Инженерное обустройство защитных лесных полос
Введение
осушение лесоводственный
гидравлический
Гидротехнические мелиорации
(осушение, орошение) улучшают почвы на продолжительное время. Они улучшают
водный, воздушный, а частично и питательный режим почв и поэтому являются одним
из эффективных средств повышения плодородия почвы. Гидротехнические мелиорации
осуществляются для различных целей, особенно большое развитие они получили на
сельскохозяйственных и лесных землях.
В условиях Европейского Севера
России около половины площадей земель сельскохозяйственного и лесного
назначения избыточно увлажнены. Гидротехнические мелиорации избыточно
увлажнённых земель, проводимые в комплексе с лесоводственными, лесокультурными
и другими мероприятиями, являются эффективным средством подъема урожайности
сельскохозяйственных культур, повышения производительности лесов и создания
зеленых зон для отдыха трудящихся. Поэтому специалисты земельного кадастра
должны иметь понятие о планировании и организации мелиоративных работ, о
строительстве и эксплуатации мелиоративных систем.
В моей работе тип заболачивания
низинный. Тип леса - ельник травяно-сфагновый со средним возрастом насаждений
95 лет, с относительной полнотой 0.75 и с V классом бонитета. Мощность торфа -
0,8 м. Торф средней рыхлости со степенью разложения до 35%. Подстилающая порода
- средний суглинок. В своей работе принимаю глубину осушителя Т0 = 1.3 м.
Собиратель должен быть глубже осушителя на 0,10 м, а магистральный канал глубже
собирателя на 0,14 м. Глубина наполнения канала должна быть на 0,44 м ниже
бровки канала.
1. Характеристика
природных условий Красноборского района
Красноборский район расположен на
юго-востоке Архангельской области по обоим берегам реки Северная Двина.
Граничит на юге - с Котласским районом, на востоке - с Ленским районом, на
западе - с Устьянским районом, на севере - с Верхнетоемским районом
Архангельской области и с республикой Коми. Административный центр - село
Красноборск. Территория района составляет 9,47 тыс. км2.
Речная сеть района густая и
насчитывает 113 рек и постоянно текущих ручьев, принадлежит к типу равнинных и
относится к бассейну Белого моря. Главной рекой является Северная Двина,
ширина которой достигает до полутора километров. Река судоходна в течение всего
навигационного периода.
Притоками реки Северная Двина
являются: река Уфтюга, пересекающая правобережную часть района с северо-востока
на юго-запад, длина - 236 км; леводвинские притоки - реки Евда, Лябла, Лудонга,
Тядима, а также притоки реки Уфтюга: Лахома, Мотьма, Ентала, Топса и другие.
Также по территории района протекают в своем верхнем течении реки Устья,
Пинега, Илеша.
На правобережье Северной Двины
замедленные процессы стока и близкое залегание грунтовых вод обусловили
развитие болот и заболоченных земель более 200 тыс. га.
Климатические условия умеренно-континентальные.
Зима продолжительная, снежная и морозная. Средние температуры самого холодного
месяца января составляют -17… - 18 градусов. Количество снега в некоторых
местах может достигать отметки в 550-600 мм. С проникновением в регион
Арктических циклонов, значительное понижение температур до -24… - 25 градусов.
Средние показатели июля составляют +16…+17 градусов. Погода осенью, в большей
своей частью дождливая и пасмурная. Среднегодовой показатель осадков составляет
600 мм. Основная часть которых выпадает в осенний период.
Рельеф района представляет собой
слабовсхолмленную равнину, изрезанную многочисленными реками. С юго-востока на
северо-запад территорию района пересекает широкая заболоченная низина.
Почвы Красноборского района
подзолистые, полуболотные, болотистые и болотные, а также аллювиальные луговые
почвы в долинах рек Северной Двины и Уфтюги, используемые под сенокосы и
пастбища.
Территория района расположена в
подзоне тайги с преобладанием хвойных (еловых и сосновых) лесов с примесью
мелколиственных пород. Значительные пространства в долинах рек Северной Двины и
Уфтюги занимают луга с пойменной разнотравно-крупнозлаковой растительностью.
Правобережье Северной Двины богато
белыми грибами, ягодами: черника, голубика, клюква, брусника, красная и черная
смородина (в поймах рек).
Редкие и исчезающие виды растений:
родиола розовая, валериана блестящая, вязь гладкий, кубышка малая, липа
сердцевидная, пихта сибирская, тополь черный.
С 1969 года на территории района
функционирует Шиловский комплексный государственный заказник.
Шиловский государственный природный
биологический заказник регионального значения образован с целью сохранения и
восстановления редких и ценных в хозяйственном отношении охотничьих животных.
Заказник в экологической системе
района имеет важное значение как биологический резерват и зона покоя для
животных.
Заказник расположен на территории
уникальных живописных сосновых боров беломошников, на которых произрастают
редкие виды сосудистых растений (прострел раскрытый, тимьян ползучий) и которые
подлежат охране и бережному использованию.
Болота разных типов имеют важное
значение в поддержании гидрологического режима территории заказника.
В разнотравных лесах обитают
млекопитающие: барсук и летяга, птицы ястреб-перепелятник, дербник.
На территории заказника обитает
самое южное стадо северных оленей.
Территорию Шиловского заказника
часто называют Родиной белого гриба.
2. Обоснование
расположения осушительной сети в плане
В состав осушительной сети входят:
проводящая сеть (магистральный канал (МК) и транспортирующие собиратели),
водоприёмник (реки, ручьи, озёра, овраги, водохранилища, балки), регулирующая
сеть, оградительная сеть каналов, гидротехнический сооружения на сети, дороги,
противопожарные и природоохранные сооружения.
Так как на участке насколько лощин,
обычно магистральный канал проектируют по главной лощине, а собиратели - по
второстепенным. Углы поворота МК должны быть меньше 60. Собиратели должны
впадать в МК под углом 60 …80. Каналы регулирующей сети (осушители) могут
впадать в проводящий канал под острым и прямым углом.
В моей работе осушаемый участок
состоит из четырёх кварталов, общая площадь которого равна 385 га. Тип леса -
Ельник травяно-сфагновый, возраст насаждения 95 лет. Класс бонитета V,
относительная полнота древостоя 0,75. Низинный тип заболачивания, глубина
торфяной залежи 0,8 м, торф средней плотности со степенью разложения до 35%.
Подстилающая порода - средний суглинок. Глубина осушителя Т=1,3 м. Собиратель
должен быть глубже осушителя на 0,10 м, магистральный канал должен быть глубже
собирателя на 0,14 м. Глубина наполнения канала должна быть на 0.44 м ниже
бровки канала.
В 1,2,4 кварталах чётко выражена
лощина, которая тянется через весь осушаемый участок. Провожу магистральный
канал. По склонам к лощине проектирую собирательные каналы. Для защиты
названных квартальных просек от затопления собиратели располагаю на расстоянии
3 м. Далее проектирую впадение осушителей в собиратели. В 1,2,3 и 4 кварталах
проектирую осушители.
Проектирую одностороннее впадение
осушителей в собиратель 1 в 1 и 2 кварталах, также в квартале 1 осушители
впадают в собиратель 2 и прямо в МК, в квартале 3 - осушители впадают в
собиратель 3, в квартале 4 - в собиратель 3 и прямо в МК. С севера проектирую
нагорные каналы, впадающие в магистральный канал, а по бокам (с запада и
востока) - защитные каналы, которые сбрасывают воду в собиратели. Собиратели
впадают в магистральный канал.
3. Определение
расстояния между осушителями
Расстояние между осушителями зависит
от ряда факторов: целей осушения, климатических условий, уклона местности,
глубины каналов, глубины залегания водоупорного горизонта, характера
подстилающего торф грунта, типа водного питания, соотношения величин осадков и
испарения и т.д.
Я выбираю из табл. 1 [с. 9] по типу
леса ельник травяно-сфагновый, глубине торфяной залежи и подстилающему грунту
средний суглинок расстояние между осушителями, отвечающее максимальной
рентабельности. Оно равно 140.
Зональный поправочный коэффициент
Koс для Архангельской области равен 0.68. Таким образом, расстояние между
осушителями равно:
м * 0.68 = 95,2 м.
Далее полученное расстояние умножаю
на коэффициент Кг, зависящий от грунтовых условий и установившейся глубины
канала КГ =1,14 (табл. 2 [с. 11]).
,2 * 1,14= 108,5 м. - расстояние
между осушителями.
Как было указано расстояние между
осушителями можно изменять в пределах ±10%. В целях экономии средств на
строительство осушительной сети увеличиваем расстояние между осушителями до 110
м.
Теперь наношу осушители на план.
Согласно приведенной выше рекомендации концы осушителей не довожу до
квартальных просек и магистрального канала. Оставляю зазор - 30 м.
В квартале 1 предлагаю впадение
осушителей в собиратели 1, 2 и МК, в квартале 2 в собиратель 1, в 3 - в
собиратель 3, а в 4 квартале в собиратель 3 и МК.
4. Вычисление элементов
поперечных профилей каналов
Правильный выбор поперечного сечения
каналов в значительной степени обеспечивает сохранность осушительной сети.
Поперечный профиль характеризуется глубиной канала, шириной дна и крутизной
откоса. При определении глубины каналов необходимо учитывать осадку торфа после
осушения. Основной причиной осадки является отдача воды торфом вследствие
понижения уровней грунтовых вод после устройства осушительных каналов.
Известно, что в неосушенных торфяниках содержание воды достигает 85…95%, а в
торфах верховых болот до 98% объема. До осушения торф как бы плавает в воде.
После понижения грунтовых вод верхние слои торфа, лишенные гравитационной воды,
увеличивают давление на нижние слои, уплотняя их. Происходит осадка торфа,
продолжающаяся на протяжении многих лет. Однако в основном торф оседает в
первые 1…2 года после осушения. Особенно сильно происходит осадка возле каналов
осушительной сети.
Глубину каналов проводящей сети
определяю в зависимости от принятой глубины осушителей. Глубина воды в каналах
проводящей сети не должна создавать подпоров воды в регулирующей сети. Глубина
собирателей должна быть на 0.10…0.20 м больше глубины, впадающих в них
осушителей. Проектная глубина магистрального канала должна быть на 0.10…0.25 м
больше глубины транспортирующих собирателей.
Далее вычисляю установившуюся
глубину собирателя
и
магистрального канала
,
используя поправки. В моем примере +0,10 м для собирателя и +0,14 м для МК.
=
+ 0,10=1,3+0,1=1,4 м;
=
+
0,14=1,4+0,14=1,54 м.
Далее выбираю коэффициент осадки
торфа β=1,25 (торф средней
плотности на низинном болоте) (табл. 3 [с. 14]) и вычисляю мощность слоя торфа
после его осадки
:
, где
-
мощность слоя торфа до осушения, м.
В моем примере:
Следовательно, осушители
с глубиной
1.3
м будут не полностью располагаться в слое торфа, а частично врезаться в
минеральный грунт на 0,66 м. Дно собирателя с глубиной
=1,4
м и магистрального канала с глубиной
=1,54 м будет врезаться
в минеральный грунт на 0,76 м и 0,9 м.
