Расчет параметров полосового фильтра с Чебышевской характеристикой затухания на одиночной полосковой линии с зазорами для заданных параметров фильтра
Введение
Использование диапазонов сантиметровых волн для создания систем связи,
локации, навигации, проведение сложных научных экспериментов позволяет получать
результаты, недостижимые в других частотных диапазонах.
За последние годы резко возросли уровень и объем требований,
предъявляемых к частотным характеристикам устройств, в которых используется
диапазон сверхвысоких частот (радиорелейные линии, радиолокаторы,
радиотелескопы и др.). Соответственно росту требований усложнился тракт,
направляющий энергию от генератора СВЧ колебаний к нагрузке; в настоящее время
направляющая система, помимо собственно фидера (волновода, коаксиальной линии и
т.п.), включает большое число различных фидерных устройств: фильтрующих,
согласующих, ответвляющих, суммирующих и др.
Фильтры - основной элемент многих радиотехнических устройств. Они
используются для разделения или сложения сигналов разных частот в
многоканальных системах связи или в узлах радиотехнических устройств. Спектр
электромагнитных колебаний ограничен, и его отдельные участки необходимо
отделить один от другого; фильтры используются для того, чтобы излучения
радиопередатчиков были ограничены заданными пределами спектра; и наоборот,
другие фильтры используются для защиты приемников от помех, расположенных вне их
рабочей полосы частот.
Частотные характеристики фильтров должны удовлетворять жестким
требованиям; соответствующий этим требованиям расчет систем называют синтезом.
При решении задач синтеза СВЧ устройств использование прямых
электродинамических методов чрезвычайно затруднительно. Поэтому на практике
используется приближенный компромиссный метод, дающий достаточно хорошие
результаты.
Компромиссный метод состоит в том, что исходные позиции ограничиваются
определенным кругом изученных простейших фидерных элементов, например, отрезков
линий, диафрагм, штырей и др., обладающих некоторыми известными конструктивными
и электрическими параметрами. Параметры этих элементов определяются методами
электродинамики. Сложное соединение таких элементов рассчитывается с помощью
матричного аппарата теории цепей в предположении, что матрицы, описывающие эти
элементы, остаются неизменными при любом сложном соединении элементов. При этом
предполагается, что зона возмущенного поля вблизи неоднородности в фидере
локализована в непосредственной близости от элемента, а взаимодействие
элементов осуществляется лишь на основном типе волны.
Цепь СВЧ с заданной частотной характеристикой строится из заранее
выбранных звеньев. Особым типом звена является отрезок однородного фидера.
Каскадное соединение таких отрезков с различными волновыми сопротивлениями
широко применяется при синтезе.
В сложном процессе совершенствования радиотехнических систем СВЧ
диапазона широко используются новейшие достижения в области электроники СВЧ,
современной элементной базы и материаловедения в сочетании с комплексным
подходом к проектированию и оптимизации параметров систем и устройств. Хотя за
последние годы предложено большое число конкретных вариантов СВЧ фильтров, тем
не менее интенсивный поиск новых типов фильтров продолжается и в настоящее
время. Данное обстоятельство отражает два принципиальных момента:
. Исключительно разнообразие требований, предъявляемых к фильтрам
(вносимое затухание, избирательность, побочные полосы пропускания, допустимый
уровень СВЧ мощности, габаритные размеры, устойчивость при изменении внешних
механико - климатических условий и т. д.), что порождает соответствующее
разнообразие конструкций.
. Объективные трудности проектирования универсального фильтра,
обеспечивающего “ абсолютное ” решение проблемы.
В этой ситуации задачу проектирования оптимального СВЧ фильтра
целесообразно рассматривать как реализацию компромисса между отдельными, часто
противоречивыми требованиями в пространстве соответствующих показателей
качества. Особенно остро здесь стоит проблема создания узкополосных фильтров,
обладающих минимальными потерями и габаритными размерами, высоким уровнем
подавления паразитных полос пропускания при повышенной избирательности.
Немаловажную роль играют также вопросы улучшения технологичности конструкций
фильтров, высокой устойчивости и воспроизводимости их электрических
характеристик, простота настройки.
Необходимость формирования заданных частотных характеристик фильтров, при
жестких ограничениях на габаритные размеры и массу существенно осложняют задачи
разработки и проектирования их как в теоретическом, так и экспериментальных
аспектах.
Учитывая общую тенденцию миниатюризации радиотехнических СВЧ систем,
увеличение концентрации энергии электромагнитного поля и непрерывное повышение
требований в части электромагнитной совместимости (ЭМС), комплексное решение
задач проектирования и практической реализации оптимальных СВЧ фильтров, а
также обобщение накопленного опыта их проектирования представляется весьма
актуальными.
