Проектирование сегмента сети широкополосного доступа
Содержание
Введение
.
Выбор технологии построения сети доступа
.1
Архитектура оптической сети доступа
.2
Пассивная оптическая сеть
.3
Анализ технологий PON
.
Проектирование сегмента сети широкополосного доступа
.1
Структура сети ШПД по технологии GPON
.2
Анализ жилого здания по адресу: г. Чита, _____
как
объекта проектирования
.3
Расчет параметров передачи оптического волокна
.3.1
Расчет оптических параметров оптического волокна
.3.2
Расчет параметров передачи оптических волокон
.4
Расчет количества абонентов
.5
Расчет емкости оптического кабеля
.6
Расчет сплиттеров
.7Станционный
участок
.8
Линейный участок
.8.1
Анализ магистральных оптических кабелей
.8.2
Анализ распределительных оптических кабелей
2.8.3
Кабельные муфты
.8.4
Анализ сплиттеров
.8.5
Оптические кроссовые шкафы
.8.6
Оптические распределительные коробки
.9
Абонентский участок
.9.1
Анализ абонентских оптических кабелей
.9.2
Абонентская розетка
.9.3
Абонентский терминал ONT
3.
Расчет бюджета оптической мощности
.
Безопасность жизнедеятельности
.1
Техника безопасности
.1.1
Пожарная безопасность
.1.2
Электробезопасность
4.2
Охрана окружающей среды
Заключение
Список
использованных источников
Приложение
А - Структурная схема проектируемой сети
Приложение
Б - Схема прокладки магистрального оптического кабеля
Приложение
В - Схема размещения пассивного оборудования и прокладки вертикального кабеля
Приложение
Г - Схема подключения услуги Triple Play посредством технологии GPON в квартире
абонента
Приложение
Д - План размещения квартир
Введение
Сети доступа являются сегодня самой
консервативной компонентой телекоммуникационных систем. До сих пор
эксплуатируются кабели, проложенные в начале ХХ века. Часто в качестве сетей
доступа используется аналоговая телефонная сеть, техническое состояние и
возможности которой не позволяют внедрять новые услуги в силу ограниченной
пропускной способности, неприспособленности к высокоскоростной передаче данных
и видеоинформации.
С внедрением новых технологий сети доступа можно
рассматривать как наиболее динамичным сегмент телекоммуникационной отрасли. Они
непосредственно связаны с предоставлением операторских услуг абонентам, поэтому
сети доступа хорошо окупаются даже в условиях неблагоприятной экономической
ситуации. Здесь постоянно совершенствуются технологии для удовлетворения новых
потребностей пользователей, появляются новые, характерные только для этих
сетей, технические решения.
В настоящее время в сетях доступа только
начинается переход на оптические технологии в фиксированной связи. Поэтому
можно с уверенностью сказать, что сети доступа находятся в фазе развития, что
делает их технически и финансово привлекательными.
Популярная в последнее время концепция «тройной
услуги» (Triple Play) предусматривает предоставление пользователям телефонии,
передачи данных и видеоинформации через одну сеть. Причем высокоскоростной
интернет и видео требуют значительной широкополосности сетевых ресурсов. Кроме
того, повышение спроса на широкополосный доступ определяется развитием новых
технологий: видео по запросу (VOD), потоковое видео, интерактивные игры,
видеоконференции, передача голоса в компьютерных сетях (VoIP), телевидение
высокой четкости (HDTV) и другие. Для выбора оптимального варианта модернизации
абонентского участка учитываются как возможности современной техники, так и необходимость
предоставления пользователям качественных услуг при разумных затратах.
Единственный путь, который позволяет заложить
способность сети работать с новыми приложениями, требующими все большей
скорости передачи - это прокладка оптического кабеля (ОК) от центрального офиса
до дома или до корпоративного клиента.
В настоящее время, благодаря значительному
снижению цен на оптические компоненты, прокладывать ОК для организации сети
доступа стало выгодно и при обновлении старых, и при строительстве новых сетей
доступа (последних миль). При этом имеется множество вариантов выбора
волоконно-оптических технологий доступа.
Наряду со ставшими традиционными решениями, на
основе оптических модемов, оптического Ethernet, технологии Micro SDH,
появились перспективные и прогрессивные решения для построения мультисервисной
сети с предоставлением услуг IP телефонии, IP TV, доступа в Интернет/передачи
данных с использованием архитектуры пассивных оптических сетей PON (passive
optical network).
Целью данного курсового проекта является
проектирование сегмента сети широкополосного доступа (ШПД) в г.Чите, по адресу
пос.КСК 4 микрорайон дом 33, 34 по технологии PON для предоставления следующих
услуг:
услуги по передаче данных;
услуги по передаче голосовой информации;
услуги связи для целей кабельного вещания;
При этом необходимо решить следующие задачи:
произвести анализ и выбор технологии
широкополосного доступа на основе ВОЛС, удовлетворяющую требованиям абонентов;
произвести анализ и выбор телекоммуникационного
оборудования (станционного и абонентского), магистрального
и внутриобъектового оптического кабеля, отвечающих необходимым стандартам;
отразить схему прокладки магистрального и
внутриобъектового оптического кабеля;
предусмотреть возможность расширения сети в
соответствии ростом числа абонентов;
определить требования по безопасности
жизнедеятельности.
сеть широкополосной
доступ абонент
1. Выбор технологии построения сети доступа
1.1 Архитектура оптической сети доступа
Архитектура построения сетей оптического доступа
характеризуется степенью приближения оптического сетевого терминала к
пользователю. Сектор стандартизации Международного Союза Электросвязи (ITU-T)
выделяет несколько характерных вариантов (см. рисунок 1.1):(Fiber to the Node)
- волокно до сетевого узла (от абонента 1км);(Fiber to the Curb) - волокно до
микрорайона, квартала или группы домов; до шкафа (от абонента 500м);(Fiber to
the Building) - волокно до здания (от абонента 100м);(Fiber to the Home) -
волокно до жилища (квартиры или отдельного коттеджа).
Рисунок 1.1 - Архитектуры оптических
сетей
Как видно из рисунка, все
архитектуры FTTx (Fiber To The …) предполагают наличие участка с
