Технология рыбы и рыбных продуктов

  • Вид работы:
    Контрольная работа
  • Предмет:
    Другое
  • Язык:
    Русский
    ,
    Формат файла:
    MS Word
    80,78 Кб
  • Опубликовано:
    2015-08-07
Вы можете узнать стоимость помощи в написании студенческой работы.
Помощь в написании работы, которую точно примут!

Технология рыбы и рыбных продуктов

ФЕДЕРАЛЬНОЕ АГЕНТСТВО ПО РЫБОЛОВСТВУ

Федеральное государственное образовательное учреждение высшего профессионального образования

"Дальневосточный государственный технический рыбохозяйственный университет" ДАЛЬРЫБВТУЗ

Кафедра "Технология продуктов питания"







Контрольная работа

"Технология рыбы и рыбных продуктов"










Владивосток 2013

Вопрос 1. Скорость замораживания. Температурные графики замораживания. Расход холода на замораживание

Скорость замораживания. Скоростью замораживания принято считать скорость перемещения зоны кристаллизации в замораживаемом продукте. Зона кристаллизации - слой ткани рыбы, в котором под действием низких температур значительная часть воды превратилась в лед. Зона кристаллизации возникает на поверхности рыбы и в процессе замораживания постепенно перемещается внутрь тела.

Скорость замораживания является одним из основных параметров, определяющих обратимость замораживания биологических объектов. Существует несколько методов оценки скорости замораживания: температурные изменения в единицу времени; время, необходимое для прохождения определенного перепада температур; скорость движения фронта льда и др.

Скорость замораживания не является величиной постоянной, а меняется в зависимости от расстояния от наружной поверхности до границы ледовой структуры.

Различают истинную линейную (u, м/ч) и среднюю линейную (, м/ч) скорости перемещения фронта кристаллизации:

,

где dx - расстояние от поверхности до границы ледовой структуры, м;

dt - продолжительность формирования ледовой структуры, ч.

Средняя линейная скорость замораживания - это отношение толщины замороженного слоя ко времени его образования:

,

где d - размер продукта (расстояние от термического центра продукта до охлаждаемой поверхности), м;

 - продолжительность замораживания рыбы в пределах -1…- 5 °С.

Термический центр - это точка с минимальной скоростью замораживания, т.е. точка, которая замораживается в последнюю очередь. Для однородных тел она совпадает с геометрическим центром; для рыбы условно берется как для бесконечной пластины: , где  - максимальная толщина рыбы или блока рыбы, м.

В современных морозильных установках обеспечивается скорость не менее 0,03-0,05 м/ч. В этом случае размер кристалликов льда не превышает 100 мкм.

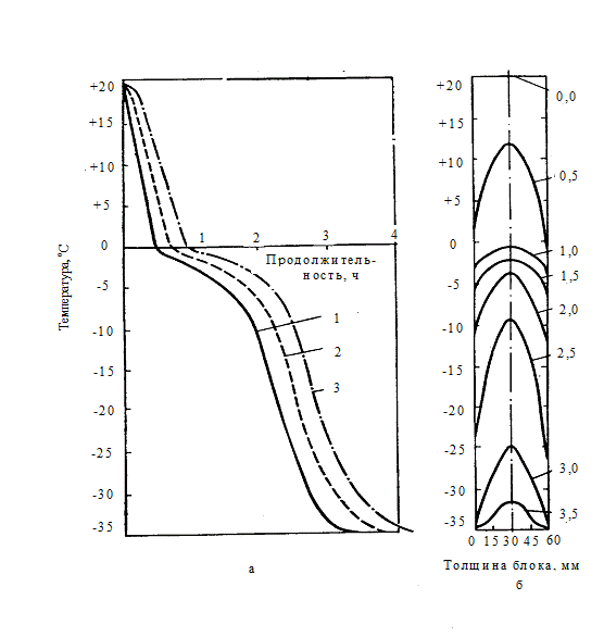
Температурные графики. Графическое изображение изменения температуры тела рыбы во времени называют кривыми замораживания. Температурные кривые процесса замораживания рыбы в воздушном и плиточном аппаратах представлены на графиках 1 и 2. Анализ кривых показывает, что изменение температуры в теле рыбы при замораживании носит сложный характер. На кривых замораживания можно выделить три участка:

период быстрого охлаждения, температура тела рыбы снижается от начальной до криоскопической (-1 °С);

период замедления охлаждения, температура медленно снижается от -1 до -5 °С;

период быстрого охлаждения, температура тела рыбы снижается от -5 °С до температуры, близкой к температуре охлаждающей среды.

