Создание демонстрационного прототипа системы поддержки принятия решений в области проектирования радиоустройств
Введение
Искусственный интеллект, а точнее область наук
об искусственном интеллекте, называемая инженерия знаний, связанная с
разработкой экспертных систем и баз знаний, получает все большую
распространенность в обществе. Данная работа посвящена применению инженерии
знаний в сфере проектирования и конструирования приемо-передающих
радиоустройств. Практическая актуальность работы заключается в разработке
системы помогающей конструктору (лицу, принимающему решения) на всем этапе
эскизного проектирования приемо-передающих радиоустройств.Так как данных о
подобных системах применимых в области проектирования радиосистем нет,
ближайшиманалогом разрабатываемой системы является система «Агротех»
разработанная Киевским институтом кибернетики им. В. М. Глушкова в рамках
информатизации сельскохозяйственных предприятий. В рамках системы «Агротех»
реализованы задачи выбора оптимальной структуры посевных площадей на уровне
хозяйства, подразделения и севооборота, задача построения оптимальных схем
севооборотов, задача выбора технологических приемов обработки почвы под
соответствующие культуры.
Эскизное проектирование рассматривается, как
синтез структуры радиоустройства с учетом выполняемых их функций. Так как
функции, выполняемые радиоустройством заданы в техническом задании, а
синтезируемая структура должна полностью им соответствовать, принято решение о
применении функционально-структурного подхода в разрабатываемой системе. Таким
образом разрабатываемая система поддержки принятия решений в результате диалога
с лицом, принимающим решения получает информацию о функциях проектируемого
радиоустройства, и на основании данной информации предоставлять рекомендации о
структуре проектируемого радиоустройства.
Функция и структура неразрывно связаны,
изменение взаимодействий системы с внешней средой непременно приводит к
изменению функций системы, а в результате и структуры.
Функционально-структурный подход базируется на зависимости функции и структуры
в процессах развития системы при решающей роли функции системы по отношению к
ее структуре.
Основная задача, которую призвана решить данная
система, это принимаемые решения при многокритериальной оценке, требующейся при
проектировании, субъективность которых может служить причиной ошибки. Так как
чем раньше будет обнаружена ошибка, сделанная при проектировании, тем меньшими
затратами обернется ее исправление. Так же проектируемая система должна быть
применима, для конструктора с малым опытом или низкой квалификацией, с целью
обеспечения справочной информацией и рекомендациями, которые должны быть
применимы к конкретной проблеме, возникающей при проектировании. Ранее подобную
роль выполняли различные совещания или справочная литература, однако на данный
момент, когда рабочие места подавляющего числа конструкторов оборудованы
персональными компьютерами, применение подобной системы может существенно
сократить время на проектирование.
Объектом работы являются знания в сфере
конструирования радиоустройств, над которыми необходимо провести операции
извлечения, структурирования и наполнение ими базы знаний. На основе базы
знаний в разрабатываемой системе должно моделироваться поведение эксперта в
области проектирования радиоустройств с использованием процедур принятия
решений.
Целью работы является создание демонстрационного
прототипа системы поддержки принятия решений в области проектирования
радиоустройств, обеспечивающего поддержку принимаемых конструктором решений, на
начальном этапе проектирования.
Задачами для достижения поставленной цели
являются создание базы знаний, реализация структуры полученных знаний в виде
графа.
В первой главе работы проводится анализ
состояния проектирования радиоустройств, постановка задачи на проектирование
системы поддержки принятия решений, извлечение знаний в области проектирования
радиоустройств.
Во второй главе проводятся этапы выбора среды
разработки, структурирования и формализации знаний, реализация системы
поддержки принятия решений
В третьей главе проводится тестирование
полученной системы с целью определения ее работоспособности и адекватности,
рассматриваются перспективы развития системы.
Созданный в результате работы демонстрационный
прототип должен осуществлять поддержку конструктора на начальном этапе
эскизного проектирования, вести диалог с конструктором результатом которого
должны быть рекомендации касающиеся проектирования радиоустройства.
. Анализ современного состояния проектирования
приемо-передающих радиоустройств.
Радиоприемное устройство - устройство,
предназначением которого является выделение информации из электромагнитных
волн. Радиоприемное устройство состоит из антенны, оконечного устройства, и
непосредственно
Рис. 1-Структура радиосистемы радиоприемника.
В данной работе не затрагиваются вопросы
проектирования оконечного устройства и антенны.
Зачастую радиоприемное устройство является
частью радиотехнической системы. В радиоприемном устройстве, входящем в состав
современной радиотехнической системы, осуществляется не только прием сигнала,
но и его обработка с целью оптимизации извлечения информации. Под информацией,
в данном случае, понимается передаваемое сообщение. Для передачи информации
производится модуляция несущей частоты.[9]
Основные задачи радиоприема [10]:
Обнаружение сигнала -решение о наличии или
отсутствии сигнала;
Различение сигналов - принятие решения о том,
какой из возможных сигналов принят;
Измерение параметров сигнала;
Фильтрация сигнала - решение относительно формы
модулирующего колебания;
Разрешение сигналов - решение одной из задач,
сформулированных выше, при одновременном действии нескольких сигналов;
Распознавание образов - решение относительно
источника сигнала по характеристикам сигнала.
Основные признаки по которым можно
классифицировать радиоприемники [10]:
Назначение приёмника;
Диапазон принимаемых частот;
Вид принимаемых сигналов;
Тип структурной схемы;
Форма выполнения основных операций над сигналом;
Вид активных элементов, используемых в
приемнике;
Тип конструкции приемника.
По назначению приемники различают на связные,
радиовещательные, телевизионные, радиолокационные и многие другие. Технические
решения, выбираемые при проектировании, во многом определяются назначением
приемника.
Диапазон частот радиосигналов от 3 кГц до 300
ГГц, что соответствует длинам волн от 10 км до 1 мм. Приемник может быть
предназначен для работы на одной или нескольких фиксированных частотах, или в
некотором диапазоне частот. От диапазона частот напрямую зависит выбор активных
элементов и резонансных систем. [9]
Вид принимаемых сигналов определяется видом
модуляции или ее отсутствием. Используются непрерывные, дискретные и цифровые
сигналы. В случае непрерывных сигналов применяют амплитудную, частотную или
фазовую модуляцию. В случае дискретных сигналов применяют аналогичные виды
манипуляции. Радиолокационный импульсный сигнал может быть немодулированным.
Кроме простых сигналов, имеющих базу порядка единицы, применяют сложные
сигналы, база которых значительно больше единицы по порядку величины. Полоса
пропускания главного тракта приемника всегда согласуется с шириной спектра
принимаемого сигнала. Способ детектирования определяется видом модуляции.
По типу структурной схемы различают приемники
прямого усиления, прямого преобразования и супергетеродинные приемники.
Наилучшие качественные показатели обеспечивает применение супергетеродинной
схемы. В профессиональных приемниках используют двойное и тройное
преобразование частоты.
Основные операции над сигналом могут выполняться
в аналоговой, цифровой или цифроаналоговой форме.
Усилительно-преобразовательный тракт обычно является аналоговым, демодуляция и
последующая обработка сигналов в современных приемниках часто делается
цифровой.
В качестве активных элементов широко применяются
полевые и биполярные транзисторы и интегральные микросхемы. Элементная база
постоянно обновляется.
Конструктивно приемники выполняются на основе
печатного или объемного монтажа с использованием интегральных микросхем,
представляющих собой каскады, узлы приемников и даже целые приемники.
В соответствии с занимаемым в радиоканале местом
радиоприемные устройства должны обеспечивать следующие основные функции:
выделение полезного сигнала из смеси с шумом или
другими мешающими сигналами;
усиление полезного сигнала;
ослабление мешающего действия помех,
присутствующих во входных колебаниях;
детектирование радиочастотных сигналов с целью
формирования колебаний, соответствующих передаваемому сообщению.
Техническое задание - исходный документ на
проектирование технического объекта (изделия). ТЗ устанавливает основное
назначение разрабатываемого объекта, его технические характеристики, показатели
качества и технико-экономические требования, предписание по выполнению
необходимых стадий создания документации (конструкторской, технологической,
программной и т. д.) и её состав, а также специальные требования. Несмотря на
важность, техническое задание слабо регламентировано нормативными документами.
По ГОСТ 2.103-68 разработка технического задания не относится к стадиям
проектирования.
Стадии проектирования по ГОСТ 2.103-68[11].
Техническое предложение - совокупность
конструкторских документов, которые должны содержать технические и
технико-экономические обоснования целесообразности разработки документации
изделия на основании анализа технического задания заказчика и различных
вариантов возможных решений изделий, сравнительной оценки решений с учетом
конструктивных и эксплуатационных особенностей разрабатываемого и существующих
изделий и патентные исследования. Этапы выполнения работ:
Подбор материалов
Разработка технического предложения с
присвоением документам литеры «П»
Рассмотрение и утверждение технического
предложения
Эскизный проект - совокупность конструкторских
документов, которые должны содержать принципиальные конструктивные решения,
дающие общее представление об устройстве и принципе работы изделия, а также
данные, определяющие назначение, основные параметры и габаритные размеры
разрабатываемого изделия. Этапы выполнения работ:
Разработка эскизного проекта с присвоением
документам литеры «Э»
Изготовление и испытание макетов (при
необходимости)
Рассмотрение и утверждение эскизного предложения
Технический проект - совокупность
конструкторских документов, которые должны содержать окончательные технические
решения, дающие полное представление об устройстве разрабатываемого изделия, и
исходные данные для разработки рабочей документация. Технический проект после
согласования и утверждения в установлен ном порядке служит основанием для
разработки рабочей конструкторской документации. Этапы выполнения работ:
Разработка технического проекта с присвоением
документам литеры «Т»
Изготовление и испытание макетов (при
необходимости)
Рассмотрение и утверждение технического проекта
Рабочая конструкторская документация. Этапы
выполнения работ:
Разработка конструкторской документации,
предназначенной для изготовления и испытания опытного образца (опытной партии),
без присвоения литеры.
Изготовление и предварительные испытания
опытного образца (опытной партии).
Корректировка конструкторской документация по
результатам изготовления и предварительных испытаний опытного образца (опытной
партии) с присвоением документам литеры "О".
Приемочные испытания опытного образца (опытной
партия).
Корректировка конструкторской документации по
результатам приемочных испытаний опытного образца (опытной партии) с
присвоением документам литеры "О1".
Для изделия, разрабатываемого по заказу
Министерства обороны, при необходимости, повторное изготовление и испытания
опытного образца (опытной партии) по документации с литерой "О2" и
корректировка конструкторских документов с присвоением им литеры
"О2".
На сегодняшний день проектирование устройств
упростилось, благодаря появлению различных систем автоматизированного
проектирования и технологии CALS (Continous Acquisition and Lifecycle
Support).- подход к проектированию и производству высокотехнологичной и
наукоёмкой продукции, заключающийся в использовании компьютерной техники и
информационных технологий на всех стадиях жизненного цикла изделия. Целью
применения данной технологии является повышение эффективности деятельности
участников создания, производства и пользования продуктом.