Затем нахожу осадку
поверхности:
Вычисляю проектные
глубины осушителя, собирателей и магистрального канала:
=
+
Но=1,3+0,16=1.46 м,
= 1,4+0,16=1,56 м,
;
Таким образом, проектные
глубины осушителя, собирателя и МК принимаю следующие:
=1,46 м,
=1,56 м,
=1,70 м.
Важным моментом является
выбор коэффициента заложения откоса канала, который зависит от типа
почвогрунтов, глубины каналов, естественного откоса грунта и влажности грунта.
Величина откоса канала или коэффициент m, вычисляю по формуле:
Ширину канала b по дну
не рассчитываю (кроме магистрального канала), а принимают равной 0.3..0.4 м.
Проектные глубины осушителя, собирателя и магистрального канала беру из
предыдущего расчета.
Проектную ширину канала
по верху Впр вычисляю по формуле
,
где m - коэффициент заложения
откосов.
Принимаю ширину осушителя по дну
b=0,3 м, собирателя - b=0,4 м, для магистрального канала b=0,7 м (см. табл. 1)
Проектные глубины осушителя -
=1,46 м, собирателя -
= 1,56; магистрального канала
= 1,70;
Из таб. 4 [с. 16] выбираю: в среднем
суглинке для осушителей m=1,00, для собирателей m=1,25, для МК m=1,25.
Вычисляю проектную ширину канала по
верху: осушителя -,
собирателя -, магистрального канала:
5. Продольные профили
каналов
В лесоводственной практике при
проектировании осушительной сети строят продольные профили всех каналов.
Для построения продольных профилей
необходимо знать отметки поверхности по оси канала.
При определении отметок поверхности
болота по оси магистрального канала в точке ПК0 и в конечной точке нет
возможности замерить заложение, так как на плане нет соседних горизонталей,
поэтому беру величину заложения для соседних участков (для ПК0 - выше по
склону, для конечной точки - ниже по склону).
Вычисляю отметки пикетов,
расположенных между горизонталями:
=
h = 39,5 -
0,5=39,22 м,
где
- отметка близлежащей горизонтали, м;
-
расстояние от близлежащей горизонтали до пикета, мм;
-
расстояние между смежными горизонталями (заложение), мм;
h - высота сечения рельефа, м.
Первый проектный участок провожу от
ПК 0 до ПК 3. Проектная отметка дна канала на ПК 0 найдена по разности отметки
поверхности на этом пикете и проектной глубины магистрального канала:
=
-
= 39,22-1,7=37,52 м.
Затем нахожу предварительную
проектную отметку в точке перелома, то есть на ПК 3:
=
-
=40,14-1,7=38,44 м.
Потом определяю уклон дна канала на
данном участке по формуле
i=
=
=0.0031,
где Hк - отметка конечной точки
проектируемого участка, м;
Нн - отметка начальной точки
проектируемого участка, м;
d - длина проектируемого участка, м.
Определяю точные проектные отметки
сначала конечной точки данного участка, а потом последовательно всех остальных:
=
+ id = 37,52+0.0031*300=38,45.
=
+ id = 37,52+0.0031*100=37,83.
=
+ id = 37,52+0.0031*200=38,14.
Выполняю контрольное вычисление:
=
+ id = 38,14+0.0031*100=38,45.
Вычисления верные, так как отметки
дна канала, вычисленные через всю длину участка и от ближайшего предыдущего
пикета, получились одинаковыми.
Второй участок провожу от ПК 3 до ПК
6. В этом случае за НП беру вычисленную отметку ПК 3, то есть НН=38,45 м и так
далее.
6. Гидрологические
расчеты
Задачей гидрологических расчетов
является определение расчетных расходов воды в реках и каналах, на основе
которых определяют размеры каналов. Известно, что в течении года расходы воды в
естественных и искусственных водотоках колеблются. Весной в период снеготаяния
после вскрытия льда в реках, получающих питание с равнин, расходы воды более
высокие. Этот период называется весенним половодьем. После половодья расходы быстро
уменьшаются. Они могут снова подниматься в летний и осенний периоды благодаря
дождевым осадкам. Такие подъемы называются летними и осенними паводками. Период
малых расходов получил название межень.
При осушении лесных земель главным
требованием является освобождение от гравитационной влаги корнеобитаемого слоя
почвы к началу роста корней деревьев.
Площадь осушаемого участка F=385,0
га, средний уклон дна магистрального канала iср=(43,45-37,52)/2170=0,0027.
Вычисляю расчетный модуль стока qp по формуле А.Д. Дубаха:
, где F - площадь
водосбора, га;
- средний уклон дна
канала;- коэффициент прихода-расхода влаги, для
Архангельской области
К=1,68.
= 0,77 м3/с
Затем вычисляю расчетные
горизонты hр (глубину наполнения каналов), принимая их на 0,44 м ниже бровки
каналов.
(для
магистрального канала)
(для
собирателя)
(для осушителя).
7. Гидравлические
расчеты
Гидравлические расчеты
проводят для определения размеров поперечных сечений магистрального канала или
собирателей, для проверки каналов на устойчивость против размыва и заиления, а
также для увязки расчетных горизонтов воды в каналах.
Вычисляю расход воды по
формуле Шези, м3/с
, где - модуль стока с 1
км2, м3/с;
F
- площадь водосбора, км2.
Скоростной коэффициент
Шези определяют по формуле:
,
где n - коэффициент шероховатости: для каналов в средних условиях
эксплуатации - 0,025;
R
- гидравлический радиус, м,
- площадь живого
сечения канала, м2;
- смоченный периметр,
м;
y
- показатель степени: при R<1
м у = 1,5; R>1 м у = 1,3
Скорость движения воды в
канале:
Вычисляю расходную
характеристику магистрального канала:
Таблица 1. -
Результаты гидравлических расчетов магистрального канала
|
b
|
hp
|
 RC  
|
|
|
|
|
|
|
|
|
0,3
|
1,1
|
1,84
|
3,82
|
0,482
|
33,65
|
23,36
|
1,21
|
42,99
|
57,16
|
|
0,4
|
1,1
|
1,95
|
3,92
|
0,498
|
33,91
|
23,93
|
1,24
|
46,66
|
57,16
|
|
0,6
|
1,1
|
2,17
|
4,12
|
0,527
|
34,37
|
24,95
|
1,30
|
54,14
|
57,16
|
|
0,7
|
1,1
|
2,28
|
4,22
|
0,540
|
34,57
|
25,40
|
1,32
|
57,92
|
57,16
|
Принимаю ширину
магистрального канала по дну b = 0,7 м.
Контроль по скорости:
скорость 1,32 м/с больше максимально допустимой скорости течения воды в каналах
(см. табл. 5 [с. 25], Vmax=0,85 м/с). Так как расчетная скорость превышает максимально
допустимую величину, то необходимо устройство перепадов.
8.
Гидромелиоративные работы
Гидромелиоративное строительство
включает в себя следующие работы: устройство подъездных путей к объекту
строительства; разрубку трасс в крупномерном древостое; валку трасс
крупномерного леса на трассах каналов, дорог, берм; прокладку трасс в мелколесье;
трелёвку древесины с трасс; корчёвку пней и кустов; регулирование
водоприёмников; устройство каналов сточных воронок, дорог вдоль каналов,
противопожарных водоёмов, отстойников и т.п., сооружения для регулирования
водного режима, мостов, переходов, трубопереездов, креплений в руслах каналов;
нарезку борозд для отвода избыточных поверхностных вод, а также строительство
сооружений и других объектов природоохранного назначения.
Перечисленный комплекс работ
выполняется силами лесхозов, машинно-мелиоративными станциями (ЛММС) или
специализированными подрядными организациями.
Трассоподготовительные работы
В состав работ по подготовке трасс
входят: вырубка древостоя и уборка древесины, срезка мелколесья и кустарника,
корчёвка пней.
При определении необходимой ширины
трасс учитывают: тип землеройной техники, схему разработки грунта (продольная,
поперечная), ширина канала по верху и его глубину, а при строительстве вдоль
канала проезда - ширину дорожного полотна.
Ширину разрубки трасс
магистральных и собирательных каналов В
определяю по формуле:
В
=
где
ширина
бермы с верховой стороны канала (от бровки до стены леса), как правило,
=1…2
м;
- ширина бермы между
каналом и дорогой, 1…4 м;
- ширина канала по
верху, м;
- ширина полосы полотна
дороги или кавальера, м.
Для осушительных каналов ширину
разрубки трассы принимают на 2,0 м шире двойной ширины канала по верху.
Разрубку трасс осуществляют
бензопилами любой модификации, кусторезами КБ-4А, ДП-514А на базе трактора
Т-10О и ДП-24 на базе трактора Т-130Г-1 или машин МТП-43Х и ЭСП-4, оснащённых
поворотной стрелой с дисковой пилой.
Для вычисления ширины разрубки
трассы принимаю:
для магистрального канала-
B1 = 1,0 м, B2 = 1,5 м, B = 4,95 м, Bк = 4,5 м,
BтрМК = 1,0 + 1,5 + 4,95+ 4,5 = 11,95 м≈12,0 м.
для собирателей:
B1 = 1,0 м, B2 = 1,0 м, B = 4,3 м, Bк = 1,5 м,
Bтр = 1,0 + 1,0 + 4,3 + 1,5
= 7,8 м.
для осушителей:
Bтр = 2∙3,22 + 2,0 =
8,44 м ≈ 8,4 м.
Определение объемов земляных работ
После подготовки
трасс для каналов произвожу земляные работы, объем которых подсчитываю по
формуле:
где
-
объем выемки грунта между соседними пикетами или пикетом и плюсовой точкой, м3;
,
- площади поперечных сечений канала на соседних пикетах, м2;
- расстояние между
пикетами или пикетом и плюсовой точкой, м.
