Реализация модуля управления климатом в промышленной автоматике

  • Вид работы:
    Дипломная (ВКР)
  • Предмет:
    Информатика, ВТ, телекоммуникации
  • Язык:
    Русский
    ,
    Формат файла:
    MS Word
    2,91 Мб
  • Опубликовано:
    2015-06-20
Вы можете узнать стоимость помощи в написании студенческой работы.
Помощь в написании работы, которую точно примут!

Реализация модуля управления климатом в промышленной автоматике

СОДЕРЖАНИЕ

ВВЕДЕНИЕ

1.      ТЕХНИЧЕСКОЕ ЗАДАНИЕ        

.1      Наименование, шифр, и основание для выполнения ДП

1.2    Цели, задачи, назначение ДП       

1.3    Технические требования

1.4    Показатели назначения       

1.5    Требования к надёжности

1.6    Требования к технологичности

1.7    Требования к уровню унификации и стандартизации      

1.8    Требования к безопасности и экологии 

1.9    Требования к патентной чистоте

1.10  Требования к маркировке и упаковке

2. АНАЛИЗ ТЕХНИЧЕСКОГО ЗАДАНИЯ И ОСНОВНЫЕ ТЕХНИЧЕСКИЕ ТРЕБОВАНИЯ К РАЗРАБАТЫВАЕМОЙ КОНСТРУКЦИИ

2.1    Обзор аналогичных разработок устройства

2.1.1 Терморегулятор программируемый Oshland M3.161     

.1.2   Термостат E91/PR-111S

.1.3   Smart-BUS SB-DN-HVAC модуль управления климатом

2.1.4 Регулятор температуры Salus RT 500 RF      

2.2    Анализ технического задани

2.3    Принцип действия модуля управления климатом в промышленной автоматике 

2.4    Разработка схемы электрической структурной       

3.      ВЫБОР И ОБОСНОВАНИЕ ЭЛЕМЕНТНОЙ БАЗЫ И МАТЕРИАЛОВ КОНСТРУКЦИИ ПОРТАТИВНОГО УСТРОЙСТВА     

3.1    Выбор элементной базы устройства

3.2    Разработка схемы электрической принципиальной

4.      РАЗРАБОТКА КОНСТРУКЦИИ ПЕЧАТНОГО УЗЛА

. ОБОСНОВАНИЕ ВЫБОРА СРЕДСТВ АВТОМАТИЗИРОВАННОГО ПРОЕКТИРОВАНИЯ

6.      КОНСТРУКТОРСКИЕ РАСЧЁТЫ       

6.1    Ширина проводников печатной платы

6.2    Расчёт по постоянному току

6.3    Расчёт по переменному току

7.      ТЕХНИКО-ЭКОНОМИЧЕСКОЕ ОБОСНОВАНИЕ МОДУЛЯ УПРАВЛЕНИЯ КЛИМАТОМ В ПРОМЫШЛЕННОЙ АВТОМАТИКЕ   

7.1    Краткая экономическая характеристика проектируемого устройства

ЗАКЛЮЧЕНИЕ

СПИСОК ИСПОЛЬЗОВАННЫХ ИСТОЧНИКОВ


ВВЕДЕНИЕ

В данном дипломном проекте будет показана реализация модуля управления климатом в промышленной автоматике. Данный модуль является наиболее удобным в эксплуатации, дешёвым из-за использования недорогой элементной базы и использования готовых блоков.

Модуль управления может применяться в производственных помещениях, таких как серверная или других помещениях, где необходимо поддержание определенной температуры и влажности.

Серверная комната (серверное помещение или просто серверная) - выделенное технологическое помещение со специально созданными и поддерживаемыми условиями для размещения и функционирования серверного и телекоммуникационного оборудования. Допустимая температура в серверном помещении должна быть 15°С - 25°С, рекомендованная 18°С - 22°С, для этого необходимо кондиционирование воздуха <https://ru.wikipedia.org/wiki/%D0%9A%D0%BE%D0%BD%D0%B4%D0%B8%D1%86%D0%B8%D0%BE%D0%BD%D0%B8%D1%80%D0%BE%D0%B2%D0%B0%D0%BD%D0%B8%D0%B5_%D0%B2%D0%BE%D0%B7%D0%B4%D1%83%D1%85%D0%B0>. Влажность воздуха <https://ru.wikipedia.org/wiki/%D0%92%D0%BB%D0%B0%D0%B6%D0%BD%D0%BE%D1%81%D1%82%D1%8C_%D0%B2%D0%BE%D0%B7%D0%B4%D1%83%D1%85%D0%B0> в серверной должна быть в пределах от 20 % до 80 % без конденсации влаги; скорость изменения влажности 6 % в час. 

В дипломном проекте будут описаны средства автоматизированного проектирования, такие как Altium Designer 15.0 и AutoCad 2016.


1.ТЕХНИЧЕСКОЕ ЗАДАНИЕ

.1      Наименование, шифр, и основание для выполнения ДП

Разработка модуля управления климатом в промышленной автоматике.

Основанием для разработки модуля управления климатом в промышленной автоматике является программа дисциплины «Системы автоматизированного проектирования ЭВС» и «Конструирование и технологии ЭВС».

.2      Цели, задачи, назначение ДП

Целью разработки является создание модуля управления климатом, который имеет небольшие габариты, малые затраты электроэнергии и может работать как через подключение к персональному компьютеру, так и от сети.

Задача ДП - разработка конструкции модуля управления климатом для серверных помещений.

.3      Технические требования

Требования к конструкции модуля

Конструкция модуля управления климатом должна обеспечивать соответствие требованиям ГОСТ-15150-69.

Конструкция модуля управления должна обеспечивать удобство при транспортировке устройства и не вызывать негативных последствий при пользовании им.

1.4    Показатели назначения

Поддержание заданных температуры и влажности в серверном помещении, температуры в пределах от 18°С до 24°С и относительной влажности до 60% .

Обеспечить передачу сигнала на включение кондиционеров и их работы в нужном режиме при изменении отслеживаемых параметров в серверном помещении.

Электрическое питание осуществить от сети или персонального компьютера.

.5      Требования к надёжности

Наработка на отказ модуля управления климатом в промышленной автоматике не менее 5 лет (43 800ч).

Средняя наработка на отказ модуля управления климатом в промышленной автоматике не менее 15000ч.

.6      Требования к технологичности

Нормативное значение показателя технологичности должно соответствовать ОСТ 107.15.2011-91.

