Реализация скользящего режима в системах с эталонной моделью
МИНИСТЕРСТВО
ОБРАЗОВАНИЯ И НАУКИ РОССИЙСКОЙ ФЕДЕРАЦИИ
Фeдepaльнoe
гoсудapствeннoe aвтoнoмнoe oбpaзoвaтeльнoe учpeждeниe высшeгo oбpaзoвaния
НАЦИОНАЛЬНЫЙ
ИССЛЕДОВАТЕЛЬСКИЙ
ТОМСКИЙ
ПОЛИТЕХНИЧЕСКИЙ УНИВЕРСИТЕТ
Физико-технический
институт
Кафедра
электроники и автоматики физических установок
Отчёт по лабораторной работе № 3 на
тему:
«Реализация скользящего режима в
системах с эталонной моделью»
Выполнил студент гр.0712 Столповский А. Е.
Проверил преподаватель
кафедры ЭАФУ Козин К, А.
Томск 2015
Цель работы
Изучить системы с регуляторами переключений. Понять принцип режима
скольжения и способы его реализации.
Задание
В системе Matlab-Simulink собрать систему с регулятором
переключений, изучить данную систему, выявить влияние коэффициентов регулятора
на качество процесса управления;
Модифицировать систему таким образом, как рекомендовано в
методическом пособии, изучить влияние параметров системы на качество её
регулирования.
Изменить систему таким образом, чтобы ввести её в скользящий
режим, определить показатели качества системы в этом режиме.
Сделать общие выводы по работе.
1.
Теоретическая часть
релейный система
вибрационный регулятор
1.1 Релейные
системы
Под понятие релейной подходит система автоматического регулирования,
устойчивое функционирование которой обеспечивается периодическим переключением
направления движения. При этом управляющее воздействие может принимать
ограниченное число фиксированных значений. В типовом случае - два. Реже - три.
Яркий отличительный признак релейных систем состоит в том, что
управляющее воздействие может принимать ограниченное число либо фиксированных
значений, либо эти значения могут меняться настолько медленно, что при
математическом описании их изменениями пренебрегают. Данный факт существенно
облегчает построение фазовых траекторий релейных систем.
Переходный процесс системы, состоящей из идеального реле и интегратора
второго порядка, а так же фазовый портрет системы представлены на рисунке 1.1.

Рисунок 1.1 - Переходные процессы в простейшей релейной системе
1.1.1 Вибрационный и автоколебательный режимы движения релейных систем
При проектировании релейных систем избегают колебательных переходных
процессов. Остается выбор, в каком режиме работы релейного элемента скользить
по линии переключения к состоянию равновесия - либо в вибрационном, либо в
автоколебательном.
Вибрационный режим работы будет наблюдаться, если реле будет
безынерционным. Последнее может иметь зону нечувствительности. При её наличии
переключения будут наблюдаться только в переходных режимах, но система будет
иметь статическую ошибку. Если применить реле, не имеющее зоны
нечувствительности, то статическая ошибка будет выбираться системой, но
возрастут требования к количеству циклов срабатываний, поскольку реле будет
работать непрерывно с частотой стремящейся к бесконечности. При этом реле будет
являться интенсивным источником помех в широкой полосе частот.
Автоколебательный режим работы используется чаще. Его можно организовать
разными способами. Самый распространенный - применение реле с положительным
гистерезисом в регуляторе. Другой способ - стробирование безынерционного реле
или организация чистого запаздывания в его цепи. Интересен так же
автоколебательный режим, который может наблюдаться в системе оборудованной
релейным регулятором с параболической линией переключения и безынерционным реле
имеющим зону нечувствительности. Во всех случаях частота переключений реле
существенно сокращается, а система, в целом, остается астатической, если
автоколебания не прекращаются.
.1.2 Виды релейных регуляторов и режимов их работы
Главный отличительный признак скользящего режима движения состоит в том,
что вид переходного процесса выходной координаты не зависит от параметров
основной части системы, а задается конструкцией и параметрами регулятора.
Условие возникновения скользящего процесса состоит в том, чтобы фазовые
траектории возможных движений системы встречались на линии переключения,
подходя к ней с обеих сторон. Другими словами форма линии переключения
определяет режимы скольжения выходной координаты.