распределительными медными кабелями, но чем он короче, тем больше пропускная
способность сети. Максимальное использование оптических технологий предполагает
структура FTTH, при которой оптический сетевой терминал находится в квартире
пользователя и соединяется короткими соединительными кабелями с оконечными
устройствами - телефоном, компьютером, телевизором и т.д. Выбор архитектуры
зависит от множества условий, и в первую очередь от плотности размещения
абонентов.
В современных оптических сетях
доступа могут использоваться различные топологии сети (схемы соединения узлов)
(рисунок 1.2). Выбор оптимальной топологии зависит от целого ряда факторов,
связанных с конкретными условиями проектирования (плотность абонентов, их
расположение, виды услуг и т.д.), а также от базовой оптической технологии.
1.2 Пассивная оптическая сеть
Пассивные оптические сети являются
одной из наиболее популярных оптических технологий для сетей доступа. PON
(Passive Optical Network, пассивные оптические сети) - это технологии
широкополосного мультисервисного доступа по оптическому волокну. Ее идея
заключается в построении сети доступа с большой пропускной способностью при
минимальных капитальных затратах.
Суть технологии PON состоит в том,
что ее распределительная сеть (преимущественно древовидной топологии) строится
без использования активных компонентов: разветвление оптического сигнала по
одноволоконной оптической линии связи осуществляется с помощью пассивных
разветвителей оптической мощности - сплиттеров, которые не требуют
электропитания, настройки и управления, термошкафов, недороги и очень
компактны.
Структурно пассивная оптическая сеть
состоит из трех главных элементов - станционного терминала OLT (optical line
terminal, коммутатор), сплиттеров в узлах сети и абонентского терминала ONT
(optical network terminal - в терминологии ITU-T), так же называемых ONU (optical
network unit - в терминологии IEEE) - модем (рисунок 1.2).
Рисунок 1.2 - Структура пассивной
оптической сети
Основная идея архитектуры PON -
использование всего одного приемопередающего модуля в OLT для передачи информации
множеству абонентских устройств ONT и приема информации от них. Таким образом
реализуется решение с использованием логической топологии «точка-многоточка»
(point-to-multipoint).
Терминал OLT обеспечивает
взаимодействие сети PON с внешними сетями, сплиттеры осуществляют разветвление
оптического сигнала на участке тракта PON, а ONT имеет необходимые интерфейсы
взаимодействия с абонентской стороны.
Передача и прием в обоих
направлениях производятся, как правило, по одному оптическому волокну, но на разных
длинах волн. В нисходящем потоке (от станции к абонентам, прямой поток)
используют длину волны 1490 или 1550 нм, а в восходящем (от абонентов к
станции, обратный поток) - 1310 нм.
Рисунок 1.3 - Нисходящий поток (прямой
поток, к абонентам)
Как видно из приведенной схемы
(рисунок 1.3), нисходящий поток (от OLT) содержит данные одновременно для всех
ONT (модемов), но каждое оконечное устройство выделяет информацию только для
своего терминала.
Рисунок 1.4 - Восходящий поток
(обратный поток, от абонентов)
В восходящем потоке (от абонентов)
каждое ONT передает информацию в свой момент времени (временное
мультиплексирование кадров), и после объединения общий поток содержит сигналы
от всех пользователей (рисунок 1.4).
1.3 Анализ технологий PON
Проанализируем технологии EPON и
GPON, на основе которых сегодня строятся пассивные оптические сети.
Основные технические преимущества
GPON перед EPON - более высокая скорость в нисходящем потоке и более
эффективные механизмы для передачи трафика сетей с коммутацией каналов (TDM).
Технология EPON не имеет явных технических преимуществ перед GPON, но
значительно проще с точки зрения межсетевого взаимодействия с существующими
сетями оператора и абонентскими устройствами. При равном коэффициенте
разветвления на абонента сети GPON приходится вдвое большая скорость передачи в
нисходящем потоке по сравнению с абонентом сети EPON. При коэффициенте
разветвления 1:32 абонент GPON получит полосу 73 Мбит/с, а абонент EPON - 30
Мбит/с; при распределении 1:64 соответственно - 36 Мбит/с и 15 Мбит/с. Таким
образом, технологии GPON и EPON предоставляют пользователю практически
одинаковый ресурс при условии, что в одном PON-дереве сети GPON вдвое больше
пользователей.
Проанализируем возможности
технологий GPON и EPON для поддержки услуг triple play, под которыми сегодня
понимается совокупность услуг телефонии, доступа в Интернет и передачи
видеоинформации, предоставляемых в одной сетевой точке и с использованием одного
типа носителя информации. Достаточно мощный профиль услуг «triple play» можно
сформулировать так: одному конечному пользователю должны быть доступны три
канала IPTV - один HDTV (15 Мбит/c) и два SDTV (2x4 Мбит/c), доступ в Интернет
(2 Мбит/c), доступ к локальным ресурсам (1 Мбит/c), три линии VoIP (3х0,1
Мбит/c). То есть общий ресурс на одного пользователя составляет порядка 26,3
Мбит/c, при условии, что он пользуется всеми сервисами одновременно. Как
следует из вышеизложенного, такой профиль услуг может поддерживаться в одном
PON-дереве как для 32 пользователей EPON, так и для 64 пользователей GPON.
В GPON поддерживается механизм
регулировки уровней мощности, при котором центральный узел может заставить ONT
изменить мощность передатчика на одно из трех значений. Информация о текущем
уровне поступает от каждого ONT в восходящем потоке. В EPON на абонентском узле
поддерживается только один уровень мощности.
В EPON реализация режима Multicast в
дереве PON, стандартизованная IEEE, базируется на обработке пакетов с
Multicast-адресами и близка к технологиям, применяемым в Ethernet-сетях.
Помимо технических характеристик
технологий, при выборе того или иного решения важными являются такие
показатели, как стоимость оборудования, возможность последующей модернизации,
организация взаимодействия с существующими сетями связи, особенности
технического обслуживания и эксплуатации, распространенность технологических
решений. Рассмотрим эти аспекты подробнее.
Стоимость оборудования определяется
рядом факторов - как объективных, так и субъективных. К объективным факторам
