Проектирование молочного предприятия мощностью 20 тонн в сутки

  • Вид работы:
    Курсовая работа (т)
  • Предмет:
    Другое
  • Язык:
    Русский
    ,
    Формат файла:
    MS Word
    462,56 Кб
  • Опубликовано:
    2016-01-14
Вы можете узнать стоимость помощи в написании студенческой работы.
Помощь в написании работы, которую точно примут!

Проектирование молочного предприятия мощностью 20 тонн в сутки

СОДЕРЖАНИЕ

ВВЕДЕНИЕ

. ОБЗОР ЛИТЕРАТУРЫ

.1 Современное состояние рынка молочной промышленности в России

.2 Оборудование и материалы для производства молока, сливок, ряженки и творога

. ОСНОВНАЯ ЧАСТЬ

.1 Логическое обоснование выбора объекта исследования

.2 Характеристика объекта исследования

.3 Технология производства объекта исследования

.3.1 Выбор способа производства

.3.2 Технологические схемы

.3.3 Аппаратурно-технологическая схема

.3.4 Технология

.3.5 Мойка и дезинфекция оборудования

.4 Расчет потребности в основном сырье, вспомогательных материалах и технологическом оборудовании

.4.1 Схема технологических направлений

.4.2 Расчет потребности в основном сырье и вспомогательных материалах

.4.3 Суммирование массы молока

.4.4 Подбор и расчет технологического оборудования

.5 Контроль качества готовой продукции

.5.1 Мероприятия по организации технологического и микробиологического контроля производства

.5.2 Перечень журналов

.5.3 Оформление удостоверения о качестве безопасности

ЗАКЛЮЧЕНИЕ

СПИСОК ИСПОЛЬЗУЕМОЙ ЛИТЕРАТУРЫ

ВВЕДЕНИЕ

Российский рынок молочной продукции является составной частью российской пищевой промышленности. Пищевая промышленность играет огромную роль в экономике любой страны. В настоящее время российская пищевая промышленность объединяет в себе 25 тыс. предприятий, а её доля в объёме российского производства составляет более 10 %.

Молочная промышленность - отрасль пищевой промышленности, объединяющая предприятия по выработке продукции из молока. При этом возможность и уникальность масштабов производства молочных продуктов определяли и определяют численность человечества, его генетический и творческий потенциал. По питательным свойствам молоко представляет собой наиболее совершенный вид продовольствия; состав питательных веществ в нем почти идеально сбалансирован.

Современные молочные комбинаты или заводы осуществляют комплексную переработку сырья, выпускают широкий ассортимент продукции, оснащены механизированными и автоматизированными линиями по розливу продукции в бутылки, пакеты и другие виды тары, пастеризаторами и охладителями, сепараторами, выпарными установками, сыроизготовителями, автоматами по расфасовке продукции. (Алексеева М. М., 2010.)

В настоящее время в молочной промышленности произошли большие изменения, обусловленные, прежде всего возрастающим использованием сырья не молочного происхождения. В связи с тем, что стандарт на термины и определения предусматривает деление всех продуктов из молока (кроме масла и сыра) на молочные и молокосодержащие.

Молочные продукты по новому стандарту допускается вырабатывать из натурального, восстановленного и рекомбинированого видов молока и их смесей, а так же из вторичного молочного сырья без использования не молочных жира и белка.

Молокосодержащие продукты вырабатывают из молока, вторичного молочного сырья и других ингредиентов не молочного происхождения, и должны содержать сухих молочных веществ не менее 25% от общего содержания сухих веществ в готовом продукте.

За прошедшие годы разработаны молочные продукты различного функционального назначения с использованием витаминов, микро- и макроэлементов; бифидобактерий, различных добавок и т.д.

В связи с этим возникла необходимость рассмотреть изменения в ассортименте молочных продуктов с точки зрения науки о рациональном питании и полезности их для здоровья человека.

Целью данного курсового проекта является изучение проектирование предприятия мощностью 20 тонн в сутки в городе Петухово Петуховского района Курганской области.

Для достижения данной цели поставлены следующие задачи:

1. Дать логическое обоснование выбора изучаемой продукции;

. Дать характеристику сырья, используемого для изготовления продукции;

. Изучить технологию производства выпускаемой продукции;

. Произвести расчет потребности в основном сырье, вспомогательных материалах и технологическом оборудовании;

. Проанализировать технологическую схему производства выпускаемой продукции;

. Изучить контроль качества готовой продукции.

1. ОБЗОР ЛИТЕРАТУРЫ

.1 Современное состояние рынка молочной промышленности в России

Молочная промышленность - отрасль пищевой промышленности, объединяющая предприятия по выработке продукции из молока. При этом возможность и уникальность масштабов производства молочных продуктов определяли и определяют численность человечества, его генетический и творческий потенциал. По питательным свойствам молоко представляет собой наиболее совершенный вид продовольствия; состав питательных веществ в нем почти идеально сбалансирован. (Иванова С.В, 2013)

Современные молочные комбинаты или заводы осуществляют комплексную переработку сырья, выпускают широкий ассортимент продукции, оснащены механизированными и автоматизированными линиями по розливу продукции в бутылки, пакеты и другие виды тары, пастеризаторами и охладителями, сепараторами, выпарными установками, сыроизготовителями, автоматами по расфасовке продукции.

Значительная доля российского молока предназначена для переработки и производства молочной продукции.

Структура распределения молока в России в основных сегментах рынка выглядит изображена на рисунке 1.1:

Рисунок 1.1- структура потребления молока по сегментам рынка (доля рынка, %)

Молочный комплекс является одним из важнейших составных частей АПК, главной задачей функционирования которого является удовлетворение потребностей общества в молочной продукции при определенном уровне доходов населения.

Важнейшими факторами роста объемов рынка являются:

Тенденция роста реальных доходов населения;

Потенциал емкости рынка, связанный с низким текущим уровнем потребления молочных продуктов по сравнению с уровнем потребления в странах Европы;

Интерес к здоровому образу жизни;

Приверженность населения России к молочным продуктам.

Эти факторы являются источником увеличения спроса на молочную продукцию в ближайшей перспективе.(Лабинов, В.В, 2013)

Спрос на молочную продукцию удовлетворяется российскими и иностранными производителями, причем доля импорта в отдельных сегментах рынка неуклонно растет. Следовательно, дополнительной возможностью расширения рынка для отечественных компаний является импортозамещение.

Российский молочный рынок активно расширяет ассортимент предоставляемой молочной продукции. Эксперты прогнозируют постепенное снижение потребления традиционных молочных продуктов (сметана, ряженка, простокваша) в пользу обогащенных современных продуктов (биокефир, биомолоко, биойогурт). Перспективны также любые десертные молочные продукты, которые люди потребляют не для утоления голода, а для удовольствия. И это прежде всего связано с увеличением дохода населения. Общий объем этих продуктов будет расти не только за счет увеличения количества новых потребителей, но и за счет роста частоты потребления постоянными покупателями этой категории продуктов. (Ермакова, Е.Е., 2014)

Что касается анализа рынка молока и молочной продукции в России, то рынок молочной продукции развивается и растет, соответственно усиливается и конкуренция на нем. Это связано со многими факторами, а именно, постоянным наращиваем объемов производства игроками рынка, появлением в России заводов иностранных производителей и постепенным ростом благосостояния большей части населения страны.

Рынок молока, по мнению экспертов, является высококонкурентоспособным. Тенденциями этого рынка является процесс «брендирования» рынка молочной продукции. На рынке существуют крупные предприятия и холдинги, у которых свое высокотехнологическое оборудование, имеются средства на маркетинговые мероприятия и дилерская сеть. Неудивительно, что из-за таких предприятий вытесняются небольшие фирмы или заводы.

По причине отсутствия средств, необходимых для модернизации производства, расширения сети сбыта продукции, географии снабжения, создания и рекламирования торговой марки, местные компании часто бывают неконкурентоспособными. С каждым годом крупные производители поглощают все большее количество мелких региональных производителей. В связи с тем, что крупные предприятия имеют прочный как финансовый, так и производственный фундамент и к тому же хорошо ориентируются на рынке, многим малым производителям выгоднее к ним присоединится, чем действовать самостоятельно. Из всего вышесказанного можно спрогнозировать, что в будущем молочную продукцию будут выпускать небольшое количество крупнейших производителей, ведь уже на сегодняшний день они занимают большую долю рынка.

Подведя итог можно сказать, что и российский рынок молочной индустрии характеризуется неплохими перспективами роста, но повышение цен и неравномерное расширение рынка создадут, с одной стороны, много возможностей для ключевых игроков в цепочке молочных поставок, а с другой стороны, немало проблем. (Иванова, С.В,2013)

.2 Оборудование и материалы для производства молока, сливок, ряженки и творога

Правильная переработка молока, качественные ингредиенты, а также тщательное исполнение всех этапов производственного процесса имеют огромное значение в молочной промышленности. В настоящее время существует оборудование с автоматическим процессом управления для переработки молока (сыр, масло, пахта, йогурт, творог). С помощью такого оборудования производственный процесс контролируется надежными и удобными в употреблении машинами, реализуется весь объем молока и увеличивается срок хранения молочных продуктов. (Горощенко Л.Г,2013)

Рассмотрим оборудование для изготовления пастеризованного молока, сливок, ряженки и творога.

Пастеризацию молока проводят в целях уничтожения болезнетворных микроорганизмов и снижению количества микроорганизмов. Подавление микроорганизмов при воздействии температуры протекает по времени. Поэтому температура и продолжительность нагревания продукта является основными факторами, определяющими эффективность пастеризации.

Рисунок 1.2 - Пастеризатор молока мод. PS020.35.1

Пастеризованное молоко вырабатывают в следующем ассортименте:

·        цельным называют нормализованное или восстановленное молоко с определенным содержанием жира - 3.2% и 2.5%

·        восстановленным называют молоко, приготовленное полностью или частично измолочных консервов. Для получения восстановленного молока сухое цельное молоко растворяют в теплой воде и выдерживают не менее 3-4 часов для наибольшего набухания белков, устранения водяного вкуса, а также для достижения нормальной плотности и вязкости. Затем смесь очищают, гомогенизируют, пастеризуют, охлаждают и разливают.

