Разработка полупроводникового гетеролазера для использования в ВОЛС III поколения
МИНОБРНАУКИ
РОССИИ
Автономное
государственное бюджетное образовательное учреждение высшего профессионального
образования
Санкт-Петербургский
государственный электротехнический университет «ЛЭТИ» им. В.И. Ульянова
(Ленина)
Факультет
электроники
Кафедра
микро- и наноэлектроники
Курсовая
работа
Дисциплина
Полупроводниковые
оптоэлектронные приборы
Разработка
полупроводникового гетеролазера для использования в ВОЛС III поколения
Выполнил
Степанов Е.М.
студент
гр. №0282
Проверил:
Тарасов С.А.
Санкт-Петербург
- 2015 г.
СОДЕРЖАНИЕ
Введение
.
Волоконно-оптические линии связи III
поколения
.
Расчетная часть
.1
Выбор структуры и расчет ее параметров
.2
Расчет РОС резонатора
.3
Расчет внутреннего квантового выхода
.4
Расчет оптического ограничения
.5
Расчет порогового тока
.6
Расчет ватт-амперных характеристик
.7
Расчет параметров резонатора
.8
Выбор остальных слоев
.
Структура кристалла
Заключение
Список
использованных источников
ВВЕДЕНИЕ
В качестве источников излучения для
волоконно-оптических линий связи целесообразно использовать лазерные диоды на
основе твердых растворов полупроводников. В настоящей работе представлен
вариант расчета полупроводниковой лазерной структуры на основе соединений
третей и пятой групп для волоконно-оптических линий связи III
поколения.
1. Волоконно-оптические линии связи III
поколения
Волоконно-оптическая линия связи (ВОЛС) это
система, позволяющая передавать информацию. Носителем информации в такой
системе выступает фотон. Он движется со скоростью света, что является
предпосылкой к увеличению скорости передачи информации. Базовыми компонентами
такой системы являются передатчик, оптическое волокно, приемник, ретранслятор
(Р), усилитель (У) (рис. 1).
Рисунок 1 - Структурная схема волоконно-оптической
линии связи
Также необходимыми элементами являются
кодирующее устройство (КУ) и декодирующее устройство (ДКУ). Передатчик, в общем
случае, состоит из источника излучения (ИИ) и модулятора (М). По сравнению с
другими способами передачи информации оптоволокно выгодно отличается в первую
очередь низкими потерями, что позволяет передавать информацию на большие
расстояния. Вторым по значимости параметром является большая пропускная
способность. То есть при прочих равных по одному оптоволоконному кабелю можно
передать столько же информации, чем например по десяти электрическим. Еще одним
важным моментом является возможность объединения нескольких оптоволоконных
линий в один кабель и на помехозащищенности это сказываться не будет, что для
электрических линий проблематично.
Передатчики предназначены для того, чтобы
исходный сигнал, как правило, заданный в электрическом виде, преобразовать в
электромагнитную волну оптического диапазона. В качестве передатчиков могут
использоваться диоды, лазерные диоды и лазеры. К первому поколению передатчиков
относится светоизлучающий диод, который работает на длине волны 0,85 мкм.
Второе поколение передатчиков работает на длине волны 1,3 мкм. Третье поколение
передатчиков было реализовано на лазерных диодах с длинной волны 1,55 мкм в
1982 году. Использование лазеров в качестве передатчиков дает некоторые
преимущества. В частности из-за того, что эмиссия является стимулированной,
повышается выходная мощность. Также излучение лазера направленно, что повышает
эффективность взаимодействия в оптических волокнах. А узкая ширина спектральной
линии уменьшает цветовую дисперсию и увеличивает скорость передачи. Если
создать лазер стабильно работающий в режиме одной продольной моды в течении
каждого импульса, то можно повысить значение информационной пропускной
способности. Для достижения этого можно использовать лазерные структуры с
распределенной обратной связью.
Следующим элементов ВОЛС является оптоволокно.
