Разработка электромеханического силового привода для лебёдки на базе двухступенчатого червячно-цилиндрического редуктора
Министерство
образования и науки Российской Федерации
Федеральное
государственное бюджетное образовательное учреждение
высшего
профессионального образования
ВЛАДИМИРСКИЙ
ГОСУДАРСТВЕННЫЙ УНИВЕРСИТЕТ
имени
Александра Григорьевича и Николая Григорьевича Столетовых
Институт
инновационных технологий
Механико-технологический
факультет
Кафедра
"Технология машиностроения"
КУРСОВОЙ
ПРОЕКТ
по
дисциплине "Детали машин и основы конструирования"
Тема
«Разработка электромеханического силового привода для лебёдки на базе
двухступенчатого червячно-цилиндрического редуктора»
Выполнил: ст-нт гр.
ZTsd-112
Хромов К.С.
Принял: к.т.н.,
доц. Федотов О.В.
Владимир
2015
|
Вариант
|
№
3
|
|
P,
кг
|
865
|
|
v,
м/с
|
0,52
|
|
D,
мм
|
320
|
|
Кгод
|
0,6
|
Введение
редуктор вал зубчатый подшипник
Развитие хозяйства тесно связано с ростом
машиностроения, ибо материальное могущество человека заключено в технике - машинах,
механизмах, аппаратах и приборах, выполняющих весьма разнообразную полезную
работу. В настоящее время нет такой отрасли хозяйства, в которой не
использовались бы машины и механизмы в самых широких масштабах.
На основе развития машиностроения осуществляется
комплексная механизация в промышленности сельского хозяйства, строительстве, на
транспорте, в коммунальном хозяйстве. В решениях правительства постоянно
уделяется внимание усовершенствованию и развитию конструкции современных машин.
Указываются направления и требования, которые необходимо учитывать при
проектировании новых машин и механизмов. Проектируемые машины и механизмы
должны иметь наиболее высокие эксплуатационные показатели (производительность,
КПД), небольшой расход энергии и эксплуатационных материалов.
Весьма различные машины и механизмы в
большинстве своем состоят из однотипных по служебным функциям деталей и
сборочных единиц. Отсюда следует, что одни и те же методы анализа, расчета и
проектирования находят применение казалось бы в далеких друг от друга отраслях
техники. Поскольку большинство деталей машин общего назначения используются в
приводах, то они выбраны одним из объектов курсового проектирования. Привод
машин и механизма - система, состоящая из двигателя и связанных с ним устройств
дляприведение в движение рабочих органов машин.
Редуктор - это комплексная зубчатая передача,
состоящая из зубчатых колес, валов, осей, подшипников, корпуса и системы
смазки. По большому счету редуктор используется для передачи мощности от
электродвигателя к рабочим механизмам.
1. Кинематический и силовой расчёт
.1 Общий КПД редуктора
Для определения мощности электродвигателя,
определим мощность на валу рабочей машины по формуле [8;с.5]
Принимая во внимание потери мощности
в передачах и подшипниках привода, подсчитываем необходимую мощность вала
электродвигателя.
По справочным таблицам определяем
приблизительные значения КПД передач и подшипников [8;с.6,табл.1.1]:
а) Муфта соединительная
б) Червячная передача
в) Цилиндрическая косозубая передача
Таким образом, общий КПД редуктора
будет:
.
Отсюда требуемая мощность на валу
электродвигателя:
кВт.
1.2 Выбор электродвигателя
Для заданного значения мощности
принимаем асинхронный электродвигатель с номинальной мощностью равной или
несколько превышающей
[14;с.390;П.1]:
двигатель 4А160S2 ГОСТ 19523-81, для которого номинальная мощность
кВт,
синхронная частота вращения
об/мин, скольжение
.
Частота вращения вала
электродвигателя под нагрузкой [12;с.27]:
об/мин.
.3 Выбор передаточных чисел
Определяем общее передаточное число
привода и редуктора:
об/мин
Передаточные числа ступеней,
рекомендуемые ГОСТ 2185-66:
а) червячной Uч = 25;
б) косозубой цилиндрической
.
