даними рахунків
складають баланс та інші форми звітності.
Форма бухгалтерського обліку
Журнал-головна є спрощеним варіантом меморіально-ордерної форми і
застосовується на невеликих за обсягом діяльності підприємствах і в
організаціях, план рахунків яких передбачає незначну кількість рахунків
синтетичного обліку (малі підприємства, бюджетні установи та ін.).
Свою назву ця форма обліку одержала
від основного її регістру синтетичного обліку - книги Журнал-головна
[27].
Особливістю форми бухгалтерського
обліку Журнал-головна є суміщення хронологічного і систематичного обліку по
синтетичних рахунках в одному комбінованому обліковому регістрі - книзі
Журнал-головна, яка поєднує у собі реєстраційний журнал і Головну книгу. У
лівій частині книги (перші чотири графи) ведуть хронологічну реєстрацію
здійснюваних господарських операцій, оформлених відповідними документами. В них
записують дату, номер, зміст операції, суму. Ця частина книги замінює
реєстраційний журнал. Права частина книги поділена на кілька подвійних граф і
призначена для систематизації зареєстрованих господарських операцій по дебету і
кредиту відповідних синтетичних рахунків. Ця частина книги заміняє головну
книгу.
Аналітичний облік при формі
Журнал-головна ведуть на картках або в книгах. Господарські операції в них
записують на підставі виправдних документів, доданих до меморіальних ордерів.
Наприкінці місяця за даними карток (книг) складають оборотні відомості по
рахунках аналітичного обліку, підсумки яких порівнюють з оборотами і залишками
відповідних синтетичних рахунків, що містяться у книзі Журнал-головна, і
встановлюють правильність відображених господарських операцій в облікових
регістрах. За даними книги Журнал-головна складають бухгалтерський баланс
[23].
Журнально-ордерна форма бухгалтерського
обліку ґрунтується на широкому застосуванні системи накопичувальних і
групувальних облікових регістрів - журналів-ордерів і допоміжних відомостей до
них.
Записи в журнали-ордери (основні
регістри) здійснюються безпосередньо на підставі виправдних документів в міру
їх надходження і опрацювання (без складання меморіальних ордерів). При значній
кількості однорідних документів по операціях їх дані попередньо групують у
допоміжних відомостях, місячні підсумки яких переносять потім у відповідні журнали-ордери.
У журналах-ордерах хронологічний і
систематичний облік суміщені. Звідси зрозуміла і сама назва цих регістрів: вони
одночасно служать журналами (оскільки записи в них здійснюють в хронологічному
порядку) і ордерами (оскільки місячні підсумки журналів-ордерів за
кореспондуючими рахунками замінюють собою меморіальні ордери).
За зовнішнім виглядом журнали-ордери
являють собою окремі аркуші-регістри багатографної форми, призначені для
кредитових записів того балансового рахунка, операції по жому облічуються в
даному журналі-ордері. В окремих графах журналу-ордера вказані рахунки, які
кореспондують з кредитом даного рахунка. Формат цих регістрів, розміщених граф
і порядок записів залежать від особливостей облічуваних операцій. В усіх
регістрах завчасно надрукована типова кореспонденція рахунків. Кожному
журналу-ордеру присвоюють постійний номер [27].
Однією із суттєвих переваг
журнально-ордерної форми обліку перед іншими формами є пристосованість
облікових регістрів для складання звітності. Для цього в журналах-ордерах
завчасно передбачають перелік показників звітності, за якими і здійснюється
поточний облік. Це дає змогу без додаткових вибірок і розрахунків одержувати
безпосередньо із облікових регістрів інформацію для складання звітності.
Таким чином, важливою особливістю
журналів-ордерів є пристосованість облікових регістрів для складання звітності.
Як зазначалося раніше, записи у журнали-ордери здійснюють у хронологічному
порядку в міру надходження і опрацювання документів. На кожному документі вказують
номер журналу-ордера і порядковий номер запису. Відпрацьовані документи
зберігають у окремих папках і підшивають в порядку послідовності зроблених
записів у журналі-ордері, що забезпечує можливість швидкого знаходження
потрібного документа. Журнали-ордери можуть складатися також за допомогою
використання обчислювальної техніки [21].
Після складання балансу
журнали-ордери здають до бухгалтерського архіву, де їх переплітають в окремі
папки з дотриманням хронологічної послідовності.
Діалогово-автоматизована
(комп'ютерна) форма бухгалтерського обліку ґрунтується на комплексному
використанні швидкодіючих ЕОМ, які забезпечують автоматизований процес
збирання, реєстрації й опрацювання облікової інформації, необхідної для
контролю й управління. Порядок опрацювання первинної документації на ЕОМ
визначається системою програмного забезпечення, яка керує цим процесом. Дані
первинних документів накопичуються у запам'ятовуючому пристрої ЕОМ (магнітні
диски, магнітні стрічки).
При цьому для кожного синтетичного й
аналітичного рахунка відводиться окреме місце зберігання інформації. У
запам'ятовуючий пристрій ЕОМ вводяться також початкові залишки на рахунках,
планові і нормативні дані, необхідні для обліку і контролю. Систематизація
введеної інформації на рахунках здійснюється автоматично: досить ввести змінну
інформацію один раз, тобто вказати код інформації і суму, як машина за її
номером вибирає із класифікатора код рахунків, що дебетуються і кредитуються.
Первинна інформація вводиться у
комп'ютерну систему програмістом або самим бухгалтером, який здійснює
візуальний і машинний контроль, веде діалог, виправляє помилки, опрацьовує за
допомогою комп'ютера інформацію; за допомогою друкуючого пристрою отримує
відповідні машинограми (документів, регістрів синтетичного й аналітичного
обліку, оборотних і сальдових відомостей, балансу та інших форм звітності)
[26].
Дані регістри складаються щомісячно
і підписуються головним бухгалтером або особою, на яку покладено ведення
бухгалтерського обліку, залежно від форми організації ведення бухгалтерського
обліку, передбаченої п. 4 ст. 8 розділу III Закону про бух облік (№ 996).
Формування даних для записів у
регістрах бухгалтерського обліку здійснюється групуванням однакової за
економічним змістом інформації первинних документів в допоміжних відомостях,
аркушах-розшифровках і інших зведених документах. При цьому розріз
(деталізація) інформації в регістрах бухгалтерського обліку може розширюватися.
Первинні документи поточного місяця
комплектуються до кожного регістра бухгалтерського обліку в хронологічному і
систематичному (по відношенню до регістра) порядку, нумеруються і зшиваються з
вказівкою приналежності до регістра і періоду.
Всі господарські операції повинні
відображатися в регістрах бухгалтерського обліку за той звітний період, в якому
такі операції відбулися.
Слід зазначити, що систематизація
даних про операції з об'єктами забалансового обліку ведеться у відомості 8
забалансового обліку.
Спрощена форма бухгалтерського
обліку застосовується малими підприємствами, якщо не виконуються умови для
застосування простої форми бухгалтерського обліку (кількістю господарських
операцій за місяць не більше 300) або за власним вибором суб'єкта
господарювання.
Сума будь-якої операції
відображається у відомості обліку за рахунком, що кредитується, в графі
рахунку, що дебетується, і одночасно (за сумою операції або загальним підсумком
оборотів за місяць) у відомості обліку за рахунком, що дебетується, з вказівкою
кореспондуючого рахунку.
Залишки коштів у відомості мають
бути зіставлені з відповідними даними первинних і зведених документів, на
підставі яких були зроблені відповідні записи. До таких документів можна
віднести звіт касира, банківські виписки і т. ін.
В обов'язковому порядку у відомостях
указується місяць, за який вони складаються.
Підсумкові записи з відомостей
переносяться в оборотно-сальдову відомість, яка використовується для
узагальнення даних регістрів бухгалтерського обліку за кожним рахунком
бухгалтерського обліку.
Оборотно-сальдова відомість
заповнюється перенесенням кредитових оборотів з регістрів бухгалтерського
обліку. При цьому дебетові обороти оборотно-сальдової відомості за кожним
рахунком бухгалтерського обліку повинні дорівнювати дебетовому обороту за
відповідним рахунком бухгалтерського обліку у відповідному регістрі (відомості)
бухгалтерського обліку.
Тобто ознакою правильності складання
оборотно-сальдової відомості є наявність трьох попарно рівних підсумків:
) Сальдо на початок періоду за
дебетом всіх рахунків = Сальдо на початок періоду за кредитом всіх рахунків.
) Обороти за дебетом всіх рахунків =
Обороти за кредитом всіх рахунків.
) Сальдо на кінець періоду за
дебетом всіх рахунків = Сальдо на кінець періоду за кредитом всіх рахунків.
Інформація про господарські операції
підприємства за звітний період (місяць, квартал, рік) з облікових регістрів
використовується для складання фінансової звітності ТОВ «Бонум Груп».
Розглянемо приклади організації та
відображення в обліку господарських операцій.
Кореспонденцію бухгалтерських
рахунків з продажу та іншого вибуття готової продукції і товарів представлено у
таблиці 1.3.
Таблиця 1.3 - Кореспонденція
бухгалтерських рахунків при реалізації та іншому вибутті готової продукції і
товарів
|
Зміст господарської операції
|
Кореспондуючі рахунки
|
|
Дебет
|
Кредит
|
|
1
|
2
|
3
|
|
Списано балансову вартість готової продукції,
що реалізується
|
901 "Собівартість реалізованої готової
продукції"
|
26 "Готова продукція"
|
|
Відображено зменшення(списання) суми торгових
націнок на реалізовані товари
|
285 "Торгова націнка"
|
26 "Готова продукція"
|
|
Списано собівартість реалізованої готової
продукції і товарів на фінансові результати
|
791 "Результат операційної
діяльності"
|
90 "Собівартість реалізації"
|
|
Нараховано покупцям заборгованість по оплаті
за відвантажений товар
|
36 "Розрахунки з покупцями та
замовниками"
|
70 "Доходи від реалізації"
|
|
Внесено покупцям належні до оплати суми у касу
або на розрахунковий рахунок продавця в банку
|
30 "Готівка" 31
"Рахунки в банках"
|
36 "Розрахунки з покупцями та
замовниками"
|
|
Відображено отримання векселя від покупця в
рахунок забезпечення оплати за відвантажений йому товар у майбутньому
|
162 "Довгострокові векселі одержані"
|
36 "Розрахунки з покупцями та
замовниками"
|
|
34 "Короткострокові векселі
одержані"
|
|
|
Внесено покупцем належні до оплати суми у касу
або на розрахунковий рахунок продавця у банку в рахунок погашення раніше
виданого векселя
|
30 "Готівка" 31
"Рахунки в банках"
|
162 "Довгострокові векселі одержані"
34 "Короткострокові векселі одержані"
|
|
Відображено суму податкового зобов'язання, яке
виникло за результатами проведеної реалізації (за умови, що продавець є
платником ПДВ)
|
70 "Доходи від реалізації"
|
64 "Розрахунки за податками й
платежами"
|
|
Віднесено суму доходу від реалізації за
вирахуванням ПДВ на фінансові результати
|
70 "Доходи від реалізації"
|
791 "Результат операційної
діяльності"
|
|
Відображено отримання прибутку за результатами
реалізації готової продукції
|
79 "Фінансові результати"
|
44 "Нерозподілені прибутки (непокриті
збитки)"
|
|
Відображено отримання збитку за результатами
реалізації готової продукції
|
44 "Нерозподілені прибутки (непокриті
збитки)"
|
79 "Фінансові результати"
|
|
Списано на витрати виробництва готову
продукцію
|
23 "Виробництво"
|
26 "Готова продукція"
|
|
Відображено суму уцінки готової продукції
|
946 "Втрати від знецінення запасів"
|
26 "Готова продукція"
|
|
|
|
|
Організація праці облікового
персоналу потребує здійснення управління обліковим персоналом та створення
сприятливих умов для функціонування бухгалтерії підприємства, а саме:
визначитись з найбільш ефективним варіантом роботи облікового персоналу
(централізований або децентралізований) та оптимальною структурою бухгалтерії;
розробити функціональні обов’язки облікових працівників та встановити контроль
за виконанням ними своїх функцій; здійснити раціональне розміщення облікового
персоналу, встановити належні інформаційні зв’язки між окремими частинами
бухгалтерії та між бухгалтерією і оперативними підрозділами підприємства;
організувати робочі місця бухгалтерів, їх технічне забезпечення; забезпечити
підвищення кваліфікації облікових працівників.