·        молоко повышенной жирности готовят из нормализованного молока с содержанием 6% жира, подвергнутого гомогенизации.

·        топленым называется молоко, подвергнутое гомогенизации, пастеризации при температуре не ниже 95 градусов и выдержке в течении 3-4 часов.

·        белковое молоко содержит повышенное количество сухих обезжиренных веществ. Вырабатывают его из молока, нормализованного по содержанию жира, с добавлением сухого или сгущенного молока.

·        витаминизированное молоко готовят из цельного или нежирного молока, обогащенного витаминами A,C,D2.

·        нежирное молоко - это пастеризованная часть молока, получаемое сепарированием и содержащее не более 0.05% жира.

·        стерилизованное молоко. По вкусу, запаху и цвету (специфического вкуса бурого цвета) оно сходно с топленым. Выпускается в бутылках с содержанием жира 3.2% и в пакетах с содержанием жира 2.5;3.5%. (Авчухова,А.В, 2014)

Сливки получают путем сепарации молока. Сепарирование - это процесс разделение продукта на фракции с различной плотностью во вращающемся сепарирующем устройстве - барабане. По технологическому назначению различают сепараторы для выделения жировой фракции и загрязнений, а также для обезвоживания белковой фракции.

Сепаратор-сливкоотделитель (рис.1.3) предназначен для сепарирования молока, а также отделения жира в сыворотке (творожная, подсырная, казеиновая) если содержание жира в сыворотке превышает 0,05%. Данный сепаратор оснащен трехходовым клапаном, представляющим возможность вторичного смешивания молока.(Ермакова Е.Е, 2014)

Рисунок 1.3 - Сепаратор-сливкоотделитель производительностью 10 т/ч

Ряженка изготавливается из топлёного коровьего молока совместным молочнокислым и спиртовым брожением. Заквашивание производится термофильными молочнокислыми стрептококками и чистыми культурами болгарской палочки, сквашивается в течение 3-6 часов. Кроме бесспорной экологичности, ряженка является еще и исключительно полезным продуктом. Она, как любой кисломолочный продукт очень легко усваиваться организмом и обладает лечебными свойствами: один стакан ряженки содержит 25% суточной потребности человека в кальции и 20% - в фосфоре.

Ряженку производят двумя способами резервуарным и термостатным. При резервуарном способе используют танк для созревания и производства кисломолочных продуктов любого объема.

Топленое молоко вырабатывают из смеси молока и сливок, подвергнутой высокотемпературной обработке при 90°С с выдержкой около трех часов. Характеризуется своеобразным привкусом высокой пастеризации и кремовым оттенком, интенсивность которого зависит от продолжительности выдержки смеси при высокой температуре. (Лабинов, В.В, 2013)

Творогоизготовители предназначены для производства творога кислотным и/или кислотно-сычужным способом. Творогоизготовитель представляет собой горизонтальную, со змеевиками нагрева и охлаждения, теплоизолированную емкость с режуще-вымешивающим устройством. На лицевом днище на трех различных по высоте уровнях установлены три смотровых окна и три датчика температуры для контроля температуры сгустка, сыворотки и уровня опорожнения емкости. Для контроля массы заливаемого продукта устанавливается датчик давления. Так же укомплектованы системой разрезки сгустка, системой нагрева и автоматизации технологического процесса, включая графический интерфейс оператора, площадкой обслуживания.

Выполняемые технологические операции:

сквашивание молока,

разрезки и вымешивание сгустка,

подогрев и охлаждение сгустка,

термомеханическая обработка сгустка,

слив сгустка с сывороткой,

СIP мойка.

Таким образом, можно сделать вывод о том, что в настоящее время предприятие молочной промышленности оборудованы современной перерабатывающей техникой. Это позволяет предприятиям производить высококачественную продукцию, сберечь пищевую и биологическую ценность компонентов сырья в молочных продуктах и сделать свою продукцию востребованной. (Панфилов В.А, 2001)

2. ОСНОВНАЯ ЧАСТЬ

.1 Логическое обоснование выбора объекта исследования

молочный промышленность пастеризованный производство

Для написания курсовой работы "Проектирование предприятия мощностью 20 тонн в сутки" я выбрала изготовление пастеризованного молока, сливок, ряженки и творога в городе Петухово Курганской области. Мой выбор обоснован тем, что в Петухово не имеется предприятия молочной промышленности, а рекомендуемые нормы потребления молочных продуктов на 1 человека в год - 392 кг (в пересчёте на молоко), т.е. суточная потребность составляет более 1 литра.

Численность населения в Петухово на 1 января 2015 года составляет 10537 человек. Таким образом получаем, что ежедневная норма употребления в пересчете на молоко для города Петухово около 11275 литров, то есть при возведении предприятия мощностью 20 тонн в сутки можно полностью обеспечить население молочными продуктами, а так же и соседние районы.

На предприятии будет производиться следующий ассортимент продукции:

.        Молоко пастеризованное 2,5% жирности;

.        Молоко топленое 4% жирности;

.        Молоко обезжиренное 0,05% жирности;

.        Ряженка 4% жирности;

.        Творог 18% жирности;

.        Сливки пастеризованные 25% жирности;

В качестве побочного продукта образуются:

.        Высокожирные сливки 50% жирности;

.        Сыворотка, которая пойдет на изготовление напитка из сыворотки.

Пастеризованное молоко отличается высокой пищевой ценностью, сохраняет вкус молока, уничтожает вредные бактерии и делает его продуктом длительного хранения.

Сливки - продукт, пожалуй, не менее популярный, чем молоко. Их приготавливают методом сепарации. Они обладают значительно большей питательной ценностью, по сравнению с молоком. Польза сливок в том, что в их составе есть микроэлементы, такие как натрий и кальций, железо и калий, фосфор и магний. Есть цинк, медь, фтор и йод. В изобилии витамины А, группы В, РР и С.

Ряженка полезна тем, что она, являясь настоящим источником полезных веществ, которые необходимы человеку, легко усваивается организмом. В ней содержится большое количество кальция и фосфора, что предупреждает развитие остеопороза костей и других заболеваний, связанных с дефицитом кальция. Один стакан такого прекрасного напитка обеспечивает организм на 20 % от суточной нормы фосфора и 25 % от суточной потребности в кальции.

Топленое молоко поможет укрепить кости благодаря содержащимся в нем витаминам С и Д. Они способствуют укреплению и нормальному формированию костных тканей. Так же витамин С полезен для укрепления иммунной системы. Вместе с витамином Е, который тоже является прекрасным антиоксидантом, он не только способен улучшить ваш иммунитет, но и нормализировать гормональный фон.

Путем сквашивания молока и термической обработки получают творог. Полезные свойства творога обусловливаются его целебным составом. Молочный белок - казеин, содержащийся в твороге, обладает высокой питательной ценностью и может заменить животные белки.

Минеральные вещества, входящие в состав творога, способствуют формированию и укреплению костной ткани. Аминокислоты, содержащиеся в твороге, способствуют профилактике заболеваний печени. Витамины группы В защищают от атеросклероза.

Таким образом, молочные продукты - обязательный элемент здорового питания. Регулярно употребляя их в нормированных количествах, человек укрепляет свой иммунитет, защищает себя от различных недугов.

.2 Характеристика объекта исследования

Все молочные продукты должны вырабатываться в соответствии с нормативно-технической документацией.

Согласно "ГОСТ Р 52090-2003 Молоко питьевое. Технические условия" для изготовления пастеризованных, топленых продуктов применяют следующее сырье:

молоко коровье не ниже второго сорта по ГОСТ Р 52054;

молоко сухое (для молочного напитка) по ГОСТ Р 52791;

сливки сухие по ГОСТ 1349;

масло сливочное несоленое по ГОСТ 37;

пахта сладко-сливочного масла с кислотностью не более 17 °Т, плотностью не менее 1024 кг/м.

Продукты изготовляют в соответствии с требованиями настоящего стандарта по технологическим инструкциям, утвержденным в установленном порядке.

По органолептическим характеристикам продукт должен соответствовать требованиям, приведенным в таблице 1.1

Таблица 1.1- Органолептические характеристики молока

Наименование показателя

Характеристика

Внешний вид

Непрозрачная жидкость. Для жирных и высокожирных продуктов допускается незначительный отстой жира, исчезающий при перемешивании.

Консистенция

Жидкая, однородная нетягучая, слегка вязкая. Без хлопьев белка и сбившихся комочков жира.

Вкус и запах

Характерные для молока, без посторонних привкусов и запахов, с легким привкусом кипячения. Для топленого и стерилизованного молока - выраженный привкус кипячения. Для восстановленного и рекомбинированного допускается сладковатый привкус.

Цвет

Белый, равномерный по всей массе, для топленого и стерилизованного - с кремовым оттенком, для обезжиренного - со слегка синеватым оттенком.


Согласно "ГОСТ Р 53435-2009 Сливки сырье. Технические условия" Сливки получают сепарированием сырого коровьего молока в соответствии с требованиями настоящего стандарта и соблюдением требований, установленных нормативными правовыми актами Российской Федерации.

Сливки в зависимости от микробиологических, органолептических и физико-химических показателей подразделяют на сорта: высший, первый и второй.

1.      По органолептическим показателям сливки должны соответствовать требованиям, изложенным в таблице 1.2.

Таблица 1.2 - Органолептические характеристики сливок

Наименование показателя

Характеристика для сливок сорта


высшего

первого

второго

Вкус и запах

Выраженный сливочный, чистый, сладковатый

Сливочный, сладковатый со слабо выраженным кормовым привкусом и запахом

Недостаточно выраженныйсливочный, сладковатый, недостаточно чистый и (или) с кормовым привкусом и запахом


С привкусом пастеризации - для пастеризованных сливок

Консистенция и внешний вид

Однородная, гомогенная

Однородная, гомогенная или с единичными комочками жира

Цвет

Белый, с кремовым оттенком, однородный по всей массе

Примечание - Сливки второго сорта допускаются к переработке на топленое масло, после дополнительной технологической обработки и/или высокотемпературной пастеризации - на другие продукты.



