Лесорастительные условия ТО 'Владимирское лесничество'

  • Вид работы:
    Курсовая работа (т)
  • Предмет:
    Сельское хозяйство
  • Язык:
    Русский
    ,
    Формат файла:
    MS Word
    449,08 Кб
  • Опубликовано:
    2015-10-28
Вы можете узнать стоимость помощи в написании студенческой работы.
Помощь в написании работы, которую точно примут!

Лесорастительные условия ТО 'Владимирское лесничество'

ВВЕДЕНИЕ

Многолетние насаждения в народном хозяйстве имеют большое значение, так как являются высшими источниками продовольственных ресурсов, промышленного сырья, велика их роль и в охране окружающей среды.

Сохранение у многолетних растений в полной мере хозяйственно ценных сортовых признаков возможно в процессе выращивания посадочного материала только через вегетативное размножение. Все сорта плодовых, винограда, многие сорта декоративных технических и других растений существуют в культуре благодаря данному способу размножения. Значение интенсификации культур растений в многолетних насаждениях, требующих более глубокой специализации способов вегетативного размножения в зависимости от биологических особенностей пород и сортов, почвенно-климатических требований. Среди способов вегетативного размножения зеленое черенкование представляет значительный интерес. Зеленые черенки с листьями обладают высокой меристиматической активностью, они более отзывчивы на воздействия, направленные на стимулирование процессов регенерации придаточных корней. Это дает возможность размножать зелеными черенками многие труднодоступные виды и сорта растений.

В нашей стране к данному способу обращались: И.В. Мичурин, М.В. Рытов, Н.К. Вехов и другие садоводы. Новый этап в становление технологии зеленого черенкования начали после того, как у растений были открыты вещества регуляторного действия и их синтез освоен в химических лабораториях. Особенно важной оказалось регуляторов роста стимулировать процесс корнеобразования стеблевых черенков.

При зеленом черенкование значительно повышает продуктивность маточников, что особенно важно при размножении новых сортов, а также для ускоренного размножения здорового посадочного материала на безвирусной основе.

Зеленому черенкованию, как и другим способам вегетативного размножения, предстоит сыграть важную роль в решении проблемы корнеспособной культуры плодовых растений, которая на протяжении длительного времени занимали умы садоводов.

Таким образом, современная технология зеленого черенкования позволяет значительно интенсифицировать способы выращивание посадочного материала различных пород и сортов, и в то же время открывает возможность для создания новых типов, лучше сохраняющих сортовые свойства, полнее удовлетворяющих производственным интересам. К тому же посадочных пород и сортов, сократить затраты ручного труда и тем самым повысить эффективность работы питомников в целом.

Необходимо положение сравнительных исследований способности видов, сортов и форм растений, особенно новой селекции к вегетативному размножению различными способами, в том числе и к зеленому черенкованию. Эти исследования имеют особое значение при подборе исходных форм в селекционной работе с вегетативно размножаемыми, а так же для специализации способов вегетативного размножения с учетом биологических особенностей пород и сортов.

Важно выявить в разрезе культур и зон лучшие варианты сочетания зеленого черенкования с размножением отводами, одревесневшими и корневыми черенками, а так же зимней прививкой и окулировкой на подвоях, выращиваемых из зеленых черенков.

Требуется дальнейшая отработка и совершенствование средств механизации и автоматизации производственных процессов при укоренении черенков и выращивании из них саженцев в защищенном грунте. Особенно важны здесь разработки по оптимизации среды при укоренении черенков в условиях искусственного тумана на основе использования ЭВМ и электронных установок. Актуальны так же исследования, направленные на выявления эффективности технологии, как по отраслям, так и на межотраслевом уровне.

ГЛАВА 1. КРАТКАЯ ХАРАКТЕРИСТИКА ТЕРРИТОРИИ И ЛЕСОРАСТИТЕЛЬНЫХ УСЛОВИЙ «ТО. ВЛАДИМИРСКОЕ ЛЕСНИЧЕСТВО»

.1 Местонахождение и площадь лесничества

лесничество рубка подкормка рельеф

Владимирское лесничество состоит из четырех участковых лесничеств: Владимирское, Головинского, Бараковское и Лавровского. Все четыре лесничества расположены в центральной части Владимирской области на территории Судогодского района.

Общая земельная площадь Владимирского лесничества - 21748 га; Головинского - 27734 га; Бараковского - 10989 га; Лавровского - 44130га.

Таблица 1 - Состав земельного и лесного фонда

Наименование лесничества

Общая земельная площадь л-ств в га

Площадь лесного фонда, га

Количество лесных участков

Местонахождение контор, лесничеств




до 5,0 га

6-20 га

21-50 га

свыше 50 га

итого


Владимирское

21748

11500

38

25

18

31

112

п Ладога

Бараковское

10989

5314

29

22

9

20

80

д Бараки

Головинское

27734

10604

234

73

22

20

349

ст. Головино

Лавровское

44130

13696

262

136

45

27

470

г Судогда

Итого

104601

41614

563

256

94

98

1011



1.2 Экономические условия в районе расположения лесничества

Сельское хозяйство колхозов и совхозов, входящих в состав лесничеств, имеет мясо-молочное направление, за последние годы получило большое развитие овощеводство и птицеводство.

Судогодский район развит в промышленном отношении. Промышленные предприятия представлены стеклозаводами имени Воровского, «Красный Куст», «Красный Богатырь», «Красный Химик», выпускающими сортовую посуду, стеклотару для химических реактивов и стеклоткань; Головинским и Коняевским электромеханическими заводами, выпускающими светотехническое оборудование и электробытовые приборы; авторемонтным заводом и заводом железобетонных изделий; комбинатом доломитовой муки и бутового камня; текстильной и швейной фабриками. По объему производства и выпуска товарной продукции предприятия района относятся к числу средних. Они имеют областное и республиканское значение.

Среди промышленных предприятий лесная и деревообрабатывающая промышленность находится на 3 месте, на долю которой приходится 22% объема валовой продукции и около 15% численности работающих. Судогодский район является одним из наиболее лесистых в области. Лесистость Судогодского района составляет 63%. Годовая потребность в древесине составляет: Владимирского лесничества - 10,9 тыс.м.; Бараковского - 5,4 тыс.м.; Головинского - 18,4 тыс. м.; Лавровского - 29,7 тыс.м. которая удовлетворяется из своих запасов соответственно на 46%, 76%, 15%, 18%.

Таблица 2 - Земельный баланс лесничеств представлен следующими категориями площадей

Наименование лесничеств

Общая площадь

В том числе



пашни

пастбища

сенокосы

кустарники

Непригодные к с/х земли

Лесная площадь всего

Покрытая лесом

Несомкнувшиеся культуры

Непокрытая лесом

Нелесная площадь

Владимирское

21748

5308

804

1315

38

2361

11500

11115,7

152,8

134,4

97,1

Бараковское

10989

2551

700

1136

7

327

5814

5556,8

101,9

132,3

23,0

Головинское

27734

7679

2425

5266

118

66

10604

10354,7

76,4

123,3

49,6

Лавровское

44130

14207

4327

9448

147

98

13696

13328,2

121,8

112,6

133,4

Всего по району

104601

29745

8276

17165

310

2852

41614

40355,4

452,9

502,6

303,1

 

Специализированных деревоперерабатывающих и других лесозаготовительных предприятий на территории района нет. Эти функции выполняли одновременно с ведением лесного хозяйства комплексные предприятия. К ним относятся Андреевский леспромхоз, Владимирский лесокомбинат, Муромцевский лесхоз-техникум, Судогодский леспромхоз. Из перечисленных предприятий основным заготовителем и потребителем древесины является андреевский леспромхоз.

В экономике района сельское хозяйство составляет 17% от стоимости всей валовой продукции. Сельское хозяйство Судогодского района имеет мясо-молочное направление с развитым картофелеводством и производством зерновых культур.

Животноводство является ведущей отраслью сельскохозяйственного производства района. В составе посевных земель они занимают 54% пахотных угодий. Остальные посевы используются для обеспечения животноводства кормами.

В промышленности занято 65% от общего количества работающих в районе, в сельском хозяйстве - 35%.

1.3 Пути транспорта

Дорожная сеть в районе расположения лесничества развита удовлетворительно. По территории Судогодского района проходят: железная дорога соединяющая Владимир и Гусь-Хрустальный, железнодорожная ветка ст. Передел - ст. Новый Быт.

Автодороги областного значения Владимир - Муром и Владимир - Гусь-Хрустальный.

Автодороги областного значения Андреево - Красный Маяк и поселок имени Воровского - Мошок.

Данные по этим дорогам смотрите в таблице:

Таблица 3

Категории дорог и наименование

Тип покрытия

Протяженность по территории МХЛ

В том числе




Мошокское

Андреевское

Головинское

Лавровское

Железные дороги

Владимир-Гусь-Хрустальный


24



24


Ст. Передел-ст. Новый Быт


28

22

5


1

Автомобильные дороги

Республиканского значения Владимир-Муром



асфальтное

80

20

15

20

25

Владимир-Гусь-Хрустальный

покрытие

21



16

5

Областного значения Андреево-Красный Маяк

______

19

19




Пос. им. Воровского-с. Мошок

______

16


16



Всего


188






На территории расположения лесничеств широко развита сеть проселочных работ, которые используются для нужд лесного хозяйства. Все лесные массивы лесничества доступны для проезда на автомашинах и тракторах. С наступлением зимы грузооборот на автомобильных дорогах несколько уменьшается, а часть его перевозится по железной дороге.

Реки района не могут быть использованы как транспортные магистрали. Они больше представляют интерес для туристов.

1.4 Природоохранное и рекреационное значение лесов

Леса Владимирского лесничества, а также остальных предприятий лесного хозяйства, имеют важное значение в экономике района. Все леса имеют большое водоохранное, водорегулирующее, почвозащитное и санитарно-гигиеническое значение. Лес - хранитель и распределитель влаги. Прибавка урожая за счет лесов, окружающих сельхозугодия, составляет 2-4 центнера с 1 гектара. Удельный вес валовой продукции лесного хозяйства в экономике района составляет 12%.

В лесах района заготавливается около 200 тыс. м3 древесины, из которых большая часть ее вывозится за пределы района и области. Предприятия лесного хозяйства района полностью обеспечивают древесиной местных потребителей.

Важную роль в экономике района имеют побочные пользования в лесу: сенокошение, пастьба скота, сбор грибов, ягод и лекарственного сырья.

В лесах района ежегодно заготавливается около 200 тонн грибов, 120 тонн ивового корья, собирается около 1 тонны лекарственного сырья.

Сельскохозяйственное производство не обеспечено еще прочной кормовой базой и вынуждено возмещать недостаток кормов за счет выпаса скота в лесу. Следует отметить, что пастьба скота в лесу ведется бессистемно и наносит вред лесному хозяйству.

Существенную роль в обеспечении потребностей района товарами производственного назначения и народного потребления играют цеха по переработке древесины, имеющиеся в лесных предприятиях.

На территории района расположено Судогодское общество охотников и рыболовов. Охота носит любительский характер. Животный мир района относительно беден и насыщенность лесов зверями и птицами невелика. Основная водная артерия - река Судогда, пересекающая лесные массивы района, является излюбленным местом отдыха не только местного населения, но и жителей г. Владимира.

Таким образом, значение лесного хозяйства в районе и расположение лесхоза заключается в следующим:

Улучшение водного режима рек и обеспечение защитных функций лесов вдоль железных и автомобильных дорог;

Удовлетворение потребностей в древесине местных потребителей;

Удовлетворение потребности в сенокосах, пашнях, пастбищах и других видах побочного пользования;

Использование лесов, как мест отдыха населения;

Сохранение и развитие охотничьей фауны.

Повышение общей производительности лесов, рациональное использование заготовляемой древесины, развитие побочных пользований лесам - неотложная задача работников лесного хозяйства.

1.5 Лесорастительная зона и климат

Согласно ботанико-географическому делению Владимирской области территории Владимирского, Бараковского, Головинского и Лавровского лесничеств относятся к подрайону сосново-еловых лесов Клязьминско-Окской возвышенности, центрального района под зоны смешанных лесов.

Отличительными особенностями лесорастительных условий данного района является: умеренный климат с несуровой зимой и нежарким летом, достаточное для растительности количество летних осадков, умеренное влияние на растительность весенних и ранее осенних заморозков.

Территория всех лесничеств представляет собой пологоволнистую равнину, расчлененную неглубокими оврагами. Развитие эрозионных процессов не наблюдается.

С учетом почвообразующих пород, рельефа местности и растительности в лесах Владимирского, Бараковского, Головинского и Лавровского лесничеств выделены следующие почвы: супесчаные, песчаные, иловатоперегнойно-глеевые, реже встречаются суглинистые почвы.

Все реки протекающие на территории лесничеств принадлежат Окско-Клазьминской системе.

Основными водными артериями является река Клязьма и ее притоки первого порядка река Судогда.

Река Клязьма протекает на северо-западной границе Владимирского и Лавровского лесничества.

Река Судогда с притоками река Войнинга, Побойка и река Сойма протекают на территории Лавровского лесничества. Реки имеют малые уклоны русла и протекают в неширокой пойме.

Леса на водоразделах и сколах более равномерно распределяют осадки, замедляют таяние снега, ослабляют сток воды, способствуют лучшему проникновению осадков в глубь почвы, переводят стремительный поверхностный сток в замедленный подземный, механически укрепляют вершины оврагов и берега рек от размывов и обвалов, а почвы от смыва и обеспечивают равномерное питание рек подземными водами.

Исключительно положительное влияние лес оказывает на поля колхозов и совхозов, защищая сельскохозяйственную площадь от ветров, уменьшая их скорость. Это сокращает испарение влаги на полях, понижает максимальные температуры воздуха, увеличивает влажность его, уменьшает сдувание снега, а следовательно увеличивает запасы влаги в почве весной и предохраняет мелкие частицы почвы от выдувания.

Климат района расположения Судогодского лесхоза умеренно-континентальный. Характеризуется умеренно-теплым летом, холодной зимой, облачной и дождливой осенью и короткой ясной весной.

Основными климатическими факторами, определяющими условия роста и развития древесной растительности, являются тепло и влага.

Для характеристики климата района расположения лесничества использованы материалы многолетних наблюдений гидрометеорологической станций г. Гусь-Хрустальный.

Таблица 4 - Климатическая характеристика района расположение лесничества по данным метеостанции г. Гусь-Хрустальный

Месяцы

Средняя 0 С

Абсолютная t

Кол-во осадков, мм

В т.ч. снежный покров, мм

Средняя относительная влажность воздуха, %

Ветры







направление

Скорость, м/сек



max

min






Январь

-11,2

3,6

-37,4

35

35

86

Ю

4,6

Февраль

-11,2

3,2

-38,2

30

46

85

Ю

4,1

Март

-5,3

7,8

-30,2

30

30

84

Ю, ЮЗ, ЮВ

4,3

Апрель

-3,8

26,9

-21,8

35

10

75

Ю, ЮЗ, ЮВ

4,1

Май

11,8

30,5

-4,4

45


62

Ю, ЮЗ, ЮВ

4,0

Июнь

15,7

32,8

0

65


65

ЮВ, Ю, З

3,9

Июль

18,3

34,3

4,4

75


70

ЮВ, Ю, З

3,5

Август

 16,2

33,3

2,0

65


74

ЮВ, Ю, З

3,4

Сентябрь

10,5

29,3

-3,2

55


78

ЮВ, Ю, З

3,9

Октябрь

3,7

20,2

-10,1

50


84

Ю, ЮВ, З

4,0

Ноябрь

-3,0

11,1

-33,7

40

6

88

Ю, ЮВ, З

4,4

Декабрь

-8,7

6,7

-31,9

40

25

88

Ю, ЮВ, З

4,1

Средняя за год

3,4

34,3

-38,2

565


78


Период с положительными среднесуточными температурами продолжается 201-212 дней с 4-12 апреля по 30октября-2 ноября. Безморозный период длится 128-136 дней с 10-20 мая по 18-22 сентября. Среднемесячная температура самого теплого месяца года (июль) равна 18,30, в отдельные годы она колеблется от 13,60 до 24,20, среднемесячная температура самого холодного месяца января, равна - 11,20.

Устойчивый снежный покров образуется в среднем в третьей декаде ноября и сохраняется до начала апреля. Высота снежного покрова к концу зимы достигает 39-46 см.

Промерзание почвы начинается со старой половины ноября, после установления отрицательных температур воздуха. Глубина промерзания почвы достигает к концу марта 54-90 см. Оттаивание почвы начинается через один - два дня после схода снежного покрова и кончается 20-23 апреля.

Годовая сумма осадков составляет 565 мм. Две трети осадков выпадает в виде дождя и одна треть в виде снега.

Сумма осадков за период активной вегетации (март - сентябрь) составляет в среднем 300 мм, что достаточно для нормального роста и развития древесных растений. Летом преобладают дожди средней интенсивности, хорошо увлажняющие почву. Сильные ливневые дожди бывают редко. Господствующие ветры на территории лесничества юго-западного и южного направления. Среднегодовая скорость ветра - 4 м/сек.

В целом климатические условия района и расположения лесничества благоприятны для роста и развития древесных и кустарниковых пород, характеризующих данный лесорастительный район.

1.6 Почвы лесничества

Почвообразующие породы на территории ТО «Владимирское лесничество» представлены следующими отложениями:

Мореной алюмосиликатной и карбонатной разной мощности и механического состава;

Делювием разной мощности, механического состава и происхождения;

Элювием доломитизированного известняка;

Флювиоглациальными и древнеаллювивальными песчаными отложениями.

На территории лесничества выделено пять типов почвообразование: подзолистый, дерново-подзолистый, дерново-карбонатный, полуболотный и болотный.

В подзолистом типе выделены следующие виды: слабоподзолистые, среднеподзолистые, сильноподзолистые, сильноподзолистые глееватые и подзолы глеевые и глееватые.

В дерново-подзолистые: дерново-слабо подзолистые, дерново-среднеподзолистые, дерново-сильноподзолистые, дерново-глубокоподзолистые, дерново-сильноподзолистые глееватые.

В дерново-карбонатном: дерново-карбонатные, дерново-карбонатные выщелоченные, дерново-карбонатные оподзоленные.

В полуболотном: торфянисто-подзолисто-глеевые, торфяно-подзолисто-глеевые, торфянисто-перегнойно подзолистые глеевые.

В болотном: торфянисто-глеевые, торфяно-глеевые, торфяно-перегнойно-глеевые, перегнойно-глеевые, торфяники маломощные низинного болота. Наибольшее распространение по механическому составу в лесничестве имеют супесчатые, реже песчатые почвы, суглинки встречаются редко, в виде отдельных пятен среди супесей.

По степени оподзоленности преобладают слабоподзолистые и дерново-среднеподзолистые почвы.

По степени увлажнения преобладают свежие и влажные почвы.

Спокойный равнинный рельеф территории и плавный переход от одного уровня к другому предохраняет почву от размыва.

