Системы автоматического управления

  • Вид работы:
    Курсовая работа (т)
  • Предмет:
    Информатика, ВТ, телекоммуникации
  • Язык:
    Русский
    ,
    Формат файла:
    MS Word
    297,12 Кб
  • Опубликовано:
    2015-06-18
Вы можете узнать стоимость помощи в написании студенческой работы.
Помощь в написании работы, которую точно примут!

Системы автоматического управления

Содержание

1. Принцип действия САУ

. Передаточные функции САУ

. Расчёт и исследование контура регулирования положения заслонки

.1 Исследование устойчивости контура положения с использованием логарифмических частотных характеристик

.2 Переходная характеристика контура положения

.3 Расчёт параметров аналогового ПИ-регулятора положения

.4 Расчёт параметров аналогового ПИД-регулятора положения

. Расчёт и исследование контура регулирования температуры

.1 Исследование устойчивости контура регулирования температуры с использованием логарифмических частотных характеристик

.2 Переходная характеристика контура регулирования температуры

.3 Расчёт параметров аналогового ПИД-регулятора температуры

. Расчёт и исследование САУ с цифровым регулятором

.1 Выбор периода дискретизации аналоговых сигналов

.2 Расчёт цифрового ПИД-регулятора температуры

. Исследование САУ с аналоговыми и цифровыми регуляторами

Список литературы

логарифмический автоматический управление цифровой

1.   Принцип действия САУ

Рис. 1 Функциональная схема системы автоматического регулирования температуры печи.

В состав системы входят:

а) датчик температуры 2 (термоэлектрический преобразователь);

b) устройство для введения заданного значения температуры 3 (задатчик);

с) регулятор температуры 4;

d) усилитель мощности 5 (например, тиристорный преобразователь);

е) электрический двигатель постоянного тока 6 с редуктором;

f) регулирующий орган 7 (поворотная заслонка в трубопроводе подачи топлива).

Информация о заданной температуре Тз и фактическое Тф значение температуры поступают на регулятор, выходной сигнал которого через тиристорный преобразователь влияет на электрический двигатель постоянного тока. Двигатель через редуктор изменяет положение поворотной заслонки, в трубопроводе подачи топлива изменяя величину тока. Этим самым регулируется количество топлива, а это, в свою очередь, приводит к изменению температуры в печи.

Из соображений о физических свойствах и работе системы можно сделать вывод, что динамические процессы при регулировании температуры и положения заслонки существенно отличаются. Так как постоянные времени печи и привода отличаются больше, чем на порядок. Можно ожидать, что одним регулятором будет сложно осуществить оптимальное регулирование. Поэтому система состоит из двух контуров регулирования. Внутренний контур обеспечивает регулирование положения заслонки с помощью двигателя, а внешний - регулирование температуры. Поэтому сначала необходимо выбрать и рассчитать регулятор внутреннего контура, исследовать его на модели, а после этого перейти к разработке и исследованию всей системы.

2.   Передаточные функции САУ

Различают два вида уравнений САУ: уравнения статики и уравнения динамики. Уравнения статики описывают физические процессы в системах в статическом режиме (установившийся режим при постоянном входном воздействии). Чаще всего эти уравнения являются алгебраическими. Уравнения динамики описывают физические процессы в системах при любых входных воздействиях, которые изменяются во времени. Эти уравнения обычно являются дифференциальными или разностными. Уравнения динамики связывают между собой выходные и входные величины, их производные и интегралы.

Тиристорный преобразователь представлен апериодическим звеном первого порядка (преобразователь характеризуется одной постоянной времени):


Двигатель постоянного тока при отсутствии момента нагрузки на валу характеризуется уравнениями, которые описывают равновесия в электромеханической системе. Первое уравнение составим на основании ЭДС и напряжения питания якорной цепи, используя второй закон Кирхгофа для этого контура:


и равновесие моментов (вращающего и на валу):


где U - напряжение питания якоря;

Се, См - коэффициенты пропорциональности между ЭДС и частотой вращения двигателя ω и между вращающим моментом и током якоря I;

J - приведённый к валу двигателя момент инерции;

L и R - индуктивность и активное сопротивление якорной цепи.