1.
Аналитический обзор
Электрические фильтры - четырехполюсники, обладающие избирательными
свойствами; они пропускают токи в определенной полосе частот с наибольшим
затуханием (полоса пропускания, или прозрачности), а токи с частотами, лежащими
вне этой полосы, - с большим затуханием (полоса затухания или задерживания).
В современной радиотехнике под фильтрацией сигналов на фоне помех
понимают любое выделение параметров случайных процессов, отражающих полезную
информацию (сообщение). Вместе с тем сохраняется и традиционное, более узкое
представление о фильтрации, связанное с частотной селекцией сигналов.
Под электрическим фильтром в традиционном смысле понимается цепь,
обладающая избирательностью реакции на внешнее воздействие. Характеристики
фильтра могут задаваться во временной или частотной областях, в последнем
случае требования к фильтру обычно подразумевают определенную избирательность в
заданном диапазоне частот.
Электрические фильтры можно классифицировать по различным признакам. По
способу построения и используемой элементной базе различаются следующие типы
фильтров: фильтры на сосредоточенных элементах (LC-фильтры), кварцевые и керамические, электромеханические
фильтры, фильтры на отрезках длинных линий (СВЧ-фильтры), активные RC-фильтры на сосредоточенных и распределенных
элементах, коммутируемые и цифровые фильтры, фильтры на поверхностных
акустических волнах.
Под пассивным фильтром далее подразумевается реактивный четырехполюсник
(четырехполюсник без потерь), нагруженный со стороны выходных зажимов на сопротивление
нагрузки R2, а со стороны входных - на
внутреннее сопротивление генератора R1 (рис. 1).
Рисунок 1 - Реактивный четырехполюсник
При расчете таких фильтров для их описания вводят два коэффициента -
коэффициент передачи мощности и коэффициент отражения, определяемые по
формулам:
Ku(jw) = Uвых(jw)/Uвх(jw)
Kp(jw) = Ku(jw)*Ku(-jw) = |Ku(jw)|^2
2. Выбор и обоснование структурной схемы устройства сложения
В зависимости от количества суммируемых
радиопередатчиков, мощности радиопередатчиков, разноса между их несущими
частотами используют различные типы устройств сложения. В настоящее время
применяются следующие основные типы устройств сложения:
звёздное устройство;
балансное устройство;
комбинированное устройство (мультиплексер).
Балансный сумматор является комбинацией фильтров и 3-дБ ответвителей.
Один модуль состоит из двух ППФ и двух 3-дБ ответвителей. Один из входов
узкополосный (NB), в соответствии с полосой
пропускания ППФ. Другой вход широкополосный соответственно диапазону 3-дБ
ответвителя.
При сравнении с другими типами сумматоров, балансный сумматор имеет ряд
преимуществ:
простота установки составных сумматоров посредством каскадирования
нескольких модулей;
весьма высокая развязка между узкополосными входами каскада;
широкополосное согласование на всех входах;
простота наращивания имеющихся сумматоров путем добавления новых модулей.
Балансный сумматор работает следующим образом. Сигнал, подводимый к
узкополосному входу (NB),
делится при помощи 3-дБ НО (1) на две части, которые проходят через ППФ к 3-дБ
НО (2), и затем суммируются в равных фазах на его выходе в результате действия
НО. На широкополосном входе (ВВ) два частичных сигнала складываются в
противофазе, и, таким образом, сигнал на этом входе практически не появляется.
Широкополосный вход развязан с узкополосным через направленный ответвитель, но
это зависит также от ППФ, которые настраиваются идентично.
Частота сигнала, подводимого к широкополосному входу (ВВ), лежит в
пределах полосы задерживания ППФ. Сигнал разделяется на две части в 3-дБ НО
(2), полностью отражается от ППФ и после синфазного суммирования протекает к
выходу. Узкополосный вход развязан с широкополосным при помощи НО, как описано
выше, но здесь появляется дополнительная развязка вследствие ослабления в
полосе задерживания ППФ. Составные сумматоры формируются каскадным соединением
нескольких модулей, выход каждого из которых возбуждается со входа последующего
модуля. Количество частотных каналов, возможное в данной полосе частот, ограничивается
только минимальным частотным интервалом между каналами.
Структурная схема УСС приведена на рисунке 2.1
Рисунок 2.1 - Структурная схема балансного сумматора
Выбор и обоснование порядка и схемы каждого фильтра устройства.