1.7 Рельеф, гидрогафия и гидрологические условия

Территория Владимирского лесничества расположена на водораздельном плато между бассейнами рек Оки и Клязьмы. Начиная с северо-западной части лесничества, где абсолютная высота над уровнем моря.

Характерной особенностью территории Владимирского лесничества является малое количество рек и ручьев.

Основными водными артериями является река Клязьма и ее приток первого порядка река Судогда.

Река Клязьма протекает по северо-западной границе лесничества на протяжении 28 км. Ширина река Клязьма 200-250 м., глубина от 2 до 6 м., часто встречаются мели, средняя скорость течения - 0,4 м/сек. Весенние половодье длится в течение месяца. При этом уровень воды поднимается выше нормы на 5-8 м.

Река Судогда протекает в центральной части лесничества на протяжении 41 км. Она имеет вполне оформленное русло шириной от 10 до 20 и глубиной от 1 до 6 м. Весенние половодье продолжается 6-10 дней с подъемов воды до 2 м.

Река Побойка, проток река Клязьма второго порядка, протекает в южной части лесничества на протяжении 10 км.

Река Сойма, приток река Клязьма третьего порядка, протекает в западной части лесничества на протяжении 20 км.

Река Ястреб, приток река Клязьма третьего порядка, протекает в южной части лесничества на протяжении 15 км.

Река Печенка, приток река Клязьма третьего порядка, протекает в южной части лесничества на протяжении 8 км.

Реки Высокуша, Каменка, притоки реки Клязьмы четвертого порядка, протекают в западной части лесничества.

В восточной и юго-восточной части лесничества, находящихся на другой стороне водораздела, берут начало ручьи, впадающие в реки Колпь и Ушна бассейна реки Оки.

Уровень весенних паводковых вод рек, протекающих по территории лесничества, не имеет резких колебаний, что объясняется высоким процентом лесистости и равнинам характером местности, благодаря чему создаются условия для постепенного и длительного питания рек поверхностными водами.

На территории лесничества имеются несколько озер площадью от 1 до 6 га. Это разновозрастные пойменные водоемы с произрастанием реликтового растения Водяного ореха. Все они подлежат сохранению в естественном виде, как памятники природы.

Уровень грунтовых вод зависит от высоты местности. В северной части лесничества грунтовые воды залегают на глубине 0,5-2,5 м. Это наиболее пониженная часть территории и здесь образовано наибольшее количество болот. В центральной части лесничества грунтовые воды расположены на глубине 8-12 м., в южной 3-7 м. Такая глубина залегания грунтовых вод способствуют обеспечению древесных растений доступной влагой в течение всего вегетативного периода.

Глава 2. Характеристика Лесного Фонда Лесничества. Лесопользование

.1 Группы и категории лесов. Распределение лесопокрытой площади по бонитету, полноте

На территории лесничеств выделены леса I и II групп.

К I группе отнесены:

Запретные полосы лесов, защищающие нерестилища ценных рыб;

Защитные полосы вдоль железных дорог;

Защитные полосы вдоль автомобильных дорог;

Запретные полосы вдоль рек.

Во II группу отнесены все остальные эксплуатируемые леса.

В таблице приведено распределение общий площади лесного фонда на основании категории земель.

Таблица 5 - Основные показатели по лесному фонду

Наименование лесничеств

Общая S

Покрытая лесом

Несомкнувшиеся культуры

Не покрытая лесом

Др. не исп-ные S



итого

Искус-ного происхождения


редины

гари

вырубки

прогалины

итого


Группа лесов. Запретные полосы лесов, защищающие нерестилища ценных промысловых рыб.

Головинское

418

415,0


2,0






1,0

Лавровское

307

307,0

24,9








Итого

725

722,0

24,9

2,0






1,0

Защитные полосы вдоль железных дорог.

Владимирское

127

126,6

3,0







0,4

Баракавское

87

82,2





4,0

0,8

4,8


Головинское

552

540,5

15,1

4,5



0,8

5,4

6,2

0,8

Лавровское

56

 56,0

 20,9








Итого

822

805,3

39,0

4,5



4,8

6,2

11,0

1,2

Защитные полосы вдоль автомобильных дорог.

Владимирское

199

194,5

33,7





4,5

4,5


Бараковское

208

208,0

44,8








Головинское

253

252,3

39,1







0,7

Лавровское

259

257,3

16,2





1,7

1,7


Итого

919

912,1

133,8





6,2

6,2

0,7

Запретные полосы вдоль рек.

Владимирское

1394

1320,3

68,2

30,3



2,7

40,7

43,4


Головинское

7044

6893,8

519,1

32,1



61,3

11,7

73,0

45,1

Лавровское

9805

9467,8

256,8

119,2

2,0

15,8

70,4

17,6

105,8

112,2

Итого

18243

17681,9

844,1

181,6

2,0

15,8

134,4

70,0

222,2

157,3

Итого по 1 группе

 Владимирское

326

321,1

36,7





4,5

4,5

0,4

Бараковское

1639

1610,5

113,0

30,3



6,7

41,5

48,2


Головинское

8267

8101,6

573,3

38,6



62,1

17,1

79,2

47,6

Лавровское

10427

10088,1

318,8

119,2

2,0

15,8

70,4

19,3

107,5

112,2

Итого

20709

20121,3

1041,8

188,1

2,0

15,8

139,2

82,4

239,4

160,2

Группа лесов. Эксплуатируемые леса.

Владимирское

11174

10794,6

823,6

152,8


3,5

85,8

40,6

129,9

96,7

Бараковское

4125

3946,3

1025,7

71,6

9,3


8,8

66,0

84,1

23,0

Головинское

2337

2253,1

18,5

37,8


36,0

6,9

1,2

44,1

2,0

Лавровское

3269

3240,1

70,1

2,6



3,9

1,2

5,1

21,2

Итого

20905

20234,1

1937,9

264,8

9,3

39,5

105,4

109,0

263,2

142,9

Всего по МХЛ


41614,0

40355,4

2979,7

452,9

11,3

55,3

244,6

191,4

502,6

303,1

В том числе по лесничествам.

Владимирское

11500

11115,7

860,3

152,8


3,5

85,8

45,1

134,4

97,1

%

100

96,7

7,7

1,3



0,7

0,4

1,2

0,8

Бараковское

5814

5556,8

1138,7

101,9

9,3


15,5

107,5

132,3

23,0

%

100

95,6

19,6

1,7

0,2


0,3

1,8

2,3

0,4

Головинское

10604

10354,7

591,8

76,4


36,0

69,0

18,3

123,3

49,6

%

100

97,6

5,7

0,7


0,3

0,7

0,2

1,2

0,5

Лавровское

13696

388,9

121,8

2,0

15,8

74,3

20,5

112,6

133,4

%

100

97,3

2,9

0,9


0,1

0,6

0,1

0,8

1,0


Таблица 6 - Распределение покрытой лесом площади по преобладающим породам и классам бонитета в лесничестве (по шкале М.М. Орлова)

Преобладающая порода

Классы бонитета

Всего

Средний класс бонитета


I

II

III

IV

V

га

%


Сосна обыкновенная

40

748

10475

899

130

61

68

5

3

12429

38,9

1,1

Ель европейская

9

60

7194

1314

21

___

___

___

___

8598

26,9

1,1

Лиственница сибирская

 ___

6

21

___

___

___

___

___

___

27

0,1

1,2

Дуб черешчатый

 ___

 ___

___

90

226

77

3

___

___

396

1,2

111,0

Береза

 ___

17

3029

4218

477

105

34

21

___

7896

24,8

1,7

Осина

 ___

 ___

799

1524

43

___

___

___

___

2366

7,4

1,7

Ольха черная

 ___

 ___

___

44

47

___

___

___

___

91

0,3

11,5

Ольха серая

 ___

 ___

2

31

28

8

___

___

___

69

0,2

11,6

Липа мелколистная

 ___

 ___

 ___

38

2

 ___

 ___

 ___

 ___

 40

 0,1

 11,1

Клен остролистый

 ___

 ___

 ___

20

 ___

 ___

 ___

 ___

 ___

 20

 0,1

 11,0

Тополь

2

1

2

4

 ___

 ___

 ___

 ___

 ___

 9

 ___

 1,0

Вяз гладкий

 ___

 ___

 ___

1

 ___

 ___

 ___

 ___

 ___

 1

 ___

 11,0

Ива белая

 ___

 ___

 ___

 ___

 ___

1

 ___

 ___

 ___

 1

 ___

 6,0

Итого

51

832

26522

9983

974

252

105

26


41614,0

 100

 1,3

%

0,2

2,6

67,4

25,6

3,0

0,8

0,3

0,1


 100



Таблица 7 - Распределение покрытой лесом площади по полноте, га

Преобладающая порода

Полнота насаждений

Итого

Ср. полнота


0,3

0,4

0,5

0,6

0,7

0,8

0,9

1,0



Сосна обыкновенная

35

135

429

1741

5669

3993

393

34

12429

0,71

Ель европейская

18

102

399

1523

4468

1816

261

11

8598

0,70

Лиственница сибирская

__

__

__

5

13

8

1

__

27

0,72

Дуб черешчатый

16

29

47

109

183

12

__

__

396

0,61

Береза

11

113

345

720

4501

4581

80

12

12895

0,69

Осина

4

270

190

1190

2361

__

__

__

3695

0,58

Ольха черная

__

__

10

11

7

6

6

__

40

0,67

Ольха серая

4

15

69

202

1182

783

87

24

2366

0,73

Липа мелколистная

__

__

10

25

27

27

__

__

91

0,57

Клен остролистый

__

__

2

11

7

__

__

__

20

0,62

Тополь

__

1

5

2

__

__

__

9

059

Вяз гладкий

__

__

__

__

1

__

__

__

1

0,01

Ива белая

__

__

__

__

__

__

__

__

1

0,01

Итого









41614,0


%












Типы леса, условия местопроизрастания и естественное возобновление

Для лесотипологической характеристики насаждений лесоустройством приняты типы условий местопроизрастания и типы леса.

Наиболее распространенными во Владимирском лесничестве являются типы условий местопроизрастания ВЗ - влажные субори, СЗ - влажные судебравы и соответствующие им типы леса: папоротниково-снытьевый, кисличники, снытьевые, злаковоразнотравные, чернично-зеленомошниковые, черничники, щучково-разнотравные. Другие типы леса для лесничества менее характерны. Естественное возобновление на непокрытых лесом площадях происходит с преобладанием мягколиственных пород.

Лесоустройством проведено исследование хода роста естественного возобновления на непокрытых лесом площадях в наиболее распространенных почвенно-грунтовых условий. В лесничестве имеется непокрытая лесом площадь в 502,6 га, представленная прогалинами, рединами, необлесившимися.

2.2 Характеристика лесопользования

Пользование древесиной в лесничестве производится в порядке рубок главного пользования и рубок ухода. Так, использование древесины в 2010году производилось в размерах, приведенных в таблице 7. Данные по этой таблице показывают, что большая часть заготовленной древесины получается от рубок ухода и санитарных рубок. По этим видам рубок заготовлено на 2,3% больше, чем по рубкам главного пользования, что свидетельствует о больших лесохозяйственных мероприятиях. Большая часть древесины - 34749 м3 или 96,3% заготавливается силами лесничества и только 1325 м3 или3,7% другими лесозаготовительными организациями. В порядке рубок главного пользования лесничества вырубает 16483 м3 древесины, что составляет 45,7% от общего вырубаемого запаса.

Таблица 8 - Характеристика лесопользования

Показатели

Площадь (га)

Запас древесины (м3)

Расчетная лесосека

288

56500

Из них по хозяйствам:



- хвойному

153

30700

- мелколиственному

130

30700

- твердолистному

5

900

Заготовлено всего:



- по главному пользованию

134,2

36074

- по рубкам ухода и санитарным рубкам

2262,5

17570

- по прочим рубкам


2021

Заготовлено древесины всего:


36070

- деловой


20252

- дровяной


15822

Заготовлено:



ТО «Влад.л-во»


34749

- другими организациями


1325


Так как в лесничестве преобладающие большинство площадей занято хвойным и мягколиственным хозяйством, то и запас древесины по этим хозяйством, подлежащих вырубке составляет:

Для хвойного хозяйства - 54,3%;

Для легколиственного хозяйства - 44,1%.

2.4 Лесные таксы

Разряд лесных такс установлены в зависимости от расстояния вывозки древесины от центра кварталов до ближайшего пункта, откуда возможна погрузка древесины на транспорте дороги общего пользования.

В лесничестве применяются первый и второй разряд лесных такс, в том числе покрытой лесом площади 1 разряда - 23695 га, по 2 разряду - 17919 га.

Таблица 9 - Ставки плана за единицу объема древесины лесных насаждений (основные породы)

Породы лесных насаждений

Разряды такс

Расстояние вывозки, км

Ставка платы, рублей за 1 плотный куб. м




Деловая древесина без коры

Дровяная древесина (в коре)




крупная

средняя

мелкая


Владимирский лесотаксовый район

Сосна

1

до 10

137,88

98,64

49,14

3,24


2

10,1-25

125,64

89,82

44,64

3,24


3

25,1-40

106,38

76,5

38,34

2,16


4

40,1-60

82,08

57,96

29,52

2,16


5

60,1-80

62,46

44,64

22,14

2,16


6

80,1-100

50,22

35,82

17,82

2,16


7

100,1-и более

37,62

27

13,32

1,08

Ель, пихта

1

до 10

124,56

88,74

44,64

3,24


2

10,1-25

113,04

80,82

40,32

3,24


3

25,1-40

95,4

68,76

34,02

2,16


4

40,1-60

73,08

52,74

26,28

2,16


5

60,1-80

56,16

40,32

19,98

2,16


6

80,1-100

44,64

32,58

15,48

1,08


7

100,1-и более

34,02

24,3

12,24

1,08

Береза

1

до 10

68,76

49,14

25,2

4,14


2

10,1-25

62,46

44,64

22,14

4,14


3

25,1-40

53,64

38,34

18,9

2,88


4

40,1-60

41,4

29,52

14,4

2,88


5

60,1-80

31,32

22,14

11,52

2,16


6

80,1-100

25,2

17,82

8,82

1,8


2.5 Размер и возраст рубок

Количество вырубленной древесины невелико. Размер ежегодного пользования составляет 3,6 т.м3, а размер ежегодного лесосеки - 46 га. Возвраты рубок по хозяйством приведена в таблице 10. Из нее видно, что возраст рубок в лесохозяйственной части в среднем на один класс возраста ниже, чем в лесопарковой хозчасти.

В лесохозяйственной хозчасти возрасты рубок во всех хоз. секциях приурочены к возрасту технической спелости древесины, то есть возрастам наивысшего выхода сортиментов из спелого леса.

Таблица 10 - Возраст рубок

Хоз. секции

Хозяйственная часть


лесопарковая

лесохозяйственная

Сосновая

121-140

101-120

Еловая

101-120

81-100

Березовая

71-80

61-70

Осиновая

41-50

41-50

Дубовая низкоствольная

101-110

101-110


В лесопарковой хозчасти возраст рубок включает, в основном, перестойные насаждения которые уже нельзя дольше оставлять на корню в санитарных целях.

Возрасты рубок по хоз. секциям и хозчастям составлены в соответствии с правилами рубки главного пользования в равнинных лесах Европейской части России.

2.6 Способы рубок

В зависимости от состояния насаждений, наличия и состояния подроста, лесорастительных условий в лесничестве применяются три способа рубок: сплошнолесосечный, постепенный (2-х, 3-х приемный) и выборочный (добровольно-выборочный).

Сплошнолесосечным способом пользуются редко из-за целевого назначения лесничества. Ширина лесосек превышает 100 м. Наиболее распространен в лесничестве постепенный способ рубки. При котором на месте вырубленного леса возникает одновозрастное (в пределах класса) поколение леса. В смешанных древостоях в первый прием вырубается менее ценные составляющие.

Выборочные рубки, практикуемые в лесничестве, благоприятные для возобновления ели.

2.7 Рубки ухода за лесом

В лесничестве применяются все виды рубок ухода, кроме химического. Ежегодный размер рубок ухода составляет: площадь 549 га; общий запас 18,58 т.м3; ликвидный запас 15,9 т.м3.

Осветление 29 га - 0,10 т.м3;

Прочистки 79 га - 1,08 т.м3;

Прореживание - 4,38 т.м3;

Проходные рубки - 13,02 т.м3.

Наибольший размер из рубок ухода приходится на проходные рубки, которые должны быть закончены за один класс возраста до рубок главного пользования. На ее долю приходится 51,3% от суммарной площади по всем видам рубок и 70% от общего запаса древесины.

Прореживание производится в средневозрастных насаждениях, а осветление и прочистки - в молодняках I и II классов возрастов.

Осветление и прочистки в лесничестве механизированы. При прореживании и проходных рубках применяются бензопилы «Хускварна» и трактора ТДТ - 55, МТЗ - 82, малой комплексной бригадой по 5 - 6 человек.

2.8 Побочные пользования

Основными видами побочного пользования на территории лесничества являются сенокошение, выпас скота, сбор грибов, ягод и лесных орехов. Так как в Судогодском районе хорошо развиты молочно-животноводческое, свиноводческое и птицеводческое хозяйство, то сенокошение и выпас скота приобретают важное значение.

Пастьба скота в лесу занимает огромные площади. Эти мероприятия отрицательно сказываются на жизнедеятельности и развитие лесных насаждений. Поэтому в некоторых кварталах разрешается пастьба скота в количестве 1 головы на 3 га. Общая площадь лесов, отведенных под пастьбу скота составляет 10820 га, что соответствует 26% всей площади.

Таблица 11 - Распределение площади сенокосов по видам

Вид сенокоса

Общая площадь

Качество сенокосных угодий



хороших

средних

плохих

Суходольный

182

19

152

11

Заливной

44

1

37

6

Заболоченный

57

___

3

54

Низинный

23

___

10

12

Итого

306

20

202

84


2.9 Охрана леса

Санитарное состояние насаждений лесничества - удовлетворительное. Однако в отдельных случаях наблюдается повышенный отпад насаждений, вызванный различными видами заболеваний леса. Причины эти следующие: для сосновых насаждений - смоляной рак сосны и стволовой вредитель, еловые насаждения страдают от корневой губки и ржавчины хвои, а также от стволовых вредителей.

В лесах лесничества встречаются также обыкновенная шютте сосны, полегание сеянцев, выпревание сеянцев хвойных пород.

В лиственных насаждениях попадаются гнилевые болезни стволов и корней. Дуб подвержен заболеванию мучнистой росой. Усыхание и ослабление сосновых культур и молодняков происходит от воздействия майского хруща, большого соснового долгоносика, побеговьюна.

Лесоустройством предусмотрено проведение санитарных рубок в первые 2 года ревизионного периода. На предстоящий ревизионный период в лесничестве планируется следующие мероприятия: текущие лесопатологическое обследование на площадь 36109 га; расселение семей муравьев из расчета 4 муравейника на 1 га; почвенные раскопки на захрущенность в количестве 500 ям размером 1*1*0,5, из расчета 3 ямы на 1 га; устройство новых гнездовий для птиц - 1200 шт.; выборка свежезаселенных деревьев стволовыми вредителями - 2500 м3.