Площадь поперечного
сечения на каждом пикете (плюсовой точке)
Таблица 2. Определение
объема земляных работ по устройству магистрального канала
|
№ пикета
|
Коэффиц. заложения откосов m
|
Глубина канала H, м
|
Ширина канала, м
|
Площадь попер. сечения, S, м2
|
Средняя площадь попер. сечения
|
Расстояние между пикетами, d, м
|
Объем выемки грунта V, м3
|
|
|
|
по дну b
|
по верху, В
|
|
|
|
|
|
0
|
1,25
|
1,70
|
0,7
|
4,95
|
4,80
|
|
|
|
|
1
|
1,25
|
1,70
|
0,7
|
4,95
|
4,80
|
4,80
|
100
|
480
|
|
2
|
1,25
|
1,70
|
0,7
|
4,95
|
4,80
|
4,80
|
100
|
480
|
|
3
|
1,25
|
1,69
|
0,7
|
4,93
|
4,76
|
4,78
|
100
|
478
|
|
4
|
1,25
|
1,70
|
0,7
|
4,95
|
4,80
|
4,78
|
100
|
478
|
|
5
|
1,25
|
1,70
|
0,7
|
4,95
|
4,80
|
4,80
|
100
|
480
|
|
6
|
1,25
|
1,71
|
0,7
|
4,98
|
4,86
|
4,83
|
100
|
483
|
|
7
|
1,25
|
1,68
|
0,7
|
4,90
|
4,70
|
4,78
|
100
|
478
|
|
8
|
1,25
|
1,71
|
0,7
|
4,98
|
4,86
|
4,78
|
100
|
478
|
|
9
|
1,25
|
1,69
|
0,7
|
4,93
|
4,76
|
4,81
|
100
|
481
|
|
10
|
1,25
|
1,74
|
0,7
|
5,05
|
5,00
|
4,88
|
100
|
488
|
|
11
|
1,25
|
1,73
|
0,7
|
5,03
|
4,96
|
4,98
|
100
|
498
|
|
12
|
1,25
|
1,69
|
0,7
|
4,93
|
4,76
|
4,86
|
100
|
486
|
|
13
|
1,25
|
1,68
|
0,7
|
4,90
|
4,70
|
4,73
|
100
|
473
|
|
14
|
1,25
|
1,67
|
0,7
|
4,88
|
4,66
|
4,68
|
100
|
468
|
|
15
|
1,68
|
0,7
|
4,90
|
4,70
|
4,68
|
100
|
468
|
|
16
|
1,25
|
1,68
|
0,7
|
4,90
|
4,70
|
4,70
|
100
|
470
|
|
17
|
1,25
|
1,66
|
0,7
|
4,85
|
4,61
|
4,66
|
100
|
466
|
|
18
|
1,25
|
1,69
|
0,7
|
4,93
|
4,76
|
4,68
|
100
|
468
|
|
19
|
1,25
|
1,68
|
0,7
|
4,90
|
4,70
|
4,73
|
100
|
473
|
|
20
|
1,25
|
1,68
|
0,7
|
4,90
|
4,70
|
4,70
|
100
|
470
|
|
21
|
1,25
|
1,68
|
0,7
|
4,90
|
4,70
|
4,70
|
100
|
470
|
|
+70
|
1,25
|
1,69
|
0,7
|
4,93
|
4,76
|
4,73
|
70
|
331
|
|
Итого
|
-
|
-
|
-
|
-
|
-
|
-
|
2170
|
10345
|
Вычисленный объем выемки
грунта на магистральном канале
, деленный на
протяженность этого канала dмк,
позволяет найти объем выемки на 1 м магистрального канала
:
d МК = 2170 м; ∑V МК = 10345м3
V МК1м =10345 / 2170= 4,77 м3/м.
Таблица 3. Определение
объема земельных работ по устройству собирателя - 1
|
№ пикета
|
Коэффиц. заложения откосов m
|
Глубина канала H, м
|
Ширина канала, м
|
Площадь попер. сечения, S, м2
|
Средняя площадь попер сечения
|
Расстояние между пикетамиd, м
|
Объем выемки грунта V, м3
|
|
|
|
по дну b
|
по верху, В
|
|
|
|
|
|
0
|
1,25
|
1,56
|
0,4
|
4,30
|
3,67
|
|
|
|
|
1
|
1,25
|
1,52
|
0,4
|
4,20
|
3,50
|
3,59
|
100
|
359
|
|
2
|
1,25
|
1,59
|
0,4
|
4,38
|
3,80
|
3,65
|
100
|
365
|
|
3
|
1,25
|
1,55
|
0,4
|
4,28
|
3,63
|
3,71
|
100
|
371
|
|
4
|
1,25
|
1,53
|
0,4
|
4,23
|
3,54
|
3,59
|
100
|
359
|
|
5
|
1,25
|
1,54
|
0,4
|
4,25
|
3,58
|
3,56
|
100
|
356
|
|
6
|
1,25
|
1,56
|
0,4
|
4,30
|
3,67
|
3,62
|
100
|
362
|
|
7
|
1,25
|
1,60
|
0,4
|
4,40
|
3,84
|
3,76
|
100
|
376
|
|
8
|
1,25
|
1,56
|
0,4
|
4,30
|
3,67
|
3,75
|
100
|
375
|
|
9
|
1,25
|
1,56
|
0,4
|
4,30
|
3,67
|
3,67
|
100
|
367
|
|
10
|
1,25
|
1,60
|
0,4
|
4,40
|
3,84
|
3,76
|
100
|
376
|
|
11
|
1,25
|
1,54
|
0,4
|
4,25
|
3,58
|
3,71
|
100
|
371
|
|
12
|
1,25
|
1,53
|
0,4
|
4,23
|
3,54
|
3,56
|
100
|
356
|
|
13
|
1,25
|
1,57
|
0,4
|
4,33
|
3,71
|
3,62
|
100
|
362
|
|
14
|
1,25
|
1,57
|
0,4
|
4,33
|
3,71
|
3,71
|
100
|
371
|
|
15
|
1,25
|
1,56
|
0,4
|
4,30
|
3,67
|
3,69
|
100
|
369
|
|
+70
|
1,25
|
1,56
|
0,4
|
4,30
|
3,67
|
3,67
|
70
|
257
|
|
Итого
|
-
|
-
|
-
|
-
|
-
|
-
|
1570
|
5752
|
Вычисленный объем выемки
грунта на собирательном канале
, деленный на
протяженность этого канала dс,
позволяет найти объем выемки на 1 метр собирателя
:
dС
= 1570 м; ∑V
С = 5752 м3
V С1м =5752 / 1570= 3,66 м3/м
Общий объем грунта со
всех собирателей ∑V С находим
произведением объема выемки на 1 метр выбранного для расчетов собирателя -1 (∑V С1м) на протяженность всех собирателей ∑ dС
∑ dС = 3530 м; V С1м = 3,66 м3/м
∑V С=3,66 м3/м ∙
3530 м = 12920м3.
Таблица 4. Определение
объема земельных работ по устройству осушителя - 21
|
№ пикета
|
Коэффиц. заложения откосов m
|
Глубина канала H, м
|
Ширина канала, м
|
Площадь попер. сечения, S, м2
|
Средняя площадь попер. сечения
|
Расстояние между пикетами, d, м
|
Объем выемки грунта V, м3
|
|
|
|
по дну b
|
по верху, В
|
|
|
|
|
|
0
|
1,00
|
1,46
|
0,3
|
3,22
|
2,57
|
|
|
|
|
1
|
1,00
|
1,43
|
0,3
|
3,16
|
2,47
|
2,52
|
100
|
252
|
|
2
|
1,00
|
1,44
|
0,3
|
3,18
|
2,51
|
2,49
|
100
|
249
|
|
3
|
1,00
|
1,46
|
0,3
|
3,22
|
2,57
|
2,54
|
100
|
254
|
|
4
|
1,00
|
1,46
|
0,3
|
3,22
|
2,57
|
2,57
|
100
|
257
|
|
5
|
1,00
|
1,45
|
0,3
|
3,20
|
2,54
|
2,56
|
100
|
256
|
|
6
|
1,00
|
1,47
|
0,3
|
3,24
|
2,60
|
2,57
|
100
|
257
|
|
7
|
1,00
|
1,48
|
0,3
|
3,26
|
2,63
|
2,61
|
100
|
261
|
|
8
|
1,00
|
1,47
|
0,3
|
3,24
|
2,60
|
2,61
|
100
|
261
|
|
+40
|
1,00
|
0,3
|
3,22
|
2,57
|
2,59
|
40
|
104
|
|
Итого
|
-
|
-
|
-
|
-
|
-
|
-
|
840
|
2151
|
|
|
|
|
|
|
|
|
|
|
|
|
|
|
|
|
d О =840 м; ∑V О =2151 м3; V 1м =2151 м3/840 м = 2,56 м3/м.
Общий объем грунта
со всех собирателей ∑VО находим
произведением объема выемки на 1 метр выбранного для расчетов осушителя - 14 (∑VО1м) на протяженность всех
осушителей ∑ d0.
∑ d0 =31200 м; V 01м =2,56м3/м
∑V О =2,56 м3/м ∙
31200 м = 79872 м3
Средний объем выемки
грунта на 1 га мелиорируемой площади
нахожу делением общего
объема выемки грунта по всем каналам (
) на осушаемую площадь:
(
)
= 10345 + 12920 + 79872 =103137 м3
= 103137 м3/
385 га = 267,89м3/га
Степень канализации
мелиорируемой территории нахожу делением общей протяженности всех каналов
на
осушаемую площадь:
2170 + 3530 +
31200=36900 м
/ 385 га = 95,8 м/га.
В моём примере был
выбран землеройный механизм экскаватор МЭ-ЗМ одноковшовый торфяной на
уширено-удлиненном гусеничном ходу с производительностью 90м3/ч.
Определю время работы выбранного механизма, необходимое для рытья всех каналов
на осушаемой в моём примере площади:
м3 / 90 =
1146 часа или около 144 8-часовых рабочих дней.
Гидротехнические
сооружения и дороги.
Все сооружения на
открытой осушительной сети делятся на 5 групп: дорожные (мосты, трубчатые
переезды, пешеходные мостики); сопрягающие (перепады, быстротоки, консольные
водосборы); крепление каналов (крепление откосов канала); подпорные (шлюзы,
перегораживающие сооружения); дренажные (дренажные устья, смотровые колодцы и
др).
Пешеходные мосты
устраиваю на пересечении с каналами просек и троп, в устьях каналов.
Трубы-переезды или деревянные мосты проектирую на пересечении устьев
собирателей с лесохозяйственной дорогой, проложенной вдоль магистрального
канала. Труба переезд представляет собой железобетонную трубу диаметром 0,6 -
1,2 м, уложенную на дно канала, предварительно тщательно выровненного.
Уложенную трубу засыпают грунтом, уплотняя его. Дно трубы должно располагаться
на одном уровне с дном канала.
На своем участке наношу
пешеходные мостики, лесохозяйственную дорогу, показываю условными знаками мосты
и трубы-переезды.
9. Лесоводственная
эффективность осушения
Под лесоводственной
эффективностью осушения понимают увеличение продуктивности леса, которое выражается
в повышении класса бонитета и увеличении прироста древостоев, в улучшении
качества древесины и сортиментной структуры запасов, в улучшении возобновления
леса и транспортных условий, а также в повышении санитарно-гигиенической роли
леса.
Потенциальное плодородие
осушаемых земель - главное условие эффективности мелиорации. Показатели
потенциального плодородия осушаемых земель является зольность торфа, тип
заболачивания, тип леса. На лесоводственную эффективность влияет состав
древостоя, возраст, полнота, степень осушения площади.
В ельнике
травяно-сфагновый (возраст древостоя 95 лет) дополнительный текущий прирост за
первое десятилетие после осушения составит -3,6м3/га, а за второе -
7,3 м3/га, то есть за 20 лет дополнительный текущий прирост
10,9м3/га.
Умножаю эту величину на поправочный коэффициент для относительной полноты 0,75
Кп = 1,06.
10,9∙1,06= 11,55
м3/га
Для получения
дополнительного прироста
в
условиях центральной части Архангельской области величину
=
15,02 м3/га умножаю на климатический поправочный коэффициент
Ккл для Архангельской области, равен 0,47.
11,55∙ 0,47 =
5,43 м3/га
Для определения
дополнительного текущего прироста со всего осушаемого участка надо из всей
площади Sобщ. Вычесть площадь
, занятую разрубленными
под каналы трассами.
Сначала определяю
площадь, занятую магистральным каналом
, собирателями
и
осушителями
.
Для этого умножаю ширину разрубки трассы под соответствующие каналы на их общую
длину:
S МКтр =
Bмктр
∙ dмк = 12,0 ∙2170 = 26040м2 = 2,60 га
S Стр = BСтр
∙ ∑dС
= 7,8∙ 3530= 27534м2 = 2,75 га
S Отр = BОтр
∙ ∑dО
= 8,4 ∙ 31200 =262080м2 = 26,21 га
∑Sкан = 2,60+2,75+26,21= 31,56 га
Таким образом, под лесом
останется площадь
385
га - 31,56 га = 353,44 га.
