|
4,586
 (2.5)
Рассчитываем
постоянную времени
 (2.6)
Подставляя в формулу 2.3 найденные коэффициенты, получаем математическую
модель объекта регулирования РВС
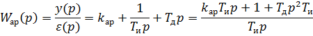
2.3 Математическая модель ПИД- регулятора
Математическую модель автоматического регулятора определяем из закона
регулирования. Согласно заданию закон регулирования пропорционально интегрально
дифференциальный.
 (2.8)
где y - выходная величина регулятора;
kп - коэффициент
пропорциональности;
- рассогласование;
Ти - постоянная времени
интегрирования;
Тд - постоянная времени
дифференцирования.
Так как математическая модель это передаточная функция то для ее
определения выполним преобразование Лапласа.
 (2.9)
Численные значения коэффициентов определяем методом приближенных формул
(таблица 7.13 [1]).
Определяем характеристику объекта регулирования:
|
где
|
τор
|
=
|
9,5
|
|
kор
|
=
|
2
|
|
Tор
|
=
|
0,205
|
Характеристика объекта регулирования
 (2.10)
Находим предел пропорциональности
 (2.11)
Постоянная
времени интегрирования
 (2.12)
Постоянная
времени дифференцирования
 (2.13)

Определим
коэффициент усиления регулятора
 (2.14)
Таким
образом, передаточная функция автоматического регулятора для ПИД закона
 (2.15)
2.4 Математическая модель исполнительного механизма, регулирующего
органа и измерительного преобразователя
В системах автоматического регулирования в качестве исполнительных
механизмов нашли применение электродвигатели переменного тока. В системах, где
требуется регулирование скорости исполнительного механизма применяют трехфазные
асинхронные электродвигатели с фазным ротором, если регулирование не требуется,
то применяют электродвигатели с короткозамкнутым ротором.
В курсовом проекте предлагается использовать МЭОФ-250/160-0,63-97К.
Динамические свойства асинхронных электродвигателей определяются
уравнением
 (2.16)
где - электромеханическая постоянная времени
электродвигателя, сек;
- коэффициент
передачи электродвигателя;
- напряжение
на роторе;
Q - угловая
скорость ротора, рад/сек.
Электромеханическая постоянная Тм, в зависимости от инерционности объекта
регулировании может быть в пределах от 0,006 до 2 секунд.
В курсовом проекте принимаем электромеханическую постоянную Тм=0,1.
Коэффициент передачи электродвигателя может быть в пределах от 2 до 25.
Кр=7
 (2.16)
Определяем
передаточную функцию исполнительного механизма. Для этого выполним
преобразование Лапласа.
Математическую
модель регулирующего органа определяем по расходной характеристике. Существует
два вида расходных характеристик: линейная и равнопроцентная. Вид расходной
характеристики определяется по табл. 6.5[2]
Регулируемый
параметр - уровень, параметр, который вызывает возмущение - расход.
Следовательно, рекомендуемая форма расходной характеристики - линейная. По
рисунку 6.15 [2] выбираем расходную характеристику для n=0,5. Строим
этот график в Excel, определив необходимые координаты. По полученному
графику определяем математическую модель регулирующего органа.
Рисунок
2.3 - Расходная характеристика регулирующего органа с линейной пропускной
характеристикой.
Анализ
графика показывает, что по динамическим свойствам регулирующий орган
аппроксимируется с интегрирующим звеном с запаздыванием. Следовательно,
передаточная функция регулирующего органа имеет вид:
Численные
значения коэффициентов определяем по графику. Так как α=41, то
 (2.18)
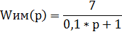
Математическая
модель измерительного преобразователя - датчика ДУУ4 определяем по его
техническим характеристикам. Датчик уровня по динамическим свойствам соответствует
усилительному звену
 (2.19)
Так
как датчик не должен оказывать на работу системы регулирования, то коэффициент
усиления Кд=1.
Вторичный
преобразователь БТВИ (блок токовых выходных искробезопасный)
Определяем
математическую модель САР по формулам 2.1 и 2.2. Так как звенья запаздывающие,
и не оказывают влияния на устойчивость системы, то математическая модель САР
определяется без учета этих звеньев. Но запаздывание влияет на график
переходного процесса и на показатели качества, поэтому определяют общие время
запаздывания
 (2.20)
Математическая
модель САР по задающему возмущению для ПИД закона регулирования
Зная
значения математических моделей САР
Подставим
их в формулу, определяющую математическую модель САР по задающему возмущению
(2.1)
 (2.21)
Определим
значение Wз(p)
Математическая
модель САР по возмущающему воздействию для ПИД закона регулирования
Подставим
математические модели в формулу 2.2
 (2.22)

Определим
значение Wf(p)
3. УСТОЙЧИВОСТЬ САР
3.1 Устойчивость по критерию Гурвица.
Критический коэффициент усиления
Существует несколько способов определения устойчивости САУ. В курсовом
проекте устойчивость определяется по критерию Гурвица.
По
критерию устойчивости Гурвица, система автоматического регулирования будет
устойчива только в том случае, если все определители Гурвица при  положительны.
Составляем главный определитель Гурвица и рассчитываем его:
Теперь проверяем, все ли определители Гурвица положительны:

Все
определители Гурвица положительны, значит САР устойчива. Теперь определяем
критический коэффициент усиления. По критерию Гурвица система будет находится
на границе устойчивости, если определители Гурвица будут равны нулю. За
коэффициент усиления принимают число без  . САР при
этом равна нулю. Заменяем слагаемое 7 на неизвестную  :
При
система находится на границе устойчивости. Чтобы
система была устойчивой, необходимо взять любое значение  меньше
131,3.
4. КАЧЕСТВО
САР
4.1 График переходного процесса
Для определения показателей качества необходимо
построить график переходного процесса. Рассмотрим аналитический метод построения
графика переходного процесса с использованием программы «Mathcad 11 Enterprise Edition.Ink».
Для построения переходных характеристик САУ наиболее
целесообразным является использование формулы разложения для простых и одного
нулевого полюсов изображения выходной величины у.
(4.1)
где х - величина входного воздействия;
В(р) - числитель передаточной функции;
А(р) - знаменатель передаточной;
рк - корень характеристического уравнения.
Рассмотрим построение графика переходного процесса в
Mathcad
Определим качество САР для ПИ закона регулирования
Вводим характеристическое уравнение (знаменатель
передаточной функции) согласно варианта. Для этого использовать панель
«арифметические инструменты»
Рассчитываем
производную от характеристического уравнения.
Числитель
передаточной функции
определяем корни характеристического полинома
используя функцию root (вставка функции, категория - все)
Составляем
вектор корней характеристического уравнения (используем панель «векторные и
матричные исчисления»).
Рассчитываем
корни уравнения (знак =)
Задаемся
перебором корней. Используем панель «векторные и матричные исчисления».
Входное
воздействие при построении переходной характеристики равно 1, следовательно
согласно уравнения 4.1, установившаяся составляющая:
(4.2)
Переходная
составляющая:
(4.3)
Переходная
характеристика:
(4.4)
Задаемся
значение времени и строим график переходной характеристики. Если среди корней
характеристического уравнения есть действительный корень, то строим график
у(t), если все корни комплексные, то строим график действительной части
Re(y(t)). На полученном графике переходного процесса дополнительные линии -
показатели качества.
Рисунок
4.1 - График переходных процессов
4.2 Прямые показатели качества
Показатели качества необходимы для определения
качества регулирования. К показателям качества САР относятся:
- время регулирование - это время, по
истечению которого график переходного процесса принимает установившиеся
значения с допустимой точностью (5%). Определим время регулирования для обоих
законов регулирования
tp=3c
- максимальное относительное отклонение
(перерегулирование) для обоих законов регулирования по формуле
(4.8)
- степень затухания. Так как при ПИ
законе регулировании у нас получилось апериодический график. Поэтому степень
затухания у него равна бесконечности. Определяете степень затухания для ПИД
закона регулирования по формуле
(4.9)
- колебательность - число колебаний за
время регулирования. Колебательность определяется только для ПИД закона
регулирования.
- статическая ошибка - разность между
установившимся значением и заданным.
(4.10)
ЗАКЛЮЧЕНИЕ
Целью курсового проекта было разработать систему автоматического
регулирования уровня в КСУ-1,2,3 на КСП-5.
При определении устойчивости, было доказано, что построенная САР
устойчива.
В ходе разработки САР были выбраны основные компоненты для ее реализации:
уровнемер ДУУ4М;
механизм электроприводного регулирования клапана
МЭОФ-250/160-0,63-97К;
контролер SLC-500.
Из полученных показателей качества, можно сделать вывод, что КСУ-1,2,3 на
КСП-5 разработанная САР имеет место быть внедрена. Это объясняется ниже
следующим:
· максимальное относительное отклонение всего 48%. Это значит,
что уровень в КСУ максимально отклонится до
,6% от уровня всего КСУ, что не приведет к аварийной ситуации;
· статическая ошибка при ПИД - законе регулирования равна 0,7,
а это значит, что система автоматического регулирования полностью возвращает
уровень к заданным регламентам установками;
· время регулирования системы составляет всего 3с.
· колебательность системы равна 1;
· степень затухания 32,4%
СПИСОК ИСПОЛЬЗУЕМОЙ ЛИТЕРАТУРЫ
1. Клюев
А.С. Автоматическое регулирование: Учебник для сред. спец. учеб. заведений. -
М.: Высш.шк.,1986. - 351 с.
. Наладка
средств автоматизации и автоматических систем регулирования: Справочное
пособие/ А.С. Клюев, А.Т. Лебедев, С.А. Клюев, А.Г. Товарнов; Под ред. А.С.
Клюева. М.: Энергоатомиздат,1989. - 368 с.
. ПО Mashcad, Exel.
4. http://www.albatros.ru/
Похожие работы на - Система автоматического регулирования уровня на КСУ-1,2,3 на КСП-5
|