Большая плотность населения в районе лесничества наличие довольно густой сети шоссейных, железных и прочих дорог в значительной степени создают угрозу для возникновения лесных пожаров.

Распределение общей площади лесничества по классам пожарной опасности: I - 6804 га - 19%, II - 14663 га - 41%, III - 10309 га - 28%, IV - 4333 га - 12%.

Исходя из вышесказанного, видно, что большую площадь лесов занимает насаждения средней пожарной опасности - 69%.

Силами лесничества распространяются плакаты и подписи. Ежегодно проводится опашка хвойных молодняков, устройство и обновление минерализованных полос. В лесу вдоль дорог устраиваются места для курения и предупредительные аншлаги. С целью пожарной безопасности мероприятия лесничества направлены на выращивание здоровых, смешанных, разновозрастных насаждений с противопожарными разрывами и опушками из лиственных пород.

2.10 Лесовостановление и лесоразведение

В настоящие время, при проектирование лесовосстановительных мероприятий в предстоящем десятилетии руководствовались расчетно-технологическими назначениями, в соответствии с которыми предусматривается создание чистых культур с расчетом участия в их составе естественного возобновления лиственных пород.

Таблица 12 - Площади, предназначенные под искусственное возобновление в разрезе перспективных пород

Проектируемая перспективная порода

Категория площади

Общая площадь, га

Обработка площади




Трактор. полоса

Механизированная

Ручная

Сосна

Вырубки Прогалины Редины  Гари

164 4 1 17

164 4 1 17


164 4 1 17

Ель

Вырубки  Прогалины

123 1

123 1


123 1

Итого


310

310


310

 

Как видно из таблицы 12, обработка почвы механизирована полностью. Предпочтение отдается сосне обыкновенной - 65%, как наиболее ценной хозяйственной породе.

Общая площадь лесных культур, запроектированных на ревизионный период, составляет - 310 га.

Ежегодная потребность в сеянцах составляет 140 тыс.шт. Существенную площадь посевных отделений базисных питомников вполне достаточна для размещения данных посевов.

В лесничестве нет постоянных лесосеменных участков. В связи с этим введены 180 га насаждений для организации в них временных лесосеменных участков.

В целях естественного возобновления леса на лесосеках запроектировано оставление семенников в виде куртин площадью 10-25 м3 с общей площадью не менее 0,2 га на 1 га вырубки.

ГЛАВА 3. ЭКОНОМИЧЕСКАЯ ХАРАКТЕРИСТИКА ТО «ВЛАДИМИРСКОЕ ЛЕСНИЧЕСТВО»

.1 Основные средства ТО «Владимирское лесничество»

В основу этой главы взяты данные из бухгалтерского учета, балансового отчета и отчетных материалов лесничества.

Таблица 13 - Структура основных средств

№ п/п

Группы основных средств

На начало года в тыс. руб.

На конец года в тыс. руб.

В % к итогу


Промышленно-производственные средства

1

Здания

980,7

1090,0

29,7

2

Сооружения

14,6

14,8

4,5

3-4

Машины и оборудования всего

500,3

45,9


Рабочие

260,1

260,1

11,6


Силовые

240,2

260,1

10,5

5

Транспортные средства

900,5

930,8

34,3

6-12

Инструменты и хозинвентарь

8,3

9,2

17,9

Б

Основные фонды

2664,2

3065,3

100

В

Непроизводственные основные средства


Всего в том числе:

2390,8

2400,1

100

1

Жилищное хозяйство

1960,7

1970,0

82,1

2-3

Коммунальное хозяйство

430,1

430,1

17,9


Из таблицы видно, что основу почти всех основных средств составляют машины оборудование и здания - 75,6%, транспортные средства - 34,3%.

По группе непроизводственных основных средств основное место занимает жилищное строительство - 82,1% и лишь 17,9% приходится на коммунальное строительство и бытовое обслуживание.

3.1 Кадры лесничества

Во Владимирском лесничестве работают высококвалифицированные кадры инженерно-технических работников и служащих.

Высокая организация труда и умелое руководство лесничих обеспечивают выполнение планов по лесничеству. Связь между лесничествами и контроль лесничества осуществляется по местному телефону.

Таблица 14 - Кадры ТО «Владимирское лесничество»

Категория рабочих

Среднесписочное число рабочих


По плану

Фактическое

ИТР

22

22

Служащие

6

6

МОП

4

4


Как видно из таблицы - всего в лесничестве 32 человека. Многие инженерно-технические работники окончили МГУЛ.

ГЛАВА 4. ИСТОРИЯ ИЗУЧЕНИЯ СПОСОБОВ ВЕГЕТАТИВНОГО РАЗМНОЖЕНИЯ

Для сохранения ценных хозяйственно-биологических признаков отселектированных и сортовых многолетних древесных и кустарниковых растений применяют различные способы вегетативного размножения. Для успешного черенкования необходимо знать биологические особенности размножаемых растений и умело их использовать.

Применение синтетических регуляторов роста для обработки черенков позволяет ускорить корнеобразовательный процесс, улучшить развитие корневой и надземной системы и увеличить выход укоренных черенков.

Московская сельскохозяйственная академия имени К.А. Тимирязева внесла значительный вклад в теорию и практику современной теории зеленого черенкования.

Первые опыты по зеленому черенкованию в ТСХА были проведены М.Т. Тарасенко на плодовой отчетной станции академии в 1934 году на ряде сортов крыжовника 1935 года началось изучение способности к размножению зелеными черенками 115 различных видов и сортов садовых растений. Опыты положили начало дальнейшим исследованиям, в результате которых была установлена связь способности к регенерации придаточных корней при размножении зелеными черенками у различных жизненных форм их эволюцией. Сделан вывод, что это свойство наследственное и может передаваться потомством при гибридизации. Выявлено большое количество вводов, сортов и форм растений, перспективных для размножения зелеными черенками.

В 1940году началось изучение влияния регуляторов роста на укореняемость зеленых черенков многих видов и сортов растений. Их эффективность особенно заметна, проявилась на вишне и сливе. Выявлялась физиологическая активность отдельных признаков, оптимальные концентрации, срок и способ обработки черенков.

Основы технологии зеленого черенкования с применением регуляторов роста определились к концу 40-х годов. Были изданы рекомендации в подмосковных питомниках началось освоение зеленого черенкования. Саженцами из зеленных черенков в ТСХА и в ряде хозяйств заложены насаждения положившие начало новому типу корнесобственной культуры вишни и сливы.

В конце 50-х годов ТСХА под руководством кафедры плодоводства было начато комплексное исследование по оптимизации факторов внешней среды для ускорения роста черенков и разработке необходимых инженерно-технических средств. В разработке и совершенствовании технологии зеленого черенкования особое место принадлежит совхозу «Память Ильича». В хозяйстве еще в 40-х годах под руководством кафедры плодоводства началось освоение технологии зеленого черенкования с применением регуляторов роста, а в 60-е годы по разработанному в академии экспериментальному проекту была построена первая в России промышленная установка искусственного тумана в защищенном грунте и началась планомерная отработка современной технологии зеленого черенкования. Здесь осуществлялся побор пород и сортов, перспективных для зеленого черенкования, совершенствовались технические средства и элементы технологии применительные к центральному району нечерноземной зоны России.

На базе питомника совхоза «Память Ильича» нашли производственное воплощение и дальнейшее развитие, плодотворные работы профессора академии Э.Э. Савдома и сотрудников ТСХА по оздоровлению посадочного материала ягодных культур. Важно, что бы эти исследования сочетались с разработкой ускоренных методов размножения оздоровленного посадочного материала.

С разработкой основных элементов зеленого черенкования в новом свете представлена проблема культуры плодовых в корнесобственных насаждениях. С 50-х годов на кафедре лесоводства изучается многовековый отечественный опыт возделывания плодовых в корнеспособной культуре основанной на порослевом размножении. С помощью аспирантов и студентов проведено биологическое обследование корнесобственных насаждений косточковых в Подмосковье, Поволжье, Украине и Молдавии. Изучение особенностей роста и плодоношения корнесобственных насаждений вишни и сливы, заложенных саженцами из зеленых черенков выявило перспективность такого типа культуры для ряда сортов косточковых.

В 1970 году объединенный научно-технический совет МСХ России и Всесоюзного объединения «Союзсельхозтехника» Совета Министров признала приоритет академии в создании промышленной технологии зеленого черенкования. В 1971 году в ТСХА состоялось представительное совещание специалистов стран членов СЭВ, изучивших опыт нашей страны по выращиванию посадочного материала на основе зеленого черенкования.

В конце 70-х начале 80-х годов под руководством кафедры плодоводство разрабатывалось техническое задание и осуществлялось проектирование на территории плодово-опытной станции садового комплекса, предусматривалось промышленное выращивание посадочного материала садовых культур с широким использованием зеленого черенкования. Это открыло новые перспективы для научно-исследовательской работы и подготовки кадров в области питомниководства.

В течение 1975-1981гг. во ВНИИЛМе проводились работы по изучению способности отобранных декоративных лиственных пород и гибридов к вегетативному размножению методов укоренения черенков. Эти опытные исследования делались с целью получения посадочного материала до первичного клопового размножения наиболее ценных продуцентов и гибридов. Как показали исследования ВНИИЛМа метод черенкования имеет и недостатки.

Первой отрицательной стороной является то, что укоренившиеся черенки, срезанные с одного взрослого маточного дерева, как правило дают не однородное по быстроте роста потомство. Это явление получило название «Эффект черенкования». Обычно более однородное потомство можно получить лишь при заготовке черенков с более молодых растений при размножении почками и более молодыми частями растений (тканевыми культурами).

Другой отрицательной стороной метода черенкования является сильная подверженность черенков различным грибковым заболеваниям, что возможно преодолеть лишь соблюдая строгие профилактические меры по обеззараживанию грунта. Для многих пород необходимо проводить и специальную профилактическую обработку черенков фунгицидами, инсектицидами.

4.1 Цели производства элитного посадочного материала

Интенсификация садоводства требует обеспечения закладок садов и ягодников посадочным материалом высоких хозяйственно-биологических качеств.

Несмотря вегетативное размножение плодовых культур как привитые, так и корнесобственные, всегда в той или иной степени варьируют по таким важным показателям, как росл’, время вступления в плодоношение, урожайность, способность переносить неблагоприятные погодные условия, качество плодов.

Изменения, передающиеся с посадочным материалом могут затрагивать генетическую природу сорта - мутации, ведущие к серьезному ухудшению качества растений - поражению вирусными заболеваниями.

Поддержания сортовой и клоповой чистоты требует многолетнего отбора исходных высокопродуктивных растений сорта или клона для последующего вегетативного размножения, проверки его на зараженность болезнями и вредителями, передающимися с посадочным материалом, проведения соответствующих оздоровительных мероприятий, тщательного контроля.

Основной поддержкой высокой урожайности сортов здорового фитосанитарного состояния растений является научно обоснованная система производства супер-суперэлитного, суперэлитного и элитного посадочного материала, который является основой для последующего размножения.

Категория посадочного материала

Супер-суперэлита (ССЭ) класса В - вегетативное потомство, полученное от единичного исходного растения с высокой продуктивностью, с гарантированной чистотой от всех вирусных заболеваний.

Растения класса В содержат в условиях исключающих повторное заражение вирусами, микоплазмами, а также другими болезнями и вредителями, передающимися с посадочным материалом. ССЭ используется для производства суперэлиты.

Суперэлита (СЭ) класс В - высококачественный чистосортный посадочный материал, выращенный путем вегетативного размножения супер-суперэлитных растений в условиях изоляции от повторного заражения, обладающий хозяйственно-биологическими качествами, свободной от вирусных болезней и вредителей.

Элита класса В - высококачественный чистосортный посадочный материал, выращенный путем размножения суперэлитных растений класса В. Элитные растения класса В предназначаются для закладки маточников в плодопитомнических хозяйствах и являются основой для выращивания посадочного материала для закладки промышленных садов.

Закладка маточных насаждений плодовых культур

Суперэлитные и элитные маточные насаждения определенной культуры должны закладываться растениями только одного класса, например класса В. Участники для закладки суперэлитных, а также маточных насаждений плодовых культур и поля размножения суперэлиты и элиты класса В должны быть обособленными и иметь изоляцию от возможных источников заражения вирусами.

Каждый сорт, клон должен занимать один или несколько рядов. Посадка в одном ряду двух сортов (клонов) и более не допускается.

Система размещения растений в маточных насаждениях семечковых и косточковых культур (смородины, крыжовника, облепихи) - рядовая.

Каждое маточное растение косточковых культур (облепихи, смородины, крыжовника) до выкопки из питомника отмечают этикеткой с указанием сорта и повоя. При посадке ему присваивают.

Эксплуатация маточных насаждений плодовых и ягодных культур

Продукцией суперэлитных и элитных маточных насаждений плодовых и ягодных культур, подлежащей планированию, является материал для вегетативного размножения, то есть черенки, отводки, отпрыски. В маточных насаждениях плодовых культур на второй, третий год после посадки, а далее ежегодно проводят сортовую апробацию, результаты которой оформляются актом. При апробации выбраковывают и незамедлительно удаляют растения с отклонениями от сорта и случайные сортовые примеси. У привитых маточных растений удаляют поросль подвоя. Уровень общей агротехники в маточных насаждениях должен быть высоким, чтобы обеспечить максимальный выход черенков, отводков, отпрысков. В маточных насаждениях клоповых подвоев проводится низкая обрезка растений.

Таблица 17 - Общий срок использования маточных насаждений

Культуры:

Срок использования (лет, не более)


ССЭ, СЭ

Элитных

Семечковые (сорта, подвои)

10-12

10-12

Косточковые

8-10

8-10

Смородина черная

3

4

Крыжовник, смородина красная

8

8

Малина

2

3

Земляника

1

2


4.2 Методика исследований в опытных производственных школах и культурах

Изучение водно-физических и химических свойств почв и микроклимата в опытных производственных школах и культурах

Изучение влажности и температуры почвы производится ежемесячно в течение вегетационного периода, начиная с мая и до замерзания почвы. Для определения влажности почвы необходимо применить весовой метод, как наиболее точный и распространенный. Температура почвы определяется в те же дни и часы, что и влажность почвы, для этой цели используется термометры Савинова и термометры для определения температуры на поверхности почвы.

Влажность воздуха определяется психометром Августа.

Изучение динамики сезонного роста саженцев

Одним из показателей роста растений является динамика роста верхушечного побега. В варианте опыта всех повторностей берутся сто растений. Мерной линейкой с точностью до 1 мм измеряется длина верхушечного побега. На этих же растениях в те же сроки проводятся измерения диаметров с точностью до 0,1 мм. Для определения прироста по диаметру кроны в конце вегетации на этих же растениях измеряются разрастание кроны вдоль и поперек ряда.

Изучение прироста высаженных растений по биомассе (ствол, корни)

Перед закладкой школы на основании статистических данных, характеризующих посадочный материал, отбирается по 50 модельных растений для каждого варианта. Корни тщательного отмываются, затем растения высушиваются. Масса корней определяется в воздушно-сухом состоянии.

Изучение динамики прироста опытных и контрольных растений по биомассе производится на 50 растениях. Один раз в месяц в течение каждого вегетационного периода саженцы опытные и контрольные выкапываются. Корни их тщательно отмываются, затем растения высушиваются до абсолютно сухого веса.

Взвешиваются сухой массы корней производится до 1 мг. Кроме сухой массы корней, определяется их длина. Длина корней системы определяется курвиметром.

Статистическая обработка материалов исследований

Обработку данных производим без составления вариационных рядов, способом моментов методом произведений.

Средняя арифметическая определяется по формуле:

=x1+x2+x3+…x n/N=ZX/N, где

- общее число наблюдений;- знак суммы;

Средняя величина признака H=max-min/2;

Размах выборки Q=max-min.

Мера изменчивости признака то есть среде квадратичное отклонение, показывает на какую величину в среднем отклоняются варианты ряда X.

кв=x1кв+x2 кв+x3 кв+…x n кв/N, где

, X2, x3 - отклонение вариант ряда от средней;- общий объем ряда.

Среднее квадратичное отклонение - это мера ошибки выборочной средней, получаемая по одной, случайно взятый вариант ряда. Ошибку выборочной средней называют средней ошибкой средней величины признака.=S/ на корень из N или Sкв/N

Принято записывать значение выборочной средней вместе с ее ошибкой, то есть XSx.

Коэффициент вариации - стандартное отклонение, выраженное в % в среднему арифметическому данной совокупности.

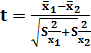
Для оценки существенности разности выборочных средних существует критерий t.

 ; t факт.  t теор. (t теор.=2,13).

ГЛАВА 5. ДЕНДРОЛОГИЧЕСКАЯ ХАРАКТЕРИСТИКА КРЫЖОВНИКА ОБЫКНОВЕННОГО, СМОРОДИНЫ КРАСНОЙ И ЧЕРНОЙ

.1 Семейство крыжовниковые. Род крыжовника (Grossularia)

Многолетний кустарник 1-1,5 м высотой, с ветвями, покрытыми 3-5-7 раз дельными и реже одиночными шипами, листья округлые, цветки обоеполые по 2-7 в кистях, иногда одиночные.

Плоды - обычно овальные, волосистые или железисто-щетинистые, реже голые.

Впервые культура крыжовника зародилась в XI веке в Древней Руси в монастырских садах. Широкая культура растения началась с XVI века.

Крыжовник - ценнейшее плодовое и медоносное растение, из скороспелых ягодных культур. Нередко его называют северным виноградом. Плоды содержат до 14% сахара (большая часть их представлена легкоусвояемыми малосахарами, глюкозой и фруктозой) более 1% пектиновых веществ, до 2% органических кислот в основном (лимонной и яблочной), до 60% аскорбиновой кислоты, каротин, витамины В1, РР, минеральные вещества.

Важнейшим является крыжовник Европейский, или отклоненный (G. Reclinata), который естественно растет в правобережной Украине, Карпатах и на Кавказе.

Листья с 3-5 округлыми трубчатыми лепестками, с сердцевидным основанием; цветки зеленоватые или красноватые; плоды до 15 мм в диаметре зеленоватые, желтые и пурпурные. Отличаются ранним началом вегетации и облиствения. Является родоначальником большинства Европейских сортов крыжовника. Повсеместно разводится как плодовая культура.

Спелые ягоды едят свежими, сушат и консервируют. Крыжовник - диетический продукт, рекомендуемый при нарушении обмена веществ и ожирении, желчегонное и мочегонное средство. В народной медицине отвар ягод применяли, как болеутоляющее, при желудочных коликах, витаминное, противотуберкулезное средства.

5.2 Семейство крыжовниковые. Род смородина Ribes

Включает кустарники 1-2 (2,5) м. высотой, побеги и ветви обычно без шипов, цветки многоцветковых кистях обоеполые или раздельнотелые.

