Производство вафельного полуфабриката для кондитерских изделий производительностью 4,4 т/сутки
Министерство
образования и науки Российской Федерации
Федеральное
государственное бюджетное образовательное учреждение высшего профессионального
образования
Ивановский
государственный химико-технологический университет
Кафедра
Технологии
пищевых продуктов и биотехнологии
КВАЛИФИКАЦИОННАЯ
РАБОТА БАКАЛАВРА
Тема: Производство вафельного полуфабриката
для кондитерских изделий производительностью 4,4 т/сутки
Дипломник Рукина А.В.
Руководитель Е.В. Найденко
Зав. кафедрой С.В. Макаров.
г. Иваново,
2015 г.
Аннотация
Рукиной А.В. Производство вафельного полуфабриката для кондитерских
изделий производительностью 4,4 т/сутки. Расчетно-пояснительная записка по
дипломному проекту. - Иваново: ФГБОУ ВПО ИГХТУ, 2015,-107с.
Табл.56. Рис.3. Прилож.4. Библиогр.: 87 наз.
В данном дипломном проекте модернизирована технологическая линия по
производству вафельного полуфабриката для кондитерских изделий, действующая на
кондитерской фабрике ЗАО "Ферреро Руссия" с. Ворша, Владимирской
области.
В отличие от действующего производства в проект внесен ряд изменений:
произведена замена импортного сырья в рецептуре конфет Раффаэлло на
отечественное сырьё специального назначения подсолнечный лецитин марки
"Лецитал", установлена дополнительная секция на печах "НААS".
Это позволит обеспечить производство необходимым количеством сырья без
ущерба производства, при этом качество продукта останется неизменным. За счет
модернизации производства улучшиться качество вафельного полуфабриката для
кондитерских изделий.
Расчетно-пояснительная записка содержит следующие расчеты: материальные,
производственной рецептуры, единиц технологического оборудования,
теплоэнергетический.
В дипломном проекте рассмотрена система автоматизации вафельной печи
"HAAS" с применением
многофункционального контролёра МФК 1500.
В разделе "Охрана окружающей среды" рассмотрены вопросы,
связаны с инвентаризацией отходов производства, проведены значения предельно
допустимых концентраций для различных веществ, используемых в процессе
производства, а так же рассчитана производительность вентиляционных систем.
В строительной части спроектирован цех по производству вафельного
полуфабриката для кондитерских изделий.
В экономической части дана оценка экономической эффективности проекта.
Содержание
Введение
. Обоснование необходимости реконструкции действующего
предприятия
. Аналитический обзор литературы. Характеристика и
классификация продукта
.1 Современные тенденции в развитии кондитерской
промышленности
.2 Обоснование выбора способа производства
. Технологическая часть
.1 Ассортимент и характеристика выпускаемой продукции
.2 Выбор сырьевой базы и энергоносителей
.3 Обоснование состава композиции. Правила взаимозаменяемости
сырья
.4 Теоретические основы технологических процессов
.5 Обоснование выбора технологического оборудования
.6 Описание технологической схемы производства и оборудования
.7 Контроль производства
.8 Дефекты изделия и способы их устранения
. Расчетная часть
.1 Материальный расчет
.2 Расчет производственной рецептуры
.3 Расчет единиц оборудования
.4 Теплоэнергетический расчет
. Специальная разработка
. Автоматизация технологических процессов
. Охрана труда
.1 Анализ степени опасности технологического процесса
.2 Микроклиматические условия
.3 Оценка уровня загрязнения воздушной среды вредными
веществами
.4 Выбор и расчет системы вентиляции
.5 Оценка взрывопожарной и пожарной опасности. Пожарная
профилактика
.6. Санитарно-гигиенические требования к выбору систем
освещения.
.7 Обеспечение безопасного обслуживания оборудования -
источника физического фактора воздействия
.7.1 Шум
.7.2 Вибрация
.7.3 Электрический ток
.7.4 Механическое травмирование
. Охрана окружающей среды
.1 Оценка степени воздействия выбросов вредных веществ на
атмосферу
.2 Оценка степени воздействия проектных решений на водные
объекты
.3 Отходы производства
. Строительная часть
.1 Конструктивные элементы производственного здания
.2 Компоновка технологического оборудования и помещение
производства
. Экономическая оценка проектных решений
.1 Обоснование целесообразности разработки проекта
.2 Расчет экономической эффективности
.3 Расчет текущих производственных издержек
.4 Расчет годового фонда оплаты труда работников и отчислений
на социальное страхование
Заключение
Список использованных источников
Введение
Кондитерская промышленность Российской Федерации
характеризуется как успешно функционирующее звено агропромышленного комплекса
России, выпускающая кондитерские изделия общей среднегодовой производственной
мощностью 3,5 млн. т с коэффициентом их использования 60,5 %.
За последние годы на многих кондитерских предприятиях
проведена модернизация производства с оснащением современным технологическим
оборудованием с высокой долей импортного оборудования и укомплектованием
высококвалифицированным персоналом. Вместе с тем, износ производственного оборудования
в целом по отрасли составляет 40 %.
В настоящее время отрасль располагает 1500
предприятиями, находящимися практически во всех регионах Российской Федерации,
в том числе около 150 крупными и средними специализированными предприятиями,
произведших в 2010 г. 1586,0 тыс. т кондитерской продукции (55 % общего
годового оборота) [1].
В состав кондитерской промышленности входят две группы
производств по выработке сахаристых и мучных кондитерских изделий. Эти группы,
в свою очередь, включают в себя ряд производств: карамельное, конфетное,
шоколадное, пастиломармеладное, вафельное, производство печенья, крекеров,
галет, тортов, пирожных, различающихся по технологии, применяемому оборудованию
и конечной продукции.
Можно выделить следующие перспективы развития
кондитерской промышленности в стране:
адаптация технологий к существующим колебаниям
качества сырья с применением принципа единого подхода к технологическим основам
производства кондитерских изделий на всех этапах;
развитие исследований в области технологий качественно
новых кондитерских изделий с направленным изменением химического состава, с
заданными свойствами и структурой; - выход на рынки регионов с дефицитом
кондитерских изделий;
вытеснение с рынка импортеров и рост экспортных
продаж;
использование потенциальных возможностей повышения
спроса на российском рынке в долгосрочной перспективе;
повышение конкурентоспособности продукции;
развитие импортозамещающего производства.
Рынок кондитерских изделий - достаточно емкий, но при
этом он обладает высоким потенциалом для развития [2].
Вафли являются достаточно популярным продуктом в нашей
стране и по статистике входят в Топ - 5 самых употребляемых мучных кондитерских
изделий [3]. Не удивительно, что вафли является одним из часто используемых
составляющих в создании комбинированного кондитерского изделия.
Целью данного дипломного проекта является модернизация технологической
линии по производству вафельного полуфабриката для кондитерских изделий,
действующая на ЗАО "Ферреро Руссия".
1. Обоснование необходимости реконструкции действующего предприятия
ЗАО "Ферреро Руссия" находится в село Ворша,
Владимирской области.
Решение о строительстве собственной фабрики на
территории России было принято компанией Ferrero в 2007 году. После тщательного
анализа ряда производственных площадок в Центральном федеральном округе, была
выбрана площадка во Владимирской области (село Ворша, Собинский район). 27 мая
2008 г. состоялась торжественная церемония закладки "Первого камня"
будущей фабрики. А уже в ноябре 2009 была запущена первая производственная
линия.
Существует фабрика уже 6 лет, довольно молодое
предприятие. Для быстрого запуска линии и работы производства, оборудование на
линиях частично было закуплено, а остальная часть была привезена с других
фабрик компании. Несмотря на это фабрика постепенно модернизирует свои линии,
так как привезенное оборудование нуждается в замене из-за износа и частичной
нерентабельности, а некоторое в усовершенствование. Это обстоятельство и
явилось поводом для разработки в данном дипломном проекте предложенных
технических новшеств.
Проведенная модернизация ЗАО "Ферреро
Руссия" позволит улучшить качество производимого вафельного полуфабриката
для конфет Раффаэлло.
В данном дипломном проекте были внесены изменения в
действующую линию производства вафельного полуфабриката для конфет Раффаэлло на
стадии выпечки вафельного листа, а именно: была установлена еще одна
дополнительная секция к печам для выпечки вафельных листов HAAS.
Данная модернизация позволяет улучшить качество
выпечки вафельного полуфабриката, снизить брак на выходе и усовершенствовать
работу установленного оборудование.
2.
Аналитический обзор литературы. Характеристика и классификация продукта
Кондитерское изделие - многокомпонентный пищевой продукт, готовый к
употреблению, имеющий определенную заданную форму, за исключением шоколада в
порошке, какао-порошка, пасты, крема, полученный в результате технологической
обработки основных видов сырья - сахара и (или) муки, и (или) жиров, и (или)
какао-продуктов, с добавлением пищевых добавок и пищевых ингредиентов.
Мучное кондитерское изделие - кондитерское изделие, представляющее собой
выпеченный пищевой продукт, основным рецептурным компонентом которого, наряду с
сахаром, является мука, с содержанием муки не менее 45 % [4];
К мучному кондитерскому изделию относят: печенье (различные виды, а также
крекер, галета), вафля, пряничное изделие, кекс, рулет, торт, пирожное, изделие
мучное восточное, кондитерское сдобное изделие.
Вафли - мучные кондитерские изделия различной формы, изготовляемые из
вафельных выпеченных листов с начинкой или без начинки.
Вафли отличаются большой пористостью, малой толщиной, хрупкостью,
ячеистой или рифленой поверхностью.
Для производства вафель используют пшеничную муку высшего и первого
сортов, жир, соль, разрыхлители, вкусовые и ароматические вещества. Вафли -
хорошо усваиваемый и высококалорийный продукт [5].
Классифицируются вафли по следующим показателям:
. По форме вафли бывают:
- квадратная;
- прямоугольная;
- круглая;
- треугольная;
- в виде палочек;
- фигурная;
- в виде орехов.
2. Взависиммости от вида начинки вафли:
- без начинки;
- вафли с жировой начинкой (Лимонные, Снежинка, Апельсиновые,
Ананасные (различаются видом эссенции);
- вафли с начинкой пралине или типа пралине (Невские, Миндаль,
Карнавальные, Ореховые);
- вафли с фруктовой начинкой (Фруктовые, Лесная быль, Таежные);
- вафли с помадной начинкой;
- вафли диабетические с жировой начинкой ракушек и др.
.1
Современные тенденции в развитии кондитерской промышленности
Отечественный рынок кондитерских изделий считается одним из самых больших
в мире - он входит в ТОП-5 крупнейших мировых рынков. Примерно, половину рынка
занимает сегмент мучных кондитерских изделий, которые пользуются стабильным
спросом у россиян. Особой популярностью пользуются следующие виды продукции
кондитерских изделий: печенье, крекеры, вафли, торты, пирожные, кексы, пряники
и рулеты [3].
июня 2010 года распоряжением Правительства РФ был утвержден проект "Об
Основах государственной политики в области здорового питания населения
Российской Федерации на период до 2020 года". Основными приоритетами
названы: обеспечение условий для изготовления продуктов массового потребления,
обогащенных витаминами и минеральными веществами; продуктов функционального
назначения; диетических (лечебных и профилактических) продуктов; продуктов для
питания здоровых и больных детей.
Разработки по обогащению и созданию функционального продукта проводят и
над таким продуктом как вафли. Выделяют следующие тенденции:
· Обогащение вафель витаминами, биологически активными и минеральными
веществами:
- Предложено [6] вместо воды в рецептуру, при создании мучных кондитерских
изделий, добавлять минеральные воды "Нарзан" и "Ессентуки"
с целью обогащения продукта различными минеральными веществами;
- Опубликованы [7] результаты исследований придания вафлям функциональных
свойств за счет использования осветлённых свекловичных волокон, порошка инулина
и олигафруктозы (Beneo TM Synergy);
- Разработана технология изготовления вафель с добавлением
витаминно-минеральной смеси "Валетек 5" [8].
· Изготовление вафель диетического и лечебно-профилактического назначения:
- С целью расширения ассортимента вафель лечебно - профилактического
назначения в рецептуру было предложено включать различные пробиотические
добавки, такие как: "Бифилакт А" или " Бифилакт Д" [9];
- Для людей с сахарным диабетом разработаны рецептуры вафель
без сахара. Вместо него добавляют стевиозид или палатинозу [10,11], комбинации
сахарозаменителей [12], также предлагают добавление топинамбура или якона [13,14];
- Для детей больных фенилкетонурией и целиакией были созданы
следующие смеси для выпечки: "безбелковые" и
"безглютеиновые" [15];
· Разработка новых методов по улучшению технологии производства вафель:
- Предложены [16] влагостойкие вафли, сохраняющие свою хрупкость при
повышенной влажности. При этом содержание подслащивающих веществ (протеиназы
и/или ксиланазы) в них вместо сахара 0-8 %;
- Разработан способ производства тонких вафель на зерновой или крахмальной
основе путем экструзии [17];
- Создан способ изготовления вафельного корпуса с
использованием усовершенствованной пластины для выпекания [18];
- Опубликован [19] способ производства вафель с высокой
стойкостью к воздействию тепла в камерах для выпечки.
Вафли - мучное кондитерское изделие, которое широко употребляется в нашей
стране и за рубежом. Для того чтобы вафельный продукт был востребованным и его
ассортимент рос, в настоящее время разрабатываются различные способы и методы
усовершенствования вафельного производства. И не может не радовать то, что
данный продукт стараются сделать не только интересным для потребителя своими
органолептическими показателями, но функционально полезным и лечебно -
профилактическим. Ведь наше здоровье зависит от того, что мы употребляем в пищу
и в каком количестве.
.2
Обоснование выбора способа производства
Существуют следующие способы производства вафель, в зависимости от
состава рецептурных компонентов [20]:
сахарные сдобные вафли (мука высшего сорта, сахар, яичные желтки, молоко
и жир);
полусахарные вафли (без молока);
простые вафли (без молока, сахара, масла и жира).
Сахарно сдобные вафли
Вафельный полуфабрикат, полученный данным способом, имеет золотистый
цвет, умеренную и равномерную пористость, продукт имеет стойкий аромат
выпеченного печенья. Вкус у полученной вафли нежный, молочно-сливочный. При
влажности до 9 % вафельный лист сохраняет свои хрустящие свойства. Брак при
получении полуфабриката, при данном способе минимальный, из-за добавления
яичного желтка или лецитина, которого используют при современном производстве.
Полусахарные вафли
Вафли, полученные без молока, имеют золотистый цвет, равномерную, но
большую пористость, чем у сахарно сдобных вафель. Свойственен вкус выпеченного
печенья. При влажности до 9 % вафельный лист сохраняет свои хрустящие свойства.
По сравнению с сахарно сдобными вафлями, данные, лишь потеряли нежность
вкуса и по структуре стали более пористыми, то есть при удалении молока из
рецептуры лишь немного изменились органолептические показатели готового
полуфабриката.
Простые вафли
Вафельный полуфабрикат, полученный данным способом, имеет
желто-коричневый цвет. Свойственен вкус выпеченного печенья. Данные вафли
теряют хрустящие свойства уже при влажности 6,5 %. Кроме этого они имеет
большую пористость, чем полусахарных вафель. Брак при получении полуфабриката,
при данном способе увеличиться относительно других способов, из-за большей
пористости и неустойчивой хрупкости.
Способы производства вафельного полуфабриката отличаются друг от друга не
только органолептическими показателями, но и соотношением необходимого сырья.
В таблице 2.1 представлено соотношение ингредиентов в рецептурах по
созданию вафельного полуфабриката.
Таблица 2.1 - Соотношения ингредиентов в рецептурах по созданию
вафельного полуфабриката
|
Наименование сырья
|
Массовая доля ингредиентов
в продукте на 100кг исходного сырья, %
|
|
Сахарно сдобные вафли
|
Полусахарные вафли
|
Простые вафли
|
|
1
|
2
|
3
|
4
|
|
1.Мука высшего сорта
|
86
|
88
|
90
|
|
2.Молоко
|
1,5
|
-
|
-
|
|
3.Лецитин
|
2,5
|
3
|
7
|
|
4.Жир
|
2,5
|
3
|
-
|
|
5.Сахар
|
6
|
4
|
-
|
|
6.Соль
|
0,75
|
1
|
1.5
|
|
7.Сода
|
0,75
|
1
|
1,5
|
Несмотря на различия этих способов каждый из них проходит следующие этапы
производства: подготовка сырья, дозирование ингредиентов, приготовление
эмульсии, замес теста, охлаждение теста, формование теста, выпечка вафельных
листов, охлаждение вафельных листов, увлажнение вафельных листов, обрезка
вафельных листов.
На предприятии "Ферреро Руссия" при производстве вафельного
полуфабриката используют способ производства сахарно сдобных вафель.
Структурная схема данного производства представлена на рисунке 2.1.
Рисунок 2.1 - Структурная схема производства вафельного полуфабриката
3. Технологическая часть
3.1 Ассортимент и характеристика выпускаемой продукции
На фабрике "Ферреро Руссия" во Владимирской области выпускается
следующий ассортимент продукции Raffaello, представленный в таблице 3.1.
Таблица 3.1- Ассортимент продукции Raffaello
|
Наименование продукта
|
Вес, г
|
Количество, шт.
|
ТУ на продукт
|
|
1
|
2
|
3
|
4
|
|
RAFFAELLO
|
40
|
4
|
ТУ 9124-003-42295149-09
|
|
150
|
15
|
ТУ 9124-003-42295149-09
|
|
RAFFAELLO®
"Сундучок"
|
240
|
24
|
ТУ 9124-003-42295149-09
|
|
RAFFAELLO®
"Коробочка"
|
240
|
24
|
ТУ 9124-003-42295149-09
|
|
RAFFAELLO® "Роза"
|
80
|
8
|
ТУ 9124-003-42295149-09
|
|
RAFFAELLO®
"Пакетик"
|
80
|
8
|
ТУ 9124-003-42295149-09
|
|
RAFFAELLO®
"Колокольчик"
|
100
|
10
|
ТУ 9124-003-42295149-09
|
|
RAFFAELLO® "La
Torta"
|
100
|
10
|
ТУ 9124-003-42295149-09
|
|
200
|
20
|
ТУ 9124-003-42295149-09
|
|
600
|
60
|
ТУ 9124-003-42295149-09
|
|
RAFFAELLO
"Сердце"
|
120
|
12
|
ТУ 9124-003-42295149-09
|
|
RAFFAELLO "Жесть"
|
300
|
30
|
ТУ 9124-003-42295149-09
|
Конфета Raffaello
многокомпонентный продукт. Она состоит из таких полуфабрикатов, как вафельный
корпус, начинка, глазурь, цельный миндаль, кокосовая стружка.
В данном дипломном проекте будет рассматриваться производство вафельного
полуфабриката, для корпуса конфеты. Данный продукт должен соответствовать
следующим характеристикам [21].
По органолептическим показателям вафельные полуфабрикаты должен
соответствовать требованиям, указанным в таблице 3.2.
Таблица 3.2 - Органолептические показатели вафельного полуфабриката
|
Наименование показателя
|
Значение по НТД
|
|
1
|
2
|
|
1.Вкус
|
Должен иметь вкус
выпеченного печенья без привкуса подгорелости.
|
|
2. Цвет
|
Светло-желтый
|
|
3.Запах
|
Не должен иметь посторонние
запахи
|
|
4.Внешний вид
|
Вафли должны иметь
одинаковый размер и правильную форму, установленную для данного наименования
продукта
|
|
5.Строение в изломе
|
Вафельный лист равномерно
пропеченный, с развитой пористостью, обладающий хрустящими свойствами
|
По физико-химическим показателям вафельный полуфабрикат должен
соответствовать требованиям, указанным в таблице 3.3.
Таблица 3.3 - Физико-химические показатели вафельного полуфабриката
|
Наименование показателя
|
Значение по НТД
|
|
1
|
2
|
|
1.Массовая доля общего
сахара по сахарозе в пересчете на сухое вещество, %
|
32,4-43,4
|
|
2. Массовая доля жира в
пересчете на сухое вещество,%
|
17,2-31,0
|
|
3. Влажность,%
|
0,6-2,2
|
|
4. Массовая доля золы,
нерастворимой в растворе соляной кислоты с массовой долей 10%,%,не более
|
0,1
|
По микробиологическим показателям вафельный полуфабрикат должен
соответствовать показателям, представленным в таблице 3.4.
Таблица 3.4 - Микробиологические показатели вафельного полуфабриката
|
Наименование
показателяЗначение по НТД
|
|
|
1
|
2
|
|
1.Мезофильные аэробные и
факультативно - анаэробные микроорганизмы. КОЕ в 1г продукта, не более
|
1,0*106
|
|
2. Бактерии группы кишечных
палочек (колиформные), не допускаются в массе продукта, г.
|
0,01
|
|
3. Дрожжи, КОЕ в 1г
продукта, не более
|
5,0*10
|
|
4. Микроскопические
(плесневые) грибы. КОЕ в 1г продукта не более
|
1,0*102
|
3.2 Выбор сырьевой базы и энергоносителей
Для производства вафельного полуфабриката используют следующие виды
сырья: мука пшеничная высшего сорта, соевый лецитин, сахар-песок, соль, пищевая
сода, растительный жир.
Сырье и материалы, применяемые в производстве продукта, должны соответствовать
требованиям действующих нормативных документов, СанПиН 2.3.2.1078, СанПиН
2.3.2.1280 и сопровождаться сертификатами соответствия (декларациями о
соответствии) и/или санитарно-эпидемиологическими заключениями, удостоверениями
качества и безопасности.
· Мука высшего сорта ГОСТ Р 52189-2003 [22]
Настоящий стандарт распространяется на пшеничную муку, выработанную из
мягкой пшеницы или с добавлением к ней 20 % твердой пшеницы, предназначенную
для производства хлеба, хлебобулочных, мучных кондитерских и кулинарных
изделий.
Пшеничную муку в зависимости от её целевого использования подразделяется
на: пшеничную хлебопекарную; пшеничную общего назначения.
По органолептическим показателям пшеничная мука должна соответствовать
общим техническим требованиям, указанным в таблице 3.5.
Таблица 3.5 - Органолептические показатели муки
пшеничной высшего сорта
|
Наименование показателя
|
Характеристика и норма для
пшеничной муки
|
|
1
|
2
|
|
1.Вкус
|
Свойственный пшеничной
муке, без посторонних привкусов, не кислый, не горький
|
|
2.Запах
|
Свойственный пшеничной
муке, без посторонних запахов, не затхлый, не плесневый
|
|
3.Цвет
|
Белый или белый с кремовым
оттенком
|
|
4.Наличие минеральной
примеси
|
При разжевывании муки не
должно ощущаться хруста
|
|
5.Зараженность вредителями
|
Не допускается
|
По физико-химическим показателям мука пшеничная должна соответствовать
показателям, представленным в таблице 3.6.