Законом про бухгалтерський облік
передбачено декілька варіантів організаційної форми ведення бухгалтерського
обліку на підприємствах [1]:
введення до штату підприємства
посади бухгалтера, або створення бухгалтерської служби на чолі з головним
бухгалтером;
користування послугами спеціаліста з
бухгалтерського обліку, зареєстрованого як підприємець, який здійснює
підприємницьку діяльність без створення юридичної особи;
ведення на договірних засадах
бухгалтерського обліку централізованою бухгалтерією або аудиторською фірмою;
самостійне ведення бухгалтерського
обліку та складання звітності безпосередньо власником або керівником
підприємства.
Організація праці облікового
персоналу потребує здійснення управління обліковим персоналом та створення
сприятливих умов для функціонування бухгалтерії підприємства. Для цього
необхідно вирішити ряд завдань:
визначитись з найбільш ефективним
варіантом роботи облікового персоналу (централізований або децентралізований)
та оптимальною структурою бухгалтерії;
розробити функціональні обов’язки
облікових працівників та встановити контроль за виконанням ними своїх функцій;
здійснити раціональне розміщення
облікового персоналу, встановити належні інформаційні зв’язки між окремими
частинами бухгалтерії та між бухгалтерією і оперативними підрозділами
підприємства;
організувати робочі місця
бухгалтерів, їх технічне забезпечення;
– забезпечити підвищення
кваліфікації облікових працівників.
1.3
Характеристика балансу
обліковий управлінський
бухгалтерський рахунок
Згідно з Національними стандартами
бухгалтерського обліку затверджено наказом Міністерства фінансів України № 73
від 07 лютого 2013 р. та зареєстровано в Міністерстві юстиції України №
336/22868 від 28 лютого 2013 р. Положення (стандарт) бухгалтерського обліку 1
«Загальні вимоги до фінансової звітності».
Цим Національним положенням (стандартом)
визначаються мета, склад і принципи підготовки фінансової звітності та вимоги
до визнання і розкриття її елементів.
Баланс підприємства є основною
формою фінансової звітності.
Баланс складається з двох частин:
Активу, де представлені господарські засоби, і Пасиву, де згруповані їхні
джерела. Основним елементом бухгалтерського Балансу є стаття (активна чи
пасивна).
Оскільки у Балансі відображаються
активи (ресурси, контрольовані підприємством в результаті минулих подій,
використання яких, як очікується, приведе до надходження економічних вигод у
майбутньому), зобов'язання (заборгованість підприємства, яка виникла внаслідок
минулих подій і погашення якої, як очікується, приведе до зменшення ресурсів
підприємства, що втілюють в собі економічні вигоди) та власний капітал (частина
в активах підприємства, що залишається після вирахування його зобов'язань), то
підсумок Активу Балансу повинен дорівнювати сумі зобов'язань та власного
капіталу, тобто Пасиву Балансу.
В енциклопедичному словнику Брокгауза
й Ефрона під балансом розуміють ваги, рівновагу між дебетом і кредитом, причому
розрізняють рахунки вхідного балансу, якщо ними відкриваються комерційні книги,
й рахунки вихідного балансу, якщо вони виводяться при закритті рахунків. Щоб
скласти правильний баланс, необхідно попередньо перевірити всі рахунки, потім
урівноважити дебет і кредит. Розрізняють брутто-баланс та нетто-баланс, залежно
від того враховані лише дебет і кредит окремих рахунків або всіх рахунків [9,
с. 90-95].
В.Г. Швець вважав, що бухгалтерський
баланс - це метод узагальнення даних через рахунки і подвійний запис [35, с.
46]. А В.В. Сопко говорив що, бухгалтерський баланс - це таблиця, в якій
наведено характеристику стану майна господарства за певними ознаками поділу
продуктивних сил (основні засоби, матеріали, гроші тощо) у вартісному вираженні
і характеристику того самого майна з власницьких відносин (скільки власних і
позичених коштів укладено в господарство, господарську діяльність). Перший
аспект має назву «актив», другий - «пасив» [30, с. 36]. Л.В. Чижевська для себе
виділяла такий зміст, що бухгалтерський баланс - це спосіб узагальненого
відображення в грошовій оцінці стану господарських засобів, власності та
зобов’язань на певну дату у формі звітної таблиці, складеної бухгалтером для
внутрішніх та зовнішніх користувачів з метою прийняття ними управлінських та
інвестиційних рішень [33, с. 26-27].
Вивчення літературних джерел і
публікацій показує, що, зважаючи на повне розуміння практичного значення
вхідного, вихідного, місячного, пробного, чистого чи іншого балансів,
бухгалтерський баланс - це звітна таблиця, одна з форм фінансової звітності, що
містить відомості про стан і розміщення господарських засобів підприємства та
їх джерел у грошовій оцінці на певну дату. Сьогодні, як і у ті часи, основою
балансу є постулат німецького вченого І.Ф. Шера, що баланс - це рівність активу
і пасиву, крім того, це документ, який побудований у формі рахунків у заключний
день операційного періоду. Як бачимо, ідею німецької школи поступово запозичили
російські та українські вчені.
1.4
Характеристика статей пасиву балансу
Статті бухгалтерського Балансу - це
показники, що відображають стан на відповідну дату окремих видів господарських
засобів, коштів і джерел їх утворення. Кожна стаття Балансу має грошовий вираз,
що називається оцінкою статті. Загальним принципом оцінки засобів для Балансу є
оцінка за їх фактичною собівартістю.
І розділ Пасиву Балансу «Власний
капітал».
У статті «Зареєстрований (пайовий)
капітал» приводять зафіксовану в установчих документах суму статутного,
пайового та іншого зареєстрованого капіталу.
У статті «Капітал у дооцінках»
відображають суму дооцінки необоротних активів і фінансових інструментів.
У статті «Додатковий капітал»
відображають: 1) емісійний дохід (сума, на яку вартість реалізації випущених
акцій первищує їх номінальу вартість; 2) вартість безкоштовно отриманих
необоротних активів; 3) суму вкладеного засновниками капітала понад статутного;
4) накопичені курсовві різниці, які відображаються у складі власного капіталу;
5) інші складові додаткового капіталу.
У статті «Резервний капітал»
відображають суму резервів, створених за рахунок нерозподіленого прибутку.
У статті «Нерозподілений прибуток
(непокритий збиток)» розкривають суму отриманого підприємством прибутком чи
збитку за період. У випадку зі збитком його наводять у дужках і віднімають від
підсумкової суми по першому розділу.
У статті «Неоплачений капітал»
відображають суму заборгованості власників (учасників) за внесками до
статутного капіталу. Як і у випадку зі збитком, суму наводять у дужках і
віднімають від підсумкової суми по першому розділу.
У статті «Вилучений капіітал»
господарські спільноти відображають фактичну собівартість акцій власної емісії
або часток. Сума наводиться в дужках і підлягає вирахуванню при визначенні
підсумку поточного розділу.розділ Пасиву Балансу «Довгострокові зобов’язання і
забезпечення»
У статті «Відстрочені податкові
зобов’язання» відображається сума податку на прибуток, яка буде сплачена
підприємствами в майбутньому в наслідок тимчасової різниці між бухоблікових та
податковою базами оцінки активів і зобов’язань.
У статті «Довгострокові кредити
банків» заносятся суми довгострокової ( понад двандцять місяців) і відстроченої
заборгованості банками за отриманими кредитами як у національній, так і в
іноземній валюті.
У статті «Інші довгострокові
зобов’язання» наводяться суми довгострокових заборгованостей підприємства, не
внесених в інші статті поточного розділу, враховуючи забов’язання за залученими
позиковими коштами (окрім кредитів банків), на які нараховуються відсотки.
У статті «Довгострокові
забезпечення» відображають нараховані у звітному педіоді майбутні витрати і
платежі (витрати на оплату майбутніх відпусток, гарантійні зобов’язання),
розмір яких на дату складання балансу може бути визначений тільки шляхом
попередніх (прогнозних) оцінок.
У статті «Цільове фінансування»
показують отримане і невитрачене цільове фінансування і цільові надходження, у
тому числі кошти, вивільнені від оподаткування у зв’язку з наданням пільг з
податку на прибуток підприємств.
ІІІ розділ Пасиву Балансу «Поточні
забов’язання
та забезпечення»
У статті «Короткострокові кредит
банків» відображають суму позик, отриманих в банках, і які підлягають погашенню
на протязі 12 місяців або термін погашення яких минув.
У статті «Поточна кредиторська
заборгованість за довгостроковими зобов’язаннями» показує суму довгострокових
зобов'язань, яка підлягає погашенню протягом 12 місяців від дати балансу.
У статті «Поточна кредиторська
заборгованість за товари, роботи, послуги» відображає вартість матцінностей,
виконані роботи та отримані послуг (крім заборгованості, забезпеченої
векселями), за які підприємство залишається належним на звітну дату.
У статтю «Поточна кредиторська
заборгованість за розрахунками з бюджетом»
входять
заборгованості підприємства за всіма видами платежів до бюджету, включаючи
податок а доходи фізичних осіб.
