|
№
варианта
|
Номера
узлов, кВ
|
Углы
сдвига, град.
|
Сопротивления
по связям, Ом
|
|
    
|
|
|
|
|
|
|
|
5
|
110
|
106
|
103
|
0
|
-5
|
-14
|
0,N*+jN
|
0,(N+1)+j(N+1)
|
0,(N+2)+j(N+2)
|
Решение:
.Определим сопротивление связей (Ом):



0,(N+2)+j(N+2) = 0,7+j7
2. Определяем полные проводимости отдельных
связей электрической сети, Yij
и отдельные составляющие этих проводимостей Yаij,
Yrij.
Запишем отдельные составляющие этих
проводимостей:
Yа12=0,02
, Yr12= -0,2
Yа13=0,017
, Yr13= -0,17
Yа23=0,014
, Yr23= -0,14
3. Находим активные и реактивные
составляющие напряжений отдельных узлов электрической сети, Uаi,
Uri.

4. Вычисляем активные и
реактивные составляющие токов по отдельным связям электрической сети,
5. Определяем реверсивные
составляющие токов по отдельным связям,
Ia21= -Ia12=
-1,93[кА]r21=
-Ir12= 0,696 [кА]a31=
-Ia13= -4,37[кА]r31=
-Ir13= 1,3[кА]
a32= -Ia23= -2,25[кА]r32=
-Ir23= 0,58[кА]
6. Находим перетоки активной и
реактивной мощности по отдельным связям,
[МВт]
[МВт]
[МВт]
[МВт]
[МВт]
[МВт]
[МВар]
[МВар]
[МВар]
[МВар]
[МВар]
[МВар]
Определяем потери активной,
реактивной и полной мощностей в отдельных связях
[МВт]
[МВт]
[МВт]
[МВар]
[МВар]
[МВар]
Определим суммарные потери активной
и реактивной мощности
[МВт]
[МВар]
Определим потери полной мощности в
отдельных связях, (МВа):

Sij=
Вычисляем суммарные потери полной
мощности в электрической сети,
Суммарные потери мощности в
электрической сети составили 63,64 МВА.
2.
РАСЧЕТ НАДЕЖНОСТИ РАБОТЫ СИСТЕМ ЭЛЕКТРОЭНЕРГЕТИКИ
.1 Надёжность как комплексное свойство
Проблеме надёжности всегда уделялось большое
внимание, как при проектировании, так и в период эксплуатации технических
систем. Связано это, в первую очередь, с появлением потребности создания не
просто отдельных элементов или различных технических систем, а создания
эффективной техники.
Надёжность - это свойство системы (объекта)
выполнять заданные функции в требуемом объёме при определённых условиях
эксплуатации.
В общем случае надёжность является достаточно
сложным свойством, которое можно представить в виде совокупности более простых
свойств, приведённых на рисунке 4.1, а именно
· безотказность
· долговечность
· ремонтопригодность
· сохраняемость
Рис. 4. Классификация надёжности с позиций
функционирования технической системы
Из рис. 4 видно, что общий процесс
функционирования объекта характеризуется двумя существенными чередующимися
периодами: работоспособным и неработоспособным (периодом восстановления
работоспособности). В связи с этим выделим два простых свойства надежности
первого уровня: безотказность и восстанавливаемость.
Безотказность (failure-freeoperation)-
свойство объекта непрерывно сохранять работоспособность в течение заданного
времени или заданной наработки.
Восстанавливаемость (renewalability)-
свойство объекта быть приспособленным к предупреждению и обнаружению причин
возникновения отказов и их устранению.
Если все отказы подразделить на те, которые
обусловлены физическими повреждениями оборудования; на отказы, которые связаны
со сбоями, нарушениями устойчивости объекта, и на отказы, связанные с переходом
объекта в предельное состояние, то свойство безотказности можно представить
совокупностью трех простых свойств: неповреждаемостью, устойчивоспособностью и
долговечностью.
Неповреждаемость (undemageability)
- свойство объекта непрерывно сохранять работоспособность, не допуская его
физического повреждения в течение заданного времени или заданной наработки.