Программные продукты, используемые в CALS, можно
разделить на два типа:
Программные продукты, используемые для создания
и преобразования информации об изделиях, производственной среде и процессах.
Программные продукты, применение которых
непосредственно связано с CALS и требованиями соответствующих стандартов.
подготовки текстовой и табличной документации
различного назначения (текстовые редакторы, электронные таблицы и т. д);
автоматизации инженерных расчетов и эскизного
проектирования (САЕ-системы);
автоматизации конструирования и изготовления
рабочей конструкторской документации (CAD-системы);
автоматизации технологической подготовки
производства (САМ-системы);
автоматизации планирования производства и
управления процессами изготовления изделий, запасами, производственными
ресурсами, транспортом и т. д. (системы MRP/ERP);
Ко второй группе относятся следующие программные
средства и системы:
управления данными об изделии и его конфигурации
(системы PDM - Product Data Management);
управления проектами (Project Management);
управления потоками заданий при создании и
изменении технической документации (системы WF - Work Flow);
обеспечения информационной поддержки изделий на
постпроизводственных стадиях жизненного цикла;
функционального моделирования, анализа и
реинжиниринга бизнес-процессов.
Таким образом при проектировании
приемо-передающей радиоаппаратуры возможно использование различных систем
автоматизированного проектирования (САПР) и программных продуктов, которые
повысят эффективность деятельности при проектировании.
Так, для выполнения проектных работ на
структурном и функциональном этапах проектирования на данный момент
используются универсальные (MatLAB, Maple) и специализированные (SystemView,
Complab) математические пакеты. Для схемотехнического проектирования
используются CAD пакеты (ElectronicsWorkbench, OrCAD, AltiumDesigner(P-CAD)).
Проектирование структуры печатной платы (OrCad, AltiumDesigner(P-CAD),
PCBDesignStudio). Подготовка к производству печатных плат (CAM350).
Проектирование конструкции разрабатываемого устройства (AutoCAD, SolidWorks,
КОМПАС).
Анализ методов проектирования приемо-передающих
радиоустройств.
Радиоприемные устройства обладают всеми
свойствами, характерными для сложной системы. Они взаимодействуют с другими
элементами радиосистемы (радиопередающим устройством, антенной, устройствами
управления и контроля и др.), с окружающей средой и оператором. Иерархичность
структуры радиоприемного устройства проявляется в том, что отдельные блоки,
субблоки и узлы являются управляющими для одних и управляемыми для других
элементов подсистемы. Поскольку прием полезных сигналов всегда осуществляется в
условиях воздействия недетерминированных, непредсказуемых помех,
функционирование приемной подсистемы носит стохастический характер.
При проектировании систем со сложной структурой,
процесс их разработки следует разделить на два взаимосвязанных блока:
Синтез структуры,
Параметрический синтез
.1.1 Синтез структуры
Под синтезом структуры следует понимать процесс
получения [3]:
Спецификаций выполняемых функций на всех
иерархических уровнях детализации, в общем виде это функции, описанные в
техническом задании на проектирование. 1-й уровень детализации - функции,
которые следует реализовать с помощью устройств(подсистем). 2-й уровень
детализации - функции, которые следует реализовать на уровне блоков подсистем.
И так далее до предельного выделения списков функций, которые служат
обоснованием выбора элементной базы.
Спецификаций функций межблочных связей, которая
является системным этапом определение интерфейса комплекса.
Спецификации алгоритмов управления
измерительными процессами внутри комплекса, на основании полученного
распределения реализуемых функций по всем компонентам комплекса и функциями
межблочных связей.
Распределение ограничений, заданных в
техническом задании, по всем устройствам и блокам, системам интерфейса и
алгоритмам управления на основании результатов предыдущих шагов.
На Рис.2 показана блок-схема алгоритма синтеза
структуры. На схеме приняты следующие обозначения:
БФР - блок функционального распределения;
РБФР - блок оценки оптимальности функционального
распределения;
Спецификация - блок составления упорядоченного
списка интерфейсных межблочных связей;
А-ПО - блок реализации исполнения функций
аппаратным или программным способом;
РА-ПО - блок оценки оптимальности разделения на
программную и аппаратную часть;
СПД - блок организации сети передачи данных;
РСПД - блок оценки оптимальности структуры сети
передачи данных;
АПОИ - блок реализации исполнения интерфейса
аппаратным или программным способом;
РАПОИ - блок оптимальности реализации
интерфейса;
АОУ - блок системы алгоритмического обеспечения
процесса управления реализацией в системе функциональных алгоритмов;
РАОУ - блок проверки оптимальности организации
алгоритмического обеспечения процесса управления;
ОЦС - блок получения системы оценочных
соотношений;
РОЦС - блок проверки оптимальности структуры
системы оценочных соотношений;
Рис.2 - блок-схема алгоритма синтеза структуры
В соответствии с блок-схемой алгоритма синтеза
структуры процесс проектирования состоит в следующем. На основании технического
задания составляется оператор, связывающий вход системы с ее выходом. Каждому
подоператору приписывается список функций, который в совокупности со списками,
приписанными для других подоператоров, покрывает все множество функций
сформированного в техническом задании.
Оператор вход-выход подвергается преобразованиям
(к примеру, минимизация блочных затрат) и возникает новая совокупность
подоператоров со своими списками функций. Далее возможна детализация
подоператоров делением на более мелкие операторы, следовательно, и деление
списков функций.Результатом является совокупность подоператоров, которые возможно
реализовать блоками. Каждый блок будет отличаться своим набором входных и
выходных списков функций и условий их реализации - спецификация блока
функционального распределения (БФР).
На полученной совокупности подоператоров
принимается несколько вариантов сочетания аппаратного и программного их
исполнения. После получения минимального покрытия каждого варианта
распределения, происходит их сравнение и выбирается наилучший по критерию
аппаратных затрат, числу внутренних связей (А-ПО). Затем уточняется спецификация
интерфейса всех блоков.
Часть подоператоров представляет сеть передачи
данных (СПД). Вместо этих подоператоров используется детализирующая их
операторная схема, которая подвергается преобразованиям, с целью получения
минимальной структуры СПД. Структура СПД реализуется несколькими вариантами
распределения программно-аппаратного исполнения обработки передаваемой
информации (АПОИ). Найденные минимальные покрытия позволяют выполнить сравнение
вариантов и выбрать лучший из них.
На заключительно этапе синтеза системы
осуществляется получение оценочных соотношений (ОЦС). К этому моменту стали
известны все блоки, следовательно, и результирующее функциональное
распределение. Значит, имеется полная информация о параметрах, которые
определяют основные характеристики блока. Также на этапе ОЦС необходимо
провести оценку параметров программного обеспечения. В зависимости от
предназначения системы ПО анализируется по параметрам надежности, точности и
т.д.
Заключительным этапом процесса синтеза системы
является сравнение расчетных параметров оценки работы системы с оценочными
параметрами, указанными в техническом задании. При несовпадении осуществляется
коррекция параметров блоков, начиная с начального этапа БФР, и далее по
алгоритму, указанному в блок-схеме.
.1.2 Параметрический синтез
Целью параметрического синтеза является [3]:
Выбор элементной базы.
Определение информационных характеристик
устройств, блоков и комплекса в целом.
Определение метрологических параметров
устройств, блоков и комплекса в целом.
Определение энергетических параметров,
разработка источника питания комплекса.
Определение конструктивных параметров устройств,
блоков и комплекса в целом.
Параметрический синтез во всех этапах опирается
на результаты синтеза структуры. Параметрический синтез не может быть выполнен
без реализации структурного этапа.
В соответствии с целями, сформулированными выше,
параметрический синтез совершается в рамках технического проекта и разработки
рабочей документации. При техническом проектировании определяют конструкцию
изделия и его составные частей, выполняют все необходимы расчеты,
подтверждающие показатели, установленные в техническом задании, разрабатывают
принципиальные схемы, технические решения, обеспечивающие требуемые показатели
надежности, анализируют конструкцию на технологичность с учетом условий
конкретного предприятия-изготовителя.
.2 Эскизное проектирование
На основании требований, изложенных в
техническом задании на проектирование, проводится эскизное проектирование, в
котором решаются следующие вопросы [8]:
выбор и обоснование структурной схемы приемника;
определение числа поддиапазонов, расчет сквозной
полосы пропускания приемника;
выбор структуры первых каскадов преселектора и
числа преобразований частоты;
выбор первых каскадов приемника;
определение избирательной системы тракта
промежуточной частоты;
выбор электронных приборов для высокочастотного
тракта;
распределение усиления между трактами приемника;
оценка динамического диапазона приемника;
выбор тракта усиления низких частот;
выбор регулировок приемника.
.3 Описание систем поддержки принятия решений,
перспективы применения подобных систем в области проектирования
В данный момент вопросы,перечисленные в пункте
1.2 решаются непосредственно конструктором или лицом, принимающим решение. При
решении вопросов конструктор вынужден исходить из своих субъективных
представлений об оптимальности использования возможных альтернатив и важности
различных критериев.
Для объективного решения вопроса необходимо
использовать систему поддержки принятия решений. Под такой системой можно
понимать, как совещания, коллегии, аналитические центры, так и компьютерные
автоматизированные системы, целью которых является помощь людям, принимающим
решение. Увеличение объема информации, поступающей конструкторам, усложнение
решаемых задач, необходимость учета большого числа взаимосвязанных факторов и
быстро меняющихся требований к проектируемому объекту обеспечивают
необходимость использования автоматизированной системы поддержки принятия
решений.
Основная функциональность системы поддержки
принятия решений следует из её определения. Главной функцией является вывод
рекомендаций на основании изучения текущего состояния объекта исследования и
сравнения их с информацией, хранящейся в базе знаний системы. Близким к
системам поддержки принятия решений является класс экспертных систем. Основным
отличием экспертных систем является то, что экспертная система способна
частично заменить специалиста(эксперта), тогда как система поддержки принятия
решений используется для оказания помощи людям, принимающим решение, а
результат работы системы всегда проходит валидацию человеком. Однако стоит отметить,
что этапы проектирования обоих классов систем очень схожи, так как существует
необходимость создания базы знаний, которая должна быть наполнена
структурированными знаниями, полученными от экспертов.
Система поддержки решений СППР решает две
основные задачи:
выбор наилучшего решения из множества возможных
(оптимизация),
упорядочение возможных решений по
предпочтительности (ранжирование).
В обеих задачах первым и наиболее принципиальным
моментом является выбор совокупности критериев, на основе которых в дальнейшем
будут оцениваться и сопоставляться возможные решения. Система поддержки
принятия решений помогает пользователю сделать такой выбор.
Необходимо отметить, что знания в какой-либо
проблемной области всегда являются динамичными. Что-то устаревает, какие-то
гипотезы опровергаются, подтверждаются новые теории, исследователи находят
новые закономерности и факты. Всё это должно постепенно вноситься в базу знаний
системы поддержки принятия решений, чтобы она была актуальной. Без этого
система закостенеет и перестанет отвечать вызовам изменяющейся среды. Иными
словами, система должна предоставлять функцию по актуализации знаний.