Смородина черная

Плод - многосеменка черного, фиолетового или буроватого цвета. Цветет в мае-июне, плоды созревают в июле-августе. Ягоды черной смородины содержат 150-300 мг.% (иногда до 450 мг.%) витамина С, значительное количество веществ с Р - витаминной активностью, витамины К (7-12 мг.%) В1, В2, Р, каротин, 6-16% сахаров, органические кислоты, микроэлементы.

Черная смородина - очень ценная витаминная ягода. Ягоды едят свежими, перерабатывают, консервируют. Почки применяю для приготовления сиропа и ликеров, листья для ароматизации кваса, при засолке, мариновании. Смородину используют в медицине как поливитаминное, потогонное, мочегонное, противовоспалительное средство и другие.

Принимают обычно свежий сок из ягод или отвар и кисель из свежих и сухих плодов. Листья черной смородины стимулируют функцию коры надпочечников. В народной медицине плоды смородины использовали для лечения многих заболеваний.

Смородина красная, смородина кислая

Отличается от черной отсутствием эфирного масла в листьях и плодах, красной окраской ягод. Плоды содержат 4-20% сахаров, 2-4% органических кислот, пектиновые и дубильные вещества, 40-50 мг.% витамина С, около 0,3-0,5% Р-витаминных соединений. Своеобразная особенность смородины красной (до 4,4 мг.%). Ее используют как пищевой продукт в свежем переработанном виде. Плоды смородины красной употребляют в народной медицине как потогонное, жаропонижающие, а также при аллергии.

Смородина плодоносит с 3-5 лет. В культуре размножают делением кустов, отводками, черенками, реже семенами и прививкой.

Смородина красная и черная распространяется европейской и азиатской частях нашей страны от тундры до самых границ лесостепи. Образуют заросли по поймам рек и озер, растут на вырубках, в подлеске и по опушкам. Повсеместно применяется как ценный плодовый, декоративный и агролесомелиоративный кустарник.

Крыжовник «Колобок» (Grossularia Mill)

Куст среднерослый, среднераскидистый, густой с тонкими, многочисленными побегами, почти без шипов (шипы короткие, слабые, одинарные).

Ягоды довольно крупные (4-8 г), по 1-2 в кисти, округлой формы, темно-красного цвета (до вишневого), с сильным восковым налетом, гладкие с довольно плотной кожицей, приятного вкуса. Отличаются высоким содержанием пектиновых веществ, после созревания долго сохраняются на ветвях, не утрачивая лечебных и потребительских качеств. Дегустационная оценка 4,5 балла.

Сорт среднего срока созревания, рано вступает в плодоношение, универсального назначения, урожайность - 4-6 (до 8кг) с куста. Основное плодоношение на одно - двухлетних ветвях.

Нуждается в регулярной обрезке, раз в 8-10 лет нуждается в сильной омолаживающей обрезке.

Отзывчив на хорошую агротехнику.

Среднезимостойкий, отрицательно реагирует на чередование оттепелей и морозов, в суровые зимы может подмерзать, но быстро восстанавливается.

Устойчив к мучнистой росе и антракнозу.

Рисунок 1 - Крыжовник сорта «Колобок»

Черная смородина сорт «Лия плодородная»

Сорт западноевропейского происхождения. Ареал его распространения охватывает европейскую часть России, продвигаясь далеко на юг (вплоть до Краснодара), заходит довольно далеко и на север (Вологодская обл.). это один из самых зимостойких сортов.

Куст средней величины, раскидистый. Одногодичные одеревеневшие побеги коричневатые, средне толстые. Почки средней величины, яйцевидной формы, средне толстые. Покровные чешуй красноватые, опушенные. Листья симметричные, характерно изогнутые по средней жилке. Осенью кончик листа подгибается внутрь, с характерным серовато-голубым (серебристым) оттенком; пятилопасные, пятая и первая хорошо выражены. Верхняя поверхность листовой пластинки с единичными волосками, нижняя опушена немного сильнее. Листья средне морщинистые, негофрированые. Цветочные кисти средней длины, с редким расположением цветков. Цветки средней величины, колокольчатой формы. Чашелистики красноватого цвета, опушенные.

Ягоды, расположенные у основания кисти, крупные или средней величины (около 1 г. или больше), черные, округлые или слегка сплюснутые с полюсов. На поверхности многих довольно ясно видна продольная борозда около цветника, собраны в трубочку средней величины. Мякоть зеленоватая, некоторым преобладанием более резкой в стадии съемной зрелости и менее сильной в стадии потребительской зрелости.

Первый урожай дает на третий год по посадке. Впору нормального плодоношения вступает на 5-6 году. Особенность сорта - его способность давать урожай в годы с плохой, холодной погодой, препятствующей лету насекомых в период цветения. Время созревания ягод среднее. Величина ягод «Лии плодородной» значительно варьирует в зависимости от ухода, удобрения, влажности. «Лия плодородная» - самоплодный сорт.

В благоприятных условиях ягоды крупные, с сильным специфическим запахам и приятным вкусом. Из них получают варенье, наливки, морс, мармелад, желе. Из грибных болезней поражается антракнозом.

Рисунок 2 - Смородина черная сорт «Лия плодородная»

Красная смородина сорт «Голландская красная»

В СССР сорт введен в культуру сравнительно давно. За высокую урожайность, выносливость и неприхотливость, по сравнению с другими сортами красной смородины, он завоевал одно из первых мест.

Ареал его распространения охватывает европейскую часть Союза ССР. Он продвигается далеко на север и юг. Голландская красная - один из наиболее морозостойких сортов красной смородины. В зимы 1939/40 я 1941/42 гг. сорт почти не пострадал. Антракнозом почти не поражается.

Голландская красная относится к группе наиболее выносливых и неприхотливых сортов красной смородины.

Первый урожай Голландская красная дает на третий год по посадке. В пору нормального плодоношения вступает на 6-7-м году. Урожайность сорта высокая. Средний урожай 8 т с гектара. Соответствующим уходом и удобрением легко добиться более высоких урожаев (20-25 т с гектара).

Время созревания позднее.

Ягоды средней величины или несколько крупнее. В отношении вкуса Голландская красная уступает сорту Чулковской. Ягоды широко используют для переработки и потребления в свежем виде.

Сорт самоплодный.

Достоинства сорта: выносливость, урожайность, неприхотливость, непоражаемость антракнозом.

Голландская красная входит в стандартный сортимент почти всех областей СССР, главным образом, в качестве основного сорта или дополнительного

Куст Голландской красной мощный, сильный; побеги светло-коричневые, местами с отстающим эпидермисом. Неодеревяневшие побеги зеленые, местами с красноватым оттенком, главным образом, на освещенной солнцем стороне. Листья средней величины, не изогнутые, по средним жилкам зеленые, или темно-зеленые с некоторым блеском; пятилопастные, четвёртая и пятая лопасти хорошо выражены. Лопасти острые, вытянутые в длину. Средняя лопасть по величине превышает боковые. Верхняя поверхность листа почти не опушена. У молодых распускающихся листьев более опушенная. Нижняя поверхность со средне густым опушением. Листья кожистые, сильно мелкоморщинистые. Зубчики по краю листа средней величины, средне широкие, острые. Основание листа прямое, реже со слабой выемкой или со средне глубокой. Листья симметричные. Цветочные кисти средней длины или длиннее, со средне частым расположением цветков. Цветки средней величины, колокольчатые, зеленые с красноватыми прожилками. Цветение позднее.

Ягоды у основания кисти средней величины (около 0,9 г), к вершине мельче. Изменчивость величины ягод средняя. Ягоды красные. Кожица довольно прозрачная. Семена слегка просвечивают через кожицу. Ягоды округлые, реже несколько сдавленные с полюсов или с вытянутым основанием. Засохшие остатки околоцветника собраны в трубку средней величины. Семена средней величины, в небольшом количестве. Плодовые кисти длинные или средней длины. На однолетних побегах они расположены одиночно, на многолетней древесине - группами. Распределение ягод в кисти средне редкое. Черешок кисти средней длины, средне густо опушённый, изогнутый, неломкий. Вкус ягод кисло-сладкий, в стадии съёмной зрелости с довольно значительным преобладанием кислоты. В стадии потребительной зрелости - слаще.

Отличительные признаки сорта: Голландская красная легко отличается от других сортов красной смородины своими листьями. Они вытянутые, с заострёнными долями, мелкоморщинистые, с черешками, часто окрашенными в красноватый цвет; цветки колокольчатые с красноватыми прожилками.

Рисунок 3 - Смородина красная сорт «Голландская красная»

ГЛАВА 6. РЕГЕНЕРАЦИЯ ПРИДАТОЧНЫХ КОРНЕЙ У ЗЕЛЕНЫХ ЧЕРЕНКОВ

При искусственных способах вегетативного корнесобственного размножения высших растений, в том числе при черенковании, важно обеспечить восстановление придаточных почек у корневых черенков. При вегетативном размножении некоторых растений листьями ( например - бегонии) или на основе культуры тканей требуется регенерация на отдельных частях и корней и почек.

У одних видов способность к дифференциации придаточных корней проявляется легко их размножение стеблевыми черенками не представляет трудностей, а у других выражена настолько слабо, что практически ее не удается использовать. В связи с этим важно располагать сравнительными данными о естественной способности различных видов и сортов дифференциации придаточных корней. Свойство образовывать придаточные корни в наибольшей степени присуще более молодым по своему происхождению видам, в частности растениям травянистой формации и кустарникам меньшей степени - древесным формам, например хвойным. Но среди древесных есть виды и сорта с довольно высокой способностью к укоренению зелеными черенками. Это по видимому связано с условиями филокинеза.

Рисунок 4 - Образование корней у крыжовника

Не исключено, что высокая влажность среды обитания в филокинезе видов способствовали развитию у них в процессе эволюции свойства к воспроизводству придаточных корней. Факторы, препятствующие семенному размножению растений, также могут способствовать развитию у них в эволюции свойства размножаться вегетативно. Каллюс изолирует места поражения и этим придает черенкам большую устойчивость к неблагоприятным факторам среды и болезнетворным микробам. Интенсивнее всего каллюс развивается на нижним срезе черенка, но у некоторых видов - довольно значительно и на верхнем. Разрастание кллюса сильнее выражено у трудноукореняющихся видов и сортов растений. Чаще всего оно наблюдается у многих видов и сортов яблонь, груши, черешни, крыжовника и других пород.

Образованию корневых придатков у стебля обычно предшествуют возникновению в ткани коры меристематических очагов. Это связано с переходом меристематических клеток в деятельное состояние, в результате чего они начинают делиться. Возникающие вновь клетки мельче окружающих, тонкостенные, с хорошо выраженными ядрами. Зачаток будущего корня постепенно принимает конусовидную форму и у него начинают дифференцироваться ксиленна и флоэма, которые структурно связываться с проводящими тканями стебля черенка. Постепенно зачаток придаточного корня проходит сквозь кору, и эпидермис ее выходит наружу.

Придаточные корни чаще всего возникают в тканях вторичной флоэмы за счет лучевых клеток камбия. Возникающий корневой придаток-зачаток обычно тесно связан с клетками вторичной ксилемы стебля и образует с ней общую систему.

Образование придаточных корней на побегах у многих видов приурочиваются к узлу, чаще всего со стороны листа в непосредственной близости к пазушным почкам. У легкоукореняющихся видов придаточные корни на черенках и отводах не редко образуются не только в узлах, но и по междоузловым продольным рядам. Такой тип корнеобразования обусловлен тем, что корневые зачатки обычно возникают вблизи сосудистого пучка; в зоне широких сердцевидных лучей, где как правило, сосредотачиваются очаги меристематических клеток.

В практике черенкования садовых растений приходится сталкиваться с факторами, когда из почек на укоренившихся черенках образуются только цветки.

В таком случае онтогенез у новой особи может завершиться только однократным плодоношением. В частности это свойственно таким видам и сортам косточковых.

Процессы регенерации при черенковании во многом обусловлены присущей клеткам, тканям и органам растений полярности-важному свойству, определившемуся в эволюции растений, условиями питания и нашедшему свое выражение в функциях корней и листьев. При размножении растений черенками это свойство выражается в их способности воспроизводить на морфологически нижнем конце - корни, а на верхнем - элементы подземной части. В физиологическом отношении полярность, по-видимому, обуславливает локализацию на морфологически нижнем конце черенка обмена веществ того типа, с которым непосредственно связана дифференциация корневых зачатков.

На способности растений к поляризации обмена веществ основан эффективный прием направленный стимулирование образования придаточных корней у стеблевых черенков, известное как этилирование. Оказалось, что если у побега в процессе его роста на маточном растении лишить света морфологический нижний участок черенка (будущего), то даже у трудноукореняющихся растений на этом уровне корневые зачатки образуются легко. Хотя механизм происходящих при этилировании процессов во многом неясен, но, несомненно, одно: на лишенном света участке побега имеют место локализация обмена веществ, свойственного функциям и структурам корневой системы.

В настоящие время можно с определенностью говорить о важном значении для дифференциации корневых зачатков соответствующих уровней обмена веществ определенных групп. Как теперь известно, черенки от побегов с повышенным содержанием углеводов и пониженным уровнем азотных соединений укореняются значительно легче и быстрее, чем черенки от сочных, сильно растущих побегов, у которых преобладают соединения азота.

Такие известные практике приемы воздействия на части растения подлежащих укоренению как, например сгибание ветвей, кольцевание, надреза коры вблизи почек, задерживают отток от листьев к корням углеводов, ауксинов и возможно, других веществ, тем самым способствуя накоплению их на участках, где должно происходить образование корней.

Важным этапом развития представлений о внутренних механизмах процесса дифференциации корневых зачатков, являлось открытие у растений особой группы физиологически активных веществ, способных оказывать регулирующее действие на многие процессы их роста и развития. В научной литературе они известны под несколькими названиями: фитогормоны, стимуляторы и ингибиторы роста. В настоящие время их принято называть регуляторами роста, подчеркивая этим их способности как стимулировать, так и тормозить ростовые процессы.

В области вегетативного размножения регуляторы роста оказались незаменимыми стимуляторами образования придаточных корней при укоренении черенков.

Особого внимания заслуживает зависимость процессов регенерации от наличия почек и деятельности листьев. С удалением почек на стеблевых черенках у них сильно ослабляется способность к образованию придаточных корней. Это обнаруживается даже у таких легкоукореняемых растений как смородина и виноград, а черенки трудноукореняющихся видов при удалении почек вообще теряют способность к укоренению. Замечательно также, что каллюс и корни как правило, сильнее развиваются со стороны почек. Примером стимулирующего влияния листьев на укоренение черенков может служить один из наших опытов, в котором укореняемость черенков не удалась. Эти факторы дают основание для вывода, что с деятельностью почек и листьев связано образование и поступление к месту формирования корней какого-то вещества или целой группы веществ.

ГЛАВА 7. ОБЩИЕ ОСНОВЫ ТЕХНОЛОГИИ ЗЕЛЕНОГО ЧЕРЕНКОВАНИЯ

.1 Биологические особенности зеленого черенкования плодовых культур и производственное значение новой технологии

Интенсификация садоводства определяет необходимость разработки технологий выращивания посадочного материала вполне отвечающих биологическим особенностям пород и сортов зональным условиям и экономическим требованиям.

В решении этой задачи важная роль принадлежит способу размножения растений черенками и листьями, известному как зеленое черенкование.

Значение этого способа, во-первых, определяется тем, что зеленое черенкование принадлежит к числу способов вегетативного корнесобственного размножения, позволяющих получать генетически однородные и физиологически целостные корнесобственные растения, которое в отличие от привитых полнее сохраняют видовые и сортовые свойства и признаки. Во-вторых, зеленые черенки по своему анатомическому состоянию благодаря функциям листьев характеризуется высокой способностью к регенерации корневой системы и сильнее отзываются на воз действия стимулирующие процесс корнеобразования.

Основные элементы технологии зеленого черенкования

Биологически обоснованные методы подготовки и отбора черенков на маточных растениях;

Применение регуляторов роста;

Использование защитного грунта, системы искусственного тумана, электрообогрева, обеспечивающих оптимальные условия среды;

Новая технология зеленого черенкования позволяет:

Повысить укореняемость черенков, ускорить выращивание саженцев;

Повысить выход посадочного материала, снизить себестоимость и уменьшить затраты ручного труда;

При прививке расширить возможность для использования плановых подвоев, укорить их внедрение и перевод на промышленную основу;

Заменить семенное размножение отдельных культур вегетативным, а в результате создать однородные более продуктивные насаждения и существенно повысить качество получаемой от них продукции;

Усовершенствовать выращивание здорового посадочного материала на безвирусной основе.

Технология зеленого черенкования может быть использована при выращивании посадочного материала многих культур и целого ряда отраслей растениеводства: плодоводства, декоративного садоводства и других растений, культура которых базируется на вегетативном размножении.

Эффективность технологии определяется:

Подбором пород и сортов и естественной способности их к укоренению зелеными черенками;

Создание маточных насаждений и уход за ними;

Соблюдение оптимальных сроков черенкования;

Применение регуляторов роста (ростовых веществ) с соблюдением оптимальных концентраций и сроков обработки черенков;

Соблюдением комплекса мероприятий обеспечивающего благоприятные условия перезимовке укоренившихся черенков.

7.2 Подбор пород и сортов

Ассортимент растений для размножения зеленых черенков составляют исходя из специализации питомника природных условий, технической оснащенности, возможности сбыта посадочного материала.

Включают в основном виды и сорта с высокой способностью к укоренению.

Для зеленого черенкования - это виды и сорта с отработанной технологией размножения, обладающих высокой способностью к укоренению (не ниже 60%), достаточной зимостойкостью после укоренения (выпад в течение зимы не должен превышать 20%) и дающих выход стандартных саженцев не менее 40% количества укореняемых черенков.

В каждом питомнике культуры группируют в соответствии с технологией их укоренения и выращивания. В группы объединяют культуры и сорта, имеющие близкие между собой сроки черенкования продолжительность укоренения и запалки, время высадки укорененных черенков для доращивания и продолжительность цикла выращивания саженцев.

Зелеными черенками в центральных районах можно размножать: ягодники, крыжовник, черную и красную смородину, облепиху, косточковые - многие сорта вишни и сливы, а также плановые подвои для косточковых и семечковых культур декоративные кустарники, вьющиеся растения и другие.

7.3 Культура маточных растений

Число маточных растений и площадь занятую ими, определяют в соответствии с ассортиментом, потребностью в черенках и принятыми схемами размещения растений.

Для маточников - лучшими являются участки с хорошо дренированными почвами лесного механического состава, не содержащими избытка азота, который может вызвать сильный рост побегов и ослабить дифференциацию корневых зачатков у черенков. При недостатке азота снижается сила роста побегов.

Самой высокой укореняемостью отличаются черенки 1-2 летних сеянцев или черенковых саженцев строго апробированным в породном и сортовом отношениях, здоровым, однородным посадочным материалом. В этом возрасте укореняются черенки даже самых трудно укореняющихся видов. С увеличением возраста маточного растения укореняемость черенка снижается.

Растения высаживают по плантагиной вспашке в борозды глубиной 30-40 сантиметров. Удобрения органические фосфарно-калиевые вносят с осени на почвах среднего плодородия на 1 гектар, вносят органических удобрений 60-80 тонн и минеральных из расчета 120 килограмм действующего вещества.

