Обеспечение пожарной безопасности технологического процесса производства пироватекса ЦП (стадия конденсации диметилфосфита с акриламидом)

  • Вид работы:
    Курсовая работа (т)
  • Предмет:
    Безопасность жизнедеятельности
  • Язык:
    Русский
    ,
    Формат файла:
    MS Word
    369,34 Кб
  • Опубликовано:
    2015-06-16
Вы можете узнать стоимость помощи в написании студенческой работы.
Помощь в написании работы, которую точно примут!

Обеспечение пожарной безопасности технологического процесса производства пироватекса ЦП (стадия конденсации диметилфосфита с акриламидом)

Введение

За 10 месяцев 2014 года оперативная обстановка с пожарами в Российской

Федерации характеризовалась следующими основными показателями:

зарегистрировано 121940пожара;

погибло при пожарах 7706 чел.;

получили травмы на пожарах 8776 чел.;

прямой материальный ущерб причинен в размере 13056185 тыс.р.

Причины пожаров

Причины пожаров

Количество пожаров

Поджоги

11441

Нарушение правил устройства и эксплуатации электрооборудования и бытовых электроприборов

29369

Неисправность производственного оборудования, нарушение технологического процесса производства

448

Неосторожное обращение с огнем

38104

Шалость детей с огнем

2002

Нарушение правил пожарной безопасности при проведении электрогазосварочных работ

793

Взрывы

98

Самовозгорание веществ и материалов

350

Неисправность и нарушение правил эксплуатации печного отопления

15593

Не установленные

1630

Прочие причины пожаров

12597


Объекты пожаров

Объекты пожаров

Количество

Производственные здания и складские помещения производственных предприятий

2440

Склады, базы и торговые помещения

3410

Административно-общественные здания

2188

Жилой сектор

75012

Строящиеся объекты

683

Сооружения, установки

818

Транспортные средства

17294

Прочие объекты пожаров

6527


Пример пожара на нефтеперерабатывающем заводе в Комсомольске-на-Амуре


На одной из технологических установок нефтеперерабатывающего завода в Комсомольске-на-Амуре в ночь на 26.02.2013 года произошел пожар. Как сообщили в Главном управлении МЧС РФ по Хабаровскому краю, в результате инцидента пострадавших нет.

В МЧС уточнили, что сообщение о происшествии поступило на пульт дежурного службы "01" в 0 час 40 мин. Через час пожарным расчетам удалось сбить пеной факел - высота пламени достигала почти 5 метров, а в 02:49 пожар был полностью ликвидирован.

По предварительным данным, факельное горение продуктов нефтепереработки произошло из-за разгерметизации фланцевого соединения установки первичной переработки нефти. Операторы завода остановили работу установки, перекрыли давление в трубопроводах.

Целью курсового проектирования является:

1)      систематизация, закрепление и расширение теоретических и практических знаний курсантов, слушателей и применение полученных знаний при решении конкретных научных, технических и производственных задач;

2)  Углубленное изучение определенного вида технологического оборудования в соответствии с темой курсового проекта;

3)  проведение самостоятельной работы курсантов и слушателей с использованием технологии, оборудования высокого уровня или связанной с разработкой новых более совершенных процессов и оборудования:

4)  получение по результатам выполненного курсового проекта реального научного, технического или производственного результата, использование которого на производстве даст технико-экономические эффект:

5)      развитие навыков научно-технического поиска, способности анализировать данные литературных источников, патентов, технической документации, данных экспериментов, производственного опыта:

6)      утверждение способности постановки и самостоятельного решения инженерных задач.

1. Анализ пожарной опасности технологического процесса

Используя методику анализа взрывопожарной опасности технологического процесса:

изучают технологию производства, устройство и работу оборудования, а также его размещение;

устанавливают горючие вещества и материалы, обращающиеся в процессе, определяют их количество и пожаровзрывоопасные свойства;

определяют оборудование, участки и места, в которых находятся горючие вещества, материалы или сильные окислители, а также возможность образования газо-, паро- или пылевоздушных смесей;

анализируют возможность образования горючих смесей внутри технологического процесса в различные периоды;

анализируют возможность образования взрывоопасных зон в производственных помещениях и на наружных установках в различные периоды работы технологического оборудования;

анализируют причины, приводящие к выходу горючих веществ и материалов из технологического оборудования;

анализируют возможность образования в горючей среде источников зажигания;

анализируют причины и условия, способствующие развитию начавшегося пожара, а также пути распространения огня и раскаленных продуктов горения;

обосновывают расчетами категории помещений, зданий и наружных установок по взрывопожарной и пожарной опасности;

предлагают и обосновывают расчетами способы обеспечения пожарной безопасности технологического процесса, а также конкретные технические решения и организационные мероприятия, направленные на снижение его взрывопожарной опасности до нормативного уровня. [12]

1.1 Анализ пожаровзрывоопасных свойств веществ, обращающихся в технологическом процессе

Таблица 1. Пожароопасные свойства веществ и материалов, обращающихся в технологическом процессе

№ п/п

Наименование веществ

Агрегатное состояние

Горюч.