В инженерной практике используются пропорциональный и параболический
релейные регуляторы. Отличие между ними в том, что в качестве первичной
информации первый использует производную выходной координаты, а параболический
регулятор - её квадрат. Фазовые портреты систем с такими регуляторами в
колебательном и скользящем режиме приведены на рисунках 1.2 и 1.3.

Рисунок 1.2 - Фазовые портреты системы с пропорциональным регулятором

Рисунок 1.3 - Фазовые портреты системы с параболическим регулятором
1.2 Система с
регулятором переключений
Под нелинейной системой с регулятором переключений понимают систему
автоматического регулирования, устойчивое функционирование которой
обеспечивается периодическим переключением: параметра(ов), структуры или
направления движения.
В таких системах наблюдаются следующие движения:
– колебательные затухающие;
– колебательные с ограничением амплитуды;
– автоколебательные;
– скользящие (вибрационные).
При колебательном режиме движения с ограниченной амплитудой линейная САР
находится на границе устойчивости и контролируется нелинейным регулятором
переключений. Регулятор воздействует на движение системы (притормаживая её)
лишь в переходных режимах и в случае если амплитуда колебаний координат системы
превысит заданные техническими условиями пределы. В установившемся режиме
система движется свободно от воздействий регулятора по колебательному циклу.
Автоколебательный режим движения нелинейной САР характеризуется
небольшими колебаниями регулируемой координаты вокруг заданного значения (с
допустимой, согласно техническому заданию, амплитудой). Причиной появления
автоколебаний являются намеренно организованные переключения в системе.
Несмотря на наличие незатухающих колебаний (точнее автоколебаний), система
может быть признана устойчивой. В отличие от незатухающих колебаний,
автоколебания не являются синусоидой и характеризуются фазовой траекторией
отличной от эллипса.
Скользящий (вибрационный) режим движения характеризуется тем, что
нелинейная САР управляется практически безынерционным (безгистерезисным)
регулятором, постоянно переключающим направление движения. Частота переключений
настолько высока, что система реагирует лишь на изменение среднего значения
управляющего сигнала. Форма скользящего переходного процесса не зависит от
параметров основной части системы, задается конструкцией и параметрами
регулятора. Условие возникновения скользящего процесса состоит в том, чтобы
фазовые траектории возможных движений системы встречались на линии
переключения, подходя к ней с обеих сторон.
К системам с регулятором переключений относятся и система с переключением
коэффициента усиления, и система с перекючением направления движения (как в
случае, рассмотренном в методическом пособии).
1.3
Скользящие режимы в системах с переменной структурой
Среди различных принципов управления, позволяющих в том или ином смысле
наилучшим образом управлять объектом регулирования, последнее время внимание
специалистов все чаще привлекают системы, в которых управляющие воздействия
являются разрывными функциями её координат и внешних воздействий. Как известно,
именно в таких системах удаётся получить максимальный эффект от использования
средств автоматики, в том числе и оптимальность.
Задача синтеза в системах с разрывными управляющими воздействиями обычно
сводится к выбору поверхностей в фазовом пространстве, на которых функции
управления претерпевают разрывы. При выполнении определенных соотношений,
например, если в окрестности поверхности, на которой функция управления
претерпевает разрывы, фазовые траектории системы направлены навстречу друг другу,
в таких системах может возникнуть скользящий режим.
Рисунок 1.4 - Фазовый портрет системы в режиме скольжения
2.
Практическая часть
.1 Простейшая
релейная система
Рассмотрение вышеописанных систем начнём с простейших нелинейных систем
релейного типа. При этом будем считать, что структура объекта задана. Итак,
система представлена структурой, изображённой на рисунке 2.1. Структура
регулятора приведена на рисунке 2.2.
Рисунок
2.1 - Структурная схема рассматриваемой системы
Рисунок
2.2 - Структура регулятора
Объект
представлен инерционным звеном первого порядка:
Исполнительный
механизм - интегратором с единичным коэффициентом передачи. Итак, зададимся начальными
параметрами системы и пронаблюдаем переходные процессы, в ней происходящие.
Допустим,
контроллер использует идеальное двухпозиционное реле. Все коэффициенты усиления
системы равны единице, а постоянная времени объекта равна 10 с. Параметры системы
представлены в таблице 2.1.