Устойчивоспособность- свойство объекта
непрерывно сохранять работоспособность (устойчивость к возмущениям) в течение
заданного времени или заданной наработки до выхода значений параметров объекта
за допустимую область без его повреждения.
Долговечность (longevity)
свойство объекта сохранять, работоспособность в течение заданного времени или
заданной наработки до наступления предельного состояния с необходимыми
перерывами для технического обслуживания или ремонта.
Как правило, долговечность связана с постепенными
отказами, характеризующими достижение объектом предельного состояния.
Неповреждаемость - с отказами, приводящими к
повреждению объекта и необходимостью восстановительного ремонта (если он
восстанавливаем) или его замены (если он невосстанавливаем).
Устойчивоспособность - с отказами либо
проходящего характера (сбои), либо ликвидируемых средствами управления.
Аналогично, и свойство «восстанавливаемость»
можно представить, как минимум, двумя более простыми: ремонтопригодностью и
управляемостью.
Ремонтопригодность (maintainability)
свойство объекта, заключающееся в приспособленности к предупреждению и
обнаружению причин возникновения повреждений и восстановлению его
работоспособного состояния путем проведения технического обслуживания и
ремонтов.
Управляемость (operateability)
- свойство объекта, заключающееся в приспособленности к предупреждению и
обнаружению выхода значений параметров за допустимую область и возврату их в
эту область средствами управления.
Перейдем теперь к классификации свойств надежности
по условиям функционирования объектов. Здесь весь спектр условий можно
подразделить как минимум на три части: обычные, или ординарные условия, особые,
или неординарные условия и специфические условия хранения, транспортировки
объекта и т.д.
Первые (обычные, или ординарные), условия
определяются ежедневно, еженедельно, ежемесячно, ежегодно повторяющимися
климатическими, техногенными и другими воздействиями, на объект, характерными
режимами его загрузки.
Вторые (особые, или неординарные) условия появляются
значительно реже первых и обуславливаются ураганами, землетрясениями, военными
действиями и другими катаклизмами, при которых на объект действуют значительные
возмущения и на которые он, как правило, не рассчитывался.
Третьи - специальные условия хранения,
транспортировки создают свою специфику для проявлении свойств объекта.
Обычно рассматриваемое свойство надежности при
первых условиях называют ординарной надежностью или просто надежностью, при
вторых условиях - живучестью (survivalability),
при третьих - сохраняемостью (storageability).
Сохраняемость - свойство объекта сохранять свои
свойства безотказности и восстанавливаемости в течение и после хранения и (или)
транспортировки.
.2 Анализ надёжности работы систем
электроэнергетики
Как уже отмечалось, надёжность работы
электрических сетей и энергообъектов необходима для обеспечения безотказного,
бесперебойного и эффективного функционирования систем электроснабжения и
энергосистемы в целом. Только при достаточном уровне надёжности
электроснабжение потребителей может быть бесперебойным, экономичным и
высококачественным.
Перерыв электроснабжения является нежелательным
и приводит во многих случаях к неприятным последствиям: нарушению нормального
функционирования силового технологического оборудования, выходу из строя
ценного оборудования и сырья, браку продукции, а в ряде случаев и к
человеческим жертвам. Причиной появления перерывов электроснабжения является
выход из строя элементов электрической сети: трансформаторов, выключателей,
линий и т.д. Выход из строя элемента электрической сети является случайным
событием, предусмотреть которое заранее невозможно. Так, например, причинами
повреждения воздушной линии могут служить образование гололёда на проводах,
сильные порывы ветра, прямой удар молнии в линию и т.д. Трансформатор может
выйти из строя из-за утечки масла из бака или пробоя обмоток.
Для предотвращения перебоев электроснабжения
принимают специальные меры для улучшения работы всех элементов электрической
сети и повышения тем самым надёжности электроснабжения потребителей.
Очевидно, что всё это приводит к дополнительным
материальным и денежным затратам на сооружение резервных элементов и требует
применения специальных устройств защиты и автоматики, более тщательного надзора
за работой электроустановок. Вопрос о целесообразности применения тех или иных
средств для повышения надёжности электроснабжения решается на основании
соответствующего технико-экономического анализа. При этом требуется, в
частности, определение таких характеристик надёжности, как вероятность отказа и
вероятность безотказной работы системы электроснабжения. Определение этих
характеристик невозможно без использования аппарата теории вероятностей.