.7      Требования к уровню унификации и стандартизации

Количественные показатели уровня стандартизации и унификации должны быть Кпр> 20%, Кповт> 1,25%, Кму> 30%.

1.8    Требования к безопасности и экологии

Конструкция устройства должна обеспечивать безопасное его обслуживание в соответствии с требованиями ГОСТ 12.2.003-91, ГОСТ 12.2.006-93, ГОСТ 12.2.007-87.

Конструкция устройства должна обеспечить пожарную безопасность в соответствии с ГОСТ 12.1.004-91.

Материалы, применяемые для изготовления компонентов и составных частей печатной платы в части обеспечения требуемой огнестойкости должны соответствовать требованиям ТУ2296-001-00213060-94.

.9      Требования к патентной чистоте

Модуль управления климатом в промышленной автоматике должен обладать патентной чистотой относительно ведущих стран в области измерительного оборудования.

.10    Требования к маркировке и упаковке

Маркировка оборудования должна отвечать всем требованиям согласно ГОСТ 20.39.308-76. Маркировку следует наносить на съёмных частях, доступных для обзора. Упаковка прибора должна соответствовать требованиям ГОСТ 15150- 69 исполнение УХЛ 4.2.

.11    Эстетические и эргономические требования

Требования по технической эстетике и эргономике должны соответствовать ОСТ 4.270.000-83.

. АНАЛИЗ ТЕХНИЧЕСКОГО ЗАДАНИЯ И ОСНОВНЫЕ ТЕХНИЧЕСКИЕ ТРЕБОВАНИЯ К РАЗРАБАТЫВАЕМОЙ КОНСТРУКЦИИ

2.1 Обзор аналогичных разработок устройства

.1.1   Терморегулятор программируемый Oshland M3.161

Внешний вид Терморегулятора программируемого Oshland M3.161 представлен на рисунке 2.1.1.

Рисунок 2.1.1 - Внешний вид Терморегулятора программируемого

Oshland M3.161

Терморегулятор М3 предназначен для регулирования и поддержания температуры в пределах от 5°С до 50°С во внутренних помещениях зданий, позволяет экономить до 70% электроэнергии по сравнению с обычными электронными терморегуляторами. Особенности: калибровка температуры; ЖКИ экран с неоновой подсветкой; работа по термодатчику; работа по встроенному термодатчику воздуха; программирование 4 режимов работы в течение дня; ограничение максимальной температуры; режим «анти промерзания помещения»; встроенные часы; термостат монтируется в стандартную распределительную коробку.

.1.2   Трмостат E91/PR-111S

Внешний вид Термостата E91/PR-111S представлен на рисунке 2.1.2.

Рисунок 2.1.2 - Внешний вид Термостата E91/PR-111S

Термостат E91/PR-111S предназначен для регулирования и поддержания температуры в пределах от 5°С до 50°С во внутренних помещениях зданий. Особенности: большой сенсорный экран; программируется на неделю; 6 режимов работы на каждый день; работа по датчику пола/воздуха/пола+воздуха; показывает текущую температуру с точностью 0,1°С; ограничение минимальной и максимальной температуры; защита от детей LOCK (блокировка кнопок); самодиагностика; калибровка температуры; ЖКИ экран с подсветкой; удобное управление; заводские программы/программы пользователя; встроенные часы.

.1.3   Smart-BUS SB-DN-HVAC модуль управления климатом

Внешний вид Smart-BUS SB-DN-HVAC модуля управления климатом представлен на рисунке 2.1.3.

Рисунок 2.1.3 - Внешний вид Smart-BUS SB-DN-HVAC модуля управления климатом

BUS SB-DN-HVAC - является универсальным модулем, управляющим тепловым оборудованием, вентиляцией и кондиционированием. Предназначен для работы в составе системы Smart-BUS. Управляется через шину Smart-BUS с клавишных панелей DLP. Подключается через шину Smart-BUS. Применение: умный дом, управление светом и энергосбережение.

.1.4   Регулятор температуры Salus RT 500 RF

Внешний вид регулятора температуры Salus RT 500RF представлен на рисунке 2.1.4.

Рисунок 2.1.4 - Внешний вид регулятора температуры Salus RT 500RF

Электронный терморегулятор Salus RT 500 RF предназначен для управления системой отопления при колебаниях температуры воздуха в необходимом помещении. Назначением Salus RT 500 RF является контроль температуры воздуха в соответствии с установленными настройками. Питание устройства осуществляется с помощью батарейки (АА). Особенности: имеет 2 режима программирования “5-2” и “7”, в режиме “5-2” выбираются 5 температурных точек на 5 дней, а затем на 2 дня, в режиме “7” выбираются контрольные температурные точки на всю неделю; беспроводное регулирование температуры в помещении позволяет не протягивать провода, а регулировать все из одной точки; детальность действия на расстоянии до 60м на открытом пространстве; легкий программируемый интерфейс.

.2      Анализ технического задания

Техническое задание: разработка конструкции модуля управления климатом в промышленной автоматике.

Назначение разработки: устройство предназначено для измерения климатических условий в помещении.

Эксплуатационные характеристики разрабатываемого модуля управления приведены в таблице 2.2.1.

Таблица 2.2.1 - Эксплуатационные характеристики модуля управления климатом в промышленной автоматике

Функции и параметры

Характеристики

Измеряемый компонент

Температура, °С Относительная влажность, %

Диапазон измеряемых температур

0…+35°С

Время сбора данных

Не более 10сек

Постоянный ток

Не более 500мА

Напряжение питания

Габаритные размеры

300х70х40мм

Масса устройства

Не более 2кг

Условия эксплуатации:

Температура окружающей среды

0…+35°С

Давление

86…106.7кПа

Относительная влажность

До 60%

Наработка на отказ

43800ч

Средняя наработка на отказ

15000ч


.3      Принцип действия модуля управления климатом в промышленной автоматике

Конструктивно модуль управления климатом в промышленной автоматике состоит из пластмассового корпуса с размещёнными внутри него платами, а также датчиков измерения температуры и относительной влажности.

Датчики отвечают за сбор данных о текущем значении температуры и относительной влажности в помещении. Сбор данных занимает от 6 до 10 секунд. Данные собранные датчиками передаются по проводному соединению на модуль управления, после этого датчики отключаются. После сверки полученных данных модулем управления и при их отклонении от заданных, подается сигнал через беспроводной интерфейс стандарта Bluethooth 4.0 Low Energy на включение и работу кондиционера в нужном режиме. После этого модуль управления переходит в режим пониженного энергопотребления.