Определяю дополнительный
прирост
за
первые 20 лет после осушения на площади
. Для получения величины
дополнительного прироста
со
всей лесной площади умножаю полученное значение
на занятую лесом площадь
.
5,43 ∙ 353,44 =
1919 м3
Теперь вычисляю прирост
на
всей площади за 20 лет при условии, что осушение не проводилось (прирост без
осушения.) Для этого текущий годичный прирост насаждений V класса бонитета в возрасте 95 лет умножаю на полноту древостоя Р
= 0,75 и на площадь всего осушаемого участка Sобщ.:
1,8 ∙ 0,75 ∙
385 = 520 м3
Определяю
-
дополнительный текущий прирост со всей осушаемой площади за 20 лет:
1919 -520 = +1399 м3
Определяю
-
фактический дополнительный прирост на площади 1 га:
+1399 / 385 = +3,63 м3
/ га.
По величине Zмдоп =+3,63 м3/га
с помощью таблицы 11 определяю, что в результате осушения текущий класс
бонитета еловых насаждений травяно-сфагнового типа леса изменится с 5 до 3. По
эффективности осушения данный участок следует отнести к 1 группе, то есть
эффективность осушения высокая. Значит, осушение на данном участке проводить
целесообразно.
10. Неблагоприятные
природные факторы, влияющие на земли сельскохозяйственного назначения
(агроландшафты). Защита агроландшафтов лесными насаждениями
.
Большой ущерб обществу и человеку
наносят засухи, суховеи, водная и ветровая эрозия почв, метелевые и холодные
ветры, абразия, селевые потоки, влияние промышленного производства и т.п. Засуха
- неблагоприятное сочетание гидрометеорологических факторов, при которых
нарушается водный баланс растений. Засуха может быть почвенной, атмосферной
(воздушной) и общей. Почвенная засуха наступает при уменьшении в почве запасов
воды до количества, не удовлетворяющего потребностей растений во влаге.
Причинами почвенной засухи может быть отсутствие или недостаток атмосферных
осадков, необходимых для пополнения запасов почвенной влаги, сдувание снега с
полей, большой поверхностный сток, низкая агротехника ведения сельского
хозяйства.
Атмосферная засуха наступает при
высокой температуре воздуха и его низкой относительной влажности (ниже 20%). В
результате атмосферной засухи у растений резко повышается расход воды на
транспирацию, корневая система и проводящие сосуды растений не успевают
подавать к транспирирующим органам необходимое количество воды даже при наличии
в почве усвояемой влаги. В результате атмосферной засухи происходит иссушение
почвы, и в последующем засуха может переходить в общую. Суховеи - ветры,
имеющие скорость более 3-5 м/с и приносящие нагретые массы воздуха с низкой
влажностью. В суховейные дни в 13 часов температура воздуха бывает обычно выше
25 - 30°С, относительная влажность его меньше 20%. Наибольшее распространение
суховеи имеют именно в нижнем Поволжье.
Значительный вред обществу и
государству наносит эрозия почв - совокупность процессов разрушения почвы и
подстилающих пород, перемещение и отложение продуктов разрушения водой и
ветром. Различают два основных типа эрозии почв - водную и ветровую (дефляцию).
С учетом причин и природы эродирующих сил выделяю еще два ее подтипа -
нормальную (геологическую) и ускоренную (разрушительную, антропогенную) эрозию.
Нормальная эрозия наблюдается на поверхности почвы, покрытой естественной
растительностью, не измененной хозяйственной деятельностью человека - вырубкой
леса, распашкой и т.п. Этот вид эрозии протекает медленнее, чем
почвообразовательные процессы. Нерациональное антропогенное воздействие
человека на почву приводит к возникновению ускоренной эрозии, резко ухудшающей
экологию.
Водная эрозия часто возникает на
склонах, где талая и ливневая вода, собираясь в струйки, ручейки и потоки,
разрушает почву и подстилающие ее породы, образует промоины, овраги и селевые
потоки. Тем самым увеличивается площадь бросовых земель, снижаются урожаи
сельскохозяйственных культур, осложняется обработка почвы и увеличиваются
затраты на производство сельскохозяйственной продукции. Образующиеся в горных
условиях мощные потоки, насыщенные твердыми материалами (ил, щебень, камни,
обломки скал массой до нескольких сот тонн) и движущиеся со скоростью до 30
км/ч и более, называют селевым потоком или селью. При его движении разрушаются
и сооружения, уничтожаются посевы. Интенсивность водной эрозии зависит от
крутизны и протяженности склона, его экспозиции, характера почвы,
растительности, а также антропогенного воздействия.
На водохранилищах часто наблюдается
разрушение берегов под воздействием волн. Это явление называется абразией. На
ее интенсивность влияют многие факторы: высота и разрушающая сила волн, угол
подхода оси волны к контуру берега, угол наклона, высота геоморфологическое
сложение берега, его тип и степень защищенности растительностью, уклон
подводной отмели, характер донных течений, транспортирующие наносы. Абразия
берегов и подпор грунтовых вод при создании водохранилищ в ряде случаев
способствуют интенсификации оползневых процессов, подтоплению и заболачиванию
территории, смыву близко расположенных лесных насаждений.
Ветровая эрозия на открытых полях
приводит к понижению плодородия ферментативной и потенциальной биохимической
активности почв. Она разрушает верхний плодородный слой почвы и переносит
почвенные частицы в места ветрового затишья.
Наиболее опасна катастрофическая
форма ветровой эрозии - пыльные бури. При небольшой влажности почвы они
возникают при скорости ветра 12 - 15 м/с. В этом случае сильный ветер, не
встречая на своем пути преград, вызывает интенсивное разрушение верхнего слоя
почвы, частицы которой во взвешенном состоянии переносятся на значительные
расстояния. Пыльные бури возникают и в малоснежные зимы (снежно-пыльные бури).
Ветровая эрозия и, прежде всего,
пыльные бури причиняют большой ущерб сельскому хозяйству. Сильный ветер,
разрушая почву, выдувает семена и молодые всходы, засыпает растения, заносит
оросительные каналы и строения. Это ведет к снижению плодородия почв, ухудшению
технологических качеств зерна. Под действием сильных ветров не покрытые
растительностью массивные пески приходят в движение и заносят
сельскохозяйственные угодья, дороги, населенные пункты, оросительную сеть.
Метелевые ветры сдувают снег с
возвышенных мест и ветроударных склонов. На таких участках повышается
вероятность вымерзания растений, уменьшаются запасы влаги. Холодные ветры в
зимнее время способствуют вымерзанию сельскохозяйственных культур, а летом
задерживают вегетацию [3].
Для борьбы с засухой и улучшения
микроклимата применяется система полезащитных полос в комплексе с
агротехническими мероприятиями, созданием прудов и водоемов, орошением и
осушением местности, использованием других мелиоративных приемов, направленных
на повышение культуры земледелия. С целью защиты почв от ветровой эрозии в
юго-восточных районах лесоразведение проводится на фоне почвозащитной системы
земледелия. На пастбищах осуществляется система лесонасаждений в комплексе с
организационно-хозяйственными мероприятиями. Повсеместно ведутся работы по
закреплению и облесению песков.
В условиях расчлененного рельефа в
комплекс мероприятий включается обработка почв с использованием водозадерживающих
и гидротехнических приемов, система полезащитных лесных полос дополняется или
заменяется системой других видов защитных лесонасаждений.
Лесные полосы по-разному влияют на
микроклимат, экологию и урожайность сельскохозяйственных культур. Это прежде
всего зависит от конструкции лесных полос, т.е. строения продольного профиля
лесной полосы в облиственном состоянии, определяющем ее аэродинамические
свойства. Продольным профилем лесной полосы называют фронтальный вид вдоль
лесной полосы. По степени ветропроницаемости полос они бывают плотной, ажурной,
продуваемой и ажурно-продуваемой конструкции.
Полосы плотной конструкции не имеют
просветов по всему продольному профилю. Они, как правило, состоят из главной,
сопутствующей породи кустарников. Полосы ажурной конструкции имеют равномерно
расположенные просветы площадью 15 - 35% по всему продольному профилю лесной
полосы. Полосы продуваемой конструкции имеют в нижней части продольного профиля
крупные просветы между стволами деревьев площадью более 60% при отсутствии их в
верхней част полосы, то есть в области крон. Ажурно-продуваемые полосы имеют
просветы площадью более 60% в нижней части продольного профиля и площадью 15 -
35%, равномерно расположенные в верхней части крон.
Лесные полосы влияют на движение ветрового
потока и скорость ветра, что в значительной степени зависит от конструкции
лесной полосы. Дальность влияния полосы измеряется в высотах насаждений (Н).
Плотные лесные полосы действуют по типу непроницаемых экранов. Воздушный поток
при встрече с такой полосой практически не дробясь обтекает насаждение сверху,
а затем довольно резко опускается вниз, достигая поверхности земли на
расстоянии 3 - 5Н. При подходе к полосе скорость ветра начинает снижаться на
расстоянии 7 - 10Н. В самой полосе или при выходе из нее скорость ветра близка
к нулю. Общее снижение скорости ветра не превышает 25Н.
Ажурные лесные полосы действуют по
типу решетчатых экранов. Они делят ветровой поток на две части: одна часть
проходит через полосу, дробясь на отдельные струи, а другая - переваливает
через насаждение. Снижение скорости ветра с наветренной стороны наступает на
расстоянии 5 - 7Н, и оно продолжается в самой полосе и за ней. На расстоянии 3
- 4Н от полосы с заветренной стороны скорость минимальная и составляет 15 - 40%
от скорости в степи, затем происходит плавное увеличение.
Продуваемые лесные полосы действуют
по типу аэродинамических диффузоров, разделяя ветровой поток плотными кронами
надвое: один переваливает через полосу, другой проходит между стволами деревьев
в приземной части насаждения. При встрече ветрового потока с полосой
продуваемой конструкции начало снижения скорости ветра с наветренной стороны
отмечается также на расстоянии 5 - 7Н. Однако в самой полосе скорость
возрастает, но затем происходит ее снижение, и на расстоянии 5 - 8Н с
заветренной стороны она составляет 30 - 50% от скорости ветра в открытой степи.
Общая дальность влияния полос ажурной и продуваемой конструкций составляет 35 -
40Н.
Ажурно-продуваемые полосы пропускают
основную часть ветрового потока через низ, а остальной поток, разбиваясь на
мелкие струи, движется сквозь кроны. Дальность положительного влияния
ажурно-продуваемых полос на снижение скорости ветра чаще всего составляет 12 -
15Н. Скорость ветра в этой зоне в среднем снижается на 20 - 25%.
Большое значение для повышения
урожайности сельскохозяйственных культур имеет накопление и распределение
снега. Более равномерно снег распределяется на полях, защищенных
взаимосвязанной системой лесных полос ажурно-продуваемой конструкции. При
наличии полос такой конструкции протяженность снежного шлейфа с заветренной
стороны достигает 12 - 15Н, а высота сугроба не превышает 1 - 1,2 м. При
наличии плотных полос накапливаются большие сугробы в полосах и у опушек,
которые часто вызывают снеголомы насаждений, более длительное снеготаяние и
задерживают проведение весенних полевых работ вблизи лесных полос. Ажурные
лесные полосы по влиянию на снегораспределение приближаются к плотным, а
продуваемые - к ажурно-продуваемым.
