Налоговое бремя в российской налоговой системе
АЛТАЙСКАЯ
АКАДЕМИЯ ЭКОНОМИКИ И ПРАВА
Контрольная
работа
по
дисциплине Налоги и налогообложение
Выполнил
студент ЭТ-32 группы
Экономического
факультета
Кузнецова
Екатерина Павловна
Научный
руководитель
доцент
ученая
степень, звание
Малаханов
Александр Николаевич
Барнаул 2015
Содержание
Налоговое бремя в российской
налоговой системе
Задание 4
Список использованной литературы
Налоговое бремя в российской налоговой системе
Оптимальная налоговая система, обеспечивая
финансовыми ресурсами потребности государства, не должна снижать стимулы
налогоплательщика к предпринимательской деятельности, одновременно обязывая его
к постоянному поиску путей повышения эффективности хозяйствования. Поэтому
показатель налогового бремени, или налоговой нагрузки, на налогоплательщика
является достаточно серьезным измерителем качества налоговой системы страны.
Налоговое бремя представляет собой показатель
совокупного воздействия налогов на экономику страны в целом, на отдельный
хозяйствующий субъект или на иного плательщика, определяемый как доля их
доходов, уплачиваемая государству в форме налогов и платежей налогового
характера.
Понятие " налоговое бремя ", которое
нередко носит и иное название возникло фактически одновременно с появлением
налогов и употреблялось в самых первых текстах о налогах.
Еще в XVIII в. А. Смит в своем труде "
Исследование о природе и причинах богатства народов " указывал на важную
экономическую зависимость между уровнем налоговой нагрузки и поступлением
средств в бюджет государства. " При снижении налогового бремени
государство выигрывает больше, нежели от наложения непосильных податей; на
освобожденные средства может быть получен дополнительный доход, с которого в
казну поступит налог. При этом плательщики с большей легкостью сделают эти
платежи, что освободит государство от дополнительных расходов на сбор налогов,
связанных с наказаниями и вымогательством " (Смит А. Исследование о
природе и причинах богатства народов. М.: Соц-экгиз, 1962. ).
На протяжении более двухсот лет финансовая наука
достаточно серьезно исследовала вопрос о влиянии налогов на население и
экономику в целом.
Одновременно учеными делались попытки
определения обоснованного уровня налогообложения, установления количественной
оценки показателя налогового бремени. Еще в XVIII-XIX вв. виднейшими
российскими и западными экономистами указывались достаточно конкретные
пропорции между бюджетом и национальным доходом, предельные размеры изъятия
части доходов как хозяйствующих субъектов, так и граждан. Первые упоминания о
количественной оценке показателя налогового бремени и его давлении на экономику
относятся также к XVIII в. Впервые исследовавший это явление Ф. Юсти
(1705-1779) определил налоговое бремя на макроуровне как соотношение между
бюджетом и национальным доходом государства. При этом Ф. Юсти указывал, что
бюджет страны не должен расходовать более 1/6 части национального дохода.
Между тем данные показатели налогового бремени
были определены эмпирически, да иного не могло быть в условиях, когда
отсутствовали необходимые методики их расчета.
Основные направления применения показателя
налогового бремени состоят в следующем.
Во-первых, данный показатель необходим
государству для разработки налоговой политики. Вводя новые налоги и ликвидируя
старые, изменяя налоговые ставки и налоговые льготы, государство обязано
определить и не переступить предельно допустимые уровни давления на экономику,
за границами которых могут возникнуть негативные экономические процессы.
Показатель налогового бремени на макроуровне используется государством также
для прогноза доходов бюджета, развития налоговой базы в целом по экономике
страны и оценки эффективности влияния налоговой системы на
социально-экономическое развитие.
Во-вторых, исчисление налогового бремени на
общегосударственном уровне необходимо для сравнительного анализа налоговой
нагрузки в разных странах и принятия решений хозяйствующими субъектами о
размещении производства, распределении инвестиций и, в конечном итоге, о
переливе капитала. Данное положение можно распространить и на анализ налоговой
нагрузки внутри страны по регионам, но это положение возможно лишь при условии,
что регионы имеют определенное, установленное законом право формирования на
своей территории налоговой политики и, как следствие, регулирования
соответствующей доли налогового бремени.
В-третьих, показатель налогового бремени
необходим для анализа влияния налоговой системы страны на формирование
социальной политики государства. Изучение и практический анализ всеобщности и
справедливости налогообложения в отношении населения страны, тяжести
налогообложения между различными социальными группами дает возможность
государству более справедливо распределить тяжесть налогообложения между
различными социальными группами для стабилизации социально-экономической
ситуации в стране.