Таблица 3.6 - Показатели качества муки пшеничной высшего сорта
|
Наименование показателя
|
Норма для пшеничной муки
|
|
1
|
2
|
|
1.Массовая доля золы в
пересчете на сухое вещество, %, не более
|
0,55
|
|
2.Белизна, условных единиц
прибора РЗ-БПЛ, не менее
|
54,0
|
|
3.Массовая доля сырой
клейковины, %, не менее
|
28,0
|
|
4.Качество сырой
клейковины, условных единиц прибора ИДК
|
Не ниже 2-й гр
|
|
5.Массовая доля влаги, %,
не более
|
15,0
|
|
6.Металломагнитная примесь,
мг в 1 кг муки; размером отдельных частиц в наибольшем линейном измерении 0,3
мм и (или) массой не более 0,4 мг
|
3,0
|
· Сахар - песок ГОСТ 21-2012 [23]
Настоящий стандарт распространяется на сахар-песок - пищевой продукт,
представляющий собой сахарозу в виде отдельных кристаллов, предназначенной для
реализации в торговой сети, для промышленной переработки и других целей.
По органолептическим показателям сахар-песок должен соответствовать
требованиям, указанным в таблице 3.7.
Таблица 3.7 - Органолептические показатели сахара - песка
|
Наименование показателя
|
Характеристика сахара-песка
|
|
1
|
2
|
|
1.Вкус и запах
|
Сладкий вкус, без
посторонних привкуса и запаха, как в сухом сахаре, так и в его водном
растворе
|
|
2.Сыпучесть
|
Сыпучий
|
|
3.Цвет
|
Белый
|
|
4.Чистота раствора
|
Раствор сахара должен быть
прозрачным или слабо опалесцирующим, без нерастворимого осадка, механических
или других посторонних примесей
|
По физико-химическим показателям сахар-песок должен соответствовать
требованиям, указанным в табл.3.8.
Таблица 3.8 - Физико-химические показатели сахара - песка
|
Наименование показателя
|
Норма для сахара-песка
|
|
1
|
2
|
|
Массовая доля сахарозы (в
пересчете на сухое вещество), %, не менее
|
99,75
|
0,05
|
|
Массовая доля золы (в
пересчете на сухое вещество), %, не более
|
0,04
|
|
Цветность, не более: -
условных единиц - единиц оптической плотности
|
0,8 104
|
|
Массовая доля влаги, %, не
более
|
0,14
|
|
Массовая доля ферро
примесей, %, не более
|
0,0003
|
· Соль пищевая поваренная ГОСТ Р 51574-2000 [24]
Настоящий стандарт распространяется на пищевую поваренную соль,
представляющую собой хлористый натрий и изготовленную для внутреннего рынка и
экспорта.
Пищевую поваренную соль подразделяют следующим образом:
по способу производства - выворочная, каменная, садочная и самосадочная;
по способу обработки - с добавками и без добавок;
по качеству - экстра, высшего, первого и второго сортов;
по гранулометрическому составу - размером частиц для сорта
"экстра" и помолов № 0,№ 1,№ 2, № 3.
По органолептическим характеристикам должна соответствовать требованиям,
указанным в таблице 3.9.
Таблица 3.9 - Органолептические показатели соли пищевой поваренной
|
Наименование показателя
|
Характеристика соли высшего
сорта
|
|
1
|
2
|
|
1.Внешний вид
|
Кристаллический сыпучий
продукт. Не допускается наличие посторонних механических примесей, не
связанных с происхождением и способом производства соли
|
|
2.Вкус
|
Соленый, без постороннего
привкуса
|
|
3.Цвет
|
Белый
|
|
4.Запах
|
Без посторонних запахов
|
|
Примечания 1. В соли
высшего, первого и второго сортов допускается наличие темных частиц в
пределах содержания нерастворимого в воде остатка и оксида железа. 2. При
введении в пищевую соль йодирующей добавки допускается слабый запах йода.
|
По физико-химическим показателям соль должна соответствовать норме,
указанной в таблице 3.10.
Таблица 3.10 - Физико-химические показатели соли пищевой поваренной
|
Наименование показателя
|
Норма в пересчете на сухое
вещество для высшего сорта
|
|
1
|
2
|
|
1.Массовая доля хлористого
натрия, %, не менее
|
98,40
|
|
2.Массовая доля
кальций-иона, %, не более
|
0,35
|
|
3.Массовая доля
магний-иона, %, не более
|
0,05
|
|
4.Массовая доля
сульфат-иона, %, не более
|
0,80
|
|
5.Массовая доля калий-иона,
%, не более
|
0,10
|
|
6.Массовая доля
нерастворимого в воде остатка, %, не более
|
0,16
|
|
7.Массовая доля влаги, %,
не более, для соли: каменной
|
0,35
|
Содержание токсичных элементов и радионуклидов в пищевой поваренной соли
не должно превышать допустимые уровни, установленные гигиеническими
требованиями к качеству и безопасности продовольственного сырья и пищевых
продуктов.
· Сода питьевая ГОСТ 2156-2001 [25]
Настоящий стандарт распространяется на двууглекислый натрий (бикарбонат),
предназначенный для химической, пищевой, легкой, медицинской, фармацевтической
промышленности, цветной металлургии и розничной торговли. Настоящий стандарт
устанавливает требования к двууглекислому натрию, изготовляемому для нужд
народного хозяйства и экспорта.
Натрий двууглекислый по органолептическим показателям должен
соответствовать нормам, указанным в таблице 3.11.
Таблица 3.11 - Органолептические показатели соды питьевой
|
Наименование показателя
|
Характеристика соды
питьевой
|
|
1
|
2
|
|
1.Внешний вид
|
Кристаллический сыпучий
продукт. Не допускается наличие посторонних механических примесей, не
связанных с происхождением и способом производства соды
|
|
2.Вкус
|
Слабощелочной
|
|
3.Цвет
|
Белый
|
|
4.Запах
|
Без посторонних запахов
|
Натрий двууглекислый по физико-химическим показателям должен
соответствовать нормам, указанным в таблице 3.12.
Таблица 3.12 - Физико-химические показатели соды
питьевой
|
Наименование показателя
|
Норма первый сорт ОКП 21
4415 0130 03
|
|
1.
|
Массовая доля
двууглекислого натрия, %, не менее
|
99,5
|
|
2.
|
Массовая доля углекислого
натрия, %, не более
|
0,4
|
|
3.
|
Массовая доля хлоридов в
пересчете на NaCl, %, не более
|
0,02
|
|
4.
|
Массовая доля железа (Fe),
%, не более
|
0,001
|
|
5.
|
Массовая доля кальция (Са),
%, не более
|
0,04
|
|
6.
|
Массовая доля сульфатов в
пересчете на SO, %, не более
|
0,02
|
|
7.
|
Массовая доля влаги, %, не
более
|
0,1
|
· Растительный жир ГОСТР 53796 2010
(заменители молочного жира ЗМЖ) [26]
Заменители молочного жира: Продукты с массовой долей жира не менее 99,5
%, изготавливаемые из натуральных и (или) модифицированных растительных масел
путем регулируемого структурирования в процессе охлаждения в сочетании с
механической обработкой, с добавлением или без добавления пищевых добавок и
других ингредиентов.
По органолептическим показателям растительный жир должны соответствовать
требованиям, приведенным в таблице 3.13.
Таблица 3.13 - Органолептические показатели молочного
жира
|
Наименование показателя
(характеристики)
|
Характеристика для ЗМЖ
|
|
1
|
2
|
|
1.Вкус и запах
|
Чистые, свойственные
обезличенному жиру. Не допускаются посторонние привкусы и запахи
|
|
2.Консистенция при (12±2)
°С
|
Однородная, плотная,
пластичная
|
|
3.Цвет
|
От белого до желтого,
однородный по всей массе
|
|
4.Прозрачность
|
Прозрачный в расплавленном
состоянии
|
По физико-химическим показателям растительный жир
должен соответствовать требованиям, приведенным в таблице 3.14.
Таблица 3.14 - Химические показатели растительного
жира
|
Наименование показателя
|
Норма для растительного
жира
|
|
1
|
2
|
|
Массовая доля, % жира, не
менее
|
99,5
|
|
Массовая доля, % влаги, не
более
|
0,5
|
|
Кислотность жировой фазы,
°К, не более
|
0,3
|
· Вода питьевая ГОСТ 51232- 98 [27]
Питьевая вода должна быть безопасна в эпидемическом отношении, безвредна
по химическому составу и иметь благоприятные органолептические свойства.
Качество воды определяют ее составом и свойствами при поступлении в
водопроводную сеть; в точках водоразбора наружной и внутренней водопроводной
сети.
Безопасность воды в эпидемическом отношении определяют общим числом
микроорганизмов и числом бактерий группы кишечных палочек.
По микробиологическим показателям питьевая вода должна соответствовать
требованиям, указанным в таблице 3.15.
Таблица 3.15 - Микробиологические показатели питьевой воды
|
Наименование показателя
|
Норматив
|
|
1
|
2
|
|
Число микроорганизмов в 1
см³
воды, не более
|
100
|
|
Число бактерий группы
кишечных палочек в 1 дм³
воды (коли-индекс), не более
|
3
|
· Лецитин ГОСТ Р 32052- 2013 [28]
Лецитин жидкий: Пищевая добавка, представляющая собой гомогенную текучую
жидкость от светло-желтого до темно-коричневого цвета, содержащая не менее 60 %
веществ, нерастворимых в ацетоне, и около 40 % триацилглицеринов свободных
жирных кислот и других сопутствующих веществ.
В данном дипломном проекте происходит замена импортного соевого лецитина
на лецитин подсолнечный марки "Лецитал".
Ниже, указанный стандарт распространяется на все виды лецитинов, поэтому
будет справедлив, как и для соевого, так и для подсолнечного лецитина.
По органолептическим характеристикам лецитин должен соответствовать
требованиям, указанным в таблице 3.16.
Таблица 3.16 - Органолептические показатели лецитина
|
Наименовние показателя
|
Лецитины E322(i)
(жидкий стандартный)
|
|
1
|
2
|
|
1.Консистенция
|
Однородная,
вязкая жидкость
|
|
2.Цвет
|
От светло-желтого до
темно-коричневого
|
|
3.Запах
|
Характерный для сырья, из
которого получен. Не допускается затхлый, кислый или какой-либо другой
посторонний запах, в том числе запах растворителей (ацетона и др.)
|
|
4.Вкус
|
Характерный для сырья, из
которого получен. Не допускается прогорклый, кислый или какой-либо другой
посторонний привкус
|
По физико-химическим показателям лецитин должен соответствовать требованиям,
указанным в таблице 3.17.
Таблица 3.17 - Физико - химические показатели лецитина
|
Наименование
показателей
|
Значения показателей
лецитины E322(i) (стандартной жидкости)
|
|
1
|
2
|
|
Массовая доля веществ,
нерастворимых в толуоле, %, не более
|
0,30
|
|
Массовая доля веществ,
нерастворимых в ацетоне, %, не менее
|
60,0
|
|
Массовая доля влаги и
летучих веществ, %, не более
|
1,0
|
|
Кислотное число, мг KОН/г,
не более
|
36,0
|
|
Перекисное число, ммоль/кг
активного кислорода, не более
|
10,0
|
|
Цветное число 10%-ного
раствора в толуоле, мг йода, не более
|
80,0
|
|
Вязкость при 25 °С, Па·с,
не более для жидкой формы
|
12
|
3.3 Обоснование
состава композиции. Правила взаимозаменяемости сырья
В данном дипломном проекте производственная рецептура изготовления
вафельного полуфабриката для конфет Raffaello будет изменена. Соевый лецитин в заводской рецептуре будет
заменен на подсолнечный лецитин "Лецитал" без коррекции расхода сырья
на замес.
Данные заводской и проектной рецептуры представлены в таблицах 3.18 и
3.19.
Таблица 3.18 - Заводская рецептура вафельного полуфабриката
|
Наименование сырья и
полуфабрикатов
|
Расход сырья, кг
|
|
1
|
2
|
|
1.Мука пшеничная высшего
сорта
|
172
|
|
2.Сахар-песок
|
12
|
|
3.Растительный жир
|
8
|
|
4.Соевый лецитин
|
5
|
|
5.Соль
|
1.5
|
|
6.Сода
|
1.5
|
|
Итого
|
200
|
Таблица 3.19 - Проектная рецептура вафельного полуфабриката
|
Наименование сырья и
полуфабрикатовРасход сырья, кг
|
|
|
1
|
2
|
|
1.Мука пшеничная высшего
сорта
|
172
|
|
2.Сахар-песок
|
12
|
|
3.Растительный жир
|
8
|
|
4.Подсолнечный лецитин
|
5
|
|
5.Соль
|
1.5
|
|
6.Сода
|
1.5
|
|
Итого
|
200
|
· Мука пшеничная высшего сорта
Мука пшеничная в зависимости от целевого использования подразделяется на
пшеничную хлебопекарную муку и пшеничную для общего пользования. Для выпекания
вафель используют пшеничную хлебопекарную муку, но пшеничная хлебопекарная мука
в зависимости от белизны, массовой доли сырой клейковины, а также крупности
помола подразделяется на сорта: экстра, высший, крупчатка, первый, второй и
обойная. Мука является основным видом сырья при производстве мучных
кондитерских изделий. В кондитерской промышленности главным образом используют
пшеничную муку высшего, первого и второго сортов. Крупчатку и обойную муку
практически не используют [29].
В таблице 3.20 приведен средний химический состав хлебопекарной муки
высшего, I и II сортов.
Таблица 3.20 - Средний химический состав хлебопекарной
муки высшего, I и II сортов (в 100 г муки)
|
Наименование компонентов
|
Высший сорт
|
I сорт
|
IIсорт
|
|
1
|
2
|
3
|
4
|
|
Вода, г
|
14,0
|
14,0
|
14,0
|
|
Белки, г
|
10,3
|
10,6
|
11,7
|
|
Жиры, г
|
1,1
|
1,3
|
1,8
|
|
Моно- и дисахариды, г
|
0,2
|
0,5
|
0,9
|
|
Крахмал, г
|
68,7
|
67,1
|
62,8
|
|
Клетчатка, г
|
0,1
|
0,2
|
0,6
|
|
Зола, г
|
0,5
|
0,7
|
1,1
|
Как видно из таблицы 3.20, основную часть сухого вещества муки составляют
крахмал и белковые вещества.
Крахмал составляет около 4/5 сухого вещества муки.
Крахмал - высокомолекулярный полимер, состоящий из полисахаридов двух
типов: амилозы и амилопектина.
При нагревании водной суспензии пшеничного крахмала происходит увеличение
объема крахмальных зерен, т.е. набухание вследствие поглощения большого
количества воды. При 20…30 0С происходит увеличение крахмальных зерен
до 50 % исходного объема. С увеличением температуры до 60 0С
происходит дальнейшее увеличение объема зерен с сохранением их
индивидуальности, но с потерей кристаллической структуры. При температуре 62,5 0С,
начинается процесс клейстеризации пшеничного крахмала, сопровождающийся
поглощением значительного количества воды, разрывом полисахаридных цепочек и
превращением крахмальных зерен в единую гелеобразную, студнеобразную массу -
клейстер. При дальнейшем нагревании клейстера крахмал поглощает пятикратное
количество воды и более.
Таким образом, клейстеризация крахмала - это процесс его гидротермической
деструкции, т.е. необратимого разрушения природной структуры в процессе
нагревания при избытке воды. Однако неувлажненный крахмал (влажность до 10 %)
даже при нагревании до 90 0С практически не меняет своей структуры.
Иными словами, глубина термической деструкции крахмальных зерен увеличивается с
повышением температуры, но снижается при уменьшении влажности.
Белки - высокомолекулярные органические вещества, состоящие из альфа -
аминокислот, соединённых в цепочку пептидной связью. Среднее содержание
белковых фракций, в хлебопекарной муке высшего сорта, следующее %: альбумин
16,2; глобулин 9,4; глиадин 34,2; глютенин 37,6; остаток 5,5. При этом особую
технологическую роль имеют водонерастворимые фракции белка - глиадин и
глютенин. Набухающие в воде пшеничные белки (глиадин и глютенин) могут
отмываться из теста водой в частично денатурированном виде, образую клейковину.
Таким образом, набухшие в воде фракции белков слипаются, образуя сильно
набухший коллоидный студень - клейковину.
Технологические свойства пшеничной муки
Технологические свойства муки, которые характеризуют возможность
получения из нее вафель высокого качества, определяются, прежде всего,
количеством и качеством клейковины. Анализ изменения качества готовых вафельных
листов из муки с различным содержанием сырой клейковины, показывает, что при
содержании сырой клейковины более 32 % вафельное тесто имеет большую вязкость и
густую консистенцию из-за сильного набухания клейковинных белков. Это
затрудняет перекачивание теста насосом и равномерное распределение теста на
поверхности формы, что неблагоприятно влияет на качество готовых изделий.
Таким образом, высокое содержание клейковинных белков в муке для
производства вафельного листа нежелательно.
Выше было упомянуто, что основными белковыми фракциями клейковины
являются глютенин и глиадин. Молекулярная масса глютенина превосходит
молекулярную массу глиадина, что во многом обусловливает различия в их структурно-механических
свойствах: выделенный из муки гидратированный глютенин представляет собой
резинообразную упругую массу, а глиадин - сильно растяжимую, вязкотекучую,
липкую, неупругую массу. В связи с этим "сила" муки, особенно важный
показатель с точки зрения хлебопекарного производства, характеризуется в первую
очередь наличием и свойствами глютениновой фракции клейковины. Для вафельного
производства наиболее ценной фракцией является глиадин: именно его наличия и
свойства определяют текучесть теста.
Обычно клейковину муки оценивают не только с количественной, но и с
качественной стороны, определяя степень ее растяжимости, упругости и
эластичности. Однако эти свойства клейковины отражают главным образом свойства
глютениновой фракции, оказывающей отрицательное влияние на формирование
структуры вафельного теста и готовых изделий.
На свойства клейковины так же оказывает большое влияние температура при
замесе теста. Так при температуре 20-30 0С клейковина удерживает
максимальное количество воды - примерно двукратное. При изготовлении вафель,
замес теста производят при температуре 20 0С. Делается это для того,
чтобы крахмал, содержащийся в муки, только набух, и не произошла
гидротермическая деструкция, а также было больше воды для создания текучей
структуры теста, для дальнейшего удобного применения его при выпечке вафельного
полуфабриката.
Крупнота помола также относится к технологическим свойствам муки для
производства вафель. При прочих равных показателях муки размер ее частиц в
пределах 150-400 мкм не оказывает заметного влияния на качество изделий. Очень
же большие частицы крупки, размером 400-500 мкм, не успевают полностью
пропитаться влагой во время замеса и становятся видны на поверхности готовых
вафель в виде светлых точек [29].
Поэтому с точки зрения органолептических и физико-химических свойств
вафель желательно использовать муку высших сортов [30].
· Пищевая поваренная соль (NaCl)
Поваренную соль подразделяют на сорта: экстра, высший, первый и второй.
Поваренная соль применяется как вкусовое вещество, а также как улучшитель
физических свойств теста вафель. Добавление соли в тесто повышает температуру
клейстеризации крахмала. При небольших дозах(0,2..0,8 % к массе муки) соль
увеличивает набухание муки, в связи с этим улучшаются свойства теста, повышается
прочность теста [31].
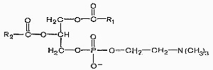
· Лецитин
Лецитины - это мощнейшие эмульгаторы, незаменимые в производстве вафель,
печенья и прочих кондитерских изделий.
Все виды лецитинов состоят из комплекса активных пищевых
На рисунке 3.1 представлена формула лецитина (фосфатидилхолина)
Рис. 3.1 - Формула лецитина(фосфатидилхолина)
С точки зрения химии, фосфолипиды - это дифильное соединение.
Концентрированные фосфолипиды, вступая во взаимодействие с жирами и
водой, снижают напряженность поверхностей и способствуют формированию эмульсий.
Внесение лецитина улучшает отделение вафель от форм, снижает расход жиров,
придает продукции золотистый цвет, улучшает блеск и хруст вафель, делает
поверхность продукции гладкой, снижает набухание вафель.
Применение лецитина в производстве вафельных листов придает тесту
текучесть, его цвету - однородность. Кроме того, действие этого компонента
способствует увеличению сроков хранения готовой продукции и стойкости её
аромата. Все названные преимущества достигаются путем добавления в тесто всего
1-2 % лецитина. Лецитин хорошо растворяется в тесте и позволяет регулировать
его консистенцию, эмульгирующиеся свойства этого порошка упрощают машинную
обработку теста за счет придания ему необходимой сухости. Результатом
применения лецитина является значительное уменьшение процента бракованной
продукции [32].
· Растительный жир
Общая формула жира
(3.1)
где R1,
R2, R3- радикалы жирных кислот
Растительный жир состоит из триглицеридов насыщенных и ненасыщенных
кислот, свободных жирных кислот и не омыляемых веществ (витаминов, фосфадитов).
В молочном жире преобладает олеиновая и линоленовая кислоты. Жировая
составляющая в вафельном тесте физически работает следующим образом: жировые клетки
как бы смазывают нити глютеина, придавая им дополнительную эластичность. Кроме
этого жиры уменьшают набухание коллоидов муки, повышают пластичность теста, а
готовому изделию придает слоистость, рассыпчатость, пористость и увеличивает
срок его хранения. При увеличении количества молочного жира тесто становится
рыхлым, крошащимся [33].
Взаимодействие молочного жира с лецитином при производстве вафель
способствует созданию именно той умеренной гладкости и нежности, которые
характерны лишь для вафельного корпуса конфет Raffaello.
· Пищевая сода (NaHCO3)
Двууглекислый натрий представляет собой мелкокристаллический порошок. Для
хлебобулочной и кондитерской промышленности пищевую соду используют, как
разрыхлитель. Существует два вида разрыхлителей: биологические, физические и
химические. Сода относится к химическим разрыхлителям. Она добавляется для
того, чтобы в кислой среде или под воздействием температуры выделялся
углекислый газ.
NaHCO3 → Na2CO3
+ H2O + CO2 ↑ (3.2)
Углекислый газ, находясь внутри теста и стремясь выйти из него,
разрыхляет его. Тесто становится более легким, и в нем появляются поры, которые
тесто облагораживают и придают ему, легкую пористую структуру. Кроме этого сода
регулирует рН теста и готового изделия. Без соды тесто пропеклось бы твердым,
немного клейким внутри бруском, малоаппетитным и на вид, и на вкус [34].