.4 Мощности на валах привода
Определение мощности на валах
редуктора производится с помощью формулы:
;
где
- мощность
на расчетном валу, кВт;
- мощность на предыдущем валу, кВт;
- КПД передачи между двумя валами.
кВт;
кВт;
кВт;
кВт;
Результаты расчетов заносим в
табл.2.1.
.5 Частоты вращения валов
Частоты вращения валов определяются
по формуле:

где ni-частота вращения расчетного
вала;- частота вращения предыдущего вала;- передаточное отношение ступени.
мин-1;
мин-1;
мин-1.
Результаты расчетов заносим в
табл.2.1.
.6 Угловые скорости валов
Угловые скорости валов определяются
по формуле:
где wi- угловая скорость на расчетном валу,
с-1;частота вращения расчетного вала, об/мин.
Результаты расчетов заносим в
табл.2.1.
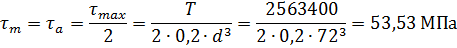
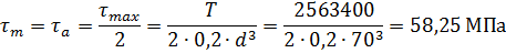
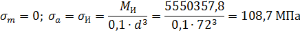
.7 Крутящие моменты на валах привода
Крутящие моменты на валах привода
определяются по формуле:
;
где
- искомый
крутящий момент на валу, Н·м;мощность на валу, Вт;частота вращения вала,
об/мин.
Результаты расчетов заносим в
табл.2.1.
Таблица 2.1 - Значения частот
вращения, угловых скоростей, мощностей и крутящих моментов на валах
Вал Частота
вращения n,
Угловая скорость
ω,
с-1Мощность,
кВтКрутящий момент
|
T,
Н·м
|
|
|
|
|
|
I
|
2940
|
307,7
|
11,71
|
38
|
|
I'
|
2940
|
307,7
|
11,47
|
37,2
|
|
II
|
117,6
|
12,3
|
9,17
|
744,67
|
|
III
|
33,12
|
3,46
|
8,89
|
2563,4
|
2. Выбор материалов колес и расчет допускаемых
напряжений
.1 Расчёт червячной передачи
Исходные данные:
- вращающий момент на колесе;
- частота вращения колеса;
- передаточное число;
ч - время работы передачи (ресурс).
.1.1 Материалы червяка и колеса
По рекомендациям справочных таблиц
для червяка принимаем сталь марки 40Х, с улучшением и закалкой ТВЧ со
следующими характеристиками [8;с.11,табл.2.1]
твёрдость зубьев:
в сердцевине: 269-302 НВ;
на поверхности: 45-50 НRCэ;
МПа.
Материал зубчатого венца червячного
колеса по мере убывания антизадирных и антифрикционных свойств и рекомендуемым
для применения скоростям скольжения относим к I группе со скоростью скольжения:
м/c
и принимаем материал БрО10Н1Ф1, со
следующими характеристиками [8;с.31;табл.2.14]:
МПа;
МПа.
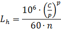
.1.2 Допускаемые напряжения
Допускаемые контактные напряжения
Для I группы материалов
где
- коэффициент долговечности (
);
- эквивалентное число циклов
нагружения зубьев червячного колеса за весь срок службы передачи;
- суммарное число циклов перемены
напряжений;
- коэффициент эквивалентности
где Ti, ni, Lhi - вращающий момент
на i-ой ступени нагружения, соответствующие ему частота вращения вала и
продолжительность действия;, n - наибольший момент из длительно действующих
(нормальный) и соответствующая ему частота вращения.
Сv - коэффициент, учитывающий
интенсивность изнашивания материала колёс
- допускаемое напряжение при числе
циклов перемены напряжений, равном 107
МПа
МПа
Допускаемые напряжения изгиба
Допускаемые напряжения изгиба
вычисляем для материала зубьев червячного колеса:
;
где
- коэффициент долговечности;
- эквивалентное число циклов
нагружения зубьев червячного колеса за весь срок службы передачи.
;
Коэффициент эквивалентности
вычисляют по формуле
- исходное допускаемое напряжение
изгиба
МПа
МПа
Предельные допускаемые напряжения
При проверке на максимальную
статическую или единичную пиковую нагрузку для материалов I группы:
МПа
МПа
.2 Расчёт цилиндрической косозубой
передачи
Исходные данные:
- вращающий момент на шестерне;
- частота вращения шестерни;
- передаточное число;
ч - время работы передачи (ресурс).