Лесные полосы оказывают влияние на
температуру и влажность приземного слоя воздуха. В системе лесных полос в
дневные часы теплого периода года температура воздуха бывает на 1 - 2°С выше,
чем в открытой степи. В ночные часы около плотных лесных полос застаивается
холодный воздух, температура понижается и возможно формирование местных
заморозков. В системе ажурно-продуваемых и продуваемых лесных полос эти
отрицательные явления исключаются. Отепляющее влияние полос проявляется
сильнее, чем охлаждающее. Лесные полосы повышают относительную влажность
приземного слоя воздуха на межполосных участках на 2 - 3%, а абсолютную - на
0,5 - 1,0 мм.
Взаимосвязанная система лесных полос
защищает территорию от ветровой и водной эрозии. Наиболее эффективно от
ветровой эрозии и пыльных бурь защищает система полос ажурной конструкции.
Значение лесных насаждений в борьбе с водной эрозией почв основано на их
способности задерживать снег и обеспечивать перевод поверхностного стока во
внутрипочвенный, скреплять корневыми системами почву и горные породы,
задерживать (кольматировать) твердый сток.
В результате положительного влияния
лесных полос, созданных на сельскохозяйственных землях, на микроклимат,
абиотические факторы и физиологические процессы растений повышается урожайность
сельскохозяйственных культур в засушливые и влажные годы. Положительное влияние
системы полезащитных полос на урожайность сельскохозяйственных культур начинает
проявляться при достижении ими высоты 2 - 3 м. С увеличением высоты лесных
полос повышается зона положительного влияния их на межполосные поля и
урожайность сельскохозяйственных культур.
Наибольший агрономический эффект
достигается при наличии взаимосвязанной системы лесных полос. В этом случае
эффективное положительное влияние одной полосы распространяется до другой. В
такой системе из ветропроницаемых полос скорость ветра снижается на 40 - 50%,
испарение воды в суховейные дни - на 20 - 30%, а влажность воздуха повышается
по сравнению с открытой степью до 8 - 10%. На межполосных полях, по сравнению с
незащищенной пашней, создается более мощный снежный покров, обеспечивающий
лучшие условия перезимовки сельскохозяйственных растений и влагозарядку почвы
весной.
Положительное влияние системы лесных
полос состоит также в сохранении посевов от пыльных бурь, которые в зимний
период приводят к тому, что на открытых полях озимые часто вымерзают,
выдуваются и заносятся мелкоземом. На полях, защищенных системой
взаимодействующих полос, выдувание почвы в летний период не происходит,
эффективность применения удобрений повышается на 15 - 20%.
В Волгоградской области под
воздействием техногенных нагрузок ее естественные ландшафты в значительной мере
преобразованы. Хозяйственные воздействия на природную среду, помимо
положительных влияний, из-за нерационального природопользования все же приводят
и к ухудшению ее качеств, к обострению экологической обстановки.
Неблагоприятные факторы внешней среды: обильные дожди с последующими разливами
рек.
11. Противоэрозионная
организация территории и комплекс проектируемых мероприятий
По классификации С.С. Соболева. Разработанной
для районов распространения водной и ветровой эрозии почвы, выделяют шесть
категорий земель, отличающихся уклонами и степенью эродированности почвы.
Первая категория включает равнинную
территорию с уклонами до 2°, не подверженную или слабо подверженную смыву почв.
Земли этой категории используют в полевом севообороте с защитой полей
полезащитными (ветроломными) лесными полосами.
Во вторую категорию входят
приводораздельные части склонов крутизной 2°…3°, подверженные водной эрозии в
слабой и средней степени. Защитные лесные полосы размещают с учетом рельефа
(поперек склона), придают им стокорегулирующие свойства.
Земли третьей категории с уклонами
3°…4°, где смыв выражен в средней степени, отводят под полевой почвозащитный
севооборот. Стокорегулирующие лесные полосы размещают только вдоль длинных
сторон полей (поперек склона), а вспомогательные лесные полосы не проектируют.
К четвертой категории относят
участки склонов крутизной 4°…6°, расчлененные промоинами и лощинами, на которых
преобладают среднесмытые и встречаются сильносмытые почвы. Увеличивают долю
кустарников в составе стокорегулирующих полос, а сами полосы обваловывают.
В пятую категорию входят склоны
присетьевой зоны, часть гидрографического фонда (включая балки, речные долины)
с сильносмытыми и среднесмытыми почвами. Их крутизна от 6° до 20°. Создаются
стокорегулирующие и прибалочные лесные полосы.
Шестая категория - откосы и дно
действующих оврагов. Крутизна откосов оврагов примерно составляет: IV стадия развития - от
20° до 30°, III - от 31° до 35°, II - от 36° до 45°. Вдоль бровок оврагов проектируют и создают
приовражные лесные полосы. Проводят облесение склонов, посадки по дну оврагов и
в конусе выноса.
Границы земель разных категорий
определяют по заложениям, соответствующим указанным выше величинам крутизны
склонов. Заложение вычисляют по формуле:

где a - заложение, м,
h
- высота сечения рельефа, м,
ν
- крутизна склона в градусах.
Таблица 5 - Величины
заложений для плана масштаба 1:25000 (высота сечения рельефа 10 м)
|
Крутизна склона
|
1°
|
2°
|
3°
|
4°
|
6°
|
12°
|
|
Величина заложения: - на местности, м - на плане, мм
|
572,9 22,9
|
286,4 11,5
|
190,8 7,6
|
143 5,7
|
95,1 3,8
|
47 1,9
|
Площадь земель первой категории была
определена с помощью линейной палетки с расстоянием между параллельными линиями
h = 1,0
см по формуле:
S = h * Σa * 6, 25,
где S - площадь, га;
Σa - сумма длин параллельных линий палетки, заключенных внутри
измеряемой площади, см;
,25 - число гектаров местности,
соответствующих 1 см2 плана масштаба 1:25000 (250 м * 250 м = 62500
м2 = 6,25 га).
Первое измерение: Σa = 197,1 см
S1 = 1,0 *197,1 *6,25 =
1231,9 га.
Второе измерение: Σa = 199,1 см
S2 = 1,0* 199,1 *6,25 =
1244,4 га.
Δ S = S2 - S1 = 1244,4 - 1231,9 = 12,5 га.
Δ S/ Sср = 12,5/1238,2 = 1/99.
Измерения проведены с необходимой
точностью, так как 1/99 < 1/50.
Таблица 6 - ведомость измерения
площадей земель
|
Категория земель
|
Измеренная площадь, га
|
Δ S/ Sср
|
Поправка, га
|
Исправленная площадь, га
|
|
1-ое измерение
|
2-ое измерение
|
Среднее
|
|
|
|
|
Первая
|
1231,9
|
1244,4
|
1238,2
|
1/99
|
-8,2
|
1230
|
|
Вторая
|
520,0
|
515,6
|
517,8
|
1/118
|
-4,8
|
513
|
|
Третья
|
256,3
|
260
|
258,2
|
1/70
|
-3,2
|
255
|
|
Четвертая
|
214,4
|
216,9
|
215,7
|
1/86
|
-1,7
|
214
|
|
Пятая
|
181,3
|
179,4
|
180,4
|
1/95
|
-1,4
|
179
|
|
Овраги и неиспользуемые земли, Sнеипол
|
101,3
|
100,6
|
101,0
|
1/144
|
-1,0
|
100
|
|
Итого, ΣS
|
-
|
-
|
2511,3
|
|
-
|
2491
|
|
Общая площадь, Sобщ
|
-
|
-
|
2491
|
|
-
|
2491
|
|
Невязка, fs
|
-
|
-
|
+20,3
|
|
-20,3
|
0
|
|
Площадь полей Sобщ - Sнеипол = 2491,0 - 100,0 = 2391,0 га
|
|
|
|
|
|
|
|
|
Таблица 7 - Ведомость распределения
площади землепользования по категориям и хозяйственному использованию
|
Категория Земель
|
Местоположение
|
Уклон в градусах
|
Степень эродированности почв
|
Площадь, га
|
Тип севооборота, использование земель
|
Основные противоэрозионные мероприятия
|
|
1
|
Приводораздельная равнина
|
0…2
|
Отсутствует
|
1230
|
Полевой
|
Л1, А1
|
|
2
|
Слабопологие склоны
|
2…3
|
Слабая
|
513
|
Полевой
|
Л2, А2
|
|
3
|
Пологие склоны
|
3…4
|
Средняя
|
255
|
Полевой почвозащитный
|
Л3, А3
|
|
4
|
Слабопокатые склоны
|
4…6
|
Средняя и сильная
|
214
|
Кормовой почвозащитный
|
Л4, А4, Г4
|
|
5
|
Покатые и сильнопокатые склоны
|
6…12
|
Сильная и средняя
|
179
|
Кормовой почвозащитный, сенокос
|
Л5, У, Г5
|
|
Итого
|
-
|
-
|
-
|
2391
|
-
|
-
|
Л1… Л5 -
лесомелиоративные для земель 1 - 5 категорий соответственно;
А1… А4 -
агротехнические, предусмотренные для земель 1 - 4 категорий соответственно;
Г4, Г5 -
гидротехнические для земель 4 и 5 категорий соответственно;
У - лугомелиоративные, включающие
улучшение лугопастбищных угодий.
В данной работе землепользование
расположено в лесостепной зоне Западной Сибири. Почва - обыкновенный чернозём.
По методике, указанной выше, нашла
границы между землями разных категорий. Эти земли обозначила разными видами
штриховки. Земли первой категории оставила незаштрихованными.
На землях первой категории
располагаем полезащитные лесные полосы. Основные (продольные) полосы
проектируем перпендикулярно господствующим ветрам или с отклонением 30°. При
таком расположении полос они лучше защищают поля от ветровой эрозии, снижают
скорость ветра и обеспечивают равномерное снегораспределение на защищаемых
полях. Для защиты от ветров других направлений перпендикулярно основным полосам
закладываем вспомогательные (поперечные) полосы.
Длинные стороны полей севооборотов
на землях второй - пятой категорий должны быть направлены поперек склона (вдоль
горизонталей). По этим границам размещают стокорегулирующие, а вдоль бровок
оврагов - приовражные лесные полосы.
На землях четвертой и пятой
категорий допускаются криволинейные (по контуру горизонталей) границы полей.
Вспомогательные (поперечные) лесные
полосы проектируют только на землях первой и второй категории. На склонах,
изрезанных оврагами, роль вспомогательных полос выполняют приовражные полосы,
которые размещают вдоль бровок оврагов.
Если площадь поля (рабочий участок)
включает земли нескольких категорий, то в целях обеспечения надежности
противоэрозионных мероприятий всю площадь такого поля относя к категории с
более выраженными процессами эрозии. При этом рекомендации по хозяйственному
использованию этого поля и размещению защитных полос по его границам дают в
расчете на категорию с более эродированными или эрозиоопасными почвами.
После размещения полей по территории
землепользования нумеруют те поля, по границам которых запроектированы лесные
полосы.