относятся сложность технологии производства, стоимость компонентов, объемы
производства. К субъективным можно отнести маркетинговую политику поставщика
оборудования и действия госорганов по регулированию рынка. Влияние субъективных
факторов на стоимость производства плохо предсказуемо и не может являться
основанием для объективной оценки.
Технология пассивных оптических
сетей GPON позволяет увеличить пропускную способность сети, обеспечивает
высокое качество передачи видеосигнала с предоставлением новых сервисов. Сеть
строится с помощью пассивных делителей оптической мощности (сплиттеров), не
требующих питания и обслуживания. Особенностью технологии является 100%
оптический канал от АТС до квартиры или офиса клиента, что позволяет повысить
качество передачи сигнала (голоса, данных, видео) и в десятки раз увеличить
скорость передачи данных.
Цифровая телефония в рамках GPON
дает возможность подключить несколько телефонных номеров. А номер не привязан к
адресу проживания - в случае переезда его можно забрать с собой.предоставляет
масштабируемую структуру кадров при скоростях передачи от 622 Мбит/с до 2,5
Гбит/c, и допускает системы как с одинаковой скоростью передачи прямого и
обратного потока в дереве PON, так и с разной.
Услуги на базе GPON имеют достаточно
широкий спектр применения с точки зрения функциональных возможностей и
потребительских характеристик. Эта технология является стабильной и
перспективной, удобной для пользователя.
Анализируя изложенный материал по
технологиям PON, с учетом сравнительных характеристик технологий, перспектив на
будущее развитие сетей широкополосного доступа, растущих потребностей клиентов
и обеспечения высокоскоростной передачи данных, для реализации проекта была
выбрана технология GPON.
Основное преимущество выбранной
технологии GPON заключается в том, что она позволяет оптимально использовать
волоконно-оптический ресурс кабеля. Также для GPON характерно повышение
скорости передачи; полная поддержка DBA (Dynamic Bandwidth Allocation) -
механизма динамического перераспределения полосы пропускания в соответствии с
запросами абонентов и наличием свободной полосы в дереве PON; поддержка
передачи потокового видео; простота установки и обслуживания.
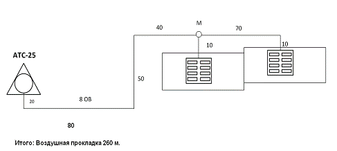
2. Проектирование сегмента сети
широкополосного доступа
2.1 Структура сети ШПД по технологии
GPON
Оптическая сеть ШПД по технологии
GPON состоит из трех основных частей (рисунок 2.1):
Станционный участок - это активное
оборудование OLT, смонтированное на узле связи в помещении АТС.
Линейный участок - это
волоконно-оптический кабель, шкафы, сплиттеры, коннекторы и соединители,
располагающиеся на всем пространстве между станционным и абонентским участком.
Магистральный участок - это кабель,
прокладываемый от кросса (ODF) на АТС в направлении территории с большой
группой зданий (район, квартал) и завершающийся оптическим распределительным
шкафом (ОРШ);
Распределительный участок - это
кабель, выходящий из ОРШ и прокладываемый преимущественно внутри зданий
вертикально по межэтажным стоякам.
Абонентский участок - это
персональная абонентская разводка одноволоконным дроп-кабелем (реже
двухволоконным) от элементов общих распределительных устройств до оптической
розетки и активного оборудования ONT в квартире абонента (или до группового
сетевого узла ONU, смонтированного в офисе корпоративного клиента).
Самым сложным и капиталоёмким
является линейный участок, состоящий из множества разнообразного пассивного
оборудования и большого количества строительно-монтажных работ, поэтому очень
важно применение наиболее оптимальных методов его построения.
Рисунок 2.1 - Структура
проектируемой сети
Линейный участок определяет итоговую
топологию пассивной оптической сети. В распределительной сети GPON от
оптических распределительных шкафов до оконечных устройств абонентов (ONT, ONU)
связь осуществляется через пассивные оптические разветвители (сплиттеры),
которые устанавливаются в оптических распределительных коробках (ОРК) и/или в
оптических распределительных шкафах (ОРШ).
На сети может быть использована как
одноуровневая (однокаскадная) схема включения сплиттеров без последовательного
их включения друг за другом, так и многокаскадная схема с последовательным
размещением (рисунок 2.2).
Рисунок 2.2- Схемы включения
сплиттеров
Количество уровней каскадирования
зависит от суммарного вносимого затухания сплиттеров, коэффициента ветвления
PON интерфейсов OLT (у GPON это 1:32 или 1:64) и требований к полосе
пропускания для каждого абонента. Чем меньше уровней каскадирования сплиттеров,
тем проще сеть абонентского доступа и, соответственно, больше возможностей
быстрого устранения неисправностей, повышения качества связи за счет исключения
возможных переходных искажений на многоступенчатой передаче сигналов. С другой
стороны, каскадирование позволяет более гибко расположить распределительные
устройства и кабели, т.е. оптимально построить пассивную распределительную
сеть.
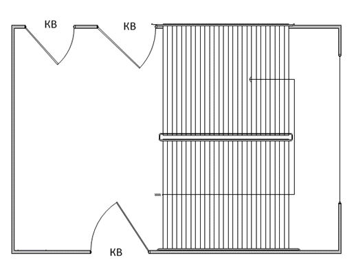
.2 Анализ жилого здания по адресу 4
микрорайон дом 30 как объекта проектирования
Проектируемый сегмент сети ШПД
охватывает жилое здание по адресу 4 микрорайон дом 30 (рисунок 2.3).
Рисунок 2.3 - Объект проектирования
Проведенные проектно-изыскательные
работы показали, что дом представляет собой 2 спаренных пятиэтажных здания с
одинаковым количеством абонентов, равным 85. Следовательно, общее количество
абонентов, способных подключиться к сети, равно 170.
.3 Расчет параметров передачи
оптического волокна
Для проектирования пассивной
оптической сети необходимо произвести анализ и расчет параметров передачи
оптического волокна. Произведем расчет показателей преломления оптических
волокон (ОВ) с легирующими добавками окисей бора, германия и др., которое также
обладает необходимой гибкостью при относительно больших диаметрах и
способностью выдерживать без разрушения многократный изгиб, что является
основными критериями при построении сетей PON по принципу «волокно до дома».
Показатель преломления у ОВ в
диапазоне длин волн 0,2...2,0 мкм можно описать формулой Селмейера:

(2.1)
гдеAi, li - коэффициенты ряда
Селмейера;
λ - длина волны, выраженная в
мкм (1,31 мкм).
Для изготовления ОВ, используемых в
диапазоне длин волн 800...1800 нм, применяются кварцевые стекла с легирующими
добавками окиси германия GeO2, фосфора Р2О3, повышающими показатель преломления
кварца, и добавками окиси бора В2О3, фтора F, понижающими его показатель
преломления. Значения коэффициентов Аi, li в (2.1) для стекол различных
составов приведены в таблице 2.1.
Произведем расчет показателей
преломления для различных стекол и подберем материалы сердцевины и оболочки ОВ,
учитывая, что для одномодовых волокон отличие показателя преломления сердцевины
от показателя преломления оболочки составляет не больше 0,4%.
Таблица 2.1 - Коэффициенты ряда
Селмейера.
|
Состав стекла
|
Тип коэф.
|
Значение
коэффициента для i
|
|
|
1
|
2
|
3
|
|
SiO2
|
Ai
li
|
0,6961663
0,0684043
|
0,4079426
0,1162414
|
0,8974794
9,8961610
|
|
13,5%
GeО2 86,5% SiО2
|
Ai
li
|
0,73454395
0,08697693
|
0,42710828
0,11195191
|
0,82103399
10,84654000
|
|
7%
GeО2 93,0% SiО2
|
Ai
li
|
0,686982900
0,078087582
|
0,44479505
0,11551840
|
0,79073512
10,43662800
|
|
4,1%
GeО2 95,9% SiО2
|
Ai
li
|
0,686717490
0,072675189
|
0,43481505
0,11514351
|
0,89656582
10,00239800
|
|
13,5%
Ве2О3 86,5% SiО2
|
Ai
li
|
0,707246220
0,080478054
|
0,39412616
0,10925792
|
0,63301929
7,89080630
|
|
3,1%
GeО2 96,9% SiО2
|
Ai
li
|
0,7028554
0,0727723
|
0,4146307
0,1143085
|
0,8974540
9,8961610
|
|
3,5%
GeО2 96,5% SiО2
|
Ai
li
|
0,7042038
0,0514415
|
0,4160032
0,1291600
|
0,9074049
9,8961560
|
|
3,0%
В2О3 97,0% SiО2
|
Ai
li
|
0,6935408
0,0717021
|
0,4052977
0,1256396
|
0,9111432
9,8961540
|
|
3,5%
В2О3 96,5% SiО2
|
Ai
li
|
0,6929642
0,0604843
|
0,4047458
0,1239609
|
0,9154064
9,8961520
|
|
3,3%
GeО2 9,2% В2О3 87,5% SiО2
|
Ai
li
|
0,6958807
0,0665654
|
0,4076588
0,1211422
|
0,940193
9,896140
|
|
2,2%
GeО2 3,3% В2О3 94,5% SiО2
|
Ai
li
|
0,6993390
0,0617482
|
0,4111269
0,1242404
|
0,9035275
9,8961580
|
|
9,1%
Р2О5 90,9% SiО2
|
Ai
li
|
0,695790
0,061568
|
0,452497
0,119921
|
0,712513
8,656641
|
|
1%
F 99% SiО2
|
Ai
li
|
0,691116
0,068227
|
0,399166
0,116460
|
0,890423
9,993707
|
|
16,9%
Nа2O 32 5% В2О3 50,6% SiО2
|
Ai
li
|
0,796468
0,094359
|
0,497614
0,093386
|
0,358924
5,999652
|
,0% В2О3/97,0% SiО2:
,3% GeО2/9,2% В2О3/87,5% SiО2:
Итак, наиболее подходящими материалами
сердцевины и оболочки ОВ являются кварцевое стекло с 3,3% GeО2, 9,2% В2О3,
87,5% SiО2 (n1=1,4464) и кварцевое стекло с 3,0% В2О3, 97,0% SiО2 (n2=1,4451)
соответственно. Отличие показателя преломления сердцевины от показателя
преломления оболочки составляет при этом 0,09%
2.3.1 Расчет оптических параметров оптического
волокна
Расчет относительной разности показателей
преломления Δ:

(2.2)
гдеn1 - показатель преломления
сердцевины ОВ (1,4464);- показатель преломления оболочки ОВ (1,4451).

Расчет числовой апертуры NA:

(2.3)
гдеn1 - показатель преломления
сердцевины ОВ (1,474);- показатель преломления оболочки ОВ (1,4725).

Расчет нормированной частоты ν:

(2.4)
гдеd - диаметр сердцевины
одномодового ОВ, мкм (10 мкм);
λ - длина волны, нм (1310
нм);- числовая апертура.

Нормированная частота ν - параметр,
определяющий число распространяющихся мод. Т.к. 0<(ν=1,4696)<2,405,
то режим работы ОВ одномодовый.
Расчет диаметра модового поля dмп,
мкм:

(2.5)
гдеd - диаметр сердцевины
одномодового ОВ, мкм (10 мкм);
ν - нормированная частота
(1,4696).

Расчет длины волны отсечки λс , нм:

(2.6)
гдеd - диаметр сердцевины
одномодового ОВ, мкм (10 мкм);- числовая апертура.
Т.е. 800,475 нм (374,777 ТГц) -
минимальная длина волны (максимальная частота), при которой ОВ поддерживает
только одну распространяющуюся моду.
2.3.2 Расчет параметров передачи
оптических волокон
К параметрам передачи ОВ относятся:
коэффициент затухания;
дисперсия;
ширина полосы пропускания.
. Общее затухание сигнала в ОК
обусловлено собственными потерями мощности в ОВ (αс) и
кабельными потерями (αк), т.е.
α=αс+ αк(2.7)
1) Собственные потери волоконных
световодов состоят из потерь поглощения энергии в диэлектрике αп и потерь
рассеяния ее на мельчайших частицах световодной структуры αр и
рассчитываются по формуле:
αс = αп+ αр (2.8)
где αп -
затухание поглощения, дБ/км;
αр - затухание рассеяния,
дБ/км;
Затухание поглощения αп , дБ/км,
рассчитывается по формуле:

(2.9)
гдеn1 - показатель преломления
сердцевины ОВ (1,4464);
λ - длина волны, нм (1310 нм);δ - тангенс
угла диэлектрических потерь ОВ, (2·10-12).
Затухание рассеяния αр , дБ/км,
рассчитывается по формуле:

(2.10)
гдеn1 - показатель преломления
сердцевины ОВ (1,4464);
λ - длина волны, нм (1310
нм);- постоянная Больцмана (1,38·10-23 Дж/К);
Т - температура перехода стекла в
твердую фазу (1500 К);
β - коэффициент сжимаемости
(для кварцевых стекол 8,1·10-11 м2/Н).
Такое рассеяние называется
рэлеевским и оно растет с частотой пропорционально ν4. Потери на
рассеяние определяют нижний предел потерь ОВ.
Собственные потери согласно (2.7):
αс =0,603+0,022=0,625 дБ/км
2) Кабельное затухание
рассчитывается как сумма 7 составляющих:

(2.11)
гдеα1 - затухание
вследствие термомеханических воздействий на волокно в процессе изготовления
кабеля;
α2 - затухание вследствие
температурной зависимости коэффициента преломления ОВ;
α3 - затухание на микроизгибах
ОВ;
α4 - затухание вследствие
нарушения прямолинейности ОВ;
α5 - затухание вследствие
кручения ОВ вокруг оси;
α6 - затухание из-за
неравномерности покрытия ОВ;
α7 - затухание вследствие
потерь в защитной оболочке;
При расчете αк принято
равным 0,05 дБ/км.
Расчетное суммарное затухание
согласно (2.6):
α=0,625+0,05=0,675 дБ/км
2. Дисперсия - рассеивание во
времени спектральных или модовых составляющих оптического сигнала. Полная
дисперсия τрез, пс/км,
рассчитывается как сумма межмодовой (модовой) и хроматической дисперсии.

(2.12)
Межмодовая дисперсия возникает
вследствие различной скорости распространения мод, и имеет место только в
многомодовом волокне.
Хроматическая дисперсия состоит из
материальной и волноводной составляющих и имеет место при распространении как в
одномодовом, так и в многомодовом волокне.
Материальная дисперсия в ОВ
обусловлена зависимостью показателя преломления от длины волны.
волноводная дисперсия - обусловлена
процессами внутри моды, характеризуется направляющими свойствами сердцевины ОВ.
Расчет хроматической дисперсии τхр, пс/км:

(2.13)
гдеD(λ) - удельная
хроматическая дисперсия, пс/(нм·км);
Δλ -
максимальная ширина спектра излучения источника, нм (1 нм).

(2.14)
гдеS0 - подгоночный коэффициент,
определяемый для каждого материала ОВ экспериментальным путем с помощью
коэффициентов Селмейера, пс/(нм2·км) (0,014 пс/(нм2·км));
λ - длина волны, нм (1310 нм);
λс - длина волны отсечки, нм
(800,475 нм).
. Полоса пропускания - рабочая
полоса частот ОК, определяет число передаваемых по нему каналов связи и
лимитируется дисперсией ОВ. Для того, чтобы при передаче сигнала сохранялось
его приемлемое качество необходимо, чтобы полоса пропускания волокна на длине
волны передачи превосходила частоту модуляции.

(2.15)
гдеW - полоса пропускания, ГГц·км;
τ - дисперсия ОВ, пс/км.
Т.е. с точки зрения дисперсии можно
передавать сигнал с частотой модуляции до 223 ГГц без каких-либо искажений.
2.4 Расчет количества абонентов
Статистически установлен коэффициент
проникновения: он учитывает, сколько % жителей желают подключиться к услуге
«Triple Play», а также конкурентоспособность строящей сеть. Возьмем следующий
коэффициент проникновения:
.
Исходя из коэффициента проникновения
только 64% жителей здания являются потенциальными абонентами проектируемой сети
доступа.
Рассчитаем как общее количество
вероятных абонентов:
.
2.5 Расчет емкости оптического
кабеля
Рассчитаем необходимую емкость
линейного оптического кабеля, подводимого к сплиттерам, исходя из максимального
количества подключаемых абонентов, с учетом резервных волокон. Воспользуемся
оценочной формулой:

(2.16)
где С - количество волокон;кв - количество
подключаемых квартир;- ветвление сплиттера.
(2.17)
.6 Расчет сплиттеров
Исходя из общего количества
абонентов и количества портов, рассчитаем количество сплиттеров к
строительству.
При проектировании сети используются
сплиттеры с ветвлением 1:32, т.е. на один сплиттер будет подключаться 32
абонента:
абонентов может обслуживаться 4
сплиттерами - (4·32=128 порта, 19 резервных порта);
2.7 Станционный участок
Оборудование OLT служит своеобразным
мультиплексором, обслуживающим множество соединений с устройствами ONT. Один
GPON-порт этого оборудования способен поддерживать 32 абонента.
Центральный узел сети PON
оборудуется в помещении АТС или, например, головной станции сети кабельного ТВ.
В принципе аппаратура этого узла может быть размещена в любом контролируемом
оператором помещении или в контейнере, в котором поддерживается необходимый
температурно-влажностный режим. Питание осуществляется от местного источника,
обеспечивается заземление. OLT при помощи патчкорда или оптической кабельной
сборки, подключается к внешней сети передачи данных. PON-порты подключаются
оптическими патчкордами SC/APC к станционному оптическому кроссу. Кросс
размещается в стойке с OLT. На кросс заводится магистральный оптический кабель,
и на патч-панель выводятся все волокна этого кабеля. Резервные волокна
предназначены для подключения новых абонентов или для быстрого переключения
связи на резервное волокно в случае повреждения рабочего.
Таблица 2.4 - Технические
характеристики станционных терминалов
|
Производитель
|
Элтекс
|
UTSTARCOM
|
Zyxel
|
|
Марка
|
GPON
LTE-8ST
|
BBS
1000+
|
OLT-1308H
|
|
Энергопотребление,
Вт
|
70
|
70
|
100
|
|
Максимальное
количество портов
|
8
|
8
|
80
|
|
Тип
соединителей
|
SC/APC,
SC/UPC
|
SC/APC,
SC/UPC
|
SC/APC,
SC/UPC
|
|
Дальность
передачи, км
|
20
|
10
|
20
|
|
Коэффициент
расщепления
|
до
1:64
|
до
1:64
|
до
1:64
|
|
Оптический
бюджет, дБ
|
28
|
29
|
28
|
|
Температура
эксплуатации, °С
|
-5…+40
|
+5…+40
|
-5…+45
Устройство выполняет следующие функции:
динамическое распределение полосы DBA;
поддержка функций безопасности;
удаленное управление ONT, автоматическое
обнаружение новых ONT;
организация VLAN (диапазон идентификатора VLAN
0-4094);
фильтрация по МАС-адресу, размер таблицы МАС
адресов - 16 000 записей;
2.8 Линейный участок
2.8.1 Анализ магистральных оптических кабелей
Согласно произведенным расчетам параметров
передачи ОВ и требованиям Рекомендации ITU-T G.983, для строительства PON
должны применяться кабели с одномодовыми оптическими волокнами типа G.657A или
совместимые с ними G.652D.
Волокна G.657А предназначены для использования с
различными приложениями на сетях доступа. Они являются оптимизированными в
отношении потерь на макроизгибе, а значения других параметров остаются в
диапазоне, рекомендованном для G.652D.
Магистральные участки, соединяющие узел связи с
первой точкой распределения, являются наиболее протяженными и ответственными.
Поэтому условия их прокладки и применяемые кабели должны обеспечивать
максимальную надежность.
Магистральный оптический кабель будет
прокладывается от АТС до группы зданий по опорам линии электропередач. Далее
оптический кабель по внешнему фасаду заводится в дом на технический этаж.
Произведем сравнение механических параметров
подвесного кабеля от нескольких производителей.
Таблица 2.7.1 - сравнительный анализ некоторых
параметров подвесного оптического кабеля от различных производителей
|
Производитель
/веб-сайт
|
Допустимое
растягивающее усилие, кН
|
Рабочий
диапазон температур, °C
|
Низшая
температура монтажа, °C
|
Масса
кабеля, кг/км
|
|
ЗАО
Электропровод»
|
3,5
- 15
|
от
-60 до +70
|
-10
|
120-250
|
|
ООО«Эликс-Кабель»
|
3,5
- 15
|
от
-60 до +50
|
-10
|
160-180
|
|
Завод
«Инкаб»
|
3,5-30
|
от
-60 до +70
|
-30
|
115-190
|
|
ЗАО
«Севкабель»
|
3,5
- 12
|
от
-60 до +70
|
-15
|
115-250
|
|
ЗАО
«Трансвок»
|
3,5
- 15
|
от
-40 до +70
|
-10
|
114
- 488
|
|
ООО«Сарансккабель
|
7
- 9
|
от
-40 до +60
|
-10
|
от
160
|
В условиях ветреной погоды необходимо
использовать силовой элемент достаточно высоким пределом натяжения с одной
стороны, с другой - кабель не должен быть слишком тяжелым для уменьшения
механической нагрузки. Поскольку масса кабеля растет с увеличением прочности
силового элемента, наиболее оптимальным будет использование кабеля с допустимым
растягивающим усилием 8-10 кН.
По критерию рабочего диапазона температур
невозможно использование кабеля от ЗАО «Трансвок» и ООО «Сарансккабель-оптика».
Наиболее легким является кабель от компании
«Инкаб». При допустимом растягивающем усилии 8 кН, его масса составляет 115
кг/км.
Для проекта выбран кабель марки ДПТа-П-8А-1(6)-8
кН.
Данный вид кабели применяются для подвеса на
опорах воздушных линий связи, контактной сети и автоблокировки железных дорог,