Проектирование фильтра начинается с задания технических характеристик
фильтра в виде требований к АЧХ в полосе пропускания и полосе подавления,
ширине переходной полосы, требований к ФЧХ или характеристики группового
времени запаздывания а также другим параметрам, например, к сопротивлению
нагрузки внутреннему сопротивлению источника, уровню сигнала и т.п.
На втором этапе решается задача нахождения подходящей передаточной
функции, удовлетворяющей заданным требованиям. Эта задача сводится к выбору
аппроксимирующей функции. То есть к выбору фильтра соответствующего типа.
Третий этап - схемная реализация выбранной на втором этапе передаточной
функции. Решение этой задачи для основных типов фильтров (Баттерворта,
Чебышева, эллиптических), реализуемых как в виде пассивных LC - схем, так и в виде активных четырехполюсников на базе
операционных усилителей (ОУ). Тем самым в инженерных приложениях второй и
третий этапы сводятся к виду типа фильтров (вида аппроксимирующей функции) и
определению по таблицам и графикам соответствующих коэффициентов передаточной
функции, определяющих в конечном итоге параметры элементов фильтра.
Четвертый этап - анализ фильтра, то есть исследование его характеристик
на соответствие требуемым допускам, чувствительность к изменению параметров
схемы, возможностям настройки и т.п.
Сначала такой анализ выполняется при номинальных значениях параметров,
чтобы проверить правильность расчетов, проведенных на втором и третьем этапах.
Затем учитываются погрешности элементов. Необходимость этого объясняется
следующими причинами. При изготовлении спроектированного фильтра невозможно
абсолютно точно подобрать его элементы. Разброс параметров реальных резисторов.
Конденсаторов и катушек индуктивности обычно находится в пределах нескольких процентов.
В связи с этим анализ должен дать ответ о допустимом разбросе параметров
элементов фильтра, при котором еще выполняется техническое задание на
проектирование.
Кроме того, в процессе эксплуатации неизбежно изменение параметров
элементов фильтра за счет старения. Изменения климатических условий и т.п.
Анализ позволяет учесть и этот фактор и принять соответствующие меры для
стабилизации характеристик фильтра.
При достаточно большом числе элементов фильтра такой анализ выполнять
вручную весьма сложно, а порой и просто невозможно (например, при попытках
учесть случайный характер ухода параметров элементов). Поэтому эти расчеты и
моделирование выполняют на ЭВМ.
На следующей стадии проектирования осуществляется сравнение технических
требований с характеристиками, рассчитанными на этапе анализа. Если требования
не выполняются, необходимо изменить параметры фильтра выбрать другой тип или
снизить требования к характеристикам и повторить расчеты.
После получения удовлетворительных характеристик переходят к этапу экспериментальных
работ.
Полосовой
фильтр
Полосовым фильтром называют фильтр, полоса пропускания которого находится
на отрезке частот от fc1
до fc2 (рисунок 2.2).
Рис 2.3 АЧХ идеального полосового фильтра
Передаточные функции полосовых фильтров могут быть найдены, если
применить к передаточным функциям фильтров-прототипов нижних частот
преобразование частоты.
Соответствующая преобразовывающая функция в области нижних частот должна
вести себя так же, как и комплексная переменная p фильтра верхних частот, т.е. p¥ ,если p’0, а в области верхних частот - как комплексная переменная
фильтра нижних частот, т.е. если p¥, то и p¥. В пределах же полосы пропускания
преобразованного фильтра комплексная переменная p должна изменяться так же, как и переменная в полосе
пропускания фильтра-прототипа нижних частот.
Простейшая преобразующая функция, которая удовлетворяет этим требованиям,
представляет собой сумму комплексных переменных фильтров нижних и верхних
частот.
p = p’+(w0’)2/p’
Если фильтром-прототипом нижних частот служит LC - фильтр, то преобразование переводит каждую индуктивность
фильтра нижних частот с сопротивлением Zk = pLk в реактивный двухполюсник с
сопротивлением Zk’ = p’Lk+(w0’)2Lk/p’, т.е. в последовательный
колебательный контур без потерь с той же индуктивностью Lk’ = Lk, емкостью Сk’ = 1/(w0’)2Lk и резонансной частотой w0’, а каждую емкость Cl с проводимостью Yl = pCl - в двухполюсник с проводимостью Yl’ = p’Cl+(w0’)2Cl/p’, т.е. в параллельный колебательный контур без потерь с той
же емкостью Cl’ = Cl, индуктивностью Lk’ = 1/(w0’)2Ck и той же резонансной частотой. Таким образом, исходная цепь
преобразуется в другую, также физически реализуемую LC-цепь.