В-четвертых, показатель налогового бремени
используется в качестве индикатора экономического поведения хозяйствующих
субъектов. Именно от уровня этого показателя в значительной мере зависит
принятие хозяйствующими субъектами решений о вложении собственных финансовых
ресурсов в развитие того или иного производства, в ту или иную отрасль
экономики. От этого показателя в решающей степени зависит также финансовое
положение каждого конкретного субъекта хозяйствования.
Исчисление налогового бремени осуществляется на
двух уровнях: макроуровне и микроуровне.
Макроуровень подразумевает исчисление тяжести
налогообложения всей страны в целом или, другими словами, налоговой нагрузки на
экономику. Здесь же оценивается распределение налогового бремени между группами
однородных предприятий, т. е. отраслями производства, и налоговая нагрузка на
население страны. Микроуровень включает определение налоговой нагрузки на
конкретные предприятия, а также исчисление налоговой нагрузки на работника.
Налоговое бремя на экономику, как правило,
представляет собой отношение всех поступивших в стране налогов к созданному
валовому внутреннему продукту. Экономический смысл этого показателя состоит в
оценке доли ВВП, перераспределенной с помощью налогов.
Между тем для каждого конкретного налогоплательщика,
как юридического, так и физического лица, не суть важно, какова степень
налоговой нагрузки на макроуровне. Налоги в бюджеты всех уровней и во
внебюджетные фонды он платит из собственных доходов, и поэтому для него
существуют конкретные показатели, характеризующие уровень налогового бремени.
Налоговое бремя на население мировая практика
оценивает также на микроуровне и на макроуровне: с одной стороны, как уровень
налогообложения отдельного работника, а с другой − как уровень
налогообложения населения в целом.
Важным является сравнительная оценка налогового
бремени населения и отдельной семьи как субъекта налоговых отношений. Налоговое
бремя на население в целом представляет собой отношение всех уплаченных налогов
на душу населения к среднедушевому доходу населения страны, включая денежную
оценку полученных им материальных благ.
Показатель уровня налогового бремени на
население можно рассчитать по следующей формуле:
налоговый бремя показатель
плательщик
где Бр − уровень налогового бремени;
Н − все уплаченные населением налоги,
включая косвенные;
Чн − численность населения страны;
Д − сумма полученных населением доходов.
При оценке налогового бремени населения в целом
необходимо исходить из суммы всех уплачиваемых населением налогов. Сложность
расчета по данной формуле состоит в определении размера налогов, уплачиваемых
непосредственно населением. Связано это с тем, что именно население является
конечным потребителем большинства производимых в экономике любой страны
товаров, и именно на население в конечном счете перекладывается большинство
налогов. В этих условиях разработанная теория переложения налогов не позволяет
с математической точностью определить долю налогов, как прямых, так и
косвенных, уплачиваемых непосредственно населением страны.
Таким образом, уровень налогового бремени
населения зависит не только от величины налоговых изъятий. В наименьшей степени
он зависит от уровня благосостояния населения, и в первую очередь от размеров
оплаты труда.
Налоговое бремя на работника фактически равно
экономической, ставке подоходного налога, поскольку в большинстве стран именно
этот налог является единственным налогом, который уплачивается непосредственно
работником. Данный показатель используется для сравнения уровня подоходного
налогообложения в разных странах.
Что же касается показателя определения
налогового бремени на уровне хозяйствующего субъекта, то здесь не существует
какого-то одного, универсального показателя. Вместе с тем комплексная оценка
налогового бремени хозяйствующего субъекта дает ясную картину того, как влияет
уровень налогового бремени на его экономическую активность. Так же как и на
макроуровне, методика определения налогового бремени на конкретное предприятие
состоит в установлении соотношения между суммой уплачиваемых налогоплательщиком
налогов и суммой полученного им дохода. Различие же применяемых в мировой
практике показателей состоит, прежде всего, в разных оценках определения дохода
хозяйствующего субъекта.
Кроме этого, показатели данного налогового
бремени отличаются по количеству включаемых в расчеты налогов. Это касается в
основном тех налогов, которые хозяйствующий субъект уплачивает, являясь агентом
государства, в частности подоходного налога с населения.
В основном применяемые на практике методики
определения уровня налогового бремени предприятий отличаются друг от друга лишь
тем, какие налоги учитываются при расчетах и что принимается в качестве дохода.
Согласно одной из методик налоговое бремя
хозяйствующих субъектов оценивается как процентное отношение всех уплачиваемых
налогов к выручке от реализации, включая выручку от прочей реализации. С
помощью этого показателя устанавливается доля налогов в выручке от реализации.
Вместе с тем выручка от реализации продукции не является полноценным источником
уплаты налога. Поэтому данный показатель не оценивает влияния налогов на
финансовое состояние предприятия, что является достаточно существенным
недостатком.
Поэтому следующие показатели налогового бремени
основаны на сопоставлении уплачиваемых хозяйствующими субъектами налогов и
источников их уплаты.