В процессе актуализации знаний участвуют два
человека «Эксперт» и «Инженер по знаниям». Первый предоставляет знания зачастую
в неструктурированном виде, а второй переносит их в базу знаний системы
поддержки принятия решений в формализованном и полностью структурированном виде
и в формате, который используется в самой системе. После этого эксперт
верифицирует знания уже в базе знаний, тем самым своим авторитетом подтверждает
то, что система может использоваться для поддержки принятия решений, и
выдаваемые ею рекомендации основаны на правильных методах вывода и корректных
знаниях [4].
Поскольку системой будут пользоваться
специалисты разного уровня подготовки, то сама система должна иметь механизм
объяснения тех рекомендаций, которые она предлагает.
Следовательно, процесс принятия решений с
помощью системы поддержки принятия решений представляет собой итерации
взаимодействия конструктора и системы. Системы поддержки принятия решений при
проектировании:
Генерируют возможные варианты конструкторских
решений.
Осуществляют оценку этих вариантов и выбирают
лучший.
Моделируют принимаемые решения (в тех случаях,
когда это возможно).
Оценивают соответствие выполнения принятых
конструкторских решений требованиям предъявляемым техническим заданием.
Таким образом, система поддержки принятия
решений представляет собой систему, при проектировании которой задействованы
специалисты различных направлений деятельности. Кроме традиционных
разработчиков, системных архитекторов, аналитиков, тестировщиков и прочее, при
разработке потребуются две новые роли: инженер по знаниям и эксперт. Сам по
себе эксперт ничего сделать не может, поскольку зачастую, обладая серьёзными
познаниями в рамках проблемной области, эксперт плохо понимает суть
информационно-коммуникационных технологий. Поэтому между экспертом и системой в
подавляющем большинстве случаев стоит инженер по знаниям.
Инженер по знаниям -по выполняемым задачам
аналогичен системному аналитику, однако он ориентирован на работу со знаниями,
обладает полным пониманием того, как знания извлекать, представлять,
преобразовывать друг в друга, использовать в процессе вывода. Именно инженер по
знаниям строит нормированную базу знаний, в которой знания обладают минимальным
набором так называемых НЕ-факторов (неточность, неполнота, некорректность).
Инженер по знаниям в дальнейшем следит и за тем, чтобы знания в базе знаний
системы были верифицированы и актуальны.
В общем виде есть два пути построения систем
поддержки принятия решений (они схожи с путями построения экспертной системы).
Первый путь - построить систему жестко закодировав в ней все извлеченные на
этапе анализа знания. Серьезным недостатком данного пути является сложность
поддерживать систему с точки зрения актуализации знаний. Второй путь -
использование фреймворка, в рамках которого строится система и наполняется
знаниями.
Теоретические исследования в области разработки
первых систем поддержки принятия решений проводились в технологическом
институте Карнеги в конце 50-х начале 60-х годов XX века. Объединить теорию с
практикой удалось специалистам из Массачусетского технологического института в
60-х годах. В середине и конце 80-х годов XX столетия стали появляться такие
системы, как EIS, GDSS, ODSS. В 1987 годукомпания
Texas Instruments разработала
Gate Assignment Display System для
United Airlines. Это позволило значительно снизить
убытки от полетов и отрегулировать управление различными аэропортами, начиная
от Международного аэропорта O’Hare в Чикаго и заканчивая Stapleton в Денвере,
штат Колорадо. В 90-х годах сфера возможностей систем поддержки принятия
решений расширялась благодаря внедрению хранилищ данных и инструментов OLAP
(аналитическая обработка в реальном времени). Появление новых технологий
отчетности сделало систему поддержки принятия решений незаменимой в
менеджменте.
1.4 Постановка задачи на проектирование системы
поддержки принятия решений
Проектируемая система поддержки принятия решений
должна обеспечивать объективность принимаемых конструктором решений основываясь
на требованиях, предъявляемых к разрабатываемой радиосистеме. Для этого
необходимо использовать функционально-структурный подход к синтезу структуры
проектируемой радиосистемы. Система должна генерировать рекомендации по выбору
структуры радиосистемы, на основе требуемых от нее функций, указанных в
техническом задании на проектирование радиосистемы.
Система должна представлять собой прикладную
программу обобщенная схема которой показана на Рис.3.Так же система должна
содержать достаточное количество информации, для вывода и объяснения
рекомендаций.
Рис. 3 - Схема программы
Использование системы поддержки принятия решений
при проектировании систем радиосвязи позволит:
сократить время на их разработку на стадии
эскизного проектирования,
выбрать оптимальное решение из множества
возможных,
снизить риск ошибок, возникающих из-за
недостаточной подготовки конструктора,
поможет конструктору в решении задач, где
следует учитывать большое число критериев.
2. Проектирование системы поддержки принятия
решений
.1 Этапы создания экспертных систем
Стадии существования (этапы развития) системы
поддержки принятия решений схожи со стадиями (этапами) экспертных систем, и
представляют собой[6]:
Демонстрационный (для представления
возможностей, выбранных архитектурных и программных решений). Разработка
занимает 2-4 месяца, количество исполняемых утверждений 15-30.
Исследовательский (совершенствование архитектуры
системы поддержки принятия решений и базы знаний). Разработка занимает 2-3
месяца, при наличии демонстрационного прототипа, количество исполняемых
утверждений 40-60.
Действующий. Разработка системы от начала до
стадии действующей системы занимает 6-9 месяцев, количество исполняемых
утверждений около 100.
Промышленный (реальное применение в пределах
организации, как правило для которой велась разработка системы поддержки
принятия решений). Разработка системы от начала до стадии промышленного
прототипа требует 12-18 месяцев, 150-200 исполняемых утверждений.
Коммерческий (широкое применение во многих
организациях). Разработка занимает 1,5-2 года.
Таким образом, перечень основных этапов
разработки системы поддержки принятия решений, на демонстрационной и исследовательской
стадиях, выглядит следующим образом [6]:
Этап идентификации проблем - определяются
задачи, которые подлежат решению, выявляются цели разработки, определяются
эксперты. Производится выбор инструментальных средств разработки. Так же, на
данном этапе происходит извлечение знаний. Извлечение знаний - проведение
содержательного анализа проблемной области, выявление используемых понятий и их
взаимосвязей, определяются методы решения задач. Данный этап - это получение
инженером по знаниям более полного представления о предметной области.
Концептуализация. На данном этапе определяется
структура полученных знаний. Определяются термины, перечень основных понятий,
структура входной и выходной информации.
Формализация. Все ключевые понятия и отношения,
определенные на предыдущем этапе выражаются на некотором формальном языке.
Структурирование полученных данных.
Реализация. Создание прототипа системы поддержки
принятия решений.
Тестирование. Выявление ошибок.
Опытная эксплуатация.
.2 Идентификация проблемы
В главе 1 данной работы были поставлены
следующие задачи для решения которых будет использоваться разрабатываемая
система поддержки принятия решений:
Генерация возможных вариантов конструкторских
решений (снижение вероятности ошибки ввиду недостаточной подготовки
конструктора).
Оценка вариантов решений и выбор оптимального
(снижение вероятности ошибки ввиду субъективности выбираемого конструктором
решения).
Результатами работы разрабатываемой системы
поддержки принятия решений должны быть следующие показатели:
Сокращение времени проектирования систем
радиосвязи на этапе эскизного проекта.
Снижение вероятности ошибок конструктора на
этапе эскизного проекта.
Инструментальное средство разработки экспертных
систем - язык программирования применяемый инженером по знаниям или
программистом для проектирования экспертной системы. Этот инструментарий
отличается от обычных языков программирования обеспечением удобных способов
представления сложных высокоуровневых понятий.
Инструментальные средства можно разделит на 4
обширных категории, по функциональным возможностям и назначению[5].
.Традиционные (в том числе
объектно-ориентированные) языки программирования типа С, С++ (как правило, эти
инструментальные средства используются не для создания систем поддержки
принятия решений, а для создания информационных систем).
. Символьные языки программирования (например,
Lisp, Prolog и их разновидности). Эти инструментальные средства в последнее
время, как правило, не используются в реальных приложениях в связи с тем, что
они плохо приспособлены к объединению с программами, написанными на языках
традиционного программирования.
. Инструментарий, содержащий многие, но не все
компоненты систем поддержки принятия решений. Эти средства предназначены для
разработчика, от которого требуются знание программирования и умение
интегрировать компоненты в программный комплекс. Примерами являются такие
средства, как OPS 5, ИЛИС и др.
. Оболочки экспертных систем общего назначения,
содержащие все программные компоненты, но не имеющие знаний о конкретных
предметных средах. Средства этого и последующего типов не требуют от
разработчика приложения знания программирования. Примерамиявляются
Expert Developer Pro,ЭКО,
Leonardo, Nexpert Object, Kappa идр.
Стоит
отметить, что в последнее время термин «оболочка» заменяют на более широкий
термин «среда разработки». Если хотят подчеркнуть, что средство используется не
только на стадии разработки приложения, но и на стадиях использования и
сопровождения, то употребляют термин «полная среда». Примерами таких средств для
создания статических экспертных систем являются: Nexpert Object, ProKappa,
ART*Enterprise, Level 5 Object идр.
В результате анализа инструментальных средств
была выбрана среда разработки ExpertDeveloperPro. Система позволяет создавать
базу знаний, структурированную как направленный ациклический граф.Направленный
ациклический граф - ориентированный граф, в котором отсутствуют пути
кончающиеся и начинающиеся в одной и той же вершине, является обобщением
дерева, а точнее их объединения - леса. Данное инструментальное средство можно
отнести к полным средам разработки, так как оно используется на всех этапах
жизни системы поддержки принятия решений (создание базы знаний, использование и
отладка системы). Система имеет открытый исходный код, и написана на языке C++
с использованием пакета Microsoft Foundation Classes.
Пакет Microsoft Foundation Classes - библиотека
на языке С++, созданная Microsoft с целью облегчить разработку GUI-приложений
для Microsoft Windows путем создания каркаса приложения,автоматически
создаваемого по типовому макету интерфейса. Что позволяет избавить программиста
от рутинных действий, таких как отработка оконных событий, пересылка данных
между внутренними буферами и тому подобное. Разработчику после получения
каркаса остается только вписать код в места, где будут требоваться специальные
действия.
Данная среда разработки была выбрана, как
удовлетворяющая требованиям для создания системы поддержки принятия решений,
так как с ее помощью возможно реализовать процесс диалога с пользователем в
виде вопрос-ответ. Так как представленных вариантов ответов два (положительный
и отрицательный), то пользователь избавлен от необходимости вводить вариант
ответа вручную, что снижает риск возникновения ошибки от синтаксических
неточностей.
Так же стоит отметить, что система обладает
достаточным функционалом, для поддержания базы знаний в актуальном состоянии,
что сложно реализуемо при использовании в качестве инструментального средства
различных языков программирования.