Возможна настройка и диагностика модуля с помощью USB шины или через беспроводной интерфейс стандарта Bluethooth 4.0 Low Energy.

.4      Разработка схемы электрической структурной

На блок управления возложены функции контроля за температурой и относительной влажностью в помещении.

Блок FTDI отвечает за передачу данных между ПК и блоком управления, а так же за питание всего устройства. Блок является переходником между интерфейсом RS-232 и USB шиной.

Блок беспроводного интерфейса стандарта Bluethooth 4.0 Low Energy предназначен для беспроводной передачи данных между модулем и ПК либо модулем и кондиционером. модуль управление климат

ЖК-дисплей (TFT 1.8) предназначен для вывода текущих значений температуры и относительной влажности.

Датчики представляют собой устройства, крепящиеся к потолку и подключенные к модулю с помощью шины I2C. Датчики осуществляют сбор значений температуры и относительной влажности в помещении. Корпус имеет прямоугольную форму. Материал корпуса - пластик.

Клавиатура представлена в виде двух кнопок. Кнопка Инфо предназначена для вывода информации на дисплей. Кнопка Reset (Сброс) предназначена для сброса всех настроек до заводских.

Персональный компьютер предназначен для питания, а также настройки и диагностики устройства.

.        ВЫБОР И ОБОСНОВАНИЕ ЭЛЕМЕНТНОЙ БАЗЫ И МАТЕРИАЛОВ КОНСТРУКЦИИ МОДУЛЯ УПРАВЛЕНИЯ

.1      Выбор элементной базы модуля

Выбор элементной базы является основным пунктом в процессе практической реализации проектируемого изделия. Это важно, так как от выбора элементной базы зависят габаритные размеры, надёжность изделия, потребление энергии прибором, его стоимость, а также его приспособленность к климатическим условиям.

Критерием выбора элементной базы электро-радиоэлементов в любом радиоэлектронном устройстве является соответствие технологических и эксплуатационных характеристик ЭРЭ заданным условиям работы и условиям эксплуатации.

Исходя из технических требований, было принято решение о использовании в качестве процессорного модуля микроконтроллера MSP430FR5723 фирмы Texas Instruments с ультра-низким энергопотреблением. Микроконтроллер состоит из нескольких устройств, таких как встроенная энергонезависимая память FRAM, 16-битный MSP430 ™ процессор с ультра-низким энергопотреблением и различные периферийные устройства, предназначенные для различных приложений. Процессор, FRAM, и периферийные устройства, объединены в семь маломощных режимов, которые направленны на продление срока службы батареи в портативных и беспроводных устройствах. FRAM-память является новой энергонезависимой памятью, которая сочетает в себе скорость, гибкость и выносливость SRAM-памяти со стабильностью и надежностью FLASH-памяти. Периферия включает в себя 10-битный АЦП, 16-канальный компаратор с опорным напряжением поколения и возможности гистерезиса, три усовершенствованные канала, способные работать как I2C, SPI, UART или как протоколы, внутренний DMA, аппаратный умножитель, RTC, пять 16-разрядных таймеров и цифровые входы / выходы. Основные параметры микроконтроллера MSP430FR5723 представлены в Таблице 3.1 - Основные технические характеристики микроконтроллера MSP430FR5723 фирмы Texas Instruments.

Таблица 3.1 - Основные технические характеристики микроконтроллера MSP430FR5723 фирмы Texas Instruments

Параметры

Номиналы

Архитектура

16-разрядный RISC

Диапазон напряжений питания

от 2В до 3,6В

FRAM

До 16Кб

Рабочая температура

От -40°С до +85°С

Ток питания в активном режиме

81,4мкА

Ток питания в режиме ожидания

6,3мкА

Корпус

TQFP или DIP

АЦП

14-канальный 10-разрядный

Габаритные размеры

12,6х8,3х1,2мм

UART

2

I2C/SPI

1


Микроконтроллер CC2540 фирмы Texas Instruments является экономически эффективным из-за низкого энергопотребления. В данном проекте микроконтроллер используется в чипе для периферийных устройств Bluethooth 4.0 Low Energy(Bluethooth с низким энергопотреблением). Каждый микроконтроллер CC2540 содержит уникальный 48-битный IEEE-адрес. Основные параметры микроконтроллера представлены в Таблице 3.2 - Основные технические характеристики микроконтроллера CC2540 фирмы Texas Instruments.является цифровым датчиком влажности с интегрированным датчиком температуры, который обеспечивает высокую точность измерения при очень низкой мощности. Цифровом датчик влажности устроен на основе нового емкостного датчика. Датчики влажности и температуры откалиброваны. Инновационная WLCSP упрощает дизайн платы и позволила использовать ультра-компактный корпус. Чувствительный элемент HDC1000 находится на нижней части устройства, что делает датчик более устойчивым к грязи, пыли и другим загрязнениям окружающей среды. HDC1000 используется в мобильных устройствах, медицинских приборах, принтерах и других устройствах. Основные параметры цифрового датчика представлены в Таблице 3.3 - Технические характеристики цифрового датчика HDC1000 фирмы Texas Instruments.

Таблица 3.3 - Технические характеристики цифрового датчика HDC1000 фирмы Texas Instruments

Параметры

Номиналы

Предел измерения температур

От -20°С до 85°С

Точность измерения относительной влажности

±3%

Точность измерения температуры

±0,2°С

Рабочее напряжение

от 3В до 5В

Ток питания в спящем режиме

200нА

Средний ток питания при измерении температуры и влажности

От 820нА до 1,2мкА

Интерфейс

I2C

Габаритные размеры

1,62х2,07х0,675мм

Корпус

DSBGA (8-bump)


Таблица 3.4 - Технические характеристики микросхемы FT232R

Параметры

Номиналы

Корпус

SSOP28 и QFN32

Габаритные размеры

7,62х5мм

Встроенная энергонезависимая  память EEPROM

1024байт

Рабочая температура

От -40°С до +85°С

Рабочее напряжение

От 3,3В до 5В

Встроенные пассивные элементы

На шине USB, RC-фильтр по питанию


При составлении электрической принципиальной схемы были выбраны чип резисторы 0805, параметры которых приведены в Таблице 3.5 - Технические характеристики чип резисторов 0201.