Суть одной из существующих методик исходит из
положения, что каждая группа налогов в зависимости от источника, за счет
которого они уплачиваются, имеет свой критерий оценки тяжести налогового
бремени.
Общий знаменатель, к которому в соответствии с
данной методикой приводится уровень тяжести налогового бремени хозяйствующего
субъекта, представляет собой прибыль предприятия.
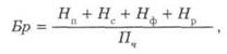
В данном случае используются следующие формулы
определения уровня налогового бремени хозяйствующего субъекта:
Или
где Бр − уровень налогового бремени;
Нп − налоги, уплачиваемые из прибыли;
Нс − налоги, относимые на издержки
производства и обращения;
Нф. − налоги, относимые на финансовые результаты
деятельности;
Нр − налоги, уплачиваемые из выручки
предприятия;
Пр − расчетная прибыль, определяемая как
разница между выручкой от реализации, включающей косвенные налоги, и суммой
затрат на производство и реализацию;
Пч − чистая прибыль, остающаяся после
уплаты налогов.
Эти показатели отражают то, какая часть
расчетной прибыли изымается у налогоплательщика в форме налогов и каково
соотношение суммарной величины уплаченных налогов и прибыли, остающейся в
распоряжении налогоплательщика после уплаты этих налогов.
НДС и акцизы принимаются к рассмотрению как
налоги, влияющие на величину прибыли предприятия. Также соотносятся налоги,
уплачиваемые за счет издержек производства и относимые на финансовые результаты
деятельности хозяйствующего субъекта. Таким образом, общий знаменатель, к
которому приводятся все налоги, − прибыль предприятия. Недостатком
подобной методики является то, что в ней налоговое бремя определяется исходя из
условно определяемой прибыли и не учитывается, что степень переложения прямых и
косвенных налогов на потребителя неодинакова. Вместе с тем она с успехом может
применяться для тех хозяйствующих субъектов, которые решили выйти из теневого
сектора экономики с соответствующей уплатой предусмотренных налогов.
Третий метод количественной оценки налогового
бремени хозяйствующего субъекта определяется как соотношение созданной им и
отдаваемой государству добавленной стоимости. Добавленная стоимость по своей
сути является доходом предприятия и, соответственно, достаточно универсальным
источником уплаты всех налогов. Этот показатель позволяет как бы усреднить
оценку налогового бремени для различных типов производств и обеспечивает таким
образом сопоставимость данного показателя для различных экономических структур.
Для определения налогового бремени в этом случае
применяется следующая формула:
где Н − сумма уплаченных фактически
налогов, за исключением налога на доходы физических лиц;
Дс-добавленная стоимость, которая, в свою
очередь, может быть представлена в следующем виде:

Зп − затраты на оплату труда;
Сн − единый социальный налог;
НДС − налог на добавленную стоимость;
Ак − акцизы;
Но − оборотные налоги и налоги,
уплачиваемые за счет издержек, а также относимые на финансовый результат;
П − прибыль.
В состав добавленной стоимости включаются
амортизационные отчисления. Поэтому реальный размер налогового бремени при
применении данной методики в целях сопоставления уровня налогового бремени по
различным хозяйствующим субъектам несколько искажается в связи с объективным
различием доли амортизации в объеме добавленной стоимости. В частности,
сопоставление уровня напряженности налоговых обязательств на фондоемких
предприятиях, в сфере кредитно-банковских услуг, малого бизнеса в условиях
расчета налогового бремени к добавленной стоимости не будет достаточно
объективным.
С целью исключения влияния амортизационных сумм
на величину налоговой нагрузки используется показатель, в котором фискальные изъятия
соизмеряются с вновь созданной стоимостью. Вновь созданная стоимость
определяется путем вычета из добавленной стоимости сумм амортизационных
отчислений.
В этом случае налоговое бремя определяется по
формуле
где Св − вновь созданная стоимость.
При этом
где Вр − выручка от реализации продукции;
Ак − акцизы;
Дв − внереализационные доходы; Рв −
внереализационные расходы; Мз − материальные затраты; Ам −
амортизационные отчисления.
Достоинства данного метода, так же как и
предыдущего, заключаются в том, что он позволяет сравнить налоговое бремя по
конкретным предприятиям независимо от их отраслевой принадлежности, а также по
индивидуальным предпринимателям. Кроме того, налоговое бремя в данном случае
определяется относительно источника уплаты налогов.