Стоит отметить, что при построении системы
создается множество вопросов и ответов, каждому из которых присваивается
уникальный порядковый номер, по которому происходит переход к следующему
вопросу. (Рис. 4)
Рис. 4 - Экран работы с системой
В верхнем поле ввода устанавливается порядковый
номер вопроса, в следующем указывается вопрос или результат тестирования. Далее
номера вопросов, которые будут следующими в случаеположительного или
отрицательного ответа. Установка флажка «Выдать как ответ» отмечает конец
диалога, в таком случае в поле ввода вопроса указывается результат диалога.
Основным достоинством системы является создание
направленного ациклического графа фреймов, которое позволяет проводить диалог с
пользователем, не требуя знаний о внутренней архитектуре системы, что
невозможно при создании системы принятия решений используя традиционные языки
программирования.
Недостатками системы является отсутствие
отображения пройденных вопросов, и двоичный характер ответов.
Извлечение знаний
На данном этапе будут получены знания, дающие
полное представление о структурных схемах радиоприемных устройств. Знания
должны давать исчерпывающее представление о характеристиках структурных схем и
входных цепей радиоприемников, для проведения синтеза структуры, основывающемся
на техническом задании, а точнее заданных в нем функций. Данные знания будут
являться результатом диалогов с экспертом и анализа литературы в необходимой
области знаний.
.2.1 Структура радиоприемных устройств
Обобщенная структурная схема, отображающая
основные функции радиоприемного устройства представлена на Рис.5. Схема
фактически является спецификацией блока функционального распределения (БФР), о
которой было сказано ранее.

Структурная схема, представленная на Рис.2
является наиболее общей, в конкретных радиоприемных устройствах отдельные связи
между блоками и некоторые блоки могут отсутствовать или выполнять меньший набор
функций [9].
В усилительно-преобразовательном блоке (УП)
осуществляется выделение полезных сигналов из всей совокупности поступающих от
антенны (А) сигналов и помех, не совпадающих по частоте с полезным сигналом, и
усиление последнего до уровня, необходимого для нормальной работы последующих
каскадов. Непосредственно с сигналом могут производиться нелинейные процедуры
(смещение спектра, ограничение амплитуды и др.), но в принимаемую информацию
указанный блок существенных искажений не вносит, и в этом смысле его можно
считать линейным [9].
В информационном блоке (И) осуществляется
основная обработка сигнала с целью выделения содержащейся в нем информации
(демодуляции) и ослабление мешающего воздействия помех. При этом важнейшей
задачей является выделение информации с максимальной достоверностью - так
называемый оптимальный прием. Для этого в составе блока предусматриваются
оптимальный фильтр, цепи последетекторной обработки, следящие системы частотной
(ЧАПЧ) и фазовой (ФАПЧ) автоматической подстройки частоты, используемые для
демодуляции сигнала, а также для его поиска и сопровождения по частоте, фазе и
задержке [9].
Гетеродинный блок (Г) преобразует частоту
собственного или внешнего опорного генератора и формирует сетки частот,
необходимые для работы преобразователей частоты в УП, следящих систем и
устройств обработки сигнала в И. В современных приемниках может использоваться
самостоятельное устройство - синтезатор частот (СЧ) [9].
Блок адаптации, управления и контроля (АУК)
позволяет осуществлять ручное, дистанционное и автоматизированное управление
режимом работы радиоприемного устройства (включение и выключение, поиск и выбор
сигнала, адаптация к изменяющимся условиям работы и т.д.) и отражает качество
его работы на соответствующих индикаторах [9].
В оконечном устройстве (ОУ) энергия выделяемого
сигнала используется для получения требуемого выходного эффекта - акустического
(телефон, громкоговоритель), оптического (кинескоп, дисплей), механического
(печатающее устройство) [9].
Вторичный источник питания (ВИП) преобразует
энергию первичного источника в форму, удобную для использования непосредственно
в радиоприемном устройстве. В ВИП может осуществляться преобразование
напряжения, выпрямление, фильтрация, стабилизация [9].
По степени сложности структурной схемы
радиоприемные устройства делят на следующие типы:
Детекторные,
Прямого усиления,
Прямого преобразования,
Супергетеродинные.
Наиболее простой схемой является схема
детекторного приемника. В детекторном приемнике выполняются две абсолютно
необходимых функции: частотная селекция сигнала и демодуляция сигнала,
заключающаяся в выделении сообщения. Такой тип приемника применялся на заре
радиотехники, и на данный момент из-за присущих ему серьезных недостатков
практически не используется.
Структурная схема приемника прямого усиления
представлена на Рис.6. Усиление сигнала происходит непосредственно на частоте
принимаемого сигнала вплоть до детектора, то есть на частоте которая
воспринимается антенной.
Приемник прямого усиления имеет существенно
лучшие качественные показатели, чем детекторный. К его достоинствам можно
отнести высокую стабильность частоты настройки и отсутствие в схеме каких-либо
генераторов. Недостатками данного типа приемников являются недостаточно высокая
и неравномерная по диапазону частотная избирательность, и неравномерность
чувствительности к диапазону [9].
В регенеративных приемниках, являющихся
разновидностью приемника прямого усиления, достигается повышение
избирательности и чувствительности с помощью положительной обратной связи в
каскаде усиления радиочастоты. Достоинствами регенеративных приемников
является: высокие чувствительность и избирательность по сравнению с приемниками
прямого усиления и простыми гетеродинами, простота и дешевизна, низкое
потребление энергии. Недостатки: излучение помех при работе в режиме генерации
(отсутствие скрытности), требует от оператора знания принципа работы.
Рис. 6 - Структурная схема приемника прямого
усиления
Приемник, в котором частота сигнала до детектора
преобразуется в некоторую постоянную, обычно достаточно низкую частоту,
называют приемником супергетеродинного типа. Частота, в которую преобразуются
сигналы, называется промежуточной частотой [8].
Назначение преобразователя частоты состоит в
переносе (преобразовании) высокой радиочастоты принимаемого сигнала на
промежуточную частоту без изменения закона модуляции.
Рис.7 - Структурная схема приемника
супергетеродинного типа
Структурная схема приемника супергетеродинного
типа представлена на Рис.7. При такой схеме недостатки, присущие приемнику
прямого усиления, в значительной мере устраняются.
В супергетеродинном приемнике усиление и
избирательность по высокой частоте осуществляются не только на частоте
принимаемого сигнала fc, но и на некоторой промежуточной частоте fпр.
Преобразование частоты fcв fпр осуществляется в преобразователе частоты,
состоящим из смесителя и гетеродина. Гетеродин генерирует колебания частотой
fг. В смесителе, являющимся нелинейным элементом или элементом с периодически
меняющимися параметрами образуются комбинационные частоты вида,
,
где m и n целые числа. Одна из этих частот и применяется в качестве
промежуточной частоты. Обычно наиболее удобным является применение разностной
частоты, то есть выбирается
. При изменениях
частоты сигнала fс по диапазону частота гетеродина fг также изменяется и при
том по такому закону, чтобы промежуточная частота оставалась постоянной, то
есть по следующему закону
, где fпр=const. На
эту промежуточную частоту настраивается усилитель промежуточной частоты [9].
В качестве гетеродина в современных приемниках
используются цифровые синтезаторы частот с кварцевой стабилизацией.
Постоянство промежуточной частоты и возможность
выбора ее низкого значения обусловливают достоинства супергетеродина [10]:
более высокая и постоянная в диапазоне рабочих
частот избирательность. В тракте промежуточной частоты на постоянной
промежуточной частоте можно использовать сложные избирательные системы (фильтры
сосредоточенной селекции (ФСС), кварцевые, электронно-механические и т. Д.). С
помощью таких фильтров можно получить достаточно узкие и неизменные полосы
пропускания;
более высокая и постоянная (равномерная) в
диапазоне рабочих частот чувствительность приемника, так как основное усиление
также обеспечивается в тракте промежуточной частоты усилителями с низкой и
фиксированной частотой настройки;
небольшие нелинейные искажения при
детектировании, так как обеспечивается достаточное усиление и работа детектора
в линейном режиме.
Однако такая схема приемника имеет и
существенные недостатки по сравнению с приемником прямого усиления, а именно
[10]:
нестабильность настройки. Вследствие
нестабильности частоты гетеродина стабильность настройки приемника может быть
ниже, чем в приемнике прямого усиления. Отклонение частоты гетеродина от его
номинального значения приводит к отклонению фактического значения промежуточной
частоты сигнала от номинальной, т.е. от частоты настройки фильтров в тракте
промежуточной частоты;
возможность излучения колебаний гетеродина в
антенну;
сравнительная сложность сопряженной перестройки
каскадов преселектора и гетеродина по диапазону. Вызывается тем, что
коэффициент перекрытия входного устройства преселектора отличается от
коэффициента перекрытия контура гетеродина;
относительная сложность схемы;
наличие побочных каналов приема.Приемник
супергетеродинного типа помимо основного канала имеет побочные каналы приема.
Побочными каналами приема называются полосы частот, находящиеся за пределами
канала, на который настроен радиоприемник, но сигналы которых могут проходить
на выход радиоприемника. Наибольшую опасность представляют зеркальный канал и
канал прямого прохождения промежуточной частоты. Зеркальным называется побочный
канал приема радиосигналов, отличающийся по частоте от частоты настройки
радиоприемника на удвоенное значение промежуточной частоты.
Супергетеродинным назван приемник с
преобразованием частоты, в отличие от гетеродинных приемников, в которых
гетеродин используется для выделения низкой частоты при слуховом приеме
телеграфных сигналов.
Подавить зеркальный канал можно только в
преселекторе. Отметим два очевидных способа повышения избирательности по
зеркальному каналу. Повышение избирательных свойств преселектора возможно,
во-первых, путем увеличения числа контуров и их добротности и, во-вторых,
увеличением значения промежуточной частоты, что позволяет отодвинуть частоту
зеркального канала [9].
Источником помех в радиоприемнике является также
канал прямого прохождения, это побочный канал приема, включающий в себя
промежуточную частоту. Помеха на частоте, равной промежуточной, может проходить
через смеситель как через обычный усилитель. УПЧ усиливает помеху канала
прямого прохождения так же, как и сигнал. Мешающее действие помехи канала
прямого прохождения, как и зеркального канала, может быть ослаблено только в
преселекторе [7].
В супергетеродинном приемнике существуют также
побочные каналы приема, связанные с преобразованием на гармониках гетеродина.
Вокруг этих гармоник могут располагаться помехи с частотами, отличающимися от
них на промежуточную частоту.
Высокие требования к избирательности
одновременно по соседнему и зеркальному каналам не всегда могут быть достигнуты
в супергетеродинном приемнике с одним преобразованием частоты. В этом случае в
радиоприемном устройстве применяют двойное преобразование частоты. Структурная
схема супергетеродинного приемника с двойным преобразованием частоты показана
на Рис.8 [9].