У статті «Поточна кредиторська
заборгованість за розрахунками з бюджетом у тому числі з податку на прибуток»
окремо
розкривають суму заборгованості підприємства з податку на прибуток на звітну
дату.
У статті «Поточна кредиторська
заборгованість за розрахунками зі страхування» показується сума заборгованості
за відрахуваннями на загальнообов'язкове державне соціальне страхування майна
підприємства та індівудуальності страхування його працівників.
У статті «Поточна кредиторська
заборгованість за розрахунками з оплати праці» приводять заборгованість по
заробітній платі перед працівниками підприємства, включаючи депоновану
зарплату.
У статті «Поточні забезпечення»
вказують суму забезпечень, які планують використати протягом 12 місяців від
дати балансу, на покриття витрат, для яких відповідне забезпечення
створювалося.
У статті «Доходи майбутніх періодів»
зазначають доходи, отримані в перебігу поточного або попередніх звітних
періодів, які належать до наступних звітних періодів.
У статті «Інші поточні зобов’язання»
показують суми зобов'язань, для відображення яких за ознаками суттєвості не
можна було виділити окрему статтю і які не можуть бути включений в інші статті
поточного розділу.
IV
розділ
Пасиву Балансу «Забов’язання,
пов’язані
з необоротними активами, утримуваними для продажу, та групами вибуття». Тут
відображають зобов'язання, пов'язані з необоротними активами н групами вибуття,
утримуваними для продажу, які визначають за П (С) БО 27.
Отже, у першому розділі курсової
роботи теоретично розлянуто характеристику статей Пасиву Балансу. Він містить у
собі чотири розділи та двадцять дві статті. Складання бухгалтерського балансу є
завершальним етапом облікового процесу на підприємстві, головна мета якого є
представлення фінансової інформації у стислій, компактній формі. Зважаючи на
інформаційну перегруженість балансу статтями, які навіть не заповнюються, і є
специфічними для окремих підприємств, пропонується складати баланс за новою
формою, яка є більш компактна, та наближатися до міжнародних стандартів обліку
і надавати більшу свободу при складанні балансу. Розглянута структура
бухгалтерського балансу дає змогу пізнати підприємство, дати характеристику стану
господарських засобів і джерел їх формування на звітну дату в грошовому
вимірнику. Тому не випадково баланс є першою формою звіту про фінансовий стан
підприємства.
2. СИСТЕМА ОБЛІКУ НА ТОВ «БОНУМ
ГРУП»
2.1
Загальна характеристика підприємства, опис організаційної структури
Торгова марка ТОВ «Бонум Груп»: «GBG
«GRAPHITE BONUM ГРУП».
ТОВ «БОНУМ ГРУП» має власне
виробництво промислових ущільнень :
Прокладки спірально - навиті з
ущільнювачем з терморозширенного графіту ТРГ або фторопласта ПТФЕ ( PTFE , фторопласт
-4);
Сальникові кільця (пресовані з
графітової паперу ТРГ) ;
Фланцеві прокладки на металевому
зубчастому підставі з ущільнювачем з терморозширенного графіту ТРГ ;
Фланцеві прокладки графітові
армовані ;
Фланцеві прокладки графітові
неармовані .
Компанія ТОВ «Бонум Груп» має прямі
зв'язки з Китаєм.
ТОВ «Бонум Груп» є дилером і
представником провідного китайського виробника «Ічан Сіньчен Графіт, Ltd ».
Працюючи в режимі « оn лінії» з китайськими партнерами, наша компанія має
можливість мобільного моніторингу ринку китайських виробників. Ми працюємо і
створюємо умови іншим компаніям для роботи за прямими експортними / імпортними
контрактами.
Ми пропонуємо широкий асортимент
основної продукції :
) Графітове ( натуральне ) сировину
та вироби з графіту:
Графіт природний лускатий ;
Експандованих ( окислений ,
підготовлений для терморозширений ) графіт ТРГ ;
Графітова папір ТРГ ;
Графітова стрічка ТРГ (протипожежна
) ;
Графітові нитки ТРГ ;
Сальникова набивка ТРГ ;
Прокладки фланцеві графітові ТРГ ;
Прокладки спірально - навиті ТРГ ;
Прокладки на зубчастому підставі ТРГ
;
Сальникові кільця ТРГ ;
Графітові електроди ( для
електроплавильних печей ) ;
Тиглі для плавки кольорових і
дорогоцінних металів ;
Графітові мастила;
Інші графітові вироби (на
замовлення).
) Прокладки і набивання з
політетрафторетилену ПТФЕ (PTFE , фторопласт).
ДОДАТКОВІ ПОСЛУГИ - постачання
наступної продукції ( під замовлення):
Вогнетривкі вироби ( в тому числі по
ТУ та кресленнями Замовників ) : Муллітові ( високоалюмініевие ) , периклазовие
, періклазоуглеродістие;
Металургійна сировина : магнезія
палена технічна ; магнезит спечений 92 % -97 %; магнезит плавлений 97,5 % хв;
боксити 88 %; олівін 44 % і 50 %; каолін ; порошкові добавки для виплавки
сталей ; дротові флюси ; алюміній ( чушки , стрижні , катанка ) ;
Поліфосфат натрію ( NaPO3 ) 6 ;
Устаткування промислового та
сервісного призначення. ;
Будівельні матеріали. ;
Послуги на ринку Китаю
(посередницькі та інформаційно- комерційні).
Щодо організаційної структури
підприємства ТОВ «Бонум Груп». Організаційна структура управління - це
впорядкована сукупність взаємопов'язаних елементів, що знаходяться між собою у
стійких взаємостосунках, які забезпечують їх функціонування і розвиток як
єдиного цілого.
Тому, організаційна
структура повинна:
- відображати цілі і завдання
організації, підпорядковуватись виробництву і змінюватись разом з ним;
відображати функціональний розподіл
праці і обсяг повноважень працівників управління, які визначаються політикою,
процедурами, правилами, посадовими інструкціями;
відповідати соціально-культурному
середовищу і умовам в яких вона буде функціонувати. Тому спроби сліпо копіювати
структури управління, які мають успіх не призведуть до бажаного результату,
якщо умови будуть різними;
встановлювати відповідність функцій
і повноважень посадової особи з однієї сторони і рівня культури з іншої.
Організаційна структура визначає
розподіл відповідальності і повноважень усередині організації (рисунок 2.1).
Рисунок 2.1 - Організаційна структура
підприємства ТОВ «Бонум Груп»
Засновник може виконувати функції
директора без зарплати, якщо між ним та підприємством не виникають трудові
відносини. Так і на нашому підприємстві ТОВ «Бонум Груп». Йому
підпорядковуються усі ланки підприємства : головний бухгалтер, менеджер та
начальник виробництва.
Бухгалтерія на підприємстві
складається с 2 осіб - Головного бухгалтера і бухгалтера. Скоріш за все
бухгалтер займається обліком виробництва продукції та обліком основних об’єктів
підприємства, та неодмінно виконує усі вимоги головного бухгалтера.
Менеджер займається просуванням
продукції на ринку та її збутом.
Начальник виробництва, він же
начальник складу, контролює працю трьох робітників на виробництві, які
виробляють основну продукцію.
Важливо докладно розглянути
організацію бухгалтерії на підприємстві ТОВ «Бонум Груп», бо від неї залежить
правильність ведення обліку на підприємстві. Проте так як підприємство не
велике, та не має великого обсягу робіт, то бухгалтерія складається з 2
чоловік.
Бухгалтерія - самостійний
структурний підрозділ підприємств і організацій, що здійснює бухгалтерський
облік, складання звітності. Бухгалтерія ТОВ «Бонум Груп» має такий вигляд:
Рисунок 2.2 - Структура бухгалтерії
ТОВ «Бонум Груп»
Елементами структури можуть бути як
окремі працівники, служби так і окремі ланки апарату управління, а
взаємозв'язки між ними підтримуються через горизонтальні і вертикальні зв'язки,
які носять лінійний і функціональний характер. Підприємство ТОВ «Бонум Груп»
носить лінійний характер.
Цей вид організаційної структури є
сприятливим для стабільної та міцної організації, тому що кожен управлінець
підпорядковується лише одному керівникові.
2.2 Форма
бухгалтерського обліку на підприємстві, розкриття функціональних обов’язків
працівників бухгалтерського підрозділу
На підприємстві ТОВ «Бонум Груп»
бухгалтерський облік здійснує бухгалтерія на чолі з головним бухгалтером, які
введені у штат підприємства.
Організаційна побудова бухгалтерії
ТОВ «Бонум Груп» - це форма поділу та кооперування праці, яка передбачає
розподіл усього комплексу облікових, контрольних та аналітичних робіт між
виконавцями [12].
Вибір централізованої або
децентралізованої форми роботи облікового персоналу залежить від організаційної
структури та рівня централізації системи управління підприємства.
Централізована форма організації облікового персоналу передбачає такий порядок
обробки облікової інформації: первинні документи оформлюються в структурних
підрозділах підприємства і у встановлені строки надходять до бухгалтерії, де
первинна інформація обробляється, реєструється, систематизується в розрізі
синтетичних та аналітичних рахунків і узагальнюється у формах бухгалтерської
звітності.
На підприємстві ТОВ «Бонум Груп» має
місто централізована форма організаційної побудови апарату облікової служби, за
централізованою формою весь обліковий персонал методично та адміністративно
підпорядкований головному бухгалтеру підприємства.
Розрізняють три
типи організаційних структур апарату бухгалтерського обліку господарської
діяльності: лінійну або просту лінійно-штабну, або ступінчасту і комбіновану,
або багатогранну.
На підприємстві ТОВ «Бонум Груп» тип
організаційної структури бухгалтерського апарату - лінійний (див.малюнок 2.3).
В основу лінійного типу організації
бухгалтерії на ТОВ «Бонум Груп» покладений принцип розпорядження, яке
передається тільки через старшого бухгалтера на правах головного по всіх рівнях
виконавців. Така організація бухгалтерії найбільш типова для невеликих
підприємств. Організація за лінійним або ієрархічним принципом застосовується
для бухгалтерії цих підприємств, тому що вона передбачає універсальність у
виконанні облікових операцій в кожній лінійній ланці.
|
Головний бухгалтер
|
|
Відділ обліку діяльності цеху 1
|
Відділ обліку діяльності цеху 2
|
Відділ обліку діяльності цеху 3
|
Рисунок 2.3 - Лінійна
структура бухгалтерії
Важливою умовою ефективної роботи
облікового персоналу ТОВ «Бонум Груп» є розробка внутрішніх положень про
бухгалтерію, посадових інструкцій облікових працівників та здійснення контролю
виконання ними своїх обов’язків.