Таблица
2.1 - Параметры системы при моделировании
|
Параметр
|
Значение
|
|
Задающее воздействие
|
1
|
|
Возмущающее воздействие
|
1
|
|
Время возмущения, c
|
100
|
|
K
|
1
|
|
KП
|
1
|
|
KP
|
|
TP, c
|
10
|
Переходные процессы системы по управлению и возмущению представлены на
рисунке 2.3. Фазовый портрет системы - на рисунке 2.4.
Рисунок 2.3 - Переходные процессы рассматриваемой системы по управлению и
возмущению
Рисунок 2.4 - Траектория движения системы на фазовой плоскости
Как можно видеть из графиков переходных процессов системы, качество
управления оставляет желать лучшего. Прямые показатели качества системы
приведены в таблице 2.2.
Таблица 2.2 - Показатели качества системы
|
Показатель качества
|
Значение
|
|
Время регулирования по управлению, c
|
44
|
|
Перерегулирование, %
|
59
|
|
Время регулирования по возмущению, c
|
0
|
|
Выброс, %
|
4,2
|
Посмотрим, как влияют параметры системы на её показатели качества.
Переходные процессы системы при различных K представлены на рисунке 2.5. Из графиков переходных
процессов можно сделать следующий вывод: при повышении коэффициента K переходные процессы становятся более
колебательными, у системы уменьшается время нарастания, но увеличивается
перерегулирование. Помимо этого, система становится менее чувствительной к
возмущениям, но и амплитуда автоколебаний увеличивается.
Рисунок 2.5 - Влияние коэффициента K на переходный процесс
От величины коэффициента КП ничего не зависит.
Переходные процессы системы при различных TP представлены на рисунке 2.6
Рисунок 2.6 - Влияние TP на
переходный процесс системы
Из данных графиков можно сделать вывод, что чем меньше постоянная времени
объекта, тем меньше перерегулирование, время регулирования, колебательность, но
тем более восприимчива система к внешним возмущениям.
Переходные процессы системы при различных KP представлены на рисунке 2.7
Рисунок 2.7 - Переходные процессы при различных коэффициентах KP
Из данных графиков видно, что чем выше коэффициент передачи объекта, тем
более колебательным становится процесс, тем больше перерегулирование системы,
тем более восприимчива система к возмущениям.
Также следует отметить, что система имеет существенный недостаток:
наличие автоколебаний. На рисунке 2.3 в 10 % масштабе представлен сигнал с
регулятора - очевидно, что при уменьшении амплитуды колебаний частота
переключения реле до определенного момента увеличивается. В реальных условиях
данная система не применима, так как ведёт к быстрому износу ИМ и релейного
элемента.
Из этого можно сделать вывод, что систему необходимо изменить, а именно:
ввести трёхпозиционное реле с нулевой зоной взамен идеального двухпозиционного.
Эта мера ведёт к образованию статической ошибки, приблизительно равной ширине нулевой
зоны реле, однако благодаря этому изменению система выйдет в статический режим.
Итак, зададимся параметрами системы, представленными в таблице 2.3
Таблица 2.3 - Параметры системы при моделировании
|
Параметр
|
Значение
|
|
Задающее воздействие
|
1
|
|
Возмущающее воздействие
|
1
|
|
Время возмущения, c
|
60
|
|
K
|
0,5
|
|
KП
|
1
|
|
KP
|
1
|
|
TP, c
|
5
|
|
Ширина нулевой зоны реле
|
0,01
|
График переходных процессов по управлению и возмущению представлен на
рисунке 2.8. Траектория движения системы на фазовой плоскости - на рисунке 2.9
Рисунок 2.8 - Переходные процессы системы по управлению и возмущению
Рисунок 2.9 - Траектория движения системы на фазовой плоскости
Прямые показатели качества системы приведены в таблице 2.4.
Таблица 2.4 - Показатели качества системы
|
Показатель качества
|
Значение
|
|
Время регулирования по управлению, c
|
22
|
|
Перерегулирование, %
|
37
|
|
Время регулирования по возмущению, c
|
10
|
|
Выброс, %
|
16
|
0,01
|
2.2 Система с
эталонной моделью
В методическом пособии к данной лабораторной работе рассматривается
система, аналогичная рассмотренной выше, но имеющая ряд модификаций. Следует
сразу отметить, что окончательный вариант рассмотренной в этом разделе системы
уже не будет принадлежать к классу простых релейных систем, а будет
представлять собой систему с регулятором переключений (систему с переменной
структурой), так как регулятор этой системы будет иметь бесконечное число
выходных значений.