Таблица 3.5 - Технические характеристики чип резисторов 0201

Параметры

Номиналы

Диапазон номинальных значений

10кОм - 56кОм

Допустимое отклонение от номинала

1%(А); 5% (О)

Номинальная мощность

0,05Вт

Рабочее напряжение

12В

Максимально допустимое напряжение

20В

Рабочий диапазон температур

От -55°С до +125°С

Габаритные размеры

0,6х0,3мм


При составлении электрической принципиальной схемы были выбраны конденсаторы 0805, параметры которых приведены в Таблице 3.6 - Технические характеристики конденсаторов 0805.

Таблица 3.6 - Технические характеристики конденсаторов 0805

Параметры

Номиналы

Диапазон ёмкостей

20пФ - 1мкФ

Допустимое отклонение от номинала

±10%

Рабочее напряжение

10В

Тип монтажа

SMD

Рабочая температура

От -55 до +125°С

Габаритные размеры

2,0х1,25мм


При составлении электрической принципиальной схемы были выбраны катушки индуктивности, параметры которых приведены в Таблице 3.7 - Технические характеристики катушек индуктивности.

Таблица 3.7 - Технические характеристики катушек индуктивности

Параметры

Номиналы

Диапазон номинальных значений

1 - 3 нГн

Рабочая температура

От 0 до 125°С

Мощность

200мВт

Ток коллектора

100мА

Тип

PNP

Корпус

SOT23-3

Тип монтажа

SMD


При составлении электрической принципиальной схемы были выбраны кнопки, параметры которых приведены в Таблице 3.8 - Технические характеристики кнопок.

Таблица 3.8 - Технические характеристики кнопок

Параметры

Номиналы

Габаритные размеры

6х4мм

Диапазон частот

87-108МГц

Номинальный ток

100мА

Номинальное рабочее напряжение

Степень защиты

IP54


При составлении электрической принципиальной схемы были выбраны кварцевые резонаторы, параметры которых приведены в Таблице 3.9 - Технические характеристики кварцевых резонаторов.

Таблица 3.9 - Технические характеристики кварцевых резонаторов

Параметры

Номиналы

Рабочая температура

От -10 до +60°С

Динамическое сопротивление

25кОм

Габаритные размеры

10х4мм

Динамическая индуктивность

256-300кГн



4.      РАЗРАБОТКА КОНСТРУКЦИИ ПЕЧАТНОГО УЗЛА

Элементы, которые содержит разрабатываемый модуль управления приведены в Таблице 4.1 - Габаритные размеры микроконтроллеров.

Таблица 4.1 - Габаритные размеры микроконтроллеров

Наименование элемента

Количество, шт

Габаритные размеры, мм

Площадь, мм2

LCD (TFT 1.8)

1

80x31

2480

Микросхема MSP430FR5723

1

12,6х8,3

104,58

Микросхема CC2540

1

6,15х6,15

37,8225

Датчик HDC1000

4

1,62х2,07

13,4136

Микросхема FT232R

1

7,62х5

38,1


Далее приведём габаритные размеры резисторов, конденсаторов и других элементов схемы в Таблице 4.2 - габаритные размеры элементов резисторов, конденсаторов, катушек индуктивности, кнопок, кварцевых кристаллов.

Общая площадь, занимаемая всеми компонентами с учётом припусков вокруг каждого элемента, обусловленных шириной контактных площадок равна 6713 мм2

Теперь необходимо подобрать такой типоразмер печатной платы в соответствии со стандартом 23751-86, чтобы была возможность обеспечить коэффициент заполнения платы не менее 0,7. Этому требованию удовлетворяет типоразмер 100х160мм с площадью S = 16 000 мм2. В этом случае обеспечивается коэффициент заполнения 0,53.

Выбору типоразмеров печатной платы придаётся весьма важное значение, поскольку на этом этапе проектирования закладываются потенциальные возможности достижения высокой плотности компоновки и обеспечения конструктивной и электрической совместимости. При выборе типоразмеров печатной платы учитываются прежде всего, функциональные и конструктивно-технологические требования. Первые - выражаются плотностью компоновки (3U, 4U или 6U), вторые - отражают технологические возможности производства печатных плат. Как описывалось выше, в данный момент был выбран типоразмер печатной платы 100х160мм. При выборе типоразмера учитывались функциональные требования, выражающие плотность компоновки. Математическое представление оптимизации представляет собой коэффициент заполнения платы, который равен отношению площади, занятой элементами к общей площади печатной платы.

Решение задачи топологического синтеза с помощью пакета САПР Altium Designer 15.0 и Circuit Design Suite 13.0 сводится к получению топологии печатных плат в соответствии с созданной схемой электрической принципиальной. При этом необходимо учитывать необходимые технологические ограничения на печатный узел, оговоренные в техническом задании данного дипломного проекта. Для задания технологических ограничений средствами Design/Rules необходимо произвести конструкторско-технологический расчёт печатного монтажа.

Конструкторско-технологический расчёт печатных плат проводится с учётом производственных погрешностей рисунка проводящих элементов, фотошаблона, базирования, сверления. Граничные значения основных параметров печатного монтажа, которые могут быть обеспечены при конструировании и разработке для различных классов точности будут приведены в Таблице 4.3 - Граничные значения размеров основных параметров печатного монтажа.

Таблица 4.3 - Граничные значения размеров основных параметров печатного монтажа

Наименование элемента

Условное обозначение

Размеры элементов для класса точности печатного монтажа



1

2

3

Ширина проводников, мм

t

0.75

0.45

0.25

Расстояние между проводниками, контактными площадками, проводником и контактной площадкой, проводником и металлизированным отверстием, мм

    s

    0.75

    0.45

    0.25

Ширина пояска контактной площадки, мм

 b

 0.3

 0.2

 0.1

Отношение диаметра отверстия к толщине печатной платы

 

 0.4

 0.33

 0.33


Толщину печатной платы индикаторного устройства и блока сигнализации определяем по следующей формуле:

                                                  (1)

где и - толщина фольгированного и изолированного слоя;, j - число фольгированных и изолирующих слоёв.

При выполнении двух сигнальных слоёв на двусторонней печатной плате индикаторного устройства, толщина составит

= 1,5 мм.

Печатную плату будем проектировать в соответствии с третьим классом точности, т.к. данный класс наиболее оптимально подходит с точки зрения конструктивных и технологических параметров для обеспечения требуемого коэффициента заполнения при минимальном числе слоёв печатной платы.