Для получения сливок используют сырое коровье молоко, соответствующее требованиям нормативного правового акта Российской Федерации и ГОСТ Р 52054.

Согласно "ГОСТ Р 52094-2003. Ряженка. Технические условия" по

2.      органолептическим характеристикам продукт должен соответствовать требованиям таблицы 1.3

Таблица 1.3 - Органолептические характеристики ряженки

Наименование показателя

Характеристика

Вкус и запах

Чистые, кисломолочные, с выраженным привкусом пастеризации, без посторонних запахов и привкусов

Цвет

Светло-кремовый, равномерный по всей массе

Консистенция и внешний вид

Однородная, с нарушенным или ненарушенным сгустком, без газообразования


Топленое молоко - молоко питьевое, подвергнутое термической обработке при температуре от 85 до 99 градусов Цельсия с выдержкой не менее чем в течение трех часов до достижения специфических органолептических свойств.

Готовый продукт должен соответствовать требованиям, указанным в ГОСТ Р 52090-001.

Органолептические показатели должны соответствовать таблице 1.4

Таблица 1.4 - Органолептические характеристики топленого молока

Наименование показателя

Характеристика

Внешний вид

Непрозрачная жидкость.

Консистенция

Жидкость однородная не тягучая.

Вкус и запах

Характерные для молока с легким привкусом кипячения. Допускается сладковатый вкус

Цвет

Характерен выраженный светло - кремовый цвет.



Согласно "ГОСТ Р 52096-2003. Творог. Технические условия (с изменением №1)" По органолептическим характеристикам продукт должен соответствовать требованиям таблицы 1.5

Таблица 1.5 - Органолептические характеристики творога

Наименование показателя

Характеристика

Внешний вид и консистенция

Мягкая, мажущаяся или рассыпчатая с наличием или без ощутимых частиц молочного белка. Для обезжиренного продукта - незначительное выделение сыворотки

Вкус и запах

Чистые, кисломолочные, без посторонних привкусов и запахов. Для продукта из восстановленного и рекомбинированного молока с привкусом сухого молока

Цвет

Белый или с кремовым оттенком, равномерный по всей массе


Для изготовления продукта применяют следующее сырье:

молоко коровье не ниже второго сорта по ГОСТ Р 52054;

молоко сухое по ГОСТ Р 52791;

сливки сухие по ГОСТ 1349;

масло сливочное несоленое по ГОСТ 37;

закваски и бакконцентраты для творога, состоящие из лактококков или лактококков и термофильных молочнокислых стрептококков по ТУ 9229-369-00419785-04 Закваски, бактериальные концентраты, дрожжи и тест-культуры.

При производстве творога образуется побочный продукт - молочная сыворотка. Ее используют при изготовлении напитка из сыворотки.

Готовый продукт должен соответствовать требованиям, указанным в ТУ 9222-363-00419785-04

Органолептические показатели напитка из сыворотки должны быть следующими (табл. 1.6)

Таблица 1.6- Органолептические характеристики напитка из сыворотки

Наименование Показателя

Характеристика

Консистенция и внешний вид

Однородная, допускается незначительный осадок белка

Вкус и запах

Кислосладкий, освежающий с соответствующим вкусом и ароматом внесенных наполнителей

Цвет

Обусловленный цветом внесенных наполнителей, равномерный по всей массе


Таким образом, можно сделать вывод, что все молочные продукты вырабатываются в соответствии со стандартом и из сырья высокого качества.

2.3 Технология производства объекта исследования

.3.1 Выбор способа производства

При проектировании данного предприятия выбор способов производства и технологические схемы принимаются в соответствии с действующими технологическими инструкциями и передовым производственным опытом, с учетом наиболее полной механизации и автоматизации производства.

При выборе способа производства обращали внимание на:

• Наиболее полную механизацию и автоматизацию производства;

•        Использование поточных линий;

•        Получение продукта высокого качества;

•        Снижение производственных потерь;

•        Максимальную изоляцию продукта от окружающей среды;

•        Надежную упаковку для хранения готовой продукции.

В данной работе предусмотрены такие схемы технологических процессов, которые обеспечат максимальную изоляцию продукта от окружающей среды во избежание излишней бактериальной обсемененности продукции с целью повышения ее стойкости при хранении.

Выбор режимов пастеризации предопределяется технологическими условиями и свойствами продукта. При содержании в продукте компонентов, отличающихся низкой термоустойчивостью, следует применять длительную пастеризацию. Процесс длительной пастеризации хотя и обеспечивает надежное уничтожение патогенных микробов и наименьшее изменение физико-химических свойств молока, однако требует больших затрат, связанных с использованием малопроизводительного оборудования.

Наиболее распространенным способом в производстве пастеризованного молока, кисломолочных продуктов, мороженого является кратковременная пастеризация. Этот способ также надежен для инактивации микробов и максимального сохранения исходных свойств молока. Моментальная пастеризация по воздействию на микробы и свойства молока аналогична кратковременной. Она рекомендуется для пастеризации сливок, из которых вырабатывается масло, и при производстве молочных консервов.

Сопротивляемость микроорганизмов тепловой обработке увеличивается при повышении содержания жира и сухих веществ в продуктах (сливки, смесь для мороженого), так как жировые и белковые вещества оказывают защитное действие на микробные клетки. Поэтому для продуктов с повышенным содержанием жира и сухих веществ температуря пастеризации должна быть увеличена на 10-15 % по сравнению с температурой пастеризации молока.( Алексеева М. М, 2010)

Таким образом, все способы пастеризации позволяют получить продукт, безвредный для непосредственного употребления в пищу, но обладающий ограниченным сроком хранения.

Для производства сливок выбираем способ сепарации, так как он имеет ряд преимуществ:

. быстрота отделения сливок из молока;

. не требуется большой площади;

. сепарирование очищает молоко от механических загрязнений, сливки и обезжиренное молоко получаются очень чистыми;

. при помощи сепаратора можно получать сливки любой жирности;

. высокое качество сливок.

Для производства ряженки выбираем резервуарный способ сквашивания, который обеспечивает, в первую очередь, полную механизацию и автоматизацию производства, большую экономию производственных площадей и обеспечивает наилучшие режимы сквашивания.

Способ производства топленого молока, включает нормализацию, пастеризацию, гомогенизацию, топление, перемешивание, охлаждение и розлив.

При производстве творога используются два способа производства творога: традиционный (обычный) и раздельный.

Мы будем получать нежирный творог раздельным способом. Сущность раздельного способа заключается в том, что сначала получают обезжиренное молоко и высокожирные сливки, массовая доля жира в которых составляет 50-55 %. Затем из обезжиренного молока вырабатывают нежирный творог и смешивают его с высокожирными сливками. Использование сепараторов для отделения сыворотки от творожного сгустка исключает применение ручного труда для этой трудоемкой операции.

2.3.2 Технологические схема

Технологический процесс производства молока пастеризованного представлен на рисунке 2.1; пастеризованных сливок 2.2; творога 2.3; ряженки 2.4; топленого молока 2.5; напитка из сыворотки 2.6.






















Рисунок 2.1 - Технологическая схема процесса производства пастеризованного молока













Рисунок 2.2 - Технологическая схема процесса производства пастеризованных сливок.

 

Приёмка молока и оценка качества

Охлаждение до температуры 4-6оС

 



Промежуточное хранение



Подогрев до 40-45оС,сепарирование



 

Пастеризация обезжиренного молока при t 76±2ºС с выдержкой 20 с

Охлаждение до t заквашивания 30-32оС

 



 

Заквашивание и сквашивание 8 часов

Обработка сгустка

 



Охлаждение до 14 оС



Смешивание обезжиренного творога со сливками 50% жирности







Рисунок 2.3 -Технологический процесс производства творога






















Рисунок 2.4 - Технологическая схема производства ряженки
















Рисунок 2.5 - Технологическая схема процесса производства топленого молока.








Рисунок 2.6 - Технологический процесс производства напитка из сыворотки. (Крусь Г.Н,2004)

2.3.3 Аппаратурно-технологическая схема

Аппаратурно-технологическая линия производства пастеризованного и топленого молока предоставлена на рисунке 2.7

Рисунок 2.7 - аппаратурно-технологическая схема производства топленого и обезжиренного молока. 1 - насосы для молока; 2 - счетчик-расходомер; 3 -резервуар для временного хранения; 4 - пластинчатая охладительная установка; 5 - уравнительный бачок; 6 - пластинчатая пастеризационно-охладительная установка для молока; 7 - сепаратор-молокоочиститель; 8 - гомогенизатор; 9 - трубчатая пастеризационная установка; 10 - емкость.

Часть топленого молока готово к выпуску в чистом виде, другая идет на производство ряженки.

Аппаратурно-технологическая линия производства ряженки предоставлена на рисунке 2.8

Рисунок 2.8 - аппаратурно-технологическая схема производства ряженки - 1 - емкость для хранения закваски; 3 - унифицированная емкость с топленным молоком для производства ряженки; 2, 4 - насосы для вязких продуктов; 5 - фасовочный автомат

Аппаратурно-технологическая линия производства творога, сливок и обезжиренного молока предоставлена на схеме 2.9

Схема 2.9. 1- емкости для молока; 2 - насос; 3 - уравнительный бачок, 4 - секция рекуперации пластинчатой пастеризационно-охладительной установки; 5 - сепаратор-сливкоотделитель; 6 - промежуточную емкость; 7 - насос; 8 - пластинчатая пастеризационно-охладительная установка; 9 - двустенная емкость; 10 - заквасочник; 11 - резервуар для сквашивания; 12 - насос; 13 - теплообменник; 14 - сетчатый фильтр; 15 - сепаратор-творогоизготовитель; 16 - насос; 17 - охладитель; 18 емкость; 19 - месильная машина; 20 - фасовочные машины. (Калинина Л.В,2008)

.3.4 Технология

Технология производства пастеризованного и топленого молока

Вначале оценивается качество молока и производится его приемка, в процессе которой молоко перекачивается центробежными насосами из автомолцистерн. Для определения количества молока на заводах используют устройства для измерения массы - весы и объема-расходомеры-счетчики. Масса принимаемого молока может устанавливаться также за счет использования емкостей с тензометрическим устройством или путем использования тарированных емкостей.