Древесные растения выращивают по схеме 3*0,7 - 1 метр, кустарники - 2*0,5 метра и многолетние цветочные растения с размещением 1-1,5*0,3-0,5 метра.

Ширина между рядами обеспечивает хорошую освещенность и возможность механизированного ухода за насаждениями.

В агротехнический комплекс по уходу за маточными насаждениями выходят системе обработке и удобрения почвы, орошения, борьба с болезнями и вредителями, обрезка. Почву в междурядьях содержат под черным паром, проводят 3-5 культивации.

В течении 2-х лет после посадки маточные насаждения коротко обрезают для формирования хорошо разветвленных, однородных по силе роста растений. Через 3-4 года у маточных насаждений прореживают крону и обрезают сухие, поврежденные и больные ветви.

7.4 Отбор, заготовка побегов и резка черенков

Количественные показатели укоренения, а также качество выпускаемого посадочного материала и его однородность в сильной степени зависит от сроков черенкования и отбора на маточных растениях исходного для укоренения материала.

Происхождение маточного растения

Черенки особей семенного происхождения хуже укореняются, чем с особей, возникших черенковым путем. Маточники, выращенные из черенков даже старых деревьев, омолаживаются и укореняемость черенков с них возрастает.

Сроки черенкования

Максимальную укореняемость имеют черенки, заготовленные весной в начале активизации физиологических процессов в растениях после зимнего покоя (начало роста корней или набухания почек) и в период полуодревеснения побегов (начало лета).

При черенковании лучше черенки из верхней части побега хуже из средней и нижней части побега, как перезревшую и утратившую способность к корнеобразованию их выбрасывают.

Условия произрастания маточных растений

Укореняемость черенков зависит от условий минерального питания и освещения маточного растения черенки из кроны дерева растущего на богатой оптимально увлажненной почве при нормальном освещении всегда укореняются лучше, чем черенки с дерева, растущего на сухой, бедной почве или в растении.

Побеги с маточных растений срезают в оптимальные для отдельных пород и групп, сортов сроки. У одних пород (вишня, слива, персик и др.) эти сроки черенкования относительно короткие и совпадают с фазой интенсивного роста побегов. У других - оптимальная для черенкования зрелость побегов наступает позднее обычного в конце фазы интенсивного роста. В эту группу можно отнести большинство сортов крыжовника Европейской группы, многие типы плановых подвоев и некоторые сорта яблони, сливы и других. Наконец у третей группы пород и сортов довольно высокая способность к укоренению черенками проявляется в течении длительного периода - от начальных сроков черенкования до конца вегетации. Примером растений этой группы могут служить смородина черная, сорта крыжовника американской группы, бирючина, чубушник, многие виды тополя, ивы и другие. Многие вечнозеленые растения - бересклет японский, самилий вечнозеленый и другие укореняются зелеными черенками в течение года.

Для черенкования лучше брать боковые побеги на приростах прошлого года хорошо освещенных участков кроны.

Заготавливают побеги в утренние часы, когда ткани растений содержат больше воды, нельзя допускать их высыхания и даже привядания.

Срезанные побеги складывают в затемненных местах и во влажных мешках или в полиэтиленовой пленке доставляют к месту резки черенков. Для перевозки заготовленных побегов на большое расстояние используют корзины или решетчатые ящики, дно которых устилают увлажненным мхом. Побеги ставят концами в мох без особого уплотнения, чтобы не вызвать перегрев листьев. Время от срезки до посадки черенков не должно превышать двух суток. В зависимости от вида расстояния и срока черенкования зеленые черенки обычно нарезают длиной 5-12 сантиметров с одним, двумя и больше узлами. Побеги с короткими междоузлиями (у крыжовника, вишни) режут на черенки с 2-3 междоузлиями растений, образующих побеги с длинными междоузлиями (смородины, чубушник)

У многих особенно трудно укореняющихся пород, достаточно 1-2 междоузлий. Нижний срез делают на 0,5-1 сантиметре ниже почки, слегка скашивая его в противоположную от почки сторону, верхний непосредственно над почкой.

При нарезке черенков трудно укореняющихся видов и сортов срезы делают ножом, чтобы не допустить сдавливание и повреждение тканей основания черенка, для легко укореняемых видов и сортов можно использовать секаторы или специальный механический нож.

Черенки режут в затемненном месте, лучше закрытом от прямого солнечного освещения помещении, время от времени опрыскивая их водой, и по мере накопления небольшими партиями передают на посадку или обработку регуляторами роста.

7.5 Условия среды для укоренения зеленых черенков

Для укоренения зеленых черенков необходимо строго контролируемый комплекс температуры, влажности и освещенности. У большинства древесных и кустарниковых растений умеренной зоны интенсивное образование корней происходит при температуре воздуха и субстрата - 22-30%, влажности воздуха и субстрата - 80-100%, влажности субстрата - 75-80% (полной влажности), освещение - 50-70% (освещенности снаружи).

Для видов с легкой и средней способностью к укоренению оптимальный температурный режим обеспечивают пленочные теплицы.

Для трудно укореняющихся видов необходима более высокая температура субстрата по сравнению с температурой воздуха, что можно обеспечить искусственным обогревом субстрата.

Для создания и регулирования влажности применяют установку, обеспечивающую над местом укоренения черенков тончайший распыл воды - искусственный туман.

Субстрат должен обладать достаточной влагоемкостью, обеспечивающей постоянное увлажнение основания черенка, теплоемкостью, воздухонепроницаемостью, обеспечивающей доступ кислорода к основанию черенка, не должен содержать возбудителей болезней (гнили).

Для укоренения черенков в производственных условиях используют песок и смесь песка с хорошо разложившимися торфом в объемных соотношениях 1:1; 1:2; 2:1.

Оптимального субстрата для черенкования всех растений не существует. Поэтому необходимо опытным путем подобрать лучший субстрат для каждого размножаемого вида, исходя из его биологических и конкретных условий черенкования.

Общим недостатком минерального субстрата (керамцин, топливный шлак) является практически полное отсутствие в них питательных веществ, вследствие чего развиваются длинные неразветвленные ломкие корни, слабо поглощающие питательные вещества. Укорененные черенки с такими корнями плохо переносят пересадку, органические субстраты обеспечивают питательными веществами, но имеют худшие водно-воздушные свойства, измененную лисезотность (торф), мало стерильны. Добавка торфа к минеральным субстратам, песка и перлита к торфу, измельченному сфагновому мху резко улучшают их качество. Смесь оптимального крупнозернистого песка с торфом - отличная среда для укоренения большинства видов. Торф для черенкования лучше использовать верховой или сфагновый, хорошо разложившейся. Субстрат насыпают на выровненную поверхность гряд слоем 3-4 сантиметра.

В процессе укоренения проводят систематический контроль за температурой, влажностью, освещенностью среды укоренения.

7.6 Доращивание укорененных зеленых черенков в питомниках

Укорененные черенки высаживают на поля питомника для доращивания до стандартных саженцев. Саженцы выращивают в севообороте. Предпосадочная подготовка почвы включает глубокую, до 30-35 сантиметров, вспашку, внесение органических и минеральных удобрений.

В нечерноземной зоне, на дерново-подзолистых почвах с осени вносят до 100 тонн и более органических удобрений и по 120 кг. действующего вещества фосфорных и калийных удобрений. Азотные удобрения вносят весной. Культуры с повышенной зимостойкостью, черенки которых быстро укореняются и легко переносят пересадку, высаживают ранней осенью (коней августа начало сентября). Косточковые культуры, крыжовник, облепиху, розы, чубушник и другие, менее зимостойкие культуры высаживают весной.

Сажают черенки в питомник однострочно. Расстояние между рядами 80-90 сантиметров, в ряду 15-20 сантиметров, в зависимости от продолжительности выращивания. После посадки их поливают и мульчируют торфом или перегноем на высоту 3-5 сантиметров.

Косточковые породы обычно формируют на низком штамбе (40-50 см.). Дальнейший уход за саженцами включает систематическое рыхление почвы, подкормке, борьбу с вредителями и болезнями, в засушливую погоду растения поливают.

До весны укорененные черенки древесных и кустарниковых пород хранят в полиэтиленовых мешках в холодильных камерах при температуре 0-2 градуса Цельсия или прикопанными в песке в подвале при пониженной температуре.

Продолжительность выращивания корнеспособных саженцев и кленовых подвоев и зеленых черенков в питомнике 1-4 года и более в зависимости от культур.

ГЛАВА 8. ЗНАЧЕНИЕ СТИМУЛЯТОРОВ РОСТА И СИСТЕМЫ ПОДКОРМОК МИНЕРАЛЬНЫМИ УДОБРЕНИЯМИ ДЛЯ ЧЕРЕНКОВАНИЯ РАЗЛИЧНЫХ РАСТЕНИЙ

.1 Размножение смородины и влияние стимуляторов роста

Зеленое черенкование красной смородины желательно проводить в течение второй половины июня. Черная смородина имеет более длительный период вегетации и ее побеги растут не только в июне, но и продолжают расти весь июль и отчасти - август. Но зеленое черенкование черной смородины также желательно проводить в более раннее сроки, чтобы черенки успели укоренится. Действие стимуляторов роста корнеобразование у зеленых черенков смородины изучено на следующих сортах смородины красной и черной: Голландская красная, Лия плодородная, Голубка.

Таблица 18 - Эффективность различных концентраций стимуляторов роста и разных сроков обработки зеленых черенков смородины

Стимуляторы роста

Концентрация (мг/л)

Сроки обработки (час)

ИМК

50

12

ИМК

50

5

ИМК

100

3-4

ИУК

100

4-6

ИУК

50

12

НУК

50

6

НУК

25

12

2,4-ДУ

5

6

2,4-ДУ

5

12

2,4-ДМ

5

6

2,4-ДМ

5

12


ИМК - индолилмасляная кислота;

ИУК - гетероауксин;

НУК - нафтилуксусная кислота;

,4-ДУ - дихлорфеноксиуксусная кислота;

,4-ДМ - дихлорфеноксимасляная кислота.

На процесс образования корней у всех сортов смородины наиболее эффективное действие оказала индолилмасляная кислота, затем идут нафтилуксусная кислота и гетероауксин, последние место занимает 2,4-ДУ и 2,4-ДМ.

Таблица 19 - Образование корней у черенков смородины через 18 дней после постановки опыта

Сорта

Стимуляторы роста и их концентрация (мг/л)

Срок обработки черенков (час)

Среднее число корней на одном черенке (шт.)

Средняя длина корней (см.)

Образование новых листьев

Образование боковых корней

примечание

Голландская красная

ИМК 50 50 Контроль-вода

12 6 12

27,3±0,15 25,1±0,12 1,2±0,04

4,5±0,005 5,5±0,08


Много вторичных корней

Очень толстые корни, идут выше основания вдоль по стеблю Образование корней только у отдельных черенков

Лия плодородная

ИМК 50 50 Контроль-вода

12 6 12

12,3±0,09 13,4±9,2 3,9±0,02

2,0±0,5 2,5±0,06 0,3±0,01

Есть  Есть  Есть


Голубка

ИМК 50 50 Контроль-вода

12 6 12

25,4±0,15 25,3±0,14 12,4±0,1

2,0±0,05 25,3±0,14 12,4±0,1

По 1-му листочку

Есть  Есть  Есть

Корни толстые, добавочные корни маленькие только образовались


Как показывают данные таблицы, при одной и той же концентрации ростового стимулятора часто требуется разные сроки обработки для зеленых черенков различных сортов смородины.

Действие стимуляторов роста выражается не только в усиление образования корней, но и сказывается также и на росте кустов смородины. Кусты выросшие из черенков, являются более сильными. При сравнение с контролем, различия достоверны, по среднему числу корней 27,3 больше 1,2 (tфак. больше или равно tтеор.).

Таблица 20 - Применение стимуляторов роста при черенковании ягодных культур

Вид растений

Состояние черенков и время года

Стимуляторы

Концентрация стимуляторов роста

Сроки обработки (час)

Время ускорения (дни)

Укоренилось %







обработанные

контрольные

Крыжовник

Зеленые Июнь Одревесневшие

ИМК НУК ИУК ИМК НУК ИУК

50 50 50 100 100

12-24 12 20-24 6-12 24

30-50    25-35

30 20 25-27  16

12    5-6

Смородина красная

Одревесневшие

ИУК

100-200

24-28

28-40

80

20

Сорт Голландская красная

Зеленые Июнь

ИМК

50

6-12

18-20

85

Начало образование корней

Смородина черная Сорт Лия плодовая

Одревесневшие Весна

ИМК

50

6-12

16-18

90-95

60-75

Сорт голубка

Зеленя, июнь-июль

ИМК

50

6-10

18-20

95

55


Из всех применяемых стимуляторов роста наибольший эффект на укореняемость смородины оказывает ИМК.

При черенкование в период интенсивного роста смородины может укоренится и без применения регуляторов роста, тогда как при поздних сроках черенкования использование последних является неприемлемым технологическим приемом. Обработка черенков стимуляторами обеспечивает укореняемость в 1,5-2 раза. О чем говорят данные экспериментов представленные в таблице №20.

Таблица 21 - Результаты укореняемости черенков черной смородины (зрелые, ювенильные, зеленые и бурые побеги). Исследование после 35 дней

Варианты обработки (мг/л)

Одревесневшие бурые

Зрелые зеленые

Ювенильные


Каллюсо образованные %

Ускорение %

Каллюсо образованные %

Ускорение %

Каллюсо образованные %

Ускорение %

Контроль водный 25 ИУК 59 100

40 60 60 10

24 12 20 60

92 40 76 40

8 20 38 20

8 0 0 8

12 8 12 20

25 ИМК 50 100

20 40 10

60 94 90

52 20 40

20 40 48

8 24 12

20 84 52

25 НУК 50 100

40 20 10

12 48 35

36 32 12

28 80 10

0 0 20

20 20 32


Таким образом, при размножении смородины зелеными черенками нужно производить их посадку не позднее второй половины июня, причем использовать лучшее ювенильные черенки, так как именно они дают наибольшую укореняемость.

8.2 Размножение крыжовника и действие стимуляторов роста

Основными элементами ускоренного размножения крыжовника зелеными черенками являются: выращивание маточных растений и пленочной обогреваемой теплице для проведения черенкования в третей декаде мая; изоляция от света (этиолирование) частей черенков в пленочной обогреваемой теплице; доращивание укореняемых черенков для получения стандартных саженцев в открытом грунте.

Схема посадки маточных растений в теплице 1,0-1,5 см. До начала вегетации почвы закрывают мульчирующей бумагой. Такая бумага является средством борьбы с сорной растительностью и одновременно препятствует испарение влаги из почвы.

В третей декаде февраля теплицу укрывают пленкой и разогревают теплогенераторами. После того как растает снег, все годичные приросты обрезают секаторами до 2-3 хорошо развитых почек.

По достижение побегами длины 7-10 см. проводится локальное этиолирование: на верхнюю часть побега надевают спиралевидную полиэтиленовую трубку для изоляции от света узла стебля побега.

Трубки изготавливают из полиэтиленовой светонепроницаемой пленки.

Готовность побегов к черенкованию определяют по степени одревеснения верхней не этилированной части стебля. Для повышения коэффициента размножения длину черенка ограничивают.

Нижний срез делают так, чтобы локальная этилированная зона стебля оказалась нижней частью черенка, заглубляемой в субстрат на участки укоренения.

Этилированные черенки не обрабатывают регуляторами роста так как они повреждают корни, находящиеся на этилированной части стебля. Черенки из верхней не этилированной части побега обрабатывают водными растворами индолилмасляной кислотой.

Таблица 22 - По применению стимуляторов роста

Вид растения

Состояние черенков и время года

Стимулятор роста

Концентрация стимуляторов роста (мг/л)

Сроки обработки черенков (час)

Время укоренения (дни)

Укоренившиеся черенки %







Обработанные

Контрольные

Крыжовник Rjbess Glassularia Разные сорта

Зеленые  июнь

ИМК НУК ИУК

50 50 50 100

12-24 12 20-24 6-12

30-50

30 20 25-27 16

12

Крыовник  Сорт Колобок

Одревесневшие

ИМК НУК ИУК

100

24

25-35

16

5-6


Черенковать крыжовник надо не раньше конца июня; когда побеги вышли из дровянистого состояния и только начале древеснеть, они теряют ломкость и преобладают эластичность; побеги совсем травянистости. Зеленые черенки крыжовника берутся длиной 6-8 см, с 2-3 листочками, однако не у вех сортов одинаково легко образуются корни. Способность к образованию корней связана с длительностью вегетации того или иного сорта. Чем быстрее побеги заканчивают рост, тем быстрее они древеснеют и теряют способность к корнеобразованию. Например, сорта Английский желтый, Варшавский относится к трудно укореняющимся, Финик зеленый, Зеленый бутылочный - к средне укореняющимся, Хаутон - к легко укореняющимся. Как показывают данные таблицы №22 наибольший процент укореняемости - 90% наблюдается при использование кислоты в концентрации 50 мг/л. Таким образом, под влиянием стимуляторов роста корни образуются со всех сторон, а без обработки ростовыми стимуляторами крыжовник дает не много процентов укоренения.

В качестве субстрата используют фрезерный торф с крупнозернистым речным песком в соотношение 2:1 по объему. Толщина слоя субстрата около 4 см.

Перед посадкой субстрат поливают через туманообразующую систему.

Таблица 23 - Влияние этилирования и обработки ИМК на укоренение черенков крыжовника

Показатели роста укореняемых черенков

Дни наблюдений

Варианты опытов



Тень

Свет

Тень+ИМК

Свет+ИМК

Укоренение

15 25

10,1±0,09 27±0,23

0 0

37±0,045 94±2,06

0 4,6±0,009

Количество корней на черенок (шт.)

15 25

0,21±0,01 5,3±0,06

0 0

2,1±0,03 12±0,10

0,15±0,01 0

Длина наибольшего корешка (мм.)

15 25

0,15±0,01 21,1±0,20

0 0

1,3±0,03 40,0±0,38

0 0,38±0,02

Масса базальной части черенка, мг

15 25

76,8±2,48 186±4,89

53±2,08 56,2±2,10

134±3,5 417±4,08

70,2±2,30 74,9±2,35


Таким образом, при размножении крыжовника зелеными черенками наибольший эффект дает предварительное этилирование побегов на маточных растениях, а так же использование стимуляторов роста, а именно ИМК - укореняемость 37%, образование корней - 94%. Это значительно больше, чем если бы мы просто проводили этилирование и еще меньший эффект - при контрольном проведении опытов.

У таких черенков в 2-3 раза сокращается продолжительность периода укоренения, увеличивается объем корневой системы, сильно развивается надземная часть.

Этилированные черенки сорта «Колобок» укореняются на 84%, а не этилированные - на 72%; «Русский» - на 90% и 73% - соответственно; «Садко» на 60% и 10% соответственно.