Прохождение света по оптоволокну обеспечивается эффектом полного внутреннего
отражения. И соответственно оно состоит из центральной части - сердцевины и
оболочке выполненной из материала с меньшей оптической плотностью. По
количеству типов волн, которые могут распространяться по оптоволокну, их делят
на многомодовые и одномодовые. Одномодовые волокна обладают лучшими
характеристиками по затуханию и по полосе пропусканию. Но их недостатки
связанны с тем, что диаметр одномодовых линий составляет величины порядка
единиц микрометров. Это затрудняет введение излучения и сращивание. Диаметр
многомодовой жилки составляет десятки микрометров, но полоса пропускания у них
несколько меньше и для распространения на большие расстояния они не подходят.
По мере распространения света по оптоволокну он
затухает. Такие устройства как ретрансляторы (рис.2 а) преобразуют оптический
сигнал в электрический и при помощи передатчика отправляют его по линии дальше
с уже большей интенсивностью.
Рисунок 2 - Схематическое изображение устройств
а) ретранслятора и б) усилителя.
Усилители делают тоже с той разницей, что они
усиливают непосредственно сам оптический сигнал. В отличие от повторителей не
корректируют сигнал, а только усиливают и сигнал и шум. После того как свет
прошел по оптоволокну он преобразуется обратно в электрический сигнал. Это
осуществляет приемник. Обычно это фотодиод на основе полупроводника.
К положительным сторонам ВОЛС относится малое
затухание сигнала, широкая полоса пропускания, высокая помехозащищенность.
Поскольку волокно изготовлено из диэлектрического материала, оно невосприимчиво
к электромагнитным помехам со стороны окружающих медных кабельных систем и
электрического оборудования, способного индуцировать электромагнитное
излучение. В многоволоконных кабелях также не возникает проблемы перекрестного
влияния электромагнитного излучения, присущей многопарным медным кабелям. Среди
недостатков нужно отметить хрупкость оптического волокна, сложность монтажа. В
некоторых случаях требуется микронная точность. Оптическое волокно имеет спектр
поглощения, представленный на рисунке 3.
Рисунок 3 - Спектр поглощения оптоволокна
В ВОЛС III
поколения реализована передача информации на длине волны 1.55 мкм. Как видно из
спектра поглощение на этой длине волны самое маленькое оно составляет величину
порядка 0.2 децибелов/км.
полупроводниковый лазерный
волоконный оптический
2. Расчетная часть
.1 Выбор структуры и расчет ее
параметров
Выбор твердого раствора. В качестве твердого
раствора выбрано четверное соединение Gax
In
1-x
P y
As 1-y
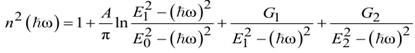
. Ширина запрещенной зоны рассчитывается следующим образом:
(2.1)
Изопериодной подложкой для этого твердого
раствора является подложка InP.
Для твердого раствора типа Ax
B1-x
Cy
D1-y
исходными
компонентами будут бинарные соединения: 1 - AC;
2 - BC; 3 - AD;
4 - BD. Расчет
энергетических зазоров осуществляется по приведенной ниже формуле.
E (x,y)
= E4
+ (E3-E4)x
+ (E2-E4)y
+ (E1+E4-E2-E3)xy
-
- [c24+(c13-c24)x]y(1-y)
- [c34+(c12-c34)y]x(1-x) , (2.2)
где En
- энергетический зазор в заданной точке зоны Бриллюэна бинарного соединения; cmn
- коэффициенты нелинейности для трехкомпонентного твердого раствора,
образованного бинарными соединениями m
и n.
В таблице 1 и 2 приведены значения
энергетических зазоров для бинарных соединений, четверных и необходимые
коэффициенты для учета температуры. Температура в данном случае была выбрана T
= 80°C = 353 K.