Рассмотрим структуру анализа надёжности для
электроэнергетики (рис. 5).
Рис. 5. Классификация надёжности с позиций
функционирования системы электроэнергетики
Как уже неоднократно подчёркивалось, одна из
главных функций электроэнергетики - снабжение потребителей электроэнергий в
необходимом объёме и требуемого качества. Обычно надёжность выполнения этой
функции называют «бесперебойностью электроснабжения». Кроме того, одним из
существенных требований, предъявляемых сегодня к электроэнергетике, является
обеспечение её безопасности. Это влечёт необходимость введения такого свойства,
как «безопасность».
Бесперебойность (uninterruptedability,
fail-safety)
- свойство надёжности объекта энергетики относительно его функции
энергоснабжения в заданном объёме.
Безопасность (safety)
- свойство объекта не допускать ситуаций, опасных для людей и окружающей среды.
Маневренность (maneuverability)
- свойство объекта изменять значения своих параметров режима в соответствии с
требуемой скоростью и в заданном диапазоне при определённых условиях его
эксплуатации.
Не исключено, что в перспективе у
электроэнергетики проявятся ещё новые функции, что также потребует введения
новых составляющих свойств надёжности.
.3 Структурная схема для расчёта показателей
надёжности систем электроэнергетике
ЭЭЭ в целом и отдельные её элементы могут
характеризоваться вероятностями отказа и безотказной работы. Вероятность
безотказной работы системы, P(t)
- это вероятность того, что в заданном интервале времени при заданных режимах и
условиях работы не произойдёт ни одного отказа. Вероятность отказа системы Q(t)
- это вероятность того,что в заданном интервале времени в системе произойдёт
хотя бы один отказ. Отказ и безотказная работа являются противоположными и
несовместными событиями. Поэтому сумма вероятностей их появления равна единице:
(2.1)
Для определения этих показателей по исходной
схеме электрических соединений составляется специальная структурная схема
(блок-схема), в который каждый элемент расчёта надёжности представляется
квадратом, внутри которого указывается его порядковый номер. Под элементом
расчёта надёжности понимается совокупность устройств и связей, учитываемых при
расчёте в виде отдельной самостоятельной части, имеющей свой общий
количественный показатель надёжности. Например, распределительные устройства
электростанций и подстанций, содержащих сотни элементов или блок
«генератор-трансформатор», в структурной схеме представляются одним элементом.
По этой причине, структурная схема по расчёту надёжности в подавляющем
большинстве случаев содержит меньше элементов, чем исходная электрическая схема
(схема замещения).
Расчёт показателей надёжности по составленной
структурной схеме выполняется путём преобразований элементов, соединённых
последовательно, параллельно, по схемам «звезда», «треугольник» и т.д. в
эквивалентные до тех пор, пока шины источника и шины потребителя не окажутся
связанными одним эквивалентным блоком. Показатели надёжности этого блока и
являются искомыми показателями надёжности исследуемой электрической схемы.
На рис. 6. приведена процедура
эквивалентирования элементов структурной схемы по расчёту надёжности (рис. 4.3б),
составленной для электрической схемы (рис. 6.а). Путём ряда преобразований
последовательного и параллельного соединения единичных элементов в
эквивалентные блоки (рис. 6.б - 6.д) получен эквивалентный блок IV (рис. 6.д),
характеристики которого и будут определить показатели надёжности исходной
электрической схемы (рис. 6.а)
а) б) в) г) д)
Рис. 6. Эквивалентирование структурной схемы по
расчёту надёжности Т1, Т2, Т3 - силовые двухобмоточные трансформаторы Л1, Л2 -
линии электропередачи
2.4 Расчёт показателей надёжности при различных
соединении элементов
Рассмотрим определение показателей надёжности для
двух простейших видов соединения элементов - последовательного и параллельного.