После массового укоренения черенки подкармливают полными минеральными (50 г. на 1 литр воды) и органическими удобрениями. Питательный раствор подают по поливной системе 1 раз в декаду. В третьей декаде августа снимают пленку с теплицы и прекращают подкормки.

В третьей декаде октября черенки выкапывают, корни подрезают до 10 см, листья и слабо одревесневшую часть стебля удаляют. Затем черенки помещают в полиэтиленовые пакеты и закладывают на хранение в холодильник. На месте укоренения черенки не хранят, поскольку в этих условиях укорененный материал плохо сохраняется.

Весной черенки высаживают для доращивания в открытый грунт, где к осени можно получить качественный посадочный материал.

8.3 Биологические особенности выращивания смородины и крыжовника

Биологические особенности выращивания смородины

Для увеличения коэффициента размножение черной смородины используют укороченные до 8-10 см. черенки. В условиях открытого грунта они плохо укореняются, но при создании соответствующих условий можно добиться хорошей укореняемости коротких черенков. Эти условия можно обеспечить в холодных рассадниках, где размножают плодово-ягодные и декоративные культуры зелеными черенками. Посадку черенков проводят рано весной (15-20 апреля), укоренение и дальнейший рост их продолжается до первой декады июня.

Устройство холодных рассадников

Под холодный рассадники необходимо выбрать ровный участок недалеко от источника воды и электроэнергии. Он должен быть защищен от ветра и огорожен кустарником. Рассадники, как и участок, следует направлять с юга на север.

Холодные рассадники из котлованов, полиэтиленового укрытия, поливной системы, автоматической поливной системы и помещения для размещения приборов.

Опалубку котлованов изготавливают из дерева. Для поддержания в рассадниках высокой влажности и необходимой температуры их надо покрывать полиэтиленовой пленкой. Для высаженных черенков устраивают мелкокапельный полив. При укоренении черенков число поливов в течении дня от 1 до 3 раз. Наличие автоматического устройства обязательно. Приборы лучше размещать в помещении, которое выстраивают недалеко от рассадников.

Подготовка холодных рассадников к высадке черенков

К ней приступают ранней весной за две недели до черенкования. Для этого приводят в рабочие состояние поливную систему и автомат полива. При этом выполняют ряд хозяйственных мероприятий: промывают и очищают от грязи сетки фильтров, поливные трубы и стояки защищают антикоррозионными покрытиями, котлованы заполняют питательной смесью. В качестве питательной смеси используют смесь дерновой земли с перегноем (1:1) и соломенную резку. После насыпки питательной смеси и субстрата следует установить дуги каркасов, натянуть и закрепить полиэтиленовую пленку.

Речка и посадка черенков

Из заранее заготовленных на маточной плантации однолетних побегов черной смородины нарезают черешки. Заготовку однолетних побегов с маточников следует проводить поздно осенью, обычно после листопада. Однолетние побеги черной смородины связывают в пучки и хранят в подвалах, охлаждаемых хранилищах, помещая пучки нижними концами во влажный песок. Хорошо хранить побеги и в снегу.

Лучший срок посадки черенков черной смородины - вторая декада апреля.

Черенки нарезают перед посадкой садовыми секаторами. При этом под почкой оставляют по возможности длинную часть черенка, под почкой - короткую. Такие черенки удобнее сажать в субстрат, кроме того, у черенков будет соблюдена полярность. Черенки высаживают рядами, которые располагают поперек котлована на расстоянии друг от друга 3,5-7, а в ряду - 2,5-5 см. перед посадкой проводят маркировку, а также обработку стимуляторами роста.

Уход за высаженными черенками

После посадки черенков субстрат хорошо увлажняют, и котлованы закрывают пленкой.

Дальнейшее увлажнение проводят по мере подсыхания субстрата.

Необходимо внимательно следить за температурой внутри котлована. Она не должна повышаться более чем до 300С. Превышение этого значения может привести к гибели черенков.

Через 5-6 дней почка черенка трогается в рост, образуя побег с небольшими листочками. Зачем ниже почки появляются корешки. Появление корней обычно наблюдается на 7-10 дней, но образование их зависит от температуры. При более высокой температуре корешки появляются быстрее.

При соблюдении всех приемов укореняемость корешков высокая и может достигать 85-95%. Укорененные черенки дают начало растениям черной смородины, которые можно оставить до осени или высадить в возрасте 40-50 дней на доращивание в ягодный питомник.

В ягодном питомнике обязательно должно быть орошение. Во время пересадки растений, как правило, наблюдается жаркая, сухая погода, что может снизить их приживаемость. В ягодных питомниках, где нет орошения, пересадку растений из черешков проводят только осенью. Растение к этому времени достигает высоты 25-30 см и более, имеет хорошо развитую корневую систему. Их можно смело высаживать на доращивание в ягодный питомник в это время.

Если растения из черенков выкапывают из рассадников осенью, то посадку нужно проводить так, чтобы площадь питания составляла не менее 5×7 см.

При более загущенной посадке к осени произойдет самоизреживание растений, что приведет к снижению их выхода. Летнюю пересадку черенков проводят при загущении 3,5×2,5 см.

Подготовка и выкопка растений для летней пересадки

Растения, полученные из однопочковых одревесневших черенков, через 40-50 дней после посадки достигают 10-15 см в длину и имеют хорошо развитую корневую систему. Такие растения следует выбирать из котлована, отсортировывать и пересадить на доращивание в ягодный питомник. Они хорошо переносят пересадку, если в ягодном питомнике имеется искусственный полив, а сами они подготовлены к перевадке.

Рисунок 5 - Образование корней у черенков

Подготовку растений к пересадке проводят сразу после массового образования корней у черенков. С этой целью рассадники начинают проветривать, постепенно приучая растения к обычным условиям.

Выкопка растений из рассадников не требует особых усилий, так как корневая система их находится в основном слое песка, поэтому их легко можно выбрать вручную. Выбранные растения необходимо рассортировать на три разбора. К первому разбору относят растения, высота надземной части которых составляет не менее 10-15 см, ко второму разбору - растения высотой от 6 до 10 см, к третьему - все слаборазвитые растения.

Корни отсортированных растений немного укорачивают и обмакивают в земляную болтушку, а сами растения помещают в ящики.

Подготовка участка для доращивания растений

Растения из однопочковых одревесневших черенков доращивают в ягодных питомниках. Посадку проводят в поле, которое находится в состояние черного пара, хорошо заправленное органическими и минеральными удобрениями, и освобождено от сорняков.

Органические удобрения вносят сразу после уборки предшествующей культуре и заделывают во время вспашки осенью. Для борьбы с сорняками используют гербициды: 50%-ый смачивающийся порошок Самарина рано весной и трихлорцетат натрия.

Посадка и уход за растениями

Рано весной участок предназначенный для доращивания растений из однопочковых одревесневших черенков, боронуют в два следа и не менее двух раз культивировать на глубину посадки черенков.

Для механизированной посадки используют рассадопосадочную машину.

Посадку проводят с поливом. После посадке растения следует замульчировать торфом или перегноем.

При отсутствии машины СКН-6А посадку следует проводить в заранее перезашитый и политые борозды. Борозды нарезают культиватором КРИ-4,2В. В течение вегетативного периода проводят рыхление междурядье и прополку сорняков. Необходимо вести борьбу с вредителями и болезнями, особенно с мучнистой росой.

При хорошем и тщательном уходе за высаженными растениями, к осени они вырастут до 30-40 см. у таких растений формируется хорошая корневая система, а в зоне корневой шейки - большое количество ростовых точек.

Уход за растениями на второй год после посадке на доращивания

Рано весной по еще замершей почве проводят скашивание одноцветных побегов с целью из кронирования. Побеги скашивают косилкой КС-2,1, навешенной на трактор Т-25К.

На небольших участках эту работу можно провести в ручную садовыми секаторами. Как только почва подсохнет, необходимо провести первое рыхление междурядий для закрытия влаги культиваторами КРН-4,2 или КОИ-2,8. Рано весной растения также подкармливают азотными удобрениями.

С наступлением теплых дней растения трогаются в рост. Почки, расположенные в зоне корневой шейки, дают начало побегам, которые у саженцев из однопочковых одревесневших корешков образуются не менее трех, а нередко до пяти и более. К концу июня побеги смыкаются и необходимо в проведение рыхления отпадает.

К осени укоренившихся черенков вырастают хорошо развитые саженцы. Большая часть из них по качеству выше первого сорта. Высота побега достигает 0,7-0,8 м, корневая система мочкованная.

Перед выкопкой таких саженцев проводят отмачивание листьев и скашивание однолетних побегов на высоте 20-25 см от поверхности почвы. Скошенные однолетние побеги собирают и связывают в пучки. Они в дальнейшим могут быть использованы для заготовки черенков. На каждый пучок навешивают этикетку с указанием намалогического и товарного сорта саженцев.

Защита от вредителей и болезней

При выращивании саженцев черной смородины растения могут вредить обыкновенный паутинный клещ, смородинная стеклянеца, тли, листовые и побеговые галлицы. Саженцы могут поражать американской мучнистой росой, антраниозом, септориозом и другими болезнями. Поэтому необходимо проводить профилактические и защитные мероприятия.

Маточные участки и питомники с целью уменьшения на них количества вредителей и болезней необходимо располагать от плодоносящих плантаций смородины и крыжовника на растении 1,5 км.

Проводят следующий комплекс защитных мероприятий.

Осенью (после листопада) или рано весной (до распускания почек) проводят опрыскивание растений и почвы 3%-м раствором нитрафена против зимующих стадий вредителей и против болезней.

Второе опрыскивание проводится через две недели против галлиц, тлей, паутинного клеща, гусениц листоверток, а также против мучнистой росы и др. 0,2%-м раствора метафоса.

Третий раз опрыскивают в конце апреля против пилильщиков, ржавчины и другим купроземом (0,3%).

Следующая обработка - во второй декаде июля кальталом (0,2%) против клещей, мучнистой росы и др. В дальнейшим обработку проводят через 7-12 дней.

В холодных рассадниках растения опрыскивают по мере появления болезней и вредителей.

Примерно через 10-12 дней после того, как пересаженные из рассадников в питомник на доращивания растения приживутся и окрепнут, их опрыскивают от вредителей и болезней одновременно с маточником теми же пестицидами и в той же концентрации. На следующий год, начиная с ранней весны и до выкопки саженцев растения, обрабатывают, так же как и на маточном участке.

8.4 Влияние системы подкормок минеральными удобрениями

Многолетними исследованиями установлено, что наилучшие результаты для вишни и сливы, смородины дает система подкормок представленная в таблице №24.

При проведении подкормок все удобрения можно разбросать в сухом виде. Чтобы избежать ожогов растений, подкормку нужно проводить утром, затем включить туман и образующую установку в следующем режиме: 20 секунд работы через каждые 3 мин. Это необходимо для того, чтобы смыть удобрение с листьев. Через 2-3 часа устанавливают обычный для каждой культуры и этапа укоренения режим работы установки.

Подкормки можно проводить и другим способом. В начале разбросать фосфорное удобрение, а затем в растворенном виде внести азотное и калийное удобрение. Их можно растворять в водном объеме воды (10 л раствора следует внести на площадь около 10 м.кв.).

В соответствии с этим определяют количество туков на каждую порцию раствора. Растворять удобрение можно отдельно для каждого объема (10 л), но лучше в начале растворить в емкости все требующееся количество удобрений (маточный раствор), затем брать определенный объем этого раствора на каждую лейку, доливать водой до 10 л и тщательно перемешивать. Чтобы не образовался насыщенный раствор, при приготовлении маточного раствора следует на 10 л воды не более 4 кг азотных удобрений и 0,8 кг калийных удобрений.

Подкормки этим способом лучше тоже проводить утром. Режим работы установки можно не изменять, если ее включение проводится с интервалом не более 10-15 мин. В течение дня вода смоет раствор удобрения с листьев, что предупредит появление ожогов.

Последнюю подкормку следует проводить не позднее середины августа, чтобы растения смогли успешно завершить рост. Если срок последней подкормки окажется более поздним, то от нее лучше отказаться, так как не завершившие рост растения могут сильно пострадать от морозов зимой.

Таблица 24 - Система подкормок зеленых черенков плодовых культур, укореняемых в условиях искусственного тумана, г/м.кв

Подкормка

Срок подкормки

Азот

Р2О5

К2О

Первая

В день посадки

Не применять

0,5-0,8

Не применять

Вторая

Массовое образование

2,0-2,5

1,5-2,0

2,5-3,0

Третья

Начало прироста

11-12

6-7

16-17

Четвертая

Интенсивный

18-20

15-16

16-17


Из элементов питания (азот, фосфор, калий в дозах соответственно 27,5 грамма, 21,5 и 32,0 грамма на 1 метр квадратный за 3 подкормки).

Опытами установлено, что проведение подкормок по указанной системе позволяет увеличить число укоренившихся черенков, повысить качество полученных растений.

Укорененные растения косточковых пород (вишни, сливы), как наиболее чувствительных к низким температурам зимой, следует хранить в контролируемых условиях (в холодильнике, подвале).

Таблица 25 - Влияние подкормок минеральными удобрениями на укоренение черной смородины

Показатели:

Черная смородина Космическая



С подкормками

Укоренение черенков, %

72

88

Длина приростов, см

12,1+0-0,6

13,4+0,08

Сухая масса корней одного растения, в

0,5+0,01

0,08+0,01

Степень подмерзания, %

66,7

27,8


Применение удобрений в период укоренения зеленых черенков положительно сказывается на развитии растений и придоращивании их в следующим году в открытом грунте: увеличивается число прижившихся (на 20%) и стандартных (на 30%) растений.

Вся корневая подкормка проводится с помощью опрыскивателей в пасмурную погоду или перед заходом солнца.

Требуемое количество минеральных удобрений при принятых дозах действующего начала определяется по формуле:

А-Бх 100/В, где

А - потребное количество удобрения;

Б - норма внесения (доза) действующего вещества;

В - содержание действующего вещества в удобрении в %.

Проветривают пленочные укрытия в дневные часы с таким расчетом, чтобы температура воздуха в них не поднималась выше +30-350С.

ГЛАВА 9. МЕТОДИКА ЗАКЛАДКИ МАТОЧНОГО ОТДЕЛЕНИЯ СОРТОВОГО МАТЕРИАЛА ПЛОДОВЫХ КУЛЬТУР

В тех случаях, когда трудно получить посадочный материал путем посева семян и необходимо сохранить у выращиваемых растений ценные признаки и свойства применяют вегетативное размножение. При этом наиболее часто используют зимние стеблевые и летние зеленые черенки, которые нарезают на маточных плантациях, закладывают их на достаточно плодородных хорошо дренируемых почвах, которые обрабатывают по системе черного пара или сидерального пара, в зависимости от плодородия почв на глубину до 40 см с оборотом только пахотного слоя - толщиной 20-22 см и рыхлением нижележащего.

Минеральные удобрения (фосфорные и калийные) вносят перед перепашкой пара, а органические в борозды подготовленные плантажным плугом за 2 прохода, глубиной до 40 см, шириной 50-60см. Борозды нарезают через 1,5 м. Удобрения в бороздах перемешивают культиватором. В эти борозды и высаживают маточные растения. Корни растения обмакивают в торфяную или земляную балтушку.

При посадке не смешивают различные виды, формы, сорта растений. Их размещают отдельными рядами, которые четко обозначаются столбиками с надписями. Средний выход черенков с одного маточного растения у лиственных пород - 25 шт. При хорошем развитии маточных растений средний выход черенков, особенно у лиственных, в 1,5-2 раза выше.

Наиболее рациональным размещением маточных растений является ленточный способ по типу однорядной живой изгороди.

При густом размещении маточных растений в рядах ограничивается развитие корневой системы и рост побегов, что способствует физиологической направленности обменных процессов, в побеге формируется меристематические ткани, из которых образуются зачатки бедующих придаточных корней. Схема размещения для смородины, крыжовника 1,5×1,0 метра.

Рисунок 6 - Схема размещения плодово-ягодных растений на маточной плантации

Ассортимент маточника должен быть разнообразным по видам и сортам получаемых саженцев, чтобы в случае изменения в потребности в посадочном материале можно было быстро переориентироваться на другие культуры. Культуры, не имеющие спроса в настоящие время, но перспективные из-за декоративности и легкости размножения, также высаживаются в маточники.

Маточные насаждения закладывают строго апробированным в породном и сортовом отношении корнесобственным посадочным материалом. Саженцы для маточника должны быть здоровыми и однопородными в генетическом отношении.

Условия произрастания маточных растений в сильной степени влияют на укореняемость черенков и их дальнейшее развитие. Черенки, заготовленные с растений, выращенных в теплице лучше и быстрее укореняются. У них более сложная корневая система, выше пробуждаемость почек и больший прирост. В тепличных условиях рост побегов более растянут и черенки можно заготавливать раньше или позже оптимальных сроков черенкования растений, находящихся в открытом грунте. Поэтому для более ранних сроков черенкования в каждом питомнике необходимо иметь небольшой защищенный маточник. Схема размещения с учетом биологических особенностей и возможностей ухода маточника находится в пленочной теплице, укрывают рано весной.

За маточными плантациями регулярно ухаживают: рыхлят почву, уничтожают сорняки, вносят удобрения, поливают, борются с вредителями и болезнями, формируют растения.

Ежегодно проводят 4-6 кратное дискование междурядий. Приствольные полосы шириной 25-35 см обрабатывают по 3-4 раза впервые 2-3 года после посадки. В маточниках для заготовки зимних черенков растения подкармливают только весной полным минеральным удобрением, а для получения зеленых черенков весной - фосфорным и калийным удобрениями и летом после срезки черенков - полным минеральным. Через каждые 3-4 года осенью вносят также торфо-минеральный компост в нормах, определенных для школьных отделений питомников. Полив проводят после заготовок зеленых черенков при недостатке влаги в почве. Эксплуатация маточников хвойных и лиственных пород начинают на 4-5-й год после посадки.

ГЛАВА 10. РЕНТАБЕЛЬНОСТЬ СОЗДАНИЯ И ИСПОЛЬЗОВАНИЕ ПРОМЫШЛЕННЫХ ПЛАНТАЦИЙ ДЕКОРАТИВНЫХ ПОРОД

К настоящему времени накоплен значительный производственный опыт, свидетельствующий о высокой рентабельности современной технологии зеленого черенкования.

В расчетно-технологических картах №28, 29, 30, показаны производственные процессы, затраты труда и денежные средства при закладке маточников и по ежегодному уходу за маточными растениями. Срок эксплуатации этих маточников (таких пород как облепиха, вишня войлочная, слива) в среднем 12-13 лет.

В данном дипломном проекте рентабельности закладки маточных плантаций рассчитывается по трем показателям:

Заработная плата производственных работ;

Себестоимость содержания и эксплуатация машинно-тракторных смен;

Расходы на основные материалы;

Прямые затраты.

Расчет заработной платы ведется по следующим разделам: виды работ; объем работ на единицу измерения; состав агрегатов; тарифный разряд; дневная тарифная ставка; нормы выработки на машино-смену; потребное количество трудозатрат.

