Предупреждение несчастных случаев на предприятиях
По каждому несчастному случаю,
квалифицированному как несчастный случай на производстве, и повлекшему за собой
необходимость перевода пострадавшего в соответствии с медицинским заключением
на другую работу, потерю им трудоспособности на срок не менее одного дня либо
смерть пострадавшего, оформляется Акт о несчастном случае на производстве
(форма Н-1). Постановление кабинета министров Украины от 30 ноября 2011 г. №
1232. Экземпляры актов по форме Н-5 и Н-1 (если несчастный случай признан
связанным с производством), экземпляр карты по форме П-5 (в случае выявления
острого профессионального заболевания (отравления)) вместе с материалами
расследования хранятся на предприятии в течение 45 лет, при реорганизации
предприятия передаются его правопреемнику, который берет на учет несчастный
случай, а при ликвидации предприятия - в государственный архив.
В рабочем органе исполнительной дирекции Фонда
экземпляры актов по форме Н-5 и Н-1 (если несчастный случай признан связанным с
производством), экземпляр карты по форме П-5 (в случае выявления острого
профессионального заболевания (отравления)) хранятся в течение 45 лет.
Расследование проводится при возникновении
несчастного случая, а именно ограниченного во времени происшествия либо
внезапного воздействия на работника опасного производственного фактора или
среды, произошедших в процессе исполнения им трудовых обязанностей, вследствие
которых зафиксирован вред здоровью, в частности от получения ранения, травмы, в
том числе вследствие телесных повреждений, острого профессионального
заболевания и острого профессионального и других отравлений, получения
солнечного или теплового удара, ожога, обморожения, а также в случае утопления,
поражения электрическим током, молнией и ионизирующим излучением, получения
других повреждений вследствие аварии, пожара, стихийного бедствия
(землетрясения, оползня, наводнения, урагана и т.п.), контакта с
представителями животного и растительного мира, повлекших утрату работником
трудоспособности на один рабочий день или более либо необходимость перевода его
на другую (более легкую) работу не менее чем на один рабочий день,
исчезновение, а также наступление смерти работника при исполнении им трудовых
(должностных) обязанностей.
К острому профессиональному отравлению относится
заболевание, возникшее после однократного воздействия на работника вредного
вещества (веществ).
К острому профессиональному заболеванию
относится заболевание, возникшее после однократного (в течение не более одной
рабочей смены) воздействия вредных факторов физического, биологического и
химического характера.
Проведем анализ несчастных случаев согласно
варианту по статистическим данным, приведенным в таблице и сделать вывод по
работе.
Рассчитаем
) Коэффициент частоты травматизма:
,
где Т - число несчастных случаев за
отчетный период за исключением тяжелых и смертельных;
Р - среднестатистической количество
рабочих за этот же период на этом же месте.
- количество несчастных случаев на
1000 рабочих за отчетный период.
2) Коэффициент тяжести травматизма
,
где Д - дни нетрудоспособности
(суммарное количество дней по всем несчастным случаям за отчетный период)
3) Коэффициент потерь (показатель общего
травматизма)
Изменение коэффициентов Кч, Кт, та
Кз в течении нескольких периодов характеризует динамику промышленного
травматизма и эффективности мер по его предупреждению.
Таблица 1 - Исходные данные
|
год
|
T(НС)
|
p(Раб)
|
D(Дни)
|
Кч
|
Кт
|
Кз
|
|
2000
|
1454
|
14
|
397
|
9,628611
|
28,35714286
|
273,0399
|
|
2001
|
1375
|
20
|
122
|
14,54545
|
6,1
|
88,72727
|
|
2002
|
1221
|
31
|
256
|
25,38903
|
8,258064516
|
209,6642
|
|
2003
|
1244
|
36
|
313
|
28,93891
|
8,694444444
|
251,6077
|
|
2004
|
1230
|
38
|
408
|
30,89431
|
10,73684211
|
331,7073
|
|
2005
|
1198
|
39
|
218
|
32,55426
|
5,58974359
|
181,9699
|
|
2006
|
1215
|
435
|
33,74486
|
10,6097561
|
358,0247
|
|
2007
|
1216
|
42
|
501
|
34,53947
|
11,92857143
|
412,0066
|
|
2008
|
1216
|
44
|
501
|
36,18421
|
11,38636364
|
412,0066
|
|
2009
|
1451
|
45
|
712
|
31,01309
|
15,82222222
|
490,6961
|
|
2010
|
1250
|
45
|
712
|
36
|
15,82222222
|
569,6
|
где, а - количество человек, пострадавших в
результате несчастного случая (далее - НС), b - общее число работников на
предприятии, d - количество дней, вычтенных из рабочих, из-за травматизма
рабочих (а) в сумме.
Для того, чтобы спрогнозировать коэффициенты
травматизма на последующие 11 лет, воспользуемся методом наименьших квадратов.