· Сахар-песок (C12H22O11)
Структурная формула сахарозы представлена на рисунке 3.2
Рис. 3.2 - Структурная формула сахарозы
Сахар - это пищевой продукт, состоящий из сахарозы высокой степени
чистоты. С целью повышения срока хранения вафельных листов и вафель без начинки
в рецептуру вводится сахар-песок. Сахар используется не только для повышения
пищевой ценности и придания изделиям сладкого вкуса, но имеет важное
технологическое значение в производстве вафель. Обладая гидратационными
свойствами, молекулы сахарозы могут притягивать и удерживать значительное
количество молекул воды.
Следовательно, изменяя концентрацию сахара в жидкой фазе теста можно
регулировать количество свободной и связанной воды и управлять процессом
набухания коллоидов муки. Это позволяет изменять влагосодержание теста в
широких пределах и получать тесто с различными структурно-механическими
свойствами. Добавление сахара сохраняет хрустящие свойства вафель при более
высокой влажности. Это объясняется тем, что находящийся в вафельных листах
сахар придает им стекловидность, благодаря которой сохраняется хрупкость при
повышенной влажности. Вафельные листы, приготовленные с сахаром, сохраняют
хрустящие свойства при влажности до 9 %, а вафельные листы, приготовленные без
сахара, теряют хрустящие свойства уже при влажности 6,5 % [35].
· Вода (Н 2О)
Вода является уникальным ингредиентом при приготовлении теста для
вафельных листов (это ингредиент в том смысле, что она не является пищевым
продуктом). Если быть более точной, то вода играет роль растворителя, поскольку
она делает возможными изменения других компонентов - как для образования теста,
так и для получения прочно текстурированного продукта после выпечки. Вода
способствует набуханию коллоидов муки, растворению составных частей муки и
кристаллического сырья.
Вся вода, добавленная в тесто, удаляется в процессе выпечки, но качество
используемой воды может влиять на свойства теста. Поэтому для приготовления
теста применяют обычную питьевую воду [36].
.4
Теоретические основы технологических процессов
кондитерский полуфабрикат сырье рецептура
На фабрике "Ферреро Руссия" при производстве вафельного
полуфабриката выполняются следующие основные стадии: получение эмульсии, замес
теста, охлаждение теста, выпечка вафельного полуфабриката, охлаждение,
увлажнение.
· Получение эмульсии
Эмульсия представляет собой дисперсную систему, состоящая из двух фаз, из
которых одна распределена в другой в виде мельчайших капель. Компоненты
рецептуры, кроме муки, (таблицу 3.18),входящие в состав для приготовления теста
для вафельного полуфабриката, находятся в различных физических состояниях, что
не характерно для эмульсионного раствора.
Две фазы данной эмульсии получаются за счет того, что такие ингредиенты,
как соль, сахар, питьевая сода, хорошо растворяются в воде и образуют вместе с
ней одну из фаз эмульсии. Так как, молочный жир и вода, взаимно нерастворимые
компоненты, то жир является второй фазой данной эмульсии. Полученная эмульсия
не будет устойчива и начнет расслаиваться, если вы не ввели эмульгатор, поэтому
вместе с молочным жиром добавляется лецитин, который снижает поверхностное
натяжение границе раздела двух фаз и обволакивает тонкой пленкой частички
дисперсионной фазы, тем самым предотвращая возможность слияния этих частичек.
Применение эмульсии типа вода в жире способствует получению пластичного
теста, хорошо поддающегося формованию, что очень важно, для производства
вафельного изделия [37].
· Замес теста
В тестомесильную установку, где уже находится эмульсия, добавляют
пшеничную муку и замешивают тесто.
Длительность и интенсивность процесса замеса на интенсивность протекания
биохимических, физико-химических и коллоидных процессов в тесте. С самого
начала замеса в тесте начинают происходить следующие процессы:
. Физико-химические и коллоидные (при замесе имеют наибольшее значение)
Основным процессом при замесе теста является набухание белков.
Нерастворимые в воде белковые вещества муки, образующие клейковину, при замесе
способны связать и поглотить воды в 2..2,5 раза большей своей массы, что
составляет 35..40 % добавленной при замесе воды. Из этого количества воды менее
четвертой части связывается адсорбционно, остальная часть - осмотически. Осмотическое
связывание влаги и вызывает в основном набухание и резкое увеличение объема
белков в тесте. В результате механического воздействия на набухшие белковые
вещества они как бы "вытягиваются" из содержащих их частиц муки в
виде пленок или жгутиков, которые в свою очередь соединяются (вследствие
слипания, а частично и образования химических связей-мостиков) между собой.
В результате этого набухшие водонерастворимые белки образуют в тесте
трехмерную, губчато-сетчатую, непрерывную, структурную основу- губчатый каркас,
который и обуславливает структурно- механические свойства пшеничного теста
(растяжимость и упругость).Это белковый каркас называется клейковинным. В тесте
в него вкраплены зерна крахмала и частицы оболочек. Крахмал муки,
взаимодействует с водой, связывает ее адсорбционно (поверхностно), поэтому
объем крахмальных частиц в тесте увеличивается незначительно.
. Биохимические процессы
Это гидролиз белков под действием протеолитических ферментов и гидролиз
крахмала под действием амилолитических ферментов. Вследствие этих процессов
увеличивается количество веществ, способных переходить в жидкую фазу теста, что
приводит к изменениям его структурно-механических свойств [38].
· Охлаждение теста
После замеса тесто отправляется в танк с рубашкой, где оно там
охлаждается. Тесто перед выпечкой охлаждают для того, чтобы температура теста
перед выпеканием не достигла 25..35 0С, так как при данной
температуре происходит ослабление клейковины теста, что приведет к его
разжижению, а это ухудшит структуру готового изделия. Кроме этого в танке тесто
проходит кратковременный процесс отлежки, что способствует частичному
восстановлению разрушенных отдельных звеньев клейковинного, структурного
каркаса после механического воздействия на тесто (явление тиксотропии). В итоге
структурно-механические свойства теста, его структура и газоудерживающая
способность улучшается [39].
· Выпечка вафельного полуфабриката
Охлажденное тесто дозировано подается в печь на разогретые плиты, на
которых выпекаются вафельные полуфабрикаты при температуре печи 150..170 0С.
Выпечка-это процесс, при котором выпекаемая тестовая заготовка (ВТЗ) в
пекарной камере, подвергаясь гигротермической и тепловой обработке,
превращается в готовое изделие, существенно отличающееся от исходной тестовой
заготовки размерами, внешним видом, ароматом, структурой, коллоидными,
физическими и другими свойствами. При этом на поверхности ВТЗ и внутри нее
протекает ряд сложных процессов. Процессы, протекающие при выпечке вафельного
полуфабриката, представлены в таблице 3.21.
Таблица 3.21 - Основные процессы, протекающие при выпечке вафельного
полуфабриката
|
Т 0 С
|
Процесс
|
|
1
|
2
|
|
300С
|
Набухание белков и
крахмала, ферментативное осахаривание крахмала
|
|
60…800С
|
Клейстеризация крахмала.
Денатурация (свертывание) белков. Белки при этом выделяют воду, поглощенную
при замесе теста, теряют эластичность и растяжимость. Свернувшиеся белки
образуют прочный каркас, закрепляя форму вафель. Прекращение ферментативной
активности.
|
|
80..1000С
|
Образование водяных паров и
их перераспределение по массе вафельного листа. Окончательное формирование
структуры вафельного полуфабриката.
|
|
100…1400С
|
Из крахмала, подвергшего
клейстареризации, образуются светлые декстрины желтого цвета.
|
|
140…1500С
|
Карамелизация (неполный
распад) сахаров. На начальных стадиях распада сахаров образуется вещества,
которые имеют приятный вкус. Однако при более высоких температурах богатые
сахаром продукты темнеют и приобретают горький вкус. Карамелизация сахарозы
протекает по следующей упрощенной схеме:
|
· Охлаждение
Выпеченные вафельные листы имеют температуру 150..170°С, их необходимо
охладить до комнатной температуры. Вафельные листы являются высокопористыми
изделиями, способными поглощать или отдавать влагу в процессе выстойки в
зависимости от остаточной влаги в них после выпечки и относительной влажности
окружающей среды. Эти процессы продолжаются до наступления равновесной влажности
и сопровождаются изменением линейных размеров листов, что является основной
причиной коробления и растрескивания листов в процессе выстойки. При охлаждении
молекулы белка объединяются, связываются между собой и уплотняют структуру,
которая становится более твердой и грубой. Молекулы крахмала тоже объединяются
и уплотняются. Объединение молекул называется ретроградацией [40].
· Увлажнение
Для того чтобы избежать коробления и растрескивания вафельного
полуфабриката, тем самым понизить отходы вафель на обрезке листов и не только.
Вафельные листы после охлаждения отправляются в камеру кондиционирования.
Там вафельный лист увлажняют до оптимальной влажности 5 % и отправляют на
обрезку вафельного полуфабриката. Увлажнение происходит с целью ослабления уплотненной
структуры из белков и крахмала, для того, чтобы при разрезании листа не
произошло его растрескивания [41].
3.5
Обоснование выбора технологического оборудования
На фабрике "Ферреро Руссия" при производстве вафельного
полуфабриката к основному оборудованию относят: тестомесильную машину, печь для
выпечки вафельного полуфабриката, камеру кондиционирования, машину для резки
вафельного полуфабриката, арочный охладитель-стабилизатор вафельных листов.
· Тестомесильная машина
Тестомесильная машина (тестомес) - один из видов оборудования,
используемого для замеса теста [42].
Основные функциональные элементы тестомеса - месильный орган, дежа и
приводной механизм.
Месильный орган тестомесильной машины в зависимости от его функциональных
особенностей может быть выполнен в виде спирали, петли (иногда двух), капли,
вилки, z-образные месильные органы, лопатки,
в той или иной степени имитирующий ручной замес теста. Наиболее эффективно
происходит перемешивание ингредиентов при работе z-образного месильного органа.
В зависимости от конструкции тестомесильной машины, дежа во время замеса
может быть неподвижная (тестомесы с месильным органом, совершающего планетарно
вращательное движение), может вращаться во время замеса, реже она свободно
укреплена на тестомесе и приводится в движение от вращения месильного органа.
Тестомесы с неподвижными дежами, но имеющими месильные органы производят более
качественный замес теста, чем другие конструкции, так как тесто, именно при
работе этого тестомеса, получается более однородным по структуре.
На предприятии используется тестомесильная машина непрерывного действия
марки СГЛ-1000 со стационарной емкостью и горизонтальной осью вращения
месильного органа. В данном дипломном проекте остается тестомес этой марки
[43].
Технические характеристики тестомесильной машины указаны в таблице 3.22
Таблица 3.22 - Технические характеристики тестомесильной машины СГЛ-1000
|
Наименование показателя
|
Значение показателя
|
|
1
|
|
Объем камеры смесителя
|
1000
|
|
Общая установленная
мощность электродвигателя, кВт в т.ч. смесителя
|
17,5
|
|
Удельный расход энергии,
кВт-ч/т
|
2,45
|
|
Габаритные размеры, мм
|
2700х 1600 х 2300
|
|
Масса, кг
|
1300
|
· Печи для выпечки вафельного полуфабриката
На фабрике для производства вафельного полуфабриката используют печи
марки HAAS.
В данном дипломном проекте остается печь той же марки, но
усовершенствованная. Все о печи и ее модернизации подробно описано в данном
дипломном проекте в разделе специальная разработка.
· Машина для резки вафельного полуфабриката
Машина для резки вафельного полуфабриката предназначена для предания
готовому изделию необходимой формы. Ножи в машине регулируются под необходимый
размер готового вафельного полуфабриката.
Технические характеристики машины для резки вафельного полуфабриката
указаны в таблице 3.23 [44].
Таблица 3.23 - Технические характеристики машины для резки вафельного
полуфабриката
|
Наименование показателя
|
Значение показателя
|
|
1
|
2
|
|
Мощность привода
|
0,37кВт/380В/3фаза/50Гц
|
|
Потребление сжатого воздуха
|
0,6 mpa250м 3/мин
|
· · Арочный охладитель-стабилизатор вафельных листов
Арочный охладитель способствует процессу естественного остывания, снижает
внутреннее напряжение свежеиспеченных вафельных листов, перед поступлением их
на формовку. Благодаря специальной арочной форме охладителя, обслуживающему
персоналу обеспечивается возможность проходить через производственную линию, и
иметь свободный доступ к любой ее части [45].
Основные технические данные:
Габариты: 500х 1300х 254 (мм)
· Камера кондиционирования
При производстве вафельных изделий вафельные листы необходимо увлажнить
до 4-5 % для предотвращения в дальнейшем трещин на готовой продукции.
Для этого применяются системы кондиционирования. Такая установка
позволяет точно регулировать температуру и влажность в соответствии с
требованиями технологического процесса. Наличие кварцевых ламп обеспечивает
полную стерильность внутри кондиционера-увлажнителя. Для облегчения
обслуживания и контроля за процессом работы кондиционер оснащен боковыми
дверцами.
Кондиционирование осуществляется следующим образом: влажный теплый воздух
по специальным каналам подается в камеру, где с помощью вентилятора
осуществляется его непрерывное циркулирование и равномерное распределение по
всему объему. Вафельные листы проходят через камеру, где происходит равномерное
увлажнение.
Камеры кондиционирования классифицируются по типу на: башенные и
туннельные.
На предприятии используется камера кондиционирования туннельная
"KTU". В данном дипломном проекте остается камера кондиционирования
этой марки [46].
Технические характеристики камеры кондиционирования KTU:
- Модульная конструкция для легкого повышения производительности;
- Рама из высококачественной стали - облицовка из
высококачественной стали с изоляцией из полиуретанового пенопласта толщиной 40
мм;
- Температура воздуха, относительная влажность и скорость
прохождения регулируются;
- Регулируемые заслонки для равномерного распределения
подготовленного воздуха в интегрированных в кондиционере воздушных каналах.
.6
Описание технологической схемы производства и оборудования
Производства вафельного полуфабриката начинается с доставки сырья на
фабрику. Муку, сахар, соль и соду поставщики сырья привозят в мешках. Жир и
лецитин поступает в герметичных упаковках.
Муку из мешков пересыпают в силос (1) и затем она направляется в
просеиватель (2). После просеивания очищенная мука с помощью сжатого воздуха
вырабатываемого станцией (3), направляется в бункер с дозатором (4) для
хранения. Из бункера мука дозированно поступает в тестомесильную машину (9) с
помощью шнекового транспортера (5) в уже приготовленную эмульсию.
Эмульсия готовиться из раствора растительного жира и лецитина,
сахар-песка, соли, соды, воды. Растительный жир уже в растопленном виде из цеха
подготовки дозировано с помощью шнекового насоса - дозатора (18) подается в
танк с рубашкой (8),температура воды в рубашке 60 °С. В танк (8)
кроме растительного жира также дозировано поступает уже предварительно
растопленный лецитин из танка с рубашкой (7), температура воды в танке 55 °С.
После естественного смешивания из танка (8) раствор растительного жира и
лецитина шнековым насосом-дозатором (18) направляется в тестомесильную машину
(9). Сахар-песок, соль, соду, в необходимых количествах насыпают из мешков в
промежуточную тару, перемешивают и высыпают в тестомесильную машину (9) для
приготовления эмульсии.
Когда все ингредиенты и вода (20 °С) для эмульсии поступят,
тестомесильная машина с помощью лопастного месильного органа начинает, готовит
эмульсию 5 мин. После приготовления эмульсии и последующего поступления муки
тестомесильная машина приготавливает тесто для вафельных полуфабрикатов.
Температура готового теста составляет 19 °С, а влажность теста 58
%..65 %.
Полученного тесто с помощью шнекового насоса (18) через фильтр (10)
проходит в танк с рубашкой (11) для промежуточного хранения. В рубашке танка
(11) температура воды поддерживается 18 °С. После охлаждения тесто с
помощью насоса шнекового (18) направляется в промежуточный танк для теста (12)
откуда подается на форсунки вафельной печи (13). Формование вафельных листов
осуществляется путем отливки заданной порции теста непосредственно в формы
печи. Выпеченные вафельные листы (при температуре печи 170-180 0С в
течение 2 минут). После выпекания готовый вафельный полуфабрикат по сетчатому
конвейеру(17) попадает на люльки охладительной арки (14), где охлаждается до
температуры воздуха в помещение цеха. Охлажденные вафельные листы по сетчатому
конвейеру (17) отправляются в камеру кондиционирования (15), где происходит
увлажнение полуфабриката в течение 1 минуты до 5 %, с помощью циркулирующего в
камере водяного пара. Приобретя необходимую влажность, вафельный полуфабрикат
поступает с помощью сетчатого конвейера (17) на машину для резки вафельных
листов (16), где разрезаются листы до нужной формы. Готовый вафельный
полуфабрикат отправляется в цех формовки.
3.7
Контроль производства
Для контроля качества сырья и готовой продукции на участке по
производству вафельного полуфабриката используют оборудование и измерительные
приборы, указанные в таблице 3.24.
Таблица 3.24 - Контроль производства
|
Стадия технологического
процесса, требующая контроля измерения
|
Наименование средств
измерений
|
Пределы показаний по шкале
|
Интервал измерения
|
Класс точности. Цена
деления. Погрешность
|
|
1
|
2
|
3
|
4
|
5
|
|
1.Дозирование муки
|
Автомукомер МД-200
|
0-200кг
|
10-200кг
|
Цена деления основной шкалы
1кг, погрешность 2%
|
|
2. Определение плотности
раствора
|
Ареометр общего назначения
по гост 18481-81 типа АОН-3
|
1000-1400кг/см 3
|
|
10 кг/см 3
погрешность 1%
|
|
3. Контроль температуры
охлаждения тесто
|
Тесто 108-2 стандартам
EN13485, НАССР
|
-50 - 3000С
|
-50 - 3000С
|
±0.50 С
|
|
4.Контроль температуры
пекарной камеры печи
|
Датчик температуры от 50оС-190
оС, ТСМ Метран 204
|
50-1900С
|
50-1900С
|
Погрешность ± 50 С
|
|
5. Контроль параметров
пара, подаваемых в печь
|
Манометр пружинного типа
МОШ 1-100
|
0,1-1 МПа
|
|
Класс точности 2,5
|
|
6.Контроль влажности
выпеченного полуфабриката до увлажнения
|
ВЧМ-2А
|
0-1800С
|
0-1800С
|
±10С
|
|
7. Контроль влажности в
увлажнителе
|
Канальный гигростат NKH-10
|
-10…+65 °С при влажности
<95% (без конденсации)
|
|
|
3.8 Дефекты изделия и способы их устранения
Дефекты, которые могут возникнуть при производстве вафельного
полуфабриката, представлены в таблице 3.25.
Таблица 3.25 - Дефекты изделия и способы их устранения
|
Дефект
|
Причина возникновения
|
Устранение дефекта
|
|
1
|
2
|
3
|
|
1. Сильная деформация
охлажденных вафельных листов (непропечённые вафли)
|
Малое время выпечки
|
Выпекать дольше и увеличить
температуру выпечки
|
|
2.Разная толщина вафельных
листов и неравномерное их выпекание
|
Большая вязкость теста
|
- Готовить тесто из
"слабой" муки, содержащей не более 32 % слабой клейковины;
-Диспергирование и гомогенизация жиросодержащих компонентов
|
|
3.Увлажнение, потеря хруста
|
Нарушение технологии
изготовления; хранения при повышенной влажности воздуха; колебания температур
при хранении
|
Соблюдение технологических
параметров
|
|
4.Прогорклый вкус и запах
|
Несоблюдение рецептуры
|
- уменьшить дозировку воды
при условии, что при перекачивании и розливе теста на вафельницы оно сохранит
свою текучесть; - уменьшить количество добавляемой соды, т.е. при этом
вафельница должна хорошо заполняться и вес вафель не должен резко возрасти; -
исключить из рецептуры те компоненты, которые впитывают слишком много воды; -
перейти на муку, требующую меньше воды.
|
|
5.Растрескивание и
расслаивание вафельного листа
|
|
|
|
6.Вафельные листы прогибаются
в одну сторону
|
Одна из 2-х вафельниц
горячее
|
Отрегулировать подачу газа
|
|
7.Вафельный лист перепечен,
происходит его растрескивание
|
Долгое время выпечки,
высокая температура
|
выпекать быстрее или
уменьшить температуру выпечки
|
|
9.На вафельном листе заметные
светлые пятна
|
Пекарная масса не создает
достаточного давления в вафельнице.
|
- уменьшить паровые
отверстия; - вафельную форму закрывать как можно быстрее; - закладывать
больше соды и/или воды; - уменьшить ширину заливки теста; - увеличить
температуру выпечки
|
|
10.Вздутие вафельного листа
|
Середина вафельного листа
плохо пропечена, содержание воды в этом месте более 3% и поэтому при
температуре выпечки середина листа остается мягкой. При открытии вафельной
формы под давлением пара внешние поверхности вафельного листа коробятся.
|
Выпекать дольше и/или при
более высокой температуре.
|
.
Расчетная часть
.1
Материальный расчет
) Расчет фонда рабочего времени по формуле 4.1 [47].
Тэфф= 365-(В+П+О+К), (4.1)
где Тэфф - количество рабочих дней в году;
В - выходные дни;
П - праздничные дни;
О - остановки на осмотр и текущий ремонт;
К - Остановки на капитальный ремонт.
Тэфф=365-(104+8+14)=239 сут/год или 239·24=5736 ч/год.
) Определяем часовую производительность цеха по производительности
вафельной печи туннельного типа по формуле 4.2 [47].
Рч= (а·b·m·60)/(r ·1000), (4.2)
где Рч - часовая производительность цеха по готовому продукту,
кг/ч;
a -
число форм в печи;
b -
число рядов в печи;
m -
масса готового изделия, г;
r -
время выпечки продукта, мин.
Рч = (88·1·72·60)/(2,07·1000)=184 кг/ч.
.2 Расчет
производственной рецептуры
1. Расчет производственной рецептуры [48]
Расчет представлен на расход сырья в (кг) на: загрузку, 4,56 (т) готовой
продукции выпускаемой за сутки, 190 (кг) готовой продукции выпускаемой за час.