Схема, параметры элементов и характеристики проектируемого фильтра
находятся с помощью частотного преобразования фильтра-прототипа нижних частот
(ФПНЧ). Определяем порядок ФПНЧ, который для фильтров с характеристиками
Чебышева находится по формуле:
,
-
нормированная граничная частота полосы задерживания ФПНЧ, она рассчитывается по
формуле:
Округляя
до большего целого, получаем n = 6.
Схема
ФПНЧ для режима односторонней нагрузки с за данным входным напряжением
Рис.
2.3 Схема ФПНЧ
Параметры
элементов ФПНЧ следующие:

Параметры
элементов проектируемого фильтра могут быть определены путем соответствующего
пересчета параметров элементов низкочастотного фильтра-прототипа. Так как у
меня стоит задача расчёта ППФ, то параметры ФПНЧ переходят в параметры ППФ по
приведенным ниже правилам. Далее нужно пересчитать их из нормированных значений
в обычные:
Рис.
2.4 Схема перевода параметров ФПНЧ в параметры ППФ
Рис.
2.6 Схема ППФ
Определение
передаточной функции фильтра.
Для
начала необходимо определить передаточную функцию ФПНЧ, которая имеет следующий
вид:
,
где
- полином Гурвица степени n,
B - коэффициент,
определяющий ослабление фильтра на частоте
.
Для
ФПНЧ с характеристикой Чебышева при
, B3 = 0,05412, а сомножители полинома Гурвица имеют вид:
Передаточную
функцию проектируемого фильтра H(p) можно получить путем частотного преобразования
передаточной функции
низкочастотного фильтра прототипа.
осуществляем
замену:
,
Тогда:

Порядок
передаточной функции Н(р) полосно-пропускающего фильтра вдвое превышает порядок
их ФПНЧ, поэтому полином V(p), полученный частотным преобразованием полинома
2-го порядка, содержит два квадратичных сомножителя:
;
Для
вычисления коэффициентов квадратичных сомножителей полином V(p)
можно воспользоваться следующим алгоритмом:
.
;
.
;
.
;
.
;

Таким
образом, передаточная функция фильтра, разложенная на реализуемые сомножители,
выводится следующим образом:для первого сомножителя:
для
второго сомножителя:
Рисунок 2.7 - АЧХ 1 фильтра
Аналогичным образом рассчитаем параметры оставшихся трех фильтров:
2 фильтр:
Рисунок 2.7 - АЧХ 2 фильтра
фильтр:
Рисунок 2.8 - АЧХ 3 фильтра
фильтр:
Рисунок 2.9 - АЧХ 4 фильтра
3. Расчет полосно-пропускающих фильтров
При большом объеме выпуска интегральных схем элементы с сосредоточенными
параметрами дешевле элементов с распределенными параметрами. Кроме того, они
обладают большей широкополосностью.
Однако на частотах, более 10ГГц элементы с сосредоточенными параметрами,
как правило, имеют более высокие потери и низкую добротность по сравнению с
элементами с распределенными параметрами.
Поэтому на частотах выше 10ГГц применяются главным образом элементы с
распределенными параметрами.
Индуктивность:
Рисунок 3.1 - Эквивалентная схема последовательной индуктивности (а) и ее
топология (б)
Рисунок 3.2 - Эквивалентная схема (а) сосредоточенной последовательной
емкости и варианты ее реализации (б-г).