Таблица 4.4 - Электрические параметры микросхем ИКМП

Микросхема

Iпот, мА

ATMEGA48

10

ATMEGA64

4.1

BMP085

1

DHT11

2.5

DS18B20

1

DS1307

1.5

24LC08

3

1117 3.3V

1

NRF24L01

12,5

LCD 20x4

1,5


После выбора электрических параметров микроконтроллеров модуля управления климатом следует выбрать средства автоматизированного проектирования, которые будут указаны в следующем разделе дипломного проекта.

5.      ОБОСНОВАНИЕ ВЫБОРА СРЕДСТВ АВТОМАТИЗИРОВАННОГО ПРОЕКТИРОВАНИЯ

Одной из важнейших задач в проектировании ЭВС является максимальное внедрение методов и средств автоматизированного проектирования, что в итоге должно привести к минимальному участию человека в процессе создания конструкции. Основную работу по созданию конструкции производит персональный компьютер (ЭВМ), оснащённый соответствующим программным обеспечением.

Проектирование ЭВС и создание оптимального технического решения в сжатые сроки, связано с трудностями, основными из которых являются:

невозможность учёта человеком огромного количества разнообразных факторов, влияющих на техническое решение;

большая трудоёмкость и стоимость изготовления макета изделия;

сложность имитации условий, в которых должно работать современное ЭВС.

         Один из путей преодоления этих трудностей без существенного увеличения численности работающих - использование возможностей современных ЭВМ, что позволяет заменить макет радиоэлектронного узла его математической моделью, комплекс измерительно-испытательного оборудования - программами анализа, оптимизации и испытаний, а затем обработать узел на ЭВМ при помощи этого математического комплекса, либо промоделировать на испытательном стенде LXCD-12G-1.

В процессе проектирования возникает необходимость большого числа вычислений, обращения к стандартным алгоритмам решения типовых задач, увязки различных, зачастую противоречивых требований этапов функционального и конструкторского проектирования, а также проверки правильности результатов различных этапов проектирования. В связи с этим целесообразно объединить отдельные алгоритмы в единую автоматическую систему конструкторского проектирования (САПР), ориентированную на конкретную базу конструкций.

Необходимо иметь в виду, что изменение конструкторской базы требует переработки многих программ и алгоритмов, существующих САПР. Разрабатываемые языки и системы программ должны быть по возможности универсальными и минимально зависящими от конструктивно-технологических особенностей проектируемых модулей. Учитывая сложность программ, целесообразно разработку САПР ориентировать на ЭВС определенного класса, используя иерархический принцип ее конструкций.

Система проектирования печатных плат Altium Designer является интегрированным набором специализированных программных пакетов, работающих в интерактивном режиме. Средства системы позволяют проектировать принципиальные электрические схемы, печатные платы, в том числе многослойные, а также получать конструкторскую документацию производить описание принципиальных схем на языке VHDL и Vlog.

В данном проекте был использован Altium Designer 15.0.4, с помощью которого была разработана схема электрическая принципиальная, разведена и откорректирована печатная плата.

Также, при помощи системы AutoCAD 2016 были спроектированы сборочные чертежи печатной платы и габаритный чертёж индикаторного устройства.

6. КОНСТРУКТОРСКИЕ РАСЧЁТЫ

.1      Ширина проводников печатной платы

Конструкторские расчёты печатной платы портативного устройства измерения концентрации паров метана (пропана) будут иметь следующий вид.

Минимальная ширина проводника с учетом подтравливания зависит от прочности сцепления проводника с основанием без отслаивания:

 (7.1)



Подставляя данные из таблицы из таблиц 4.3 и в формулу (7.1) определим минимальную ширину проводника

  мм.(7.2)



Предпочтительные размеры монтажных отверстий выбирают из ряда 0.7; 0.9; 1.1; 1.3; 1.5 мм.

Минимальное расстояние (), которое может быть получено между проводником и монтажным отверстием с контактной площадкой определяется по формуле:

 ,  (7.3)




где - расстояние между центрами отверстий и осевыми линиями проводников.

Для заданного в ТЗ шага расположения контактных площадок (2,5 мм) по формуле 7.3 определим минимальное расстояние между проводником и монтажным отверстием с контактной площадкой:

Для получим

Для получим

Для получим

Так как полученное значение больше граничного расстояния между проводником и контактной площадкой (для третьего класса точности граничное расстояние равно 0,15 мм), то можно сделать вывод, что между двумя монтажными отверстиями можно проложить один проводник.

Оценка минимально допустимой ширины печатного проводника сигнальной цепи, исходя из нагрузки по постоянному току, производится из соотношения:

 (7.4)

где - удельное сопротивление, для медной катаной фольги составляет 0,017;

- длина проводника, приближенно может быть оценена по формуле (7.4):

 (7.5)

 - запас помехоустойчивости, для используемых серий ИМС не ниже 0,4-2 В. Выберем 0,4 для всех микросхем.

Для микросхем Atmega48:

= = 2.617мм.

Для микросхем Atmega64.

= = 1.073мм.

Для микросхем DHT11:

= = 0.654мм.

Для микросхем 24LC08:

= = 0.785мм.

Для микросхем DS1307

= = 0.392мм.

Для микросхем DS18B20:

= = 0.261мм.

Для микросхем BMP085:

= = 0.261мм.

Для микросхем 1117-3.3V:

= = 0.261мм.

Из технологических соображений ширину печатного проводника принимаем равной 0.3 мм.

Максимальный ток в критических цепях можно рассчитать исходя из размещения резистора номиналом 3 Вт:

                                                   (7.6)

Требуемая ширина печатных проводников шин питания и земли определяется из соотношения:

         (7.7)

           (7.8)

Примем = 0,5 мм

6.2    Расчёт по постоянному току

Определим сопротивление проводника с покрытием, при длине проводникаравной полупериметру трассировочного поля платы (l=0,21555м) и ширине проводника равной 0.3мм, по формуле:

,                    (7.9)

где p - удельное электрическое сопротивление,

 - толщина проводника с покрытием, мм.

Удельное электрическое сопротивление медной фольги составляет 0,0172. При толщине медной фольги 0,035мм и толщине покрытия 0,005мм, величина h составит 0,04мм.

                    (7.10)

Максимально допустимый ток в печатном проводнике:

мА;                                (7.11)

 где jДОП - допустимая плотность тока, равна 20 А/мм2.