Учитывая что, вредоносные суховейные
ветры в центральной левобережной части Омской области в основном дуют с
востока, метелевые с запада, то основные полезащитные полосы проектируем с
севера на юг, а вспомогательные с запада на восток.
В почвенном покрове преобладают
обыкновенные черноземы, поэтому расстояние между основными (продольными)
полосами составит 500 м. Первая основная полоса запроектирована вдоль западной
границы землепользования. Расстояния между стокорегулирующими полосами на
землях 2 - 3 категорий принимаем 400 м, а на землях 4 - 5 категорий - 200 м.
На землях 2 - 3 категорий
стокорегулирующие полосы располагаем параллельно основным полосам на землях
1-ой категории. Стокорегулирующие полосы на землях 4 - 5 категорий располагаем
параллельно горизонталям. Ввиду достаточно ровного рельефа полосы практически
прямолинейны. Сначала вдоль бровки балки проектируем прибалочную полосу в виде
ломаной линии с минимальной длиной прямолинейного участка 100 м, от которой
откладываем 200 м и наносим на план стокорегулирующую полосу, затем снова
откладываем 200 м и т.д.
Согласно рекомендациям расстояние
между вспомогательными (поперечными) полосами на землях 1 - 2 категорий не
должно превышать на обыкновенных черноземах 1500 м. Ширина участка по линии
север-юг составляет 5475 м. Решено запроектировать две вспомогательные полосы
вдоль северной и южной границ. Внутри землепользования размещаем еще 3
вспомогательные полосы. Таким образом, расстояния между вспомогательными
полосами с севера на юг составили 1368 м - 1368 м - 1368 м - 1368 м.
На землях 1-ой категории
разместились поля 1, 2, 3…14,15,16. Площадь стандартного поля (к ним относятся
все поля) на землях 1-ой категории составляет 75 га (500 м * 1500 м).
На землях 2 - 3 категорий
разместились поля 17,18…27,28. Площадь стандартного поля составляет также 60 га
(400 м * 1500 м).
12. Лесомелиоративные
мероприятия
Полезащитные (ветроломные) лесные
полосы.
Полезащитные лесные полосы защищают
пашни и сельскохозяйственные культуры от воздействия неблагоприятных природных
и антропогенных факторов. Полосы создают в районах со слабым проявлением водной
эрозии на плоских водоразделах и пологих склонах крутизной 1,5 - 2˚. При
создании полезащитных полос важную роль играет обработка почвы, которая
обеспечивает накопление и сбережение влаги и уничтожение сорняков.
Выбранная конструкция полосы должна
в наибольшей степени отвечать мелиоративным требованиям и обеспечивать
жизнеспособность насаждений в местных условиях. Ажурно-продуваемые полосы
рекомендуются для районов с холодной снежной зимой, где при других конструкциях
в насаждениях собираются большие сугробы снега; продуваемые - для районов, где
зимы бывают с оттепелями; ажурные - для районов с частыми пыльными бурями,
непостоянным снежным покровом.
Древесные и кустарниковые породы для
полезащитных лесных полос подбирают с учетом агролесомелиоративного
районирования (приложение 2 в методическом указании).
Таблица 8 - Биологическая
характеристика деревьев и кустарников, применяемых в защитном лесоразведении
|
Порода
|
Морозоустойчивость
|
Засухоустойчивость
|
Солевыносливость
|
Требовательность к почве
|
Быстрота роста
|
Возобновительная способность
|
Для каких видов насаждений применяется
|
|
Клен ясенелистный
|
с
|
с
|
с
|
нтр.
|
с
|
с, п
|
ОБН, ОН
|
|
Лиственница сибирская
|
с
|
сл
|
сл
|
тр.
|
с
|
нв
|
ПП, ОН, ОБН
|
|
Облепиха крушиновая
|
с
|
с
|
ср
|
нтр.
|
с
|
с, п, ко
|
ПН, ОБН, ПП
|
|
Смородина золотая
|
с
|
с
|
с
|
нтр.
|
ср
|
ср, п
|
ПН, ПП, ОБН
|
|
Яблоня сибирская
|
ср
|
сл
|
сл
|
ср. тр.
|
с
|
с, п, ко
|
ОН, ОБН, ПП
|
Защитные лесные насаждения создают
посадкой стандартных сеянцев, саженцев, черенков или посевом семян.
Общепринятая ширина междурядий:
степная зона - на южных черноземах,
темно-каштановых и каштановых почвах - 3,0…4,5 м.
Ширина закраек с каждой стороны
лесной полосы на юге лесной зоны, в лесостепи на всех почвах и в степи на
черноземах всех подтипов должна быть равной половине ширины междурядья.
Выбирая ширину полезащитных лесных
полос необходимо иметь в виду, что они, с одной стороны, должны быть по
возможности узкими, не занимающимися большой площади пахотных угодий, и
достаточно проницаемыми для ветра. С другой стороны, они должны обладать высокой
биологической устойчивостью. Последнее требование выполняется тем лучше, чем
шире полоса, поскольку в широкой полосе полнее формируется лесная среда.
В зависимости от степени появления
ветровой эрозии, конструкции и состава пород обычно проектируют полосы из
трех-четырех, реже пяти рядов. При этом ширина полос (с учетом закраек) должна
быть от 7,5 до 15,0 м. С целью снижения лесистости пашни во вспомогательных
(поперечных) полосах делают на одно междурядье меньше, что повышает
экономическую эффективность полезащитного лесоразведения.
Двух- и трехрядные полосы состоят
преимущественно из одной породы. При большем числе рядов кроме главной породы
вводят сопутствующую, в ажурные полосы - кустарник. Введение в опушечный ряд с
наветренной стороны кустарника позволяет дополнительно накапливать снег в
лесной полосе, что очень важно в сухостепной и полупустынной зонах. На почвах
каштанового комплекса в опушечном ряду рекомендуется чередовать кустарник с
древесной породой.
Рекомендуемое расстояние в рядах
между расстояниями (шаг посадки):
при посадке сеянцев и неокорененных
черенков - 1,0…2,0 м;
при посадке саженцев и окорененных
черенков - 2,0 …3,0 м.
Выбор конкретного расстояния в рядах
культур необходимо обосновать в зависимости от породы и почвенно-климатических
условий объекта проектирования.
После выбора числа рядов и
размещения деревьев и кустарников составляют схемы смещения пород в основных и
вспомогательных полезащитных полосах с указанием ширины закройки, ширины
междурядий, шага посадки в рядах культур, ширины полос. На всех схемах надо
показать средний уклон местности, соответствующий данной категории земель. На
основе схем рассчитывают густоту лесных культур в полосах отдельно для каждой
породы по формуле

где N - густота лесных культур, шт./га;
n
- число рядов данной породы в полосе;
B
- ширина полосы (с учетом закраек), м;
l
- расстояние между посадочными (посевными) местами в рядах культур (шаг посадки
или шаг строчно-луночного посева), м.
Общая густота равна
сумме посадочных мест на 1 га всех пород, входящих в схему смешения. Общая
густота должна укладываться в диапазон, указанный в задании к курсовой работе.
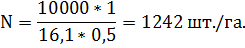
Основываясь на
рекомендациях специалистов, выбрала продуваемую конструкцию основных
(продольных) и вспомогательных (поперечных) полезащитных (ветроломных) лесных
полос. Принимаю число рядов в основных полосах - 4, во вспомогательных - 3.
Схема смешения пород в основных полосах: 1 ряд сопутствующей породы -
Лиственница сибирская, 2 ряд главной породы - Клен ясенелистный, 1 ряд
сопутствующей породы - Лиственница сибирская.
В моей работе все полосы
созданы посадкой стандартных сеянцев. Это позволяет лучше соблюдать
рекомендации специалистов по густоте лесных культур.
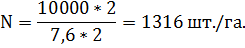
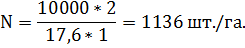
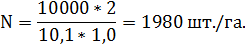
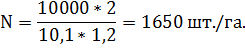
Ширина полосы В = 10,1
м.
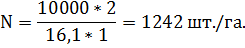
Клен ясенелистный: число
рядов n = 2, шаг посадки l
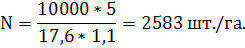
= 1,0 м:
Лиственница сибирская:
число рядов n = 2, шаг посадки l
= 1,2 м:
Общая густота основных
полос составляет (1980 +1650) = 3630 шт./га, что укладывается в рекомендуемую
густоту культур в полезащитных полосах 3660 ± 30 шт./га.
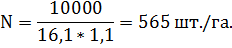
Расчет густоты культур
во вспомогательной полосе проводим на основе рисунка 3. Схема смешения пород:
клен ясенелистный (лиственница сибирская) - клен ясенелистный - клен
ясенелистный (лиственница сибирская). В крайних рядах решено высаживать главную
и сопутствующую породы попеременно.
Ширина полосы В = 7,6 м.
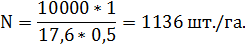
Клен ясенелистный: один
ряд с шагом посадки l = 1,0 м и 2 ряда с
шагом посадки l = 2 м:
Лиственница сибирская:
число рядов n = 2, шаг посадки l
= 2 м:
Общая густота
вспомогательных полос составляет (2632+1316) = 3948 шт./га, что укладывается в
рекомендуемую густоту культур в полезащитных полосах 2-4 тыс. шт./га.
Стокорегулирующие лесные
полосы
Эти полосы предназначены
для задержания и регулирования поверхностного стока, предотвращения смыва и
размыва почвы на нижележащих частях склонов, равномерного снегораспределения, а
также выполняют полезащитную роль. Их создают на склонах крутизной более 1,5 -
2˚, где наблюдается интенсивный сток воды и водная эрозия почв.
Располагают полосы поперек склона на расстоянии, определяемом длиной и
крутизной склона.
Непремененным условием обработки
почвы при создании стокорегулирующих полос является пахота поперек склона. В
основном агротехника аналогична применяемой при создании и выращивании
полезащитных полос. Для повышения противоэрозионной роли стокорегулирующих
полос их создание следует сочетать с обвалованием нижней опушки, сооружением
прерывистой канавы в нижнем междурядье или глубоким щелеванием междурядий. Это
приводят с целью обеспечения временного затопления почв лесной полосы;
интенсивного впитывания воды почвой во время снеготаяния и ливней; задержания
максимально возможного объема воды в лесополосе и тем самым уменьшения стока;
кольматажа твердого стока, принесенного водным потоком. Обвалование нижней
опушки лесополосы проводят двухкратным проходом плантажного плуга с отваливанием
пласта в сторону лесополосы.
Ажурность конструкции
стокорегулирующих полос должна быть обеспечена за счет правильного подбора
древесных и кустарниковых пород и схем смешения. Кустарники, выполняющие
главную роль в регулировании стока, обязательно вводят в верхний по склону
опушечный ряд, а на 4-й категории земель - в средние ряды.
Ширина стокорегулирующих
полос и размещение рядов культур такие же, как и для полезащитных полос. Однако
на практике защитного лесоразведения считают возможным высаживать кустарники
через 1,5 м между рядами и сокращать шаг посадки для них до 0,5…0,75 м, что
повышает способность полос к регулированию стока. В этом случае
механизированные уходы за почвой проводят методом седлания рядов кустарника.
Расчет густоты культур
выполняют для каждой породы отдельно, а затем полученные результаты суммируют.