Переходя в обоих уравнениях к операторной форме записи и решая их совместно, получаем передаточную функцию двигателя постоянного тока при управлении им напряжением питания якоря, как отношения изображений Лапласа скорости двигателя и напряжения якоря (при условии, что все начальные значения равны нулю).


где Тм = (J·R)/(Ce·Cм) - электромеханическая постоянная времени двигателя;

В данном случае 4∙Тя ≤ Тм (4∙0,018 ≤ 0,45), значит, двигатель представляется апериодическим звеном второго порядка с постоянными времени:


Можно считать, что редуктор обеспечивает поворот заслонки на 90° при нескольких оборотах вала двигателя. Поэтому можно считать, что двигатель вместе с редуктором характеризуется двумя динамическими звеньями: одно апериодическое второго порядка, а другое - интегрирующее, которое превращает обороты двигателя в угол поворота заслонки.

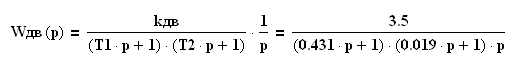
Таким образом, двигатель вместе с редуктором характеризуется следующей передаточной функцией:


Согласно заданию печь вместе с заслонкой характеризуется передаточной функцией апериодического звена второго порядка:


Рассматриваемая САУ является двухконтурной подчинённого типа.

Внутренним контуром является контур регулирования положения заслонки, внешним - контур регулирования температуры нагревательной печи.

Сначала исследую внутренний контур и рассчитываю регулятор положения, а затем перехожу к синтезу внешнего контура (всей системы).

Рис. 2 Структурная схема контура регулирования положения.

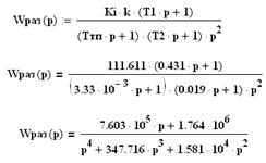
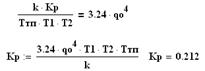
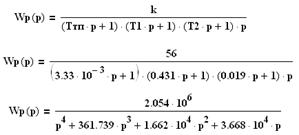
Коэффициент усиления разомкнутого контура положения:

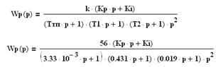
k = kтп·kдв = 16·3,5 = 56

Передаточная функция разомкнутого контура регулирования положения:


Передаточная функция замкнутого контура положения:



3. Расчёт и исследование контура положения заслонки

.1 Исследование устойчивости контура положения с использованием логарифмических частотных характеристик

Логарифмическую амплитудную частотную (ЛАЧХ) и фазовую частотную (ЛФЧХ) характеристики разомкнутой САУ строю на одном листе бумаги с логарифмической частотной шкалой.

Построение выполняю в следующей последовательности:

а) определяю частоты сопряжения ωi = 1/Тi и коэффициент усиления системы в децибелах (дБ), который равен 20·lgk;

ω1 = 1/Т1 = 1/0,431 = 2,32 рад/с; ω2 = 1/Т2 = 1/0,019 = 52,632 рад/с;

ω3 = 1/Ттп = 1/0,00333 = 300,3 рад/с.

с) строю первую асимптоту, которую проводят до первой сопрягающей частоты через точку с координатами ω = 1 рад/с и L(ω) = 20·lgk с наклоном

·r дБ/дек (r - порядок астатизма системы). Контур характеризуется астатизмом первого порядка (в знаменателе передаточной функции разомкнутого контура оператор р в первой степени), то наклон ЛАЧХ на первом участке равен

дБ/дек. Первая асимптота ограничивается первой сопрягающей частотой (2,32рад/с);

d) вторую асимптоту проводят от конца первой асимптоты до второй сопрягающей частоты. Т. к. ω1 - сопрягающая частота апериодического звена первого порядка (объект управления можно представить как два апериодических звена первого порядка), то наклон второй асимптоты -40 дБ/дек и ограничивается она второй сопрягающей частотой (52,632рад/с);