Принятое молоко проходит первичную обработку, в процессе которой оно сначала очищается от механических примесей на фильтрах или сепараторах-молокоочистителях, а затем оно охлаждается до 4-6°С на пластинчатых охладителях и насосами по трубам через уравнительный бачок направляется в емкости хранения. Молоко с температурой не выше 10 °С допускается принимать без охлаждения. Охлажденное молоко хранится в емкостях и нормализуется.

С помощью нормализации доводят до требований стандарта содержание в молоке жира или сухих веществ. В зависимости от жирности исходного сырья и вида вырабатываемого молока для нормализации по содержанию жира используют обезжиренное молоко или сливки, по содержанию сухих веществ - сухое обезжиренное молоко. Нормализацию молока проводят двумя способами: в потоке или путем смешивания. Для нормализации в потоке используют сепараторы-нормализаторы, в которых непрерывная нормализация молока совмещается с очисткой его от механических примесей.

Перед поступлением в сепаратор-нормализатор молоко предварительно нагревается до 40-45 °С в секции рекуперации пластинчатой пастеризационно-охладительной установки. Для этого к определенному количеству цельного молока при тщательном перемешивании добавляют нужное количество обезжиренного молока или сливок, рассчитанное по материальному балансу.

Для предотвращения отстоя жира и образования в упаковках сливочной пробки при производстве молока топленого, восстановленного и с повышенной массовой долей жира (3,5-6,0%) нормализованное молоко подогревают до 40-45°С и очищают на центробежных сепараторах-молокоочистителях и обязательно гомогенизируют в гомогенизаторах при температуре 45-63 °С и давлении 12,5-15 МПа. Затем молоко пастеризуют при 76 °С (±2 °С) с выдержкой 15-20 с и охлаждают до 4-6 °С с использованием пластинчатых пастеризационно-охладительных установок. Эффективность пастеризации в таких установках достигает 99,98 %.

При выработке топленого молока нагрев осуществляют при температуре 95-99°С в трубчатых или пластинчатых пастеризаторах. Выдержку при данной температуре или процесс топления молока проводят в закрытых емкостях в течение 3-4 ч. После топления молоко охлаждают в пластинчатых пастеризационно-охладительных установках до температуры 4-6°С. Затем молоко при температуре 4-6°С поступает в промежуточную емкость, из которой направляется на фасование. Перед фасованием выработанный продукт проверяют на соответствие требованиям стандарта.(19)

Технология производства ряженки

Часть топленого молока получившегося при производстве пастеризованного молока используется при изготовлении ряженки.

После охлаждения топленое молоко заквашивают специально подобранными заквасками, приготовленными на чистых культурах. Смесь для ряженки заквашивают закваской, образовавшейся при производстве нежирного творога. Закваску вносят при включенной мешалке, затем смесь перемешивают в течении 15± 2 минут. Закваску можно вносить также перед подачей смеси в резервуар. Смесь сквашивают при температуре 40 ± 2 ºС в течение 5 часов. Окончание сквашивания определяют по образованию достаточно прочного сгустка и кислотности 70-85 0Т - для ряженки. По окончании сквашивания в межстенное пространство резервуара подают ледяную воду в течение 10-30 минут. Первое перемешивание после сквашивания должно обеспечить однородную консистенцию молочного сгустка. При хранении ряженки с неоднородной, комковатой консистенцией может отделиться сыворотка. В резервуаре сгусток можно охладить до температуры от 16 до 18 ºС с последующим охлаждением до 6 ± 2 ºС упакованного продукта в холодильной камере.

Технология производства творога, сливок и обезжиренного молока

При раздельном способе производства молоко, предназначенное для выработки творога, из емкости насосом подается в уравнительный бачок, а из него - в секцию рекуперации пластинчатой пастеризационно-охладительной установки для подогревания до 40 - 45°С. Подогретое молоко поступает в сепаратор-сливкоотделитель, в котором разделяется на обезжиренное молоко и сливки с массовой долей жира не менее 50 - 55%. Полученные сливки подают сначала в промежуточную емкость, а затем насосом в пластинчатую пастеризационно-охладительную установку, где они пастеризуются при температуре 85 - 90°С с выдержкой 15 - 20 с, охлаждаются до 2 - 4°С и направляются в двустенную емкость на временное хранение.

Пастеризация сливок предназначена для полного уничтожения патогенных микроорганизмов и максимально - всей остальной микрофлоры, инактивации ферментов, ускоряющих порчу продукта. Эффективность пастеризации обеспечивается правильностью выбора температуры нагревания сливок и продолжительности выдержки их при этой температуре.

Пастеризованные сливки охлаждают до температуры не выше 6 С и направляют на розлив и упаковывание. Хранят сливки не более 24 ч при температуре 3-6 С.

Обезжиренное молоко из сепаратора поступает в пластинчатую пастеризационно-охладительную установку, где сначала пастеризуется при температуре 78°С с выдержкой 15 - 20 с, а затем охлаждается до 30 - 34°С и направляется в резервуар для сквашивания, снабженный специальной мешалкой. Закваска, приготовленная в заквасочнике, насосом подается в резервуар для заквашивания. После заполнениямолоком и внесением закваски добавляют 40% водный раствор хлористого кальция из расчета 400 г безводной соли на 1 тонну молока и раствор сычужного порошка из расчета 1-1,2 г активностью 100000 единиц на 1 тонну молока.

Закваску, растворы хлористого кальция и сычужного фермента вносят при непрерывном перемешивании молока механической мешалкой. Перемешивании молока после заквашивания продолжают в течение 10-15 мин; затем оставляют молоко в покое до образования плотного сгустка требуемой кислотности.

Сквашивание молока определяют по величине рН сгустка, которая должна быть в пределах 4,3-4,5, или по титруемой кислотности: сыворотки-60-70 ОТ и сгустка-98-118 ОТ

Готовый сгусток тщательно перемешивают и насосом подают в трубчатый подогреватель, где его нагревают до 60-62 ОС, охлаждают до 28-32 ОС и направляют через сетчатый фильтр в сепаратор для получения обезжиренного творога. Из теплообменника сгусток через сетчатый фильтр под давлением подается в сепаратор-творогоизготовитель, где разделяется на сыворотку и творог.

При выработке жирного творога обезвоживание сепарированием проводят до массовой доли влаги в сгустке 75-76 %, а при выработке полужирного творога - до массовой доли влаги 78-79 %. Полученный обезжиренный творог подают специальным насосом сначала на охладитель для охлаждения до 8°С, затем растирают на вальцовке до получения гомогенной консистенции. Охлажденный творог направляют в месильную машину, куда дозирующим насосом подаются пастеризованные охлажденные сливки из емкости и все тщательно перемешивается. Готовый творог фасуют на машинах и направляют в камеру для хранения.(18)

Технология производства напитка из сыворотки

При производстве творога образуется такой побочный продукт как молочная сыворотка. Из нее изготавливают напиток, путем добавления в нее некоторых компонентов.

Сыворотку в аппарате нагревают до 35-45 ОС, а затем направляют на сепаратор для отделения жира дестабилизированного белка.

Для повышения растворимости вносимого впоследствии сахара предварительный подогрев сыворотки производят до температуры (55±2)˚С.

В предварительно подогретую сыворотку (или пермеат) при постоянном перемешивании вносят сахар до его полного растворения, затем воду питьевую и плодово-ягодный наполнитель в соответствии с рецептурой.

Полученную смесь пастеризуют в при температуре (76±2)˚С с выдержкой 15-20 секунд и охлаждают до температуры (20±2)˚С.

Перед началом розлива продукт перемешивают в течение 3-5 минут. Фасуем в полиэтиленовые пакеты вместимостью 1 литр. Упакованную продукцию при необходимости доохлаждают в холодильной камере до 4±2 ºС, после чего технологический процесс считается законченным и продукт готов к реализации. Хранение продукта должно производиться при температуре 4±2 0С 7 суток, в том числе на предприятии-изготовителе не более 2 суток. (Храмцов А.Г, 2004)

2.3.5 Мойка и дезинфекция оборудования

Качество выпускаемой молочными предприятиями продукции в значительной мере определяется качеством мойки и дезинфекции технологического оборудования, тары, инвентаря, с которыми соприкасаются молоко и молочные продукты. Каждый цех должен иметь утвержденный начальником цеха график санитарной обработки оборудования. Мойку и дезинфекцию оборудования производит специально выделенный персонал.

Мойку и дезинфекцию молочного оборудования следует проводить всегда раздельно, так как высокое содержание белков в молочных остатках на стенках недостаточно отмытой посуды и инвентаря не даст возможность провести эффективную дезинфекцию. Поэтому дезинфекции должна предшествовать предварительная мойка.

Наиболее перспективна в молочной промышленности автоматическая система мойки и дезинфекции, когда каждая емкость после ее опорожнения немедленно включается в цикл мойки. При периодической системе мойки необходимо контролировать ее регулярность. Большое значение для эффективной санитарной обработки имеет централизованное приготовление моющих и дезинфицирующих растворов. Основной 10 процентный раствор хлорной извести должен готовиться централизованно на всех предприятиях и ежедневно контролироваться.