2.2.1 Выбор материала и термообработки зубчатых
колес
По рекомендациям из справочных таблиц принимаем
для изготовления шестерни и колеса передачи с внешним зацеплением сталь 40Х с
термообработкой колеса - улучшение, термообработкой шестерни - улучшение и
закалка ТВЧ со следующими механическими характеристиками:
Шестерня
Колесо
.2.2 Допускаемые контактные
напряжения
где
[8;с.13;табл.2.2] - предел
контактной выносливости:
для шестерни:
для колеса:
- коэффициент запаса прочности;
- коэффициент долговечности (
);
где
- число циклов, соответствующее
перелому кривой усталости
для шестерни:
для колеса:
В расчётах на контактную
выносливость учитываем переменность режима нагружения при определении
коэффициента долговечности ZN: вместо назначенного ресурса NK подставляем эквивалентное
число циклов NHE:
где
- ресурс передачи в числах циклов
перемены напряжений при частоте вращения n, мин-1, и времени работы Lh, час;- число
вхождений в зацепление зуба рассчитываемого колеса за один его полный оборот:
для шестерни:
для колеса:
В результате имеем:
- коэффициент, учитывающий влияние
шероховатости сопряженных поверхностей зубьев;
Принимаем
-
коэффициент, учитывающий влияние окружной скорости;
Принимаем
В итоге имеем:
Для цилиндрических передач с
непрямыми зубьями в связи с расположением линии контакта под углом к полюсной
линии допускаемые напряжения можно повысить до значения:
при выполнении условия:
2.2.3 Допускаемые напряжения изгиба
Определяем по следующей формуле
где
- предел выносливости вычисляем по
формуле [8;с.14;табл.2.3]:
- коэффициент запаса прочности;
- коэффициент долговечности (
);
где q1 = 9; YNmax1=2,5; q2 = 6;
YNmax2=4;
- число циклов, соответствующее
перелому кривой усталости;
Назначенный ресурс NK вычисляем так
же, как и при расчётах по контактным напряжениям:
для шестерни:
для колеса:
В расчётах на выносливость при
изгибе для определения коэффициента долговечности YN вместо NK подставляем
эквивалентное число циклов
:
где

В результате имеем:
Так как NFE1 >NFG, то принимаем
NFE1 = NFG и тогда YN1 = 1
YR1,2 = 1 - коэффициент, учитывающий
влияние шероховатости переходной поверхности между зубьями;,2 = 1 -
коэффициент, учитывающий влияние двустороннего приложения нагрузки (реверса).
3.Проектировочный расчет передач
.1 Проектировочный расчет тихоходной ступени
.1.1 Межосевое расстояние
Предварительное значение межосевого расстояния:
где T2 = 744,67Н·м - вращающий
момент на шестерне;= 3,55 - передаточное число;
К = 11 - коэффициент, зависящий от
поверхностной твёрдости зубьев шестерни и колеса;
Окружную скорость вычисляем по
формуле:
Принимаем 9-ю степень точности
[8;с.17;табл.2.5];
Уточняем предварительно найденное
значение межосевого расстояния:
,
где Ка = 410 (МПа)1/3 - для
косозубых колёс;
σHP = 899,9 МПа;
yba=
0,4 - коэффициент ширины;
- коэффициент нагрузки в расчётах на
контактную прочность;
КHν =1,02 [8;с.18;табл.2.6]
- коэффициент, учитывающий внутреннюю динамику нагружения;
- коэффициент, учитывающий
неравномерность распределения нагрузки по длине контактных линий;
[8;с.19;табл.2.7] - коэффициент
неравномерности распределения нагрузки в начальный период работы;
[8;с.19;табл.2.8] - коэффициент,
учитывающий приработку зубьев;
;
- коэффициент распределения
нагрузки между зубьями;
-
коэффициент распределения нагрузки между зубьями в связи с погрешностями
изготовления (
) ст = 9 -
степень точности по нормам плавности;
А = 0,25
Так как
, то
принимаем
;
Вычисленное значение межосевого
расстояния округляем до ближайшего стандартного значения:
.1.2 Предварительные основные
размеры колеса
Делительный диаметр:
;
Ширина:
;
Ширину колеса округляем в ближайшую
сторону до стандартного числа
= 100 мм
.1.3 Модуль передачи
Максимально допустимый модуль mmax,
определяем из условия не подрезания зубьев у основания:
Минимальное значение модуля mmin,
определяем из условия прочности:
,
где
- для косозубой передачи;
- подставляем меньшее из значений
и
;
- коэффициент нагрузки при расчёте
по напряжениям изгиба;
КFν = 1,04 [8;с.20;табл.2.9]
- коэффициент, учитывающий внутреннюю динамику нагружения;
- коэффициент, учитывающий
неравномерность распределения напряжений у основания зубьев по ширине зубчатого
венца;
- коэффициент, учитывающий влияние
погрешностей изготовления шестерни и колеса на распределение нагрузки между
зубьями;
Из полученного диапазона модулей
принимаем значение, согласуя его со стандартным:
.