График 1. Изменение температуры в блоке рыбы при воздушном замораживании: а - блок рыбы; б - изотермы; в - изохроны; 1 - на поверхности блока; 2 - на глубине 15 мм; 3 - в центре блока. Толщина блока 60 мм, температура воздуха -35 °С

График 2. Изменение температуры в блоке рыбы при замораживании в плиточном морозильном аппарате: а - блок рыбы; б - изотермы; в - изохроны: 1 - на поверхности блока; 2 - на глубине 15 мм; 3 - в центре блока. Толщина блока 60 мм, температура плит -55 °С

Итак, первый участок кривой характеризует охлаждение водного сырья, когда консервирующий эффект достигается воздействием температурного шока. В технологии замораживания, наибольший интерес, представляет, второй участок - зона наибольшего кристаллообразования. Холод при прохождении данного участка расходуется в большей степени на компенсацию теплоты льдообразования. Упорядочение структуры жидкости при кристаллизации сопряжено с уменьшением интенсивности молекулярного движения, что сопровождается освобождением значительного количества внутренней энергии, выделяющейся в виде скрытой теплоты фазового превращения из жидкого состояния в твердое. Если интенсифицировать отвод скрытой теплоты льдообразования, то можно добиться получения мелкокристаллической структуры льда в тканях рыбы (График 2). Наклон кривой замораживания на данном участке свидетельствует о постепенном снижении криоскопической температуры тканевого сока рыбы (нижняя точка около -5 °С), что связано с его концентрированием при переходе воды из жидкого состояния, в твердое. Состав веществ, входящих в жидкие ткани рыб, весьма разнообразен, но все они относятся к двум группам: водорастворимые минеральные соли (электролиты) и органические гидрофильные Они образуют в воде либо истинные растворы, либо разнообразные коллоиды (золи, гели, эмульсии, суспензии). Органические вещества с коллоидной степенью дисперсности не влияют на криоскопическую температуру. Органические растворимые вещества снижают энергию движения частиц воды, замедляют процессы диффузии и уменьшают скорость кристаллизации на 20-30 % по сравнению с чистыми растворами.

Наибольшее влияние на криоскопическую температуру оказывают электролиты, концентрация которых по мере кристаллизации воды в лед существенно возрастает.

К началу третьего этапа большая часть воды превращена в лед, и температура тела рыбы на этом этапе быстро снижается. По мере уменьшения разницы температур между продуктом и теплоотводящей средой кривая замораживания в самом конце процесса становится более пологой, что свидетельствует о снижении интенсивности теплообмена.

Если посмотреть затраты энергии на каждом участке кривой замораживания, то следует отметить, что на первом этапе расходуется 15-20, на втором около 55, третьем 20-25 % холода. Эти данные свидетельствуют о том, что наиболее энергоемким является сам процесс замораживания, т.е. фазовый переход воды в лед. Значительное уменьшение расхода холода на третьем этапе объясняется резким снижением термического сопротивления замороженной части рыбы вследствие уменьшения теплопроводности почти в 2,5 раза.

Расход холода на замораживание. Теплота, отводимая от продукта при снижении его температуры от начальной до конечной, определяет расход холода на замораживание. Эта теплота складывается из теплоты охлаждения продукта от начальной температуры до криоскопической, теплоты льдообразования, теплоты, отводимой при понижении температуры от криоскопической до средней конечной температуры мороженого продукта:

,

где Q - тепло, отводимое от рыбы при замораживании, кДж;

G - масса рыбы, кг;

Со - удельная теплоемкость рыбы при температуре выше криоскопической, кДж/(кг·К);

tн и tкр - начальная и криоскопическая температуры рыбы, °С.

tv - среднеобъемная конечная температура мороженой рыбы, °С;

w - количество вымороженной воды в рыбе при tv, кг/г;

r - удельная теплота льдообразования мороженой рыбы, кДж/(кг·К).

Известна более простая формула вычисления теплоты, отводимой от продукта при замораживании:

Q = G(iн-iк),

где (iн-iк) - разность удельных энтальпий при среднеобъемной начальной и конечной температурах, кДж/кг.

Если рыба замораживается в упаковке, то рассчитывается расход холода на охлаждение упаковки:

Qу = myCy(tн-tк),

где Qу - расход холода на охлаждение упаковки, кДж;

Cy - теплоемкость упаковочного материала, кДж/(кг·К);

tн и tк - начальная и конечная температуры упаковки, К.