Твсп

Твоспл

Тс.воспл

Температурные (концентрационные) пределы воспламенения

Другие свойства веществ

















НКПВ

ВКПВ


1

2

3

4

5

6

7

8

9

10

1

Диметилфосфит

Ж

ЛВЖ

102

-

241

66

144


2

Метанол-яд

Ж

ЛВЖ

6

13

440

5

39


3

Метилат натрия

Ж

ЛВЖ

8

-

436

7

39


4

Акриламид

Тв

Г

135

155

440

40

-



Вывод: В результате изучения пожароопасных свойств обращающихся веществ, можно сказать, что наиболее опасное вещество - метанол-яд. Следовательно, дальнейшее изучение процесса конденсации диметилфосфита с акриламидом будем проводить по метанол-яду.

.2 Изучение технологического процесса

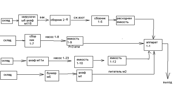
Диметилфосфит поступает в цех со склада сырья в нержавеющих бочках.

Если качественные показатели диметилфосфита не соответствуют требованиям ТУ, то он направляется на дистилляцию. Если концентрация диметилфосфита выше 94%, то бочки с диметилфосфитом устанавливаются в загрузочный шкаф поз.М 11 б и диметилфосфит с помощью вакуума загружаются в сборник 2-6, из которого с помощью сжатого азота (давлением не более 3 атм.) передавливается в сборник 1-5. Из сборника 1-5 диметилфосфит загружается в расходную емкость 1-6, из которой расходуется в производство.

Метанол - яд поступает со склада сырья по трубопроводу в сборник 1-7, из которого насосом 1-8 через счетчик расходуется в производство (при прохождении через счетчик заданного количества метанола-яда, насос автоматически отключается).

Для промывки расходной емкости метилата натрия 1-12 (после его загрузки в аппарат), метанол-яд с помощью насоса 1-8 закачивается в емкость 1-9, находящуюся под давлением азота не более 3 атмосфер.

Метилат натрия поступает в цех со склада сырья в нержавеющих бочках. Бочки устанавливаются в загрузочном шкафу М11 и с помощью переносного насоса 1-23 метилат натрия закачивается в сборник 1-10.

Акриламид поступает в цех со склада сырья в полиэтиленовых мешках или в барабанах. Растаривание мешков и загрузка акриламида в бункер производится в загрузочном шкафу М1, для создания взрывобезопасной среды бункер М5, перед загрузкой акриламида в реакционный аппарат, продувается азотом до содержания кислорода не более 4%. Содержание кислорода анализируется с помощью переходного газового анализатора типа «Охусоп-25 Д».

Процесс конденсации диметилфосфита с акриламидом производится в аппарате из нержавеющей стали 1-1, объем 1000 л, снабженном двухскоростной мешалкой с числом оборотов 56 и 28 об/мин, системой для обогрева и охлаждения, прибором для измерения и записи температуры, донным спусковым клапаном с пневматическим приводом, холодильником 1-2 и системой охлаждения торцевого уплотнения.

Перед началом работы реакционный аппарат продувается азотом. Для этого в аппарат подается азот до создания в аппарате избыточного давления 0,1 атм. После создания требуемого давления азота автоматически прекращается. Перед началом загрузок избыточное давление сбрасывается в атмосферу.

В чистый, сухой, продутый азотом аппарат 1-1 из расходной емкости 1-6 загружается расчетное количество диметилфосфита. Количество загружаемого диметилфосфита пересчитывается в соответствии с его концентрацией. Количество диметилфосфита, необходимое на загрузку, задается со щита управления в операторной цеха. По окончании загрузки диметилфосфита в аппарат 1-1 из сборника 1-7 с помощью насоса 1-8 через счетчик загружается 145 л метанол-яда. После прохождения через счетчик заданного количества метанол-яда насос автоматически отключается. Масса перемешивается в течение 20 минут и затем отбирается проба на анализ для определения кислотности смеси, которая не должна превышать 0,135 эквН/кг (если содержание кислых примесей в диметилфосфите больше 5%, то кислотность не должна превышать 0,36 эквН/кг). Реакционная масса в аппарате охлаждается до температуры 15ºС. Затем аппарат 1-1 продувается азотом, включается в работу холодильник (как обратный) и в аппарат 1-1 из бункера М5 с помощью шлюзового питателя М2 загружается 290 кг акриламина. Во время загрузки акриламина производится продувка питателя М2 и точки М3 азотом.