.1.4 Суммарное число зубьев и угол
наклона
Минимальный угол наклона зубьев
косозубых колёс:
Суммарное число зубьев:
Полученное значение ZS округляем в
меньшую сторону до целого числа ZS= 80 и определяем действительное значение
угла b наклона
зуба:
.1.5 Число зубьев шестерни и колеса
Число зубьев шестерни:
Значение Z1 округляем в ближайшую
сторону до целого числа:
Число зубьев колеса:
.1.6Фактическое передаточное число
.1.7 Диаметры колёс
Делительные диаметры d:
шестерни
колеса:
Диаметры окружностей вершин
и впадин
зубьев
:
мм;
мм;
мм;
мм.
Ширина шестерни: b1 = b2 + 5 = 100 +
5 = 105 мм.
.2 Проектировочный расчет
быстроходной ступени
.2.1 Межосевое расстояние
;
где Ка=610 - для эвольвентных,
архимедовых и конвалютных червяков;
Кнb=0,5·(К0нb+1)
- коэффициент концентрации нагрузки.
К0нb = 1,07 [8;с.33;рис.2.12] - начальный
коэффициент концентрации нагрузки при Z1 = 2
Кнb=0,5·(1,07+1)=1,035;
Полученное расчётом межосевое
расстояние округляем в большую сторону до стандартного числа:
.2.2 Основные параметры передачи
Число зубьев колеса:
Предварительные
значения:
модуля передачи:
мм;
Принимаем стандартное значение m =
6,3 мм
коэффициент диаметра червяка:
Полученное значение q округляем до
ближайшего стандартного q = 12,5
Коэффициент смещения:
мм
Угол подъёма линии витка червяка:
на делительном цилиндре:
на начальном цилиндре:
Фактическое передаточное число:
3.2.3 Размеры червяка и колеса
Диаметр делительный червяка:
мм
Диаметр вершин витков:
мм
Диаметр впадин:
мм
Длина нарезанной части червяка:
Так как x > 0, то
мм
Округляем значение b1 в ближайшую
сторону до числа из нормального ряда и получаем:
мм
Для шлифуемых червяков полученную
расчётом длину b1 увеличиваем на 25 мм и при этом получаем
мм
Диаметр делительный колеса:
мм
Диаметр вершин зубьев:
мм
Диаметр впадин:
мм
Диаметр колеса наибольший:
где k = 2
мм
Принимаем daM2 = 340 мм.
Ширина венца:
;
где
при Z1 = 2;
мм
4. Силовой анализ привода (нагрузки валов
редуктора)
.1 Силы в зацеплении тихоходной передачи
Окружная:
Радиальная:
Осевая:
.2 Силы в зацеплении быстроходной
передачи
Окружная сила на колесе, равная
осевой силе на червяке:
Н;
Окружная сила на червяке, равная
осевой силе на колесе:
Н;
Радиальная сила:
5. Проектировочный расчет валов
.1 Выбор материала валов
Для быстроходного вала-червяка
принимаем: сталь 40Х с термообработкой - улучшение; твердость заготовки
269...302 HB;
МПа;
МПа;
МПа;
МПа;
допускаемое напряжение на кручение
МПа.