· Последовательное соединение
На рис. 7. приведена блок-схема, состоящая из
элементов, соединённых последовательно. Её основным условием является
следующее: данная система будет выполнять требуемые функции, если все её
элементы исправны
Рис. 7. Последовательное соединение
Исходя из этого условия и предполагая, что
отказы отдельных элементов являются независимыми событиями, на первом этапе
определяется вероятность безотказной работы схемы P(t).
Согласно теореме умножения вероятностей величина P(t)
определится в виде:
(2.2)
где
-
вероятность безотказной работы i-го
элемента, n-число всех
элементов схемы.
Вероятность отказа в такой системе
находится
по следующему выражению:
(2.3)
· Параллельное соединение
На рис. 10.5. представлена блок-схема, состоящая
из m-основных элементов
и (n-m)
резервных элементов, соединенных параллельно. Параллельную структуру часто
называют резервированной или избыточной, поскольку она содержит элементов
больше, чем это необходимо для её нормальной работы. Основным условием для
этого вида соединения является следующее: данная система выйдет из строя при
отказе всех (n-m)
резервных элементов и хотя бы одного основного элемента.
Исходя из этого условия и предполагая, что
отказы отдельных элементов являются независимыми событиями на первом этапе
определяется отказ системы,
. В соответствии с
теоремой умножения вероятностей величина
определяется
по следующему выражению
Рис. 8. Параллельное соединение
(2.4)
.5 Метод статистических испытаний (метод
Монте-Карло)
При изучении аварийных режимов в электрических
сетях широко применяется метод статистических испытаний, называемый методом Монте-Карло.
Датой рождения метода Монте-Карло принято
считать 1949 г., когда американские учёные Н. Метрополис и С. У лам
опубликовали статью «Метод Монте-Карло», в которой систематически его изложили.
Название метода связано с названием города Монте-Карло, где в игорных домах
(казино) играют в рулетку - одно из простейших устройств для получения
случайных чисел, на использовании которых основан этот метод.
Развитие метода Монте-Карло было тесно связано с
созданием быстродействующих ЭВМ, т.к. достижение достаточной точности
исследований случайных процессов (в том числе и аварийных режимов в
электрических сетях) возможно лишь при большом числе испытаний, требующих
значительных затрат времени.
Суть метода Монте-Карло заключается в том, что
вместо аналитических вычислений различных вероятностных характеристик
производится моделирование («розыгрыш») изучаемого режима с помощью массивов
(датчиков) случайных чисел. По результатам моделирования составляется таблица
Монте-Карло, при заполнении которой придерживаются следующего правила: если
выбранное случайное число превосходит вероятности безотказной работы данного
элемента, то считается что этот элемент отказал (в таблице ставится знак «-»),
в противном случае принимается, что элемент остаётся в работе (в таблице ставится
знак «+»).
ЗАДАЧА 2
Система электроснабжения СЭС включает в себя два
района, последовательно соединённых линией электропередачи ВЛ (рис 8). В схему
СЭС для нечётных вариантов входят трансформаторные подстанции А, С, D.
Рис. 8. Схема системы
электроснабжения
Схема СЭС отказывает при выходе из
работы хотя бы одного энергорайона. Значения вероятностей для отдельных
трансформаторных подстанций указаны на схеме в прямоугольнике (для вариантов с
1 по 50 в скобке берётся знак «+», а для вариантов с 51 по 100 - знак «-»).
Найти с помощью метода Монте-Карло:
а) вероятность безотказной работы
схемы СЭС, Р зная вероятности отдельных элементов. Случайные числа выбираются
из «Таблицы равномерно распределённых случайных чисел в интервале от 0 до 99»
(Приложение 1), начиная с первого элемента строки, равной 2N, где N-номер
варианта
б) определить абсолютную погрешность
, где
-
вероятность безотказной работы СЭС, вычисленная аналитически.
Решение:
а) Вариант №5.Случайные числа
выбираются из «Таблицы равномерно распределённых случайных чисел в интервале от
0 до 99», начиная с первого элемента строки, равной 2х5=10;
По исходным данным определим
вероятность отказ работы отдельных элементов СЭС.
Получим:
Определим вероятность безотказной
работы отдельных элементов СЭС.
В таблице 2 приведены результаты
моделирования для десяти опытов.