На предприятиях молочной промышленности для мойки технологического оборудования используют средства, представляющие отдельные химические вещества, или сложные смеси, состоящие из нескольких химических веществ, усиливающих действие друг друга. К моющим препаратам, применяемым в молочной промышленности, предъявляются определенные требования: низкое поверхностное натяжение, хорошая смачивающая и эмульгирующая способность, необходимая степень набухания и пептизации белков, пенообразующая способность, стабилизирующее действие, легкая смываемость и др. Для мойки оборудования и посуды применяют кальцинированную и каустическую соду, "Триас-А", "Вимол", "Мойтар", "Фарфорин" и др. Для удаления молочного камня с оборудования разрешено использовать азотную и сульфаминовую кислоты. Выполнение работ по приготовлению растворов кислот и щелочных моющих растворов требует необходимой предосторожности.

Оборудование и посуду дезинфицируют путем обработки их поверхности препаратами, содержащими активный хлор (хлорная известь, хлорамин, гипохлорит кальция и натрия), горячей водой, паром. Для дезинфекции поверхности бумажной тары для упаковки молока используют ультрафиолетовые лучи.

Необходимо обратить внимание на строгое соблюдение при мойке и дезинфекции рекомендуемых концентраций моющих и дезинфицирующих средств, которые являются оптимальными. Вода, используемая для мытья оборудования и инвентаря, приготовления моющих и дезинфицирующих растворов должна отвечать требованиям ГОСТ 2874-73 "Вода питьевая".

Особое внимание должно быть уделено контролю за соблюдением установленного порядка в регулярности санитарной обработки оборудования. Трубопроводы для сырого и пастеризованного молока подвергаются мойке и дезинфекции не менее одного раза в сутки или сразу после окончания рабочего цикла. При мойке труб циркуляционным способом установленные на них краны, заглушки, насосы, муфты и др. промываются вручную и подвергаются дезинфекции. Если перерыв при розливе молока составляет более 2 часов, то перед началом розлива трубопроводы необходимо вновь промыть.

Мойку танков, ванн, цистерн для хранения сырого и пастеризованного молока, а также других молочных продуктов необходимо мыть после каждого опорожнения. Мойку танков вручную должен производить специально выделенный обученный персонал с соблюдением правил техники безопасности. Спецодежда мойщиц танков и инвентарь для мойки должен храниться в отдельных промаркированных шкафах.

Мойка сепараторов и молокоочистителей при работе на натуральном молоке производится не более чем через 4 часа работы, при обработке восстановленного молока - не более чем через 2 часа. Мойку пластинчатых и трубчатых пастеризаторов следует производить после окончания рабочего цикла, но не реже чем через 6-8 часов непрерывной работы. Пластинчатые пастеризационные аппараты один раз в декаду разбирают для осмотра пластин и удаления молочного камня. Мойка разливочных машин осуществляется сразу по окончании работы.

Санитарная обработка оборудования может считаться хорошей при отсутствии на нем бактерий группы кишечной палочки. Обработку оборудования и тары, к которым предъявляются повышенные требования (бутылки, банки, разливочно-укупорочные агрегаты, ванны для производства кисломолочных продуктов и др.) оценивают также по общему количеству бактерий в смыве. Результаты контроля фиксируются в журнале микробиологического контроля чистоты оборудования. (Боровков, М.Ф, 2008.)

2.4 Расчет потребности в основном сырье, вспомогательных материалах и технологическом оборудовании

.4.1 Схема технологических направлений

.4.2 Расчет потребности в основном сырье и вспомогательных материалах

Производительность нашего предприятия составляет 20 тонн в сутки.

При проектировании предприятия по выработке молочной продукции необходимо распределить поступающее на завод молоко по ассортименту выпускаемой продукции. Нормы технологического проектирования рекомендуют принимать выработку цельномолочной продукции (в пересчете на молоко) в следующем соотношении:

Таблица 2.1 - использование молока на выпускаемую продукцию

Категории

Ассортимент выпускаемой продукции

Норма, %

Затрачено молока, кг


Молоко пастеризованное 2,5%


4000

Молоко питьевое

Молоко обезжиренное 0,05%

41

 2200


Молоко топленое 4%


2000

Диетические продукты

Ряженка 4%

18

3600

Творог и сырковые изделия

Творог 18%

 17

 3400

Сметана и сливки

Сливки высокожирные 50%

24

4800


Сливки пастеризованные 25%




Определим количество пастеризованных сливок с учетом того, что на их производство затрачено 4800 кг молока.

Рассчитаем с помощью треугольника Баркана.


 = ; (1)

где Мцм, Мнм, Мсл - масса цельного молока, нормализованного и сливок соответственно; Жсл, Жнм, Жцм - жирность сливок, нормализованного и цельного молокасоответственно;

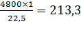
На производство поступило цельное молоко с массовой долей жира 3,5%. Необходимо выработать пастеризованное молоко жирностью 2,5% и пастеризованные сливки 25%. Согласно формуле 1:

= ;

Мсл =  кг

Мнм = Мцм - Мсл = 4800 - 213,3 = 4586,7 кг.

Рассчитаем массу сливок с учетом потерь по формуле

МслП = ; (2)

от сюда следует, что

МГП = ; (3)

где МслП - масса сливок с учетом потерь; МГП - масса готового продукта; П - предельно допустимые потери на 1 т готового продукта.

В итоге получили сливки пастеризационные 25% жирности фасованные в пакеты по 250 см куб. и 200 см куб.

Найдем количество готового пастеризованного молока фасованное в пакеты по 1000 см куб. и 500 см куб:

МГП =

Найдем массу творога с учетом того, что на него затрачено 3400 кг молока.

Для изготовления творога 18% жирности раздельным способом, необходимо сначала получить обезжиренный творог, а затем путем добавления высокожирных 50% сливок довести его до нужной жирности.

Найдем количество обезжиренного молока по формуле 1:

Мом =

Мсл = 3400-3165,2 = 234,8 кг

Найдем массу сливок с учетом потерь по формуле 2:

МслП = .

Найдем массу творога с учетом потерь:

МТП =  (4)

где НР-норма расхода обезжиренного молока на выработку творога,кг/т.

МТП =

Найдем массу обезжиренного творога с учетом потерь по формуле 3:

МГП =

Рассчитаем массу закваски:

Мз = , (5)

где МП - масса продукта; Кз - количество закваски,%.

Определим массу обезжиренного молока без закваски:

,2-20,4 = 3144,8кг

Найдем массу сливок по формуле:

Мсл =  (6)

где МтвН - масса творога нормализованного; Жтв - жирность творога; ЖтвН - жирность творога нормализованного; Жсл - жирность сливок; Жтв- жирность творога.

Мсл =  = 206,2 кг

Мтв = МтвН+Мсл = 407,3+206,2 = 613,5

Остался избыток сливок 50% жирности − 232,6 - 206,2 = 26,4 кг

Рассчитаем ряженку, если на ее производство затрачено 3600кг молока. Определим необходимую жирность молока для производства ряженки 4%.

Жнм1 = , (7)

где Жнм1 - содержание жира в нормализованном молоке для ряженки, k - коэффициент, который при использовании закрытых емкостей равен 98,6.

Жнм1 =

Найдем массу обезжиренного молока по формуле:

Мом = ; (8)

где Жо - жирность обезжиренного молока;

Жсм - жирность смеси;

П- потери при производстве.

Мом =

Найдем массу обезжиренного молока с учетом потерь по формуле 2:

МомП =

Находим массу смеси:

Мсм = Мцм - Мом = 3600-297,3 = 3302,7 кг.

Находим массу топленой смеси по формуле:

Мтоп.см = ; (9)

Мтоп.см =

Находим массу закваски по формуле:

Мз =  (10)

Мз =

Находим массу заквашенной смеси:

Мзсм = 3256,5+171,4=3427,9 кг

Находим массу готового продукта

МГП = ; (11)

где Рн- предельно допустимые пределы при производстве ряженки

МГП -

Рассчитаем массу пастеризованного молока 2,5%, обезжиренного и топленого молока 4%, если на их производство понадобилось 8200 кг молока.

Для производства пастеризованного молока 2,5% возьмем 4000 кг молока. Найдем массу полученного молока и сливок 25% по формуле 1:

Мнм =

Мсл = 4000-3822,2 = 177,8 кг.

Найдем массу молока и сливок с учетом потерь по формуле 3:

МнмП =

МслП =

Для производства обезжиренного молока 0,05% возьмем 2200 кг молока. Найдем массу полученного молока и сливок 50% по формуле 1:

Мом =

Мсл = 2200-2078 = 122 кг

Найдем массу молока и сливок с учетом потерь по формуле 3:

МомП =  кг

МслП =

Для производства топленого молока 4% жирности возьмем 2000 кг молока. Найдем массу полученного молока и сливок 25% жирности. Найдем содержание жира в нормализованном молоке по формуле 7:

 = 3,9%

Найдем массу обезжиренного молока по формуле 8:

Мом =

Найдем массу готового обезжиренного молока по формуле 3:

МомП =

Найдем массу смеси:

Мсм = Мцм - Мом = 2000 - 208,7 кг = 1791кг

Найдем массу топленой смеси по формуле 9:

Мсм.топ =

Найдем массу готового продута по формуле 3:

МГП =

Рассчитаем массу сыворотки - побочного продукта при изготовлении творога:

Мсыв = Мн  0,75, (12)

где Мсыв - масса сыворотки; Мн - масса нормализованной смеси

Мсыв = 3165,2 × 0,75 = 2373,9 кг

По рецептуре рассчитаем остальные компоненты:

Таблица 2.2 - Рецептура напитка из сыворотки

Наименование сырья

Напиток “Ароматный”, кг

Сыворотка молочная

700,0

2373,9

Сахар-песок

50,0

169,6

Сок яблочный

250,0

847,8

Итого:

1000,0

3391,3


Рассчитаем массу напитка до фасовки

Мнап.д.ф =; (13)

Мнап.д.ф =  = 3391,3 кг

Рассчитаем массу сахарного песка

Мсах = ; (14)

Мсах = 169,6 кг

Рассчитаем массу яблочного сока

Мсока =  ; (15)

Мсока =  = 847,8 кг

Рассчитаем массу готового продукта по формуле 3:

МГП =  = 3356,4 кг

Можно сделать вывод, что эффективность данного предприятия является высокая, так как в производстве заложен принцип безотходного производства. В дальнейшем возможно расширение выбора выпускаемой продукции и использования новых линий по производству сметаны, сыра, масла и увеличение ассортимента молочнокислых продуктов и творожных изделий с наполнителями.