Для промежуточного вала-шестерни
принимаем: сталь 40Х с термообработкой - улучшение; твердость заготовки
269...302 HB;
МПа;
МПа;
МПа;
МПа;
допускаемое напряжение на кручение
МПа.
Для тихоходного вала принимаем:
сталь 40Х с термообработкой - закалка ТВЧ; твердость заготовки: сердцевина
269...302 HB, поверхность 45…50 HRC;
МПа;
МПа;
МПа;
МПа; допускаемое напряжение на
кручение
МПа.
Для приводного вала принимаем: сталь
40Х с термообработкой - закалка ТВЧ; твердость заготовки: сердцевина 269...302
HB, поверхность 45…50 HRC;
МПа;
МПа;
МПа;
МПа; допускаемое напряжение на
кручение
МПа.
.2 Определение диаметров и длин
участков валов
Предварительные диаметры
быстроходного вала-червяка (рис.6.1):
под муфтой [8;с.42]:
где ТБ = 37,2Н·м - номинальный момент на
быстроходном валу
мм
принимаем d1 = 40 мм;
под подшипниками:
где tцил = 3,5 мм - высота заплечика
мм
принимаем d1П = 50 мм;
бурта подшипника:
где r = 2 мм - фаска подшипника
мм
принимаем d1БП = 56 мм.
Рис.5.1 Быстроходный вал
Предварительные диаметры
промежуточного вала-шестерни (рис.5.2):
под зубчатым колесом:
где ТПР = 744,67Н·м - номинальный
момент на промежуточном валу
мм
принимаем d2к = 72 мм;
бурта колеса:
где f = 2 мм - размер фаски колеса
мм
принимаем d2БК = 80 мм;
под подшипники:
мм
принимаем d2П = 60 мм;
бурта подшипника:
мм
принимаем d2БП = 70 мм.
Рис.5.2 Промежуточный вал
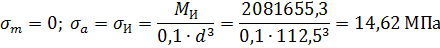
Предварительные диаметры тихоходного
вала (рис.6.3):
под муфтой:
мм
под подшипниками:
мм
принимаем d3П = 70 мм;
бурта подшипника:
мм
принимаем d3БП = 80 мм;
под зубчатым колесом принимаем
конструктивно d3к = 78 мм;
бурта колеса:
мм
принимаем d3БК = 90 мм.
Рис.5.3 Тихоходный вал
.3 Выбор муфт
На работу муфты существенно влияют
толчки, удары и колебания, обусловленные характером работы приводимой в
движение машины. Поэтому расчёт муфты ведём не по номинальному моменту Т, а по
расчётному Тр:
где kр=1,3 коэффициент режима
работы;
Т - вращающий момент на валу.
Для передачи вращающего момента от
электродвигателя на быстроходный вал устанавливаем упругую втулочно-пальцевую
муфту (МУВП): Т = 118,4 Н·м
Расчётный момент
Выбираем для вала электродвигателя
dэ = 48 мм и быстроходного вала редуктора d = 40 мм муфту с наружным диаметром
140 мм и допускаемым моментом 250 Н·м [6;с.239;табл.13.3.1].
Из таблицы выписываем параметры
муфты, необходимые для расчёта:
Таблица 5.1 - Параметры и размеры
упругой втулочно-пальцевой муфты
|
d,мм
|
Т,
Н·м
|
D,
мм
|
D1,
мм
|
Пальцы
|
Втулки
|
|
|
|
|
dп
,мм
|
lп,
мм
|
число
|
dвт,
мм
|
lвт,
мм
|
|
40
|
250
|
140
|
100
|
16
|
36
|
6
|
24
|
30
|
Проверяем пальцы на изгиб по формуле:
Проверяем резиновые втулки на
смятие:
.