У бункера акриламида М5 предусмотрена система для улавливания пыли акриламида водой (из расчета 74,5 л воды на 1т готового продукта). Система состоит из скруббера, насоса и вентилятора. После передавливания 3-4 операций получения пироватекса ЦП вода из системы улавливания пыли акриламида направляется в канализацию промотоков. Бункер М5 оборудован флуидирующими бобышками для подачи азота и пневмолотком для встряхивания залежавшегося акриламида. После окончания загрузки в аппарат 1-1, реакционная масса нагревается до температуры 60-62ºС и перемешивается при этой температуре в течении 30 минут. Затем в аппарат 1-1 из расходной емкости загружается 72 кг 30%-ного метилата натрия. Загрузка метилата натрия программируется и осуществляется со щита управления в операторной.

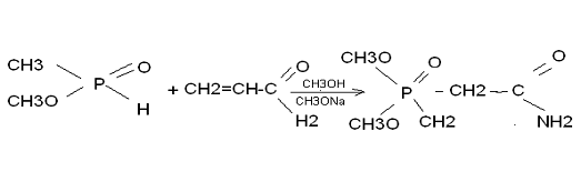
Процесс конденсации диметилфосфита с акриламидом протекает по реакции:


Реакция конденсации диметилфосфита с акриламидом экзотермическая и температура в аппарате 1-1 самопроизвольно поднимается до 92-93ºС, но не должна превышать 98 ºС. Если температура продолжает расти, то при 95 ºС автоматически прекращается загрузка метилата натрия. После загрузки метилата натрия температура реакционной массы в аппарате 1-1 самопроизвольно снижается до 83-85ºС. После чего отбирается проба определения рН, который должен быть 9,0 и содержание свободного диметилфосфита. Расход 1н раствора а ОН при анализе не должен превышать 0,3 мл. в случае , если рН меньше 9,0 производится дозагрузка метилата натрия из расчета 0,5 кг на каждое 0,1 значение рН нормы.

При продолжительном результате анализа расходная емкость 1-12 промывается 10 л метанол-яда из емкости метанол-яда 1-9. Промывной раствор из расходной емкости 1-12 сливается также в аппарат 1-1. В это же время реакционная масса охлаждается до температуры 50ºС и процесс конденсации диметилфосфита с акриламином считается законченным.

Выход с операции-942 кг. [13]

Рис. 1 Принципиальная схема технологического производства

Рис. 2 Аппаратурная схема технологического процесса

1.3 Анализ возможности образования горючей среды внутри и снаружи технологического оборудования

.3.1 Анализ возможности образования горючей среды внутри аппаратов

Таблица 2. Свойства горючей среды внутри аппаратов

№ п/п

Наименование Операции (режима работы) № аппарата, обращающиеся вещества

Пожароопасные Свойства веществ

Технологические параметры

Наличие ПВП

Условие образов. ВОС

Вывод о наличии ВОС

















НКПР

ВКПР

Тр. (Ср)*

Рр.













1

Загрузка метаноляда

5 ºС

39 ºС

21

атм

ДА

Тр ≥ 5

да

2

Перемешивание

5 ºС

39 ºС

21

атм

ДА

-10 <21< +15

да

3

Промывка расходной емкости поз.1-12

5 ºС

39 ºС

21

атм

нет

-10 <21< +15

да


.3.2 Анализ возможности образования горючей среды снаружи аппаратов

Таблица 3. Свойства горючей среды снаружи аппаратов

№ п/п

Наименование операции (режима работы) № аппарата, обращающиеся вещества

Пожароопасные свойства веществ

Технологические параметры

ТВСП

Условие образов. ВОС

Вывод о наличии ВОС

















НКПР

ВКПР

Тр (Ср)

Рр.













1

Загрузка метанол-яда

5 ºС

39 ºС

21

атм

6

21≥6

да

2

Перемешивание

5 ºС

39 ºС

21

атм

6

21≥6

да

3

Промывка расходной емкости поз.1-12

5 ºС

39 ºС

21

атм

6

21≥6

да


1.4 Анализ возможности образования источников зажигания в горючей среде

Таблица 4. Наиболее вероятные источники зажигания

№ п/п

Группа источников зажигания

Наиболее вероятные источники зажигания*

Примечания



В аппарате

В помещении


1

2

3

4

5

1.

Открытый огонь и раскаленные продукты сгорания

-

Искры при выполнении сварочных работ, окурок, неосторожное обращение с огнём

В аппарате открытый огонь не образуется

2.

Тепловое проявление механической энергии

подогрев подшипников, искры, удары твердых тел, трение тел, трение тел

Удары механических инструментов по корпусу аппаратов, перегрев подшипников

-

3.

Тепловое проявление электрической энергии

Электрические искровые разряды, нарушение изоляции несоответствие электрооборудования номинальным

Перегрузка электрических сетей, несоответствие электрооборудования, механические повреждения электрооборудования. Электрические искровые разряды, образующиеся в щитах и в пускорегулирующей аппаратуре

Анализ электрооборудования согласно ПУЭ






4.