Подбором величины междурядий и расстояния в рядах (в основном, кустарника)
добиваются общей густоты основных стокорегулирующих полос на землях 2-й и 3-й
категории на 15…20%, а на землях 4-й категории - на 30…35% больше по сравнению
с общей густотой основных полезащитных полос. Затем вычерчивают окончательные
варианты схем смешения пород в полосах. Для повышения стокопоглощающей
способности полос рекомендуются глубокое щелевание междурядий, обвалование
нижней по склону опушки.
Желаемую общую густоту
стокорегулирующих полос на землях второй - третьей и четвертой - пятой
категорий получаем умножением общей густоты основных полезащитных полос на
1,175 и 1,325 соответственно. В моей работе: для земель 2-й и 3-й категорий -
3630 * 1,175 = 4265 шт./га;
для земель 4-й и 5-й
категорий - 3630 * 1,325 = 4810 шт./га.
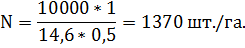
Для защиты полей на
землях второй-третей категории решено выбрать шестирядные стокорегулирующие
полосы ажурной конструкции. Схема смещения пород вниз по склону, крутизна которого
на рисунке должна быть в пределах 2…4˚. 1 ряд кустарника - 1 ряд
лиственница сибирская - 3 ряда клен ясенелистный - 1 ряд лиственница сибирская.
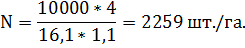
Ширина полосы В = 14,1 м.
Следуя рекомендациям
специалистов, принимаем шаг посадки для кустарника 0,5 м.
Облепиха: число рядов n = 1, шаг посадки l
= 0,5 м:
Вычисляем число
посадочных мест, приходящихся на оставшиеся 3 клена ясенелистного и 2 ряда
лиственницы сибирской:
-1418=2847
Вычисляем средний шаг
посадки для 5 рядов деревьев:
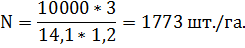
Клен ясенелистный: число
рядов n = 3, шаг посадки l
= 1,2 м:
Лиственница сибирская:
число рядов n = 2, шаг посадки l
= 1,2 м:
Общая густота
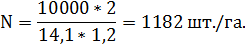
стокорегулирующих полос на землях 2 - 3 категорий составляет (1418+1773+1182) =
4373 шт./га.
Полученную общую густоту
лесных культур в стокорегулирующих полосах на землях 2 - 3 категорий сравниваем
с общей густотой основных полос на землях 1 категории, составляющей 3630
шт./га. Вычисляем ΔN по формуле:
Данная величина
укладывается в рекомендуемый диапазон, составляющий 15…20%.
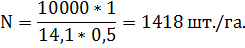
Для защиты полей на
землях 4 - 5 категорий решено выбрать семирядные стокорегулирующие полосы
ажурной конструкции. Схема смешения пород сверху вниз по склону: 1 ряд облепиха
- 2 ряда клен ясенелистный - 1 ряд облепиха - 2 ряда клен ясенелистный - 1 ряд
лиственница сибирская.
Ширина полосы В = 14,6 м.
Следую рекомендациям специалистов,
выбираем шаг посадки 0,5 м для ряда кустарника, расположенного выше по склону:
Облепиха крушиновая: число рядов n = 1, шаг посадки l = 0,5 м:
Вычисляем число посадочных мест,
приходящееся на оставшиеся 6 рядов:
-1370=3440
Вычисляем средний шаг посадки для
этих рядов:
Клен ясенелистный: число рядов n = 4, шаг посадки l = 1,2 м:
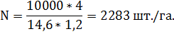
Лиственница сибирская: число рядов n = 1, шаг посадки l = 1,2 м:
Средний ряд облепихи: число рядов n=1, шаг посадки l=1,2 м:
Общая густота стокорегулирующих
полос на землях 4 - 5 категорий составляет (1370+2283+571+571) = 4795 шт./га.
Данная величина укладывается в
рекомендуемый диапазон, составляющий 30…35%.
Прибалочные лесные полосы.
Для защиты берегов балок, для
поглощения и распыления поверхностного стока, регулирование которого невозможно
на склоне лишь стокорегулирующми полосами, создаются вдоль бровок, лощин, балок
и долин прибалочные лесные полосы. Они предотвращают сдувание снега с полей в
балки, улучшают микроклимат на прилегающих полях, способствуют дополнительному
увлажнению и затенению берегов балок, их самозарастанию травянистой и лесной
растительностью, способствуют рациональному использованию малопродуктивных
земель. Проектируем смешанные по составу насаждения с участием кустарников в
верхнем и нижнем по склону опушечных рядах, а также в середине полосы.
Ширина прибалочных полос может быть
в пределах от 12,5 до 21 м. Полосы минимальной ширины целесообразны на склонах
вогнутого профиля со слабо смытыми почвами; максимальной - на склонах выпуклого
профиля, где преобладают сильносмытые почвы.
При выборе ассортимента древесных и
кустарниковых пород надо учитывать степень смытости почв, биологические и
защитные свойства деревьев и кустарников. Насаждения проектируют смешанными по
составу с участием кустарников в верхнем и нижнем по склону опушечных рядах, а
также в середине полосы. Общую густоту культур надо повысить на 45…50% по
сравнению с густотой основных полезащитных полос. Обычно этого добиваются сужением
междурядий кустарника до 1,5 м и уменьшают его посадки до 0,5…0,75 м [3].
Для защиты бровки решено
запроектировать восьмирядные полосы ажурно-плотной конструкции. Схема смешения
пород сверху вниз по склону: 1 ряд облепиха - 2 ряда клен ясенелистный - 1 ряд
смородина золотая - 2 ряда клен ясенелистный - 1 ряд лиственница сибирская - 1
ряд смородина золотая.
Ширина полосы В = 16,1 м.
Сначала вычисляем желаемую густоту:
N=3630*1,475=5354 шт./га.
Следуя рекомендациям специалистов,
принимаем шаг посадки 0,5 м дли ряда облепихи, расположенного с верхней стороны
лесополосы.
Облепиха крушиновая: число рядов n = 1, шаг посадки l = 0,5 м:
Для двух рядов смородины золотистой
принимаем шаг посадки l=1 м:
Общая густота трех рядов кустарника
составило (1242+1242)=2484 шт./га. Вычисляем число посадочных мест,
приходящееся на оставшиеся 5 рядов:
-2484=2870 шт./га.
Вычисляем средний шаг посадки для
этих 5 рядов:
Принимаем шаг посадки 1,1 м для
оставшихся пород:
Клен ясенелистный: число рядов n = 4, шаг посадки l = 1,1 м:
Лиственница сибирская: число рядов n = 1, шаг посадки l = 1,1 м:
Общая густота прибалочных полос
составляет:
+1242+2259+565=5308 шт./га.
Данная величина укладывается в
рекомендуемый диапазон, составляющий 45…50%.
Приовражные лесные полосы.
Приовражные лесные полосы
предотвращают рост действующего оврага, защищают его откосы от размыва,
регулируют поверхностный сток, улучшают микроклимат на прилегающей территории,
оттеняют откосы, улучшают их гидрологический режим, способствуют естественному
заращиванию и рациональному использованию эродированных земель.
В целях наилучшего выполнения
противоэрозионных функций создают приовражные полосы плотной конструкции с
большим участием кустарников. Особенно важно вводить корнеотпрысковые породы в
прибровочный ряд. В благоприятных почвенных условиях в полевую опушку
высаживают ягодные кустарники.
Для защиты бровок оврагов решено
запроектировать девятирядные полосы плотной конструкции. Схема смешения пород
для участка полосы, огибающей вершину одного из оврагов, то есть сверху вниз по
склону от поля к оврагу: 1 ряд облепиха крушиновая - 4 ряда клен ясенелистный -
1 ряд смородина золотая - 1 ряд клен ясенелистный - 1 ряд смородина золотая - 1
ряд тополь черный.
Ширина полосы В = 17,6 м.
Вычисляем жнлаемую густоту
приовражных полос:
*1,675=6080 шт./га.
Следуя рекомендациям специалистов,
принимаю шаг посадки 0,5 м для ряда облепихи крушиновой, расположенного с
полевой стороны лесополосы.
Облепиха крушиновая: число рядов n = 1, шаг посадки l = 0,5 м:
Для 2 рядов смородины золотой
принимаю l=1 м:
Смородина золотая: число рядов n = 2, шаг посадки l = 1 м:
Яблоня сибирская: число рядов n = 1, шаг посадки l = 0,5 м:
Общая густота трех рядов кустарника
и одного ряда тополя черного составила (1136*3)=3408 шт./га. Вычисляю число
посадочных мест, приходящихся на остальные 5 рядов клена ясенелистного:
-3408=2672 шт./га.
Вычисляю средний шаг посадки для
этих 5 рядов:
Клен ясенелистный: число рядов n = 5, шаг посадки l = 1,1 м:
Общая густота приовражных полос
составляет (1136*3+2583) = 5991 шт./га.
Данная величина укладывается в
рекомендуемый диапазон, составляющий 65…70%.
Облесение откосов и дна оврагов.
Мелиоративная роль овражных
насаждений очень велика: они предотвращают размыв гидрографической сети,
способствуют поглощению поверхностного стока, кольматируют твердый сток; их
создание является способом рационального использования неудобных земель.
Овражные насаждения создают
загущенными с большим участием кустарников. В оврагах второй стадии развития с
незаконченным формированием профиля равновесия на откосах высевают семена
древесных пород, таких как дуб черешчатый, сосна обыкновенная, акация желтая,
вишня степная и т.д. Семена высевают вручную по тающему снегу без
предварительной обработки почвогрунтов и последующих уходов. Для ускорения
процесса самозарастания склонов оврагов создают семенные группы из корнеотпрысковых
пород: ирги круглолистной, облепихи крушиновой и др. Предпочтение отдают
посадочному материалу с закрытой коневой системой. На 1 га создают 50 семенных
групп по 10…12 растений в группе.
С целью предупреждения возникновения
размывов, задержания твердого стока и превращения малопродуктивных площадей в
хозяйственно ценные предусматривают облесение донной части оврагов и балок.
Лучшие участки дна крупных оврагов и балок используют под залужение,
сенокошение и для пастьбы скота.
Поперек водопроводящих ложбин
создают илофильтры, представляющие собой пяти- или десятирядные ленты из
кустарниковых ив, смородины. Ширина междурядий - 0,5…1,0 м, шаг посадки -
0,3…0,5 м. Между лентами оставляют разрывы под залужение шириной 10…40 м в
зависимости от интенсивности стока.
Илофильтры по дну оврагов и балок
размещают через 250…400 м. По широким днищам балок их располагают только в
средней и устьевой частях. Часто илофильтры сочетают с гидротехническими
вершинными (головными овражными) и донными сооружениями.
По дну оврагов, балок и на конусе
выноса твердого стока кроме кустарников рекомендуют высаживать древесные породы
- ясени, грушу, липы, клены. Обычно 10…15 рядов кустарников чередуют с тремя
рядами древесных пород. Деревья высаживают с междурядьями 2…3 м и шагом посадки
1…3 м. Русло водотока никакими посадками не занимают [2].