Вопрос 2. Классификация посолов в зависимости от температурных условий, выход и качество продукции

Различают холодный и теплый посолы в зависимости от температуры рыбы во время посола. При холодном посоле температура рыбы и тузлука в течение всего периода посола не превышает -8…-10 °С, а начальная большей частью колеблется от -2 до +2 °С. Понижение температуры рыбы в начальный период посола достигается или предварительным осаждением ее до посола в льдосолевой смеси, или охлаждением льдосолевой смесью в момент посола непосредственно в рыбосольной посуде. Разновидностью холодного посола является охлажденный посол, при котором сырье охлаждается в посольных емкостях до температуры 0…-5 °С.

При теплом посоле температура рыбы и тузлука в течение всего периода посола обычно выше 10 °С, верхний предел ее хотя и не нормируется, но не должен превышать 15 °С, так как более высокая температура снижает качество рыбы. Понижение начальной температуры рыбы при теплом посоле не проводится. Температура производственных помещений для теплого посола практически не отличается от температуры наружного воздуха.

Холодный посол имеет преимущества перед теплым посолом: ткани рыбы при добавлении одинакового количества соли теряют меньшее количество воды, чем при теплом; автолитические и бактериальные процессы протекают более замедленно или практически приостанавливаются, что дает возможность нормально насытить ткани рыбы солью даже при значительной толщине рыбы; при высокой температуре белки мяса претерпевают глубокие изменения, теряют способность к набуханию, растворению в слабых растворах соли.

Оценка качества соленой рыбопродукции производится в соответствии с действующей нормативно-технической документацией. Выход продукции вычисляется по следующей формуле:

,

где g - выход продукции, %;

Р1 - масса рыбы до посола, ц;

Р2 - масса рыбы после посола, ц.

Вопрос 3. Классификация методов сушки и сушеной продукции

Рыбу сушат при атмосферном давлении и под вакуумом. Существует два способа сушки рыбы при атмосферном давлении: горячий и холодный.

При холодной сушке влагу из рыбы удаляют воздухом, подогретым до температуры не выше 40° С. Холодным способом сушки из пикши, трески, сайды готовят стокфиск (пресно-сушеную) и клипфиск (солено-сушеную). Также готовят визигу из хорды осетровых. Спинную струну (хорду) выдергивают из свежей рыбы, разрезают вдоль, очищают, моют и сушат. Визига используется для начинки пирогов, кулебяк.

Рыбные концентраты, а также снетка, корюшку и другую мелкую рыбу сушат при высокой температуре. Этим способом консервирования удаляют влагу из рыбы при температуре выше 100° С

Сублимационная сушка осуществляется в специальных аппаратах. Основана она на превращении воды, содержащейся в сырье, в лед с последующим превращением его в пар, минуя жидкую фазу. При этом способе сушки около 90% влаги находится в твердом состоянии, вследствие чего испарение значительного количества влаги не вызывает заметных изменений структуры обезвоживаемого материала. Сушеный продукт имеет пористую губчатую структуру, объем, примерно равный первоначальному, причем исходное положение структурных элементов как бы закрепляется. Таким образом, сублимационная сушка позволяет получать продукцию, компоненты которой практически сохраняют первоначальные свойства. При таком способе сушки сохраняются размеры, цвет, запах рыбы, питательные вещества.

В настоящее время сушеную продукцию выпускают в ограниченном количестве из-за недостатка сырья, в следующем ассортименте: сушеный снеток, корюшка, клипфиск, стокфиск, юкола, частиковая мелочь, нерыбное морское сырье.

Из сушеной рыбы вырабатывают рыбную муку, крупу, хлопья, сухари, фарш, пищевые концентраты типа ухи. Употребляют ее и в целом виде после кулинарной доработки.

рыба замораживание сушка посол

Список использованной литературы

1.      Сафронова Т.М., Богданов В.Д., Бойцова Т.М., Дацун В.Д., Ким И.Н., Ким Э.Н., Слуцкая Т.Н. Технология комплексной переработки гид- робионтов. Учебное пособие. Владивосток, Дальрыбвтуз, 2002. 511с.

.        Интернет ресурсы: Ассортимент сушеной рыбы: http://www.znaytovar.ru/new2837.html.

Похожие работы на - Технология рыбы и рыбных продуктов

 

Не нашли материал для своей работы?
Поможем написать уникальную работу
Без плагиата!
Без нейросетей!