Значение индуктивности можно оценить по формуле:
Где
- волновое сопротивление узкого отрезка МПЛ; -круговая
частота;
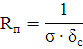
Волновое сопротивление рассчитывается по формуле:
Емкость:
Рисунок 3.3 - Эквивалентная схема (а) сосредоточенной последовательной
емкости и варианты ее реализации (б-г)
Значение последовательной емкости можно оценить по формуле:
Рисунок 3.4 - Параллельная емкость (а) и примеры ее выполнения (б-г)
Значение параллельной емкости можно оценить по формуле:
Рассмотрим полосно-пропускающий фильтр, выполняемый на
симметричной полосковой линии, волновое сопротивление которой р0 =
50 Ом
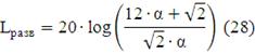
Определим обобщенные параметры элементов прототипного
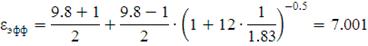
ФНЧ - g-параметры. Для чебышевского фильтра,
g-параметры можно рассчитать с помощью
формул:
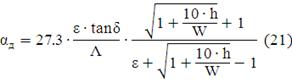
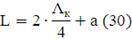
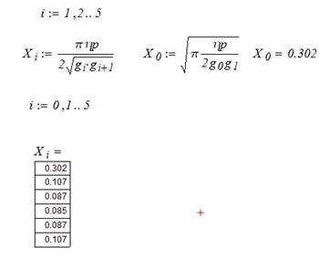
Рассчитаем параметры Х:
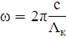
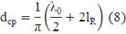
Определим длину волны в полосковой линии:
Расстояние между центрами зазоров внутреннего
проводника полосковой линии равно
Относительные
величины зазоров во внутреннем полоске:
Исходя
из этих данных:
Относительная
ширина полосок фильтра рассчитывается для заданных
и
равна:
Выражая W,
получаем:
Аналогичным
образом рассчитаем для оставшихся фильтров:
фильтр:
Расстояние
между центрами зазоров внутреннего проводника полосковой линии равно: 0.054 м;
Относительная
ширина полосок фильтра: 0.02м;
фильтр:
Расстояние
между центрами зазоров внутреннего проводника полосковой линии равно: 0.0312 м;
Относительная
ширина полосок фильтра: 0.011м;
фильтр:
Расстояние
между центрами зазоров внутреннего проводника полосковой линии равно: 0.0145 м;
Относительная
ширина полосок фильтра: 0.0314м;
частотный полосной фильтр резистор
4. Расчет сумматора
.1 Краткая теория и выбор материала
По сравнению с обычной аппаратурой микрополосковые и полосковые схемы
более трудоемки в разработке, поскольку связь между элементами схемы за счет
краевых полей и полей излучения более трудно поддается учету, расчет многих
элементов схемы производится приближенно, а подстройка готовых схем затруднена.
Окончательные размеры схем приходится отрабатывать путем перебора множества
вариантов. Широкое развитие и распространение полосковой и микрополосковой
техники обусловлено тем, что к ее изготовлению можно применить технологию
печатных плат, например, травление печатных проводников или вакуумное напыление.
Применение интегральной технологии позволяет с успехом решать задачи по
созданию АФУ при весьма жестких и противоречивых требованиях к
электродинамическим, аэродинамическим, габаритным, весовым, стоимостным,
конструктивным и другим параметрам.
4.2 Мосты и делители мощности
В технике СВЧ мостовые схемы обычно используются как делители мощности на
два канала (в равных отношениях при высокой развязке между ними) и как
балансные смесители с высокой развязкой между входными каналами. При
использовании мостовой схемы в качестве делителя, энергия подается в плечо 1,
распределение мощности энергии происходит в равном соотношении между плечами 2
и 4, а при подаче мощности в плечо 2 энергия распределяется между плечами 1 и
3. В первом случае в плече 3, а во втором - в плече 4 устанавливается оконечная
нагрузка. При использовании мостовой схемы в качестве смесителя энергия
подается в плечи 1 и 3, выходными плечами будут 2 и 4.
.3 Кольцевые и шлейфные мостовые схемы
Мостовые схемы в виде кольца характеризуются следующими основными
параметрами:
развязкой между каналами, которая определяется по формуле:
= 101gP2/P4 (Дб),
где Р2 и Р4 - величины мощностей на выходных каналах (при подаче мощности
в 1 канал);
делением мощности по выходным каналам.
Расчет мостовой схемы сводится к определению среднего диаметра
и ширины кольца
при заданных значениях волнового
сопротивления
питающей линии и рабочей длине волны
. Расстояние между осями должно быть
, а по длинной стороне
.
Длина средней линии кольца определяется из формулы:

;
откуда средний диаметр определяется из формулы:
lk
=

;
Волновое
сопротивление кольца Zк определяется из соотношения:
Рисунок 4.3.1 Конструкция кольцевого моста
Ширина полоски кольца Wк определяется аналогично ширине основной полоски.
Для большей компактности мостовую схему можно выполнить в виде прямоугольника
(рис. 4.3.2).
Рисунок 4.3.2 Конструкция шлейфного моста
Такая схема называется шлейфной. Размеры прямоугольника определяются по
формуле:
=
;
Волновое сопротивление полосок прямоугольной мостовой схемы определяется
из выражения:
=
Ширина полоски шлейфа определяется аналогично ширине основной полоски по
формуле.
.4
Бинарные делители мощности
Бинарным делителем мощности (БДМ) называют 2|1+N|-полюсник, содержащий N-1 делителей, каждый из которых делит мощность пополам.