Тепловое проявление химических реакций

Вещества, воспламеняются при взаимодействии с водой, вещества, воспламеняются при взаимодействии друг с другом

-

-



1.5 Анализ возможных путей распространения пожара

Таблица 5. Пути распространения пожара (аварии)

№ п/п

Основные пути и причины (условия) распространения пожара (аварии) по технологическим коммуникациям и оборудованию

Основные пути и причины (условия) распространения пожара (аварии) по помещению и зданию цеха

1

2

3

1

По технологическому оборудованию и конструкциям (отделочным материалам)

по некоторым проводам и кабелям по технологическим проемам

2

По пропитанной горючей жидкостью изоляции трубопроводов

по системе вентиляции по поверхности разлившейся горючей жидкости


.6 Анализ возможных причин повреждений аппаратов

Рис. 3 Причины повреждения технологического процесса

.7 Расчет критериев пожарной опасности технологического процесса

Расчет размеров зон, ограниченных нижним концентрационным пределом распространения пламени газов и паров

1)Найдем С0 при отсутствии подвижности воздушной среды для паров легковоспламеняющихся жидкостей


где Сн - концентрация насыщенных паров при расчетной температуре tp, 0С, воздуха в помещении, %. Концентрация Сн может быть найдена по формуле:


где Рн - давление насыщенных паров при расчетной температуре (находится по справочной литературе), кПа;

Р0 - атмосферное давление, равное 101 кПа;

rп - плотность паров, кг/м3;

2)Найдем С0 при подвижности воздушной среды для паров легковоспламеняющихся жидкостей


Расчет концентрации паров ЛВЖ и ГЖ при выходе из аппаратов, периодически открывающихся для загрузки веществ

) Количество горючих паров, выходящих из периодически действующего аппарата, открываемого на загрузку и выгрузку продуктов, определяют по формуле:

кг/цикл , м3;

С - концентрация насыщенных паров жидкости, об. доли;

М - молекулярная масса газа или пара, кг/моль:

,31 - универсальная газовая постоянная, Дж/(кмоль∙К)

Концентрация насыщенного пара рассчитывается по формуле:

=21513/108005=0,199 ед.

где : РS - давление насыщенного пара жидкости при рабочей температуре, Па;

РР - рабочее давление в аппарате, Па.

Величину РS определяем по уравнению Антуана:

=  =21513 Па

где А, В, СА - константы, зависящие от свойств жидкости, приведенные в справочной литературе

tр - температура газа или пара, находящегося в аппарате, ˚С.

) Объем зоны взрывоопасных концентраций VВОК, м3:

=0,385*100/1,29*5=5,97м

 кг/м3

3) Определяем условие образования взрывоопасной концентрации:


не соответствует 5,97 ≥ 1296

Вывод: Условие не выполняется поэтому горючая среда в аппаратах не образуется.

Анализ возможности образования горючей среды при аварийном режиме работы

Взрывоопасная концентрация паров жидкости при аварийной ситуации может определяться расчетным путем [6,11].

) Масса жидкости, испарившейся с поверхности разлива:

,

где т - масса жидкости, испарившейся с поверхности разлива, кг;

W - интенсивность испарения жидкости, кг/с∙м2;

Fи - площадь испарения, м2;

Т - время испарения, с.

u = =,

Т =3600с

m= 290,4*10-6*90*3600=94,09 кг

) Интенсивность испарения рассчитывается по формуле:

,

где η - коэффициент, учитывающий влияние скорости и температуры воздушного потока на процесс испарения жидкости (принимается по таблице А.2 [7]).

кг/с∙м2

н =7,3527-1660,454/(245,818+30)=1,33

Рн= 101,33= 21,38кПа

) Плотность паров жидкости рассчитывается по формуле:

,

 кг/м3

где ρ - плотность газа или пара при расчетной температуре tр, кг/м3;

V0 - мольный объем, равный 22,413 м/кмоль.

) Средняя рабочая концентрация паров жидкости в помещении:

,

где Ср - концентрация паров жидкости в помещении при аварийной ситуации, % (об.);

Vсв - свободный объем помещения, м3.

) Если Ср≤0,5СНПРП, то объем зоны взрывоопасных концентраций при аварийной ситуации будет занимать локальный объем помещения.

Результаты анализа необходимо свести в таблицу 4.

Таблица 6. Свойства горючей среды при аварии

№ п/п

Наименование аварии, аппарат

Обращающиеся вещества

Температура (концентрация) вещества при аварии

Условие образования ВОС в помещении

Вывод о наличии ВОС




НКПР

ВКПР




1

2

3

4

5

6

7

9

1

Аварийые работы

Метанол

5

39

20

30≥6

Да

2

Ремонтные работы

Метанол

5

39

20

30≥6

Да


/3600*3*18=0.015м/с-скорость воздушного потока.