Таблица
1
Энергетические зазоры бинарных соединений
|
0
K
|
α
|
β
|
E
с учетом Т
|
|
EГ
|
EX
|
EL
|
EГ
|
EX
|
EL
|
EГ
|
EX
|
EL
|
EX
|
EL
|
|
GaP
|
2,78
|
2,35
|
2,72
|
-0,65
|
-0,577
|
-0,577
|
460
|
372
|
372
|
2,6803
|
2,2507
|
2,6207
|
|
InP
|
1,4236
|
2,384
|
2,014
|
-0,363
|
-0,37
|
-0,363
|
162
|
|
162
|
1,3357
|
2,2533
|
1,9261
|
|
GaAs
|
1,519
|
1,981
|
1,815
|
-0,541
|
-0,46
|
-0,605
|
204
|
204
|
204
|
1,3979
|
1,878
|
1,6795
|
|
InAs
|
0,417
|
1,433
|
1,133
|
-0,276
|
-0,276
|
-0,276
|
83
|
93
|
93
|
0,338
|
1,3558
|
1,0558
|
Таблица
2
Энергетические зазоры четверных соединений
|
|
EГ
|
EX
|
EL
|
|
GaInPAs
|
АО
|
0,7999
|
1,379
|
1,3297
|
|
ООО
|
0,9217
|
|
|
|
ОЭ
|
1,0916
|
|
|
Подбор необходимых значений состава проводился
по соотношению x и y
приведенному ниже. Полученные значения состава для всех областей: активной,
волноводной и области эмиттера сведены в таблицу 5.
Необходимым условием при расчете состава области
оптического ограничения и области эмиттера было то, что разница в разрыве зон
должна быть отлична не менее чем на 4kT.
a (x,y) = xya1 + (1-x)ya2
+ x(1-y)a3 + (1-x)(1-y)a4 , (2.4)
где a1
- a4
- периоды решеток соответствующих бинарных соединений. Они представлены в
таблице 3.
Таблица
3
Периоды решеток бинарных соединений
|
|
a,
A
|
|
1
|
GaP
|
5,4509
|
|
2
|
InP
|
5,8688
|
|
3
|
GaAs
|
5,6532
|
|
4
|
InAs
|
6,0584
|
Для четверных соединений GaInPAs
для всех областей значения периодов решеток сведены в таблицу 5.
Расчет показателя преломления производился по
соотношению приведенному ниже.
(2.5)
где необходимые параметры представлены в таблице
4.
Таблица
4
Параметры бинарных и четверных соединений для
расчета показателя преломления
|
|
E0
|
E1
|
E2
|
A
|
G1
|
G2
|
|
1
|
GaP
|
2,7455
|
3,6655
|
5,2655
|
0,42
|
31,4388
|
160,537
|
|
2
|
InP
|
1,3257
|
2,7807
|
5,0807
|
0,604
|
26,0399
|
128,707
|
|
3
|
GaAs
|
1,4062
|
2,8712
|
4,9712
|
0,584
|
30,0432
|
151,197
|
|
4
|
InAs
|
0,3453
|
2,4853
|
4,6853
|
1,166
|
14,6475
|
167,261
|
|
GaInPAs
|
АО
|
0,8096
|
2,574
|
4,7127
|
0,8682
|
21,8783
|
157,1932
|
|
ООО
|
2,6158
|
4,7649
|
0,8175
|
22,4393
|
151,9349
|
|
ОЭ
|
1,0943
|
2,6796
|
4,8765
|
0,7344
|
23,7145
|
142,9967
|
Показатель преломления для волноводной области
выбирался таким образом, чтобы отличаться от показателя преломления области
эмиттера как минимум на один процент.
Таблица
5
Основные параметры рабочих областей
|
АО
|
ООО
|
ОЭ
|
|
E
|
0,7999
|
E
|
0,9218
|
E
|
1,0917
|
|
x
|
0,371
|
x
|
0,2626
|
x
|
0,1403
|
|
y
|
0,1976
|
y
|
0,4276
|
y
|
0,6914
|
|
a(x,y)
|
5,8697
|
a(x,y)
|
5,8695
|
a(x,y)
|
5,8692
|
|
Δa,
%
|
0,0145
|
Δa,
%
|
0,0027
|
Δa,
%
|
0,0046
|
|
n
|
3,6862
|
n
|
3,6393
|
n
|
3,5936
|
|
|
Δn,
%
|
1,2898
|
Δn,
%
|
1,2721
|
|
4kT
|
0,1217
|
|
0,1218
|
|
0,1699
|
2.2 Расчет РОС резонатора
Основой РОС резонатора является дифракционная
решетка со следующим периодом.