На підприємстві ТОВ «Бонум Груп», де
відповідальними за ведення бухгалтерського обліку є головні бухгалтера, які
згідно з Законом про бухгалтерський облік:
забезпечують дотримання на
підприємстві встановлених єдиних методологічних засад бухгалтерського обліку,
складання і подання у встановлені строки фінансової звітності;
організують контроль за
відображенням на рахунках бухгалтерського обліку всіх господарських операцій;
беруть участь в оформлені матеріалів,
пов’язаних з нестачею та відшкодуванням втрат від нестачі, крадіжки і псування
активів підприємства;
забезпечують перевірку стану
бухгалтерського обліку у філіях, представництвах, відділеннях та інших
відокремлених підрозділах підприємства.
Головний бухгалтер долучається разом
із керівником до розробки внутрішнього положення про бухгалтерію підприємства,
яким встановлюються основні засади організації роботи облікового персоналу.
Зміст цього документу складається з таких розділів: загальні положення; функції
бухгалтерії; права і обов’язки облікового персоналу; взаємодія між секторами
(відділами, групами) бухгалтерії та з іншими структурними підрозділами
підприємства.
Згідно до структури бухгалтерського
апарату, який ми наводили у першому питанні, то розподіляються функціональні
обов’язки в бухгалтерському підрозділі наступним чинном:
Головний бухгалтер аналізує
фінансовий стан підприємства, його прибуток, складає звітність, нараховує
заробітною платою, керує роботою другого бухгалтера. А бухгалтер займається
обліком виробництва, калькулюванням собівартістю, проводить розрахункові
операцій та ін.
Інформація про господарські операції
ТОВ «Бонум Груп» з регістрів бухгалтерського обліку використовується для
здійснення інвентаризаційної і аналітичної роботи, складання фінансової
звітності.
На основі фінансового обліку
ведеться управлінський облік, тобто облік витрат виробництва, контроль за ними,
прогнозування прибутку. Управлінський облік є основою фінансового менеджменту
на підприємстві ТОВ «Бонум Груп». Його результати призначені для внутрішнього
користування.
Податковий облік призначений для
визначення розміру податкових зобов’язань платника податків. Податковий облік
організовують у такому порядку, щоб задовольнити потреби управління і служби
податкового менеджменту в інформації щодо формування оподаткованої бази
підприємства ТОВ «Бонум Груп» [1].
Діюча форма організації
бухгалтерського обліку відповідає потербам та маштабам підприємства ТОВ «Бонум
Груп», бухгалтерія складається з двох чоловік, які знають свої права та
обов’язки. Тому можна стверджувати, що облік на підприємстві ТОВ «Бонум Груп»
ведеться вірно, без впливових помилок, кожний з бухгалтерів знає свої права та
виконує свої обов’язки.
2.3
Характеристика управлінського плану рахунків, опис ступеню автоматизації
аналітичного та синтетичного обліку на підприємстві
Інтегрована система взаємозв'язку
рахунків управлінського і фінансового обліку ґрунтується на побудові плану
рахунків, об'єднуючого рахунки управлінського і фінансового обліку. Така
система базується на функціональній ознаці класифікації рахунків: виробничі
рахунки, рахунки адміністративних і збутових витрат, рахунки витрат і доходів
від інвестиційної і фінансової діяльності.
Прикладом побудови інтегрованої
системи рахунків управлінського і фінансового обліку є національний план
рахунків, затверджений наказом Міністерства фінансів України від 30.11.1999 р.
№ 291 «Про затвердження Плану рахунків бухгалтерського обліку і Інструкції з
його застосування».
План рахунків є директивним
документом, обов'язковим для всіх підприємств й організацій.
На підприємстві ТОВ «Бонум Груп»
застосовується загальний План рахунків бухгалтерського обліку з використанням
рахунків класу 9 «Витрати діяльності». При необхідності головний бухгалтер
своїм розпорядженням може ввести допоміжні рахунки бухгалтерського обліку.
Під час розробки плану рахунків на
ТОВ «Бонум Груп» використовувались загальновживані принципи бухгалтерського
обліку і фінансової звітності, основні положення Закону «Про бухгалтерський
облік і фінансову звітність в Україні» [1], міжнародні та національні стандарти
бухгалтерського обліку.
На основі єдиного плану рахунків
України складаються робочі плани, що відбивають особливості діяльності
підприємства. Робочий (загальний) план рахунків включає тільки ті рахунки з
єдиного плану рахунків, які потрібні на ТОВ «Бонум Груп», вони найбільш
компактні і прості в зверненні.
План рахунків на підприємстві ТОВ
«Бонум Груп» забезпечує задоволення інформаційних потреб різних рівнів
управління, отримання інформації для внутрішніх і зовнішніх користувачів і
складання форм фінансової звітності безпосередньо за даними рахунків. План
рахунків бухгалтерського обліку визначає методологію обліку в усіх сферах
економічної діяльності.
ТОВ «Бонум Груп» не зобов'язане
використовувати всі рахунки, передбачені в Плані рахунків, а вибирає лише ті,
які необхідні для ведення бухгалтерського обліку відповідно до вимог
своєчасності і повноти обліку та звітності.
Використання простої і спрощеної
форм бухгалтерського обліку рекомендовано у Методичних рекомендаціях № 422.
Саме ця форма обліку і ведеться на ТОВ «Бонум Груп».
Методичні рекомендації № 422 [5]
направлені на систематизацію в регістрах бухгалтерського обліку методом
подвійного запису інформації про наявність і рух активів, капіталу, зобов'язань
і фактах фінансово-господарської діяльності (господарські операції)
вищезгаданих малих підприємств для накопичення даних і складання фінансової
звітності ТОВ «Бонум Груп».
Порядок ведення аналітичного обліку
та кореспонденції не наведених в Інструкції про застосування Плану рахунків
бухгалтерського обліку активів, капіталу, зобов'язань та господарських операцій
підприємств і організацій встановлюється підприємством відповідно до норм
чинного законодавства та власних потреб управління. На розробку робочого плану
рахунків впливають вид діяльності, галузеві особливості, величина підприємства
та інші фактори. Як правило, під час розробки робочого плану типовий План
рахунків, з одного боку скорочується, а з іншого - дещо розширюється.
План рахунків побудований за
десятковою системою. Усі рахунки поділяються на десять класів, кожен рахунок
може мати субрахунки в межах 10. Тому першою цифрою коду є клас рахунка, другою
- номер синтетичного рахунка (в цьому класі), третьою - номер субрахунка. У
практичній діяльності ТОВ «Бонум Груп» застосовуються щонайменше трьохзначні
коди. Для забалансових рахунків встановлено коди за тим самим принципом.
Розроблений ТОВ «Бонум Груп» план
рахунків повинен відповідати певним вимогам:
легітимності (відповідність нормативній
базі бухгалтерського обліку);
повноти охоплення (суцільне
охоплення операцій);
аналітичності;
бути гнучким;
зручним у користуванні;
сприяти здійсненню контролю за
діяльністю підприємства.
Робочий план рахунків затверджується
керівником підприємства як додаток до Наказу про облікову політику.
Приклад відображення обліку
реалізації продукції на ТОВ «Бонум Груп» представлено в таблиці 2.1.
Реалізовано продукцію за 5000 грн. без ПДВ (ПДВ, відповідно, 1000 грн.);
собівартість реалізованої продукції 4100 грн. перша подія - відвантаження
товару .
Таблиця 2.1 - Відображення обліку
реалізації продукції, першою подією якого є відвантаження продукції
|
Зміст операції
|
Кореспондуючі рахунки
|
Сума, грн.
|
|
Д-т
|
К-т
|
|
|
Списана собівартість реалізованої продукції
|
901
|
26
|
4100
|
|
Відображено реалізацію продукції і
заборгованість покупця
|
361
|
701
|
|
Відображено податкове забовязання ПДВ
|
701
|
641
|
1000
|
|
Списано на фінансовий результат:
|
|
|
Собівартість реалізованої продукції
|
791
|
901
|
4100
|
|
Дохід від реалізації
|
701
|
791
|
5000
|
|
Надійшла оплата від покупця
|
311
|
361
|
6000
|
Фінансовий результат визначається на
субрахунку 791 як різниця між доходом від реалізації без ПДВ (кредит) і
собівартістю реалізованої продукції (дебет) і дорівнює: 5000 - 4100 = 900 грн.
Звертаємо увагу, що фінансовий результат
визначається незалежно від дати отримання коштів від покупців.
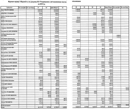
Фрагмент оборотно-сальдової
відомості та основних рахунків, за якими ведеться облік можна побачити у
додатку до курсової роботи [додаток Б].
Таблиця 2.2 - Фрагменти робочого
плану рахунку, з урахуванням синтетичних та аналітичних рахунків
|
Рахунок
|
Субрахунок
|
№
|
Назва
|
|
№
|
Назва
|
№
|
Назва
|
|
|
|
1
|
2
|
3
|
4
|
5
|
6
|
|
20
|
Виробничі запаси
|
20.1
|
«Сировина й матеріали»
|
201.0
|
Витрати
|
|
|
|
|
201.1
|
Сировина (за найменуванням)
|
|
|
|
|
201.3
|
Допоміжні матеріали (за найменуванням)
|
|
|
20.2
|
«Покупні напівфабрикати та комплектуючі
вироби, конструкції та деталі»
|
|
|
|
|
20.3
|
«Паливо»
|
20.3.1
|
Паливо на складі
|
|
|
|
|
20.3.2
|
Паливо підзвіт
|
|
|
20.4
|
«Тара та тарні матеріали»
|
20.4.1
|
Тара покупна
|
|
|
|
|
20.4.2
|
Тара власного виробництва
|
|
|
20.5
|
«Будівельні матеріали»
|
20.5.0
|
Будівельні матеріали
|
|
|
|
|
20.5.1
|
Устаткування, яке потребує монтажу
|
|
|
|
|
20.5.2
|
Будівельні матеріали
|
|
|
20.6
|
«Матеріали, передані в переробку»
|
|
|
|
|
20.7
|
«Запасні частини»
|
20.7.1
|
Запасні частини на складі
|
|
|
|
|
20.7.2
|
Запасні частини в обороті
|
|
|
20.9
|
«Інші матеріали»
|
20.9.1
|
Відходи виробництва
|
|
|
|
|
20.9.2
|
Зношені шини
|
|
|
|
|
20.9.3
|
Металолом та макулатура
|
|
|
|
|
20.9.4
|
Запчастини від ліквідації ОФ
|
Розглянемо взаємодію синтетичних та
аналітичних рахунків на підприємстві ТОВ «Бонум Груп».