Производственная рецептура вафельного полуфабриката представлена в
таблице 4.1
Таблица 4.1 - Производственная рецептура вафельного полуфабриката
|
Наименование сырья
|
Содержание сухих веществ в
сырье, %
|
Расход сырья, кг
|
|
|
На загрузку
|
На 4560 готовой продукции
|
На 190 готовой продукции
|
|
|
в натуре
|
в сухих веществах
|
в натуре
|
в сухих веществах
|
в натуре
|
в сухих веществах
|
|
1
|
2
|
3
|
4
|
5
|
6
|
7
|
8
|
|
1.Мука высшего сорта
|
85,5
|
172
|
147,06
|
4859,0
|
4154,44
|
201,24
|
172,06
|
|
2.Растительный жир
|
99,8
|
8
|
7,984
|
226
|
225,54
|
9,36
|
9,34
|
|
3.Лецитин
|
99,8
|
5
|
4,99
|
141,25
|
140,96
|
5,85
|
5,83
|
|
4.Сода
|
50
|
1,5
|
0,75
|
42,37
|
21,18
|
1,75
|
0,87
|
|
5.Сахар-песок
|
99,85
|
12
|
11,982
|
339,0
|
338,49
|
14,04
|
14,01
|
|
6.Соль
|
96,5
|
1,5
|
1,4475
|
42,37
|
40,88
|
1,75
|
1,68
|
|
Итого
|
|
200
|
174,213
|
5649,99
|
4921,49
|
233,99
|
203,79
|
|
Выход
|
95
|
161,37
|
153,30
|
4560
|
4330,91
|
190
|
180,1
|
Пример расчета:
· Расчет расхода сырья на загрузку
) Рассчитываем расход в сухих веществах, по формуле 4.3
СВ=в натуре · СВ(в сырье), (4.3)
где СВ - содержание сухих веществ, кг.
СВ (муки) = 172·85,5=147,06 (кг).
Аналогично рассчитывается и по другому сырью.
) Рассчитываем сумму расхода сырья по формуле 4.4 [48]
∑ СВ= ∑СВi, (4.4)
где ∑СВ - сумма сухих веществ всех компонентов, кг;
СВi - содержание сухих веществ, каждого
компонента в рецептуре.
∑СВ= 147,06+7,984+4,99+0,75+11,982+1,4475=174,2135 (кг).
∑ ВН= ∑ ВНi, (4.5)
где ∑ ВН - сумма компонентов в натуре, кг;
ВНi - содержание каждого компонента в
натуре, кг.
∑ ВН = 172+8+5+1,5+1,5+12= 200 (кг).
) Рассчитаем количество сухих веществ на выходе по формуле 4.6
СВ (вых.)= (∑СВ·(100-П))/100, (4.6)
где СВ (вых) - количество сухих веществ на выходе, кг;
∑СВ - сумма сухих веществ всех компонентов, кг;
П - потери на производстве, %.
Потери при производстве вафельного полуфабриката составляют 12 % [48].
СВ(вых.) = (174,2135·(100-12))/100=153,30788 (кг).
) Рассчитаем количество компонентов в натуре на выходе по формуле 4.7
ВН(вых.)= (СВ (вых.)·100)/(100-В), (4.7)
где ВН (вых.) - количество компонентов в натуре на выходе, кг;
СВ (вых.) - количество сухих веществ на выходе, кг;
В - влажность готового продукта,%.
Влажность готового продукта 5 % [48].
ВН(вых.)=(153,30788·100)/(100-5)= 161,376 (кг).
· Расчет сырья на 4560 кг и 190кг готового продукта
) Найдем коэффициент пересчета для сырья в натуре на 4560 кг и на 190
кг по формуле 4.8
Для 4560 кг, К=4560/ ВН(вых.), (4.8)
где К - коэффициент пересчета;
ВН(вых.) - количество компонентов в натуре на выходе, кг.
К=4560/161,376=28,25.
Для 190 кг, К=190/ ВН(вых.), (4.9)
где К - коэффициент пересчета;
ВН(вых.) - количество компонентов в натуре на выходе, кг;
К=190/161,376=1,17.
) Пересчитаем количество компонентов в натуре на 4560 кг и на 190 кг
готовой продукции о формуле 4.10
На 4560кг ВН(муки)=К ·ВН(загр.), (4.10)
где ВН - количество муки в натуре для 4400 кг, кг;
ВН(загр.), - количество муки на загрузку в натуре, кг;
К - коэффициент пересчета.
ВН(муки)= 28,25·172=4859,0 (кг).
На 190кг ВН(муки)=К ·ВН(загр р.), (4.11)
где ВН - количество муки в натуре для 184 кг, кг;
ВН(загр.), - количество муки на загрузку в натуре, кг;
К - коэффициент пересчета.
ВН(муки)= 1,17·172=201,24 (кг)
Аналогично пересчитываем все остальные компоненты рецептуры.
Пересчитав все сырье в натуре, продолжаем расчет расхода сырья аналогично
расчету расхода сырья на загрузку.
. Расчет проектной рецептуры
В данном дипломном проекте были установлены дополнительные секции на
вафельные печи HAAS. Данная
установка способствует уменьшению производительности и потерь при выпечке
вафельных полуфабрикатов. С учетом этого потери производства вафельного
полуфабриката стали в целом составлять 10 %. Расход сырья в (кг) на загрузку
стал рассчитываться на: 4,4 (т) готовой продукции выпускаемой за сутки, 184
(кг) готовой продукции выпускаемой за час.
Проектная рецептура вафельного полуфабриката представлена в таблице 4.2
Таблица 4.2 - Проектная рецептура вафельного полуфабриката
|
Наименование сырья
|
Содержание сухих веществ в
сырье, %
|
Расход сырья, кг
|
|
|
На загрузку
|
На 4400 кг готовой
продукции
|
На 184 кг готовой продукции
|
|
|
в натуре
|
в сухих веществах
|
в натуре
|
в сухих веществах
|
в натуре
|
в сухих веществах
|
|
1
|
2
|
3
|
4
|
5
|
6
|
7
|
8
|
|
1.Мука высшего сорта
|
85,5
|
172
|
147,06
|
4585,52
|
3920,6
|
190,92
|
163,23
|
|
2.Молочный жир
|
99,8
|
8
|
7,984
|
213,2
|
212,77
|
8,88
|
8,86
|
|
3.Лецитин
|
99,8
|
5
|
4,99
|
133,3
|
133,03
|
5,55
|
5,53
|
|
4.Сода
|
50
|
1,5
|
0,75
|
39,99
|
19,99
|
1,66
|
0,83
|
|
5.Сахар-песок
|
99,85
|
12
|
11,982
|
319,92
|
319,44
|
13,32
|
13,3
|
|
6.Соль
|
96,5
|
1,5
|
1,4475
|
39,99
|
38,59
|
1,66
|
1,6
|
|
Итого
|
174,213
|
5331,9
|
4644,42
|
221,99
|
193,35
|
|
Выход
|
95
|
165,04
|
156,792
|
4400
|
4179,97
|
184
|
174,01
|
Расчет проектной рецептуры с учетом потерь производится аналогично
расчету производственной рецептуре. Данные по расходу сырья в натуре на час и
сутки сведены в таблицу 4.3.
Таблица 4.3 - Расход сырья в натуре на час и сутки.
|
Наименование сырья
|
Расход сырья в натуре, кг
|
|
Производственная рецептура
|
Проектная рецептура
|
|
На 1ч (на 190 кг)
|
На сутки (на 4560 кг)
|
На 1ч (на 184 кг)
|
На сутки (на 4400 кг)
|
|
1
|
2
|
3
|
4
|
5
|
|
1.Мука высшего сорта
|
201,24
|
4859,0
|
190,92
|
4585,52
|
|
2.Молочный жир
|
9,36
|
225,54
|
8,88
|
213,2
|
|
3.Лецитин
|
5,85
|
140,96
|
5,55
|
133,3
|
|
4.Сода
|
1,75
|
21,18
|
1,66
|
39,99
|
|
5.Сахар-песок
|
14,04
|
338,49
|
13,32
|
319,92
|
|
6.Соль
|
1,75
|
40,88
|
1,66
|
39,99
|
|
Итого
|
233,99
|
4921,49
|
221,99
|
5331,9
|
|
Выход
|
190
|
4330,91
|
184
|
4400
|
Как видно из таблицы 4.3 расход сырья в натуре на час и на сутки меньше в
проектной рецептуре, чем в производственной рецептуре. Это говорит о том, что
потери при установке аппаратов в проекте, способствует уменьшению расходов
сырья при производстве вафельного полуфабриката, за счет чего увеличивается
экономия энергетических ресурсов.
.3 Расчет
единиц оборудования
1. Рассчитаем коэффициент использования аппаратов. Необходимые для
этого данные представлены в таблице 4.4 [49]
Таблица 4.4 - Длительность ремонта и технологических остановок
|
Вид ремонта и остановок
|
Норма ресурса между
ремонтами, ч
|
Длительность ремонта, ч
|
|
Капитальный
|
4020
|
336
|
|
Текущий
|
625
|
9
|
|
Технологические остановки
|
240
|
3
|
Календарный фонд рабочего времени Тэфф=239 суток;
Количество рабочих часов в смену КРЧ=12 ч;
Коэффициент использования рассчитаем по формуле 4.12
(4.12)
1) Рассчитаем количество силосов необходимых для хранения муки на 7
суток [49]
Количество аппаратов определяется по формуле 4.13
, (4.13)
где Mч - часовой расход продукта, т;
Кисп - коэффициент использования.
Производительность силоса для муки Q= 5,4 т/ч.
N =
(0,19·24·7) / (5,4·0,9) =6,56 - количество силосов принимаем 7.
) Рассчитаем количество просеивателей для муки
Производительность просеивателя Q=5,4т/ч
N=
(0,19·24) /(5,4· 0,9)=0,93,количество
просеивателей принимаем за 1.
) Рассчитаем количество силосов (V=2т-3т) для хранения муки на сутки
Для определения количества силосов для просеянной муки найдем объем муки
просеянной для выпечки 184 кг вафельного полуфабриката
V=m/p, (4.14)
где m- масса муки, кг;- плотность насыпная
муки, кг/м 3.
V=
190,92/590=0,32(м 3) - объем муки на 1 час
На сутки V=0,32 ·24= 7,76(м
3)
m=7,76·590=4578,4
кг.
Для хранения просеянной муки на сутки не достаточно одного силоса
V=2т-3т,
необходимо 2.
) Рассчитаем количество тестомесов
Для определения количества тестомесов для приготовления теста для 184 кг
вафельного полуфабриката найдем объем дежи тестомесильной машины.
V= (a·b·c)/109,
(4.15)
где a - длина дежи, мм;
b -
ширина дежи, мм;
c -
высота дежи, мм.
V=
(3900·985·1780)/109=6,83 м 3=6830 л.
Рассчитаем норму загрузки на 100л геометрического объема дежи
q=Mд·100/ V,
(4.16)
где q - норма загрузки на 100л
геометрического объема дежи, кг;
Mд
-количество муки,
загружаемой в дежу для замеса, кг;
V -
объем дежи, л.
q=(190,92·100)/
6830=2,79 кг.
Рассчитаем количество деж
Д= (Mд·100)/(q·V) (4.17)
Д=(190,92·100)/(2,79·6830)=1,00 - количество тестомесильных машин
принимаем 1.
) Рассчитаем количество промежуточных резервуаров (V=1,5т) для охлаждения теста на сутки
Для расчета количество промежуточных резервуаров предварительно
рассчитаем объем занимаемый тестом для 42 кг/час готового вафельного
полуфабриката.
V=Vмуки+ Vводы, (4.18)
где Vмуки - объем загружаемой муки, м 3;
Vводы
- объем воды
необходимый для замеса, м 3.
Vводы=mводы=Mмуки·100/(100-В) - ∑ ВН, (4.19)
где mводы - масса воды пошедшая на замес, кг;
Mмуки
- масса муки
пошедшая н замес, кг;
В - влажность теста,%;
∑ ВН - сумма расхода сырья в натуре, кг.
Vводы=(190,92·100/(100-63))-221,99=294,01
м 3.
V=0,32+294,01
=294,33 м 3- объем для теста необходимый на час,
V=294,33·24=7063,92
м 3-объем для теста необходимый на сутки,
m=V·p, (4.20)
где m -масса теста приготовленного на
сутки, кг;
p -
плотность теста, кг/ м 3.
m=7063,92·1,2=8476,7
кг - количество промежуточных резервуаров (V=1,5т) для охлаждения теста на сутки принимаем 6.
) Рассчитаем количество охладительных арок
Рассчитаем нужную производительность охладительной арки для 184 кг
готового вафельного полуфабриката.
Q = М/g, (4.21)
где М - количество готового вафельного полуфабриката, кг;
g -
масса одного вафельного листа, кг.
Q =
184/0,072=2556 лист/час.
Производительность установленной охладительной арки Q=1280 лист/час - поэтому двух
охладительных арок будет достаточно.
) Рассчитаем количество увлажнительных камер для вафельных
полуфабрикатов
Необходимая производительность камеры кондиционирования будет такая же,
как и у охладительной арки Q=2556
лист/час.
Производительность установленной в цеху камеры кондиционирования
составляет Q=1300 лист/час - поэтому двух камер
кондиционирования будет достаточно.
4.4 Теплоэнергетический расчет
Рассчитаем теплообменник - подогреватель [50] предназначенный для
подогрева лецитина до температуры 55 0С.
Производительность теплообменника - m= 595кг/ч;
Масса воды в рубашке - m=30
кг/ч;
Начальная температура лецитина на входе - tн= 40 0С;
Конечная температура лецитина на выходе - tк= 55 0С;
Температура воды на входе - tв.н= 65 0С;
Температура воды на выходе - tв.к= 50 0С;
Удельная теплоемкость лецитина с=2,18 кДж/(кг·К);
Удельная теплоемкость воды - с=4,187 кДж/(кг·К);
Потери с окружающую среду составляют- П= 5 %.
) Тепловая нагрузка на теплообменник - подогреватель
Q= c·m·(tк- tн) + c·m·(tв.н - tв.к)+(1-П/100),
(4.22)
Q=2,18·595·(55-40)+4,187·30·(65-50)+(1-5/100)=
=19456,5+1884,15+0,95=21341,6кДж=5928,22кВт-за час
Q=5928,22·23=136349,06к
Вт- за сутки
) Рассчитаем, сколько энергии тратиться на приготовление 1кг готового
вафельного полуфабриката данным теплообменником.
Q
п=Q/966=136349,06/966=141,14 кВт/кг.
5. Специальная разработка
В данном дипломном проекте модернизирована технологическая линия по
производству вафельного полуфабриката, действующая на ЗАО "Ферреро
Руссия".
В отличие от действующего производства в работе внесен ряд изменений:
введены две дополнительные секции для печей (по одной секции на каждую печь), с
целью улучшения качества производимого изделия.
Рассмотрим, такое оборудование, как печь по производству вафельного
полуфабриката поподробнее.
Печи по ряду признаков могут быть следующих видов [51]:
в зависимости от обогрева пекарной камеры печи подразделяться на
канальные, в которых теплота в пекарную камеру от продукта сгорания топлива -
дымовых газов передается излучением через стенки каналов; с пароводяным
обогревом и передачей теплоты через стенки нагревательных трубок; с обогревом
пекарной камеры паром высокого давления, движущимся по паропроводам; с газовым
обогревом, в которых газ сжигается в пекарной камере; с электрическим
обогревом.
Наиболее распространены и удобны в обслуживание и с экономической точки
зрения выгодные печи с электрическим обогревом.
в зависимости от конструкции пекарной камеры печи делятся на тупиковые, в
которых посадка тестовых заготовок и выгрузка выпеченного вафельного полуфабриката
идут с одной стороны; сквозные (тоннельные), в которых эти операции
осуществляться с разных сторон;
в зависимости от площади пода печи делятся на поды с площадью до 10м2,
до 25м2, свыше 25 м2. Большую производительность дают
печи, имеющие под площадью свыше 25 м2.
в зависимости от конструкции пода печи делятся на печи с конвейерным
подом, выполненным в виде металлической сетки (ленты), а также в виде цепных
конвейеров с подвешенным к цепям люльками-подиками. Под может быть стационарным
и выдвижным.
На некоторых заводах используют конвейерные тупиковые печи, в которых
можно выпекать практически все виды вафельных изделий. Недостатком этих печей
является то, что их трудно устанавливать в автоматичные паточные линии. Поэтому
большинство производителей вафельной продукции выбирают печи конвейерные
тоннельные. Эти печи относятся к печам средней и большой производительности и
очень удобны для установления в автоматически паточные линии [51].
На фабрике используют печь марки НААS. В данном дипломном проекте остаются печи данной марки.
Печь НААS имеет следующие технические
характеристики:
- с газовым обогревом, 112 - 176 пар пекарных плит,
форматы до 350 x 730 мм;
- самонесущие пекарные плиты из серого чугуна для длительного срока службы,
оптимальное энергопотребление и равномерная окраска вафельного листа;
- двухкамерная система нагрева обеспечивает эффективный обогрев
пекарных плит в изолированной внутренней камере и увеличивает жизненный цикл
механических частей во внешней камере;
- съем вафельных листов осуществляется приемным барабаном при
использовании пониженного давления;
- автоматическая регулировка температуры и регистрация
производственных данных;
- интегрированная система отвода отработавших газов;
- производительность - до 3000 ваф. листов/час;
- расход газа - 816 МДж/час;
- габаритные размеры Д х Ш х В: 12418х 1705х 2050 мм;
- масса: 10000 кг.
Способ работы печи НААS
Тесто в печь поступает в промежуточный резервуар, откуда непрерывно идет
потоком на распределяющиеся форсунки. С форсунок тесто равномерно наливается на
плату для выпечки вафельных полуфабрикатов необходимой формы. После этого форма
автоматически закрывается и отправляется на выпечку по конвейеру туннельной
печи. Выпеченные готовые вафельные листы после раскрытия платы на выходе печи
направляются дальше по конвейеру на увлажнение, а плата снова направляется на
заполнения тестом.
Обогрев печи осуществляется с помощью природного газа подпитанного
воздухом. Газ поступает на горелки для обогрева форм. Продукты сгорания газа
выходят из печи с помощью местной вытяжной системы.
В данном дипломном проекте происходит усовершенствование печи,
установленной на ЗАО "Ферреро Руссия", с помощью добавления еще одной
дополнительной секции. Необходимость еще одной секции для печи обусловлена тем,
что на выходе из печи вафельный полуфабрикат имеет не равномерное пропекание.
Происходит это из-за того, что форма нагревается гораздо больше, чем плата,
посаженная на форму, но так как форма закрывает не всю плату, то происходит
неравномерность пропекания. Дополнительная секция поспособствует снижению
разности температур формы и платы за счет снижения температуры печи, да
оптимальной, что ведет к увеличению времени выпечки полуфабриката.
Улучшение качества пропекания вафельного полуфабрикат, ведет не только к
тому, что улучшиться качество выпускаемого кондитерского изделия, но и
сократиться брак при производстве вафельного полуфабриката.
Ниже представлены расчетные доказательства необходимости установки еще
одной секции для печи HAAS.
) Рассчитаем излучение между газом и поверхностью твердого тела
(формы) по формуле 5.1 [52].
qИЗ= Q/F= 4,90· Ɛэ·Ɛг·(Tг/100)4- Aг·(Tс/100)4] (5.1)
где: Tг, Tс- абсолютные температуры газа и поверхности стенки в 0К;
Так как степень черноты ограничивающей газ поверхности Ɛс=0,7,то
эффективная степень черноты поверхности
Ɛэ= (Ɛс+1)/2 (5.2)
Степень черноты газа
Ɛг= ƐСО 2·(ρ СО 2·l, tг)+ ƐH2O·(ρH2O·l, tг)·b(ρH2O· l, ρH2O) - Δ Ɛг (5.3)
(Все степени черноты находятся по диаграммам в [54])
Поглощающая способность газа при температуре стенки tc 0C,
Aг=A СО 2+ AH2O+
ΔAг (5.4)
(значение поглощательных способностей газа определяются по диаграммам в
[52]).
Ɛг=0,175+0,33·1,075=0,5298;
Aг=0,45+0,261=0,711;
qИЗ=4,90·0,85·[0,529·(1159/100)40,71·(443/100)4]=4,9·0,85·[9545,29-
273,44]=38617,25(ккал/м 2час) - 39 форм,
для 1 формы нужно qИЗ= 990,18(ккал/м 2час).
) Рассчитаем количество теплоты, которое передается от формы к тесту
по формуле 5.5 [52].
Q=(c0+ω/100)Gсухdt+a(t-tB)Sdr+qK+q| rxlSdr,
(5.5)
Где: c0 - Теплоемкость абсолютно сухого материала, ккал/кг*град;
ω - Влажность материала, %;
Gсух- вес абсолютно сухого материала, кг;
qK - передача тепла контактным путем;
qK= ƛ/ð·FkΔt
где: Fk-поверхность контакта;
ƛ и ð- коэффициент теплопроводности и толщина паровоздушного
слоя, определяемые экспериментально;
Δt- соответствующий перепад температур;
а - суммарный коэффициент теплообмена, ккал/м2град;
t и tB- температура тела и окружающего
воздуха, 0С;
S-
площадь облучаемой поверхности, м2;
q|- начальная интенсивная скорость
испарения, кг/м 2ч;
x -
показатель поглощения излучения,1/м;
l -
глубина проницаемости вещества лучистым потоком от его наружной поверхности, м.
Q=(0,55+1/100)·0,072+17·(170-17)·0,15+
(56·2)/3,5·0,15·(170-17)=
=354, 25 (ккал/м 2ч) - количество тепла передаваемого от формы
- тесту.
) Рассчитаем количество теплоты, передаваемой от платы - тесту по
формуле 5.6 [53].
,86АЕS0dr=Gcdt+aK(t-tB)Sdr+4,9Ɛпр[(T/100)4-(Tc/100)4]·Sdr+q|rl
(5.6)
где: А-коэффициент поглощения излучения облучаемым телом;
Е- плотность облучения-плотность лучистого потока по облучаемой
поверхности, вт/м 2;
S0 и S - площадь облучаемой и полной поверхностей тела, м 2;
r-
время от начала облучения, ч;
G- вес
облучаемого тела, кг;
с- теплоемкость облучаемого тела, ккал/кг·град;
Ɛпр- приведенная степень черноты облучаемого тела и
внутренних ограждений сушилки;
ак - коэффициент теплоотдачи конвекции, ккал/м 2 ч
град;
t и tB- температура тела и окружающего
воздуха, 0С;
q|- начальная интенсивная скорость
испарения, кг/м 2ч;
x -
показатель поглощения излучения,1/м;
l -
глубина проницаемости вещества лучистым потоком от его наружной поверхности, м.
После различных преобразований уравнение примет следующий вид:
,86АЕdr=сγ/σŠdt+аŠ(t-tB)dr+ q|rŠ
dr (5.7)
где:
Š - отношение площадей полной
поверхности и облучаемой ее части;
Š= S/S0
σ - отношение площадей полной
поверхности облучаемого тела к его объему;
σ= S/V
γ- удельный вес облучаемого тела, кг/м 2.