Падение напряжения на печатном проводнике:

    (7.12)

6.3    Расчёт по переменному току

Расчёт по переменному току элементов печатного монтажа позволяет уточнить максимальную длину одиночного проводника.

Погонная индуктивность одиночного проводника:

нГн/м (7.13)

где hПЗ - расстояние от проводника до поверхности земли.

Падение напряжения на единицу длины проводника:

 В;                            (7.14)

где tИ - длительность импульсного сигнала, 2 нс;

DI - изменение выходного тока переключения, 3мА.

Максимальная длина связи:

мм;                         (7.15)

где UЗ.ПУ - напряжение запаса помехоустойчивости, равно 0,4 В.

Максимальная длина по переменному току значительно больше, чем длина, ограниченная конструктивными возможностями и поэтому при дальнейших расчетах может не учитываться.

Полученные значения диаметра контактных площадок, переходных отверстий, ширины печатных проводников сигнальных цепей, используем при задании стратегии трассировки печатных проводников средствами программы Auto Route в САПР Altium designer.

.        ТЕХНИКО-ЭКОНОМИЧЕСКОЕ ОБОСНОВАНИЕ МОДУЛЯ УПРАВЛЕНИЯ КЛИМАТОМ В ПРОМЫШЛЕННОЙ АВТОМАТИКЕ

.1      Краткая экономическая характеристика проектируемого устройства

Тема данного дипломного проекта является опытно-конструкторской разработкой. ОКР выполняется за счет финансирования заказчиком. Технико-экономическое обоснование приводится в виде расчета трудоемкости, построения сетевого графика, определения плановой себестоимости и отпускной цены ОКР. Имущественные права на разработку, как и личные неимущественные принадлежат автору. Расчет ОКР проведен в ценах на май 2015 г.

.2      Составление плана и определение трудоемкости выполнения ОКР

Для определения трудоемкости выполнения научно-исследовательской разработки, прежде всего, составляется перечень всех основных этапов и видов работ, которые должны быть выполнены.

Составление перечня работ - один из наиболее важных этапов в осуществлении планирования. При этом особое внимание должно быть уделено логическому упорядочению последовательности выполнения отдельных видов работ. По каждому виду работ определяется также квалификационный уровень исполнителей (должности).

В таблице 7.1 представлен план научно-исследовательской работы.

Таблица 7.1 - План проведения ОКР

Наименование этапов и видов работ

Исполнитель (должность, квалификация)

Количество исполни- телей

Длитель-ность работы, дни

Трудоем -кость, человеко-дни

1

Составление и согласование технического задания на ОКР

НР

1

2

2

2

Подбор необходимых материалов, разработка и утверждение технического задания

НР, ОИ

2

2

4

3

Изучение, анализ и обобщение подобранных материалов и научно-технической литературы. Выявление возможных вариантов разработки и их оценка

ОИ, НС

2

2

4

4

Разработка блок-схемы и габаритных чертежей изделия, составление и оптимизация параметров принципиальной схемы

ОИ, НС

2

3

6

5

Разработка конструкции макетов и составление эскизов

ОИ, инженер

2

6

12

6

Изготовление, настройка и лабораторные испытания макета

ОИ, инженер

2

6

12

7

Обобщение и анализ данных испытаний. Составление пояснительной записки к эскизному проекту

НР, ОИ

2

2

4

8

Оформление, рецензирование и защита эскизного проекта, внесение изменений в эскизный проект по результатам защиты

НР, ОИ

2

3

6

9

Составление и согласование уточненного технического задания по результатам защиты эскизного проекта

НР, ОИ

2

2

4

10

Выбор конструкции, расчет ее элементов

ОИ, НС

2

6

12

11

Экспериментальная проверка основных узлов, конструирование и изготовление технологического образца изделия

ОИ, инженер

2

6

12

12

Разработка конструкции основных узлов изделия с учетом данных испытаний технологического образца

ОИ, НС

2

5

10

13

Оформление, рецензирование и защита технического проекта, внесение изменений в технический проект по результатам защиты

НР, ОИ

2

3

6

14

Составление технического задания на рабочее проектирование изделия

НР, ОИ

2

2

4

15

Разработка схем и рабочих чертежей, уточнение предварительных заявок на материалы и комплектующие изделия

ОИ, НС

2

5

10

16

Составление эксплуатационно-технической документации, оформление патентных формуляров и составление карт технического уровня. Выпуск информационных материалов

ОИ, НС

2

3

6

17

Технологическая подготовка производства, изготовление и настройка опытного образца

ОИ, инженер

2

6

12

18

Заводские испытания опытного образца на соответствие требования технического задания и технических условий

НР, ОИ

2

2

4

19

Корректировка рабочих чертежей. Доработка текстовой документации

ОИ

2

2

4

20

Проведение государственных испытаний по специальной программе

НР, ОИ

2

2

4

21

Корректировка и доработка рабочей документации изделия. Корректировка и доработка текстовой документации. Оформление всего комплекта документации

ОИ, НС

2

2

4

Общая трудоемкость и длительность проведения ОКР

36

72

142


Расчет ожидаемого времени (tОЖ) можно ограничиться использованием только двух предварительных оценок времени выполнения работы (tmin и tmax), например, когда наиболее вероятную оценку (tн.в) выполнения работы затруднительно обосновать. В этом случае ожидаемое время () определяется по этим двум оценкам трудоемкости по формуле:

(7.1)

 

Мерой неопределенности выполнения работы за оптимальное время является дисперсия, которая вычисляется по формуле:

(7.2)



Директивный срок окончания работы равен Тд = 72 дня. Расчет значений трудоемкости работ (округленных до целых чисел) представлены в таблице 7.2.

Таблица 7.2 - Значения трудоемкости работ

Вид работы

Оценки трудоемкости

Расчетные величины


D

1

1,5

3

2

0,09

2

4

5

4

0,04

3

4

5

4

0,04

4

6

7

6

0,04

5

12

13

12

0,04

6

12

13

12

0,04

7

4

5

4

0,04

8

6

7

6

0,04

9

4

5

0,04

10

12

13

12

0,04

11

12

13

12

0,04

12

9

12

10

0,36

13

6

7

6

0,04

14

4

5

4

0,04

15

9

12

10

0,36

16

6

7

6

0,04

17

12

13

12

0,04

18

4

5

4

0,04

19

4

5

4

0,04

20

4

5

4

0,04

21

4

5

4

0,04


.3      Построение сетевого графика и расчет его основных параметров

Сетевой график представлен на рисунке 7.1. Он представляет собой таблицу, где перечислены виды работ, должности исполнителей, трудоемкость, численность исполнителей, продолжительность работ. Продолжением таблицы является график в виде отрезков, которые показывают продолжительность каждого вида работ.