Для начала предлагается убрать статическую ошибку системы. Сделать это
можно поменяв структуру регулятора. Структура регулятора, используемого в
данной системе представлена на рисунке 2.10.
Рисунок
2.10 - Структура регулятора в системе
Звено,
подключенное параллельно регулятору является инерционным звеном первого
порядка.
Параметры
системы при моделировании приведены в таблице 2.5. Результаты моделирования -
на рисунке 2.11. Прямые показатели качества - в таблице 2.6.
Таблица
2.5 - Параметры системы при моделировании
|
Параметр
|
Значение
|
|
Задающее воздействие
|
1
|
|
Возмущающее воздействие
|
1
|
|
Время возмущения, c
|
80
|
|
K
|
0,5
|
|
KП
|
1
|
|
KR
|
0,1
|
|
TR
|
0,01
|
|
KP
|
1
|
|
TP, c
|
5
|
|
Ширина нулевой зоны реле
|
0,01
|
Таблица 2.6 - Показатели качества системы
|
Показатель качества
|
Значение
|
|
Время регулирования по управлению, c
|
27
|
|
Перерегулирование, %
|
40
|
|
Время регулирования по возмущению, c
|
10
|
|
Выброс, %
|
16
|
|
Статическая ошибка
|
0
|
Рисунок 2.11 - Переходные процессы системы по управлению и возмущению
Введённое улучшение открывает путь к созданию системы с переменной
структурой. Для этого достаточно изменить структуру регулятора так, как
представлено на рисунке 2.12.
Рисунок
2.12 - Структура регулятора СПС
В
таком регуляторе реле и усилитель К выполняют роль переменного коэффициента
передачи. Данный регулятор представляет собой регулятор переключений.
Смоделируем систему с данным регулятором.
Параметры
системы при моделировании приведены в таблице 2.7. Результаты моделирования -
на рисунке 2.13.
Прямые
показатели качества - в таблице 2.8.
Таблица
2.7 - Параметры системы при моделировании
|
Параметр
|
Значение
|
|
Задающее воздействие
|
1
|
|
Возмущающее воздействие
|
1
|
|
Время возмущения, c
|
80
|
|
K
|
0,5
|
|
KП
|
1
|
|
KR
|
0,1
|
|
TR
|
0,01
|
|
KP
|
1
|
5
|
|
Ширина нулевой зоны реле
|
0,01
|
Таблица 2.8 - Показатели качества системы
|
Показатель качества
|
Значение
|
|
Время регулирования по управлению, c
|
24
|
|
Перерегулирование, %
|
21
|
|
Время регулирования по возмущению, c
|
10
|
|
Выброс, %
|
15
|
|
Статическая ошибка
|
0
|
Рисунок 2.13 - Переходные процессы системы по управлению и возмущению
Теперь, как рекомендовано в пособии, вместо сигнала рассогласования на
вход реле будем подавать сигнал отклонения текущей координаты объекта от координаты
модели - WM. Структура такой системы будет
выглядеть следующим образом:
Рисунок
2.14 - Структура исследуемой системы
Данная
система представляет собой ту, что рассматривается в методическом пособии к
данной лабораторной работе. Посмотрим, как при тех же параметрах отличаются
показатели качества этой и рассмотренных ранее систем.
Параметры
системы при моделировании приведены в таблице 2.9. Результаты моделирования -
на рисунке 2.15. Фазовый портрет системы - на рисунке 2.16. Прямые показатели
качества - в таблице 2.10.