Одиночные делители в общем случае соединены между собой одинаковыми отрезками
линий длиной lc. В частных случаях lc = 0 и делители соединяются между
собой непосредственно. Структура БДМ определяется числом N = 2n (n = 1,
2, 3, …) каналов деления. При этом: n = 1; N = 2 - одиночный делитель; (2 ×
3) - полюсник; n = 2; N = 4 - четырехканальный БДМ; (2 ×
5) - полюсник; n = 3; N = 8 - восьмиканальный БДМ; (2 × 9) - полюсник и т.д.
Мы будем рассматривать БДМ, состоящий из одинаковых звеньев; БДМ из
неодинаковых звеньев рассчитываются иными методами. Широко распространенный
вариант реализации БДМ содержит одинаковые кольцевые делители мощности (КДМ).
Рисунок 4.4.1 Кольцевой делитель мощности
Величина сосредоточенного сопротивления определяется по формуле:
Волновое сопротивление кольца равно:
Геометрическая длина между плечами рассчитывается:
=
Диаметр кольца определяется по формуле:
при условии, что величина
сравнима с
. В качестве R могут использоваться пленочные резисторы или сопротивления типа МЛТ.
Рассмотрим принцип действия кольцевого делителя мощности.
Сигнал, подводимый к плечу 1, разделяется поровну между двумя четвертьволновыми
отрезками кольцевого делителя и, следовательно, волны напряжений в плечах 2 и 3
равны и синфазны. Сигнал, подводимый к плечу 3, попадает в точку В плеча 2 по
двум путям: непосредственно через «точечное» сопротивление R и через отрезок
линии, равный λ/2. Таким образом, в точку две части сигнала поступают в
противофазе; при соответствующем выборе сопротивления R достигается их
компенсация и, следовательно, идеальная развязка плеч 2 и 3. В силу симметрии
делителя мощности аналогичные рассуждения справедливы при подаче сигнала а
плечо 2. Кольцевой делитель может обеспечить суммирование мощностей
СВЧ-сигналов. Если к плечам 2 и 3 подвести два синфазных сигнала, то в плече 1
выделится суммарный сигнал.
Кольцевой делитель (сумматор) мощности обеспечивает развязку между
выходными (входными) плечами, хорошее согласование, малые потери энергии в
широкой полосе частот и обладает небольшими линейными размерами. При правильном
выборе волновых проводимостей четвертьволновых отрезков делителя (сумматора)
можно обеспечить заданное деление мощности (или соответствующее сложение
заданных мощностей).
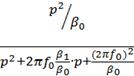
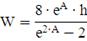
KCB =
/
где функция вносимого затухания
при этом
,
,
l -
длина отрезков линии передачи, коэффициент n определяется выбранным числом каналов N = 2n.
Отсюда следует, что с увеличением N расширяется полоса пропускания и увеличивается величина
пульсаций; наличие соединительных линий приводит к расширению полосы
пропускания по согласованию. Наибольший эффект достигается при
,
Свойства БДМ, построенного на одинаковых КДМ, можно рассмотреть на
примере четырехканального (N = 4)
делителя. Сравнительная оценка БДМ и КДМ показывает, что переходное затухание
БДМ равно удвоенному переходному затуханию одиночной КДМ; развязка между
выходными плечами разных КДМ, входящих в БДМ, больше развязки между выходными
плечами КДМ на величину переходного затухания; развязка между выходными
плечами, принадлежащими одним и тем же КДМ (в составе БДМ), больше, чем между
теми же плечами в случае одиночных КДМ.
На центральной частоте мощность, поступающая в БДМ, делится поровну между
каналами. В полосе частот наблюдается неравномерность деления между каналами,
которая определяется коэффициентом:
где Р1 и Р N - мощности в первом и N-м каналах, определенные на границах полосы пропускания.
Оптимизация делителя по критерию неравномерности деления
требует корректировки переходного
затухания
.
Диссипативные потери в БДМ оцениваются из расчета 0,3 дБ на одну ступень
деления.
4.5
Пленочные резисторы
В полосковых схемах резисторы используются в качестве СВЧ-элементов,
оконечных нагрузок и входят в состав низкочастотных цепей управления и питания.
Применяются резисторы двух типов: с сосредоточенными параметрами (много меньше
длины волны в линии) и с распределенными параметрами.
Предпочтительная форма резистора с сосредоточенными параметрами -
прямоугольная. Резистор, включенный в полосковую линию, представляет собой
отрезок линии передачи, выполненный из материала с высоким поверхностным
сопротивлением.