Рисунок 7.1 - Сетевой график

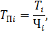
Продолжительность каждой работы определяется по формуле:

(7.(3)


где Ti - трудоемкость чел.-дн., Чi - численность исполнителей.


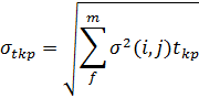
Характерным моментом анализа вероятностных сетевых графиков является определение вероятности P{tkp≤Tg} того, что завершающее событие совершается в заданный срок.

Несмотря на отклонение в процессе выполнения работ от ожидаемых времен, завершающее событие может все же с определенной вероятностью совершиться в заданный директивный срок. В качестве приближенного закона распределения срока наступления завершающего события принимается нормальное распределение со значением tkp и дисперсией  срока наступления этого события. В соответствии с этим вероятность определяется по формуле:

P{tkp≤Tg} = φ(x)

((7.4)


где  - аргумент функции нормального распределения;- заданный директивный срок завершения комплекса работ;- критический путь, определяемый при расчете сетевого графика;

 - среднеквадратическое отклонение срока наступления завершающего события, которое определяется по формуле:

((7.5)


где  - сумма величин дисперсий работ, лежащих на критическом пути;

φ(x) - функция нормального распределения, значение которой берется из таблицы распределения.

Для величины P устанавливаются вполне определенные пределы, именуемые границами допустимого риска. При P < 0,35 опасность срыва заданного срока выполнения завершающего события настолько велика, что необходима оптимизация сетевого графика с перераспределением трудовых ресурсов. При P > 0,65 можно утверждать, что на работах критического пути имеются избыточные ресурсы, следовательно общая продолжительность работ может быть сокращена. Таким образом, 0,35 < P < 0,65 можно считать границами допустимого риска.

.4      Определение цены научно-технической продукции на апрель 2015 года за счет средств заказника

Расчет затрат по статье “Материалы, покупные полуфабрикаты и комплектующие изделия”

Определяются материальные затраты на выполнение работ по теме, включая стоимость покупных комплектующих изделий и полуфабрикатов на изготовление макетов и опытных образцов.

Расчет осуществляется по формуле

(7.6)


где  - коэффициент, учитывающий транспортно-заготовительные расходы (Ктр = 1,05);

 - норма расхода i-го вида материалов на макет или опытный образец (кг, м, и т.д.);

 - действующая отпускная цена за единицу i-го вида материала, р.;

 - возвратные отходы i-го вида материала (кг, м, и т.д.);

 - цена за единицу возвращенных отходов i-го вида материала, р.;- количество применяемых видов материалов.

Расчет целесообразно представить в табличной форме.

Таблица 7.3 - Затраты по статье “Материалы, покупные полуфабрикаты и комплектующие изделия

№, п/п

Наименование материалов покупных полуфабрикатов и комплектующих изделий

Единица измерения

Кол-во

Цена приобретения, р.

Сумма, р.

1

Стеклотекстолит СФ-2-35-1,5

кг.

0,026

223507,5

5811,2

2

Припой SAC305

кг.

0,005

1549513,84

7746

3

Паяльная паста Indium 8.9

кг.

0,01

1797600

17976

4

Лак Urethan 71

мл

5

579,6

2898

5

Краска USM-U2

мл.

2

232,6

456,2

6

Полистирол ПСМ-115

кг

0,5

17980

8990

7

Винт М2х11

шт.

4

4960

19840

8

Винт М2х13

шт.

4

5456

21824

9

Кнопка тактовая ТС-0404

шт.

2

1066

2132

10

Конденсатор кер. SMD 0603 100нФ, 16В, 10%

шт.

2

64,5

129

11

Конденсатор ECAP SMD 100мкФ, 16В

шт.

15

1488

22320

12

Микросхема FT232R

шт.

1

43378,2

43378,2

13

Микросхема MSP430FR5723

шт.

1

212700

212700

14

Микросхема CC2540

шт.

1

85080

85080

15

Резистор SMD 0805 220Ом, 0,125Вт, 1%

шт.

14

223,2

3124,8

16

Катушка индуктивности Chilisin LVC201 10мкГн, 1 Ом, 0,54А, 20%

шт.

3

1981

5943

17

Кристалл 32-kHz Crystal SG-3032JC

шт.

2

141800

141800

18

Датчик температуры и влажности HDC 1000

шт.

4

31196

124784

19

Дисплей 1.8-дюймовый TFT с SPI интерфейсом

шт.

1

80117

80117

20

USB разъем  USB-A-05 <#"864717.files/image130.gif">

(7.7)


где  - установочная мощность i-го объекта основных производственных фондов, используемых для работ по данной теме, кВт;

 - время фактического использования i-го объекта, ч;

 - тариф за 1 кВт/ч энергии, р.

Расчет этих затрат приведён в таблице 7.4.

Расчёт затрат по статье «Спецоборудование для экспериментальных работ» проводится по формуле:

(7.8)


где КВР - коэффициент пересчета в зависимости от проработанного времени за год, при данных условиях равный 0,085;

 - цена приобретения i-го спецоборудования, р;

- затраты на транспортировку i-го спецоборудования к месту эксплуатации, р;

- затраты на монтаж, установку и пусконаладочные работы.

Таблица 7.5 - Расчет затрат на спецоборудование для экспериментальных работ

№, п/п

Наименование специальных инструментов, приспособлений, приборов, стендов, устройств и другого специального оборудования

Кол-во

Цена приорете-ния, млн. р.

Расходы на транспортировку и установку, млн. р.

Сумма, млн. р.