=100*94,09/1,29*2592=2,81%

Vсв=

,5СНПРП =0.5*5=2,5%

Ср≤0,5СНПРП => неравенство не выполняется, следовательно, объем зоны взрывоопасных концентраций будет занимать все помещение.

Таблица 7. Допустимые отклонения концентрации d при заданном уровне значимости

Характер распределения концентраций

d


Для горючих газов при отсутствии подвижности воздушной среды

0,100000

1,29


0,050000

1,38


0,010000

1,53


0,003000

1,63


0,001000

1,70


0,000001

2,04

Для горючих газов при подвижности воздушной среды

0,100000

1,29


0,050000

1,37


0,010000

1,52


0,003000

1,62


0,001000

1,70


0,000001

2,03

Для паров легковоспламеняющихся жидкостей при отсутствии подвижности воздушной среды

0,100000

1,19


0,050000

1,25


0,010000

1,35


0,003000

1,41


0,001000

1,46


0,000001

1,68

Для паров легковоспламеняющихся жидкостей при подвижности воздушной среды

0,100000

1,21


0,050000

1,27


0,010000

1,38


0,003000

1,45


0,001000

1,51


0,000001

1,75


Уровень значимости  выбирают, исходя из особенностей технологического процесса. Допускается принимать  равным 0,05.

Расстояния ХНКПР, YНКПР и ZНКПР рассчитывают по формулам:

,

,

где К1 - коэффициент, принимаемый равным 1,1314 для горючих газов и 1,1958 для легковоспламеняющихся жидкостей;

К2 - коэффициент, равный 1 для горючих газов;

 - для легковоспламеняющихся жидкостей;- коэффициент, принимаемый равным 0,0253 для горючих газов при отсутствии подвижности воздушной среды; 0,02828 для горючих газов при подвижности воздушной среды; 0,04714 для легковоспламеняющихся жидкостей при отсутствии подвижности воздушной среды и 0,3536 для легковоспламеняющихся жидкостей при подвижности воздушной среды;- высота помещения, м;

d - допустимые отклонения концентраций при задаваемом уровне значимости , приведенные в табл. 7;, b - длина и ширина помещения, соответственно, м;

При отрицательных значениях логарифмов расстояния ХНКПР, YНКПР и ZНКПР принимаются равными 0.

3) Рассчитаем расстояния при подвижности воздушной среды:


б) Рассчитаем расстояния при неподвижности воздушной среды:


.8 Расчет категории производственного помещения по взрывопожарной и пожарной опасности

Избыточное давление взрыва ∆Р для индивидуальных горючих веществ, а также для смесей выполняется по формуле [7]:

∆Р=,

где Рmax - максимальное давление взрыва стехиометрической газовоздушной или паровоздушной смеси в замкнутом объеме. При отсутствии данных допускается принимать Рmax равным 900 кПа; Р0 - начальное давление, кПа (допускается принимать равным 101 кПа); m - масса паров легковоспламеняющихся жидкостей (ЛВЖ), вышедших в результате расчетной аварии в помещение равна 2393,97; Z - коэффициент участия горючего во взрыве, принимаем согласно таблице А.1 [7] равным 0,3; VСВ - свободный объем помещения, м3, принимаем как 80% от всего общего объёма помещения(по заданию объем помещения равен произведению длины помещения на ширину помещения и высоту помещения), КН - коэффициент, учитывающий негерметичность помещения и неадиабатичность процесса горения. Допускается принимать КН равным 3, ρг,п - плотность газа или пара при расчетной температуре tр, кг м-3, вычисляемая по формуле:


где М - молярная масса, кг кмоль-1 (для метанола 32,04); VО - мольный объем, равный 22,413 м3 кмоль-1; tР - расчетная температура, ОС (по заданию 24 ОС); ССТ - стехиометрическая концентрация паров ЛВЖ, %, вычисляемая по формуле:

,

где  - стехиометрический коэффициент кислорода в реакции сгорания;  - число атомов С, H, О и галоидов в молекуле горючего.

Молекулярная формула метанола - CH4O

Отсюда:

 , тогда

 %

Рассчитываем избыточное давление взрыва:

∆Р=(кПа),

Расчётное избыточное давление ∆Р=15,95кПа превышает давление Р = 5 кПа, а также учитывая температуру вспышки метанол-яда Твсп = 6°С, определяем для данного помещения производства пироватекса категорию «А» по взрывопожарной и пожарной опасности.

1.9 Классификация технологических сред по пожаровзрывоопасности и пожарной опасности

. Технологические среды по пожаровзрывоопасности подразделяются на следующие группы:

) пожароопасные;

) пожаровзрывоопасные;

) взрывоопасные;

) пожаробезопасные.

. Среда относится к пожароопасным, если возможно образование горючей среды, а также появление источника зажигания достаточной мощности для возникновения пожара.