Входное сопротивление резистор:
где
- номинальное сопротивление резистора (RS - поверхностное сопротивление
резистивного участка);
С - емкость резистора. При выводе предполагалось, что
<<
;
L -
индуктивность.
Емкость С можно оценить по формуле для плоского конденсатора. В СВЧ
резисторах существует распределенная шунтирующая емкость СР, на
высоких частотах возникает последовательная индуктивность. В общем случае
наличие паразитной емкости приводит к уменьшению сопротивления R1 на высоких частотах по сравнению с R на постоянном токе.
При проектировании резисторов важную роль играет выбор такого перекрытия N, при котором наблюдается
стабилизация переходного контактного сопротивления. Рекомендуется для
сопротивлений 25…50 Ом N =
0.7…0.5 мм; 50…200 Ом N =
0.5…0.4 мм; 200…500 Ом N =
0.4…0.2 мм. для резисторов у которых b < ω, элемент стыковки с полоской,
расширенный по сравнению с его рабочей частью, должен выступать из-под
проводниковой пленки на расстояние δ1 в 1,5…2 раза превышающее ошибку на совмещение слоев
при изготовлении платы, т.е. Δсм< 0,1 b. Подобные выступы допускаются для резисторов с
сопротивлением 50…100 Ом. Ширина проводящей пленки в месте стыковки ее с
резистивной должна превышать ширину последней на 2δ
(не менее двойного
допуска на совмещение слоев). На практике для резисторов устанавливают
номинальную ширину 200 мкм, длину 300 мкм (при напылении через маску), длину и
ширину 50 мкм, зазоры между резистивными участками 200 и 80 мкм в зависимости
от способа изготовления.
Малогабаритные пленочные резисторы с сосредоточенными параметрами длиной
до 1 мм используются до 18 ГГц, резисторы большей площади - на частотах не
более 1-2 ГГц. Одним из способов уменьшения шунтирующей емкости резистора
является удаление экранной металлизации под резистором.
Для проектируемого делителя мощности используются стандартные резисторы.
Резистор С6-9 подходит по номинальному R и размерам. На следующей странице приведены его
характеристики:
С6-9ОЖО. 467.140 ТУ - высокочастотный неизолированный безвыводной
резистор. Предназначен для работы в составе гибридных интегральных микросхем в
цепях постоянного и переменного токов. Вид климатического исполнения УХЛ по
ГОСТ В 20.39.404-81.
Промежуточные значения номинальных сопротивлений соответствуют ряду Е48 и
дополнительному ряду 50; 61,2; 96,5; 150; 291; 437 Ом.
Диапазон рабочих частот: от 0 до 20 ГГц.
Коэффициент стоячей волны по напряжению КСВН не более 1,5.
Изменение сопротивления резисторов в течение минимальной наработки 30000
ч не более ±10%.
Таблица 4.1
Параметры резистора
|
Тип R
|
С6-9
|
|
|
Wном, Вт
|
0,125
|
|
|
ДиапазонRном.,
Ом
|
1 - 1000
|
|
|
Допускаемое отклонение от Rном, %
|
± 2
|
|
|
Масса не более, г
|
0,01
|
|
|
Hе > ТКС∙10-6, 1/0С от
-60 до 125 0С
|
± 150
|
4.6 Выбор
типа полосковой линии
Для нас оптимальным вариантом является микрополосковая линия (МПЛ), так
как она обладает наименьшими габаритами, весом и не вызывает конструктивных
трудностей.
4.7 Выбор
материала подложки
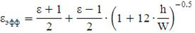
Для МПЛ требуется материал, обладающий высоким ε
(порядка 9.5), малыми
потерями, постоянством ε в широком диапазоне частот (т.е. малым количеством
примесей), малой пористостью, высокой теплопроводностью, низкой стоимостью.
В МПЛ, используемых в гибридных интегральных схемах (ИС), находят
применение такие материалы, как керамика, сапфир, ситалл. Основой керамики
является окись алюминия Al2O3. Высокоглиноземистая керамика является сравнительно
недорогим материалом, имеет низкие потери, высокую диэлектрическую
проницаемость, малые температурные изменения электрических параметров.
Таблица 4.2
Параметры материала подложки
|
Материал подложки
|
Ε
|
tg δ
|
Теплопроводность,
|
|
Поликор 99,8% Al2O3
|
9,8
|
1* 0,06 - 0,09
|
|
Для нашей схемы мы выбираем именно поликор 99,8% Al2O3, так как он имеет высокую
диэлектрическую проницаемость, низкие потери, и сравнительно недорогой.