2.4.3 Суммирование массы молока

Сложим массу молока, пошедшего на производство каждого продукта. Полученная сумма должна быть равна количеству поступившего молока. При расчетах будем учитывать и жирокилограммы.

Жкг =  (16)

где Кг- килограммы продукта; Жм- жирность продукта; Жб- базисная жирность.

Базисная жирность- это постоянный коэффициент на который опирается весь учет по приёмному цеху. Обще Российская базисная жирность равна 3,4%.

Таблица 2.3 - Расчет жирокилограмм

категория

продукт

m молока 3,5% на выработку, кг

m продукта с учетом потерь, кг

m готового продукта, кг

Жкг (3,4%)


Молоко пастериз.2,5%

4000

8408,2

8337,2


Молоко питьевое

Молоко обезжир. 0,05%

2200

2584

2561,7

 8298,3


Молоко топлен.4%

2000

1766,1

1750,9


Диетич.прод.

Ряженка 4%

3600

3427,9

3384,6

4032,8

Творог и творож.изделия

Творог 18%

3400

613,5

613,5

3247,9

 Сливки и сметана

Сливки пастериз.25%

 4800

391,1

 387,4

 5009,2


Сливки высокожир.50%


148,4

145,8


Итого


20000

20000

17182,6

20588,2

Побочный продукт

сыворотка


2373,9

3356,4


закваска



191,8




Рассчитаем жирокилограммы общей массы молока по формуле 16:

Жкг =

Рассчитаем жирокилограммы каждого продукта по формуле 16:

Молоко пастеризованное 2,5% =  = 6182,5 кг

Молоко обезжиренное 0,05% =  = 38 кг

Молоко топленое 4% =  кг

Ряженка 4% =

Творог 18% =

Сливки пастеризованные 25% =

Высокожирные сливки 50% =

2.4.4 Подбор и расчет технологического оборудования

Подбор и расчет оборудования начинают с выбора системы машин, необходимых для осуществления запроектированных технологических процессов.

Вначале подбирают ведущее технологическое оборудование, выполняющее основные операции.

Необходимое количество технологического оборудования рассчитывается по формуле:

, (17)

где N - число единиц оборудования;

F - количество сырья переработанном на данном аппарате (машине) в смену, кг;

Q - производительность аппарата (машины) в смену, кг.

Для приемки молока подбираются горизонтальные резервуары РМ-А-25. Для приемки молока подбираем одно стационарных измерительное устройства марки Оскон, в состав которого входят насос, счетчик, 2 фильтра, трубопровод, производительностью 15000 л/ч., а так же охладитель ООЛ-15 такой же производительности.

Для тепловой обработки сырого молока при производстве пастеризованного молока подбираем пластинчатую пастеризационно-охладительную установку ОГУ-5 производительностью 5000 л/ч. Подбираем сепаратор-сливкоотделитель ОСЦП-5 и гомогенизатор А1-ОГМ2 одинаковой производительности с ведущим оборудованием Я1-ОСВ-6 с рабочим объемом 10000 л. Для фасовки пастеризованного молока подбираем фасовщик марки RG 250 UCS производительностью 5000 л/ч. Для фасовки пастеризованных сливок выбираем фасовщик марки АРС-5 производительностью 5000л/ч.

Для производства творога подбираем пластинчатый подогреватель марки ПП-5000М производительностью 5000 л/ч и сепаратор-сливкоотделитель ОСН-10 производительностью 10000 л/ч. Для промежуточного резервирования сливок Я1-ОСВ-3 производительностью 2500 л/ч. Затем сливки направляются в пастеризационно-охладительную установку А1-ОПМ производительностью 2500 л/ч. Полученное обезжиренное молоко сначала передается на пастеризационно-охладительную установку ПУ-5С производительностью 5000 л/ч. При производстве творога используются танк универсальный ТУМ-2500 производительностью 2500 л/ч и творогоизготовитель ТС-Н4 производительностью 4000 л/ч. Затем творог и сливки смешиваются в смесителе-дозаторе ВС-Д1 производительностью 1000 кг/ч.Для фасовки продуктов используем следующие автоматы: для обезжиренного молока АРМ-3, творога АРТ-9, высокожирных сливок АРС-6, производительностью 3000 л/ч, 9600 кг/ч и 600 кг/ч соответственно.

Для производства топленого молока и ряженки подбираем пластинчатый подогреватель ПП-5000М, сепаратор-сливкоотделитель с нормализующим устройством ОСЦП-5 и гомогенизатор А1-ОГМ2 одинаковой производительности 5000 л/ч. Это оборудование работает на производство топленого молока и ряженки.

Для процессов топления, заквашивания и сквашивания молока подбираем ванны длительной пастеризации ВДП-1,5П с рабочим объемом 1500 л. Дополнительно для охлаждения топленого молока подбираем пластинчатый охладитель ООЛ-3 производительностью 3000 л/ч. Для фасовки топленого молока и ряженки в пакеты подбираем фасовщик марки RG 50 производительностью 3000 л/ч.

Сбор сыворотки осуществляем в резервуар Я1-ОСВ-6 объемом 10000 л. Для тепловой обработки сыворотки и отделения дестабилизированного белка и жира подбираем трубчатую пастеризационно - охладительную установку П8-ОПО-5 и сепаратор-осветлитель Ж5-ОТС, производительностью 5000 л/ч.

Составление смеси по рецептуре осуществляется в трех резервуарах марки Я1-ОСВ-5 объемом 6300 л.Для фасовки напитка из сыворотки в мягкие пакеты подбираем фасовщик марки ФП-5000 производительностью 5000 л/ч. (Голубева Л.В, 2010г)

Таблица 2.4 - Характеристика технологического оборудования

Наименование

Тип, марка

Производ-ть кг/ч или объем

 Кол-во, шт

Габариты, см

 Масса, кг

Площадь,





длина

ширина

высота



Приемка молока на пастеризационные сливки 25% и пастеризованное молоко 2,5% жирности

Горизонтальный резервуар

РМ-А-25

30000 л

8800/30000≈1

4500

2500

3000

4200

4

Пластинчатая пастеризационно-охладительная установка

ОГУ-5

5000 л/ч

8800/5000≈2

970

400

900

950

2

Сепаратор-сливкоотделитель

ОСЦП-5

5000 л/ч

8800/5000≈2

1100

780

150

1000

1,5

Гомогенизатор

А1-ОГМ-5

5000 л

3822,2/5000≈1

1480

1100

1640

1700

3,8

Фасовщик пастеризованного молока

RG 2500UCS

5000 л/ч

3789,6/5000≈1

5500

1300

2800

4200

7,2

Фасовщик пастеризованных сливок

АРС-

5000 л/ч

176,1/5000≈1

1560

1200

1115

1950

4,5

Приемка молока на изготовление ряженки 4% и молока топленого 4% жирности

Пластинчатый подогреватель

ПП-5000М

5000 л

5600/5000≈2

1400

1300

1900

3200

2,3

Сепаратор-сливкоотделитель

ОСЦП-5

5000 л/ч

5600/5000≈2

1100

780

150

1000

1,5

Гомогенизатор

А1-ОГМ2

5000 л/ч

5600/5000≈2

1480

1100

1640

1700

3,8

Ванны длительной пастеризации

ВДП-1,5П

1500 л

5022,6/1500≈4

1510

1400

2550

2800

21,1

Пластинчатый охладитель

ООЛ-3

3000 л/ч

5022/3000≈2

1300

1200

1800

3200

3,2

Фасовщик топленого молока

ФТМ-4

4000 л/ч

1828/4000≈1

4470

2945

1900

5600

26,3

Фасовщик ряженки

ФТМ-4Р

4000 л/ч

3064,4/4000≈1

2720

1400

1800

2800

16,3

Приемка молока на производство творога 18% и обезжиренного молока 0,05% жирности

Пластинчатый подогреватель

ПП-5000М

10000 л/ч

5600/10000≈1

3200

2600

3250

3400

13,2

Сепаратор-сливкоотделитель

ОСН-10

10000 л/ч

5600/10000≈1

1200

850

2400

1200

2,3

Промежуточный резервуар для сливок

Я1-ОСВ-3

2500 л

259/2500≈1

1350

800

2030

4,5

Пастеризационно-охладительная установка для сливок

А1-ОПМ

2500 л

259/2500≈1

1500

1240

2040

1840

3,2

Пастеризационно-охладительная установка для молока

ПУ-5С

5000 л/ч

2269,2/5000≈1

2600

1530

1940

3120

5,4

Танк универсальный

ТУМ-2500

2500 л

407,3/2500≈1

2200

1300

1460

1200

4,2

Творогоизготовитель

ТС-Н4

4000 кг/ч

407,3/4000≈1

2300

1950

2000

2400

6,2

Смеситель-дозатор

ВС-Д1

1000 кг/ч

613,5/100≈1

1450

1200

1320

1200

3,1

Автомат для фасовки творога

АРТ-9

9600 кг

613,5/9600≈1

2700

1000

2030

2800

2,7

Автомат для фасовки сливок

АРС-0,6

60 кг

26,4/60≈1

2100

1400

1900

2010

3,8

Автомат для фасовки обезжиренного молока

АРМ-3

3000 л/ч

2269,2/3000≈1

2900

1600

2200

3400

5,2

Побочный продукт-сыворотка. Изготовление напитка из сыворотки

Сбор сыворотки в резервуар

Я1-ОСВ-6

10000 л/ч

2373,9/10000≈1

2300

2300

3900

8400

12,5

Трубчатая пастеризационно-охладительная установка

П8-ОПО5

10000 л/ч

2373,9/10000≈1

3000

2500

2200

5200

7,2

Сепаратор-осветлитель

Ж5-ОТС

5000 л/ч

2373,9/5000≈1

1450

1040

1580

2400

1,5

Составление смеси по рецептуре в резервуаре

Я1-ОСВ5

5000 л/ч

3356,4/5000≈1

4300

2300

2200

9350

29,7

Фасовщик сыворотки

ФП-5000

5000 л/ч

3356,4/5000≈1

2080

1350

2300

4300

2,8

Итого площадь

205


Можно сделать вывод, что правильный расчет и подбор технологического оборудования производят с целью обеспечения необходимых условий для планомерной и четкой работы всего предприятия. Площадь данного предприятия должна быть более 205

.5 Контроль качества готовой продукции

.5.1 Мероприятия по организации технологического и микробиологического контроля производства

Контроль технологического процесса производства пастеризованного и топленого молока

В процессе термической обработки молока аппаратчик следит за температурой по диаграммной ленте самопишущего прибора. Параметры режима пастеризации записывает в производственный журнал. Периодически (не реже 2 раз в смену) работники лаборатории и КИП контролируют показания самопишущих приборов по контрольному ртутному термометру. Результаты контроля заносят в журнал контроля режима работы пастеризатора. Особое внимание следует уделить записи, сделанной в момент возврата молока. Если возврату молока соответствует более длительный промежуток времени, чем записано в журнале аппаратчика, то не исключена возможность попадания недопастеризованного молока в продукт, что не допустимо. В этом случае необходимо проверить всю партию молока на эффективность пастеризации.