Потребное количество трудозатрат определяется отношением объема работ (V) к норме выработки (Н):

Тз=Vp/Hв

Заработная плата рассчитывается как произведение дневной тарифной ставки на коэффициент доплаты и потребное количество трудозатрат.

Методика расчета себестоимости содержание машино-тракторо-смен состоит из следующих статей затрат:

Затраты на амортизацию определяются по формуле:

А=Е*К*а/100*М, где

А - годовая норма амортизации (для тракторов всех марок - 25%);

Е - балансовая стоимость машин и механизмов;

К - восстановительная стоимость по результатам инвентаризации 1.01.94 года, К=26;

М - годовая нагрузка в сметах.

Затраты на ремонт и тех. Уходы машин и механизмов;

Р=Е*К*р/100*М, где

Р - норма ежегодных отчислений на текущий ремонт и тех. Уходы (для тракторов всех марок - 29,5%).

Основная заработная плата вспомогательным рабочим с начислениями определяется исходя из таблицы №26.

Тарифная ставка вспомогательным рабочим составляет - 263,21 рублей.

Начисление к заработной плате по данным ЦНИИМЭ - 43%, что составляет коэффициент - 1,43.

Таблица 26 - Нормативы долговых затрат на подготовительных и вспомогательных работ по данным ЦНИИМЭ

Наименование работ:

Единицы измерения

Трудозатраты, чел/дн.

Заточка инструментов

Тыс. м3/смен

2,2/0,1

Подвозка ГСМ для тракторов

Тыс. м3/смен

2,0/0,1

Охрана тракторов и подогрев воды

Тыс. м3/смен

4,0/0,19


В з/п = (0,1+0,1+0,19)*1,43*263,21=146,79 рублей.

Сменная потребность в топливе определяется по формуле:

Q=(gp*tp+gx*tx+go*tj)*Цт, где

Go*tp - расход топлива за время работы, кг/смену;*tx - расход топлива на холостом ходу, кг/смену;*tj - расход топлива на остановках, кг/смену;

Цт - стоимость топлива.

На январь 2011 года стоимость топлива с учетом ГСМ составляет 22,50 рублей/кг.

Таблица 27 - Расход топлива в различных режимах работ для трактора МТЗ-80

Виды затрат времени

Затраты времени, час/смену

Расход топлива, кг/смену

Работа под нагрузкой

3,7

12-15

Холостые заезды и повороты

5-7

Холостая работа двигателя

1,1

1,5

см=(3,7*12+3,2*7+1,1*1,5)*22,0=1505,90 рублей.

Суммируя все перечисленные показатели (а-г) получим себестоимость содержание одной машино-смены. При умножение этого результата на потребное количество трудозатрат определяем себестоимость содержания машинно-тракторного парка при выполнение всего объема работ.

К основным расходам на материалы относится затраты на минеральные удобрения и органические, на ядохимикаты для опрыскивания при уходе, на саженцы для закладки маточных плантаций. Для определения суммы расходов стоимость единицы материалы умножают на норму его расходов.

Прямые затраты включают в себя зарплату основным рабочим, себестоимость содержания машинно-тракторного парка, расходы на основные материалы.

Для создания и использования одного гектара промышленной маточной плантации затрачено - 256848,25 рублей.

Отсюда себестоимость одного черенка:

С=Пз/N*n, где

Пз - прямые затраты, руб/га;- общие число саженцев на данной площади;- количество черенков, полученных с одного растения, шт.

рентабельность созданная и использование запроектированной маточной плантации определяется по формуле:

Р=Ц-С/С*100%, где

Ц - цена одного черенка, руб.;

С - себестоимость одного черенка, руб.

Затраты для создания и использование 1 га маточной плантации:

Смородина=256848,25+6000*6,660=296808,25 рублей;

Крыжовник=256848,25+7000*6,660=303468,25 рублей.

Отсюда себестоимость одного черенка:

Смородина=296808,25/6660*10=4,45 рублей;

Крыжовник=303468,25/6660*12=3,80 рублей.

Рентабельность создания и использование маточной плантации:

Смородина=(15,00-4,45/4,45)*100=237%

Крыжовник=(11,60-3,80/3,80)*100=205%;

Общая по плантации рентабельность=(26,6-8,25/8,25)*100=222%.

Полученные проценты говорят о высокой экономической эффективности и о значительной рентабельности ведение этого хозяйства, а так же дает понять преимущества вегетативного размножения перед семенным, особенно с финансовой точке зрения.

Мы заинтересованы в достижении наименьшей себестоимости, которую можно получить при использование рациональных агротехнических приемах.

А именно: использовать стационарную систему орошения, при заготовки черенков - специальные косилки.

Таблица 31

Показатели создания и использования плантации:

Ед.измерения, руб

Затраты на создание и использование 1га промышленной маточной плантации

256848.25

Себестоимость выращивания одного черенка: Смородина Крыжовник

4,45 3,80

Цена одного проданного черенка: Смородина  Крыжовник

15,0 11,60

Рентабельность создания и использования маточной плантации: Смородина Крыжовник

237% 205%

Общая рентабельность по плантации

222%


Экономическая эффективность создания и использования маточной плантации

Таким образом, способ вегетативного размножения методом зеленого черенкования представляет собой открытую возможность для дальнейшего повышения процента рентабельности, путем совершенствования агротехники выращивания, как маточных растений, так и черенков.

Расчетно-технологическая карта. Закладка маточной плантации плодовых растений и уход за ними в течение 3-ех лет. Схема посадки 1,5*1,0. Площадь 1,0 га

Виды работ, входящие в технологию

Еде. Изм.

Объем работ на принятую еден.

Состав агрегата

Тарифный разряд

Норма выработки




Трактор

Машина или орудие


На маш/смену

На чел/смену

1

2

3

4

5

6

7

8

1.обработка гербицидами 2-ух кратная

га

2,0

Т-16М

ОСШ-15

VI

4,0

4,0

2.вспашка почвы

га

1,0

МТЗ-80

ПН-3-35

VI

3,5

3,5

3.культивация 3-ех кратная

га

3,0

МТЗ-80

КПН-2

VI

14,0

14,5

4.нарезка борозд

га

1,0

МТЗ-80

ППН-40

VI

1,0

1,0

5.погрузка органических удобрений

тонн

30

МТЗ-80

Э-153

IV

100

100

6.внисение органических удобрений

тонн

30

МТЗ-80

1-ПГУ-4

IV

18,0

18,0

7.подвозка минеральных удобрений

га

1,0

Т-16М

платформа

IV

90,0

90,0

8.внесение минеральных удобрений

га

1,0

МТЗ-80

1-РМГ-4

V

7,5

7,5

9.маркировка участков и обозначений

Тыс.шт.

6,6

-

вручную

III

-

1,15

10.выемка саженцев из прикопок

Тыс.шт.

6,6

-

вручную

III

-

1,6

11.подвозка посадочного материала

Тыс.шт.

6,6

Т-16М

платформа

IV

90,0

90,6

12.разноска саженцев по участку

Тыс.шт.

6,6

-

вручную

IV

-

1,6

13.посадка саженцев

Тыс.шт.

6,6

-

вручную

VI

-

0,57

14.полив дождеванием

га

1,0

МТЗ-80

УДС-25

VI

0,4

0,4

15.дискование междурядий

га

1,0

МТЗ-80

БДН-2

VI

8,3

8,3

ИТОГО:








 Ежегодный уход в течение 3-ех лет

1.подкормка минеральными удобрениями 2-х

га

2,0

МТЗ-80

1-РМГ-4

VI

7,5

7,5

2.полив 3-ех кратный

га

3,0

МТЗ-80

УДС-25

VI

0,4

0,4

3.рыхление приствольных после 2-ух кратное

м2

10000

-

вручную

V

-

470,0

4.опрыскивание ядохимикатами 3-ех кратное

га

3,0

Т-16М

ОСШ-15

VI

6,7

6,7

5.прополка с выноской, 2-ух кратное

м2

10000

-

вручную

IV

-

110,0

6.формовочная обрезка

шт.

6660

-

вручную

IV

-

800,0

7.пинцеровка

шт.

6660

-

вручную

IV

-

1200,0

8.осенняя переполка в рядах

м2

5000

-

вручную

IV

-

85,0

9.дискование 2-ух кратное

га

2,0

МТЗ-80

БДН-2

VI

8,3

8,3

ИТОГО: НА 1 ГА








Смородина








Крыжовник









Таблица 28

Потребное количество трудозатрат

Дневная тарифная ставка

Коэффициент доплаты

ИТОГО зарплата

Расходы на содержание и эксплуатацию оборудования

Расходы на основные материалы

ВСЕГО: прямых затрат





Себестоимость содержания 1 м.с.

Всего на весь объем, руб.

Наименование материалов

Стоимость единицы

Норма расходов материала

сумма


На маш/смену

На чел/смену











9

10

11

12

13

14

15

16

17

18

19

20

0,5

0,5

291,57

3,04

443,19

3142,84

1571,42

симозин

775,0

3,0

2325,0

4339,61

0,3

0,3

291,57

3,04

265,91

4089,70

1226,91

-

-

-

-

1492,82

0,2

0,2

291,57

3,04

177,27

3897,52

779,50

-

-

-

-

956,77

1,0

1,0

291,57

3,04

886,37

4171,84

4171,84

-

-

-

-

5058,21

0,3

0,3

238,55

3,04

217,55

3746,52

1123,96

навоз

2500,0

30,0

75000

76341,51

1,7

1,7

3,04

1232,82

4208,15

7153,85

-

-

-

-

8386,67

0,01

0,01

238,55

3,04

7,25

2581,10

25,81

-

-

-

-

33,06

0,3

0,3

265,06

3,04

241,73

4007,00

1202,10

-

-

-

-

1443,83

-

5,7

185,54

3,04

3215,04

-

-

-

-

-

-

3215,04

-

4,1

185,54

3,04

2312,57

-

-

-

-

-

-

2312,57

0,07

0,07

238,55

3,04

50,76

3142,84

220,00

-

-

-

-

270,76

-

4,1

238,55

3,04

2973,29

-

-

-

-

-

-

2973,29

-

11,6

291,57

3,04

10281,92

-

-

Саженцы Смородина Крыжовник

6000 7000

6,660 6,660

39960 46620

10281,92 - -

2,5

2,5

291,57

3,04

2215,93

3938,66

9846,65

-


-

-

12062,58

0,12

0,12

291,57

3,04

106,36

4157,00

498,84

-


-

-

605,20












129773,84


0,3

0,3

291,57

3,04

265,91

4007,00

1202,10

К2О

620,0

3,0

1860

3328,01

7,5

7,5

291,57

3,04

6647,80

3938,66

29539,95

-

-

-

-

36187,75

-

42,0

265,06

3,04

33842,86

-

-

-

-

-

-

33842,86

0,45

0,45

291,57

3,04

398,87

3142,84

1414,28

-

-

-

-

1813,15

-

181,8

238,55

3,04

13183,99

-

-

-

-

-

-

13183,99

-

8,3

238,55

3,04

6019,09

-

-

-

-

-

-

6019,09

-

5,5

238,55

3,04

3988,56

-

-

-

-

-

-

3988,56

-

38,2

238,55

3,04

27702,33

-

-

-

-

-

-

27702,33

0,2

0,2

291,57

3,04

177,27

4157,00

831,40

-

-

-

-

1008,67












256848,25












39960












46620


Таблица 29 - Расчет амортизационных отчислений на ремонт и тех. уходы

Марка трактор орудий

Балансовая ведомость

Восстановительная стоимость

Норма амортизации

Норма отчислений на ремонт и тех. уходы

Годовая нагрузка

Амортизационные отчисления

Затраты на ремонт







Трактор орудие

Агрегат

Трактор орудие

Агрегат

Т-16-М ОСШ-15

322,75 109,01

340700 115110

25 16,6

29,5 20

200 75

425-88 254-78

680,66

502,53 306,96

809,49

МТЗ-80 ПН-3-35

601,53 162,30

635200 171380

25 14,2

29,5 27

200 100

794-00 243-36

1037,36

936,92 462,72

1399,65

МТЗ-80 КПН-2

601,53 96,69

635200 102100

25 14,2

29,5 16

200 60

794-00 241-64

1035,64

936,92 272,27

1209,19

МТЗ-80 ППН-40

601,53 181,81

635200 191320

25 14,2

29,5 27

200 100

794-00 271-67

1065,67

936,92 516,56

1453,48

МТЗ-80 1-ПГУ-4

601,53 171,24

635200 180820

25 14,2

29,5 20

200 75

794-00 342-35

1136,35

936,92 482,19

1419,11

МТЗ-80 1-РМГ-4

601,53 137,50

635200 145200

25 14,2

29,5 18

200 75

794-00 274-91

1068,91

936,92 348,48

1285,40

МТЗ-80 УДС-25

601,53 115,27

635200 121721

25 14,2

29,5 20

200 75

794-00 230-46

 1024,46

936,92 324,59

 1261,51

МТЗ-80 БДН-2,0

601,53 155,83

635200 164550

25 14,2

29,5 14

200 60

794-00 389-44

1183,44

936,92 383,95

1320,87

Т-16-М

322,75

340700

25

29,5

200

425-88

425,88

502,53

502,53

МТЗ-80 Э-153

601,53 151,62

635200 160110

25 14,2

29,5 13

200 120

794-00 189-46

983,46

936,92 173,45

1110,37


Таблица 30 - Расчет себестоимости содержание машино-тракторо-смен

Марка тракторов и орудий по видам работ

Зарплата вспомогательным рабочим, руб.

Амортизационные отчисления, руб.

Отчисления на ремонт и тех. уходы, руб.

Затраты на ГСМ, руб.

Итого рублей

1.обработка гербицитами Т-16-М/ОСШ-15

146,79

680,66

1505,90

3142,84

2.вспашка почвы МТЗ-80/ПН-3-35

146,79

1037,36

1399,65

1505,90

4089,70

3.культивация МТЗ-80/КПН-2

146,79

1035,64

1209,19

1505,90

3897,52

4.нарезка борозд МТЗ-80/ППН-4

146,79

1065,67

1453,48

1505,90

4171,84

5.внесение удобрений  МТЗ-80/ПГУ-4

146,79

1136,35

1419,11

1505,90

4208,15

6.внесение удобрений МТЗ-80/1-РМГ-4

146,79

1068,91

1285,40

1505,90

4007,00

7.полив МТЗ-80/УДС-25

146,79

1024,46

1261,51

1505,90

3938,66

8.дискование МТЗ-80/БДН-2

146,79

1183,44

1320,87

1505,90

4157,00

9.подвозка Т-16-М

146,79

425,88

502,53

1505,90

2581,10

10.погрузка МТЗ-80/Э-153

146,79

983,46

1110,37

1505,90

3746,52


ГЛАВА 11. БЕЗОПАСНОСТЬ ЖИЗНЕДЕЯТЕЛЬНОСТИ

1.1 Анализ условий труда при производстве работ в питомнике ТО «Владимирское лесничество»

Характеристика и перечень используемых инструментов и орудий ручного труда

При проведение работ по земельному черенкованию в питомнике используются следующие орудия труда:

Лопата;

Грабли;

Тяпка;

Скальпель для обработки черенков.

Выявление опасных и вредных факторов труда

В питомнике Владимирского лесничества было произведено зеленое черенкование декоративных кустарников с применением стимуляторов корнеобразования:

Подбор маточных растений для черенкования;

Определение сроков черенкования;

Заготовка черенков и обработка их препаратами;

Подготовка теплицы с полиэтиленовым покрытием и субстрата;

Посадка черенков в теплицу;

Применение химических препаратов;

Уход и наблюдение.

Опасности при выполнение перечисленных выше работ связаны в основном с использованием ручных инструментов: скальпеля для обработки черенков, инвентаря для подготовки почвы и посадки черенков. При неосторожном и неаккуратном обращение с ручным инструментом могут возникнуть травмы как самого работающего, так и окружающих людей.

Часть предусмотренных ими работ была выполнена в теплице с полиэтиленовым покрытием. Температура в теплице всегда была на 3-50С выше температуры окружающего воздуха. В дни, когда средняя температура наружного воздуха в 13 часов превышала 250С, температура превышала 300С. Такое повышение температуры в сочетании с повышенной влажностью воздуха (до 98%) могут квалифицироваться как физически вредные производственные факторы.

Используемые в работе физиологические - активные вещества малотоксичные и могут квалифицироваться как вредные факторы в случае попадания их на слизистую оболочку или дыхательные пути.

Безопасная организация труда при работах с механизмами и на них достигается при условии тщательного ознакомления с ними, изучение технических приемов работы, значение всех последствий, возникающих при нарушении режима работы, значение всех последствий, возникающих при нарушении режима работы механизмов.

Кроме того, необходимо учитывать, что все работы в питомнике проводятся в теплое время года, когда такие насекомые как пчелы, осы и клещи находятся в состояние активности, поэтому возможность нападения их на человека можно также рассматривать как вредный производственный фактор.

11.2 Обязанности и права административно-технического персонала

Администрация предприятия обязана:

Обеспечить здоровые и безопасные условия труда на производстве, путем всемирного оздоровления и облегчения условий труда - внедрением современных средств безопасности улучшения санитарно-гигиенических условий, устраняющих производственный травматизм и профессиональные заболевания рабочих и служащих;

Рационально использовать территорию и производственные помещения;

Правильно организовывать технологические процессы производства, эксплуатацию машин и оборудования;

Обеспечить повсеместную защиту работающих от воздействий вредных и опасных для здоровья, производственных факторов;

Содержать производственные помещения, площадки, рабочие места в соответствии с требованиями санитарно-гигиенических правил и норм;

Оборудовать санитарно-бытовые помещения в соответствии с санитарными нормами и требованиями СНиПа;

Обеспечить прохождение работающих обязательных предварительных, при поступлении на работу, и периодических медицинских осмотров в соответствии со списком производств и профессий, утвержденных Коллегией Здравоохранения РФ, а также проводить обязательную вакцинификацию работающих от поражения клещевым энцефалитом;

Разрабатывать и утверждать совместно с профсоюзным комитетом инструкции по охране труда, устанавливающие правила безопасного выполнения работ, проводить наглядную агитацию, призывающую к соблюдению правил охраны труда;

Обеспечить соблюдение настоящих правил всеми работающими и применять необходимые меры к устранению замеченных недостатков и нарушений вплоть до остановки работ и отстранения лиц, виновных в несоблюдении правил и инструкций по технике безопасности на производстве;

Совместно с профсоюзной организацией осуществлять постоянный контроль за соблюдением правил охраны труда в соответствии с «Положением об административно-общественном контроле по охране труда».

Администрация и инженерно-технический персонал не имеет права:

Допускать к работе на механизмах, машинах, оборудовании и моторных инструментах лиц, не имеющих спецподготовки и удовлетворений на право управления или работы, и также не получивших инструктажа по технике безопасности на рабочем месте;

Допускать к работам, условия выполнения которых не соответствует требованиям настоящих правил, а также использовать работников с физическими недостатками там, где эти недостатки могут создавать опасность для самого работника или окружающих его лиц;

Допускать пребывание в помещении или на территории лиц, находящихся в состоянии алкогольного опьянения, или в нездоровом (физическом или психологическом) состоянии, которое может явиться причиной опасности для жизни этого лица или для других работников.