Используя его, аппроксимируем эти данные экспоненциальной зависимостью -
эмпирической функцией y=ae±bΔt
(найдем
параметры а и b).
Рисунок 1 - График изменения коэффициентов Кч,
Кт и Кз
Для аппроксимации наших данных прологарифмируем
левую и правую часть функции и получим линеаризуемое уравнение:
ln(y) = ln(a) + bΔt
Запишем основной критерий метода наименьших
квадратов, смысл которого заключается в минимизации суммы среднеквадратических
отклонений от исходной функции на каждом ее участке:
S = ∑(yi- y*i)2→
min
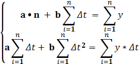
Для аппроксимации данных запишем систему
нормальных уравнений, которая образовывается из нахождения частных производных
по параметрам a,b из основного критерия МНК (для линейных функций):

(1)
Параметр n=11 - количество
экспериментальных данных.
Поскольку выбранная эмпирическая
функция не имеет линейного вида(y=a
+b), то для приведения ее к такому
виду необходимо сделать некоторые замены: y=ln(y’).
Найдем параметры a,b для всех
коэффициентов травматизма (частоты, тяжести и потерь). Входные данные для
расчетов:
Таблица 2 - Входные
данные для аппроксимации данных
|
Δt
|
Кч
|
Кт
|
Кз
|
|
1
|
9,628611
|
28,35714
|
273,0399
|
|
2
|
14,54545
|
6,1
|
88,72727
|
|
3
|
25,38903
|
8,258065
|
209,6642
|
|
4
|
28,93891
|
8,694444
|
251,6077
|
|
5
|
30,89431
|
10,73684
|
331,7073
|
32,55426
|
5,589744
|
181,9699
|
|
7
|
33,74486
|
10,60976
|
358,0247
|
|
8
|
34,53947
|
11,92857
|
412,0066
|
|
9
|
36,18421
|
11,38636
|
412,0066
|
|
10
|
31,01309
|
15,82222
|
490,6961
|
|
11
|
36
|
15,82222
|
569,6
|
В таблице 3 столбец Δt
- это период времени (годы), что
соответствует какому-либо году экспериментальных данных. Поскольку для
приведения эмпирической функции к линейному виду мы выполняем замену, то для
составления системы уравнений для определения параметров а,b коэффициента
частоты составим расчетную таблицу значений 4:
Таблица 3
- Расчетные данные для определения параметров a, b
|
Δt
|
ln(y)
|
Δt 2
|
ln(y)2
|
Δt • ln(y)
|
|
1
|
2.26
|
1
|
5.13
|
2.26
|
|
2
|
2.68
|
4
|
7.17
|
5.35
|
|
3
|
3.23
|
9
|
10.46
|
9.7
|
|
4
|
3.37
|
16
|
11.32
|
13.46
|
|
5
|
3.43
|
25
|
11.77
|
17.15
|
|
6
|
3.48
|
36
|
12.13
|
20.9
|
|
7
|
3.52
|
49
|
12.38
|
24.63
|
|
8
|
3.54
|
64
|
12.55
|
28.34
|
3.59
|
81
|
12.88
|
32.3
|
|
10
|
3.43
|
100
|
11.8
|
34.34
|
|
11
|
3.58
|
121
|
12.84
|
39.42
|
Для наших данных система уравнений имеет вид
11a
+ 66 b = 36.1266 a + 506 b = 227.86. Домножим
уравнение (1) системы на (-6), получим систему, которую решим методом
алгебраического сложения.-66a -396 b = -216.7366 a + 506 b = 227.86.
Получаем:110
b = 11.13. Откуда b =
0.1012. Теперь найдем
коэффициент «a» из уравнения (1): 11a
+ 66 b = 36.1211a + 66 • 0.1012 = 36.1211a = 29.45a = 2.6769.
Получаем
эмпирические коэффициенты регрессии: b = 0.1012, a = 2.6769.
Уравнение
регрессии (эмпирическое уравнение регрессии):y = e2.67691151e0.1012x=
14.54012e0.1012x
Аналогично получаем параметры a,
b
и уравнение регрессии для других коэффициентов травматизма, подставив вместо y
значения коэффициентов, соответствующих необходимым периодам времени и занесем
полученные данные в таблицу 4:
Таблица 4
- Эмпирические уравнения регрессии для коэффициентов травматизма
|
Коэффициенты
трамватизма
|
Параметры
|
Значение
|
Уравнение
|
|
Кч
|
a
|
2.6769
|
y
= 14.54012e0.1012 Δt
|
|
b
|
0.1012
|
|
|
Кт
|
a
|
2.2573
|
y
= 9.55693e0.02254 Δt
|
|
b
|
0.02254
|
|
|
Кн
|
a
|
4.9342
|
y
= 138.95891e0.1237Δt
|
|
b
|
0.1237
|
|
промышленный травматизм
статистический несчастный
С помощью уравнений регрессии для коэффициентов
травматизма спрогнозируем их изменение на следующие 11 лет. Для этого в
уравнения регрессии для каждого коэффициента травматизма вместо x подставим
значения периодов времени, что соответствуют 2011-2021гг. Занесем полученные
данные в таблицу 5:
Таблица 5
- Изменение коэффициентов травматизма 2011-2021 гг.