.8 Выбор материала проводников
Материал проводников в МПЛ должен иметь высокую электропроводность, малую
величину температурного коэффициента сопротивления, хорошую адгезию к подложке,
хорошую растворимость в химическом травителе, легко осаждаться при вакуумном
напылении или нанесении гальваническим методом.
Таблица 4.3
Параметры материала проводников
|
Металл
|
Ag
|
Cu
|
W
|
Mn
|
Rt
|
Cr
|
Ta
|
Au
|
|
Объемная проводимость,
|
6,17
|
5,8
|
1,78
|
1,76
|
0,91
|
0,77
|
0,64
|
4,1
|
|
Нормированная толщина скин-слоя , мкм
|
2,03
|
2,09
|
3,76
|
3,8
|
5,2
|
5,75
|
6,26
|
2,19
|
Исходя из требований проводимости и дешевизны выбираем Cu.
.9 Электрический и конструктивный расчет. Расчёт основной МПЛ
Волновое сопротивление выбираем 50 Ом. Толщину подложки выберем
стандартную 1 мм. В качестве проводника используем медь. Исходя из выбранных
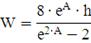
величин и свойств материала подложки определим ширину металлической полоски:
Поскольку А>1.52 то, учтя h = 1 мм, ширину полоски определим по
формуле:
Найдём критическую частоту:
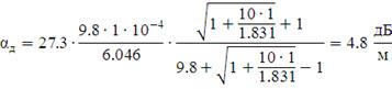
Определим потери в МПЛ. Потери в МПЛ складываются из потерь в
диэлектрике, потерь в проводнике и потерь на излучение. Потерями на излучение
мы пренебрегаем поскольку они незначительны.
- удельная проводимость металла проводников, а
- глубина скин-слоя

Определим размеры корпуса МПЛ
Ширину экрана при малой толщине полоски рекомендуется выбрать больше 4∙W. Для рассчитанной МПЛ а можно
выбрать равным 4 мм. Относительное расстояние между экраном и полоской (b-h)/h берут равным 10.
Отсюда b = 9 мм.
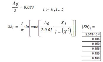
.10 Расчёт кольцевого моста
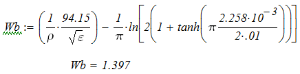
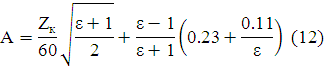
Волновое сопротивление кольца моста:
Определим ширину полоски кольца. Учитывая, что толщина подложки 1 мм,
получим:
Размеры моста зависят от длины волны в кольце:
Определим параметры моста:
а) потеря мощности в кольце
б) КСВ
в) дисбаланс амплитуд
г) развязка изолированного плеча
(b-h)/h = 10, расстояние
от полоски до экрана будет также равным 9 мм. Так как ширина подложки выбрана 4
мм, то прибавляем к среднему диаметру еще 2 мм и получим радиус внешней
окружности:
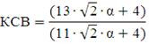
.11 Расчёт шлейфного моста
Шлейфный мост рассчитаем аналогично.
Волновое сопротивление шлейфов будет равным волновому сопротивлению
основной линии, волновое сопротивление отрезков линии между шлейфами:
Длина линии между шлейфами будет равна четверти длины волны в ней.
Параметры моста:
а) потери мощности

б) КСВ

(
)

(
в) дисбаланс амплитуд:
г) развязка изолированного плеча:
д) потери моста:
(29)
.12 Расчёт бинарного делителя мощности
т.к.
, а
, то
;
;
;
;
Т.к. С6-9 стандартный, то
= b = c = 1
мм.
Определим геометрические размеры делителя мощности.
Длина линии кольца (длина между кольцами):
Заключение
В ходе курсовой работы произведен расчет параметров
полосового фильтра с Чебышевской характеристикой затухания на одиночной
полосковой линии с зазорами для заданных параметров фильтра.
Список использованной литературы
1. Г.И.
Веселов, Е.Н. Егоров, Ю.Н. Алехин и др. Микроэлектронные устройства СВЧ:
учебное пособие для М59 радиотехнических специальностей вузов, М.: Высш.шк.,
1988.
2. Л.Г.
Малорацкий. Микроминиатюризация элементов и устройств СВЧ. М., «Сов. радио»,
1976
. Д.Л.
Маттей, Л. Янг, Е.М.Т. Джонс. Фильтры СВЧ, согласующие цепи и связи, т.1, т.2,
М., Связь, 1972.
. Сайт
РНИУП «Луч»
5. GRAHAM
BROAD/ Combining digital and analog TV signals