Разделив переменные в полученном дифференциальном уравнении и заменив в
нем:
В= (0,86АЕ - q|rŠ)
σ/ сγ
Š и D= - σа / сγ;
Получим окончательный вид уравнения теплового баланса облучаемого тела:
eDri = (B+D(ti-tB))/(B+D(tH-tB))=
(ti-tB)/(tH-tB) (5.7)
где:
ti - температура готовности изделия, 0С;
tB и tH -
температура воздуха и начальная температура теста, 0С.
ti=127 0С
Найдем qИЗ=0,86АЕ S0:
В= (0,86АЕ - q|rŠ)
σ/ сγ,
в данном уравнении значение q|rŠ-
очень мало и мы им
пренебрегаем, с учетом этого преобразовывая уравнение (5.7) получаем:
,25=(B+D(127-170))/(B+D(17-170));
,25B+0,25 D(17-170)= B+D(127-170);
Зная, что D= - σа / сγ, то получаем D=- 41, 18;
Подставляем в уравнение, получаем:
,25В - В=+41,18(17-170)-41,18(127-170);
,75В= -6300,54+1770,74;
,75В=-4529,8;
В=6039,73.
Получившееся значение подставим в уравнение:
,73=(0,86 АЕ · σ) / сγ Š;
,730,86·24·1/50= 0,86 АЕ;
,20= 0,86 АЕ;
qИЗ=0,86АЕ S0,
значит qИЗ=2493,20·0,15=374,98 (ккал/м 2ч)
Разница между Q от платы к тесту
и Q от формы к тесту составляет 19,73
ккал/м 2ч, для того чтобы снизить разницу между значением необходимо
понизить подачу газа в печи, тем самым понизить температуру в печи до
оптимальной. При этом соблюдая, тот факт, что продукт должен быть в конце
процесса пропеченным.
После проверочных расчетов была найдена оптимальная температура процесса
158 0С.
Подставив данное значение в уравнение (5.5) получили, что Q=374 ккал/м 2ч, количество
теплоты, переданное от формы к тесту. Как видно данное значение практически
равно количеству теплоты переданное от платы к тесту.
Найдя оптимальную температуру равномерного пропекания вафельного
полуфабриката, необходимо проверить, сколько времени потребуется на процесс при
данной температуре. Для этого воспользуемся уравнением (5.7):
eDri = (128-158)/(17-158)=0,21
r=2,25
(мин), для того, чтобы вафельный полуфабрикат находился именно столько времени
в печи нужно удлинить печь. Для того на сколько секций нужно удлинить печь
произведем расчеты по формуле:
L=Π(l+δ)·r/ZnF (5.8)
Где: Π - производительность сушилки, м 2/ч;
r-продолжительность
сушки, ч;
l -
длина листа, м;
δ - расстояние между листами по длине
сушилки, м;
Z -
число ярусов в сушилке;
n -
число листов по ширине сушилки;
F -
площадь одного листа, м 2.
L=200·(0,5+0,02)·0,0375/1·1·0,15=13
м.- установленная печь на фабрике в длину составляет 11,5 м для того, чтобы она
была необходимой длины нужно установить еще одну секцию.
В данном дипломном проекте усовершенствование печи HAAS установленной на фабрике ЗАО "
Ферреро Руссия" осуществляется за счет установки еще одной дополнительной
секции. Такого рода модернизация способствует:
) улучшению качества готового вафельного полуфабриката, за счет того, что
установка секции поспособствует не только сбалансированию температурного режима
внутри уже существующей печи, что приведет к равномерному пропеканию,
) возможности вести процесс при тоже скорости линии, гарантируя выпекания
готового вафельного полуфабриката.
6.
Автоматизация технологических процессов
В проекте рассмотрена система автоматического управление печи для выпечки
вафельного полуфабрикат с применением микропроцессорного контроллера МФК. Печь
для выпечки вафельного полуфабриката представляет собой ротационную печь
туннельного типа.
В печь тесто поступает из промежуточных танков на распределительные
форсунки, откуда подается на формы. Расход теста на подачу, составляет 903 ±
0,5 л/ч. Выпекается вафельный полуфабрикат в течение 2,5 минут, при выпечке
ведется контроль температуры на нижней и верхней плате печи (170±10) 0С, а также за
скоростью движения пода (10¸20 м/ч). Для поддержания необходимой температуры в печи
происходит регулирование на линии подачи газа (1¸3 кПа), и в соотношении 1:3 к
природному газу регулируется давление на линии подачи воздуха (0,02¸0,07 МПа). Перечень контролируемых и
регулируемых параметров представлен, в таблице 6.1.
Таблица 6.1 - Перечень контролируемых и регулируемых параметров
|
Наименование параметра
|
Заданные значения
|
Отображение показателей
|
|
|
показание
|
регистрация
|
суммирование
|
Сигнализация
|
РК
|
Наименование РК
|
|
1.Расход теста на подачу
|
903±0,5 л/ч
|
+
|
-
|
-
|
-
|
+
|
Управление насосом подачи
теста (М 1)
|
|
2. Температура нижней платы
|
170±10 0С
|
+
|
+
|
-
|
-
|
-
|
-
|
|
3. температура верхней
платы
|
170±10 0С
|
+
|
+
|
-
|
-
|
-
|
-
|
|
4. Давление на линии подачи
природного газа(с коррекцией по температуре нижней и верхней платы)
|
1¸3 кПа
|
+
|
-
|
-
|
+
|
+
|
Изменение подачи природного
газа
|
|
5.Давление на линии подачи
воздуха (в соотношение 1:3 к природному газу)
|
0,02¸0,07 МПа
|
+
|
-
|
-
|
+
|
+
|
Изменение подачи воздуха
|
|
6. Скорость движения пода
|
10¸20 м/ч
|
+
|
-
|
+
|
-
|
-
|
Автоматическая система управления технологическим процессом включает в
себя 3 контура регулирования и 3 контура контроля. Контуры регулирования:
. Регулируется расход теста на подачу путем изменения подачи теста.
2. Регулируется давление на линии подачи природного газа путем
изменения подачи природного газа.
. Регулируется давление на линии подачи воздуха.
Контуры контроля:
. Контролируется температура нижней платы.
2. Контролируется температура верхней платы.
. Контролируется скорость движения пода.
Разберем работу контура регулирования, а именно контур регулирования
давления на линии подачи воздуха. Давление воздуха измеряется датчиком Метран-150-CGR (позиция 5а). Клапан КМР ЛГ 101 НЖ
50 40,0 НЗ УХЛ(1) (позиция 5в), установленный на линии подачи воздуха в печь,
регулирует подачу воздуха и тем самым стабилизирует давление воздуха и
регулирует соотношение газ: воздух (1:3).
Типы выбранных приборов и средств автоматизации, сгруппированные по
параметрам, представлены в таблице 6.2 [54].
Таблица 6.2 - Спецификация на проборы и средства автоматизации
|
Номер позиции
|
Наименование
|
Тип
|
Количество
|
Примечание
|
|
1
|
2
|
3
|
4
|
5
|
|
Многофункциональный
контролер МФК 1500 шасси 8 посадочных мест ЗАО "Теколн" г. Москва
|
|
1а
|
Датчик для измерения
перепада давлений (расхода), фланцевое исполнение. Пределы измерений 0,025
кПа ÷
10 Мпа. Измеряемая среда: тесто.
|
Метран - 350
|
1
|
-
|
|
2а,3а
|
Датчик температуры с
пределом измерений -50оС-180 оС, Измеряемая среда: газ,
жидкость
|
ТСМ Метран 204
|
2
|
-
|
|
4а,5а
|
Датчик для измерения
избыточного давления, компланарное исполнение. Верхний предел измерений:
0,025 кПа ÷
10 МПа
|
Метран-150-CGR
|
2
|
-
|
|
6а
|
Цифровой тахометр
предназначен для измерения линейной (м/мин) и круговой (об/с; об/мин)
скорости.
|
М-21
|
1
|
-
|
|
1б
|
Частотный преобразователь.
Диапазон мощностей 0,75 кВт - 315 кВт, Питание 380 В, 50 Гц
|
ВЕСПЕР EI-7011
|
1
|
-
|
|
4б, 5б
|
Пускатель бесконтактный
реверсивный
|
ПБР-2М
|
1
|
-
|
|
4в, 5в
|
Клапан малогабаритный регулирующий
с электропневмопозиционером Sipart PS2
|
КМР ЛГ 101 НЖ 50 НЗ УХЛ(1)
|
2
|
-
|
. Охрана
труда
.1 Анализ
степени опасности технологического процесса
Оценка степени опасности технологического процесса производства
вафельного полуфабриката, для кондитерских изделий представлена в таблице 7.1
Таблица 7.1 - Оценка степени опасности технологического процесса
|
Наименование отделения или
стадии технологического процесса
|
Наименование оборудования
|
Кол-во оборудования
|
Производительность,
технологической линии ед. продукции /ед. времени
|
Технологические параметры (t, P и
др.)
|
Перечень обращающихся
веществ
|
Кол-во людей, обслуживающих
оборудование
|
Вредные и опасные факторы
|
|
1
|
2
|
3
|
4
|
5
|
6
|
7
|
8
|
|
Участок подготовки сухих
компонентов
|
Открытый силос для муки
|
1
|
184 кг/час
|
tР.З
|
Мучная пыль
|
1
|
физические перегрузки:
поднятия груза более 10кг. Взаимодействие с веществами 3 класса опасности, с
взрывоопасными веществами, шум, электрический ток, статическое электричество
|
|
Мукопросеивательная машина
|
1
|
|
tР.З
|
Мучная пыль
|
1
|
|
|
Смешение вручную сухих
компонентов
|
|
|
tР.З
|
Пыли сахара, соли, соды
|
1
|
|
|
Участок приготовления
вафельного полуфабриката
|
Силос промежуточный для
муки
|
1
|
184 кг/час
|
tР.З
|
Мучная пыль
|
1
|
вещества 3 класса
опасности. Взрывоопасные вещества, электрический ток, статическое
электричество
|
|
Танк с лецитином
|
1
|
|
510-470
|
Лецитин
|
1
|
нагретые стенки
оборудования, взаимодействие с горючим веществами
|
|
Танк с растительным жиром и
лецитином
|
1
|
|
530-500
|
Растительный жир
|
1
|
|
|
Кнеттер (смеситель для
теста)
|
1
|
|
20 0С
|
Эмульсия и мука
|
1
|
Вибрация, электрический
ток, взрывоопасные вещества
|
|
Танк для теста
|
1
|
|
190-170
|
Тесто
|
1
|
-
|
|
Промежуточные танки с
тестом
|
2
|
|
190-17 0
|
Тесто
|
1
|
-
|
|
Печи для выпечки вафельного
полуфабриката
|
2
|
|
1580-1840
|
СО, природный газ
|
2
|
шум, взрывоопасные
вещества, нагретые стенки оборудования.
|
|
Арка охлаждения и
стабилизации
|
2
|
|
tР.З
|
-
|
1
|
Вибрация, электрический ток
|
|
Камера увлажнения
|
2
|
|
tР.З
|
-
|
1
|
вибрация, электрический
ток.
|
|
Участок приготовления
вафельного полуфабриката
|
Стол для обрезки вафельного
полуфабриката
|
4
|
184 кг/час
|
tР.З
|
-
|
2
|
вибрация, электрический
ток, движущие части технологического оборудования
|
|
Вспомогательное
оборудование
|
Вентовые насосы
|
7
|
|
tР.З
|
-
|
1
|
вибрация, электрический
ток, шум
|
|
Вентовые насосы дозаторы
|
2
|
|
tР.З
|
-
|
1
|
вибрация, электрический
ток, шум
|
|
Ленточный конвейер
|
10
|
|
tР.З
|
-
|
3
|
Вибрация, электрический
ток, движущиеся части технологического оборудования
|
|
Станция для сжатого воздуха
|
1
|
|
Р=0,3 Бар, tР.З
|
-
|
1
|
Вибрация, электрический ток
|
7.2 Микроклиматические условия
Метеорологические условия - это совокупность физических параметров
воздуха, таких как температура, влажность, скорость движения и давление.
В соответствии с ГОСТ 12.1.05-88 [55] и СанПиН 2.2.4.548-96 [56] для
создания здоровых безопасных условий труда необходимо предусматривать
мероприятия, обеспечивающие санитарно-гигиенические требования, предъявляемые к
микроклиматическим условиям воздуха рабочей зоны. Эти требования зависят от
тяжести выполняемых работ и периода года.
На участке подготовки сыпучих компонентов выполняются работы, связанные с
ходьбой, перемещением и переносом тяжести свыше 1кг до 10кг и сопровождающиеся
умеренным физическим напряжением. Данный вид работ относят к работам 2б
категории тяжести.
На участке приготовления вафельного полуфабриката выполняются работы
связанные с постоянными передвижениями, перемещением и переноской значительных
(свыше 10 кг) тяжестей и требующие физических усилий. Данный вид работ относят
к работам 3-ей категории тяжести.
Зависимость метеорологических условий от категории тяжести выполняемых
работ и периода года представлены в таблицах 7.2 и 7.3.
Таблица 7.2 - Оптимальные величины показателей микроклимата на рабочих
местах [56]
|
Период года
|
Категория тяжести
выполняемых работ
|
Темпера-тура
воздуха, 0С
|
Относительная
влажность воздуха, %
|
Скорость движения воздуха,
не более, м/с
|
|
1
|
2
|
3
|
4
|
5
|
|
Участок подготовки сыпучих
компонентов
|
|
Холодный
|
3
|
16-18
|
60-40
|
0,3
|
|
Теплый
|
3
|
18-20
|
60-40
|
0,3
|
|
Участок приготовления
вафельного полуфабриката
|
|
Холодный
|
2б
|
17-19
|
60-40
|
0,2
|
|
Теплый
|
2б
|
19-21
|
60-40
|
0,2
|
Таблица 7.3 - Допустимые величины показателей микроклимата на рабочих
местах [56]
|
Период года
|
Категория тяжести
выполняемых работ
|
Температура воздуха, 0С
|
Относительная влажность
воздуха, %
|
Скорость движения воздуха,
не более, м/с
|
|
1
|
2
|
3
|
4
|
5
|
|
Участок подготовки сыпучих
компонентов
|
|
Холодный
|
3
|
13-21
|
15-75
|
0,4
|
|
Теплый
|
3
|
15-26
|
15-75
|
0,5
|
|
Участок приготовления
вафельного полуфабриката
|
|
Холодный
|
2б
|
15-22
|
15-75
|
0,4
|
|
Теплый
|
2б
|
16-27
|
15-75
|
0,5
|
Для обеспечения нормативных значений метеорологических условий
предусматриваем следующие меры:
)установление комбинированной системы механической вентиляции;
) осуществление отопления в холодный период года;
)обеспечение теплоизоляции стенок нагретого оборудования (печей, танков с
лецитином и растительным жиром).
.3 Оценка
уровня загрязнения воздушной среды вредными веществами
Технологические процесс производства вафельного полуфабриката для
кондитерских изделий связан с использованием вредных веществ, которые могут
поступить в воздух рабочей зоны в момент загрузки ингредиентов в оборудование и
при неисправности вентиляционной установки.
Для снижения нежелательных последствий, которые могут возникнуть при
контакте человека с вредными веществами, необходимо провести оценку степени
опасности веществ, используемых в технологическом процессе.
Показатели, характеризующие степень опасности веществ и материалов,
представлены в таблице 7.4.
Таблица 7.4 - Показатели, характеризующие степень опасности веществ и
материалов [57-58]
|
Наименование участка,
оборудования
|
Выделяемые вещества,
причины их выделения
|
Агрегатное состояние
веществ
|
ПДК, мг/м3
|
Класс опасности
|
Воздействие на организм
человека
|
|
1
|
2
|
3
|
4
|
5
|
6
|
|
Участок подготовки сыпучих
компонентов
|
Просеивание сахара-песка
|
Органическая пыль
|
6
|
3
|
Раздражающе, аллергическое
|
|
Просеивание муки
|
Органическая пыль
|
6
|
3
|
Раздражающе, аллергическое
|
|
Просеивание гидрокарбоната
натрия
|
Неорганическая пыль
|
5
|
3
|
Раздражающе, аллергическое
|
|
Просеивание соли
|
Неорганическая пыль
|
5
|
3
|
Раздражающе, аллергическое
|
|
Печи для выпечки вафельного
полуфабриката, HAAS
|
Утечка лецитина в связи с
разгерметизацией оборудования
|
Жидкость
|
10
|
4
|
Раздражающе, аллергическое
|
|
Утечка природного газа
|
газ
|
7000
|
4
|
Токсическое, раздражающие
|
|
Утечка углерод оксида
|
газ
|
20
|
4
|
Сильное токсическое,
раздражающие
|
|
Утечка углекислого газа
|
газ
|
30
|
4
|
Токсическое, раздражающие
|
|
Образование углерод (Сажа)
|
Неорганическая пыль
|
4
|
3
|
Раздражающе, аллергическое
|
|
Мойка и дезинфекция
оборудования
|
С 2Н 4ОН
|
Пары (быстро испаряющаяся
жидкость)
|
2000
|
4
|
Общетоксическое
|
Для снижения степени воздействия вредных веществ на человека и окружающую
среду нужно предусмотреть комплекс мероприятий способствующие этому, а именно:
механизация и автоматизация технологического процесса на участке подготовки
сыпучих компонентов, герметизация и укрытие оборудования, использование
эффективной системы вентиляции, применение СИЗ. Предусмотренные в проекте
мероприятия представлены в виде таблицы 7. 5.
Таблица 7.5 - Мероприятия по обеспечению безопасности при работе с
вредными веществами
|
Название веществ,
поступающих в воздух рабочей зоны
|
Средства коллективной
защиты
|
Методы контроля [63]
|
Периодичность контроля
|
СИЗ [59-62]
|
|
1
|
2
|
3
|
4
|
5
|
|
Мучная пыль
|
Комбинированная система
механической вентиляции, герметизация оборудования
|
Весовой метод, с
использованием специальные аэрозольные фильтры АФА-В-18 и АФА-В-10.
|
1 раз в квартал
|
противопыльная одежда,
обувь, рукавицы, маски, очки, респираторы (типа "лепесток - 200,У 2 - К,
РПГ- 67"). При больших выбросах токсичных веществ
|
|
Сахарная пыль
|
Комбинированная система
механической вентиляции, герметизация оборудования
|
Весовой метод, с
использованием специальные аэрозольные фильтры АФА-В-18 и АФА-В-10.
|
1 раз в квартал
|
используется противогаз с
маркой фильтрующей коробки СО, имеющей белый окрас.
|
|
|
|
|
|
Пыль гидрокарбоната натрия
|
|
|
|
|
|
Оксид углерода
|
|
С помощью газоанализатора
(полупроводниковые и электрохимические датчики)
|
|
|
|
Диоксид углерода
|
|
|
|
|
|
Природный газ
|
|
|
|
|
7.4 Выбор и расчет системы вентиляции
Основное назначение вентиляционных систем на предприятии - поддержание
нормативных параметров микроклимата (температуры, влажности, скорости движения
воздуха) и чистоты воздуха рабочей зоны. С этой целью предусматриваем
общеобменную приточно-вытяжную вентиляцию в каждом цеху и местную вытяжную
вентиляцию в цеху производства вафельного полуфабриката (над печами) и
подготовки сыпучих компонентов (над открытым силосом с мукой).
Местная вытяжная вентиляция
Объем удаляемого воздуха (LудМВ, м 3/ч) рассчитывают по
формуле 7.1:
LудМВ = 3600 ·S·ω, (7.1)
Где S - площадь открытых проемов местных
отсосов, м 2;
ω - Средняя скорость движения воздуха
в плоскости сечения местного отсоса м/с.
Над бункером сыпучих компонентов (муки) - 1 штука
LудМВ= 3600 ·0,5 · 1,5 = 2700 м 3/ч
Над печами HAAS - 2 штуки
LудМВ = 3600 ·1· 0,3 =1080 м 3/ч
Общеобменная вытяжная вентиляция
Объем удаляемого воздуха (Lуд, м 3/ч) рассчитывают по
формуле 7.2:
LудОВ = Кн·Vсв, (7.2)
Где Кн красность воздухообмена ч-1.
В соответствии с [66] Кн = 3 ч-1;
Vсв
- свободный объем
помещения
Vсв = 0,8· Vгеом;
Vгеом-геометрический объем производственного
помещения, м 3;
Vгеом=L·B·H м 3,
где L, B, H -соответственно,
длина, ширина, высота производственного помещения, м;
. Цех для подготовки сыпучих компонентов
Vсв = 0,8· 976,42 =781,14 м 3
LудОВ =3·781,14=2343,42 м 3/ч
. Цех для производства вафельного полуфабриката.
Vсв = 0,8· 3195,2 =2556,16 м 3
LудОВ = 3·2556,16=7668,48 м 3/ч
Приточная общеобменная вентиляция
При отрицательном вентиляционном и воздушном балансе:
LудОВ
= (0,9 ÷ 0,85) Lсум,
где Lсум= LудОВ+ nLудМВ
n-
количество местных вытяжных установок в помещении;
получим:
для участка подготовки сухих компонентов удОВ= 0,9
·(2343,42+2700) =4539,07м 3/ч
для участка приготовления вафельного полуфабрикатаудОВ=
0,9 ·(7668,48+2·1080)=8845,63м 3/ч
Характеристика вентиляционных систем, представлена в таблицах 7.6 и 7.7
[64,65].
Таблица 7.6 - Характеристика вытяжной вентиляционной системы
|
Наименование участка,
помещения
|
Предлагаемая система
вентиляции
|
Требуемый объем воздуха
тыс. м 3/ч
|
Характеристика вентилятора
|
Дополнительное оборудование
|
Место размещения
|
|
|
|
Марка
|
Тип исполнения
|
Производительность, тыс. м 3/ч
|
Кол-во
|
|
|
|
1
|
2
|
3
|
4
|
5
|
6
|
7
|
8
|
9
|
|
Участок подготовки сыпучих
компонентов
|
Местная
|
2,7
|
ВЦ 14-46 №3,15
|
взрывозащищенного
|
3,85-5,2
|
1
|
Электродвигатель, фильтр
|
Технический этаж
|
|
Общеобменная
|
2,343
|
ВЦ 14-46 №3,15
|
взрывозащищенного
|
3,85-5,2
|
1
|
Электродвигатель
|
Вент. камера
|
|
Участок производства
вафельного полуфабриката
|
Местная
|
1,08*2
|
ВЦ 14-46№2,5
|
Взрывозащищенного
|
2,36-2,8
|
1
|
Электродвигатель, фильтр
|
Технический этаж
|
|
Общеобменная
|
7,668
|
ВЦ 14-46 №4
|
Взрывозащищенного
|
9-11,03
|
1
|
Электродвигатель
|
Вент. камера
|
Таблица 7.7 - Характеристика приточной вентиляционной системы
|
Наименование участка,
помещения
|
Предлагаемая система
вентиляции
|
Требуемый объем воздуха
тыс. м 3/ч
|
Характеристика вентилятора
|
Дополнительное оборудование
|
Место размещения
|
|
|
|
Мар ка
|
Тип исполнения
|
Производительность, тыс. м 3/ч
|
кол-во
|
|
|
|
1
|
2
|
3
|
4
|
5
|
6
|
7
|
8
|
9
|
|
Участок подготовки сыпучих
компонентов
|
Общеобменная
|
4,539
|
ВЦ 14-46 №4
|
обычного
|
5,18-6,5
|
1
|
Электродвигатель
|
Вент. камера
|
|
Участок приготовления вафельного
полуабриката
|
Общеоб-менная
|
8,845
|
ВЦ 14-46 №4
|
обычного
|
9-11,03
|
1
|
Электродвигатель
|
Вент. камера
|
7.5 Оценка взрывопожарной и пожарной опасности. Пожарная профилактика
Использование в технологическом процессе горючих веществ создает
опасность взрывов и пожаров. Степень опасности зависит от природы горючих
веществ, их количества, агрегатного состояния, особенностей проведения
технологического процесса.