Для передачи вращающего момента с
тихоходного вала на приводной устанавливается зубчатая компенсирующая муфта. С
целью уменьшения размеров муфты конструируем муфту с размерами указанными в
таблице:
Таблица 5.2 - Параметры и размеры
зубчатой муфты
|
d,мм
|
Тр,
Н·м
|
D,
мм
|
D1,
мм
|
D2,
мм
|
L,
мм
|
B,
мм
|
b,
мм
|
m,
мм
|
Z
|
|
60
|
7991,7
|
240
|
182
|
110
|
220
|
50
|
28
|
3
|
48
|
Проверяем муфту на условие износостойкости:
6. Проверочный расчет валов привода
Определение сил в зацеплении
Рис.6.1 Схема действия сил
Быстроходная ступень:
Тихоходная ступень:
6.1 Проверочный расчёт вала №1
Рис.6.1 Эпюры изгибающих и крутящих моментов
Горизонтальная плоскость:
Вертикальная плоскость:
Рассматриваем сечение І:
Изгибающий момент
Крутящий момент
Определяем коэффициент запаса прочности для
опасного сечения вала [12;с.55]
где
-
коэффициенты запаса прочности соответственно по нормальным и касательным
напряжениям;
- требуемый
коэффициент запаса прочности.
где
-
пределы выносливости материала вала при изгибе и кручении с симметричным
знакопеременным циклом нагружения;
- амплитуды и
средние напряжения циклов нормальных и касательных напряжений
Так как напряжения в поперечном сечении вала при
изгибе изменяются по симметричному циклу, а напряжения при кручении - по
пульсирующему циклу, то [12;с.56]
[12;с.65;табл.3.5]
- коэффициенты, характеризующие чувствительность материала к асимметрии цикла
нагружения;
[12;с.67;табл.3.6]
- эффективные коэффициенты концентрации напряжений при изгибе и кручении;
[12;с.68;табл.3.7]
- масштабные факторы, то есть коэффициенты, учитывающие влияние поперечных
размеров вала
- коэффициент
поверхностного упрочнения
Рассматриваем сечение ІІ:
Изгибающий момент
Крутящий момент
;
;
;
6.2 Проверочный расчёт вала №2
Рис.6.2 Эпюры изгибающих и крутящих моментов
Горизонтальная плоскость:
Вертикальная плоскость:
Рассматриваем сечение І:
Изгибающий момент
Крутящий момент
;
;
;
Рассматриваем сечение ІІ:
Изгибающий момент
Крутящий момент
;
;
;
.3 Проверочный расчёт вала №3
Рис.6.3 Эпюры изгибающих и крутящих моментов
Горизонтальная плоскость:
Вертикальная плоскость:
Рассматриваем сечение І:
Изгибающий момент
Крутящий момент
;
;
;
Рассматриваем сечение ІІ:
Изгибающий момент
Крутящий момент
;
;
;
7. Расчет подшипников качения по динамической
грузоподъемности
.1 Подбор подшипников для быстроходного вала
Проверим подшипник №7210. Его характеристики:
Для комплекта из двух роликоподшипников имеем
Суммарные реакции для вертикальной и
горизонтальной плоскостей
Осевая нагрузка на подшипник с учётом осевой
составляющей от действия радиальной [12;с.101;табл.5.1]
где A = RAZ/2 = 14723/2 = 7361,5 Н - внешнее
осевое усилие;
- осевая
составляющая от радиальной нагрузки;
Эквивалентная динамическая
нагрузка
где X - коэффициент радиальной нагрузки;= 1 -
коэффициент, учитывающий, какое кольцо вращается;- коэффициент осевой
нагрузки;= 1,05 [12;с.137;табл.5.17] - коэффициент, учитывающий температуру
подшипника;
Kδ = 1 [12;с.137;табл.5.16] -
коэффициент безопасности.