Поступили матеріали (кільця) на
підприємство від постачальника на суму 700 грн. Так як матеріали це активи
балансу, і рахунок на якому вони відображаються (20 рахунок) теж активний, тому
записуємо в Дт 20131. Отримували ми матеріали від постачальника, значить
розрахунки з постачальниками це пасив балансу, збільшується кредиторська
заборгованість, й рахунок 631 пасивний, тому записуємо в Кт 631. Бухгалтерська
проводка виглядає наступним чином:
Таблиця 2.3 - Надходження матеріалів
(какао) на ТОВ «Бонум Груп»
|
Зміст операції
|
Дт
|
Кт
|
Сумма, грн
|
|
Отримано матеріали (кільця) від постачальника
|
20131
|
631
|
700
|
Первиними документами у цьому
випадку є: податкова накладна, рахунок-фактура, платіжне доручення, та акт
приймання-передачі.
Після надходження матеріалів та їх
оприбуткування баланс підприємства збільшиться на 700 грн., так як з одного
боку було оприбутковано матеріали - збільшилися активи, з другого боку зросла
кредиторська заборгованність за товари - збільшилися пасиви, отож рівняння
активів і пасивів збережено.
На підприємстві ТОВ «Бонум Груп»
ведеться автоматизована форма бухгалтерського обліку, за допомогою програми
«1С: Бухгалтерія».
«1С: Бухгалтерія для України» -
універсальна програма масового призначення для автоматизації бухгалтерського і
податкового обліку, включаючи підготовку обов'язкової (регламентованої)
звітності. Це готове рішення для ведення обліку в організаціях, що здійснюють
будь-які види комерційної діяльності: оптову і роздрібну торгівлю, комісійну
торгівлю (у тому числі субкомісію), надання послуг, виробництво і т.д.
«1С:Бухгалтерія» включає набір стандартних
звітів, що дають змогу бухгалтеру одержати інформацію за довільний період, у
різних розрізах і з необхідним ступенем деталізації.
Програма за даними синтетичного обліку формує
такі звіти : оборотно-сальдову відомість, шахову відомість, Головну книгу,
журнали і відомість по рахунку, аналіз рахунка - за період і за датами, картку
рахунка, а також звіти з аналітичного обліку : оборотно-сальдову відомість по
рахунку у розрізі об’єктів аналітичного обліку, аналіз рахунка у розрізі
об’єктів аналітики, аналіз об’єкта аналітики за рахунками, картку операцій по
об’єкту аналітики.
Загальний план рахунків на
підприємстві ТОВ «Бонум Груп» забезпечує задоволення інформаційних потреб
різних рівнів управління: робітників, бригадирів, мастерів, начальників
участків, адміністративного персоналу, та занятих збутом, отримання інформації
для внутрішніх і зовнішніх користувачів і складання форм фінансової звітності
безпосередньо за даними рахунків. За допомогою веденя автоматизованого обліку
вся інформація з первинних документів за допомогою подвійного запису
переноситься на рахунки бухгалтерського обліку, а вже з рахунків через журнали
та реєстри у звітність.
Отже, у другому розділі курсової
робити на прикладі ТОВ «Бонум Груп» показана система бухгалтерського обліку на
підприємстві. Було розглянуто основні поняття щодо організації та ведення
бухгалтерського обліку на підприємствах на підставі використання прогресивних
форм і національних стандартів; розглянуто організаційну структуру та функцій
бухгалтерського апарату, як структурного підрозділу управління; отримано
навички щодо аналізу організації та ведення синтетичного та аналітичного
бухгалтерського обліку на підприємстві; набуті навички щодо опрацювання і
використання облікової інформації в управлінні.
Проаналізував та оцінив організацію
обліку на підприємстві можемо стверджувати, що за винятком деяких зауважень і
обмежень, вивчена інформація по всіх істотних аспектах говорить про
відповідність здійснюваній господарській діяльності чинному законодавству,
прийнята система бухгалтерського обліку задовольняє законодавчі вимоги,
звітність складена на основі дійсних облікових даних і в цілому правдиво
відображує інформацію про підприємство.
Була розглянута організація обліку
на базовому підприємстві, вивчені можливі форми організації обліку, від яких
залежить схема його організації, кількість регістрів аналітичного і
синтетичного обліку, процес обробки і ефективність використання інформації в
управлінні виробництвом.
Розглянувши сучасні форми бухгалтерського
обліку, можна сказати, що на ТОВ «Бонум Груп» застосовується найбільш
розгорнута прийнятна для підприємства форма бухгалтерського обліку - спрощена.
Вона надає змогу поєднати в одному обліковому регістрі синтетичний й
аналітичний облік [додаток А]; можливо легко взяти інформацію з облікових
регістрів для складання звітності ТОВ «Бонум Груп»; така форма обліку є дуже
простою та зручною у ведені даного підприємства.
3. ПРАКТИЧНА ЧАСТИНА
3.1 Журнал
господарських операцій
Таблиця 3.1 - Журнал господарських
операцій
|
Зміст
господарських операцій
|
ДТ
|
КТ
|
Грн.
|
|
|
1
|
2
|
3
|
4
|
5
|
|
|
1
|
Після
реєстрації ТОВ “Айстра” розпочало свою діяльність. В статуті було заявлені
наступні зобов’язання засновників щодо формування статутного капіталу:
|
-
|
-
|
Х
|
|
|
1.1
|
ТОВ
“Едельвейс”
|
46.1
|
401
|
300000
|
|
|
1.2
|
ТОВ
“Філін”
|
46.2
|
401
|
110000
|
|
|
1.3
|
ТОВ “Міо”
|
46.3
|
401
|
42000
|
|
|
В
погашення своїх зобов’язань щодо формування статутного капіталу у січні було
внесено:
|
-
|
-
|
Х
|
|
|
2
|
ТОВ
“Едельвейс”:
|
-
|
-
|
Х
|
|
|
2.1
|
комп’ютери
для адміністративних цілей (очікуваний термін експлуатації - 2 р.)
|
152
|
46.1
|
7000
|
|
|
2.2
|
|
104
|
152
|
7000
|
|
|
2.3
|
легковий
автомобіль (очікуваний термін експлуатації - 4 р.)
|
152
|
46.1
|
50000
|
|
|
2.4
|
|
105
|
152
|
50000
|
|
|
2.5
|
виробниче обладнання
(очікуваний термін експлуатації - 5 р.)
|
152
|
46.1
|
15313
|
|
|
2.6
|
|
104
|
152
|
15313
|
|
|
2.7
|
грошові
кошти на поточний рахунок
|
311
|
46.1
|
190000
|
|
|
3
|
ТОВ
“Філін”:
|
-
|
-
|
Х
|
|
|
3.1
|
виробниче
приміщення (очікуваний термін експл. -15р.)
|
152
|
46.2
|
72313
|
|
|
3.2
|
|
103
|
152
|
72313
|
|
|
3.3
|
грошові
кошти на поточний рахунок
|
311
|
46.2
|
12500
|
|
|
3.4
|
матеріали
|
201
|
46.2
|
20413
|
|
|
4
|
ТОВ
“Міо”:
|
-
|
-
|
Х
|
|
|
4.1
|
товари
|
28
|
46.3
|
12000
|
|
|
4.2
|
матеріали
|
201
|
46.3
|
21987
|
|
|
4.3
|
грошові
кошти на поточний рахунок
|
311
|
46.3
|
5600
|
|
|
За
1 квартал 201Х р. ТОВ “Айстра” здійснені наступні операції:
|
-
|
-
|
Х
|
|
|
5
|
15
січня отримано кредит на 6 місяців
|
311
|
601
|
60313
|
|
|
6
|
Нараховані
відсотки за кредит за 1 кв. 15% річних. Розрахунок суми відсотка за один день
кредиту: 60313:360 *0,15 = 25,13 грн. В періоді днів 16 +28 +31 =75 75 *25,13
= 1884,8 грн.
|
951
|
684
|
1884,8
|
|
|
На
умовах відстрочки платежу придбано з ПДВ:
|
-
|
-
|
Х
|
|
|
7
|
матеріали
на суму 18000 грн.
|
-
|
-
|
Х
|
|
|
7.1
|
оприбутковано
матеріали без ПДВ
|
201
|
631
|
15000
|
|
|
7.2
|
відображено
податковий кредит з ПДВ
|
641.1
|
631
|
3000
|
|
|
8
|
паливо
на суму 120 грн.
|
-
|
-
|
Х
|
|
|
8.1
|
оприбутковано
паливо без ПДВ
|
203
|
631
|
100
|
|
|
8.2
|
відображено
податковий кредит з ПДВ
|
641.1
|
631
|
20
|
|
|
9
|
паливо
витрачено на автомобіль
|
93
|
203
|
80
|
|
10
|
виробниче
обладнання на суму 12600 (очікуваний термін експлуатації - 5 р.)
|
-
|
-
|
Х
|
|
10.1
|
оприбутковано
виробниче обладнання без ПДВ
|
152
|
631
|
10500
|
|
10.2
|
відображено
податковий кредит з ПДВ
|
641.1
|
631
|
2100
|
|
11
|
меблі
адміністративного призначення на суму 36240 (очікуваний термін експлуатації -
4 р.)
|
-
|
-
|
Х
|
|
11.1
|
оприбутковано
меблі без ПДВ
|
152
|
631
|
30200
|
|
11.2
|
відображено
податковий кредит з ПДВ
|
641.1
|
631
|
6040
|
|
12
|
кондиціонери
адміністративного призначення на суму 36000 (очікуваний термін експлуатації -
5 р.)
|
-
|
-
|
Х
|
|
12.1
|
оприбутковано
кондиціонери без ПДВ
|
152
|
631
|
30000
|
|
12.2
|
відображено
податковий кредит з ПДВ
|
641.1
|
631
|
6000
|
|
13
|
малоцінні
та швидкознощувані предмети (МШП) на суму 276 грн.
|
-
|
-
|
Х
|
|
13.1
|
оприбутковано
МШП без ПДВ
|
22
|
631
|
230
|
|
13.2
|
відображено
податковий кредит з ПДВ
|
641.1
|
631
|
46
|
|
14
|
малоцінні
необоротні матеріальні активи (МНМА) на суму 4026 грн.
|
-
|
-
|
Х
|
|
14.1
|
оприбутковано
МНМА без ПДВ
|
153
|
631
|
3355
|
|
14.2
|
відображено
податковий кредит з ПДВ
|
641.1
|
671
|
|
14.3
|
Введені
в експлуатацію МНМА
|
112
|
153
|
3355
|
|
Отримані
послуги сторонніх підприємств по монтажу основних засобів на умовах
відстрочки платежу з ПДВ:
|
-
|
-
|
Х
|
|
15
|
монтаж
виробничого обладнання на суму 258 грн.