Получившееся таким образом значение периода
решетки составляет 214 нм. Толщина слоя между активной областью и областью
эмиттера выбрана порядка толщины длины волны, то есть 1550 нм.
.3 Расчет внутреннего квантового
выхода
Значение квантового выхода определяется
вероятностью излучательных и безызлучательных переходов.
Значение внутреннего квантового выхода ηi
= 0.9999.
(
где R
= 10-10 см3/с - коэффициент рекомбинации, po
= 1015 см-3 - концентрация равновесных носителей заряда, Δn
= 1.366*1025 см-3 и было рассчитано из
где nN
= 1018 см-3 - концентрация равновесных носителей заряда в
эмиттере, ΔEc
= 0.5 эВ - разница между шириной запрещенной зоны АО и ОЭ.
Излучательное время жизни τи
= 7.3203*10-16 с. Безизлучательное время жизни τи
= 1*10-7 с. Безизлучательное время жизни будет определяться как
где C
= 10-14 с*м-3 - константа, Nл
= 1021 м-3 - концентрация ловушек.
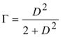
.4 Расчет оптического ограничения
Приведенная толщина активного слоя D
=
10.4817
:
Коэффициент оптического ограничения Г
=
0.9821:
Для нашего случая необходим также расчет
дополнительного коэффициента связанного с толщиной активной области г
=
0.0394:
где dп
= 1268.8997 нм - размер пятна в ближней зоне, определяемый как
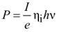
.5 Расчет порогового тока
Коэффициент отражения зеркал R
= 0.3236:
Пороговая плотность тока может быть рассчитана
по следующей формуле:
где β = 7*10-7
нм-1 - коэффициент распределенных потерь на рассеяние и поглощение
энергии излучения.
Пороговая плотность тока jпор
= 190.6014 А/см2.
Пороговый ток I
= jпорWL
= 38.1202 мА.
2.6 Расчет ватт-амперных
характеристик и КПД
Мощность до порога Pдо
= 30.5242 мВт.
Мощность после порога Pпсл
= 244.3889 мВт.
На рис. 4 представлен график зависимости
выходной мощности от тока.
Рисунок 4 - Зависимость выходной мощности от
тока
Расчет КПД η = 0.8014
КПД =
Дифференциальный КПД ηд
= 0.7792

2.7 Расчет параметров резонатора
Разность частот
Δνq
= 2.0594*1011 Гц
Δνq
= νq
- νq-1
=
Число аксиальных мод Nакс
= 71
Nакс
=
Неаксиальные колебания
Δνm
= 1.236*1012 Гц.
Δνm
=
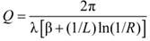
Добротность резонатора Q
= 5758.0722
Ширина резонансной линии Δνp
= 3.359*1010 Гц
Δνp
=
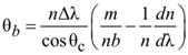
Расходимость лазерного луча
=
0.0684
где Δλ - спектральная
ширина линии излучения,
m - порядок
дифракции (в нашем случае первый),
b - период решетки.
.8 Выбор остальных слоев
Для обеспечения хорошего омического контакта в
структуре предусмотрен высоколегированный слой (N
= 1019 см-3) толщиной 5 мкм. Верхний контакт сделан
прозрачным, поскольку вывод излучения осуществляется через него перпендикулярно
подложке. Для улучшения структур, выращиваемых на подложке, предпочтительно
использование буферного слоя. В нашем случае буферный слой выбран толщиной 5
мкм. Размеры самого кристалла выбраны следующие: толщина 100 мкм, ширина 100
мкм, длина 200 мкм. Подробное изображение структуры со всеми слоями
представлено на рисунке 5. Параметры всех слоев такие энергетические зазоры,
показатели преломления и уровни легирования представлены на 6,7,8 рисунках
соответственно.