Показатели взрывопожароопасности веществ и материалов представлены в
таблице 7.8.
Для выбора эффективных методов по предупреждению возникновения пожара, а
в случае его возникновения на локализацию и быстрое его тушение необходимо
назначение категории помещения по взрывопожарной и пожарной опасности в
соответствии с НПБ 105-95 [69],данные о степени взрывопожарной опасности
проектных решений представлены в таблице 7.9
Таблица 7.8 - Показатели взрывопожароопасности веществ и материалов
[67-68]
|
Наименование цеха
|
Вещество
|
Агрегатное состояние
|
Группа горючести
|
Температура, С
|
Концентрационные пределы
воспламенения
|
|
|
|
|
вспышки
|
воспламенения
|
самовоспламенения
|
φн, г/м3
|
φн -φв, %
|
|
1
|
2
|
3
|
4
|
5
|
6
|
7
|
8
|
|
|
Участок подготовки сыпучих
компонентов
|
Сахарная пыль
|
Тв
|
ГП
|
-
|
-
|
320
|
35
|
-
|
|
Мучная пыль
|
Тв
|
ГП
|
-
|
250
|
380
|
10
|
-
|
|
Участок приготовления
вафельного полуфабриката
|
Растительный жир
|
Жид.
|
ГЖ
|
232
|
350
|
370
|
-
|
-
|
|
Природный газ
|
газ
|
ГВ
|
-
|
650
|
537
|
-
|
5,28¸14,1
|
|
Мучная пыль
|
тв
|
ГП
|
-
|
250
|
380
|
10
|
-
|
|
Оксид углерода (СО)
|
газ
|
ГВ
|
-
|
-
|
605
|
|
12,5¸74
|
Таблица 7.9 - Оценка взрывопожароопасности проектных решений [69-70]
|
Наименование цеха
|
Вещество
|
Зоны взрыво и
пожароопасности по ПУЭ
|
Избыточное давление взрыв
более, кПа
|
Категория цеза по
взрывопожароопасности по НПБ 105-03
|
Категория здания по
молниезащите
|
Степень огнестойкости
здания
|
Средства пожаротушения
|
|
1
|
2
|
3
|
4
|
5
|
6
|
7
|
8
|
|
Участок подготовки сыпучих
компонентов
|
Пыль сахара, пыль мучная
|
В - IIа
|
5,59
|
Б
|
II
|
II
|
Внутренние пожарные краны,
порошковые и пенные огнетушители, хладоновые огнетушители.
|
|
Участок приготовления
вафельного полуфабриката
|
мучная пыль, сахарная пыль
|
В - IIа
|
17
|
|
|
|
|
|
растительный жир
|
П-I
|
|
|
|
|
|
|
природный газ
|
В- Iа
|
|
|
|
|
|
|
Оксид углерода СО
|
В- Iа
|
|
|
|
|
|
Для предотвращения возникновения пожароопасных ситуаций на предприятии
необходимо:
. Соблюдение правил пожарной безопасности;
2. Поддержание технологического режима работы оборудования в пределах
установленных технологическим регламентом;
. Контроль за исправностью работы вентиляционных систем;
. Соблюдение правил хранения горючих веществ;
. Эксплуатация электрооборудования соответствующего классификации
цеха и участков по взрывопожароопасности по ПУЭ;
. Запрещается применение открытого огня на взрывопожароопасных
участках;
. Проведение регулярных инструктажей по пожарной безопасности;
. Наличие и исправность средств пожаротушения;
. Наличие плана эвакуации при пожаре;
. Наличие автоматической пожарной сигнализации.
Так как на участках подготовки сыпучих компонентов и приготовления
вафельного полуфабриката присутствуют горючие пыли, которые при разгерметизации
оборудования смогут попасть в воздух рабочей зоны и образовать взрывоопасные
воздушные смеси, то необходимо рассчитать избыточное давление взрыва на каждом
участке.
Рассчитывают избыточное давление взрыва (ΔРизб, кПа) по формуле для
горючих пылей:
ΔРизб=(GHTP0Z)/(VсвобρBcPT0KH),
где P0 - начальное давление смеси; P0=101 кПа;
G -
масса взывопожароопасного вещества, кг;
Z -
коэффициент участия горючего вещества, принимаем Z= 0,5;
Vсвоб - свободный объем помещения, м 3
(принимают равным 80% от геометрического объема);
ρB - плотность воздуха до взрыва при
начальной температуре t0, кг/м 3;
HT - теплота сгорания пыли, Дж/кг;
cP - теплоемкость воздуха, принимаем cP =1.01*103Дж/(кг*К);
T0 - начальная температура воздуха, К;
KH - коэффициент, учитывающий не герметичность помещения и не
адиабатичность процесса горения, допускается принимать KH=3.
Участок подготовки сыпучих компонентов:
мучная пыль
ΔРизб=(5000·18000·101·103·0,5)/(781,13·1,18·1,01·103·291·3)=5,59
к Па;
Как видно из расчета, что уже ΔРизб> 5кПа значит,
категорию помещения по взывопожароопасности принимаем Б.
Участок приготовления вафельного полуфабриката:
мучная пыль
ΔРизб =(3000·18000·101·103·0,5)/(2556,15·1,18·1,01·103·291·3)=
10 к Па;
Как видно из расчета, что уже ΔРизб > 5кПа значит,
категорию помещения по взывопожароопасности принимаем Б.
7.6 Санитарно-гигиенические требования к выбору систем освещения
При проектировании системы освещения руководствуются как
санитарно-гигиеническими, так и технологическими требованиями, в соответствии с
которыми постоянные рабочие места должны иметь как естественное, так и
искусственное освещения, нормативные величины которых приведены в СНиП 23-05-10
[71] .
На участках подготовки сыпучих компонентов и приготовления вафельного
полуфабриката используется совмещенное освещение, которое представляет собой
сочетание комбинированного естественного освещения и общего искусственного
освещения. Характеристика системы освещения проектируемого участка представлена
в таблице 7.10.
Таблица 7.10 - Характеристика системы освещения проектируемого участка
[69].
|
Наименование участка,
рабочего места
|
Характеристика зрительной
работы
|
Искусственное освещение
|
Совмещенное освещение
|
|
Описание зрительной работы
с указанием наименьшего размера объекта различения
|
Разряд и подразряд
зрительной работы
|
Система освещения
|
Нормиру-емая освещенность
Е, лк
|
Тип источника света
|
Тип светильника
|
Система естественного
освещения
|
Нормируемый КЕО, %
|
|
1
|
2
|
3
|
4
|
5
|
6
|
7
|
8
|
9
|
|
Участок подготовки сыпучих
компонентов
|
Общее наблюдение за ходом
технологического процесса
|
VIII б
|
общее
|
75
|
ЛХБ 80
|
ПВЛ
|
Комбинированное
|
0,7
|
|
Участок приготовления
вафельного полуфабриката
|
Общее наблюдение за ходом
технологического процесса
|
VIII б
|
общее
|
75
|
ЛХБ 80
|
ПВЛ
|
комбинированное
|
0,7
|
7.7 Обеспечение безопасного обслуживания оборудования - источника
физического фактора воздействия.
7.7.1 Шум
В производственных условиях работа машин, механизмов, транспорта,
перемещение жидкостей и пыли по трубопроводам под давлением сопровождается
шумом. При производстве вафельного полуфабриката шум создается при работе
мукопросеивательной машины, печей, станции сжатого воздуха и винтовых насосов.
Нормируемые параметры шума на рабочих местах определены ГОСТ 12.1.003-83
[72] и санитарными нормами СН 2.2.4/2.18.562-96 [73].
Для снижения уровня шума предусмотрены следующие меры:
) Установка глушителей шума на воздуховодах вентиляционной системы;
2) Рациональное размещение оборудования;
) Уменьшение уровня шума в источниках его возникновения
(для винтовых насосов);
) Снабжение винтовых насосов защитными кожухами;
5) Применение средств индивидуальной защиты (беруши или наушники при
работе с печами).
7.7.2 Вибрация
Допустимые уровни показателей, характеризующих вибрацию, приведены в ГОСТ
12.1.012.90 [74].
При производстве вафельного полуфабриката вибрация создается при работе
кнеттера (смесителя для теста), охладительной арки, камеры увлажнения, стола для
обрезки вафельного полуфабриката, винтовых насосов, ленточного конвейера,
станции для сжатого воздуха, вентиляторы.
Для снижения уровня вибрации предусмотрены следующие меры:
) Обеспечение виброизоляции, виброгашения оборудования (установка
прокладок, амортизаторов);
2) размещение двигателей вентиляторов в венткамере;
) снижение виброактивности машин и оборудования (с помощью
смазки);
) применение средств индивидуальной защиты (обувь с
амортизирующими подошвами).
7.7.3 Электрический ток
Классификация помещений по степени опасности поражения людей
электрическим током устанавливается в соответствии с ПЭУ [75].
Классификация помещений по электробезопасности приведена в табл.7.11
Таблица 7.11 - Категории помещений по электробезопасности
|
Помещение
|
Категория опасности
|
Факторы
|
|
Участок подготовки сыпучих
компонентов
|
С повышенной опасностью
|
Возможность попадания
токопроводящей пыли в воздух рабочей зоны
|
|
Участок приготовления
вафельного полуфабриката
|
С повышенной опасностью
|
Возможность попадания
токопроводящей пыли в воздух рабочей зоны
|
Для предупреждения электротравматизма предусматривают следующие
мероприятия:
) Защитное отключение (для исключения возникновения опасности
поражения электрическим током);
2) Изоляция токоведущих частей и укрытие в сочетание с блокировкой;
) Установка предупредительной сигнализации;
) Проведение организационных мероприятий (вывешивание плакатов,
инструктаж, допуск и т.п.);
) Средства индивидуальной защиты (обувь с электропроводной
подошвой) при ремонте и обслуживании электроустановок и электросетей;
В ходе производства образуется статическое электричество при трении
диэлектриков. Его источником являются системы пневмотранспортирования муки.
Основное средство борьбы со статическим электричеством - заземление или
зануление оборудования и емкостей, также работать с сыпучими компонентами
необходимо в антистатических халатах.
7.7.4 Механическое травмирование
Источником травм на предприятии могут быть конвейеры, вращающиеся
подвижные части машин. В первую очередь при производстве вафельного
полуфабриката представляют опасность следующие машины: смеситель, печи, камера
увлажнения, стол для обрезки вафельного полуфабриката, ленточные конвейеры.
Для предотвращения травматизма необходимо:
) перед началом работы необходимо убедиться в исправности
оборудования;
) Вращающиеся части оборудования закрыть кожухами, шнеки -
крышками;
) следить за исправностью системы блокировки оборудования;
) Изолирование конвейеров заграждениями;
) Для движения людей использовать переходные мостики с перилами;
) Убедиться в полной остановке оборудования перед тем как
производить его очистку, смазку, регулировку движущихся частей.
8. Охрана окружающей среды
8.1 Оценка
степени воздействия выбросов вредных веществ на атмосферу
С помощью эффективной вентиляционной системы удается обеспечить санитарно
- гигиенически требования, предъявляемые к качеству воздуха в рабочей зоне и
предупредить возникновение профессиональных заболеваний. Однако удаляемый из
помещения с вентиляционным воздухом вредные вещества, попадая в атмосферу,
могут нанести значительный ущерб окружающей среде и людям, живущим вблизи
предприятия.
На кондитерской фабрике ЗАО "Ферреро Руссия" оценка воздействия
на окружающую среду осуществляется аналитическим методом в соответствии с
программой производственного контроля и мониторинга с привлечением
аккредитованных лаборатории ООО "ВладимирВторма Клининг", а также
расчетным методом специалистами предприятия по расходу сырья и материалов.
Значение предельно допустимых выбросов ПДВ (т/г) при производстве
вафельного полуфабриката представлено в таблице 8.1
Таблица 8.1 - значение предельно допустимых выбросов при производстве
вафельного полуфабриката
|
Наименование вещества
|
ПДВ(т/г) [76]
|
|
1
|
2
|
|
1.Натрий хлорид (поваренная
соль)
|
0,1*10-4
|
|
2.Углерод (сажа)
|
0,082
|
|
3.Углерод оксид
|
30,59
|
|
4.Природный газ
|
0,806
|
|
5.Гидрокарбонат натрия
(Сода)
|
0,1*10-4
|
|
6.Пыль сахарная
|
0,0002
|
|
7.Пыль мучная
|
0,0004
|
Для снижения экологически опасных выбросов применяются следующие методы:
) Установка на местную вентиляцию на участке подготовки сыпучих
компонентов мокрых пылеуловителей для данного производства (скрубберы).
Запыленный воздух, поступающий в скруббер, там увлажняется при помощи водной
пленки, и отяжелевшие частицы пыли попадают в специальный пылеприёмник;
) Установка пористых фильтров с влажной сеткой на общеобменную систему
вентиляции, данные фильтры лучше приспособлены к очистке воздуха с высокой
концентрацией пыли, что характерно для данного производства (сахарная пыль и т.
д);
)Установка фильтров предварительной грубой очистки G3-F5 (на местную
вентиляцию на участке приготовления вафельного полуфабриката);
) Осуществление контроля уровня загрязнённости и уровня работоспособности
фильтров.
.2 Оценка
степени воздействия проектных решений на водные объекты
В технологическом процессе приготовления вафельного полуфабриката в
качестве сырья используется вода. Она идет на приготовление эмульсии для теста,
на промывку оборудования, для охлаждения и нагрева оборудования (танка с
лецитином, с лецитином и жиром, с тестом). Используется вода и на
хозяйственно-бытовые нужды (в умывальниках, туалетах, душевых и т.п.).
Для технологических нужд (в качестве сырья) вода поступает из скважины,
пройдя предварительный обогрев. Расход воды на единицу продукции составляет
2,03 м 3/т.
Вода для обогрева технологического оборудования, идет по замкнутому
циклу.
В результате использования воды на предприятие образуются сточные воды.
Объем сточной воды составляет 111,51 м 3/год. Состоят сточные воды
из: промливневых сточных вод (дождевые и талые воды, производственные стоки
котельной с оборудования водоподготовки, дренажная вода из-под фундамента).
На предприятии сброс сточных вод осуществляется в водохранилище, где вода
проходит тщательную механическую очистку (методом отстаивание жидкости и
фильтрование с помощью микрофильтров), после чего очищенная вода поступает в р.
Ворша.
8.3 Отходы производства
При производстве вафельного полуфабриката для кондитерских изделий, как и
при любом производстве, образуются отходы.
Все отходы производства вафельного полуфабриката представлены в таблице
8.2 [77].
Утилизация отходов от производства вафельного полуфабриката происходит
следующим образом:
1) Отходы производства пищевых продуктов (вафель) накапливаются и по мере
накопления передаются подрядной организации на утилизацию (в основном на корм
скоту);
) Токсичные отходы, такие как ртутные лампы, ртуть содержащие трубки.
Обезвреживание и захоронение токсичных промышленных отходов осуществляется на
специальных инженерных сооружениях - полигонах захоронения токсичных
промышленных отходов [78].
Таблица 8.2 - Отходы производства вафельного полуфабриката
|
Наименование отходов
|
Вид отхода
|
Одходообразующий вид
деятельности, процесс
|
Опасные свойства
|
Класс опасности для
окружающей среды
|
Агрегатное состояние
|
|
1
|
2
|
3
|
4
|
5
|
6
|
|
1.Ртутные лампы,
люминесцентные ртутьсодержащие трубки отработанные и брак
|
Отходы эксплуатации здания
и оборудования
|
Освещение помещения
предприятия
|
Токсичность
|
1
|
Готовое изделие, потерявшее
потребительские свойства
|
|
2.Отходы производства
пищевых продуктов (вафель)
|
Технологические
|
Производство
|
Токсичность
|
4
|
твердое
|
|
3.Отходы производства
пищевых продуктов (пищевые продукты с истёкшим сроком годности)
|
Технологические
|
Окончание срока годности
пищевых продуктов
|
Токсичность
|
4
|
Твердые.
|
9.
Строительная часть
.1
Конструктивные элементы производственного здания
Цех по производству вафельного полуфабриката для кондитерских изделий
размещен в одноэтажном прямоугольном здании каркасного типа с размерами 36 ´ 18 м с жесткими поперечными рамами,
состоящими из сборных железобетонных колонн и стропильных несущих конструкций.
Заделка колонн в фундамент жесткая. Здание имеет шаг колонн 6 м и шаг
стропильных конструкций 6 м. Жесткость сооружения в целом обеспечивается
горизонтальным диском покрытия и жесткостью поперечной рамы.
Для передачи веса кирпичных стен на фундамент применяются фундаментные
балки решетчатого сечения высотой 450 мм. Фундаментные балки установлены на
приливы фундаментов по слою раствора марки 100 толщиной 20 мм.
В
здании применены монолитные железобетонные фундаменты под колонны сечением 400
400 мм и под фахверковые колонны с опорами для
фундаментных балок. Глубина заложения фундамента назначена в результате
совместного рассмотрения сезонного промерзания и пучинистости грунтов,
конструктивных и эксплуатационных особенностей здания, а также величины и
характера нагрузки на основание. Отметка обреза фундамента - 0,15 м. Под
колонны здания применены фундаменты с размерами подошвы 2400
1500 мм и высотой 1,8 м.
В
каркасном здании применены железобетонные колонны квадратного сечения 400
400 мм высотой 8,4 м с шагом 6 м, отметка оголовка
колонны 7,2 м. фахверковые колонны, предназначенные для крепления торцевых
стен, выполнены из железобетона.
Для
перекрытия пролета здания, равного 18 м, применены железобетонные стропильные
решетчатые балки, с шагом стропильных конструкций 6 м. Отметка низа стропильной
конструкции 7,2 м.
Несущими
элементами ограждающей части покрытия в каркасной части здания являются
железобетонные ребристые рядовые плиты 6
3 м.
В
качестве наружной ограждающей конструкции в производственном корпусе применена
кладка в два кирпича толщиной 500 мм. Заполнение швов выполнено упругими
синтетическими прокладками и герметичными мастиками.
Над
воротами и дверными проемами установлены железобетонные перемычки, заложенные в
массив каменной кладки, которые являются железобетонной конструкцией, служащей
для перекрытия проемов в стенах из мелкоразмерных материалов. Второй проем
обрамлен сборной железобетонной рамой, вписывающейся по внешним размерам в
принятую разрезку стены.
Одни
ворота размещены для проезда автомобильного транспорта. Ворота в наружных
стенах распашные размером 3600
3600 мм.
Для въезда и выезда транспорта предусмотрены пандусы.
Окна
в производственном корпусе (с двойным остеклением) размещаются на отметке 1,2 м
от уровня чистого пола и имеют высоту 3,6 м.
Внутренний
перегородки выполнены из глиняного и силикатного кирпича толщиной 300 мм.
Кровля
выполнена из 6 слоев:
защитный
слой гравия на антисептированной битумной мастике;
линокром
3 слоя;
цементно-песочная
стяжка толщиной 15 мм;
утеплитель
- пенополистерол 90 мм;
пароизоляция
- один слой полиэтиленовой пленки;
цементно-песчаная
стяжка толщиной 20 мм.
В
местах примыкания к парапетам устроен фартук из кровельной стали для улучшения
гидроизоляционных свойств кровли. Уклон кровли в каркасной части здания 1 : 12.
В
соответствии с назначением производственных участков в цехе по производству
вафельного полуфабриката производственного корпуса, полы выполнены из
асфальтобетона [79].
.2
Компоновка технологического оборудования и помещение производства
Основная задача компоновки оборудования - рациональное размещение его в
цехе, обеспечивающее правильную организацию технологического процесса. При
компоновке учитываются требования технологии, техники безопасности и охраны
труда, санитарные, строительные, противопожарные нормы.
Для выбора и обоснования проектных решений по компоновке
производственного корпуса необходимо установить его площадь [80].
Общая площадь производственного корпуса определяется по формуле:
Sобщ = Sосн + Sскл
+Sадм.-быт. (9.1)
где

- общая
площадь производственного корпуса, м2;

- площадь
основного производственного цеха, м2;

- площадь
складов, м2;
Sадм. -
быт. - площадь административных и
бытовых помещений, м2.
Площадь
основного производственного цеха
При
цеховой структуре предприятия для расчета площади основных производственных
цехов нужно определить перечень необходимого оборудования для установки в цехе.
Площадь цеха рассчитываем по формуле:

(9.2)
где

-
суммарная площадь, занятая оборудованием цеха, м 2;- коэффициент
запаса площади, который зависит от характера производства, наличия транспортных
средств и линейных размеров оборудования.
Таким
образом, исходя из линейных характеристик оборудования технологической линии,
площадь основного производственного цеха составляет:
Sосн
=
(0,64+2+6,25+1,44+4,25+4+36+5+13,2+2,25+9,5)·4,5=380,38 м2
Оборудование цеха по производству вафельного полуфабриката расположено Z - образно по ходу технологической
схемы вдоль продольных осей здания без пересечения и удлинения материальных
потоков.
Площади административно-бытовых помещений
Расчет площадей административно-бытовых помещений осуществляем с учетом
численности рабочих в наиболее многочисленной смене. Проектирование
осуществляем согласно СНиП 2.09.04-87 [81].
Предусматриваем наличие в производственном цехе:
· приточной и вытяжной вентиляционных камер (по 18 м2 каждая);
· кабинет технолога (12 м2).
Sадм.быт.
=2 · 18+12 = 48 м2
Площади складов
Расчет площади склада сырья
Площадь складов сырья рассчитываем с учетом хранения сырья (в основном на
1 и в зависимости от сроков хранения).