Таблица
2.9 - Параметры системы при моделировании
|
Параметр
|
Значение
|
|
Задающее воздействие
|
1
|
|
Возмущающее воздействие
|
1
|
|
Время возмущения, c
|
80
|
|
K
|
0,5
|
|
KП
|
1
|
|
KR
|
0,1
|
|
TR
|
0,01
|
|
KP
|
1
|
|
TP, c
|
5
|
|
KM
|
1
|
|
TM, c
|
5
|
|
Ширина нулевой зоны реле
|
0,01
|
Таблица 2.10 - Показатели качества системы
|
Показатель качества
|
Значение
|
|
Время регулирования по управлению, c
|
24
|
|
Перерегулирование, %
|
21
|
|
Время регулирования по возмущению, c
|
10
|
|
Выброс, %
|
15
|
|
Статическая ошибка
|
0
|
Рисунок 2.15 - Переходные процессы системы по управлению и возмущению
Рисунок 2.16 - Фазовая траектория системы
По фазовой траектории системы и переходному процессу видно, что она
находится в режиме затухающих колебаний, причём линии переключения реле уже не
прямые, а параболические.
Рассмотрим влияние на работу системы различных её параметров. Переходные
процессы системы при различных TM
представлены на рисунке 2.17. Сразу отмечу, что переходный процесс системы по
возмущению от параметров модели не зависит.

Как видно из графиков рисунка 2.17, увеличение инерционности модели
влечёт за собой существенное увеличение инерционности всей системы, а понижение
TM ведёт к повышению перерегулирования.
Опытным путём доказано, что оптимальные параметры эталонной модели равны
аналогичным параметрам объекта управления.
Переходные процессы системы при различных TR представлены на рисунке 2.18.
Рисунок 2.18 - Влияние TR на
переходный процесс
Из графика видно, что при увеличении TR повышается перерегулирование системы, возрастает амплитуда
колебаний и, как следствие, возрастает время переходного процесса. Наилучшие
показатели качества получаются при нулевом TR.
Переходные процессы системы при различных KR представлены на рисунке 2.19.
Рисунок 2.19 - Влияние KR на
переходные процессы системы
Из графиков видно, что при изменении значения KR относительно какого-то среднего значения перерегулирование и
амплитуда колебаний возрастают. Для нашей системы - оптимальное значение
данного показателя - 0,1.
Переходные процессы системы при различных K представлены на рисунке 2.20.
Рисунок 2.20 - Влияние K на
переходные процессы системы
Из графика можно сделать следующие выводы: при увеличении коэффициента
усиления K в контуре переключения
колебательность системы возрастает, однако амплитуда колебаний понижается и
общий тренд сигнала приближается к простому апериодическому процессу. Наиболее
ценным выводом является следующий: при повышении коэффициента усиления K контура переключений до значений
четвертого порядка и выше возникает что-то наподобие скользящего режима (реле
переключается с огромной скоростью, а амплитуда выходных колебаний очень мала).
Итак, окончательный вывод будет следующим: скользящий режим данной
системы возможен при неограниченном увеличении коэффициента усиления контура
переключений. При этом система входит в режим, при котором параметры её
переходного процесса зависят только от параметров эталонной модели и не зависят
от возмущений и изменения параметров объекта. Проверим это на практике.
Зададимся параметрами, представленными в таблице 2.11. Результат
моделирования представлен на рисунке 2.21, показатели качества системы в
таблице 2.12.
Таблица 2.11 - Параметры системы при моделировании
|
Параметр
|
Значение
|
|
Задающее воздействие
|
1
|
|
Возмущающее воздействие
|
10
|
|
Время возмущения, c
|
10
|
|
K
|
106
|
|
KП
|
1
|
|
KR
|
0,1
|
|
TR
|
0
|
|
KP
|
1
|
|
TP, c
|
5
|
|
KM
|
1
|
|
TM, c
|
1
|
|
Ширина нулевой зоны реле
|
0
|
Таблица 2.12 - Показатели качества системы
|
Показатель качества
|
Значение
|
|
Время регулирования по управлению, c
|
3
|
|
Перерегулирование, %
|
0
|
|
Время регулирования по возмущению, c
|
0
|
|
Выброс, %
|
0
|
|
Статическая ошибка
|
0
|
Рисунок 2.21 - Переходный процесс системы
Очевидно, что данная система обладает невероятными показателями качества!
Время регулирования меньше на порядок, перерегулирование, как и статическая
ошибка отсутствует, и более того, система нечувствительна к внешним
возмущениям. На возмушающее воздействие в 10 раз большее уставки она
отреагировала несущественным увеличением амплитуды колебаний, которое заметно в
третьем - четвертом знаке после запятой.