Таблица 2 - Моделирование работы СЭС
по методу Монте-Карло
|
Энергорайон
|
Случайные
числа
|
Заключение
о работе
|
|
подстанции
|
подстанции
|
энерго-
|
|
A
|
С
|
D
|
A
|
С
|
D
|
район
|
система
|
|
1
|
2
|
3
|
4
|
5
|
6
|
7
|
8
|
9
|
|
I
|
0,68
|
|
|
+
|
|
|
+
|
+
|
|
II
|
|
0,71
|
0,17
|
|
+
|
+
|
+
|
|
|
I
|
0,17
|
|
|
+
|
|
|
+
|
+
|
|
II
|
|
0,78
|
0,17
|
|
+
|
+
|
+
|
|
|
I
|
0,88
|
|
|
+
|
|
|
+
|
+
|
|
II
|
|
0,68
|
0,54
|
|
+
|
+
|
+
|
|
|
I
|
0,02
|
|
|
+
|
|
|
+
|
+
|
|
II
|
|
0
|
0,86
|
|
+
|
+
|
+
|
|
|
I
|
0,5
|
|
|
+
|
|
|
+
|
+
|
|
0,75
|
0,84
|
|
+
|
+
|
+
|
|
|
I
|
0,68
|
|
|
+
|
|
|
+
|
+
|
|
II
|
|
0,71
|
0,17
|
|
+
|
+
|
+
|
|
|
I
|
0,78
|
|
|
+
|
|
|
+
|
+
|
|
II
|
|
0,17
|
0,88
|
|
+
|
+
|
+
|
|
|
I
|
0,68
|
|
|
+
|
|
|
+
|
+
|
|
II
|
|
0,54
|
0,02
|
|
+
|
+
|
+
|
|
|
I
|
0
|
|
|
+
|
|
|
+
|
+
|
|
II
|
|
0,86
|
0,5
|
|
+
|
+
|
+
|
|
|
I
|
0,75
|
|
|
+
|
|
|
+
|
+
|
|
II
|
|
0,84
|
0,01
|
|
+
|
+
|
+
|
|
Из таблицы 2 видно, что система в 10 случаях из
10 будет работать безотказно, следовательно:
б) Определим абсолютную погрешность
, где
-
вероятность безотказной работы СЭС, вычисленная аналитически.
Для расчета искомого показателя
надежности по известной электрической схеме составляем структурную схему
(рис.9):
Рис. 9. - Структурная схема
С учетом вида соединений элементов и
формулы умножения вероятностей вычисляем требуемый показатель надежности.
Для направления 1:

0,07
Для направления 2:
Окончательная вероятность безотказной работы СЭС
составит:
Вычислим абсолютную погрешность, 
3.
МАТЕМАТИЧЕСКАЯ ОБРАБОТКА ЭКСПЕРИМЕНТАЛЬНЫХ ДАННЫХ
В электроэнергетике экспериментальные
исследования получили большое распространение как на этапе проектирования, так
и при текущей эксплуатации электрических сетей.
До настоящего момента в учебном пособии основное
внимание было уделено расчётам нормального установившегося режима. При этом
предполагалось, что имеется необходимая исходная информация о параметрах режима
и параметрах сети, позволяющая однозначно рассчитать исследуемый режим работы
последней. К сожалению, необходимо отметить наличие серьёзного дефицита
измерений (в первую очередь, по параметрам режима) в отечественных
электрических сетях. Неизбежные выходы из строя измерительных приборов и
систем, сбои и отказы в работе каналов передачи данных, а также выводы их в
ремонт и на профилактику лишь усугубляют проблему дефицита исходной информации.
Определённым выходом из сложившейся ситуации, с
целью восполнения исходной информации в электрических сетях, является
использования псевдоизмерений. Это возможно в так называемых «жёстких»
технических системах, в которых строго выполняются определённые законы и
правила. К примеру, в электроэнергетике законы Кирхгофа и Ома, с одной стороны,
позволяют установить наличие устойчивых статистических взаимосвязей между
отдельными параметрами в электрической сети. С другой стороны, они препятствуют
внезапному (самопроизвольному) изменению отдельного параметра при неизменности
других.