Администрация и инженерно-технический персонал предприятия несет ответственность:

За не устранение причин, вызвавших несчастные случаи и профессиональные заболевания;

За свои распоряжения, действия или бездействия, которые повлекли нарушение законодательства об охране труда.

Перевозка пострадавших на месте производственных работ, в лечебные учреждения производится транспортом того предприятия и за его счет, где работает пострадавший.

Пострадавшему от несчастного случая выплачивается больничный и заработная плата.

11.3 Мероприятия по технике безопасности при проведении зеленого черенкования с применением физиологически-активных веществ

Причинами травматизма и профзаболеваний являются не удовлетворительное обучение и проведение инструктажей по технике безопасности, а также нарушение правил охраны труда.

С целью предупреждения несчастных случаев и заболеваний предусматривается обучение и инструктажи по ГОСТу ССБТ 12.0.004-90 по следующим этапам:

Вводный инструктаж - проводится при поступление на работу;

Инструктаж на рабочем месте;

Первичный - проводится непосредственно перед началом работы;

Повторный - проводится для повторения правил техники безопасности, их проверки и закрепления;

Текущий проводится при выдаче наряда - допуска на опасные работы.

Обработка почвы в теплице проводится в ручную. Согласно правилам безопасности перед началом обработки почвы необходимо проверить исправность инструмента: он должен быть правильно насажен; заточен; рукоятки должны быть удобные в работе; изготовленные из сухой, твердой и вязкой древесины; поверхность рукоятки должна быль гладкостроганой, без трещин и заусенцев. Также необходимо произвести осмотр рабочего места: убрать с него проволоку, камни и прочий мусор. Во время работы попадающий мусор (стекло, камни и т.п.) нельзя отбрасывать назад или в сторону. Во избежание травм находящиеся вблизи людей. Рыхление граблями производится таким образом, чтобы не разлетались мелкие камни. При кратковременных перерывах не оставлять инструменты острием кверху на рабочем месте.

Во время работ в теплице не загромождать проходы между грядками.

Используемые в нашей работе физиологически-активные вещества имеют маловыраженную активность по отношению к человеческому организму, они выводятся из него в неизменном виде не накапливаясь. Все примененные стимуляторы малотаксичны и входят в «Список химических и биологических средств борьбы с вредителями, болезнями растений и сорняков, регулятор роста растений, размещенных для применения в сельском хозяйстве, в том числе фермерском, лесном и коммунальном хозяйстве на 1992-1996 гг.».

11.4 Мероприятия по производственной санитарии в питомнике ТО «Владимирское лесничество»

Гигиена труда и производственная санитария

Условия на закладке запроектированной маточной плантации хвойных и лиственных древесно-кустарниковых пород определяются технологией производства, его организацией и трудовым процессом с одной стороны и окружающей рабочих санитарно-гигиенической обстановкой с другой. Для защиты от воздействия вредных метеорологических условий предусматривается обеспечение спецодеждой и установление брезентовых навесов-укрытий.

Инструменты для ручной работы должны быть правильно и надежно закреплены на деревянных рукоятках. Рукоятки инструментов расклепываются металлическими клиньями и должны быть овальной формы с гладкой поверхностью и постепенным утолщением к свободному концу. При работе конец рукоятки должен выступать из руки не менее чем на 3 см. запрещается использовать инструмент без ручек.

Таблица 31 - Допустимые нормы подъема и переноски тяжестей

Выполняемые работы

Нормы подъема и переноски, кг


Взрослые

Подростки


Мужчины

Женщины

Мужчины

Женщины

Переноска груза до 50 м на ровном месте

50

20

16,4

10,25


При работе в парниках запрещается набивать их биотопливом и очищать их от биотоплива без спецодежды. Лица, работающие с ядохимикатами должны быть обеспечены спецодеждой, спецобувью и индивидуальными защитными средствами согласно «Типовым отраслевым нормам». Спецодежду должны надевать только во время работы с ядохимикатами.

Не разрешается носить спецодежду в нерабочее время и хранить ее в жилых помещениях. Запрещается работать с ядохимикатами без специальной одежды и предохранительных приспособлений. При использовании сильнодействующих ядохимикатов, как то при дезинфекции парников (окуривание серонефтоминои и др.), рабочие должны работать в противогазах. В парниках должны быть умывальники с теплой водой, полотенце, мыло, шкафы для хранения спецодежды и аптечка.

В данной работе предусматривается ежегодное 3-ех кратное опрыскивание ядохимикатами маточных плантаций, работы связанные с этим мероприятием неразделимо связаны с применением и неукоснительными выполнениями правил техники безопасности.

Все работающие с ядохимикатами должны быть ознакомлены с основными свойствами ядохимикатов, обучены безопасным способом работы с ними, а также правилам оказания первой медицинской помощи при несчастных случаях. Приготовление рабочих растворов и концентрированных эмульсий, паст, порошкообразных препаратов должно производится в агрегатах при помощи механических мешалок. На заправочных площадках разрешается производить заправку аппаратуры на утрамбованных земельных участках, которые после окончания работы должны обезвреживаться и перекапываться. Заполнение резервуаров опрыскивателей жидкостями должно производиться с помощью насосов, эжекторов, шлангов и других приспособлений. На местах работы с ядами должны быть умывальник с горячей и холодной водой и мылом, а также аптечки первой медицинской помощи, снабженные в необходимом количестве соответствующими противоядиями. Аптечки должны находится в ведении одного человека. Все работники, занятые на работе с ядом должны уметь обращаться с противоядием.

Резюмируя все вышеизложенные, необходимо сказать, что в результате выполнения всех мероприятий по охране труда сократиться число производственных травм, а также число площадей охваченных пожаром.

Перед началом работы в теплице необходимо ознакомится с технологией производства. В дни, когда в 13 часов дня температура наружного воздуха превышала 250С, работы в теплице производились в утренние часы (ГОСТ 12.0.003 - 90, ГОСТ 12.005 - 88).

Оказание первой медицинской помощи

При любом несчастном случае пострадавший должен быть доставлен в медицинский пункт. Если человек находится без сознания, то свидетели происшествия должны не медленно вызвать скорую помощь. До прибытия врачей пострадавшему должна быть оказана первая медицинская помощь. Быстрота действий, находчивость и умение в этих случаях играет решающую роль. Остановить кровотечение, перевязать, наложить шину, сделать искусственное дыхание, должны уметь все, как рабочие, так и инженерно-технический персонал.

Для оказания первой медицинской помощи на всех местах работы (в помещении, теплицы) должна находится аптечка с необходимыми медикаментами согласно описи. Перечень медикаментов содержащихся в аптечки следующие:

Бриллиантовая зелень в количестве 20 мл;

Марганцовокислый калий в количестве 20 гр;

Вазелин - 1 тюбик;

Стрептоцид белый - 2 упаковки;

Корвалол, валокардин или валидол в количестве 20 мл;

Активированный уголь в количестве 10 гр;

Бинты в количестве 5 щт;

Кислородная подушка - 1 шт;

Резиновый жгут - 1 шт.

При проведение работ в питомнике используют различные орудия труда, при неаккуратном обращении с которыми существует опасность ранения самого работающего или находящихся рядом людей.

Так, если ранение произошло, во избежание большой потери крови пострадавшим оказывающие ему помощь должны уметь остановить кровотечение. Если крови выделяется немного, то можно ограничиться наложением обычной давящей повязки, а ссадины и царапины смазать йодной настойкой. Раненые конечности необходимо поднять вверх, рану закрыть перевязочным материалом из пакета, сложенным в тампон, придавить его пальцами, не касаясь раны и подержать в течении 4-5 минут. Если кровотечение остановлено, следует, не снимая этого тампона, поверх него положить еще один из индивидуального пакета и крепко перебинтовать рану.

При обильном кровотечение, если его не удается остановить давящей повязкой, применяют другие способы. В некоторых случаях кровотечение может быть остановлено при сгибании конечности в суставе. В ямку, образующую при сгибании сустава, который расположен выше раны, вкладывают комок из любой части материи, затем сильно, до отказа, сгибают сустав над этим комком. При этом сдавливается проходящая в суставе артерия, по которой кровь поступает в рану. В таком положении руки или ноги надо привязывать к туловищу пострадавшего.

Так как многие работы в питомнике проводятся на открытом воздухе, существует вероятность возникновения у работников солнечного удара, в этом случае пострадавшему требуется оказать первую медицинскую помощь.

При солнечном ударе пострадавшего нужно как можно быстрее перенести в прохладное место, уложить его на спину, приподнять немного ноги, снять, или расстегнуть одежду, сделать холодные примочки на лоб, затылок, а также на паховые, подключичные области, где сосредоточено много кровеносных сосудов. Если человек в сознание, то ему следует дать холодного крепкого чая или холодной подсаленной воды (половину чайной ложки соли на 0,5 литра воды).

В тяжелых случаях в первую очередь необходимо обратить внимание на характер дыхания пострадавшего, проверить проходимость дыхательных путей. При западание языка, скопление во рту рвотной массы, нужно повернуть голову пострадавшего на бок и очистить полость рта бинтом или носовым платком, накрученным на палец.

При слабом или полном отсутствии дыхания нужно немедленно начать делать искусственное дыхание методом «рот в рот» или «рот а нос» до появления самостоятельного глубокого дыхания. После оказания первой медицинской помощи пострадавшего необходимо показать врачу.

При работе в питомнике существует также опасность поражения работников молнией.

При поражение молнией, как правило происходит потеря сознания, остановка или резкое угнетение самостоятельного дыхания, частый аритмичный пульс, расширение зрачков. Наблюдается потемнение лица, шеи, грудной клетки, кончиков пальцев, а также следы ожогов. Возникает непроизвольное выделение мочи и кала.

Удар молнии может привести к остановке сердца. Об этом свидетельствуют следующие признаки: неподвижные, чаще всего расширенные зрачки, не реагирующие на свет, отсутствие пульса в сосудах, в том числе с сонной артерии, отсутствие сознания и дыхания.

При прекращение работы сердца и остановке дыхания наступает смерть. Смерть наступает из двух фаз клинической и биологической. Во время клинической смерти, продолжающейся 5-7 минут, человек уже не дышит, сердце перестает биться, однако необратимые явления в тканях еще отсутствуют, в этот период, пока не произошли тяжелые изменения мозга, сердца, организм можно оживить.

Неотложная помощь оказывается не медленно на месте происшествия. Если человек находится без сознания, нужно расстегнуть ему одежду, уложить на бок, подложив валик из одежды под шею. Этим мы создадим лучшую проходимость дыхательных путей. Установить, есть ли дыхание, можно по наличию дыхательных движений грудной клетки или заполнившего зеркальца, донесенного ко рту. Очистить полость рта от крови, слюны, рвотной массы с помощью бинта или платка, навернутого на указательный палец. При отсутствии дыхания или очень редких вдохов при хорошо определяемом пульсе немедленно повернуть пострадавшего на спину и начать искусственное дыхание способом «рот в рот» или «рот в нос».

Во время работы в питомнике человек может столкнуться с насекомыми, которые способны нанести вред его здоровью.

Обычно осы и пчелы не попадают на человека без причины. Чаще это происходит, когда начинает энергично отмахиваться, ударяет или задевает их. Однозначно ответная реакция в виде укуса насекомых следует и в момент случайного прижимания насекомых, например когда они попадают в раскрытый ворот одежды или запутывается в волосах, и человек машинально пытается от них избавится. Наиболее опасны случаи, когда осы или пчелы глубоко вгрызается во фрукты, в конечном счете, попадает в рот, жалеет его в язык, небо или горло.

Для оказания помощи пострадавшему, во-первых, необходимо аккуратно удалить жало из тела, во-вторых, необходимо смочить ужаленное место смесью нашатырного спирта с водой, бледно-розовым раствором марганцовки, несколько раз в течение 1-2 часов смачивать слабым раствором стиральной синьки.

Успокаивают боль и сок из листьев чабреца, листья петрушки, срезы красного помидора, луковицы, чеснока, млечный сок одуванчика.

Кровососущие насекомые и клещи также представляют серьезную опасность для человека. Объясняется это тем, что многие из кровососов являются переносчиками целого ряда заболеваний.

Показательны в этом отношении иксодовые клещи - переносчики вируса энцефалита - опасного заболевания центральной нервной системы, нередко оканчивающегося летальным исходом. При обнаружении на теле клеща его нужно немедленно удалить. При этом ни в кое случае нельзя допускать отрыва головки клеща и оставление ее в теле человека.

Существуют разные способы удаления присосавшихся клещей. Например, можно смазать клеща растительным маслом и через некоторое время он сам отпадет. Руки и место укуса обязательно нужно продезинфицировать. Наиболее эффективный способ защиты от кровососущих насекомых в природе - использование отпугивающих средств - репеллентов. Один из наиболее доступных и безопасных для человека репеллентов - гвоздичный одеколон.

11.5 Мероприятия по пожарной безопасности в питомнике ТО «Владимирское лесничество»

В задачу противопожарной профилактики входят: всестороннее изучение причин возникновения пожаров и разработка способов предупреждения и ликвидации загораний, защита от огня людей и имущества.

Главной причиной возникновения пожаров является несоблюдение правил техники безопасности при обращении с огнем. Для предотвращения возникновения пожаров необходимо проведение противопожарных мероприятий: запрещение курения на рабочих местах (для курения должны быть оборудованы соответствующие места, обеспеченные средствами пожаротушения); запрещение разведения костров вблизи скопления горючих и взрывоопасных материалов; должна быть обеспечена телефонная или иная связь для своевременного вызова пожарных бригад; горюче-смазочные материалы должны хранится в специальных помещениях, которые необходимо запирать и огораживать. Заполнение резервуаров опрыскивателей жидкостями производится с помощью насосов, эжекторов, шлангов и других приспособлений. На местах работы с ядохимикатами должны быть умывальники с горячей или холодной водой, мылом, а также аптечки первой медицинской помощи, снабженные в необходимом количестве соответствующими медикаментами.

В питомнике должен иметься пункт сосредоточения пожарного инвентаря, в котором хранятся лопаты, топоры, мотопомпа с пожарными рукавами и др.

ВЫВОДЫ И РЕКОМЕНДАЦИИ

Сохранение у многолетних растений в полной мере хозяйственно ценных сортовых признаков возможно в процессе выращивания посадочного материала только через вегетативное размножение. Среди способов вегетативного размножения зеленое черенкование представляет значительный интерес. Зеленые черенки с листьями обладают высокой меристиматической активностью, более отзывчивы на воздействие, направленные на стимулирование процессов регенерации придаточных корней. Это дает возможность размножать зелеными черенками многие трудно укореняемые виды и сорта растений.

Современная технология зеленого черенкования позволяет значительно интенсифицировать способы выращивания посадочного материала различны пород и сортов, и в то же время открывает возможность для создания новых типов, лучше сохраняемых сортовые свойства, вполне удовлетворяющих производственным интересом. К тому же становится реально значительно увеличить масштабы производства посадочных пород и сортов, сократить затраты ручного труда и тем самым повысить эффективность работы питомника в целом.

Программа получения новых саженцев включает: отбор растущих экземпляров в 3-10 летних посадках; заготовка черенков с отобранных растений; посадка их в парники.

В качестве стимуляторов роста следует применять: водный раствор индолилуксусной кислоты в концентрациях 100-200 мг/л и индолилмасляную кислоту в концентрациях 105-150 мг/л. Время выдержки 12-24 часа.

Лучшим режимом при укоренении черенков следует считать:

Температура в парнике +22….+240С;

Температура в приземном слое на 0,5-1,50С ниже (но не менее +200С).

Влажность 80-100%. Обеспечивается питомником каждые 5-7 минут в течении 20 секунд в жаркую погоду - в течении 17 минут по 10 секунд.

Применение стимуляторов роста и системы подкормок оказывает большое влияние на корнеобразование даже у многих трудно укореняющихся растений, как некоторые сорта вишни, сливы, крыжовника, смородины. Большинство растений в молодом возрасте способны образовать корни, при старении же они теряют эту способность. Многие черенки способны образовывать корни только под влиянием стимуляторов роста.

Затраты на закладку 1 га маточной площади, составило - 256848,25 рублей. Исходя из себестоимости 6660 черенков и выручки от реализации черенков плодовых культур расчетный процент рентабельности составил - 222%.

Таким образом, способ вегетативного размножения методом зеленого черенкования представляет собой открытую возможность для дальнейшего повышения процента рентабельности, путем совершенствования агротехники как маточных растений так и черенков.

СПИСОК ЛИТЕРАТУРЫ

1.      Бабаев В.И. Интенсивная технология выращивания посадочного материала на основе зеленого черенкования и эффективность различных типов культуры косточковых пород. Диссертация доктора с-х наук, Москва, 1987 год.

.        Пупонин А.И ,Комиссаров В.А. Интенсивные способы выращивания посадочного материала садовых культур. 1984 год.

.        Ермаков Б.С. Опыт освоения новой технологии зеленого черенкования. Автореф. дис. канд. с-х наук, Москва, 1968 год.

.        Курднаши С.З. О сравнительной способности наших лесных деревьев к вегетационному размножению при помощи черенков. «Лесной журнал», 1986 год выпуска.

.        Материалы лесоустройства Владимирского лесничества, 2008 год.

.        Основы законодательства РФ об охране труда «Российская газета» №5, 1995 год.

.        Поликарпова Ф.Я. Роль маточных растений в технологии зеленого черенкования. «Плодоовощное хозяйство» №10, 1986 год.

.        Правила безопасности ведения работ в зеленом хозяйстве. Москва, «Стройиздат», 1979 год.

.        Доминон П. «Укоренение черенков в искусственном тумане», Москва, 1962 год.

.        Тарасенко М.Т. Зеленое черенкование содовых и лесных культур. Москва, «Издательство МСХА», 1991 год.

.        Поликарпова Ф.Я., Полючина В.В. «Выращивание посадочного материала зеленым черенкованием», Москва, «Росагропромиздат», 1991 год.

.        Тарасенко М.Т. «Размножение растений зелеными черенками», Москва, «Колос», 1967 год.

.        Тарасенко М.Т., Ермаков Б.С., Прохорова З.А. «Новая технология размножения растений зелеными черенками», Москва, «Колос», 1983 год.

.        Свалов Н.Н. Вариационная статистика. Учебное пособие, Москва, 1967 год.

.        Рекомендации по технологии размножения черной смородины однопочковыми одревесневшими черенками, Москва, «Колос», 1983 год.

.        Методические указания по проведению исследований в опытно-производственных школах и культурах, Москва, 1982 год.

.        Дудченко А.Г., Кривенко В.В. Плодовые и ягодные растения - целители, 1987 год.

.        Выращивание и использование в пищевых целях лесных, плодовых, ягодных и лекарственных растений (рекомендации), 1990 год.

Похожие работы на - Лесорастительные условия ТО 'Владимирское лесничество'

 

Не нашли материал для своей работы?
Поможем написать уникальную работу
Без плагиата!
Без нейросетей!