Так как
то X = 0,4; Y =
0,4·ctgα = 0,4 ·ctg15,63 = 1,4 [12;с.136;табл.5.13]
Долговечность подшипника
где
-
частота вращения;= 10/3 = 3,33 - показатель степени
Проверим подшипник №210. Его характеристики:
Радиальная сила
Осевая составляющая [12;с.101]
Так как
то X = 1; Y = 0 [12;с.136;табл.5.12]
Долговечность подшипника= 3- показатель степени
.2 Подбор подшипников для промежуточного вала
Проверим подшипник №7212. Его характеристики:
Суммарные реакции для вертикальной и
горизонтальной плоскостей
Осевая нагрузка на подшипник с учётом осевой
составляющей от действия радиальной [12;с.101;табл.5.1]
где
-
внешнее осевое усилие;
- осевая
составляющая от радиальной нагрузки;
Так как
то X = 0,4; Y = 0,4·ctgα
= 0,4 ·ctg15,1 = 1,5 [12;с.136;табл.5.13]
Так как
то X = 1; Y = 0
Эквивалентная динамическая нагрузка
Долговечность подшипника
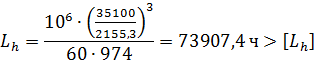
.3 Подбор подшипников для тихоходного вала
Проверим подшипник №7214. Его характеристики:
Суммарные реакции для вертикальной и
горизонтальной плоскостей
Осевая нагрузка на подшипник с учётом осевой
составляющей от действия радиальной [12;с.101;табл.5.1]
где
-
внешнее осевое усилие;
- осевая
составляющая от радиальной нагрузки;
Так как
то X = 0,4; Y = 0,4·ctgα
= 0,4 ·ctg15,63 = 1,4 [12;с.136;табл.5.13]
Так как
то X = 1; Y = 0
Эквивалентная динамическая нагрузка
Долговечность подшипника
8. Расчёт шпоночных соединений
.1 Быстроходный вал
Выбираем призматическую шпонку и проверяем её
прочность при передаче вращающего моментаТ = 115,99 Н·м от полумуфты шириной 82
мм к валу диаметром d = 40 мм.
По ГОСТ 23360-78 для заданного диаметра вала
выбираем призматическую шпонку
, t1 = 5 мм. Длину
шпонки принимаем из стандартного ряда: на 12 мм короче полумуфты, т. е.
расчётная длина шпонки
Расчёт на прочность проводим по формуле
[14;с.170]
где
-
рабочая длина шпонки;
- допускаемое
напряжение смятия.
Так как расчёт шпоночного соединения вала с полумуфтой
по напряжениям
выполняется, то
будет выполняться расчёт и по напряжениям
.
Окончательно принимаем
8.2 Промежуточный вал
Выбираем прямобочное шлицевое соединение и
проверяем его на прочность при передаче вращающего момента Т = 744,67Н·м от
червячного колеса шириной 71 мм валу.
По ГОСТ 1139-80 выбираем прямобочные шлицы
средней серии с числом зубьев z = 8, внутренним диаметром d = 62 мм, наружным
диаметром D = 72 мм, шириной шлиц b = 12 мм, фаска f = 0,5
[14;с.173;табл.8.11].
Выбранное соединение проверяем на смятие по
формуле [14;с.171]
где
- расчётная поверхность смятия
.3 Тихоходный вал
Выбираем прямобочное шлицевое соединение и
проверяем его на прочность при передаче вращающего момента Т = 7991,7 Н·м от зубчатого
колеса шириной 100 мм валу.
По ГОСТ 1139-80 выбираем прямобочные шлицы
лёгкой серии с числом зубьев z = 8, внутренним диаметром d = 72 мм, наружным
диаметром D = 78 мм, шириной шлиц b = 12 мм, фаска f = 0,5
[14;с.172;табл.8.11].
Выбранное соединение проверяем на смятие по
формуле [14;с.171]
где
- расчётная поверхность смятия
9. Расчет корпусных элементов редуктора
Корпус редуктора выполняем литым из чугуна марки
СЧ 15 ГОСТ 1412-79.
Для удобства сборки корпус выполняем разборным.
Плоскость разъема проходит через оси двух валов, что позволяет использовать
глухие крышки для подшипников. Плоскость разъема для удобства обработки
располагаем параллельно плоскости основания. Верхнюю поверхность крышки,
служащую технологической базой для обработки плоскости разъема, также выполняем
горизонтальной.
Толщина стенки корпуса редуктора
[14;с.241,табл.10.2]:
Принимаем δ = 9 мм.
Толщина стенки крышки редуктора:
Для соединения корпуса и крышки
редуктора по всему контуру плоскости разъема выполняем фланцы. Фланцы
объединены с приливами для подшипников.
Толщина верхнего пояса (фланца)
корпуса:
Толщина нижнего пояса (фланца)
крышки корпуса:
Толщина нижнего пояса корпуса:
Принимаем p = 20 мм.
Толщина рёбер основания корпуса:
Принимаем m = 9 мм.