1

Сверлильно-фрезеровальный станок Bungard CCD/2

1

49,6

1,72

1,62

2

Установки двухстороннего экспонирования модели AZ

1

3

0,1

0,094

3

Установки гальванического покрытия и металлизации сквозных отверстий плат серии PL903

1

30

1,04

0,98

4

Установки проявки и травления плат серии PB 700

1

26

0,9

0,85

5

Установка трафаретной печати модели 41-HMA

1

11

0,38

0,36

6

Фотоплоттер FP 8000 (USB)

1

5

0,006

0,005

7

Двухсторонние установки нанесения фоторезиста (ламинаторы), модели 12”/24”

1

2

0,069

0,061

8

Прецизионный автоматический принтер с автоматической загрузкой печатных плат НР-520

1

61

2,12

2

9

Mx-100LP - автомат установки SMD-компонентов

1

58

2,01

1,89

10

Конвекционная конвейерная печь для оплавления паяльной пасты напольного типа 7 ZCR G/DT

1

38

1,32

1,25

11

Термопластавтомат ТВ 450Н/2900

1

240

8,33

7,86

12

Weller WX 1010 одноканальная паяльная станция с сенсорным управлением

1

7,9

0,27

0,25

ВСЕГО:

17,22


Расчёт затрат по статье “Основная заработная плата разработчиков”

В эту калькуляционную статью включаются расходы на оплату труда разработчиков, непосредственно связанных с изготовлением продукции, выполнением работ и услуг.

(7.9)


где  - тарифная ставка за день (месячный оклад) i-й категории работников;

- количество работников i-й категории;

- время фактической работы работника i-й категории по теме, дн. или мес.;

 - коэффициент премий по премиальным системам,  = 1,1-1,4.

Для расчёта этой статьи необходимо сделать расшифровку трудоёмкости изделия по видам работ. Данные представлены в таблице 7.6.

Таблица 7.6 - Расшифровка трудоемкости изделия по видам работ

№, п/п

Наименование категорий работников и должностей

Кол-во штатных единиц, чел.

Трудо-затра-ты, дни

Средняя заработ-ная плата в день, руб.

Коэф. премиаль-ных доплат

Сумма, р.

1

Научный руководитель

1

20

1,4

672000

2

Научный сотрудник

1

26

19 000

1,3

642200

3

Ответственный исполнитель

1

70

14 000

1,1

1078000

4

Инженер

1

24

18 000

1,3

561600

ВСЕГО:

2953800


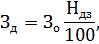
Расчёт затрат по статье “Дополнительная заработная плата разработчиков”. Дополнительная заработная включает выплаты, предусмотренные законодательством о труде и положениями по оплате труда на предприятии. Сюда входят выплаты за не проработанное на производстве время: оплата очередных и дополнительных отпусков, оплата учебных отпусков, оплата льготных часов подростков, оплата перерывов в работе кормящих матерей, выполнением государственных обязанностей, единовременные вознаграждения за выслугу лет и пр.

Указанные выплаты распределяются на готовые изделия по нормативу (проценту к основной заработной плате производственных рабочих).

Формула расчёта имеет вид

(7.10)


где Ндз - норматив дополнительной заработной платы, Ндз = 20%.


Таблица 7.7 - Расчет себестоимости

Наименование статей затрат

Условное обозначение

Значение руб.

Примечание

Материалы, покупные полуфабрикаты и комплектующие изделия

РМ

926014

См. табл. 7.3

Топливно-энергетические ресурсы для научно-экспериментальных целей

РЭЛ

9588478

См. табл. 7.4

Специальное оборудование для экспериментальных работ

РОБ

17220000

См. табл. 7.5

Основная заработная плата научно-производственного персонала

РОЗ

2953800

См. табл. 7.6

Дополнительная заработная плата научно-производственного персонала

РДЗ

590760

 НДЗ=20%

Отчисления на социальную защиту

РОС

1240596

 НОС=35%

Накладные расходы

РКОС

1476900

 Н­КОС=50%

Полная себестоимость

33996548

Плановые накопления (прибыль)

П

101990

 НП=30%

Отпускная цена (без НДС)

Ц

34098538

Налог на добавленную стоимость

РНДС

68197

 Н­ДС=20%

Отпускная цена с НДС

ЦОТП

34166735


Таким образом разработка модуля управления климатом обойдётся заказчику в 34 млн. рублей в ценах на май 2015 года.

ЗАКЛЮЧЕНИЕ

В ходе дипломного проекта был спроектирован модуль управления климатом в промышленной автоматике. На протяжении всего дипломного проекта затрагивались такие дисциплины как Системы автоматизированного проектирования ЭВС, Конструирование и Технологии ЭВС, Экономика предприятия и Охрана труда. При расчётах статей затрат было выяснено, что данный модуль выпускать экономически выгодно, т.к. в его комплектацию входят отечественные и зарубежные компоненты. Во время разработки модуля управления был применен комплексный метод минимизации энергозатрат, чтобы понизить конечную стоимость модуля, основные проблемы энергосбережения и решения по минимизации энергозатрат затронуты в разделе Охраны труда.


СПИСОК ИСПОЛЬЗОВАННЫХ ИСТОЧНИКОВ

[1] Аналоговые интегральные схемы: справочник / Булычев А.Л., Галкин В.И., Прохоренко В.А. - Мн.: Беларусь, 1985.

[2] Интегральные микросхемы: справочник / Тарабрин Б.В., Лунин Л.Ф., Смирнов Ю.Н. и др.; под редакцией Тарабрина Б.В. - М.: Радио и связь, 1984.

[3] Куземин А.Я. Конструирование и микроминиатюризация ЭВА. -М.: Радио и связь, 1985.

[4] Розевиг В.Д., Блохин С.М. Система проектирование печатных плат ACCEL EDA. Руководство пользователя. - М.: ДМК, Знак, 1997.

[5] Романов Ф.И., Шахнов В.А. Конструкционные системы микро- и персональных ЭВМ. -М.: Высшая школа, 1995.

[7] Справочник радиолюбителя-конструктора / Бурлянд В.А., Шамшур В.И., Берг А.И. и др. Издательство С74 2-е, переработанное и дополненное. - М.: Энергия, 1978.

[8] Руководство пользователя по пакету Altium Designer 14.2.4, 2014

[9] Журнал по пожарной безопасности КБ «ИНДЕЛА».

[10] http://www.otb.by/articles/pozharnaya-bezopasnost-v-organizatsii

[11] Технический кодекс установившейся практики / Министерство архитектуры и строительства Республики Беларусь. - Минск, 2011г. - 120с.

[12] Нормативные акты по пожарной безопасности по проектированию измерительной аналого-цифровой аппаратуры и беспилотных летательных аппаратов КБ «ИНДЕЛА».

Похожие работы на - Реализация модуля управления климатом в промышленной автоматике

 

Не нашли материал для своей работы?
Поможем написать уникальную работу
Без плагиата!
Без нейросетей!