Рис.8 - Структурная схема супергетеродинного
приемника с двойным преобразованием частоты
Первую промежуточную частоту выбирают
значительно выше второй. При этом частота первого зеркального канала имеет
высокое значение и эффективно подавляется в преселекторе. Напряжение с частотой
второго зеркального канала опасно лишь в том случае, если оно попадает на вход
второго преобразователя. Помехи этой частоты должны быть подавлены до второго
смесителя. Практически это происходит в первом УПЧ. В профессиональных
приемниках коротковолнового диапазона первую промежуточную частоту иногда
выбирают значительно выше частоты сигнала. Такие приемники называют
инфрадинными. В инфрадинном приемнике эффективно разрешается противоречие между
требованиями к высокой избирательности по зеркальному и соседнему каналам [9].
При высоких значениях частоты гетеродина на
качество радиоприема может оказывать влияние его нестабильность. Здесь особенно
важно значение стабильности частоты первого гетеродина. Уменьшить влияние
нестабильности частоты первого гетеродина можно путем его выполнения в виде
синтезатора частоты с заданным шагом перестройки, представляющего устройство
для формирования гармонических колебаний с заданными частотами из колебаний
одного или нескольких высокостабильных опорных генераторов.
К недостаткам многократного преобразования
частоты относятся большое число побочных каналов приема и сложность схемы
приемника.
Если частоту гетеродина в супергетеродинном
приемнике выбрать равной частоте принимаемого сигнала, то промежуточная частота
будет равна нулю. При этом в приемнике обеспечивается прямое преобразование
частоты радиосигнала в низкую звуковую частоту без предварительного ее переноса
на промежуточную. Подобные приемники получили название приемников прямого
преобразования (синхродины, гомодины). В таких приемниках подавление помех и
основное усиление сигнала осуществляется на низкой частоте, что реализуется
существенно проще и дешевле [9].
Упрощенная структурная схема приемника прямого
преобразования представлена на Рис.9. Так как частота принимаемого сигнала
равна частоте гетеродина, побочные каналы в приемнике прямого преобразования
остаются лишь на частотах гармоник гетеродина. Эти каналы легко подавляются
простейшей одноконтурной входной цепью. Из-за простоты реализации дешевизны и
миниатюрности такие приемники сейчас получили широкое распространение, как
правило подобные приемники встраиваются в различные электронные гаджеты типа
мобильных телефонов [10].
Рис.9 - Структурная схема приемника прямого
преобразования
При приеме амплитудно-модулированного сигнала в
таком приемнике после преобразования частоты появляются звуковые сигналы от
двух боковых полос, которые могут различаться по частоте, что приводит к искажению
принимаемого сигнала. К тому же при преобразовании высокой радиочастоты в
звуковую трудно реализовать преобразователь частоты с низким коэффициентом шума
и обеспечить высокую чувствительность приемника. Приемники прямого
преобразования в большей мере, чем супергетеродинные, подвержены действию
различных помех и наводок.
радиоустройство тракт приемник
2.2.2 Определение числа поддиапазонов, расчет
сквозной полосы пропускания приемника
Разделение общего диапазона на поддиапазоны
производится в области коротких волн. Определяются число поддиапазонов, их
границы и коэффициенты перекрытия. В радиовещательных приемниках чаще
производится разбивка КВ диапазона по методу одинаковых коэффициентов
перекрытия, в профессиональных - по методу равных частотных интервалов [8].
Полоса пропускания высокочастотного тракта
приемника (П) определяется шириной спектра сигналов ∆fС и нестабильностью
частот настройки узлов приемопередающего тракта ∆fН[8].
П = ∆fС + 2∆fН
Полоса сигнала ∆fС определяется видом
сигнала и характером его модуляции. Примеры выбора ∆fС представлены в
Табл.1. При амплитудной модуляции(АМ) ширина спектра сигнала определяется
значением верхней частоты модуляции FВ. При частотной модуляции следует также
учитывать индекс модуляции Ψ. Определение
полосы частот, занимаемой импульсным сигналом, производится ли по его
длительности τ (в приемниках
обнаружения цели), либо по времени установления входного импульса приемника tу
(в измерительных приемниках) [8].
Табл.1
Расчет ширины спектра сигнала
|
Вид модуляции
|
Расчетная формула
|
|
Двухполосная АМ
|
∆fС = 2 FВ
|
|
Однополосная АМ
|
∆fС = FВ
|
|
Частотная модуляция
|
∆fС = 2 FВ (1+ Ψ+ )
|
|
Импульсный сигнал
|
∆fС = (1..2)/ τ
∆fС
= 1/ tу
|
Современная профессиональная приемопередающая
аппаратура имеет высокую частотную стабильность, что связано с применением
синтезаторов частот. Поэтому для профессиональных приемников нестабильность ∆fН
можно не учитывать.
Для радиовещательных и телевизионных приемников,
не имеющих синтезатора частоты, нестабильности настройки отдельных узлов
суммируются в среднеквадратичном, что связано со случайным характером
нестабильностей. Обычно это приводит к расширению требуемой полосы
высокочастотного тракта приемника на 10 - 20 %. Поэтому допустимо принимать:
Более значительное расширение полосы пропускания
требует, как правило, применения системы автоматической подстройки частоты
(АПЧ) [8].
Стоит отметить, что в настоящее время
использование приемников прямого усиления и регенеративных приемников
встречается редко, так как структурные схемы с гетеродином обеспечивают лучшие
технические характеристики приемников, что отражено в системе поддержки
принятия решений. Однако исключение вышеперечисленных структурных схем привело
бы к неполноте базы знаний в системе поддержки принятия решений, так же данные
схемы могут быть использованы в индивидуальных случаях, что является
дополнительным аргументом для внесения их в базу знаний системы.
2.2.3 Выбор структуры преселектора и числа
преобразований частоты
Преселектор супергетеродинного приемника
обеспечивает заданную избирательность по побочным каналам приема, в первую очередь
по зеркальному каналу и каналу прямого прохождения. Избирательность -
способность приемника выделять полезный радиосигнал из всех различных по
частоте радиосигналов [8].
Частота зеркального канала fЗ при простом
преобразовании частоты
З = fС ± fП
где fС - частота сигнала, fП - промежуточная
частота, знак плюс ставится при верхней настройке гетеродина, минус
соответственно при нижней настройке. Частотаканала прямого прохождения равна
промежуточной частоте. Под избирательностью понимают отношение коэффициентов
передачи по основному и побочному каналам приема [8].
На Рис.10 представлены типовые схемы
преселекторов [8].
Рис. 10 - Типовые схемы преселекторов
Самый простой преселектор состоит из
одноконтурной входной цепи (Рис.9, А).
Расчет избирательности, обеспечиваемой
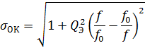
преселекторами с данными структурными схемами. Где σ
- избирательность,
f0 - частота настройки преселектора, f- частота побочного канала приема (обычно
это частота соседних каналов), QЭ - добротность нагруженного контура
(добротность зависит непосредственно от использованных элементов, и схемы их
подключения) [8].
Избирательность одиночного контура (Рис.9, А)
В случае n одиночных контуров (Рис.9, Б)
Для двухконтурной системы с одинаковыми
контурами при критической связи (Рис.9, В)
.3 Концептуализация
Перечень основных понятий и терминов
используемых в извлеченных знаниях:
Диапазон рабочих частот-полоса в пределах
которой может перестраиваться приемник.
Чувствительность - характеризует способность
приемника принимать слабые сигналы. (значения номинальной чувствительности в
диапазоне низких и средних частот находятся в пределах 50…300 мкВ; в диапазоне
высоких частот 50…200 мкВ; в диапазонах очень высоких и ультравысоких частот
3…30 мкВ)
Избирательность - способность радиоприемного
устройства выделять полезный сигнал и ослаблять действие мешающих сигналов.
Скрытность приемника -определяется
отсутствием(наличием) паразитных излучений в эфир.
Каскад - ступень усилителя, в состав которой
входит усилительный элемент (может быть несколько), цепи связи с последующими
или предыдущими ступенями, цепи нагрузки.
Колебательный контур - электрическая цепь,
содержащая конденсатор и катушку индуктивности, является простейшей системой в
которой могут происходить свободные электромагнитные колебания.
Входная цепь (полосовой фильтр, преселектор) -
устройство соединяющее антенну со входом усилительного или преобразовательного
каскада приемника.
Гетеродин - маломощный генератор электрических
колебаний, применяется для преобразования частот сигнала в супергетеродинных
радиоприемниках.
Зеркальный канал приема - канал второй входной
частоты, дающей такую же разность с частотой гетеродина, как и рабочая частота.
Радиочастота - полосы частот или частоты в
диапазоне 3кГц - 300ГГц, с присвоенными условными наименованиями.
НЧ - низкие частоты (применяются для радиосвязи
и радиовещания)
СЧ - средние частоты (применяются для радиосвязи
и радиовещания)
ВЧ - высокие частоты (применяются для радиосвязи
радиовещания, раций)
ОВЧ - очень высокие частоты (применяются для
радиосвязи, радиовещания, раций, телевидения)
УВЧ - ультравысокие частоты (применяются для
радиосвязи, раций, телевидения, мобильных телефонов, спутниковой навигации,
микроволновых печей)
Структура полученных знаний.
Полученные в Главе 1 данной работы знания
являются неструктурированными. Для получения базы знаний в выбранной ранее
среде разработки необходимо получить структуру знаний. Для получения структуры
знаний используется модель фрейма. Фрейм - способ представления знаний в
системах искусственного интеллекта, например, в экспертных системах. Так как
система поддержки принятия решений не имеет структурных различий с экспертной
системой, фрейм является подходящей формой представления знаний. К тому же,
совокупность фреймов, представляющая какую-либо предметную область, является
иерархической структурой, в которую фреймы собираются с использованием
родовидовых связей. На верхнем уровне иерархии располагается фрейм, содержащий
наиболее общую информацию, которая является истиной для всех остальных фреймов.
Данный способ представления знаний является наиболее подходящим, для
использования в выбранной среде разработки.
Структура входной и выходной информации.
Как было сказано ранее входной информацией для
системы поддержки принятия решений, являются ответы на поставленные системой
вопросы. Таким образом реализуется «спуск» пользователя по иерархии фреймов, от
общих знаний, к результату диалога. Результат диалога является частной
информацией, для данного набора ответов, сделанных пользователем, результат
является единственным. При повторении диалога и совпадении всех ответов с
предыдущими результат совпадет с предыдущим. Результат диалога является
выходной информацией системы поддержки принятия решений. Его структура так же
является фреймом, но он является листовым узлом в направленном ациклическом
графе и не имеет потомков.
2.4 Формализация
На данном этапе происходит структурирование
полученных знаний. Как отмечалось в пункте 2.3 структура данных представляет
собой иерархическую совокупность фреймов. Применительно к выбранной среде
разработки каждый фрейм (кроме листовых узлов) должен содержать вопрос,
результаты ответа на который являются переходами к фреймам следующего
(нижестоящего) уровня иерархии.