. Среда относится к пожаровзрывоопасным, если возможно образование смесей окислителя с горючими газами, парами легковоспламеняющихся жидкостей, горючими аэрозолями и горючими пылями, в которых при появлении источника зажигания возможно инициирование взрыва и (или) пожара.

. Среда относится к взрывоопасным, если возможно образование смесей воздуха с горючими газами, парами легковоспламеняющихся жидкостей, горючими жидкостями, горючими аэрозолями и горючими пылями или волокнами и если при определенной концентрации горючего и появлении источника инициирования взрыва (источника зажигания) она способна взрываться.

. К пожаробезопасным средам относится пространство, в котором отсутствуют горючая среда и (или) окислитель.

пожарный горючий контроль сигнализация

2. Разработка мероприятий и технических решений по обеспечению пожарной безопасности технологических процессов

.1 Разработка мероприятий, направленных на предотвращение пожара

) Применение устройств защиты производственного оборудования, исключающих выход горючих веществ в объем помещения, или устройств, исключающих образование в помещении горючей среды [9], [10];

) Поддержание безопасной температуры нагрева веществ, материалов и поверхностей, которые контактируют с горючей средой [9];

) Применение способов и устройств ограничения энергии искрового разряда в горючей среде до безопасных значений [10];

) Устройство молниезащиты зданий, сооружений, строений и оборудования [9];

) Применение электрооборудования, соответствующего классу пожароопасной и (или) взрывоопасной зоны, категории и группе взрывоопасной смеси [2], [9];

) Механизация и автоматизация технологических процессов, связанных с обращением горючих веществ [9];

) Установка пожароопасного оборудования в отдельных помещениях или на открытых площадках [9];

) Применение оборудования и режимов проведения технологического процесса, исключающих образование статического электричества [9], [10].

.2 Разработка мероприятий, направленных на противопожарную защиту

Способы противопожарной защиты следующие:

)        Устройство аварийного слива пожароопасных жидкостей и аварийного стравливания горючих газов из аппаратуры;

)        Устройство на технологическом оборудовании систем противовзрывной защиты;

)        Применение средств, обеспечивающих ограничение распространения пожара за пределы очага.

.3 Расчет инженерно-технических решений, направленных на обеспечение пожарной безопасности технологического процесса

Расчет размеров сливных отверстий

По заданным исходным данным определить начальные расходы Qi, м3/с, жидкости из аппарата через отверстия, равные сечению трубопроводов, расположенных на аппарате, по формуле:

м3/с

где j = 0,65 - коэффициент истечения жидкости через отверстие;

s i - площадь сечения i-го трубопровода м2

g - ускорение силы тяжести, равное 9,81 м/с2,

Нi - высота уровня жидкости над i-м трубопроводом.


По наибольшему из вычисленных начальных расходов Qм выбрать площадь отверстия в аппарате s и высоту уровня жидкости над ним H0.

Из конструктивных соображений выбрать площадь поддона Fп, м2.

Вычислить объем жидкости, поступающей в поддон в единицу времени от установки пожаротушения (с учетом выгорания горючей жидкости) Q0, м3/с, по формуле:

 м3/с

где r - плотность огнетушащей жидкости, кг/м3.

При отсутствии данных по скорости выгорания W следует положить равной нулю.

Интенсивность утечек паров и газов, выходящих из работающих под давлением герметичных аппаратов используется формула:

 кг/с

где IР - интенсивность выхода паров или газа из аппарата, кг/с;

К - коэффициент, учитывающий степень износа производственного оборудования, принимается в пределах от 1 до 2;

С - коэффициент, зависящий от давления паров или газов ;

V - внутренний (свободный объем аппаратов и коммуникаций, находящихся под давлением, м3;

М - молекулярный вес газов или паров, находящихся под давлением в аппаратах;

Траб - температура паров или газов, находящихся в аппаратах, К.

При т  1 порядок расчета f следующий:

Определить напор, создаваемый сжатыми газами в аппарате:

где r - плотность воды, кг/м3.

Вычислить значение параметра:


где Qmax-максимальный расход жидкости из аппарата, определяемый по п. 1.2

По b необходимо найти а=18.313

.7.4 Рассчитать площадь сливного отверстия f, м3, по формуле:

м2

3. Рекомендации по обеспечению технологического оборудования приборами автоматики

Автоматизация - это внедрение технических средств, управляющих процессами без непосредственного участия человека. В настоящее время эта отрасль развивается очень динамично и проникает во все сферы деятельности человека. Автоматика - отрасль науки и техники, охватывающую теорию автоматического управления. Автоматические устройства обеспечивают заданный режим работы машин и установок. Поддерживая в нужных пределах технологические параметры, автоматические устройства не только контролируют и регулируют производственные процессы, но и обеспечивают пожарную безопасность технологических процессов производств.