|
-
|
-
|
Х
|
|
15.1
|
отримані
послуги без ПДВ
|
152
|
631
|
215
|
|
15.2
|
відображено
податковий кредит з ПДВ
|
641.1
|
631
|
43
|
|
16
|
монтаж
меблів на суму 738 грн.
|
-
|
-
|
Х
|
|
16.1
|
отримані
послуги без ПДВ
|
152
|
631
|
615
|
|
16.2
|
відображено
податковий кредит з ПДВ
|
641.1
|
631
|
123
|
|
Введені
в експлуатацію:
|
|
|
|
|
17
|
виробниче
обладнання (очікуваний термін експлуатації - 5 р.)
|
104
|
152
|
10715
|
|
18
|
меблі
адміністративного призначення (очікуваний термін експлуатації - 4 р.)
|
106
|
152
|
30815
|
|
19
|
кондиціонери
адміністративного призначення (очікуваний термін експлуатації - 5 р.)
|
104
|
152
|
30000
|
|
20
|
Сплачено
постачальнику аванс з ПДВ
|
371
|
311
|
2136
|
|
20.1
|
НДС з авансу
|
641.2
|
644
|
356
|
|
21
|
На
виробництво готової продукції витрачено матеріалів
|
23
|
201
|
50000
|
|
22
|
Передані
на виробництво МШП
|
23
|
22
|
230
|
|
23
|
Передані
на виробнцтво МНМА,нарахований знос 100%
|
23
|
132
|
3355
|
|
24
|
Нарахована
основна заробітна плата
|
23
|
661
|
24987
|
|
25
|
Нарахований
ЕСВ на основну заробітну плату, 37%
|
23
|
651
|
9245,2
|
|
26
|
Нарахована
амортизація на виробничі основні засоби прямолінійним методом. Розрахунок
амортизації на місяць: 15313: (12*5) = 255,21
|
23
|
131
|
1671
|
|
72313:
(12*15) = 401,73
|
|
|
|
|
10715:
(12*5) = 178,58
|
|
|
|
|
255,21
+ 401,73 + 178,58 = 835,5
|
|
|
|
|
835,5
* 2 = 1671.
|
|
|
|
|
27
|
Отримані
послуги виробничого призначення з ПДВ на суму 600 грн.
|
-
|
-
|
Х
|
|
27.1
|
отримані
послуги без ПДВ
|
23
|
631
|
500
|
|
27.2
|
відображено
податковий кредит з ПДВ
|
641.1
|
631
|
100
|
|
28
|
На
склад надійшло готової продукції 1000 одиниць, грн.
|
26
|
23
|
50000
|
|
Розрахунок
собівартості од. 50000:1000 = 50,00
|
|
|
|
|
29
|
Реалізовано
890 одиниць готової продукції . Ціна за одиницю з ПДВ 150 грн.
|
-
|
-
|
Х
|
|
29.янв
|
відображено
собівартість реалізованої продукції.
|
901
|
26
|
44500
|
|
Розрахунок
890*50,00 = 41830
|
|
|
|
|
29.2
|
Виручку
від реалізації з ПДВ
|
361
|
701
|
133500
|
|
Розрахунок
890*150 = 133500
|
|
|
|
|
29.мар
|
Відображено
податкові зобов’язання з ПДВ
|
701
|
641.1
|
22250
|
|
30
|
Нарахована
заробітна плата адміністративного персоналу
|
92
|
661
|
21000
|
|
31
|
Нарахований
ЕСВ на заробітну плату адміністративного персоналу, 37%
|
92
|
651
|
7770
|
|
32
|
Отримано
послуги адміністративного призначення з ПДВ на суму 2760 грн.
|
-
|
-
|
Х
|
|
32.1
|
отримані
послуги без ПДВ
|
92
|
631
|
2150
|
|
32.2
|
відображено
податковий кредит з ПДВ
|
641.1
|
631
|
430
|
|
33
|
Нарахована
амортизація обладнання амін. призначення прямолінійним методом
|
92
|
131
|
2867,3
|
|
7000
: (12*2) = 291,66
|
|
|
|
|
30815:
(12*4) = 641,97
|
372
|
301
|
513
|
|
30000:
(12*5) = 500
|
|
|
|
|
291,66
+ 641,97 + 500 = 1433,63
|
661
|
301
|
41038,9
|
|
1433,63
* 2 = 2867,3
|
|
|
|
|
34
|
Нарахована
заробітна плата персоналу, пов’язанного зі збутом
|
93
|
661
|
4100
|
|
35
|
Нарахований
ЕСВ на заробітну плату персоналу, пов’язанного зі збутом, 37%
|
93
|
651
|
1517
|
|
36
|
Отримано
послуги пов’язані зі збутом з ПДВ на суму 294 грн.
|
-
|
-
|
Х
|
|
36.1
|
отримані
послуги без ПДВ
|
93
|
631
|
245
|
|
36.2
|
відображено
податковий кредит з ПДВ
|
641.1
|
631
|
49
|
|
37
|
Нарахована
амортизація обладнання, пов’язанного зі збутом прямолінійним методом
|
93
|
131
|
2083,3
|
|
50000:
(12*4) = 1041,66
|
|
|
|
|
1041,66
* 2 = 2083,3.
|
|
|
|
|
38
|
Нараховані
утримання ЄСВ з заробітної плати (умовно)
|
661
|
651
|
1803,6
|
|
39
|
Утриманий
з заробітної плати податок на доходи фізичних осіб (умовно) - ПДФО
|
661
|
641.3
|
7244,5
|
|
40
|
Кошти
з рахунку переведени у касу для виплати підзвітній особі
|
301
|
311
|
513
|
|
Видано
готівку підзвітній особі на господарські потреби
|
372
|
301
|
513
|
|
41
|
Кошти
з рахунку переведени у касу для виплати зарплати
|
301
|
311
|
41038,9
|
|
Видано
з каси заробітну плату
|
661
|
301
|
41038,9
|
|
42
|
Сплачено
ПДФО
|
641.3
|
311
|
7244,5
|
|
43
|
Сплачено
ЄСВ
|
651
|
311
|
20335,8
|
|
44
|
Отримано
передплату за продукцію на суму 37200 грн. з ПДВ
|
-
|
-
|
Х
|
|
44.1
|
отримано
передплату без ПДВ
|
311
|
681
|
37200
|
|
44.2
|
відображено
податкові зобов’язання з ПДВ
|
643
|
641.1
|
6200
|
|
|
|
|
|
|
|
|
|
3.2
Розкриття облікової інформації на Т-рахунках
|
ДТ
103 КТ
|
|
ДТ
104 КТ
|
|
ДТ
105 КТ
|
|
С.
-
|
|
|
С.
-
|
|
|
С.
-
|
|
|
72313
|
|
|
7000
15313 10715 30000
|
|
|
50000
|
|
|
72313
|
-
|
|
63028
|
-
|
|
50000
|
|
|
С.72313
|
|
|
С.
63028
|
|
|
С.50000
|
|
|
|
|
|
|
|
|
|
|
|
ДТ
106 КТ
|
|
ДТ
112 КТ
|
|
ДТ
131 КТ
|
|
С.
-
|
|
|
С.
-
|
|
|
|
С.
-
|
|
30815
|
|
|
3355
|
|
|
|
1671
2867,3 2083,3
|
|
30815
|
-
|
|
3355
|
|
|
|
6621,6
|
|
С.
30815
|
|
|
С.
3355
|
|
|
|
С.
6621,6
|
|
ДТ
132 КТ
|
|
ДТ
152 КТ
|
|
|
С.
-
|
|
С.
|
|
|
|
|
3355
|
|
7000
50000 15313 10500 30200 30000 215 615 72313
|
7000
50000 15313 10715 30815 30000 72313
|
|
|
3355
|
|
216156
|
216156
|
|
|
С.
3355
|
|
С.
-
|
|
|
|
|
|
|
|
|
|
ДТ
153 КТ
|
|
ДТ
201 КТ
|
|
ДТ
203 КТ
|
|
С.
-
|
|
|
С.
-
|
|
|
С.
|
|
|
3355
|
3355
|
|
20413
21987 15000
|
50000
|
|
100
|
80
|
|
3355
|
3355
|
|
57400
|
50000
|
|
100
|
80
|
|
С.
-
|
|
|
С.7400
|
|
|
С.
20
|
|
|
|
|
|
|
|
|
|
|
|
|
ДТ
22 КТ
|
|
ДТ
23 КТ
|
|
ДТ
26 КТ
|
|
С.
-
|
|
|
|
С.
-
|
|
|
230
|
230
|
|
50000
230 3355 24987 9245,2 1671 500
|
50000
|
|
50000
|
44500
|
|
230
|
230
|
|
89988,2
|
50000
|
|
50000
|
44500
|
|
С.-
|
|
|
С.
39988,2
|
|
|
С.
5500
|
|
|
ДТ
28 КТ
|
|
ДТ
301 КТ
|
|
ДТ
311 КТ
|
|
С.
-
|
|
|
С.
-
|
|
|
С.
-
|
|
|
12000
|
|
|
513
41038,9
|
513
41038,9
|
|
190000
12500 5600 60313 37200 91200
|
513
41038,9 7244,5 20335,8 18000 2136
|
|
12000
|
-
|
|
41551,9
|
41551,9
|
|
396813
|
89268,2
|
|
С.
12000
|
|
|
С.
-
|
|
|
С.
307544,8
|
|
|
ДТ
361 КТ
|
|
ДТ
371 КТ
|
|
ДТ
372 КТ
|
|
С.
-
|
|
|
С.
-
|
|
|
С.
-
|
|
|
133500
|
91200
|
|
2136
|
|
|
513
|
|
|
133500
|
91200
|
|
2136
|
-
|
|
513
|
-
|
|
С.
42300
|
|
|
С.
2136
|
|
|
С.
513
|
|
|
ДТ
401 КТ
|
|
ДТ
441 КТ
|
|
ДТ
442 КТ
|
|
С.
-
|
|
|
С.
-
|
|
|
С.
-
|
|
300000
110000 42000
|
|
|
24937,4
|
|
1884,8
3688,4
|
|
|
-
|
452000
|
|
-
|
24937,4
|
|
5573,2
|
|
|
С.
452000
|
|
|
С.
24937,4
|
|
С.5573,2
|
|
|
ДТ
46 КТ
|
|
ДТ
46.1 КТ
|
|
ДТ
46.2 КТ
|
|
|
С.
-
|
|
|
С.
-
|
|
|
С.
-
|
|
|
300000
110000 42000
|
7000
50000 15313 190000 72313 12500 20413 12000 21987 5600
|
|
300000
|
7000
50000 15313 190000
|
|
110000
|
72313
12500 20413
|
|
|
452000
|
407126
|
|
300000
|
262313
|
|
110000
|
105226
|
|
|
С.
44874
|
|
|
С.
37687
|
|
|
С.