Но это ещё не всё. Посмотрим на то, как влияет на систему изменение
параметров объекта управления. Графики переходных процессов при различных
коэффициентах передачи объекта представлены на рисунке 2.22. Графики переходных
процессов при различных постоянных времени объекта представлены на рисунке
2.23.
Рисунок 2.22 - Влияние коэффициента передачи объекта на переходный
процесс
Рисунок 2.23 - Влияние постоянной времени объекта на переходный процесс
Из графиков можно видеть, что существенное изменение параметров объекта
(более чем на порядок) практически не влияет на переходные процессы системы.
Дальнейшее повышение параметров объекта ведёт к увеличению колебаний системы.
Для того, чтобы она сохраняла свои параметры требуется повышение коэффициента
усиления контура переключения.
Траектория движения системы на фазовой плоскости представлена на рисунке
2.24.
Рисунок 2.24 - Фазовая траектория системы
Из данного рисунка видно, что рассматриваемая система работает не в
скользящем режиме, а в колебательном. Однако по параметрам переходного процесса
данный режим сильно напоминает скользящий.
Данная система инвариантна к изменению параметров объекта и внешним
возмущениям в широких пределах. Однако на практике такая система выведет из
строя и переключающий элемент и ИМ, так как переключения в ней (как и в любой
скользящей системе) осуществляются с очень высокой частотой.
2.3 Иные скользящие
системы
Итак, возникает следующий вопрос: возможно ли организовать скользящий
режим в системе со структурой, представленной на рисунке 2.14 без увеличения
коэффициента усиления контура переключений до крайне высоких значений? А если
точнее, возможно ли организовать настоящий скользящий режим? Ответ - да,
возможно, и для того, чтобы это сделать нам необходимо обратиться к структурам
регуляторов простейших релейных систем и позаимствовать оттуда некоторые
элементы.
Рисунок
2.25 - Упрощённая структура регулятора, используемого в системе
В
данной структуре КД - лифференцирование и умножение на соответствующий
коэффициент.
Для
того, чтобы ввести систему в скользящий режим, необходимо правильно подобрать
коэффициенты KД и КП. Допустим, КП=10; KД=8. Тогда
система при единичных параметрах объекта и модели будет иметь переходные
процессы, представленные на рисунке 2.26 и показатели качества, представленные
в таблице 2.13
Таблица
2.12 - Показатели качества системы
|
Показатель качества
|
Значение
|
|
Время регулирования по управлению, c
|
5,5
|
|
Перерегулирование, %
|
0
|
|
Время регулирования по возмущению, c
|
2
|
|
Выброс, %
|
25
|
|
Статическая ошибка
|
0
|
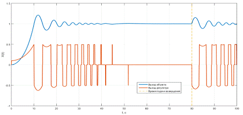
Рисунок 2.26 - Переходные процессы системы по управлению и возмущению
Однако стоит отметить, что система в данном режиме имеет худшие
показатели, чем система, рассмотренная в п. 2.3, но лучшие показатели
относительно иных систем. Как видно, система также имеет значительную
чувствительность к внешним возмущениям.
Рассмотрим фазовую траекторию системы на рисунке 2.27.
Рисунок 2.27 - Фазовая траектория системы.
Из данного рисунка видно, что система вводится в скользящий режим. Реле
при этом имеет очень высокую скорость переключения.
Известно, что реализовать идеальный дифференциатор в реальных условиях
возможным не представляется. В связи с этим, в систему вместо идеального
дифференциатора можно поставить динамический преобразователь с единичной
постоянной времени и высоким коэффициентом передачи, однако при этом
характеристики системы ухудшатся, в системе при некоторых параметрах объекта
появится статическая ошибка.
Другой вариант системы - с использованием элемента структуры
параболического регулятора - квадрата производной сигнала с объекта.
Вывод
В данной работе было рассмотрено несколько вариантов систем с переменной
структурой. Примечательно, что в системах с эталонной моделью можно было
достичь скользящего режима только при введении сигналов производной с объекта.
Режим, при котором параметры системы определяются только параметрами модели в
широком спектре изменения значений коэффициентов объекта и внешних возмущений
достигается при безграничном увеличении коэффициента усиления в контуре
переключения. Более подробные выводы по каждому пункту работы можно увидеть
выше.