Автоматизация позволяет добиться увеличения производительности труда при одновременном улучшении качества продукции. Автоматические устройства состоят из отдельных элементов, выполняющих какую-либо конкретную задачу в автоматизации производственного процесса. Состоит из объекта автоматизации и автоматических устройств, взаимодействующих друг с другом во время совместной работы. Классифицируются по назначению на: системы автоматического контроля и сигнализации; автоматической защиты и блокировки; автоматического управления; автоматического регулирования.

Системы автоматического контроля и сигнализации: обеспечивают наблюдение за состоянием параметров технологического процесса производства: температуры, давления уровня, расхода, концентрации и т.д. Приборы контроля извещают обслуживающий персонал о состоянии контролируемых объектов и дают возможность своевременно принять необходимые меры, исключающие их отклонение от опасных пределов. На основе приборов автоматического контроля в условиях производства применяют три вида технологической сигнализации: контрольную, предупредительную и аварийную.

Системы автоматической защиты и блокировки обеспечивают сигнализацию об опасных, аварийных отклонениях технологических параметров в процессах, где авария может привести к тяжелым последствиям, частично или полностью останавливают процесс, подачу сырья или теплоносителя, стравливают избыток паров и газов в атмосферу. Автоматическая защита широко применяется для предотвращения переполнения горючими жидкостями технологических аппаратов, для локализации перехода самоускоряющихся реакций во взрыв и т.п. автоматическая блокировка относится к особому виду автоматической защиты и предупреждает возможность неправильных или несвоевременных включений и отключений машин и аппаратов, могущих привести к авариям, пожарам или взрывам. Применяется блокировка для предупреждения образования взрывоопасных концентраций в технологических установках, в которых имеются клапаны переключения коммуникаций; в производственных помещениях, в которых выделяются ядовитые и взрывоопасные пары и газы.

Системы автоматического управления: предназначены для автоматической схемы предусмотренных операций в технологическом процессе производства. Они действуют по заранее разработанной программе и не только обеспечивают повторение циклов с определенным комплексом мероприятий, но и могут управлять более сложным ходом производства, состоящих из несколько последующих циклов. В процессе управления выполняются следующие операции: 1) получение информации о состоянии объекта управления с помощью средств и систем автоматического контроля; 2) обработка и анализ полученной информации, благодаря которым формируется решение о характере воздействия на управляемый объект; 3) реализация принятого решения за счет устройств, непосредственно воздействующих на объект.

Автоматические системы регулирования:

используют для поддержки заданных физических величин, характеризующих протекание технологического процесса или изменения их по определенному закону (программе). Всякая автоматическая система регулирования состоит из двух взаимодействующих между собой частей:

) объект регулирования;

) регулятор.

На данном технологическом процессе рекомендуется для обязательного использования следующие системы автоматического регулирования и дистанционного управления:

1.   Сигнализатор контроля содержания паров в рабочей зоне. [5]

2.      Звуковая и световая сигнализация при достижении максимального уровня в аппаратах. [5]

.        Непрерывная запись и автоматическое регулирование температуры в аппаратах. [5]

.        Системы автоматического регулирования для поддержания заданных физических величин.[5]

.        Системы автоматической защиты и блокировки при аварийных отклонениях технологических параметров в процессах, где авария может привести к тяжёлым последствиям.[5]

.        Автоматические установки пенного пожаротушения.[5]

.        Приточно-вытяжная вентиляция.[5]

8.   Автоматическая пожарная сигнализация.[5].

4. Составление карты пожарной опасности

Карта пожарной опасности представляет собой план помещения с нанесенной на нем информацией в виде условных обозначений о пожарной нагрузке, источниках зажигания, строительных конструкциях, технологических аппаратах, категории помещения. Карта пожарной опасности концентрирует в себе основную информацию о пожарной опасности объекта и позволяет наглядно оценить реальную опасность возникновения пожара или взрыва, места сосредоточения пожарной нагрузки, источников зажигания, систем сигнализации и пожаротушения. С целью унификации формы карты пожарной опасности и минимизации заполнения полей карты следует использовать условные обозначения, принятые в строительстве, противопожарной службе и технологии.

На карту наносится план помещения или этажа рассматриваемого объекта с указанием их площади, высоты, объема и категории взрывопожарной и пожарной опасности. Внутренне поле помещения заполняется квадратами, обозначающими блоки с указанием их порядковых номеров, энергетических потенциалов (для взрывоопасных блоков) или пожарной нагрузки (для пожароопасных блоков). Блоки с максимальным энергетическим потенциалом затушевываются красным цветом, блоки с опасность взрыва заштриховываются красным цветом, а блоки с опасностью пожара помечаются желтым цветом. Потенциальные источники зажигания наносятся на карту в виде флажков красного цвета. На карте отмечаются также взрывоопасные зоны в виде кругов синего цвета с центром в технологическом блоке, выделяющем взрывоопасную смесь.

После составления карты пожарной опасности осуществляется ее проверка, которая заключается в следующем.