е) третью асимптоту проводят от конца второй асимптоты до третьей сопрягающей частоты. Т. к. ω2 - сопрягающая частота апериодического звена первого порядка (объект управления можно представить как два апериодических звена первого порядка), то наклон третьей асимптоты -60 дБ/дек и ограничивается она третьей сопрягающей частотой (300,3рад/с);

f) четвёртую асимптоту строю аналогично третьей: её наклон изменяется также на -20 дБ/дек и составляет -80 дБ/дек.

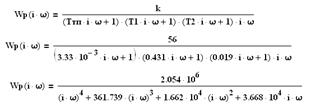
Частотная передаточная функция разомкнутого контура положения:


Выражение для ЛАЧХ и ЛФЧХ:

Рис. 3 Логарифмическая амплитудная (ЛАЧХ) и фазовая (ЛФЧХ) частотные характеристики.

Исходный контур регулирования положения неустойчив

3.2 Переходная характеристика контура положения

Динамические свойства системы исследую с использованием переходной характеристики контура.

Переходную характеристику получаю, применяя обратное преобразование Лапласа для выражения, которое описывает произведение изображений единичного скачка и передаточной функции контура.

Рис. 4 Переходная характеристика замкнутого контура положения до коррекции.

Контур положения неустойчив.

.3 Расчёт параметров аналогового ПИ-регулятора положения

Для синтеза контура выбираю один из типовых регуляторов, параметры которого должны обеспечить желаемый вид передаточной функции замкнутого контура. Передаточную функцию замкнутого контура выбираю из обеспечения определённых условий оптимальности.

Использую ПИ-регулятор с передаточной функцией:

Рис. 5 Структурная схема контура положения с ПИ-регулятором.

Передаточная функция разомкнутого контура:


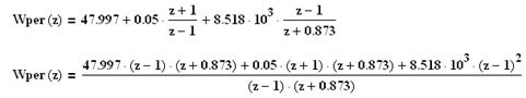
Передаточная функция разомкнутого контура с учётом ПИ-регулятора:


Передаточная функция замкнутого контура:



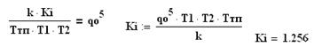
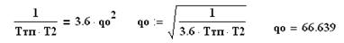
Чтобы в синтезированном контуре переходной процесс соответствовал модели Баттеворта, необходимо, чтобы характеристический полином замкнутого контура равнялся полиному пятой степени модели Баттеворта.


Приравниваю коэффициенты при р²:


Приравниваю коэффициенты при р в первой степени:


Приравниваю коэффициенты при р в нулевой степени:



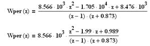
Передаточная функция разомкнутого контура с учётом численных значений коэффициентов ПИ-регулятора:


Передаточная функция замкнутого контура положения:


Подвергаю передаточную функцию замкнутого контура обратному преобразованию Лапласа.

Рис. 6 Переходная характеристика САУ с ПИ-регулятором.

САУ неустойчива. ПИ-регулятор не обеспечил приемлемый переходной процесс.

3.4 Расчёт параметров аналогового ПИД-регулятора положения

Рис. 7 Структурная схема контура положения с ПИД-регулятором.

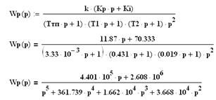
Передаточная функция ПИД-регулятора:


Принимаю для сокращения наибольшей постоянной времени:


Передаточная функция ПИД-регулятора примет вид:


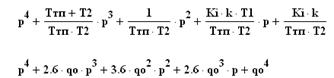
Передаточная функция разомкнутого контура с учётом регулятора:


Передаточная функция замкнутого контура:


Чтобы в синтезированном контуре переходной процесс соответствовал модели Баттеворта, необходимо, чтобы характеристический полином замкнутого контура равнялся полиному четвёртой степени модели Баттеворта.