Объект

Контролируемый показатель

Периодичность контроля

Отбор проб

1

2

3

4

Молоко сырое

Те же показатели, что и в заготовляемом молоке


Хранение поступающего молока

Температура, °С  Кислотность, °Т, рН

Каждые 3 ч  То же

Из каждой емкости То же

Очистка молока

Температура, °С

Ежедневно

В каждой партии

Молоко перед нормализацией

Органолептические показатели Кислотность, °Т Массовая доля жира, % Плотность, кг/м³

¸ ¸ ¸ ¸

То же ¸ ¸ ¸

Молоко после нормализации

Массовая доля жира, % Плотность, кг/м³ Масса, объем, кг, м³

¸ ¸ ¸

¸ ¸ ¸

Гомогенизация молока

Температура, °С Давление, МПа Эффективность гомогенизации

¸ ¸ ¸

¸ ¸ ¸

Тепловая обработка молока

Температура, °С Время операции, с, ч

¸ ¸

¸ ¸

Молоко пастеризованное (по окончании наполнения емкости)

Вкус, запах Температура, °С Плотность, кг/м³ Кислотность. °Т, рН Массовая доля жира. % Фосфатаза

¸ ¸ ¸ ¸ ¸ ¸

¸ ¸ ¸ ¸ ¸ ¸

Хранение пастеризованного молока

Температура, °С Кислотность, °Т Дополнительно проба на кипячение

¸ ¸ ¸

¸ ¸ ¸

Фасование пастеризованного молока

Массовая доля жира. % Кислотность, °Т Температура, °С Объем, дм³

¸ ¸ ¸ ¸

Из бутылок, пакетов в цехе розлива

Готовая продукция

Органолептические показатели Температура, °С Кислотность, °Т Фосфатаза Объем, дм³ Массовая доля жира. % Группа чистоты

¸ ¸ ¸ ¸ ¸ ¸ ¸

В каждой партии То же ¸ ¸ ¸ ¸ ¸

Рисунок 2.5 - Технологический процесс производства пастеризованного молока.

Контроль технологического процесса производства кисломолочных продуктов

В нормализованном молоке до заквашивания определяют массовую долю жира, кислотность и плотность.

Пакеты, в которые упакованы жидкие кисломолочные продукты, не должны иметь течи. При внешнем осмотре тары контролируют качество и правильность выполненной маркировки. Каждая упаковочная единица должна иметь четкую и ясную маркировку, выполненную в соответствии с требованиями действующей НТД на контролируемый продукт. Известно, что маркировку жидких молочных продуктов производят в период фасовки, когда еще не окончен технологический процесс выработки продукта. Поэтому при нанесении обозначения “число или день конечного срока реализации” должно быть учтено время до полного окончания технологического процесса выработки продукта, которое будет иметь место после фасования. В соответствии с действующей НТД на поверхности жидких кисломолочных продуктов допускается незначительное отделение сыворотки. При необходимости определяют объемную долю отделившейся сыворотки.

Массу вносимых по рецептуре компонентов измеряют по фактической закладке.

Объект

Контролируемый показатель

Периодичность контроля

Отбор проб

Молоко цельное, обезжиренное, пахта

Органолептические показатели Температура,°С Кислотность, °Т Массовая доля жира, % Время хранения, ч

Ежедневно  ¸ Каждые три часа Ежедневно ¸

В каждой партии ¸  В каждой емкости То же ¸

В процессе нормализации жидкое молочное сырье

Органолептические показатели Плотность, кг/м³ Масса, кг Объем, м³

Ежедневно  ¸ ¸ ¸

В каждой партии  То же ¸ ¸

Нормализованная смесь

Органолептические показатели Массовая доля жира, % Кислотность, °Т Плотность, кг/м³ Масса, кг  Объем, м³

¸  ¸ ¸ ¸ Периодически 1 раз в месяц То же

¸  ¸ ¸ ¸ В каждой партии  То же

Очистка нормализованной смеси

Температура подогрева смеси, °С

Ежедневно

¸

Гомогенизация смеси

Температура, °С Давление, МПа

¸ ¸

¸ ¸

Пастеризация смеси

Температура, °С Время выдержки, мин

¸ ¸

¸ ¸

Охлаждение смеси до температуры заквашивания

Температура, °С

¸

¸

Заквашивание смеси (закваска)

Масса, кг Кислотность, °Т

¸ ¸

¸ ¸

Сквашивание смеси

Температура, °С Время сквашивания, ч Кислотность, °Т

¸ ¸ В конце сквашивания

¸ ¸ ¸

Перемешивание сгустка и охлаждение

Время, мин Температура, °С

После сквашивания То же

То же ¸

Упаковка

Объем, м³ Течь пакета

Ежедневно Периодически

¸ Периодически

Показатели готового продукта

Органолептические показатели Массовая доля жира, % Кислотность, °Т Температура, °С Фосфатаза Отстой сыворотки, %

Ежедневно  ¸ ¸ ¸ периодически ¸

В каждой партии  То же ¸ ¸ ¸ ¸

Хранение

Температура, °С Время, ч

Ежедневно ¸

¸ ¸

Рисунок 2.6 - Технологический процесс производства кисломолочных продуктов.

Контроль производства творога

Массовую долю белка в молоке определяют методом формольного титрования. Данные лабораторного контроля о содержании белка в молоке необходимы мастеру цеха для расчета массовой доли жира в нормализованной смеси.

Контроль температуры в процессе термической обработки молока осуществляют с помощью КИП, входящих в комплект теплообменных аппаратов, с погрешностью не более ±1,0°С.

Образование и обезвоживание творожного сгустка, а также выход готового продукта в значительной степени зависят от дозы введенного хлористого кальция и молокосвертывающего ферментного препарата. В молоко хлористый кальций вводится в виде водного раствора, концентрацию которого определяют каждый раз после приготовления раствора по его плотности. При необходимости проверяют дозу вносимого раствора хлористого кальция.

В процессе сквашивания молока проверяют температуру и кислотность сгустка 3-5 раз. В конце сквашивания визуально проверяют качество творожного сгустка. При сливе молочного сгустка или выкладывании его из емкости, а также в процессе самопрессования контролируют кислотность сгустка.

Одновременно контролируют показатели качества молочной сыворотки. В молочной сыворотке определяют массовую долю жира в точечной пробе, отобранной из каждой емкости в отдельности.

.        Из каждой свежевыработанной и охлажденной партии творога (до фасования) отбирают пробу и определяют органолептические показатели, кислотность, массовые доли жира и влаги, после чего работник лаборатории дает разрешение на упаковывание творога. При упаковывании творога в потребительскую тару от партии отбирают 3-5 упаковочных единиц для контроля массы нетто продукта и качества маркирования. Вкус, запах и консистенцию определяют органолептически. При выпуске творога, выработанного из непастеризованного молока, проверяют наличие дополнительной маркировки “подлежит обязательной термической обработке”. (Горощенко Л.Г,2013)

Объект

Контролируемый показатель

Периодичность контроля

Отбор проб

1

2

3

4

Приемка молока

Органолептические показатели Температура, °С Кислотность, °Т Массовая доля жира, % Плотность, кг/м³ Масса, кг

Ежедневно ¸ ¸ ¸ ¸ ¸ ¸

В каждой партии То же ¸ ¸ ¸ ¸ ¸

Нагревание молока

Температура, °С

¸

¸

Сепарирование молока

Температура, °С

¸

¸

Сливки при сепарировании молока

Массовая доля жира, %

¸

¸

Охлаждение молока

Температура, °С

¸

¸

Промежуточное хранение

Время, ч

¸

¸

Закваска

Кислотность, °Т Масса, кг

¸ ¸

¸ ¸

Заквашивание молока

Температура, °С Масса хлористого кальция на 1000 кг молока Масса ферментного препарата на 1000 кг молока

¸ периодически  периодически

¸ выборочно  выборочно

Сквашивание молока

Кислотность сгустка, рН, °Т Кислотность сыворотки, °Т Продолжительность, ч

Ежедневно  ¸  ¸

В каждой партии  То же  ¸

Перемешивание сгустка

Время, мин

¸

¸

Подогревание сгустка

Температура, °С

¸

¸

Охлаждение сгустка

Температура, °С

¸

¸

Сыворотка в процессе сепарирования

Наличие частичек белка

Через каждые 20-30 мин работы сепаратора

¸

Охлаждение творога

Температура, °С

Ежедневно

В каждой партии

Маркирование

Качество

¸

¸

Готовый продукт

Органолептические показатели Массовая доля жира, % Массовая доля влаги, % Кислотность, °Т