4774
|
|
|
|
ДТ
641.1 КТ
|
|
ДТ
641.2 КТ
|
|
ДТ
641.3 КТ
|
|
С.
-
|
|
|
С.
-
|
|
|
С.-
|
|
3000
20 2100 6040 6000 46 671 43 123 100 430 49
|
22250
6200
|
|
356
|
3688,4
|
|
7244,5
|
7244,5
|
|
18622
|
28450
|
|
-
|
3688,4
|
|
7244,5
|
7244,5
|
|
С.
9828
|
|
|
С.
3333,4
|
|
|
С.
-
|
|
|
|
|
|
|
|
|
|
|
|
|
|
|
ДТ
46.3 КТ
|
|
ДТ
601 КТ
|
|
ДТ
631 КТ
|
|
С.
-
|
|
|
С.
-
|
|
С.
-
|
|
|
42000
|
12000
21987 5600
|
|
|
60313
|
|
18000
|
15000
3000 100 20 10500 2100 30200 6040 30000 6000 230 46 3355 671 215 43 615 123
500 100 2150 430 245 49
|
|
42000
|
39587
|
|
-
|
60313
|
|
18000
|
111732
|
|
С.
2413
|
|
|
|
С.
60313
|
|
|
С.
93732
|
|
ДТ
643 КТ
|
|
ДТ
651 КТ
|
|
ДТ
661 КТ
|
|
С.
-
|
|
|
С.
-
|
|
|
С.
-
|
|
6200
|
|
|
20335,8
|
9245,2
7770 1517 1803,6
|
|
1803,6
7244,5 41038,9
|
24987
21000 4100
|
|
6200
|
-
|
|
20335,8
|
20335,8
|
|
50087
|
50087
|
|
С.6200
|
|
|
|
С.-
|
|
|
С.
-
|
|
ДТ
681 КТ
|
|
ДТ
684 КТ
|
|
ДТ
701 КТ
|
|
С.-
|
|
|
С.-
|
|
|
|
|
37200
|
|
|
1884,8
|
|
22250
111250
|
133500
|
|
-
|
37200
|
|
-
|
1884,8
|
|
133500
|
133500
|
|
С.
37200
|
|
|
С.
1884,8
|
|
-
|
-
|
|
ДТ
791 КТ
|
|
ДТ
792 КТ
|
|
ДТ
793 КТ
|
|
|
|
|
|
|
|
|
|
44500
33787,3 8025,3 24937,4
|
111250
|
|
1884,8
|
1884,8
|
|
3688,41
|
3688,41
|
|
111250
|
111250
|
|
1884,8
|
1884,8
|
|
3688,41
|
3688,41
|
|
-
|
-
|
|
-
|
-
|
|
-
|
-
|
|
ДТ
901 КТ
|
|
ДТ
92 КТ
|
|
ДТ
93 КТ
|
|
|
|
|
|
|
|
|
|
44500
|
44500
|
|
21000
7770 2150 2867,3
|
33787,3
|
|
80
4100 1517 245 2083,3
|
8025,3
|
|
44500
|
44500
|
|
33787,3
|
33787,3
|
|
8025,3
|
8025,3
|
|
-
|
-
|
|
-
|
-
|
|
-
|
-
|
|
ДТ
951 КТ
|
|
ДТ
981 КТ
|
|
ДТ
644 КТ
|
|
|
|
|
|
|
|
|
С.-
|
|
|
1884,8
|
1884,8
|
|
3688,41
|
3688,41
|
|
|
356
|
|
|
1884,8
|
1884,8
|
|
3688,41
|
3688,41
|
|
-
|
356
|
|
|
-
|
-
|
|
-
|
-
|
|
|
С. 356
|
|
|
|
|
|
|
|
|
|
|
|
|
|
|
|
|
3.3 Оборотно-сальдова відомість
Таблиця 3.2 - оборотно-сальдова
відомість
|
Рахунок
|
С-до
на п.
|
Обороти
за звітний період
|
С-до
на к.
|
|
Д-т
|
К-т
|
Д-т
|
К-т
|
Д-т
|
К-т
|
|
103
|
-
|
-
|
72313
|
-
|
72313
|
-
|
|
104
|
-
|
-
|
63028
|
-
|
63028
|
-
|
|
105
|
-
|
-
|
50000
|
-
|
50000
|
-
|
|
106
|
-
|
-
|
30815
|
-
|
30815
|
-
|
|
112
|
-
|
-
|
3355
|
-
|
3355
|
-
|
|
131
|
-
|
-
|
-
|
6621,6
|
-
|
6621,6
|
|
132
|
-
|
-
|
-
|
3355
|
-
|
3355
|
|
152
|
-
|
-
|
216156
|
216156
|
-
|
-
|
|
153
|
-
|
-
|
3355
|
3355
|
-
|
-
|
|
201
|
-
|
-
|
57400
|
50000
|
7400
|
-
|
|
203
|
-
|
-
|
100
|
80
|
20
|
-
|
|
22
|
-
|
-
|
230
|
230
|
-
|
-
|
|
23
|
-
|
-
|
89988,2
|
50000
|
39988,2
|
-
|
|
26
|
-
|
50000
|
44500
|
5500
|
-
|
|
28
|
-
|
-
|
12000
|
-
|
12000
|
-
|
|
301
|
-
|
-
|
41551,9
|
41551,9
|
-
|
-
|
|
311
|
-
|
-
|
396813
|
89268,2
|
307544,8
|
-
|
|
361
|
-
|
-
|
133500
|
91200
|
42300
|
-
|
|
371
|
-
|
-
|
2136
|
-
|
2136
|
-
|
|
372
|
-
|
-
|
513
|
-
|
513
|
-
|
|
401
|
-
|
-
|
-
|
452000
|
-
|
452000
|
|
441
|
-
|
-
|
-
|
24937,4
|
-
|
24937,4
|
|
442
|
-
|
-
|
5573,2
|
-
|
5573,2
|
-
|
|
46
|
-
|
-
|
452000
|
407126
|
44874
|
-
|
|
601
|
-
|
-
|
-
|
60313
|
-
|
60313
|
|
631
|
-
|
-
|
18000
|
111732
|
-
|
93732
|
|
6411
|
-
|
-
|
18622
|
28450
|
-
|
9828
|
|
6412
|
-
|
-
|
-
|
3332,4
|
-
|
3332,4
|
|
6413
|
-
|
-
|
7244,5
|
7244,5
|
-
|
-
|
|
643
|
-
|
-
|
6200
|
-
|
6200
|
-
|
|
644
|
-
|
-
|
-
|
356
|
-
|
356
|
|
651
|
-
|
-
|
20335,8
|
20335,8
|
-
|
-
|
|
661
|
-
|
-
|
50087
|
50087
|
-
|
-
|
|
681
|
-
|
-
|
-
|
37200
|
-
|
37200
|
|
684
|
-
|
-
|
-
|
1884,8
|
-
|
1884,8
|
|
701
|
-
|
-
|
133500
|
133500
|
-
|
-
|
|
791
|
-
|
-
|
111250
|
111250
|
-
|
-
|
|
792
|
-
|
-
|
1884,8
|
1884,8
|
-
|
-
|
|
793
|
-
|
-
|
3688,41
|
3688,41
|
-
|
-
|
|
901
|
-
|
-
|
44500
|
44500
|
-
|
-
|
|
92
|
-
|
-
|
33787,3
|
33787,3
|
-
|
-
|
|
93
|
-
|
-
|
8025,3
|
8025,3
|
-
|
-
|
|
951
|
-
|
-
|
1884,8
|
1884,8
|
-
|
-
|
|
981
|
-
|
-
|
3688,4
|
3688,4
|
-
|
-
|
|
Разом
|
-
|
-
|
2143525,6
|
2143525,6
|
693560,2
|
693560,2
|
Одже, У третьому розділі курсової
роботи розв’язано практичний приклад складання бухгалтерської зітності
підприємства. Було отримано навички щодо опрацювання і використання облікової
інформації в управлінні. Під час виконання цієї частини було засвоєно методичні
прийоми щодо складання журналу типових господарських операцій з використанням
подвійного запису, відображення операцій на рахунках бухгалтерського обліку,
складання оборотної відомості, складання фінансової звітності Баланс [додаток
В] і Звіту про фінансові результати [додаток Г].
ВИСНОВКИ
. Пасив Балансу містить у собі
чотири розділи та двадцять дві статті. Складання бухгалтерського балансу є
завершальним етапом облікового процесу на підприємстві, головна мета якого є
представлення фінансової інформації у стислій, компактній формі. Зважаючи на
інформаційну перегруженість балансу статтями, які навіть не заповнюються, і є
специфічними для окремих підприємств, пропонується складати баланс за новою
формою, яка є більш компактна, та наближатися до міжнародних стандартів обліку
і надавати більшу свободу при складанні балансу. Розглянута структура
бухгалтерського балансу дає змогу пізнати підприємство, дати характеристику
стану господарських засобів і джерел їх формування на звітну дату в грошовому
вимірнику. Тому не випадково баланс є першою формою звіту про фінансовий стан
підприємства.
. На прикладі ТОВ «Бонум Груп»
показана система бухгалтерського обліку на підприємстві і було розглянуто
основні поняття щодо організації та ведення бухгалтерського обліку на
підприємствах, організаційну структуру та функцій бухгалтерського апарату, як
структурного підрозділу управління, отримано навички щодо аналізу організації
та ведення синтетичного та аналітичного бухгалтерського обліку на підприємстві;
набуті навички щодо опрацювання і використання облікової інформації в управлінні.
Проаналізував та оцінив організацію
обліку на підприємстві можемо стверджувати, що за винятком деяких зауважень і
обмежень, вивчена інформація по всіх істотних аспектах говорить про
відповідність здійснюваній господарській діяльності чинному законодавству,
прийнята система бухгалтерського обліку задовольняє законодавчі вимоги,
звітність складена на основі дійсних облікових даних і в цілому правдиво
відображує інформацію про підприємство.
Була розглянута організація обліку
на базовому підприємстві, вивчені можливі форми організації обліку, від яких
залежить схема його організації, кількість регістрів аналітичного і
синтетичного обліку, процес обробки і ефективність використання інформації в
управлінні виробництвом.
Розглянувши сучасні форми бухгалтерського
обліку, можна сказати, що на ТОВ «Бонум Груп» застосовується найбільш
розгорнута прийнятна для підприємства форма бухгалтерського обліку - спрощена.
Вона надає змогу поєднати в одному обліковому регістрі синтетичний й
аналітичний облік [додаток А]; можливо легко взяти інформацію з облікових
регістрів для складання звітності ТОВ «Бонум Груп»; така форма обліку є дуже
простою та зручною у ведені даного підприємства.