Приравниваю коэффициенты при р во второй степени:


Приравниваю коэффициенты при р в первой степени:


Нахожу коэффициенты передачи ПИД-регулятора:


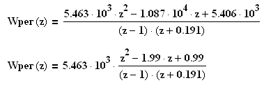
Передаточная функция разомкнутого контура:


Передаточная функция замкнутого контура:


Подвергаю передаточную функцию замкнутого контура обратному пре-образованию Лапласа.

Рис. 8 Переходная характеристика контура положения с ПИД-регулятором.

Перерегулирование ;

время первого согласования tпс = 0,047с;

время достижения первого максимума tмакс = 0,075с;

время регулирования tр = 0,22с;

количество колебаний N = 2.

Качественные показатели переходного процесса при использовании ПИД-регулятора позволяют в дальнейшем применять рассчитанный выше ПИД-регулятор.

4. Расчёт и исследование контура регулирования температуры

.1 Исследование устойчивости контура регулирования температуры с использованием логарифмических частотных характеристик

Рис. 9 Структурная схема контура регулирования температуры.

Частотная передаточная функция разомкнутого контура регулирования температуры:


Выражение для ЛАЧХ и ЛФЧХ:

Рис. 10 Логарифмическая амплитудная (ЛАЧХ) и фазовая (ЛФЧХ) частотные характеристики контура температуры до коррекции.

Запас устойчивости по амплитуде: 54 дБ;

запас устойчивости по фазе: π - 0,65 = 2,492 рад.

.2 Переходная характеристика контура регулирования температуры

Переходную характеристику получаю, применяя обратное преобразование Лапласа для выражения, которое описывает произведение изображений единичного скачка и передаточной функции контура.

Рис. 11 Переходная характеристика замкнутого контура регулирования температуры.

Из переходной характеристики системы определяю основные параметры качества регулирования.

Перерегулирование ;

время первого согласования tпс = 27с;

время достижения первого максимума tмакс = 38с;

время регулирования tр = 55с;

количество колебаний N = 1.

Нескорректированный контур обладает статизмом по нагрузке, а также инерционен. Эти недостатки устраняю посредством ПИД-регулятора.

4.3 Расчёт параметров аналогового ПИД-регулятора температуры

Рис. 12 Структурная схема контура регулирования температуры с ПИД-регулятором.

Передаточная функция разомкнутого контура регулирования температуры в форме изображения Лапласа:


Передаточная функция ПИД-регулятора:


Передаточная функция разомкнутого контура с учётом регулятора:


Передаточная функция замкнутого контура:


Чтобы в синтезированном контуре переходной процесс имел монотонный характер, необходимо, чтобы характеристический полином замкнутой системы равнялся стандартному полиному шестой степени, обеспечивающему монотонный переходной процесс.


Приравниваю коэффициенты при р в пятой степени:


Приравниваю коэффициенты при р в четвёртой степени:


Решая уравнение, нахожу Тд.


Нахожу коэффициенты передачи ПИД-регулятора:


Передаточная функция разомкнутого контура:


Передаточная функция замкнутого контура:


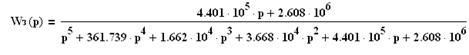
Подвергаю передаточную функцию замкнутого контура обратному преобразованию Лапласа.

Рис. 13 Переходная характеристика контура регулирования температуры с ПИД-регулятором.

Перерегулирование σрег = 0;

время регулирования tр = 0,89с;

количество колебаний N = 0.

ПИД-регулятор температуры обеспечил монотонный переходной процесс.

5. Расчёт и исследование САУ с цифровым регулятором

.1 Выбор периода дискретизации аналоговых сигналов

Передаточная функция цифрового регулятора зависит от значения величины периода дискретизации. Поэтому выбор периода дискретизации непрерывного сигнала необходимо выполнить до синтеза регулятора.

При выборе частоты дискретизации ориентируюсь на теорему Котельникова: частота дискретизации должна быть больше или равняться удвоенной частоте самой высокочастотной составляющей входного сигнала.