Рис. 5. Структура кристалла
Рисунок 6 - Энергетическая диаграмма структуры
Рисунок 7 - Показатели преломления всех слоев
структуры.
Рисунок 8 - Уровни легирования слоев структуры
Рисунок 9 - Выбранные составы твердых растворов
ЗАКЛЮЧЕНИЕ
Разработанный полупроводниковый лазер обладает
характеристиками превосходящими изначально заданные. Так пороговый ток у
разработанной структуры лазера составил 38.1202 мА, что ниже, чем заданные 40
мА. Выходная мощность также превзошла достаточную - 30.5242 мВТ против 5.
Рассчитанный состав активной области на основе
твердого раствора GaInPAs
является изопериодным к подложке InP,
расхождение периода решеток составило 0.0145то дает предпосылку к технологической
реализуемости полученной структуры, а также способствует уменьшению дефектности
структуры, не допуская появлению больших не скомпенсированных сил растяжения
или сжатия на гетерогранице. Для обеспечения локализации электромагнитной волны
в области оптического ограничения необходима разница в показателях преломления
ООО и ОЭ не менее одного процента в нашем случае эта величина составила
1.2721%, что является удовлетворительным результатом, однако дальнейшее
улучшение этого параметра невозможно из-за того, что невозможен дальнейший
сдвиг по изопериоду. Также необходимым условием работы лазерной структуры
является обеспечение локализации электронов в активной области, с тем чтобы
было возможно их возбуждение с последующей стимулированной эмиссией, это будет
выполняться при условии, что разрыв зон ООО и АО будет больше 4kT
(выполнено - табл. 5).
Коэффициент оптического ограничения полученной
структуры составил 0.9821, это значение близко к единице, однако для его
дальнейшего увеличения необходимо увеличивать толщину области оптического
ограничения. Причем, увеличение толщины ООО в несколько раз дает незначительное
увеличение коэффициента оптического ограничения, поэтому в качестве оптимальной
толщины ООО выбрана величина близкая к длине волны излучения, то есть 1550 нм.
Полученное значение добротности составило
5758.0722, что свидетельствует о невысоком уровне потерь в резонаторе. Поскольку
естественный резонатор образованный сколами по кристаллографическим плоскостям
кристалла имеет коэффициент отражения зеркал 32.36%, он будет обладать
огромными потерями. В качестве основы резонатора можно использовать
распределенную обратную связь в основе которой лежит эффект брэгговского
отражения световых волн на периодической решетки, созданной на границе ООО.
Рассчитанный период решетки составил 214.305 нм, что при ширине кристалла 100
мкм позволяет создать порядка 470 периодов. Чем больше будет число периодов,
тем эффективней будет происходить отражение. Еще одним преимуществом РОС
резонатора является то, что он обладает высокой селективностью по длине волны.
Это позволяет выводить излучение определенной частоты, позволяя преодолеть один
из основным недостатков полупроводниковых лазеров - зависимость длины волны
излучения от температуры. Также использование РОС обеспечивает возможность
вывода излучения под заданным углом. Возможно это стало предпосылкой очень
маленького угла расходимости он составил 0.0684 °. Излучение в данном случае
выводится перпендикулярно подложке, что является самым оптимальным вариантом,
поскольку также способствует наименьшему углу расходимости.
СПИСОК ИСХОДНЫХ ИСТОЧНИКОВ
1.
Пихтин А.Н. Оптическая и квантовая электроника: Учеб. Для вузов [Текст] / А.Н.
Пихтин. - М.: Высш. шк., 2001. - 573 с.
2.
Тарасов С.А., Пихти А.Н. Полупроводниковые оптоэлектронные приборы. Учебное
пособие. СПб. :Изд-во СПбГЭТУ “ЛЭТИ”. 2008. 96 с.
.
Физико-технический институт имени А.Ф. Иоффе Российской академии наук
[Электронный ресурс]