. В круге, ограничивающем взрывоопасную зону, не должно находиться красных флажков, обозначающих источник зажигания.

. Удельная величина энергетического потенциала блока, расположенного в помещении категории В или Д, в м/Дж на 1 м3 объема не должна превышать 5. В противном случае следует более тщательно проверить правильность установления категории помещения.

. Если на карте пожарной опасности помещение имеет категорию А или Б (независимо от его площади), то здесь же должен быть значок в виде ромба, обозначающий установку пожаротушения с автоматическим пуском.

. Огнетушители, обозначенные на карте треугольниками, должны находится вблизи блоков, отмеченных красным и желтым цветом.

. Пожарная сигнализация (прямоугольник) должна находиться на путях эвакуации, а сигнализация на базе газоанализаторов - вблизи блока, помеченного красным цветом.

. На вентиляционных трубопроводах, по которым транспортируются горючие газы, пары или пыль, должны быть автоматические или огнезадерживающие клапаны.

Заключение

При рассмотрении вопроса обеспечения пожарной безопасности технологического процесса производства пироватекса ЦП (стадия конденсации диметилфосфита с акриламидом) были рассмотрены следующие вопросы: характеристика производства и веществ, обращающихся в производстве, пожарная опасность технологического процесса, анализ наступления опасных факторов пожара и взрыва, предложение системы пожарной безопасности для предотвращения возникновения пожара, тушения пожара и эвакуация людей и имущества при пожаре.

В результате анализа возможности образования горючей среды было установлено, что внутри аппарата образование взрывоопасной смеси (ГС) происходить не будет в связи с тем, что рабочая температура не лежит в пределах распространении пламени. Данное условие полностью соответствует безопасной эксплуатации установки в нормальном режиме работы. При аварийном режиме работы ГС образуется, поэтому необходимо обеспечить мероприятия, способствующие исключению образования источников зажигания в горючей среды (внутри помещения при аварии).

По результатам анализа процесса производства были предложены мероприятия по обеспечению пожарной безопасности технологического процесса. Данные мероприятия включают в себя: систему предотвращения пожара (исключение образования горючей среды, исключение источников зажигания в горючей среде), систему противопожарной защиты (первичные средства тушения, автоматические установки пожаротушения и пожарной сигнализации), организационно - технические мероприятия (снижение последствий теплового воздействия на производственное оборудование и строительные конструкции).

Курсовая работа позволила определить степень пожарной опасности технологического процесса, предложить мероприятия направленные на предотвращение и снижение последствий от возможной аварии.

Список литературы

1.   ГОСТ 12.1.044-89 ССБТ. Пожаровзрывобезопасность веществ и материалов. Номенклатура показателей и методы их определения.

2.      ГОСТ Р 12.3.047-2012. ССБТ. Пожарная безопасность технологических процессов. Общие требования. Методы контроля.

3.      CП 3.13130.2009. Системы оповещения и управления эвакуацией людей при пожаре.

4.   Самойлов Д.Б. Сборник задач по дисциплине «Пожарная безопасность технологических процессов»: учебное пособие / Д.Б. Самойлов, А.Х. Салихова, С.А. Сырбу, А.Н. Песикин, М.В. Винокуров, В.Н. Михалин. - Иваново: ИвИ ГПС МЧС России, 2010.

5.      Швырков С.А. Пожарная безопасность технологических процессов: Учебник [Электронный ресурс]/ С. А. Швырков, С. А. Горячев, В. П. Сучков и др.; Под общ. ред. С. А. Швыркова. - М.: Академия ГПС МЧС России, 2010. - Образовательный сервер ИвИ ГПС МЧС России.

6.   Пожарная безопасность технологических процессов. Ч. 2. Анализ пожарной опасности и защиты технологического оборудования: Учебник/С.А. Горячев, С.В. Молчанов, В.П. Назаров и др. - М.: Академия ГПС МЧС России, 2007. - 221 с.

7.   Корольченко, А.Я. Пожаровзрывоопасность веществ и материалов и средства их тушения: справочное издание/ А.Я. Корольченко, Д.А. Корольченко. - М.: Ассоциация «Пожнаука», 2004. - Т. 1-2.

8.   Самойлов Д.Б., Салихова А.Х., Песикин А.Н., Винокуров М.В., Михалин В.Н. Методические рекомендации по выполнению курсового проекта по дисциплине «Пожарная безопасность технологических процессов» для курсантов факультета пожарной безопасности (специальность 280104.65 «Пожарная безопасность»). - Иваново: ООНИ Ивановского института ГПС МЧС России, 2011. - 79 с.

Похожие работы на - Обеспечение пожарной безопасности технологического процесса производства пироватекса ЦП (стадия конденсации диметилфосфита с акриламидом)

 

Не нашли материал для своей работы?
Поможем написать уникальную работу
Без плагиата!
Без нейросетей!