За существенную высокочастотную составляющую принимают частоту среза или частоту пропускания.

Для определения частоты среза выполняю построение ЛАЧХ нескорректированного разомкнутого контура регулирования температуры.

Частотная передаточная функция разомкнутого контура регулирования температуры:


Выражения для ЛАЧХ и ЛФЧХ:



Рис. 14 ЛАЧХ разомкнутого контура регулирования температуры.

Частота среза равна 3,5рад/с.

Исходя из теоремы Котельникова, принимаю частоту дискретизации равной 10рад/с.

Исследую САУ при значениях частот дискретизации равных 10рад/с и 10рад/с. Соответствующие им периоды дискретизации: 1/10 = 0,1с и 1/100 = 0,01с, соответственно.

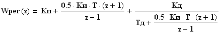
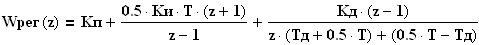
.2 Расчёт цифрового ПИД-регулятора температуры

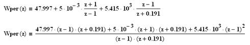
Передаточная функция аналогового ПИД-регулятора:


Перехожу к цифровой передаточной функции, произведя замену:


Передаточная функция цифрового ПИД-регулятора:


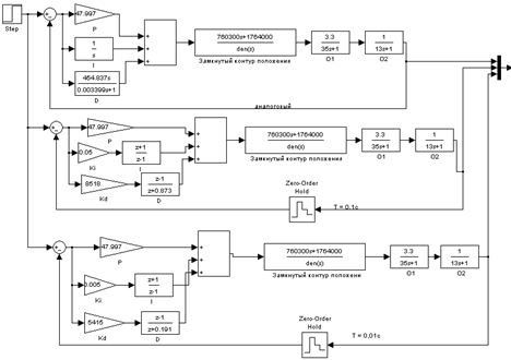
Рис. 15 Структурная схема САУ с цифровым ПИД-регулятором.

При значении периода дискретизации Т = 0,1с передаточная функция регулятора будет иметь вид:


При значении периода дискретизации Т = 0,01с передаточная функция регулятора будет иметь вид:



6. Исследование САУ с аналоговым и цифровым регуляторами

Рис. 16 Модель САУ с аналоговым и дискретными регуляторами.

Рис. 17 Результаты моделирования системы с аналоговым и цифровым регуляторами.

- переходная функция при исследовании замкнутой САУ с цифровым регулятором при Т = 0,1с;

- переходная функция при исследовании замкнутой САУ с цифровым регулятором при Т = 0,01с;

- переходная функция при исследовании замкнутой САУ с аналоговым регулятором.

При Т = 0,01с динамические параметры системы с аналоговым и цифровым регулятором идентичны. При увеличении периода дискретизации переходной процесс перестаёт быть монотонным.

Список литературы

логарифмический автоматический управление цифровой

1. Теория систем автоматического управления / В. А. Бессекерский,

Е. П. Попов, - Изд. 4-е перераб. и доп. - СПб, Изд-во "Профессия". 2003. - 752с.

. Теория автоматического управления. Часть первая. Под ред. проф.

А. В. Нетушило, М.: "Высшая школа", 1967. - 424с.

. Зайцев Г. Ф. Теория автоматического управления и регулирования - Киев. "Вища школа", 1975. - 421с.

. Жуков Н. С. "Теория автоматического управления", раздел "Линейные непрерывные системы автоматического управления". Методическое пособие для самостоятельной работы студентов. Национальная Металлургическая Академия Украины. Кривой Рог, 2008. - 108с.

. Жуков Н. С. "Теория автоматического управления", раздел "Линейные импульсные и цифровые системы управления". Методическое пособие для самостоятельной работы студентов. Национальная Металлургическая Академия Украины. Кривой Рог, 2008. - 36с.

Похожие работы на - Системы автоматического управления

 

Не нашли материал для своей работы?
Поможем написать уникальную работу
Без плагиата!
Без нейросетей!