14. Агротехнические
мероприятия по защите почв от эрозии
Лесомелиоративные мероприятия
направлены на устранение причин возникновения ветровой и водной эрозии и
уменьшения их вредного влияния. Они включают создание взаимосвязанной системы
лесных насаждений (полезащитных, сто-корегулирующих, приовражных, прибалочных и
др.), расположенных с учетом рельефа местности и эрозионных процессов. Создание
и выращивание взаимодействующей системы защитных лесных насаждений в комплексе
с другими противоэрозионными мероприятиями является мощным фактором борьбы с
этим явлением.
Противоэрозионная роль лесных
насаждений состоит в улучшении водно-физических свойств почв, что обеспечивает
усиленное просачивание талых и ливневых вод и уменьшение поверхностного стока.
Эти насаждения одновременно служат для защиты сельскохозяйственных культур от
ветровой эрозии и суховеев.
Основные (продольные) полосы
проектируют перпендикулярно господствующим ветрам или с отклонением на угол
30°. При таком расположении полос они лучше защищают поля от ветровой эрозии,
снижают скорость ветра и обеспечивают равномерное снегораспределение на
защищаемых полях.
Системы лесных полос оказывают
положительное влияние на снегораспределение, так как в открытой местности снег
сдувается в микропонижения и гидрографическую сеть, перемещаясь на расстояние
до 2…3 км от места выпадения. При наличии системы лесных полос весь снег
остается в пределах полей севооборота и в лесных полосах.
Более благоприятные условия
водопроницаемости на полях, защищенных лесными полосами, значительно сокращают
весенний поверхностный сток. Но решающую роль в сокращении весеннего и
ливневого стоков играют сами лесные насаждения, расположенные на пути
поверхностного стока. Чем шире и плотнее лесные полосы, тем больше в них
интенсивность водопоглощения и меньше поверхностный сток с прилегающих угодий.
Значение лесных насаждений в борьбе
с водной эрозией почв основано на их способности задерживать снег и
обеспечивать перевод поверхностного стока во внутренний, скреплять корневыми
системами почвы и горные породы, задерживать (кольматировать) твердый сток.
Кольматируя мелкозем, защитные лесные насаждения препятствуют его выносу в реки
и водоемы и предохраняют последние от заиления.
Агротехнические приемы
противоэрозионной обработки почв можно под-разделить на обычные агротехнические
приемы и специальные водозадерживающие приемы. Обычные приемы не требуют
затрат; осуществляются обычными механизмами и способами; для специальных приемов
требуется усовершенствование орудий или специальные механизмы и дополнительные
небольшие затраты.
Для создания на пути стока
шероховатостей и неровностей, уменьшающих скорость течения воды, усиливающих ее
поглощение и задержание в бороздах, лунках, замкнутых углублениях и пр., все
виды обработки почвы - вспашку, боронование, культивацию, лущение, посев -
необходимо проводить поперек склона.
На ровных широких склонах, без
ложбин, вспашка ведется прямолинейно поперек склона. На сложных склонах, рассеченных
частыми ложбинами, балками, оврагами, необходимо отказываться от прямолинейных
границ и переходить на контурную обработку, т.е. вдоль горизонталей.
Углубление пахотного слоя (на
глубину более 25 см) повышает общую и некапиллярную скважность почвы, улучшает
ее структуру, увеличивает водопроницаемость.
Гребнистая вспашка применяется на
более крутых склонах и в районах с большим стоком талых вод. Поделка гребне
(валиков) производится одновременно со вспашкой, для чего удлиняют один из
отвалов плуга. При такой вспашке зяби образуются валики высотой 20…25 см,
расстояние между ними равно ширине захвата плуга.
Комбинированная вспашки производится
любым плугом, у которого на первом и третьем корпусах вместо обычных отвалов
установлены отвалы укороченные, в результате чего при вспашке на поверхности
почвы образуются чередующиеся через 35 см борозды и валики высотой 15…18 см,
которые хорошо задерживают зимние осадки и препятствуют стоку талых вод.
Бороздование - прием, позволяющий
задержать сток и предотвратить смыв на склонах крутизной до 5°. При лунковании
на зяби и парах готовится сеть замкнутых лунок, ячеек и других углублений
различной формы, равномерно распределенных на поверхности склонов.
Наиболее эффективными приемами
задержания стока являются такие, которые обеспечивают при проведении основной
вспашки создание первичного микрорельефа значительной емкости, без уплотнения
почвы, при достаточной глубине рыхления. [4]
15. Лугомелиоративные
противоэрозионные мероприятия
Лугомелиоративные мероприятия
предусматривают залужение склонов, что является эффективным методом борьбы с
эрозией почв. Травянистая растительность имеет мощную разветвленную корневую
систему и густую надземную часть, прочно скрепляет верхние горизонты почвы,
создавая на пути стока большую шероховатость, благодаря которой снижается
скорость течения водных потоков и происходит кольматаж (отложение) твердого
стока. За счет задержанного мелкозема и отпада органического вещества растений
постепенно восстанавливается плодородие смытых почв. Залужение склонов
позволяет в большинстве случаев почти полностью предотвратить эрозионные
процессы и повысить продуктивность угодий. Оно наиболее эффективно в сочетании
с лесомелиорацией.
Для залужения земель в пределах
водного фонда применяют травосмеси из 2-4 видов трав. Формируют травосмеси с
учетом почвенных условий, лесорастительной зоны, экспозиции и крутизны склона.
Перед залужением заравнивают
промоины, а затем в зависимости от степени эродированности склона, производят
сплошную или полосную вспашку. На крутых (до 12°) берегах гидрографической сети
во избежание смыва и размыва применяют полосное залужение. Распаханные полосы
шириной 40 - 50 м чередуют с нераспаханными (буферными) шириной 10 - 15 м.
Через 2 - 3 года, когда посеянная травянистая растительность способна защитить
склон от эрозии, распахивают и засеивают буферные полосы.
В степных районах для залужения
используют люцерну желтую, экспарцет песчаный, житняк, пырей, костер безостный
и др. [3]
Заключение
На землях первой категории суммарная
длина основных полезащитных полос без учета разрывов равна 27360 м, число
разрывов -20. Средняя ширина разрыва 25 м. Следовательно, суммарная длина
соответственно основных полос составляет 27360 - 20 * 25 = 26860 м.
Результаты расчета количества
посадочного материала для защитных лесных полос представлены в таблице 9.
Таблица 9 - Ведомость определения
количества посадочного материала, необходимого для создания защитных лесных
полос
|
Размеры полос
|
Порода
|
Посадочный материал
|
|
ширина, м
|
общая длина, м
|
площадь, га
|
|
Вид
|
густота, шт./га
|
общее количество, шт.
|
|
Полезащитные основные лесные полосы на землях 1 категории
|
|
10,1
|
26860
|
27,13
|
Сосна
|
Сеянцы
|
1980
|
53720
|
|
-
|
-
|
-
|
Клен
|
Сеянцы
|
1650
|
44770
|
|
Вспомогательные лесные полосы на землях 1-ой и 2-ой категорий
|
|
7,6
|
15125
|
11,50
|
Сосна
|
Сеянцы
|
2632
|
30270
|
|
-
|
-
|
-
|
Клен
|
Сеянцы
|
1316
|
15130
|
|
Стокорегулирующие лесные полосы на землях 2 - 3 категории
|
|
14,1
|
26860
|
37,87
|
Сосна
|
Сеянцы
|
1773
|
67140
|
|
-
|
-
|
-
|
Клен
|
Сеянцы
|
1182
|
44760
|
|
-
|
-
|
-
|
Облепиха
|
Сеянцы
|
1418
|
53700
|
|
Стокорегулирующие лесные полосы на землях 4 - 5 категории
|
|
14,6
|
13133
|
19,17
|
Сосна
|
Сеянцы
|
2283
|
43760
|
|
-
|
-
|
-
|
Клен
|
Сеянцы
|
571
|
10950
|
|
-
|
-
|
-
|
Облепиха
|
Сеянцы
|
1941
|
37210
|
|
Прибалочные лесные полосы
|
|
16,1
|
5532
|
8,91
|
Сосна
|
Сеянцы
|
2259
|
20130
|
|
-
|
-
|
-
|
Клен
|
Сеянцы
|
565
|
5030
|
|
-
|
-
|
-
|
Облепиха
|
Сеянцы
|
1242
|
11070
|
|
-
|
-
|
-
|
Смородина золотая
|
Сеянцы
|
1242
|
11070
|
|
Приовражные лесные полосы
|
|
17,6
|
3075
|
5,41
|
Сосна
|
Сеянцы
|
2583
|
13970
|
|
-
|
-
|
-
|
Яблоня сибирская
|
Сеянцы
|
1136
|
6140
|
|
-
|
-
|
-
|
Облепиха
|
Сеянцы
|
1136
|
6140
|
|
-
|
-
|
-
|
Смородина золотая
|
Сеянцы
|
1136
|
6140
|
|
Итого
|
90585
|
109,99
|
-
|
-
|
-
|
-
|
|
Лесистость
|
|
|
|
|
|
|
|
|
Предусматриваем дополнение
полезащитных, стокорегулирующих, прибалочных и провражных полос теми же
породами, которые были высажены превоначально, до 15%. Результаты заносим в
таблицу 10.
Таблица 10 - Общее количество
посадочного материала по породам с учетом дополнения
|
Порода
|
Общее количество экземпляров, шт.
|
С учетом дополнения 15%, шт.
|
|
Сосна
|
228990
|
263338
|
|
Яблоня сибирская
|
6140
|
7061
|
|
Облепиха
|
108120
|
124338
|
|
Смородина золотая
|
17210
|
19792
|
|
Клён
|
126780
|
145797
|
|
Итого
|
478240
|
560326
|
|
|
|
Список использованных
источников
1. Бабиков Б.В. Гидротехнические
мелиорации лесных земель: 2-е изд., перераб. и доп.: Учебник для вузов. - М.:
Экология, 1993. - 224 с.
. Ганьшин В. Н, Хренов Л.С. Таблицы
для разбивки круговыхи переходных кривых. Изд. 4-ое, испр. и доп. К., 1974,
стр. 432.
. Прохоров В.П. Инженерное
обустройство территории: Методические указания к расчётно-графическим работам.
- Архангельск: СОЛТИ, 2005. - 43 с.
Клепиков И.В., Яковлев В.Н.
Инженерно-геодезические работы при изысканиях и проектировании объектов
лесотранспорта: Методические указания к выполнению курсовой работы по
инженерной геодезии. - Архангельск: РИО АГТУ, 1996-79 с.
. file://localhost/ ПРИМОРСКИЙ %
20РАЙОН.mht
Деревья и кустарники для защитного
лесоразведения/Г.П. Озолин, В.А. Каргов, Н.В. Лысова, Л.С. Савельева. -
М.:Лесн.пром-сть, 1974. - 152 с.
Прохоров В.П., Тутыгин Г.С.
Инженерное обустройство территории: Методические указания к выполнению курсовой
работы. - Архангельск: Изд-во АГТУ, 2005. - 42 с.
Родин А.Р., Родин С.А., Рысин С.Л.
Лесомелиорация ландшафтов: Учебное пособие для студентов по направлению 656200.
4-е изд. доп., испр. - М: МГУЛ, 2002. - 127 с.
Трещевский И.В., Шаталов В.Г. Лесные
мелиорации и зональные системы противоэрозионных мероприятий. - Воронеж: Изд-во
Воронежского ун-та, 1982. - 264 с.