. При розв’язанні практичного
прикладу складання бухгалтерської зітності підприємства було отримано навички
щодо опрацювання і використання облікової інформації в управлінні. Під час
виконання цієї частини було засвоєно методичні прийоми щодо складання журналу
типових господарських операцій з використанням подвійного запису, відображення
операцій на рахунках бухгалтерського обліку, складання оборотної відомості,
складання фінансової звітності Баланс [додаток В] і Звіту про фінансові
результати [додаток Г].
СПИСОК ВИКОРИСТАНОЇ ЛІТЕРАТУРИ
1. Закон
України «Про бухгалтерський облік та фінансову звітність в Україні» від
16.07.1999 р. N 996-XIV: [Електронний ресурс] . - Режим доступу:
<#"865460.files/image003.gif">
ДОДАТОК Б
ДОДАТОК В
БАЛАНС На 1 квартал 20ХХ р. у тис. грн.
|
Актив
|
Код
рядка
|
На
початок звітного періоду
|
На
кінець звітного періоду
|
|
1
|
2
|
3
|
4
|
|
І.
Необоротні активи
|
|
|
|
|
Нематеріальні
активи:
|
|
|
|
|
залишкова
вартість
|
010
|
-
|
-
|
|
первинна
вартість
|
011
|
-
|
3
|
|
Знос
|
012
|
-
|
(3)
|
|
незавершене
будівництво
|
020
|
-
|
-
|
|
Основні
засоби:
|
|
|
|
|
залишкова
вартість
|
030
|
-
|
209
|
|
первинна
вартість
|
031
|
-
|
216
|
|
Знос
|
032
|
(-)
|
(7)
|
|
Довгострокові
фінансові інвестиції:
|
|
|
|
|
Які
обліковуються за методом участі в капіталі інших підприємств
|
040
|
-
|
-
|
|
Інші
фінансові інвестиції
|
045
|
-
|
-
|
|
Довгострокова
дебіторська заборгованість
|
050
|
-
|
-
|
|
Відстрочені
податкові активи
|
060
|
-
|
-
|
|
Інші
необоротні активи
|
070
|
-
|
-
|
|
Усього
за розділом І
|
080
|
-
|
209
|
|
II.
Оборотні активи
|
|
|
|
|
Запаси:
|
|
|
|
|
Виробничі
запаси
|
100
|
-
|
7
|
|
Тварини
на вирощуванні та відгодівлі
|
110
|
-
|
-
|
|
Незавершене
виробництво
|
120
|
-
|
40
|
|
Готова
продукція
|
130
|
-
|
5
|
|
Товари
|
140
|
-
|
12
|
|
Векселі
одержані
|
150
|
-
|
-
|
|
Дебіторська
заборгованість за товари, роботи, послуги:
|
|
-
|
-
|
|
чиста
реалізаційна вартість
|
160
|
-
|
40
|
|
первинна
вартість
|
161
|
-
|
-
|
|
резерв
сумнівних боргів
|
162
|
-
|
-
|
|
Дебіторська
заборгованість за розрахунками:
|
|
|
|
|
з
бюджетом
|
170
|
-
|
-
|
|
за
виданими авансами
|
180
|
2
|
|
з
нарахованих доходів
|
190
|
-
|
-
|
|
із
внутрішніх розрахунків
|
200
|
-
|
1
|
|
Інша
поточна дебіторська заборгованість
|
210
|
-
|
-
|
|
Поточні
фінансові інвестиції
|
220
|
-
|
-
|
|
Грошові
кошти та їх еквіваленти:
|
|
|
|
|
в
національній валюті
|
230
|
-
|
310
|
|
в
іноземній валюті
|
240
|
-
|
-
|
|
Інші
оборотні активи
|
250
|
-
|
-
|
|
Усього
за розділом ІІ
|
260
|
-
|
417
|
|
ІІІ.
Витрати майбутніх періодів
|
270
|
-
|
-
|
|
Баланс
|
280
|
-
|
626
|
|
Пасив
|
Код
рядка
|
На
початок звітного періоду
|
На
кінець звітного періоду
|
|
1
|
2
|
3
|
4
|
|
І.
Власний капітал
|
|
|
|
|
Статутний
капітал
|
300
|
-
|
452
|
|
Пайовий
капітал
|
310
|
-
|
-
|
|
Додатковий
вкладений капітал
|
320
|
-
|
-
|
|
Інший
додатковий капітал
|
330
|
-
|
-
|
|
Резервний
капітал
|
340
|
-
|
-
|
|
Нерозподілений
прибуток (непокритий збиток)
|
350
|
-
|
19
|
|
Неоплачений
капітал
|
360
|
-
|
(45)
|
|
Вилучений
капітал
|
370
|
-
|
-
|
|
Усього
за розділом І
|
380
|
-
|
426
|
|
II.
Забезпечення наступних витрат і платежів
|
|
|
|
|
Забезпечення
виплат персоналу
|
400
|
-
|
-
|
|
Інші
забезпечення
|
410
|
-
|
-
|
|
Цільове
фінансування
|
420
|
-
|
-
|
|
Усього
за розділом II
|
430
|
-
|
-
|
|
III.
Довгострокові зобов'язання
|
|
|
|
|
Довгострокові
кредити банків
|
440
|
-
|
-
|
|
Довгострокові
фінансові зобов'язання
|
450
|
-
|
-
|
|
Відстрочені
податкові зобов'язання
|
460
|
-
|
-
|
|
Інші
довгострокові зобов'язання
|
470
|
-
|
-
|
|
Усього
за розділом III
|
480
|
-
|
-
|
|
IV.
Поточні зобов'язання
|
|
|
|
|
Короткострокові
кредити банків
|
500
|
-
|
60
|
|
Поточна
заборгованість за довгостроковими зобов'язаннями
|
510
|
-
|
-
|
|
Векселі
видані
|
520
|
-
|
-
|
|
Кредиторська
заборгованість за товари, роботи, послуги
|
530
|
-
|
94
|
|
Поточні
зобов'язання за розрахунками:
|
|
|
|
|
з
одержаних авансів
|
540
|
-
|
37
|
|
з
бюджетом
|
550
|
-
|
7
|
|
з
позабюджетних платежів
|
560
|
-
|
-
|
|
зі
страхування
|
570
|
|
-
|
|
з
оплати праці
|
580
|
-
|
-
|
|
з
учасниками
|
590
|
-
|
-
|
|
із
внутрішніх розрахунків
|
600
|
-
|
-
|
|
Інші
поточні зобов'язання
|
610
|
-
|
2
|
|
Усього
за розділом IV
|
620
|
-
|
200
|
|
V.
Доходи майбутніх періодів
|
630
|
-
|
-
|
|
Баланс
|
640
|
-
|
626
|
ДОДАТОК Г
ЗВІТ ПРО ФІНАНСОВІ РЕЗУЛЬТАТИ
за 1 квартал 20ХХ р.
Форма № 2
І. ФІНАНСОВІ РЕЗУЛЬТАТИ
|
Стаття
|
Код
рядка
|
За
звітний період
|
За
попередній Період
|
|
1
|
2
|
3
|
4
|
|
Доход
(виручка) від реалізації продукції (товарів, робіт, послуг)
|
010
|
133
|
-
|
|
Податок
на додану вартість
|
015
|
(10)
|
-
|
|
Акцизний
збір
|
020
|
-
|
-
|
|
025
|
|
-
|
|
Інші
вирахування з доходу
|
030
|
-
|
-
|
|
Чистий
доход (виручка) від реалізації продукції (товарів, робіт, послуг)
|
035
|
123
|
-
|
|
Собівартість
реалізованої продукції (товарів, робіт, послуг)
|
040
|
(45)
|
-
|
|
Валовий:
|
|
|
|
|
прибуток
|
050
|
78
|
-
|
|
збиток
|
055
|
-
|
-
|
|
Інші
операційні доходи
|
060
|
-
|
-
|
|
Адміністративні
витрати
|
070
|
(34)
|
-
|
|
Витрати
на збут
|
080
|
(8)
|
-
|
|
Інші
операційні витрати
|
090
|
(6)
|
-
|
|
Фінансові результати від операційної
діяльності:
|
|
|
|
|
прибуток
|
100
|
29
|
-
|
|
збиток
|
105
|
-
|
-
|
|
Доход
від участі в капіталі
|
110
|
-
|
|
|
Інші
фінансові доходи
|
120
|
-
|
-
|
|
Інші
доходи
|
130
|
-
|
-
|
|
Фінансові
витрати
|
140
|
-
|
-
|
|
Витрати
від участі в капіталі
|
150
|
-
|
|
|
Інші
витрати
|
160
|
-
|
-
|
|
Фінансові
результати від звичайної діяльності до оподаткування:
|
|
|
|
|
прибуток
|
170
|
29
|
-
|
|
збиток
|
175
|
-
|
-
|
|
Податок
на прибуток від звичайної діяльності
|
180
|
4
|
-
|
|
Фінансові
результати від звичайної діяльності:
|
|
|
|
|
прибуток
|
190
|
25
|
-
|
|
збиток
|
195
|
-
|
-
|
|
1
|
2
|
3
|
4
|
|
Надзвичайні:
|
|
|
-
|
|
доходи
|
200
|
-
|
-
|
|
витрати
|
205
|
-
|
-
|
|
Податки
з надзвичайного прибутку
|
210
|
-
|
-
|
|
Чистий:
|
|
|
|
|
прибуток
|
220
|
25
|
-
|
|
збиток
|
225
|
-
|
-
|
II. ЕЛЕМЕНТИ ОПЕРАЦІЙНИХ ВИТРАТ
|
Найменування показника
|
Код
рядка
|
За
звітний період
|
За
попередній період
|
|
1
|
2
|
3
|
4
|
|
Матеріальні
затрати
|
230
|
50
|
-
|
|
Витрати
на оплату праці
|
240
|
50
|
-
|
|
Відрахування
на соціальні заходи
|
250
|
20
|
|
Амортизація
|
260
|
10
|
-
|
|
Інші
операційні витрати
|
270
|
-
|
-
|
|
Разом
|
280
|
130
|
-
|
III. РОЗРАХУНОК ПОКАЗНИКІВ
ПРИБУТКОВОСТІ АКЦІЙ
|
Назва статті
|
ККод рядка
|
За звітний період
|
За попередній період
|
|
1
|
2
|
3
|
4
|
|
Середньорічна
кількість простих акцій
|
300
|
-
|
-
|
|
Скоригована
середньорічна кількість простих акцій
|
310
|
-
|
-
|
|
Чистий
прибуток, що припадає на одну просту акцію
|
320
|
-
|
-
|
|
Скоригований
чистий прибуток, що припадає на одну просту акцію
|
330
|
-
|
-
|
|
Дивіденди
на одну просту акцію
|
340
|
-
|
-
|
Керівник Головний бухгалтер