Полученные знания в общем виде можно разделить
на 3 основные группы фреймов, каждая из которых решает следующие задачи:
группа фреймов, определение диапазона частот,
принимаемых приемником.
группа фреймов, определение структурной схемы
приемника и входных цепей приемника.
Верхним уровнем иерархии фреймов является 1
группа фреймов, так как на основе результата, полученного в первой группе будет
строиться диалог во второй группе фреймов.
группа фреймов. Вопросы, находящиеся в первой
группе фреймов не требуют каких-либо специфичных знаний, так как принимаемый
диапазон частот как правило явно задан в техническом задании на проектирование
радиоприемного устройства. Необходимо лишь определить в какой группе частот
(НЧ, СЧ и т.п.) находится указанный в техническом задании диапазон. Далее указано
содержание фреймов из 1 группы:
Принимаемый радиоприемником диапазон частот
находится в пределах диапазона низких частот (30-300 кГц)?
Принимаемый радиоприемником диапазон частот
находится в пределах диапазона средних частот (300-3000 кГц)?
Принимаемый радиоприемником диапазон частот
находится в пределах диапазона высоких частот (3-30 МГц)?
Принимаемый радиоприемником диапазон частот
находится в пределах диапазона очень высоких частот (30-300 МГц)?
Принимаемый радиоприемником диапазон частот
находится в пределах диапазона ультравысоких частот (300-3000 МГц)?
Следует отметить, что если диапазон принимаемых
радиоприемником частот занимает несколько групп частот, либо лежит на границе и
захватывает две группы, то следует указывать группу с наибольшей частотой. Так
как входные цепи, а, следовательно, ичувствительность радиоприёмника будут
зависеть от выбранной группы, а необходимые номинальные значения
чувствительности уменьшаются с ростом частоты, то при выборе следует
руководствоваться верхним значением частоты. К примеру, для группы очень
высоких частот необходимая чувствительность лежит в пределах 3…30 мкВ, а для
группы высоких частот 50…200 мкВ, то при выборе входных цепей и структурной
схемы для высоких частот, требования к чувствительности для очень высоких
частот не будут удовлетворены, при обратном случае, когда выбрана цепь и
структурная схема для группы очень высоких частот, требования к
чувствительности для группы высоких частот будут удовлетворены.
группа фреймов. Вопросы, находящиеся в этой группе
касаются в структурной схемы приемника. Определяется необходима ли скрытность
приемника, равномерность избирательности по диапазону, требования по
избирательности по соседнему и зеркальному каналу, прием одной (нескольких)
частот или плавного диапазона, трудность перестройки приемника с приема одной
станции на прием другой. Далее указано содержимое фреймов из 2 группы:
Требуется прием сигнала с любым видом модуляции?
Принимаемый сигнал имеет амплитудную модуляцию?
Является скрытность приемника основным
требованием технического задания?
Согласно сетке частот, соответствующей диапазону
частот приемника, расстояние между двумя соседними радиостанциями является
большим, чем необходимая избирательность приемника?
Является миниатюрность приемника основным требованием
технического задания (выполнение в виде одной микросхемы)?
Существует противоречие подавления соседнего
канала (более 20 дБ) и канала зеркальной частоты (более 60 дБ) (уменьшение
промежуточной частоты облегчает подавление соседнего канала, а увеличение
частоты облегчает подавление зеркального канала)?
Требуется избирательность по второму зеркальному
каналу приема более 60 дБ (выбор частоты второго гетеродина)?
Использование фреймов, указанных в 1 и 2
группах, позволяет провести диалог с пользователем результат, которого будет
выбран из 30 различных вариантов (листовых узлов), каждый из которых будет
отличатся структурными схемами приемника или его входных цепей.
Далее перечислены варианты результатов диалога:
Приемник прямого усиления. Основным преимуществом
является его скрытность ввиду отсутствия генераторов частот непосредственно в
приемнике. Из-за сложности перенастройки приемника на новую частоту
рекомендуется применение с установленными заранее частотами приема. Для работы
в диапазоне низких частот специальные входные цепи приемника использовать не
обязательно.
Регенеративный приемник. Обеспечивает скрытность
в режимах работы кроме генерации, для избегания возникновения режима генерации
(и потери скрытности) рекомендуется использовать автоматическую регулировку
усиления. Так же регенеративный приемник требует от оператора знаний о принципе
работы, что необходимо учитывать при проектировании. Характеристики приемника
по избирательности и чувствительности позволяют использовать регенеративный приемник
в диапазоне низких частот без специальных входных цепей.
Приемник прямого преобразования. Несмотря на то,
что приемник прямого преобразования в большей степени подвержен различным
наводкам и помехам, чем приемники супергетеродинного типа, простота и дешевизна
могут играть основную роль при выборе структурной схемы приемника. Так же
положительной особенностью приемников прямого преобразования, относительно
супергетеродинных является меньшее количество побочных каналов приема. При
применении приемника прямого преобразования в диапазоне низких частот требуется
использование двухконтурной входной цепи.
Приемник супергетеродинного типа. Несмотря на
все преимущества схемы супергетеродинного приемника, такие как высокая
чувствительность и избирательность, он обладает рядом недостатком, основным из
которых является наличие побочных каналов (зеркальный и соседний), что требует
наличия более сложных входных цепей, что в свою очередь увеличивает стоимость
приемников супергетеродинного типа. Так же супергетеродины требуют более
тщательной наладки, чем приемники без генераторов. При работе в диапазоне
низких частот требуется использование входной цепи для предотвращения приема
зеркального канала. В диапазоне низких частот эту функцию может выполнять
колебательный контур с перестройкой по частоте, согласованной с перестройкой
гетеродина.
Приемник супергетеродинного типа с двойным
преобразованием частоты. Несмотря на достаточную сложность в построении и
наладке, опасность биения между какими-либо из гармоник гетеродинов, что
приведет к помехе в виде свиста на выходе приемника, данный тип приемников
обладает большей чувствительностью и избирательностью, чем супергетеродинный
приемник с одним преобразованием частоты. Несмотря на лучшую, чем у
супергетеродинного приемника с одним преобразованием частоты, избирательность
по зеркальному каналу, в диапазоне низких частот рекомендуется применение
колебательного контура во входной цепи приемника.
Приёмник инфрадинного типа. Данная схема
подразумевает два преобразования частоты, причем первое преобразование
происходит вверх и выбираемое значение частоты первого преобразования
выбирается значительно выше второй. При таком выборе частот, частота первого
зеркального канала имеет высокое значение и эффективно подавляется входными
цепями. Канал с частотой второго зеркального канала опасно лишь в том случае
если он попадет на вход второго преобразователя, то есть канал должен быть
подавлен до второго смесителя, фактически это происходит в первом усилителе
промежуточно й частоты. Таким образом основную селекцию осуществляет тракт
первой промежуточной частоты. Так же стоит отметить, что при построении такого
приемника предъявляются повышенные требования к надежности гетеродина. При
использовании инфрадинного приемника в диапазоне низких частот обязательно
применение входной цепи как минимум из одного колебательного контура, для
подавления зеркальной частоты первого гетеродина.
Приемник прямого усиления. Основным
преимуществом является его скрытность ввиду отсутствия генераторов частот
непосредственно в приемнике. Из-за сложности перенастройки приемника на новую
частоту рекомендуется применение с установленными заранее частотами приема. Для
работы в диапазоне средних частот обязательно использование колебательных
контуров во входной цепи, для повышения характеристик избирательности и
чувствительности.
Регенеративный приемник. Обеспечивает скрытность
в режимах работы кроме генерации, для избегания возникновения режима генерации
(и потери скрытности) рекомендуется использовать автоматическую регулировку
усиления. Так же регенеративный приемник требует от оператора знаний о принципе
работы, что необходимо учитывать при проектировании. Характеристики приемника
по избирательности и чувствительности не позволяют использовать регенеративный
приемник в диапазоне средних частот без специальных входных цепей.
Рекомендуется использование минимум одного колебательного контура.
Приемник супергетеродинного типа. Несмотря на
все преимущества схемы супергетеродинного приемника, такие как высокая
чувствительность и избирательность, он обладает рядом недостатком, основным из
которых является наличие побочных каналов (зеркальный и соседний), что требует
наличия более сложных входных цепей, что в свою очередь увеличивает стоимость
приемников супергетеродинного типа. Так же супергетеродины требуют более
тщательной наладки, чем приемники без генераторов. При работе в диапазоне
средних частот требуется использование входной цепи для предотвращения приема
зеркального канала. В диапазоне средних частот эту функцию может выполнять
двухконтурная входная цепь с перестройкой по частоте, согласованной с
перестройкой гетеродина.
Приемник супергетеродинного типа с двойным
преобразованием частоты. Несмотря на достаточную сложность в построении и
наладке, опасность биения между какими-либо из гармоник гетеродинов, что
приведет к помехе в виде свиста на выходе приемника, данный тип приемников
обладает большей чувствительностью и избирательностью, чем супергетеродинный
приемник с одним преобразованием частоты. Несмотря на лучшую, чем у
супергетеродинного приемника с одним преобразованием частоты, избирательность
по зеркальному каналу, в диапазоне средних частот рекомендуется применение
двухконтурной входной цепи.
Приёмник инфрадинного типа. Данная схема
подразумевает два преобразования частоты, причем первое преобразование
происходит вверх и выбираемое значение частоты первого преобразования
выбирается значительно выше второй. При таком выборе частот, частота первого
зеркального канала имеет высокое значение и эффективно подавляется входными
цепями. Канал с частотой второго зеркального канала опасно лишь в том случае
если он попадет на вход второго преобразователя, то есть канал должен быть
подавлен до второго смесителя, фактически это происходит в первом усилителе
промежуточно й частоты. Таким образом основную селекцию осуществляет тракт
первой промежуточной частоты. Так же стоит отметить, что при построении такого
приемника предъявляются повышенные требования к надежности гетеродина. При
использовании инфрадинного приемника в диапазоне средних частот обязательно
применение двухконтурной входной цепи, для подавления зеркальной частоты
первого гетеродина.
Приемник прямого усиления. Основным
преимуществом является его скрытность ввиду отсутствия генераторов частот
непосредственно в приемнике. Из-за сложности перенастройки приемника на новую
частоту рекомендуется применение с установленными заранее частотами приема.
Использование приемника прямого усиления в диапазоне высоких частот не
рекомендуется из-за недостаточных характеристик приемника. Если необходимо
применение именно этого типа приемников, то для работы в диапазоне
высокихчастот необходимо использовать двухконтурную входную цепь для повышения
избирательности, но это не будет гарантировать отсутствие помех.
Регенеративный приемник. Обеспечивает скрытность
в режимах работы кроме генерации, для избегания возникновения режима генерации
(и потери скрытности) рекомендуется использовать автоматическую регулировку
усиления. Так же регенеративный приемник требует от оператора знаний о принципе
работы, что необходимо учитывать при проектировании. Характеристики приемника
по избирательности и чувствительности не позволяют использовать регенеративный
приемник в диапазоне высоких частот без специальных входных цепей.