|
год
|
Δt
|
кч
|
кт
|
кн
|
|
2011
|
12
|
48,97509
|
28,82275
|
613,1308
|
|
2012
|
13
|
54,19083
|
32,41846
|
693,8656
|
|
2013
|
14
|
59,96204
|
36,92213
|
785,2313
|
|
2014
|
15
|
66,34787
|
42,63808
|
888,6276
|
|
2015
|
16
|
73,41379
|
1005,639
|
|
2016
|
17
|
81,2322
|
59,63486
|
1138,058
|
|
2017
|
18
|
89,88326
|
72,47453
|
1287,913
|
|
2018
|
19
|
99,45564
|
89,92686
|
1457,501
|
|
2019
|
20
|
110,0475
|
114,1754
|
1649,419
|
|
2020
|
21
|
121,7673
|
148,6956
|
1866,608
|
|
2021
|
22
|
134,7352
|
199,178
|
2112,396
|
Построим графики изменения коэффициентов
травматизма, тяжести и потерь за 2011-2021 года.
Рисунок 2
- Графики аппроксимируемых экспериментальных данных для коэффициентов
травматизма Кч, Кт, Кн
Исходя из построенного графика, мы можем
наблюдать, как изменяется кривая коэффициента тяжести и кривая коэффициента
частоты несчастных случаев.
Проанализируем, как изменяется кривая
коэффициента тяжести. С 2000 по 2001 г. мы видим, как уменьшается количество
несчастных случаев. Это связано с тем, что закончились выборы президента
Украины, в конце 1999 года и был повторно избран Кучма Леонид Данилович.
Соответственно в стране не происходило особых изменений в политической или иных
сферах, и в стабильной ситуации количество несчастных случаев постепенно
снижалось после выборов.
Затем с 2001-го по 2002-й год мы видим скачек
вверх, это связано с оглаской журналистами дела Георгия Гонгадзе, который погиб
при загадочных обстоятельствах. Оппозиция начала проводить политику «Украина
без Кучмы», начали собираться многочисленные митинги, в том числе многотысячная
демонстрация 9 марта 2001 года с требованиями отставки президента и привлечения
его к криминальной ответственности.
С 2002 по 2004 года, мы наблюдаем огромный рост
кривой тяжести несчастных случаев. Это связано с продавливанием Украины в
Единое экономическое пространство кабинетом министров Януковича с 2003 года,
проведением выборов 2004-2005 годов и, конечно же, Оранжевой революцией,
которая является одной из самых массовых и длительных пикетов, митингов и
забастовок проходящих во многих городах страны.
С середины 2004 до 2005 годов мы наблюдаем
небольшой спад, связанный с «обживанием» новой властью рычагов страны и
разработкой оппозицией планов по противодействию действующей власти.
В период с 2005 по 2007 мы видим рост, это
объясняется тем, что был политический кризис, когда премьер-министр Янукович
стремился расширить свои полномочия, и для этого парализовал работу парламента.
С 2007 по 2008 мы видим, как вновь количество тяжелых несчастных случаев
уменьшается, это связано с урегулированием политического кризиса с приходом
«правительства Тимошенко».
С 2008 по 2010-й мы видим, как ситуация резко
ухудшается. Это связано с экономическим кризисом 2008-2009 годов, вследствие
мирового финансового кризиса. Смена власти влекла за собой ряд нововведений в
конституции, при этом был сокращен предыдущий управляющий персонал на многих
предприятиях. А также, 16 сентября 2008 года было объявлено о развале правящей
«Оранжевой» коалиции и начался политический кризис, подкрепленный давлением со
стороны России из-за проявления стремления в НАТО.
Исходя из прямой коэффициента частоты несчастных
случаев, можем наблюдать, как изменялись степени тяжести несчастных случаев на
протяжении 10 лет. С 2000 по 2010 гг. частота несчастных случаев постепенно
ухудшается.
Прогноз:
С 2010 года коэффициент тяжести, а будет расти,
из-за явных предпосылок к ухудшению экономической, политической и социальной
обстановки в стране. А также, из-за стремления Виктора Януковича к
монополизации власти и тому подобных факторов. Внешнеполитическая ситуация,
также оставляет желать лучшего, страна оказалась между двумя силами - Западом и
Россией, интересы которых прямо противоположны и которые будут бороться за
«правильный» выбор Украины. В то же время коэффициент частоты растет, что
свидетельствует о повышении количества травматизма.