¸  ¸ ¸ ¸ ¸

¸  ¸ ¸ ¸ ¸

Хранение творога

Температура воздуха в камере, °С Относительная влажность воздуха, % Время, ч

¸  ¸  ¸

¸  ¸  ¸

Рисунок 2.7 - Контроль технологического процесса производства творога

2.5.2 Перечень журналов

1.      Журнал контроля за качеством стерилизации

.        Журнал контроля за подготовкой продукции к реализации К-14

.        Журнал контроля качества выпускаемой продукции форма 19

.        Журнал контроля качества поступающего молока

.        Журнал контроля качества закваски

.        Журнал контроля качества продукции, выпускаемой на молочных заводах

.        Журнал контроля моющих и дезинфицирующих средств

8.      Журнал контроля режимов хранения готовой продукции К-15 <http://www.abbreviatura.su/zhurnaly/Obschestvennoe_pitanie/zhurnal_kontrolya_rezhimov_hraneniya_gotovoj_produkcii_K-15.html>

.        Журнал контроля сливок и сметаны <http://www.abbreviatura.su/zhurnaly/Obschestvennoe_pitanie/zhurnal_kontrolya_slivok_i_smetany.html>

.        Журнал контроля технологического процесса производства кисломолочных и диетических продуктов форма 8 <http://www.abbreviatura.su/zhurnaly/Obschestvennoe_pitanie/zhurnal_kontrolya_tehnologicheskogo_protsessa_proizvodstva_kislomolochnyh_i_dieticheskih_produktov_forma_8.html>

.        Журнал контроля технологического процесса производства молока форма 4 <http://www.abbreviatura.su/zhurnaly/Obschestvennoe_pitanie/zhurnal_kontrolya_tehnologicheskogo_protsessa_proizvodstva_moloka_forma_4.html>

.        Журнал контроля технологического процесса производства сливок и обезжиренного молока форма 7 <http://www.abbreviatura.su/zhurnaly/Obschestvennoe_pitanie/zhurnal_kontrolya_tehnologicheskogo_protsessa_proizvodstva_slivok_i_obezzhirennogo_moloka_forma_7.html>

.        Журнал контроля технологического процесса производства творога форма 10 <http://www.abbreviatura.su/zhurnaly/Obschestvennoe_pitanie/zhurnal_kontrolya_tehnologicheskogo_protsessa_proizvodstva_tvoroga_forma_10.html>

.        Журнал микробиологического контроля вспомогательных материалов <http://www.abbreviatura.su/zhurnaly/Obschestvennoe_pitanie/zhurnal_mikrobiologicheskogo_kontrolya_vspomogatel'nyh_materialov.html>

.        Журнал микробиологического контроля чистоты оборудования, инвентаря, упаковочных материалов и рук рабочих <http://www.abbreviatura.su/zhurnaly/Obschestvennoe_pitanie/zhurnal_mikrobiologicheskogo_kontrolya_chistoty_oborudovaniya_inventarya_upakovochnyh_materialov_i_ruk_rabochih.html>

.        Журнал мойки оборудования <http://www.abbreviatura.su/zhurnaly/Obschestvennoe_pitanie/zhurnal_mojki_oborudovaniya.html> и т.д.

.5.3 Оформление удостоверения о качестве безопасности

Удостоверение о качестве безопасности № от 2015 года

Дата и час выдачи продукции г. в час

Наименование продукта

ГОСТ ТУ

Дата выра ботки

Кол-тво,шт

Мд жира

Кислот-ность, Т

Плот-ность г/см3

t

Сод-ие белка

Органолептич. оценка

Срок реализации

№серти-фиката

Срок действия

1

Молоко пастери зованное 2,5% 1л

ГОСТ Р 52090-2003

01.10

8337

2,5

16-18

1,027-1,032

-

4±2

2,9

высокая

3-7сут

2

Молоко обезжи Рен. 0,05% 1л

ГОСТ Р 52090-2003

01.10

2561

0,05

21

1,024

-

4±2

2,9

Высокая

3 сут

3

Молоко топленое 4% 1л

ГОСТ Р 52090-2003

01.10

1750

4

21

1,025

-

4±2

2,9

Высокая

3-5 сут

4

Сливки пасте-риз. 25% 0,25л

ГОСТ Р 53435-2009

01.10

1550

25

65-100

1,024

72,9

4-8

3,2

Высокая

7-10 сут

5

Высокожир.сливки 50% 0,25л

ГОСТ Р 53435-2009

01.10

583

50

80-120

1,30

72,9

4-8

5

Высокая

7-10 дн

6

Творог 18% 0,2кг

ГОСТ Р 52096-2003

01.10

3067

18

200-225

1,060

65,0

2-6

14

Высокая

3-5дн

7

Ряженка 4% 1л

ГОСТ Р 52094-2003

01.10

6769

4

85-150

1,073

85,3

6-8

6

высокая

12 сут

8

Напиток из сыворотки 1л

ТУ 9222-363-00419785-04

01.10

3356

0,02-0,1

50-120

1,020-1,025

-

3-5

0,5-1,5

Высокая

2-4 дн


ЗАКЛЮЧЕНИЕ

В данной курсовой работе представлен проект предприятия по переработке 20 тонн молока в смену.

Проведен расчет линий по производству молока пастеризованного 2,5%, молока обезжиренного 0,05%, молока топленого 4%, сливок пастеризованных 25%, сливок высокожирных 50%, творога 18%, ряженки 4% и напитка из сыворотки.

Оборудование на линиях переработки подобрано таким образом, чтобы свести ручной труд до минимума и исключить увольнение работников в межсезонье, заменив его переводом на другой участок.

Готовая продукция должна соответствовать требованиям ГОСТов. В курсовом проекте приведены схемы технохимического контроля сырья и готовой продукции.

В ходе выполнения курсовой работы были достигнуты поставленные задачи.

Я считаю, что предприятие построенное в городе Петухово Курганской области будет являться рентабельным, так как в Петухово не имеется предприятия молочной промышленности и молочные продукты завозят из других регионов.

Таким образом, выбрав место для возведения предприятия, можно сократить себестоимость выпускаемой продукции, путем приемки молока от местных сдатчиков, и тем самым обеспечить население высококачественным товаром по более приемлемой цене.

СПИСОК ИСПОЛЬЗУЕМОЙ ЛИТЕРАТУРЫ

Стандарты, технические условия

1.      ГОСТ Р 52090-2003. Молоко питьевое. Технические условия. - Введ. 2003 - 06 - 30. - М.: Госстандарт России: Издательство стандартов, 2003. - 6 с.

.        ГОСТ Р 53435-2009. Сливки сырье. Технические условия. ―Введ. 2009-01- 01.―М.: Госстандарт России: Издательство стандартов, 2009. - 5с.

.        ГОСТ Р 52094-2003. Ряженка. Технические условия.. - Введ. 2003 - 11- 17. - М.: Госстандарт России: Издательство стандартов, 2003. -7 с.

.        ГОСТ Р 52096-2003. Творог. Технические условия (с изменением №1). - Введ. 2003 - 02 - 10. - М.: Госстандарт России: Издательство стандартов, 2003. - 4 с.

5.      ГОСТ Р 53438-2009.Сыворотка молочная. Технические условия. - Введ. 2009 - 12 - 03. - М.: Госстандарт России: Издательство стандартов, 2010. - 6 с.

Книги один автор

6.      Алексеева М. М. Планирование деятельности фирмы. - М.: Финансы и статистика, 2010. - 318 с.

.        Голубева Л.В. Производственный учет и отчетность в молочной отрасли/ Л.В Голубева// - 2010г. - 634с.;

.        Горощенко Л.Г. Рынок молочной промышленности / Л.Г Горощенко // Молочная промышленность. 2013. -№ 5. - С. 5-7.

.        Иванова, С.В. Молочный подкомплекс России: последствия присоединения к ВТО/ С. В. Иванова // Молочная промышленность.2013.- №5. - С.49-51.

.        Панфилов В.А. Машины и аппараты пищевых производств.- М.: Высшая школа, 2001. - С. 194 - 199.

Книги два автора

11.    Храмцов А.Г., Нестеренко П.Г. Технология продуктов из молочной сыворотки : Учебное пособие. - М.: ДеЛи принт, 2004.- 587 с.

Книги три автора

12.    Боровков, М.Ф. Ветеринарно-санитарная экспертиза с основами технологии и стандартизации продуктов животноводства: Учебник / М.Ф. Боровков, В.П. Фролов, С.А. Серко. - СПб.: Издательство «Лань», 2008. - 448 с.

.        Калинина Л.В.,Дунченко Н.И., Ганина В.И. Технология цельномолочных продуктов- Санкт-Петербург: ГИОРД,2008.-228с.

Книги четыре автора

14.    Крусь Г.Н. Технология молока и молочных продуктов: учебник для ВУЗов / Г.Н. Крусь, А.Г. Храмцов, З.В.Волокитина, С.В.Карпычев.- М.: КолосС, 2004.- 455с.

Статья из журналов

15.    Авчухова,А.В. Рост потребления молока и молочной продукции в мире/ А.В. Авчухова // Молочная промышленность. 2014. -№ 1. - С. 3-5.

.        Ермакова Е. Е. Современное состояние и перспективы развития молочной промышленности РФ [Текст] / Е. Е. Ермакова, Ш. А. Атабаева // Молодой ученый. - 2014. - №7. - С. 338-340.

.        Лабинов, В.В. Российский рынок молока и молочной продукции - итоги и надежды/ В.В. Лабинов // Молочная промышленность. 2013. - № 12. - С. 4-6.

Электронные ресурсы

18. Перспективы развития мировой и российской молочной индустрии URL: http://www.moluch.ru/archive/62/9654/

19. Технологическая линия производства пастеризованного молока URL: <http://www.znaytovar.ru/s/texnologicheskaya_liniya_proizvod25.html>

Похожие работы на - Проектирование молочного предприятия мощностью 20 тонн в сутки

 

Не нашли материал для своей работы?
Поможем написать уникальную работу
Без плагиата!
Без нейросетей!