3.1 Регрессионные модели в электроэнергетике
При математической обработке массивов
экспериментальной информации возникает необходимость в подборе эмпирических
формул, устанавливающих связь одного измеренного параметра с другим.
Задача определения точного вида выявленной
взаимозависимости параметров решается с помощью регрессионного анализа.
Регрессионный анализ заключается в
определении аналитического выражения связи, в котором изменение одного
параметра (у) обусловлено влиянием другого параметра (х). Количественная
оценка данной взаимосвязи осуществляется с помощью построения регрессионной
функции - уравнения регрессии.
В общем случае уравнение регрессии зависимого
параметра, у от независимого параметра х можно записать в виде
аналитического полинома степени п:
у = а + bх
+ сх2 +... +fxn
. (3.1)
В простейшем случае между двумя коррелированными
параметрами существует линейная связь, для которой выражение (3.1) можно
переписать в следующем виде:
y
= a
+ βx.
(3.2)
Выражение (3.2) является линейным уравнением
регрессии, в котором величина а называется свободным членом уравнения
регрессии, а величина β - коэффициентом
уравнения регрессии.
Предположим, что в результате измерений
сформированы массивы экспериментальной информации по параметрам х и у,
которые связаны зависимостью вида у =f(x),
а
график этой зависимости представлен на рис. 10.
Из курса высшей математики известно, что через
любые п точек всегда можно провести кривую, выражаемую аналитическим
полиномом степени (n-1),
так чтобы она в точности прошла через каждую из точек (рис. 10, непрерывная
кривая). Однако вид такой кривой крайне сложен для её математического описания.
Возникает задача сглаживания экспериментальной зависимости. Экспериментальные
данные желательно обработать так, чтобы по возможности достаточно точно
отразить общую тенденцию зависимости у от х, но вместе с тем
«сгладить» нехарактерные, случайные отклонения, вызванные, в том числе, и
неизбежными погрешностями измерений, подробно представленными в предыдущей
главе учебного пособия. Одним из эффективных методов расчётного сглаживания
является метод наименьших квадратов.
Рис. 10 Вид экспериментальной зависимости между
параметрами
Пусть имеем данные экспериментальных измерений
по параметрам xi,
и yi.
Рассмотрим
случай линейной регрессии вида (3.2). Используя метод наименьших квадратов,
можно записать

(3.3)
Раскроем скобки в этих уравнениях и, произведя
суммирование, получим

(3.4)
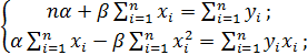
Выразим из второго уравнения системы (5.4)
коэффициент уравнения регрессии

(3.5)
Свободный член уравнения регрессии а
также можно найти из системы уравнений (3.4). Но проще величину α выразить
через β:

(3.6)
Выражение (5.6) можно переписать в виде:

(3.7)
Величина α, вычисленная
по формуле (3.7), позволяет отобразить наиболее характерную кривую с учётом
поведения параметров xi и yi и
математических ожиданий М(x) и М(у). Величина
β
характеризует
угловой коэффициент (угол наклона к оси Oх).
К сожалению, такой подход для
расчёта линейного уравнения регрессии очень трудоёмок вследствие сложности
расчётов αиβ.
Расчёты значительно упрощаются, если
использовать коэффициент корреляции r. Знак при r показывает
характер тенденции корреляционной связи и является одним из критериев
правильности выполненных расчётов:
· знак «+» означает, что изменение
исследуемых параметров х и y
имеет
одинаковую тенденцию (корреляционная связь положительная);
· знак « - » означает, что изменение
исследуемых параметров х и уимеет разную тенденцию
(корреляционная связь отрицательная);
· значение r
=
0 означает, что корреляционная связь между параметрами х и у отсутствует.
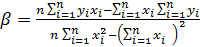
Для статистического определения
коэффициента корреляции между двумя случайными величинами у и х необходимо
иметь данные их измерений. Пусть наблюдались следующие пары одновременных
измерений величин y и x: 
Тогда для получения
зависимости 
нужно найти α, β, σx, σy,и r по следующим
формулам:

(5.8)
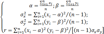
Важной проверкой составления
регрессионной модели является знак коэффициента р правой части уравнения:
· знак «+» означает, что изменение
исследуемых параметров х и у имеет одинаковую тенденцию;
· знак «-» - разную тенденцию.