Рекомендуется использование двухконтурной входной цепи, либо цепи с критической
связью контуров.
Приемник прямого преобразования. Несмотря на то,
что приемник прямого преобразования в большей степени подвержен различным
наводкам и помехам, чем приемники супергетеродинного типа, простота и дешевизна
могут играть основную роль при выборе структурной схемы приемника. Так же
положительной особенностью приемников прямого преобразования, относительно
супергетеродинных является меньшее количество побочных каналов приема. При
применении приемника прямого преобразования в диапазоне высоких частот,
требуется подавление нежелательных каналов приема, что возможно с
использованием фазокомпенсационного метода. Однако, стоит отметить, что при
этом приемник будет лишен основных преимуществ простоты и дешевизны устройства.
Приемник супергетеродинного типа. Несмотря на
все преимущества схемы супергетеродинного приемника, такие как высокая
чувствительность и избирательность, он обладает рядом недостатком, основным из
которых является наличие побочных каналов (зеркальный и соседний), что требует
наличия более сложных входных цепей, что в свою очередь увеличивает стоимость
приемников супергетеродинного типа. Так же супергетеродины требуют более
тщательной наладки, чем приемники без генераторов. При работе в диапазоне
высоких частот требуется использование входной цепи для предотвращения приема
зеркального канала. В диапазоне высоких частот эту функцию может выполнять
двухконтурная входная цепь с перестройкой по частоте, согласованной с
перестройкой гетеродина, либо входная цепь с критической связью контуров.
Приемник супергетеродинного типа с двойным
преобразованием частоты. Несмотря на достаточную сложность в построении и
наладке, опасность биения между какими-либо из гармоник гетеродинов, что
приведет к помехе в виде свиста на выходе приемника, данный тип приемников
обладает большей чувствительностью и избирательностью, чем супергетеродинный
приемник с одним преобразованием частоты. Несмотря на лучшую, чем у
супергетеродинного приемника с одним преобразованием частоты, избирательность
по зеркальному каналу, в диапазоне высоких частот рекомендуется применение
входной цепи с критической связью.
Приёмник инфрадинного типа. Данная схема
подразумевает два преобразования частоты, причем первое преобразование
происходит вверх и выбираемое значение частоты первого преобразования
выбирается значительно выше второй. При таком выборе частот, частота первого
зеркального канала имеет высокое значение и эффективно подавляется входными
цепями. Канал с частотой второго зеркального канала опасно лишь в том случае
если он попадет на вход второго преобразователя, то есть канал должен быть
подавлен до второго смесителя, фактически это происходит в первом усилителе промежуточно
й частоты. Таким образом основную селекцию осуществляет тракт первой
промежуточной частоты. Так же стоит отметить, что при построении такого
приемника предъявляются повышенные требования к надежности гетеродина. При
использовании инфрадинного приемника в диапазоне высоких частот обязательно
применение входной цепи с критической связью. Так же рекомендуется использовать
фильтр сосредоточенной селекции, для обеспечения избирательности по соседнему
каналу после второго смесителя.
Приемник прямого усиления. Основным
преимуществом является его скрытность ввиду отсутствия генераторов частот
непосредственно в приемнике. Из-за сложности перенастройки приемника на новую
частоту рекомендуется применение с установленными заранее частотами приема.
Приемник не пригоден для работы в диапазоне очень высоких частот, из-за
недостаточных характеристик по избирательности стабильный прием в диапазоне
очень высоких частот невозможен.
Регенеративный приемник. Обеспечивает скрытность
в режимах работы кроме генерации, для избегания возникновения режима генерации
(и потери скрытности) рекомендуется использовать автоматическую регулировку
усиления. Так же регенеративный приемник требует от оператора знаний о принципе
работы, что необходимо учитывать при проектировании. Характеристики приемника
по избирательности и чувствительности не позволяют использовать регенеративный
приемник в диапазоне очень высоких частот без специальных входных цепей.
Рекомендуется использование двухконтурной входной цепи, либо цепи с критической
связью контуров. Однако применение регенеративных приемников в диапазоне очень
высоких частот не рекомендуется, для данного диапазона благодаря преимуществу в
стабильности и избирательности рекомендуется использовать приемники с
генератором (гетеродином).
Приемник прямого преобразования. Несмотря на то,
что приемник прямого преобразования в большей степени подвержен различным
наводкам и помехам, чем приемники супергетеродинного типа, простота и дешевизна
могут играть основную роль при выборе структурной схемы приемника. Так же
положительной особенностью приемников прямого преобразования, относительно
супергетеродинных является меньшее количество побочных каналов приема. Стоит
отметить, что при лицензировании частот в диапазон очень высоких частот
соседний канал рядом с мощной радиостанцией оставляют пустым, поэтому приемники
прямого преобразования,проектируемые для работы в диапазоне очень высоких
частот можно не оснащать входными цепями, а весь остальной приемник может
укладываться в одну микросхему без каких-либо навесных элементов, что
существенно снижает стоимость производства.
Приемник супергетеродинного типа. Несмотря на
все преимущества схемы супергетеродинного приемника, такие как высокая
чувствительность и избирательность, он обладает рядом недостатком, основным из
которых является наличие побочных каналов (зеркальный и соседний), что требует
наличия более сложных входных цепей, что в свою очередь увеличивает стоимость
приемников супергетеродинного типа. Так же супергетеродины требуют более
тщательной наладки, чем приемники без генераторов. При работе в диапазоне очень
высоких частот требуется использование входной цепи для предотвращения приема
зеркального канала. В диапазоне очень высоких частот эту функцию может
выполнять входная цепь с критической связью контуров, либо более сложные и
эффективные полосовые фильтры.
Приемник супергетеродинного типа с двойным
преобразованием частоты. Несмотря на достаточную сложность в построении и
наладке, опасность биения между какими-либо из гармоник гетеродинов, что приведет
к помехе в виде свиста на выходе приемника, данный тип приемников обладает
большей чувствительностью и избирательностью, чем супергетеродинный приемник с
одним преобразованием частоты. Несмотря на лучшую, чем у супергетеродинного
приемника с одним преобразованием частоты, избирательность по зеркальному
каналу, в диапазоне очень высоких частот рекомендуется применение входной цепи
с критической связью.
Приёмник инфрадинного типа. Данная схема
подразумевает два преобразования частоты, причем первое преобразование
происходит вверх и выбираемое значение частоты первого преобразования
выбирается значительно выше второй. При таком выборе частот, частота первого
зеркального канала имеет высокое значение и эффективно подавляется входными
цепями. Канал с частотой второго зеркального канала опасно лишь в том случае
если он попадет на вход второго преобразователя, то есть канал должен быть
подавлен до второго смесителя, фактически это происходит в первом усилителе
промежуточно й частоты. Таким образом основную селекцию осуществляет тракт
первой промежуточной частоты. Так же стоит отметить, что при построении такого
приемника предъявляются повышенные требования к надежности гетеродина. При
использовании инфрадинного приемника в диапазоне очень высоких частот обязательно
применение входной цепи с критической связью.Так же рекомендуется использовать
фильтр сосредоточенной селекции, для обеспечения избирательности по соседнему
каналу после второго смесителя.
Приемник прямого усиления. Основным
преимуществом является его скрытность ввиду отсутствия генераторов частот
непосредственно в приемнике. Из-за сложности перенастройки приемника на новую
частоту рекомендуется применение с установленными заранее частотами приема.
Приемник не пригоден для работы в диапазоне ультравысоких частот, из-за
недостаточных характеристик по избирательности стабильный прием в диапазоне
ультравысоких частот невозможен.
Регенеративный приемник. Обеспечивает скрытность
в режимах работы кроме генерации, для избегания возникновения режима генерации
(и потери скрытности) рекомендуется использовать автоматическую регулировку
усиления. Так же регенеративный приемник требует от оператора знаний о принципе
работы, что необходимо учитывать при проектировании. Характеристики приемника
по избирательности и чувствительности не позволяют использовать регенеративный
приемник в диапазоне ультравысоких частот.
Приемник прямого преобразования. Несмотря на то,
что приемник прямого преобразования в большей степени подвержен различным
наводкам и помехам, чем приемники супергетеродинного типа, простота и дешевизна
могут играть основную роль при выборе структурной схемы приемника. Так же
положительной особенностью приемников прямого преобразования, относительно
супергетеродинных является меньшее количество побочных каналов приема. Стоит
отметить, что при лицензировании частот в диапазон ультравысоких частот
соседний канал рядом с мощной радиостанцией оставляют пустым, поэтому приемники
прямого преобразования, проектируемые для работы в диапазоне ультравысоких
частот можно не оснащать входными цепями, а весь остальной приемник может
укладываться в одну микросхему без каких-либо навесных элементов, что
существенно снижает стоимость производства.
Приемник супергетеродинного типа. Несмотря на
все преимущества схемы супергетеродинного приемника, такие как высокая
чувствительность и избирательность, он обладает рядом недостатком, основным из
которых является наличие побочных каналов (зеркальный и соседний), что требует
наличия более сложных входных цепей, что в свою очередь увеличивает стоимость
приемников супергетеродинного типа. Так же супергетеродины требуют более
тщательной наладки, чем приемники без генераторов. При работе в диапазоне очень
высоких частот требуется использование входной цепи для предотвращения приема
зеркального канала. В диапазоне ультравысоких частот эту функцию может
выполнять система входных цепей, таких как полосовые фильтры.
Приемник супергетеродинного типа с двойным
преобразованием частоты. Несмотря на достаточную сложность в построении и
наладке, опасность биения между какими-либо из гармоник гетеродинов, что
приведет к помехе в виде свиста на выходе приемника, данный тип приемников
обладает большей чувствительностью и избирательностью, чем супергетеродинный
приемник с одним преобразованием частоты. Несмотря на лучшую, чем у
супергетеродинного приемника с одним преобразованием частоты, избирательность
по зеркальному каналу, в диапазоне ультравысоких частот рекомендуется
применение полосовых фильтров.
Приёмник инфрадинного типа. Данная схема
подразумевает два преобразования частоты, причем первое преобразование
происходит вверх и выбираемое значение частоты первого преобразования
выбирается значительно выше второй. При таком выборе частот, частота первого
зеркального канала имеет высокое значение и эффективно подавляется входными
цепями. Канал с частотой второго зеркального канала опасно лишь в том случае
если он попадет на вход второго преобразователя, то есть канал должен быть
подавлен до второго смесителя, фактически это происходит в первом усилителе промежуточно
й частоты. Таким образом основную селекцию осуществляет тракт первой
промежуточной частоты. Так же стоит отметить, что при построении такого
приемника предъявляются повышенные требования к надежности гетеродина. При
использовании инфрадинного приемника в диапазоне ультравысоких частот
обязательно применение полосовых фильтров.Так же рекомендуется использовать
фильтр сосредоточенной селекции, для обеспечения избирательности по соседнему
каналу после второго смесителя.
.5 Реализация
На данном этапе работы производится создание
демонстрационного проекта системы поддержки принятия решений.