Толщина рёбер крышки:
Принимаем m1 = 8 мм.
Фундаментный фланец редуктора
крепится к плите шестью болтами с шестигранной головкой, диаметр которых
определяется по формуле:
Принимаем болты М20.
Диаметр болтов у подшипников:
Принимаем болты М14.
Для соединения крышки с корпусом
используются болты с наружной шестигранной головкой, диаметр которых определяется
по формуле:
Принимаем болты М12.
Для предотвращения взаимного
смещения корпусных деталей при растачивании отверстий под подшипники и
обеспечения точного расположения их при повторных сборках, крышку фиксируем относительно
корпуса двумя коническими штифтами dш = 12 мм.
Чтобы поверхности вращающихся колёс
не задевали за внутренние поверхности стенок корпуса, между ними
предусматриваем зазор а:
где L = 619,75 мм - расстояние между
внешними поверхностями деталей передач
Расстояние между дном корпуса и
поверхностью колёс
b0> 2,5 · δ = 2,5 · 9 = 22,5 мм
[10;с.340;табл.10.4]. Принимаем b0 = 25 мм.
Заключение
Так как редуктор общего назначения и окружная
скорость не превышает 12,5 м/с, то принимаем картерную систему смазки.
Принимаем для смазывания масло И-40А ГОСТ 20799-75 [14;с.204;табл.9.15].
Контроль уровня масла осуществляется при помощи круглого маслоуказателя. Для
удаления загрязнённого масла и для промывки редуктора в корпусе предусмотрено
сливное отверстие, закрываемое пробкой с цилиндрической резьбой. Внутренняя
полость корпуса сообщается с внешней средой посредством установленной на крышку
отдушины. Заливка масла осуществляется путем снятия смотрового окна в крышке
корпуса.
Смазывание подшипников происходит за счет
смазывания зубчатых колес окунанием, разбрызгивания масла, образования
масляного тумана и растекания масла по валам. Для этого полость подшипника
выполняется открытой внутрь корпуса.
Список используемой литературы
1.
Анурьев В.И. Справочник конструктора-машиностроителя: В 3-х т.- 6-е изд.,
перераб. и доп. - М.: Машиностроение, 1982. -Т.2. -584 с.; Т.3. - 576 с.
.
Анфимов М.И. Редукторы. Конструкции и расчет. Альбом. Изд. 3-е, перераб. и доп.
- М.: Машиностроение, 1972. - 284 с.
.
Бейзельман Р.Д. и др. Подшипники качения: Справочник. Изд. 6-е, перераб. и доп.
- М.: Машиностроение, 1975. - 572 с.
.
Боков В.Н. и др. Детали машин: Атлас. Учеб. пособие для машиностроительных техникумов/Под
ред. В.М. Журавля. - М.: Машиностроение, 1983. - 164 с.
.
Детали машин: Атлас конструкций/Под ред. Д.Н. Решетова. - М.: Машиностроение,
1979. - 367 с.
.
Детали машин: Проектирование/Под ред. Л.В.Курмаза, А.Т.Скойбеды. - Мн.: УП
«Технопринт», 2001. - 290 с.
.
Детали машин в примерах и задачах/Под общ.ред. С.Н. Ничипорчика. - 2-е изд. -
Мн.: Высшая школа, 1981. - 432 с.
.
Дунаев П.Ф. Конструирование узлов и деталей машин. - М.: Высшая школа, 1978. -
352 с.
.
Дунаев П.Ф. Леликов О.П. Детали машин. Курсовое проектирование: Учеб.пособие
для машиностроит. спец. техникумов. - 2-е изд., перераб. и доп. - Высш. шк.,
1990. - 399 с.
.
Иванов М.Н., Иванов В.Н. Детали машин. Курсовое проектирование. - М.: Высшая
школа, 1975. - 511 с.
.
Кудрявцев В.Н. Детали машин. - Л.: Машиностроение, 1980. - 464 с.
.
Курсовое проектирование деталей машин: Справочное пособие/А.В. Кузьмин, Н.Н.
Макейчик, В.Ф. Калачев и др. - Мн.: Вышэйшая школа, 1982. - Ч.1. - 208 с.; Ч.2.
-334 с.