Сахарный песок - 5760 кг (10 суток); мука пшеничная 1-го сорта(5 суток) -
41280 кг; растительный жир - 3840 кг (10суток); сода пищевая - 1584 кг; соль -
1584 кг; лецитин - 5280 кг.
Сахар завозим в мешках по 50 кг. Для хранения используем плоские поддоны
2ПО 4 размерами 800х 1200 мм. На 1 поддон помещается 20 мешков. Следовательно,
для сахара требуется 6 поддонов. Поддоны укладываем в три яруса на стеллажи,
высота одного яруса стеллажа 1500 мм. Площадь, занятую поддонами, с учетом
ярусов, рассчитываем по формуле:

, (9.3)
где
Sпод -
площадь, м 2 занятая поддонами;
N -
количество поддонов;
l - длина
поддона, м;
m - ширина
поддона, м;
n - число
ярусов.
Sпод = (6 · 0, 8 · 1, 2)/3 = 1,92 м 2;
Учитывая
необходимость наличия места для проезда погрузчиков, рассчитаем площадь склада
сахара по формуле:

, (9.4)
где
S - площадь занятая поддонами, м 2;
q - коэффициент, учитывающий проезд погрузчиков между
штабелями.
Sп.с.
= 1,92 · 1, 5 = 2,88 м 2.
Соль завозят в мешках по 50 кг. Для хранения используем плоские поддоны
2ПО 4 размерами 800х 1200 мм. На 1 поддон помещается 20 мешков. Следовательно,
для соли потребуется 2 поддона. Поддоны укладываем в три яруса на стеллажи,
высота одного яруса стеллажа 1500 мм.
Площадь, занятую поддонами, с учетом ярусов, рассчитываем по формуле
(9.3):
Sпод = (2 · 0,8 · 1,2)/3 = 0,64 м 2;
Учитывая необходимость наличия места для проезда погрузчиков, рассчитаем
площадь для хранения по формуле (9.4):
Sп.с.
= 0,64 · 1,5 =
0,426 м 2.
Сода питьевая завозят в мешках по 50 кг. Для хранения используем плоские
поддоны 2ПО 4 размерами 800х 1200 мм. На 1 поддон помещается 20 мешков.
Следовательно, для соды потребуется 2 поддона. Поддоны укладываем в три яруса
на стеллажи, высота одного яруса стеллажа 1500 мм.
Площадь, занятую поддонами, с учетом ярусов, рассчитываем по формуле
(9.3):
Sпод = (2 · 0,8 · 1,2)/3 = 0,64 м 2;
Учитывая необходимость наличия места для проезда погрузчиков, рассчитаем
площадь для хранения по формуле (9.4):
Sп.с.
= 0,64 · 1,5 =
0,426 м 2.
Мука пшеничная 1-го сорта завозят в мешках по 50 кг. Для хранения используем
плоские поддоны 2ПО 4 размерами 800х 1200 мм. На 1 поддон помещается 20 мешков.
Следовательно, для муки потребуется 42 поддона. Поддоны укладываем в три яруса
на стеллажи, высота одного яруса стеллажа 1500 мм.
Площадь, занятую поддонами, с учетом ярусов, рассчитываем по формуле
(9.3):
Sпод = (42 · 0,8 · 1,2)/3 = 13,44 м 2;
Учитывая необходимость наличия места для проезда погрузчиков, рассчитаем
площадь для хранения по формуле (9.4):
Sп.с.
= 13,44 · 1,5 =
20,16 м 2.
Растительный жир завозим в бочках по 50 кг. Для хранения используем плоские
поддоны 2ПО 4 размерами 800х 1200 мм. На 1 поддон помещается 3 бочки.
Следовательно, для лецитина потребуется 26 поддона. Поддоны укладываем в три
яруса на стеллажи, высота одного яруса стеллажа 1500 мм.
Площадь, занятую поддонами, с учетом ярусов, рассчитываем по формуле
(9.3):
Sпод = (26 · 0, 8 · 1,2)/3 = 8,32 м 2;
Учитывая необходимость наличия места для проезда погрузчиков, рассчитаем
площадь для хранения по формуле (9.4):
Sп.с.
= 8, 32 · 1,5 =
12,48 м 2.
Лецитин завозим в бочках по 50 кг. Для хранения используем плоские
поддоны 2ПО 4 размерами 800х 1200 мм. На 1 поддон помещается 3 бочки.
Следовательно, для лецитина потребуется 36 поддонов. Поддоны укладываем в три
яруса на стеллажи, высота одного яруса стеллажа 1500 мм.
Площадь, занятую поддонами, с учетом ярусов, рассчитываем по формуле
(9.3):
Sпод = (36 · 0,8 · 1,2)/3 = 11,52 м 2;
Учитывая
необходимость наличия места для проезда погрузчиков, рассчитаем площадь для
хранения по формуле (9.4):
Sп.с. = 11,52 · 1,5 = 17,28 м 2.
Сюда
можно отнести площадь рецептурной, которая составит 116,24 м2.
Таким
образом, площадь склада сырья составляет:
SСКЛАД
СЫРЬЯ = 2,
88+0,426+0,426+20,16+12,48+17,28+116,24 = 169,89 м2
Таким
образом, общая площадь производственного корпуса:
Sобщ
= 380,38
+ 48 + 169,89 = 598,27 м 2
Так
как 598,27/18 = 33,23 м 2 → 36 ×18 = 648 м 2 - общая площадь цеха с учетом размеров
пролетов 18 м и шага колонн 6 м.
10. Экономическая оценка проектных решений
- анализ (СВОТ анализ) - метод стратегического планирования, используемый для
оценки факторов и явлений, влияющих на проект или предприятие. Все факторы делятся
на четыре категории:
· 2 категории СВОТ (SWOT) анализа описывают предприятие изнутри- strengths
(сильные стороны предприятия), weaknesses (слабые стороны предприятия);
· 2 другие категории СВОТ (SWOT) анализа описывают внешнюю
среду для предприятия - opportunities (возможности для предприятия) и threats
(угрозы для предприятия).
Поскольку SWOT (СВОТ) анализ в общем виде не содержит экономических
категорий, его можно применять к любым организациям, отдельным людям и странам
для построения стратегий в самых различных областях деятельности [82].
Обычно свод анализ представляют в виде матрицы:
|
Положительное влияние
|
Отрицательное влияние
|
|
Внутренняя среда
|
Strengths - свойства
предприятия, проекта или коллектива, дающие преимущества перед другими в
отрасли.
|
Weaknesses - внутренние
свойства, ослабляющие проект, предприятие, коллектив и т.д.
|
|
Внешняя среда
|
Opportunities - внешние
вероятные факторы, дающие дополнительные возможности по достижению цели.
|
Threats - внешние вероятные
факторы, которые могут осложнить достижение цели.
|
В таблице 10. 1 представлен SWOT - анализ производства вафельного полуфабриката для кондитерских изделий
на примере предприятия ЗАО " Ферреро Руссия"
Таблица 10.1 - SWOT -
анализ кондитерского предприятия ЗАО " Ферреро Руссия"
|
Силы (S)
1. Компания стремиться выпускать качественный и безопасный продукт. 2.
Уникальность продукта. 3. Популярность продукта у покупателей 4.
Использование, частично, иностранных инвестиций 5. В компании работают
высококвалифицированные работники. 6. Высокий уровень корпоративной культуры.
7. Высокая доля на рынке
|
Слабости (W)
1. Большая конкуренция из-за расширения кондитерского производства на рынке
2. Высокие цены за продукт
|
|
Возможности (O)
1. Возможность уменьшения постоянных затрат за счет больших продаж 2. Продукт
имеет очень практичное оформление, что дает ему возможность быть
востребованным не только каждый день, но особенно по праздникам. 3. Продукт
изготавливается по итальянским технологиям, что придает продукту определенный
статус и востребованность. 4. Большая целевая аудитория, употребляющая данную
продукцию.
|
Угрозы (Т) 1. Появление
новых конкурентов, которые будут делать похожий продукт, но по более низкой
цене. 2. В связи с политической обстановкой усложнение в покупке импортного
сырья.
|
Вывод: После проведения свод анализа видно, что одной из угроз данного
предприятия введу политической обстановки и введении санкций против РФ является
закупка импортного сырья.
В связи с этим в данной квалификационной дипломной работе предложено
заменить импортный соевый лецитин, на отечественный подсолнечный лецитин. Кроме
этого будет усовершенствована линия по производству вафельного полуфабриката с
целью улучшения качества выпускаемого продукта, что является одной из сильных
сторон данного предприятия.
Данные изменения позволят как улучшить качество выпускаемого
полуфабриката, так и избежать угроз внешних факторов влияющих на предприятие.
10.1
Обоснование целесообразности разработки проекта
Целью ВКР является усовершенствование процесса производства вафельного
полуфабриката для кондитерских изделий, позволяющей улучшить качество
выпускаемого полуфабриката, а также сокращения норм расхода сырья и материалов
за счёт использования материалов заменителей.
Реализация данного проекта обеспечивает:
экономию за счёт снижения потребности в оборотном капитале;
улучшение качества продукции за счёт совершенствования технологического
процесса.
Реализация проекта связана с капитальными затратами, которые
осуществляются в первый год расчетного периода, за счёт собственных средств
предприятия.
При выполнении расчётов использовались цены и тарифы на 01.01.2015г.
10.2 Расчет экономической эффективности
Проектная производственная программа технологической линии по
производству вафельного полуфабриката для кондитерских изделий остается
на плановом заводском уровне.
В таблице 10.2 представлен план производства и реализации вафельного
полуфабриката для кондитерских изделий за отчетный период и по проекту.
Таблица 10.2 - План производства и реализации вафельного полуфабриката для
кондитерских изделий за отчетный период и по проекту
|
Показатели
|
Единица измерения
|
Значение
|
|
|
(заводской)
|
проект
|
|
1
|
2
|
3
|
4
|
|
1.Объем производства
|
тыс. кг
|
1127,934
|
1075,472
|
Амортизационные отчисления на полное восстановление оборудования
определяются по формуле
Аоб= Ноб · Фоб/
100, (10.1)
где Аоб- годовые амортизационные отчисления на восстановление
оборудования, тыс.руб.;
Ноб - норма амортизационных отчислений на восстановление
оборудования, %;
Фоб - первоначальная стоимость оборудования, тыс.руб.
Данные о стоимости оборудования и связанных с ним амортизационных
отчислениях представлены в табл. 10.3.
Таблица 10.3 - Перечень технологического оборудования и суммы
амортизационных отчислений
|
Наименование оборудования
|
Кол-во
|
Стоимость, тыс. руб.
|
Амортизационные отчисления
|
|
|
единицы оборуд.
|
общая
|
норма, %
|
тыс. руб.
|
|
1
|
2
|
3
|
4
|
5
|
6
|
|
Установленное оборудование
|
|
Секции для печи HAAS
|
2
|
556
|
1112
|
10
|
111,2
|
|
ИТОГО:
|
|
|
1112
|
|
111,2
|
|
Сохраняемое оборудование
|
|
Сетчатые конвейеры
|
8
|
100
|
800
|
10
|
80
|
|
Насос
|
5
|
64
|
320
|
10
|
32
|
|
Дозатор
|
2
|
195
|
390
|
10
|
39
|
|
Бункер для муки
|
1
|
210
|
210
|
10
|
21
|
|
Сито
|
1
|
578,5
|
578,5
|
10
|
57,85
|
|
Бункер на 3т муки
|
1
|
780
|
780
|
10
|
78
|
|
Бункер на 500 л
|
1
|
456
|
456
|
10
|
45,6
|
|
Бункер на 1000л
|
1
|
679
|
679
|
10
|
67,9
|
|
Танк для 1500л (для теста)
|
1
|
745
|
745
|
10
|
74,5
|
|
Печь HAAS
|
2
|
1560
|
3120
|
10
|
312
|
|
Охладительная арка НААS
|
2
|
378
|
756
|
10
|
75,6
|
|
Камера увлажнения HAAS
|
2
|
589
|
1178
|
10
|
117,8
|
|
Стол для обрезки вафельного
полуфабриката HAAS
|
4
|
336
|
1344
|
10
|
134,4
|
|
ИТОГО:
|
31
|
|
11356,5
|
|
1135,65
|
|
Амортизационные отчисления
на сохраняемое оборудование
|
1135,65
|
|
после добавления
оборудования
|
1246,85
|
В таблице 10.4 - представлены инвестиционные издержки предприятия при
установке дополнительных секций для печи НААS.
Таблица 10.4 - Инвестиционные издержки предприятия
|
Наименование
|
Сумма, тыс.руб.
|
|
1
|
2
|
|
1. Стоимость оборудования*
|
1112
|
|
2. Монтаж оборудования
|
150
|
|
3. Пусконаладочные работы
|
110
|
|
ИТОГО:
|
1372
|
*Стоимость оборудования подобрана из прайс-листа компании-поставщика,
размещенного в сети интернет
10.3 Расчет текущих производственных издержек
Расчёт текущих производственных издержек основан на определении стоимости
продукции, производство и реализация которой предполагается программой
осуществления инвестиционного проекта. Себестоимость продукции представляет
собой стоимостную оценку используемых в процессе ее производства и реализации
материальных и трудовых ресурсов.
Затраты на материалы и энергоносители рассчитываются по формуле 10.2:
Зi = Рi·Цi,
(10.2)
где Зi - затраты
на годовой объем производства i-го
вида материала или энергоносителя, ден.ед.;
Рi - годовая потребность (расход) i-го вида материала или
энергоносителя, нат.ед.;
Цi - цена (стоимость) единицы i-го вида материала или
энергоносителя, ден.ед.
Результаты расчетов затрат на сырье и материалы представлены в таблице
10.5.
Таблица 10.5 - Расчет затрат на сырье и материалы
|
Наименование материала
|
Единица измерения
|
Годовая потребность в сырье
и материалах
|
Затраты на годовой объем
производства, тыс. руб.
|
|
1
|
2
|
3
|
4
|
5
|
|
До замены
|
|
Мука пшеничная 1-го сорта
"Рязаночка"
|
т
|
5221,92
|
17
|
88772,64
|
|
Растительный жир
|
|
242,88
|
47
|
11415,36
|
|
Соевый лецитин
|
|
151,8
|
96,2
|
14603,16
|
|
Поваренная соль
|
|
45,54
|
6
|
273,243
|
|
Сода
|
|
45,54
|
18
|
819,729
|
|
Сахар - песок
|
|
364,32
|
26
|
9472,32
|
|
ИТОГО:
|
|
|
|
125356,45
|
|
После замены
|
|
Мука пшеничная 1-го сорта
"Рязаночка"
|
т
|
5221,92
|
17
|
88772,64
|
|
Растительный жир
|
|
242,88
|
47
|
11415,36
|
|
Подсолнечный лецитин
|
|
151,8
|
66
|
10018,8
|
|
Поваренная соль
|
|
45,54
|
6
|
273,243
|
|
Сода
|
|
45,54
|
18
|
819,729
|
|
Сахар - песок
|
|
364,32
|
26
|
9472,32
|
|
ИТОГО:
|
|
|
|
120772,09
|
*Стоимость сырья подобрана из прайс-листа компании-поставщика,
размещенного в сети интернет [83-87]
Из таблицы видно, что введение в рецептуру подсолнечного лецитина в место
соевого позволяет уменьшить годовые затраты на производство продукции на
4584,36 тыс. руб.
В таблице 10.6 представлены расчеты затрат на топливо и электроэнергию.
Таблица 10.6 - Стоимость топлива и электроэнергии
|
Наименование энергоносителя
|
Единица измерения
|
Годовой расход
энергоносителя
|
Стоимость единицы
измерения, руб.
|
Затраты на годовой объем
производства, тыс. руб.
|
|
|
до модернизации
|
после модернизации
|
|
до модернизации
|
после модернизации
|
|
1
|
2
|
3
|
4
|
5
|
6
|
7
|
|
Вода
|
м 3
|
58 000
|
58 000
|
6,41*
|
371,78
|
371,78
|
|
Газ
|
м 3
|
780 000
|
792560
|
4,43*
|
3455,4
|
3511,04
|
|
Электроэнергия
|
кВт
|
990 000
|
992 700
|
4,24*
|
4197,6
|
4209,048
|
|
ИТОГО:
|
|
|
|
|
8024,78
|
8091,86
|
* - тарифы на электроэнергию, действующие в Владимирской обл. в 2014 г.
Из табл. 10.6 видно, при добавлении еще одной секции на каждую печь (их 2
шт.) для выпечки вафельного полуфабриката происходит увеличение годовых затрат
на энергоносители на 67,088 тыс. руб.
10.4 Расчет годового фонда оплаты труда работников и отчислений на
социальное страхование
В этой статье отражаются затраты на основную заработную плату работников
структурного производственного подразделения (цеха, участка), и доплаты,
включая премии, стимулирующие и компенсирующие выплаты в пределах норм,
предусмотренных законодательством.
Расчет численности основных рабочих
Сначала определяется по нормам обслуживания или нормам выработки явочное
число основных рабочих.
Явочное число основных рабочих по нормам обслуживания определяется по
формуле:
, (10.3)
где
Чяв - явочное число основных рабочих в сутки, чел.;
N - количество
единиц оборудования данного вида, шт.;
Нобсл.
- норма обслуживания (количество единиц оборудования или рабочих мест, которое
должно обслуживаться одним рабочим), маш./чел.;
nсм - количество смен в сутки.
Чяв=(19/9)·2=5(чел)
Далее
рассчитывается штатная численность. При прерывном производстве штатная
численность равна явочной, т.е. Чшт.=Чяв.
При
непрерывном производстве:
, (10.4)
где
Чшт. - штатная численность основных рабочих в сутки, чел.;
Чяв.
- явочное число основных рабочих в сутки, чел.;
nсм. - количество сиен в сутки.
Чшт=5
·2=10(чел.)
Списочная
численность рабочих определяется по формуле:
, (10. 5)
где
Чсп. -списочная численность рабочих, чел.;
Чшт.
- штатная численность рабочих, чел.;
КП
- коэффициент пересчета штатной численности в списочную.
, (10. 6)
где
Тном., Тэф. - номинальный и эффективный фонды рабочего
времени, дн.
Тном.
и Тэф. определяется по балансу рабочего времени одного
среднесписочного рабочего, приведенного в табл. 2.8 [81].
Кп=1,13
Чсп.=10·1,13=11,3=12(чел.)
Расчет
численности вспомогательного и управленческого персонала.
Расчет
численности работников представлен в таблице 10.7.
Таблица
10.7 - Расчет численности работников
|
Наименований категорий и
профессий
|
Явочная численность в
смену, чел.
|
Кол-во смен в сутки
|
Явочная численность в
сутки, чел.
|
Штатная численность в
сутки, чел.
|
Списочная численность, чел.
|
|
1
|
2
|
3
|
4
|
5
|
6
|
|
1. Производственные рабочие
1.1. Основные рабочие 1.2. Вспомогательные рабочие
|
5
|
2
|
10
|
10 6 4
|
12 8 4
|
|
2. Руководители, специалисты,
технические исполнители
|
-
|
-
|
-
|
1 2 4
|
1 2 4
|
|
3.
Административно-управленческий персонал (АУП)
|
-
|
-
|
-
|
1
|
1
|
|
4.ВСЕГО РАБОТНИКОВ (п. 1 +
п. 2 + п.3)
|
-
|
-
|
-
|
18
|
20
|
Основная заработная плата рассчитывается разными методами в зависимости
от того, какая форма и система оплаты труда используется на предприятии.
Если используется сдельная система, то среднемесячная заработная плата
исчисляется исходя из сдельных расценок, принятых на предприятии, если
повременная система, то исходя из среднемесячного оклада рабочих.
Заработная плата при простой повременной форме оплаты труда:
Зп.м. = Тч · Чф, (10.7)
где Чф - фактически отработанное количество часов в
месяце.
Заработная плата при простой сдельной форме оплаты труда:
Зс.м.
= Рсд ·
В, (10.8)
где Рсд - расценка;
В
- количество произведенной продукции.
Рсд=
Тст / Нчвыр или Рсд = (Тст·Тсм) / Нсмвыр
или Рсд = Тст · Нвр, (10.9)
где Тст - часовая тарифная ставка выполняемой работы;
Тсм - продолжительность смены, ч;
Нчвыр, Нсмвыр - норма выработки соответственно за
час работы, смену, ед. продукции;
Нвр -
норма времени на изготовление продукции, работ, услуг.
Тч - часовой тарифной ставке работника данного разряда.
По данным табл. 10.7 рассчитываются годовые затраты на оплату труда
работников.
Результаты расчетов представлены в табл.10.8.
Таблица 10.8 - Расчет затрат на оплату труда работников
|
Наименование категории
работников
|
Списочная численность, чел.
|
Среднемесячная З/П 1
работника, тыс. руб.
|
Годовые затраты на оплату
труда ФОТ, тыс. руб.*
|
ФОТ в расчете на единицу продукции,
руб/ кг. (заводское, проектное)
|
|
1
|
2
|
3
|
4
|
5
|
|
1. Производственные
рабочие: 1.1. Основные рабочие 1.2. Вспомогательные рабочие
|
8 4
|
19,323 16,560
|
1855,0 794,88
|
1,64/1,72 0,7/0,73
|
|
ИТОГО
|
12
|
|
2649,880
|
-
|
|
2. Руководители,
специалисты, технические исполнители
|
1 2 4
|
32,400 28,080 26,560
|
388,800 673,920 1274,880
|
- - -
|
|
3.
Административно-управленческий персонал (АУП)
|
1
|
24,840
|
298,080
|
-
|
|
ИТОГО (п. 2 + п. 3)
|
8
|
|
2635,68
|
-
|
|
ВСЕГО (п. 1 + п.2 + п. 3)
|
20
|
|
5285,56
|
-
|
* Годовые затраты на оплату труда рассчитываются по формуле:
ФОТi=ЗПЛср*м ·Чi·12, (10.10)
ФОТi - годовой фонд оплаты труда, руб;
ЗПЛср*м - среднемесячная заработная плата 1-го работника по
категориям, руб.;
Чi - списочная численность работников
по категориям, чел.
Расчет отчислений на социальное страхование производится в табл. 10.9, а
результаты (фонд оплаты труда и отчисления на социальное страхование в расчете
на единицу продукции) заносятся в табл. 10.10.
Таблица 10.9 - Отчисления на социальное страхование
|
Наименование категорий
работников
|
Годовые затраты на оплату
труда, тыс.руб.
|
Норматив отчислений, %*
|
Годовая сумма отчислений,
тыс. руб.
|
Отчисления в расчете на
единицу продукции, руб./кг. (заводская, проектная)
|
|
1
|
2
|
3
|
4
|
5
|
|
Производственные рабочие
Руководители и специалисты АУП
|
2649,88 2337,6 298,08
|
30,2
|
800,26 705,95 90,02
|
0,7/0,74
|
|
ИТОГО
|
|
|
1596,23
|
|
*На сегодняшний день норматив отчислений составляет 30,2%.