При реализации будет использована среда
разработки, выбранная на этапе идентификации проблемы. На Рис. 11 показан
процесс наполнения фреймов информацией. Результатом этапа реализации является
направленный ациклический граф, состоящий из 69 фреймов, 30 из которых является
возможными результатами диалога. В среднем количество заданных вопросов
пользователю является 7-8, что позволяет определить необходимый тип структурной
схемы приемника и рекомендацию по выбору входной цепи.
Изображение полученного направленного
ациклического графа показано в Приложении А данной работы.
Рис.11 - экран наполнения фреймов
3. Тестирование
На этапе тестирования системы поддержки принятия
решений, будет проверена адекватность выбранной структуры фреймов и их
взаимосвязей. Материалами тестирования являются технические задания на
проектирование радиоприемников,эскизное проектирование которых уже проведено, и
известны результаты выбора структурной схемы.
Первое тестирование.
Исходные данные для тестирования:
Назначение приемника УКВ, ВЧ
Вид модуляцииЧастотная модуляция
Диапазон частот88-108 МГц
Чувствительность, не менее3 мкВ
Избирательность по зеркальному каналу, не
менее45 дБ
Избирательность по соседнему каналу, не менее 33
дБ
Диапазон воспроизводимых звуковых частот, не
уже0,1-11 кГц
Напряжение источника питания10 В
Максимальная рабочая температура45 С°
Результатом проектирования радиоприемника в соответствии
с данным техническим заданием являются следующие результаты:
Структурная схема приемника - супергетеродинного
типа с однократным преобразованием частоты.
Входная цепь - два одиночных колебательных
контура.
Тестирование.
Первые вопросы, заданные системой являются
вопросами о диапазоне принимаемых частот, так как указанный диапазон частот
находится в пределах частот группы очень высоких частот, отвечаем «Нет» на
вопросы о частоте три раза, так как предложенные вопросы в первых трех случаях
касаются частот расположенных в диапазонах нижних средних и высоких частот.
Рис. 12.
Рис. 12 - Выбор диапазона работы
Следующим вопросом, заданным системой является
вопрос о видах модуляции получаемого сигнала Рис. 13, так как в техническом
задании требуется прием только частотно модулированных сигналов, отвечаем, нет.
Рис. 13-Определения типа модуляции
Далее система задает вопрос о типе модуляции,
точнее предлагает выбрать, является ли сигнал амплитудно модулированным, в
соответствии с техническим заданием ответ нет. Рис. 14
Рис.14 - Определение типа модуляции
Следующим этапом диалога является определение
необходимости небольших размеров приемника, что может быть важно при применении
его в различных мобильных системах или электронных гаджетах. Так как
техническое задание не предоставляет данных о размерах приемника, считается,
что эта характеристика не важна для проектируемого радиоприемника, следовательно,
ответ нет. Рис.15
Рис.15 - Определение размеров приемника
Далее следует вопрос о противоречии
характеристик подавления соседнего и зеркального каналов, так как в приемнике с
одним преобразованием частоты не удается достичь высоких характеристик сразу по
обоим параметрам. В техническом задании указаны характеристики подавления обоих
каналов 45 дБ по зеркальному и 33 по соседнему каналу. Характеристика
подавления по соседнему каналу выше, чем указанная в вопросе, однако по
зеркальному каналу параметр ниже указанного, из чего следует, что противоречия
не возникает, ответ нет. Рис.16
Рис. 16 - Определение величин подавления
побочных каналов
На этом диалог с системой заканчивается, и система
отображает его результат, в данном случае это приемник супергетеродинного типа
с рекомендацией использования критической связи контуров во входной цепи. Рис.
17. Результат проведенного диалога полностью соответствует результатам,
полученным при проектировании приемника в соответствии с требованиями данного
технического задания.
Рис. 17 - Рекомендации системы
Второе тестирование.
Исходные данные:
Диапазон принимаемых частот 2,57-6,1 МГц
Тип модуляцииЧастотная модуляция
Чувствительность2,6 мкВ
Избирательность по зеркальному каналу68 дБ
Избирательность по соседнему каналу30 дБ
Ослабление помехи на промежуточной частоте80 дБ
Результатом проектирования радиоприемника в
соответствии с данным техническим заданием являются следующие результаты:
Тип структурной схемы - инфрадинный приемник, с
фильтром сосредоточенной селекции после второго смесителя.
Тип входных цепей - полосовой фильтр с
несколькими колебательными контурами.
Тестирование.
Как и при первом тестировании, первыми будут
вопросы, касающиеся диапазона частот приемника. На вопросы про низкий и средний
диапазон частот ответ отрицательный. Как упоминалось ранее, несмотря на то, что
нижний край диапазона принимаемых частот находится в полосе средних частот
(2,57 МГц, высокие частоты начинаются с 3 МГц) выбирать следует диапазон, в
котором находится верхний край диапазона принимаемых частот. Поэтому на третий
по счету вопрос, о нахождении диапазона принимаемых частот в пределах диапазона
высоких частот, ответ да. Рис. 18
Рис.18 - Выбор диапазона работы
Далее следуют вопросы о виде модуляции
принимаемых частот, ответ нет, на вопрос о любом виде модуляции. На вопрос об
амплитудной модуляции сигнала так же ответ отрицательный. Рис. 19
Рис. 19-Определение типа модуляции
На вопрос о необходимых размерах ответ
отрицательный, из-за отсутствия требований в техническом задании. Далее следует
вопрос о противоречии подавления побочных каналов. Характеристики необходимого
подавления указанные в техническом задании численно превышают показатели,
указанные в вопросе, ответ да. Рис. 20
Рис. 20 - Определение величин подавления
побочных каналов
Заключительным вопросом является требование
подавления второго зеркального канала. Данная характеристика указанна в
техническом задании и равняется 80 дБ, что превышает показатель, указанный в
вопросе. Ответ да. Рис. 21
Рис. 21 - Определение величины подавления
второго зеркального канала
Диалог с системой закончен. Полученным
результатом является рекомендация по использованию приемника инфрадинного типа,
с колебательными контурами с критической связью, и фильтром сосредоточенной
селекции для обеспечения избирательности после второго смесителя. Рекомендации,
полученные в результате диалога, практически полностью соответствуют результатам
эскизного проектирования приемника в соответствии с требованиями технического
задания. Несовпадение рекомендаций предоставленных системой и результатов
проектирования объясняется повышенными количественными требованиями к
чувствительности приемника, вопрос о которых сложен в реализации при выбранной
среде разработки. Рис. 22
Рис. 22 - Рекомендации системы
Вывод: Проведенное тестирование показало
адекватность демонстрационного проекта системы поддержки принятия решений, и
его работоспособность. Исключением являются некоторые количественные
показатели, использование которых во фреймах выбранной среды разработки сложно
осуществимо.
.1 Дальнейшие перспективы
Так как демонстрационный проект системы
поддержки принятия решений является адекватным, существует перспектива
использования выбранной среды разработки для охвата базой знаний всего процесса
эскизного проектирования радиоприемных устройств. Однако были выявлены
некоторые недостатки, которые могут сыграть решающую роль при расширении
области охвата этапов проектирования системой поддержки принятия решений. В
таком случае рекомендуется выбор другой среды разработки, отвечающей новым
требованиям, предъявляемым к системе.
Так же возможен вариант реализации системы
поддержки принятия решений на одном из символьных языков программирования, что
возможно удовлетворит требования к системе, но усложнит процесс актуализации
заложенных в нее знаний.
Еще одним возможным вариантом развития системы
может быть использование традиционных языков программирования, таких как С,
С++, для создания некоторой системы управления базами данных, в качестве
которой и будет реализована система поддержки принятия решений. Данный
метод,вероятно, усложнит процесс создания системы и поддержания базы знаний в
актуальном состоянии, однако с большей долей вероятности обеспечит выполнение
требований предъявляемых к системе. К плюсам данного метода можно отнести
простоту объединения с другими программами, которой сложно добиться при
использовании символьных языков программирования.
Заключение
Целью работы являлось создание демонстрационного
прототипа системы поддержки принятия решений, который обеспечивал бы поддержку
конструктора на начальном этапе эскизного проектирования. Полученная в
результате работы система соответствует поставленной цели, что показало
тестирование разработанной системы.
В ходе проведения работы были решены следующие
задачи:
Извлечение и структурирование знаний, наполнение
ими базы знаний. С помощью диалога с экспертом, а так же использования
справочной литературы, были получены знания в проблемной области, которые в
дальнейшем были структурированы как данные, являющиеся характеристиками
описываемых сущностей (метаданные), что привело к простоте наполнения ими базы
знаний.
Реализация полученных знаний в виде графа. В
ходе работы был получен направленный ациклический граф фреймов, содержащих
знания в выбранной области, граф представлен в приложении А данной работы.
При использовании системы поддержки принятия
решений разработанной в данной работе, происходит синтез структуры
радиосистемы, основанный на требуемых от радиосистемы функциях.
Так как демонстрационный проект не предназначен
для использования в производстве, были сформулированы перспективы его
дальнейшего развития до промышленного проекта, результатом внедрения которого в
производстве, приведет к следующим положительным эффектам:
Уменьшение времени затрачиваемого конструктором
(группой конструкторов) на создание эскизного проекта радиосистем.
Уменьшение рисков совершения ошибки
конструктором на этапе эскизного проектирования.
Помощь конструктору, обладающему недостаточным
опытом или квалификацией, при эскизном проектировании.
Следствием использования подобной системы в
производстве, является снижение издержек при проектировании, а так же ускорение
создания технического предложения.
Список использованной литературы
Романов
В.Н. Системный анализ для инженеров, изд. 2е, Санкт-Петербург , 2006 г.
Антонов
А.В. Системный анализ. Учебник для вузов, Высшая школа, 2004 г.
Муха
Ю.П. Структурные методы в проектировании сложных систем, две части, Волгоград,
1993 г.
ЧинакалВ.О.
Интеллектуальные системы и технологии, учебное пособие, Москва, 2008 г.
Джарратано
Д., Райли Г. Экспертные системы: принципы разработки и программирование, Издательский
дом «Вильямс», 2006 г.
А.В.
Гаврилов. Интеллектуальные системы в машиностроении, НГТУ, 2012 г.
Петров
Б.Е., Романюк В.А. Радиопередающие устройства на полупроводниковых приборах,
Высшая школа, Москва, 1989 г.
Никитин
Н.П., Кийко В.В. Проектирование радиоприемных устройств на базе аналоговых
блоков, Екатеринбург, 2004 г.
Фомин
Н.Н., Буга Н.Н., Головин О.В., Кубицкий А.А., Левин В.А., Плаксиенко В.С.,
Тяжев А.И., Фалько А.И., Радиоприемные устройства, 3-е издание, стереотипное,
Москва: Горячая линия - Телеком, 2007 г.
Колосовский
Е.А. Устройства приема и обработки сигналов,изд. 2еМосква: Горячая линия -
Телеком, 2012 г.
ГОСТ
2.103-68 Стадии разработки. ЕСКД.