ЗАДАЧА №3. На главной
понизительной подстанции 220/110 /10 кВ произведены часовые измерения суммарной
активной мощности,
и перетока
по отдельной ЛЭП,
(табл. 3). Записать
линейное уравнение регрессии для этих параметров.
Таблица 3
|
Параметры
|
Нечётные
варианты
|
|
,
МВт519523539547552
|
|
|
|
|
|
|
,
МВт9283756964
|
|
|
|
|
|
1. Для заданных параметров
и
определим
основные статистические характеристики:
а) Математическое ожидание по формуле:
М(
) = (519+523+539+547+552)/5 = 536
МВт
М(
) = (92+83+75+69+64)/5 = 76,6 МВт
б) Дисперсию рассчитываем по
формуле:
D(
)=
D(
)=
в) Среднеквадратичное отклонение
рассчитываем по формуле:
2. Определим величину коэффициента
корреляции по формуле:
+
+
r =
+
+
3. Запишем уравнение линейной регрессии:
Приняв значение Р=64 МВт, по
уравнению линейной регрессии находим
:
Для полученного уравнения определяем
погрешность расчета:
ЗАКЛЮЧЕНИЕ
В первом разделе контрольной работы были
рассмотрены структура потерь электроэнергии в электрических сетях, методы
расчета потерь электроэнергии для различных сетей, на примере были рассчитаны
суммарные потери активной и реактивной мощности 63,4 МВа, что составляет 4,9 %
от передаваемой мощности.
Во втором разделе при помощи метода Монте-Карло
был проведен анализ надежности работы систем электроэнергетики, была изучена и
описана структурная схема для расчета показателей надежности систем
электроэнергетики, рассмотрен расчет показателей надежности при различном
соединении элементов, на примере был проведен расчет вероятности безотказной
работы заданной схемы СЭС, вероятность безотказной работы составила 0,921.
В третьем разделе была описана методика
проведения регрессионного анализа, на примере было составлено линейное
уравнение регрессии, погрешность расчета с использованием полученного уравнения
составляет 0,024%.
СПИСОК ЛИТЕРАТУРЫ
электрический сеть схема
1. Электроэнергетические
системы в примерах и иллюстрациях/под ред. В.А. Веникова. - М.: Высшая школа,
1983. - 504 с.
2. Маклюев Б.И. Анализ и
планирование электропотребления - М.: Энергоатомиздат, 2008 - 296с.
. Гамм А.З Статистические
методы оценивания состояния электроэнергетических систем - М.: Наука, 1976 -
220с.
. Гамм А.З. Курбацкий В.Г.
Вероятностные методы расчета режимов электроэнергетических систем - Братск,
1990 - 91с.
. Гмурман В.Е. ,Теория
вероятностей и математическая статистика - М.: Высшая школа, 2001 - 479с.
. Пугачев В.С. Теория
вероятностей и математическая статистика - М.: Наука, 1979 - 496с.
. Фокин Ю.А. Вероятностно -
статистические методы в расчетах систем электроснабжения - М.: Энергоатомиздат,
1985 - 240с.
. Статистические методы в
инженерных исследованиях/под ред. Г.К. Круга. - М.: Высшая школа, 1983 - 216с.
. Курбацкий В.Г., Н.В. Томин
Математические задачи электроэнергетики. В 2 ч. Ч.1. Основы применения
элементов линейной алгебры и теории графов в электроэнергетике: учеб. Пособие -
Братск: ГОУ ВПО «БрГУ», 2001 - 142 с.
. Курбацкий В.Г., Н.В. Томин
Математические задачи электроэнергетики. В 2 ч. Ч.2. Применение методов теории
вероятностей и математической статистики в электроэнергетике: учеб. Пособие -
Братск: ГОУ ВПО «БрГУ», 2008 - 195 с.
. Китушин В.Г. Надежность
энергетических систем. Ч.1 - Новосибирск: НГТУ, 2003. - 256 с.