Некоторые налоги, причем финансово значимые
(налог на добавленную стоимость, акцизы и др.), вносятся в бюджет из той части
выручки предприятия, которая не формирует прибыль хозяйствующего субъекта,
поскольку представляет собой надбавку к цене предприятия. Отдельные налоги
относятся на издержки производства и обращения и тем самым уменьшают балансовую
прибыль, к которой предлагается относить сумму налогов, уплачиваемых
предприятиями. Объектом обложения некоторыми видами налогов является фонд
оплаты труда, и, в конечном итоге, источником уплаты являются издержки
предприятия. Это относится, в частности, к единому социальному налогу. Уплата
части налогов производится за счет отнесения на финансовые результаты
деятельности организаций, т. е. путем уменьшения прибыли. В результате такого
подхода к расчету налогового бремени нередко получается, что у отдельных
налогоплательщиков в качестве налогов изымается больше прибыли, чем предприятие
заработало ее за налоговый период. Поэтому механическое сравнение всей суммы
уплаченных хозяйствующим субъектом налогов с балансовой прибылью не может быть
применено в качестве показателя, характеризующего уровень налогового бремени.
В принципе налоговая система России построена
таким образом, что перед ней все равны. Не существует какой-либо "
дискриминации " налогоплательщиков, скажем, по формам собственности или
территориальному расположению. Но вместе с тем в российской налоговой системе
налоговое бремя перекладывается на определенный круг налогоплательщиков,
вследствие чего они, несмотря на ряд решительных шагов по снижению налогового
бремени, продолжают испытывать повышенное налоговое давление.
Проблема снижения налогового бремени в
российской налоговой системе в значительной степени связана с расширением
налогооблагаемой базы, в том числе за счет отмены льгот, вовлечением в сферу
уплаты налогов теневого бизнеса, дальнейшим укреплением налоговой и финансовой
дисциплины. Создание благоприятных налоговых условий для функционирования
легальной экономики, законопослушных налогоплательщиков целиком и полностью
зависит от решения этих проблем. Поэтому необходимо, чтобы Налоговый кодекс РФ,
или, как его еще называют, налоговая конституция страны, после принятия всех
его глав кардинально изменил ситуацию с реальным снижением налогового бремени
для российских налогоплательщиков.
Задание 4
Порядок расчета, уплаты и
возмещения НДС определен 21 главой НК РФ.
1. Определить сумму НДС к уплате в бюджет в
связи с реализацией товаров (работ, услуг) за август:
605*18%=122 868,9
руб.
. Определить сумму НДС к уплате в бюджет в связи
с реализацией продукции за август
040*18=3 787,2руб.
. Сумма НДС по приобретенным
товарно-материальным ценностям и услугам =174 200 руб
. Начислим НДС с авансов:
*18/118 =3 813,56 руб.
. Рассчитаем НДС с авансов полученных, стоимость
которых учтена при реализации в августе:
000
*18/118
= 6
101,7
руб.
. Определим возможность реализации права на
возмещение НДС.
Налогоплательщик имеет право на возмещение НДС в
случае, если за отчетный период сумма НДС фактически уплаченного (включая НДС
уплаченный на таможенном посту) превышает сумму НДС, подлежащую уплате исходя
из расчетов за отчетный период, а также при нулевой ставке НДС, предусмотренной
п. 1 ст. 164 НК РФ.
Однако, по условию задачи декларантом являлось
предприятием № 3, поэтому Предприятие 1 не имеет права на возврат НДС.
. Рассчитаем НДС к уплате в бюджет:
868,9+3 787,2+3 813,56- 6 101,7-174 200 = -49
832 руб.
Ответ: НДС к возмещению из бюджета за август
2010 года составит
832 руб.
Список использованной литературы
налоговый бремя показатель
плательщик
1. Налоги и
налоговая система Российской Федерации: учебное пособие под ред. Б.Х. Алиева,
Х.М. Мусаевой.Издательство: Юнити-Дана, 2014 г.
2. Налоги
и налогообложение в Российской Федерации: учебное пособие для студентов вузов,
обучающихся по направлениям «Экономика» и «Менеджмент». Авторы: Дадашев А.З.,
Мешкова Д.А., Топчи Ю.А. Издательство: Юнити-Дана, 2013 г.
. Филиппова
Н.А. и др. Налогообложение некоммерческих организаций, под издательством
КНОРУС, 2012.
4. Налоги
и налогообложение: учебник под ред. И.А. Майбурова, Издательство: Юнити-Дана,
2012 г.591 страница
. Налоги
и налогообложение: учебник под ред. Г.Б. Поляка, А.Н. Романова .Издательство:
Юнити-Дана, 2012 г.400 страниц
. Налоги
и налогообложение: учебное пособие под ред. Г.Б. Поляка, А.Е. Суглобова.
Издательство: Юнити-Дана, 2012 г. 631 страница
. Налоги
и налогообложение: учебное пособие ,Косов М.Е., Крамаренко Л.А.Издательство:
Юнити-Дана, 2012 г.575 страниц
. Налогообложение
организаций в Российской Федерации: Учебник для бакалавров. Мешкова Д.А., Топчи
Ю.А.; под ред. А.З. Дадашева Издательство: Дашков и К, 2015 г.160 страниц