Сведем все расчеты в таблицу расчета себестоимости и цены (табл. 10.10).
Таблица 10.10 - Расчет себестоимости и цены единицы продукции, руб.
|
Статьи калькуляции
|
Значения
|
|
факт на весь объем / за кг
|
проект на весь объем/ за кг
|
|
1
|
2
|
3
|
|
1. Стоимость сырья
|
125356,45/ 111,13
|
120772,09/ 112,29
|
|
2. Стоимость основных
материалов
|
|
|
|
3. Побочное сырье
(вычитается)
|
|
|
|
4. Стоимость вспомогательных
материалов
|
|
|
|
5. Топливо и энергия на
технологические цели
|
8024,78/7,11
|
8091,86/7,5
|
|
6. Годовой фонд оплаты
труда работников
|
1855,0/1,64
|
1855,0/1,72
|
|
7. Отчисления на социальное
страхование
|
800,26/0,7
|
800,26/0,74
|
|
8. Амортизация оборудования
|
1135,65/1,0
|
1246,85/1,15
|
|
9. Прочие производственные
расходы
|
6420,6/5,69
|
6670,2/6,2
|
|
10. Производственная
себестоимость
|
143592,74/127,3
|
139436,26/129,7
|
Себестоимость единицы продукции рассчитываем по формуле:
, (10.11)
где
Эз - эксплуатационные затраты на годовой выпуск продукции,
тыс.руб./год;
ПМ
- производственная мощность (годовой выпуск продукции), кг/год.
Себестоимость
единицы продукции до модернизации:
С1
=143592,74 /1127934,72 =127,3 руб./кг.
Лист
вафельного полуфабриката для кондитерских изделий весит 72 г. Таким образом,
себестоимость одного листа вафельного полуфабриката составляет 9,16 руб./шт.
Себестоимость
единицы продукции после модернизации:
С2
= 139436,26/1075472,64 = 129,7 руб./кг.
Таким
образом, себестоимость вафельного полуфабриката после усовершенствования линии
составит 9,33 руб./шт.
Технико-экономические
показатели проекта представлены в табл. 10.11.
Таблица
10.11 - Технико-экономические показатели
|
Наименование показателя
|
Единица измерения
|
Значение показателя
|
|
|
факт
|
проект
|
|
1
|
2
|
3
|
4
|
|
Производственная мощность
|
тыс.кг./год
|
1127,934
|
1075,472
|
|
Инвестиционные издержки
|
тыс.руб.
|
-
|
1372
|
|
Эксплуатационные издержки
|
тыс.руб./год
|
143592,74
|
139436,26
|
|
Затраты на единицу
продукции
|
руб./шт
|
9,16
|
9,33
|
В данном разделе дипломного проекта была рассмотрена целесообразность
введения в рецептуру вафельного полуфабриката для кондитерских изделий
подсолнечного лецитина и усовершенствование технологической линии.
Предложенные нововведения позволят достичь следующих результатов:
) использование подсолнечного лецитина позволит сократить нормы расхода
сырья и материалов за счёт использования материалов заменителей на 3,6 %.
) установка еще одной секции на каждую из печей позволит улучшить
качество изготовляемого продукта, тем самым увеличить себестоимость готового
кондитерского изделия, но незначительно увеличиваются затраты на энергоносители
на 0,8 %.
В ходе проведения усовершенствования технологической линии годовой объем
производства уменьшиться на 4,6 %.
Снижение эксплуатационных издержек за счет уменьшения материальных затрат
составит 2,9 %.
После анализа результатов по предложенным нововведениям нельзя говорить
об эффективности проекта, так как затраты на амортизацию оборудования и на
энергоресурсы выше той экономии, которую мы получаем при замене импортного
сырья. Кроме этого предприятие не продает полуфабрикаты, поэтому о прибыли
говорить в этом случае не целесообразно.
Об определение эффективности проекта можно говорить лишь в следующих
случаях:
) Если в связи с тем, что из-за улучшения качества продукта, в
дальнейшем произойдет увеличение цены за готовый продукт, т.е повыситься
прибыль.
2) Если на линии производства конфет "Раффаэлло"
произойдет модернизация на другом участке, после которой получаемая прибыль
покроет возникшие расходы при улучшении производства вафельного полуфабриката.
Заключение
В данном дипломном проекте модернизирована технологическая линия по
производству вафельного полуфабриката, действующая на ЗАО "Ферреро
Руссия" село Ворша, Владимирской области.
В отличие от действующего производства в дипломный проект внесен ряд
изменений, касающихся усовершенствования технологического процесса.
Произведена замена импортного сырья в рецептуре конфет Раффаэлло на
отечественное сырьё специального назначения на подсолнечный лецитин марки
‹‹Лецитал››, установлена дополнительная секция на печах ‹‹НААS››.
Данные нововведения позволят обеспечить производство необходимым
количеством сырья без ущерба производства, при этом качество продукта останется
неизменным. За счет модернизации производства улучшиться качество вафельного
полуфабриката для кондитерских изделий и уменьшится, количество брака на выходе
готового изделия.
Проведен ряд технологических расчетов:
материальный;
производственной рецептуры теста;
оборудования;
теплоэнергетический.
В дипломном проекте рассмотрена система автоматического управления
ротационной печью "HAAS"
с применением многофункционального контроллера МФК 1500.
Рассмотрены вопросы охраны труда и окружающей среды.
Дана экономическая оценка проектного решения. Предлагаемая модернизация
позволит улучшить качество изготовляемого продукта, тем самым увеличить
себестоимость готового кондитерского изделия.
Список
использованных источников
. Кондитерская промышленность Российской Федерации.
[Электронный ресурс] URL: http://revolution.allbest.ru/economy/00332335_0.html
(дата обращения 08.03.2015).
. Яшин Ю. Счастье в клетку [Электронные ресурсы]//
Foodmarket. 2012.№3.С.45-66.URL:
http://www.foodmarket.spb.ru/current.article=1673 (дата обращения 08.03.2015).
. ГОСТ 14031-68.Вафли. Технические условия. Введ.01.07.1969.
М.: Изд-во стандартов, 1969.16с.
. Классификация мучных кондитерских изделий. [Электронный
ресурс] URL: http://www.breadbranch.com (дата обращения 09.03.2015).
. Першакова Т.В., Яковлева Т.В., Петренко Н.Н.//Разработка
технологии вафельных полуфабрикатов на основе лечебных минеральных (350072, г.
Краснодар, ул. Московская, 2) // Изв. вузов. Пищ. технол. - 2009. - № 4. - С.
46-47. - Англ. 10.08-19Р 1.99.
. Красина И.Б., Джахимова О.И., Тарасенко Н.А., Зубко
Н.А. Роль пищевых волокон в формировании качества. (350072, г. Краснодар, ул.
Московская, 2) // Изв. вузов. Пищ. технол. - 2009. - № 4. - С. 44-45. - Рус.;
рез. англ. 10.13-19Р 1.109.
. Солдатова Е., Савенкова Т., Талейсник М., Шатнюк Л.,
Воробьева И. Вафли витаминизированные "Валетек-5 // Хлебопек. пр-во. -
2007. - № 2. - С. 48-49. - Рус. 09.10-19Р 1.68.
. Красина И.Б., Джахимова О.И., Тарасенко Н.А., Аракчеева
О.А. Состав для приготовления мучного кондитерского изделия: Пат. 2361403
Россия, МПКA 21 D 13/08 (2006.01); ГОУ ВПО Кубан. гос. технол. ун-т. - N
2008100320/13; Заявл. 09.01.2008; Опубл. 20.07.2009. 10.01-19Р 1.90П.
. Красина И.Б., Агафонова Н.А., Зубко Н.В.. Стевиозида в
продуктах функционального назначения (123557, г. Москва, ул. Пресненский вал,
28, info@rae. ru) // Фундам. исслед. - 2007. - № 7. - С. 87-88. - Рус.
09.16-19Р 1.113.
. Состав для приготовления выпекаемого пищевого
продукта. Baked
composition : Заявка 2000032 ЕПВ, МПКA 21 D 2/18%A 21 D 2/24 (2006.01) / Fleury R. Y.; Nestec S.A.
- N 07109495.7; Заявл. 04.06.2007; Опубл. 10.12.2008.
11.03-19Р 1.121П.
12. Филиппова Е.В., Красина И.Б. Разработка вафельных изделий
с использованием сахарозаменителей нового поколения (Пятигорск, ул.
Февральская, 54) // Инновационные направления в пищевых технологиях: Материалы
4 Международной научно-практической конференции, Пятигорск, 19-22 окт., 2010. -
Пятигорск, 2010. - С. 210-212. - Рус. 11.11-19Р 1.202.
. Квасенков О.И. Способ производства диабетических вафель
(варианты): Пат. 2420980 Россия, МПКA21D 13/08 (2006.01); - N 2010126282/21;
Заявл. 29.06.2010; Опубл. 20.06.2011. 11.10-19Р 1.199П.
. Квасенков О. И Способ получения вафель (варианты): Пат.
2431972 Россия, МПКA21D 13/08 (2006.01); - N 2010126262/10; Заявл. 29.06.2010;
Опубл. 27.10.201113. 03-19Р 1.193П.
. Шнейдер Д.В., Казеннова Н.К. Безбелковые и безглютеновые
смеси для выпечки (107996, г. Москва, ул. Садовая - Спасская, 18, комн. 601,
607, foodprom@ropnet. ru) // Хлебопечение России. - 2008. - № 1. - С. 23-24. -
Рус. 08.24-19Р 1.124.
. Hansen C. E., Nicolas P., Valles Pamies B.; Nestec S. A. Влагостойкие вафли. Moisture resistant wafer: Заявка 1982598 ЕПВ, МПКA 21 D 13/00%A 23 L 1/307 (2006.01) - N 07106604.7; Заявл. 20.04.2007; Опубл. 22.10.2008. 11.03- 19Р 1.128П.
. Дотремонт Кристоф, Де Акюти Родольфо, Пиге Хюго; Нестек С.
А Производство съедобных вафель путем экструзии: Пат. 2459411 Россия, МПКA21C
11/16 (2006.01 - N 2009113578/13; Заявл. 10.09.2007; Опубл. 27.08.2012.
13.04-19Р 1.154П.
. Фолиа Микеланджело, Масса Лучано Способ изготовления
вафельных корпусов, вафля и пластина для осуществления способа: Пат. 2437287
Россия, МПКA21B 5/00 (2006.01) СОРЕМАРТЕК С.А. - N 2008108846/12; Заявл.
06.03.2008; Опубл. 27.12.201113. 07-19Р 1.182П.
. Fuji Oil Co., Ltd, Senba Katunori, Umeno Koji, Yamawaki
Yoshio. Способ производства кондитерских изделий, высокостойких к воздействию
тепла. process for producing confectionery highly stable to heat : Пат. 7427420
США, МПКA 23 P 1/08 (2006.01). - N10/220729; Заявл. 28.02.2001; Опубл.
23.09.2008; Приор. 07.03.2000, N 2000-061400 (Япония); НПК 426/306. 10.16-19Р
1.85П.
. Вафли. [Электронный ресурс]: URL: http://www.comodity.ru/
grainflour/confectionerygoods/104.html(дата обращения 09.03.2015).
. ТУ 9124-003-42295149-09.Технические условия на конфеты
Раффаэлло. (ЗАО ФЕРРОРО РУССИЯ) с. Ворша, Собинский район, Владимирская обл.
. ГОСТ Р 52189-2003. Мука пшеничная. Общие технические
условия. Введ. 2005-01-01. М.: Стандартинформ, 2006. 11с.
. Сахар - песок ГОСТ 21-2012. Сахар-песок. Технические
условия. Введ. 1997-01-01. М.: Стандартинформ, 2012. 14 с.
. ГОСТ Р 51574-2000. Соль поваренная пищевая. Технические
условия. Введ. 2001-07-01. М.: ИПК Изд-во стандартов, 2002. 15 с.
. ГОСТ 2156-2001. Натрий двууглекислый. Технические условия.
Введ. 1977-01-01. М.: ИПК Изд-во стандартов, 2001.18 с.
. ГОСТР 53796 2010. Заменители молочного жира. Технические
условия Введ. 2011-07-01. М.: Стандартинформ, 2010. 12 с.
. ГОСТ Р 51232-98. Вода питьевая. Общие требования к
организации и методам контроля качества. Введ. 1999-07-01 М.:
ФГУП"СТАНДАРТИНФОРМ", 2010. 20 с.
. ГОСТ Р 32052- 2013. Добавки пищевые. Лецитины Е 322. Общие
технические условия. Введ.1.01 2014. М.: Стандартинформ, 2013. 30 с.
. Драгилев А.И., Лурье И.С. Технология кондитерских изделий.
- М.: ДеЛи принт, 2001. - 484 с.
. Пшеничная мука. [Электронный ресурс]: URL:
http://www.znaytovar.ru/s/Pshenichnaya-muka.html (дата обращения 21.03.2015).
31. Пищеваяповаренная соль. [Электронный ресурс]: URL:
http://www.bibliofond.ru/view.aspx?id=16873 (дата обращения 21.03.2015).
32. Лецитин как улучшитель. [Электронный ресурс]: URL:
http://bvallejo.livejournal.com/10325.html#cutid1 (дата обращения 21.03.2015).
. Технология приготовления вафель. [Электронный ресурс]: URL:
http://msd.com.ua/texnologiya-prigotovleniya-muchnyx-konditerskix-izdelij/texnologiya-prigotovleniya-vafel.
(дата обращения 25.03 2015).
. Разрыхлитель пищевой. [Электронный ресурс]:URL:
http://baker-group.net/frozen-food/374.html (дата обращения 21.03.2015).
. Добавки МКИ. [Электронный ресурс]:URL:
http://baker-group.net/frozen-food/646.html (дата обращения 25.03 2015).
. Вода как компонент теста. [Электронный ресурс]: URL:
http://hlebopechka.ru/index.php?option=com_smf&Itemid=126&topic=7208.0
(дата обращения 21.03.2015).
. Лурье И.С. Технология кондитерского производства.- М.:
Агропром издат, 1992.-399с.: ил. (Учебники и учеб. пособия для учащихся
техникумов).
. Ауэрман Л.Я. Технология хлебопекарного производства.9-е
изд., перераб. и доп. СПб: Профессия, 2002.415с.
. Пучкова Л.И., Поландова Р.Д., Матвеева И.В. Технология
хлеба, кондитерских и макаронных изделий. Часть 2.Технология кондитерских
изделий. СПб.: ГИОРД,2005. 559с.
. Технология производства вафель. [Электронный ресурс]:URL:
http://buymore.pro/article/technology-proizvodstva/36/vafli(дата обращения
22.04.2015).
. Технология приготовления вафель. [Электронный ресурс]:URL:
http://msd.com.ua/texnologiya-prigotovleniya-muchnyx-konditerskix-izdelij/texnologiya-prigotovleniya-vafel
(дата обращения 22.04.2015).
. Как выбрать тестомесильную машину. [Электронный
ресурс]:URL:http://www.paygid.ru/articles/kak-vibrat-testomes-testomesilnuyu-mashinu/?q=726&n=1024
(дата обращения 25.04.2015).
. Тестомесильная машина. [Электронный ресурс]:URL:
http://www.ntradeplus.ru/katalog/item/2259/(дата обращения 25.04.2015).
. Машина для резки вафельного листа. [Электронный ресурс]:URL:http://vitex-s.com/vafelnye-pechi/mashiny-dlya-rezki-vafelnykh-listov/nagema.html
(дата обращения 25.04.2015).
. Арочный охладитель-стабилизатор.[Электронный
ресурс]:URL:http://vitex-s.com/vafelnye-pechi/okhladiteli-vafelnykh-listov/gemni/arochnyj-tip.html(дата
обращения 25.04.2015).
Камера кондиционирования вафельных листов.[Электронный
ресурс]:URL:http://www.ib-eng.ru/kamera_kondicionirovaniya_vafel-nogo_lista.html(дата
обращения 25.04.2015).
. С.Н. Петрова; Методические указания по выполнению квалификационной
работы бакалавра и магистерской диссертации для студентов направлений 260100 и
240700: метод. указания/ ФГБОУ ВПО Иван. гос. хим.-техн. ун-т. - Иваново, 2012.
-48с.
. Л.И. Пучкова, А.С. Гришин, И.И. Шаргородский, В.Я. Черных.
Проектирование хлебопекарных предприятий с основами САПР. - М.: Колос,1993. -
224с.
. О.В. Неретина Технология хлеба, кондитерских и макаронных
изделий. Часть 1. Технология хлебопекарного производства Часть 2. Технология
мучных кондитерских изделий. Методические указания по освоению дисциплины для
студентов специальности 260202 "Технология хлеба, кондитерских и
макаронных изделий". Иркутск: Изд-во ИрГТУ, 2007.- 85 с.
. Разговоров П.Б. Технологическое оборудование отрасли:
расчеты в масло-жировых производствах: пособие/П.Б. Разговоров, В.К. Горшков;
Иван. гос. хим.- технол. ун-т. - Иваново,2009. - 48с.
. Кондитерские печи. [Электронный ресурс]:URL:
http://xn--b1aaebdaofcpd6amfbdckpeqlip.xnp1ai/index.php?id=96&Itemid=50&option=com_content&view=article
(дата обращения 25.04.2015).
. Лебедев П.Д. Теплообменные, сушильные и холодильные
установки. Учебник для студентов технических вузов. Изд. 2-е, перераб. М.,
"Энергия",1972.
. Дытнерский Ю.И. Процессы и аппараты химической технологии.
Учеб. для вузов. Изд. 2-е. В в 2-х кн. Часть 2.Массообменные процессы
иаппараты. М.: Химия,1995.-368 с.
. Ерофеева, Е.В. Системы управления технологическими
процессами и информационные технологии: учеб. пособие / Е.В. Ерофеева, Б.А.
Головушкин; Иван. гос. хим.-технол. ун-т. - Иваново, 2013. - 80 с.
. ГОСТ 12.1.005-88 ССБТ.Санитарно-гигиенические требования к
воздуху рабочей зоны.
. СанПиН 2.2.4548-96. Гигиенические требования к микроклимату
производственных помещений. Госкомсанэпиднадзор России. - М., 1996.
. ГН 2.2.51313-03 Предельно допустимые концентрации (ПДК)
вредных веществ в воздухе рабочей зоны. Гигиенические нормативы. -
СПб.:ЦОТПБСППО, 2006. - 336 с.
. ГН 2.1.6.1338-03Предельно допустимая концентрация (ПДК)
загрязняющих веществ в атмосферном воздухе населенных мест. Гигиенические
нормативы. - М. МТК "Алас",2003.-84с.
. ГОСТ Р 12.4.233-2007 ССБТ. Средства индивидуальной защиты
органов дыхания.
. ГОСТ Р 12.4.041-2001 ССБТ. Средства индивидуальной защиты
органов дыхания фильтрующие.
. ГОСТ Р 12.4.230.1-2007 ССБТ. Средство индивидуальной защиты
глаз.
. ГОСТ Р 12.4.240-2007 ССБТ. Одежда специальная
дополнительная с радиоактивными и химически токсичными веществами.
. Лейте В. Определение загрязнений воздуха в атмосфере и на
рабочем месте/Пер. А.Ф. Дашкевича; Под. ред. П.А. Коудова, В.Н. Симонова. - Л.:Химия,1980.-344с.
. СНиП 41-01-2003 Отопление, вентиляция и кондиционирование.
. СНиП 2.04.05-86 Отопление, вентиляция и кондиционирование.
. Справочник химика. Дополнительный том. -Л.: Химия. 1968.
507 с.
. СНиП 21-01-97 Пожарная безопасность зданий и сооружений.
. НПБ 105-95. Определение категорий помещений и зданий по
взрывопожарной и пожарной опасности. -М., 1995.
. СНиП 41-03-03 Тепловая изоляция оборудования и
трубопроводов.
. Пожаровзрывоопасность веществ и материалов и средства их
тушения: справ. изд. / А.Н. Баратов и др.-М.: Химия, 1990.
. СНиП 23-05-10 Естественное и искусственное освещение.
. ГОСТ 12.1.003-83CCБ. Шум. Общие требования безопасности.
. СН 2.2.4./2.1.8.562-96 Шум на рабочих местах, в помещениях
жилых и общественных зданий и территорий жилой застройки.
. ГОСТ 12.1.012-90 "ССБТ. Вибрационная безопасность.
Общие требования"
. Правила устройства электроустановок (ПЭУ).-
М.:Энергоатомиздат,1999.
. Проект нормативов о предельно допустимых загрязняющих
веществ (ЗАО ФЕРРОРО РУССИЯ) с Ворша, Собинский район, Владимирская обл.
. Проект нормативов образования отходов и их размещение (ЗАО
ФЕРРОРО РУССИЯ) с. Ворша, Собинский район, Владимирская обл
. ГОСТ 12.1.007-76 "Вредные вещества. Классификация и
общие требования безопасности"
. Кутухтин Е.Г. Коробков В.А. Конструкция промышленных и
сельскохозяйственных зданий и сооружений: Учеб. пособие для техникумов.- 2-е
изд., перераб. и доп.-М.: Архитектура-С.2007.-272с:ил.
. Строительные нормы и правила СНиП 2.09.04-87*
"Административные и бытовые здания"- М.1987.
. ВНТП 21-92. Нормы технологического проектирования
предприятий кондитерской промышленности.- М:1992г.
. Смирнова Н.В. Методические указания для написания
экономической части выпускной квалификационной работы бакалавра по направлениям
240700 "Биотехнология" и 260100 "Продукты питания из
растительного сырья" / сост. Н.В. Смирнова; Иван. гос. хим. технол. ун-т.
- Иваново, 2014. - 39 с.
. Мука пшеничная "Рязаночка". [Электронный ресурс]:
URL: ryazan.catalog2b.ru (дата обращения 19.03.2015).
. Соль поваренная. [Электронный ресурс]: URL:
http://www.rossalt.ru (дата обращения 19.03.2015).
. Сода пищевая. [Электронный ресурс]: URL:
http://dankproduct.ru/krupy/soda (дата обращения 19.03.2015).
. Сахар-песок. [Электронный ресурс]: URL:
http://www.rosshokolad.ru/catalog/sahar_optom/sahar_pesok_v_meshkah_po_50kg/
(дата обращения 19.03.2015).
. Лецитин. [Электронный ресурс]: URL:
http://www.ooosaga.ru/lecitin_podsolnechnyy_soevyy (дата обращения 19.03.2015).
. Растительный жир. [Электронный ресурс]: URL:
http://www.pulscen.ru/price/400601-rastitelnye-zhiry/f:31348_optom (дата
обращения 19.03.2015).