линий электропередач, столбах освещения, энергообъектах, между зданиями и
сооружениями.
Конструкция:
Рисунок 2.7.1 - Конструкция ОК марки ДПТ
Кабель содержит сердечник модульной конструкции
с центральным силовым элементом из диэлектрического стержня, вокруг которого
скручены оптические модули со свободно уложенными волокнами. Свободное
пространство в оптических модулях и в сердечнике кабеля заполнено гидрофобным
гелем. На сердечник накладывается промежуточная оболочка из полиэтилена средней
плотности. На промежуточную оболочку спирально накладываются арамидные нити.
Поверх нитей накладывается оболочка из полиэтилена средней плотности.
2.8.2 Анализ распределительных оптических
кабелей
Распределительный кабель прокладывается по
одному из менее загруженных стояков здания или по новому стояку. На каждом
этаже устанавливается оптическая распределительная коробка (ОРК).
Часто используется кабель с возможностью
вытягивания индивидуальных волокон, покрытых специальной оболочкой.
Использование такого кабеля для межэтажной прокладки позволяет извлекать
необходимое количество волокон из кабеля через небольшой разрез, не разрезая
при этом весь кабель. Волокна в таком кабеле должны иметь дополнительную
защиту, предусмотренную конструкцией кабеля, - плотное буферное покрытие из
пластиковой композиции диаметром 900 мкм (0,9 мм). В этом случае волокна
гораздо лучше защищены от случайных изгибов и ударов. Таким образом,
достигается рациональное использование волокон кабеля на каждом из этажей
здания, а также возможно использование однотипного кабеля с различным числом
волокон.
Наиболее подходящим оптическим кабелем для
распределительного участка сети является кабель СКО-ОПТ (ЗАО «Севкабель-Оптик»).
Оптический кабель СКО-ОПТ отвечает всем основным
и дополнительным требованиям, предъявляемым к кабелю, прокладываемому на
распределительном участке сети PON. Конструкция кабеля позволяет извлекать
необходимое количество волокон из кабеля через небольшой разрез, не разрезая
при этом весь кабель. Волокна имеют дополнительную защиту, предусмотренную
конструкцией кабеля, - буферное полимерное покрытие диаметром 900 мкм.
Полимерная центральная трубка заполнена гидрофобным гелем, что обеспечивает защиту
от проникновения влаги. Диэлектрический силовой элемент защищает от ударов,
растягивания, скручивания и сдавливания (наилучшие показатели по допустимым
нагрузкам). Наружная оболочка выполнена из полиэтилена высокой плотности, не
распространяющего горение. Кроме того кабель специально адаптирован для
построения сетей широкополосного доступа и решения задач «последней мили», а
также имеет наибольшее число волокон, что позволяет существенно сэкономить на
затратах на кабель.
Рисунок 2.7.2- Кабель СКО-ОПТ
2.8.3 Кабельные муфты
Для обеспечения ответвления
необходимого числа волокон магистрального кабеля в сторону каждого дома
устанавливаются отводные муфты. С помощью сварочного соединения в муфте эти
волокна соединяются с волокнами магистрального кабеля (меньшей емкости),
подводимого к каждому дому. Далее оптический кабель по внешнему фасаду
заводится в дом на технический этаж.
Для обеспечения ответвления волокон
с учетом применяемого кабеля и условиями прокладки целесообразно применять
оптическую муфту МТОК 96/48Г.
Муфта МТОК 96/48Г предназначена для
сращивания оптических кабелей, прокладываемых в городских условиях. Это могут
быть различные варианты самонесущих оптических кабелей, подвесные оптические
кабели с вынесенными тросами, оптические кабели с бронепокровом в виде стальной
гофрированной ленты, оптические кабели с алюмополиэтиленовой оболочкой, а также
внутриобъектовые ОК.
Муфта обеспечивает ввод через
круглые патрубки отдельных кабелей от 5 до 22 мм с использованием только
термоусаживаемых трубок, входящих в комплект муфты. В муфте предусмотрена
система крепления ЦСЭ вводимых ОК.
Рисунок 2.7.3 - Муфта МТОК 96/48Г
2.8.4 Анализ сплиттеров
Сплиттеры - важнейшие элементы
инфраструктуры PON, которые обеспечивают деление оптического сигнала.
Сплиттер - пассивное оптическое
устройство, имеющее три и более оптических выхода, делящее один входной сигнал
между двумя и более выходами или объединяющие два и более входных сигнала в
один выходной.
В общем случае группа сплиттеров
отделяет магистральный участок от распределительного участка сети, находясь в
ОРШ внутреннего или наружного исполнения. Все сплиттеры на территории
обслуживания должны иметь значительный коэффициент деления (минимум - 1:16,
норма - 1:32, максимум - 1:64) и размещаться централизованно в ОРШ.
Таблица 2.11 - Технические
характеристики сплиттеров
|
Параметр
|
SNR-1x32
|
Fibertool-1х32
|
КРТО-32С
|
|
Рабочая
длина волны, нм
|
1310
/ 1550
|
1260…1650
|
1260…1650
|
|
Ширина
полосы, нм
|
±40
|
±40
|
±40
|
|
Вносимые
потери, дБ
|
18,4
|
16,5
|
17,5
|
|
Неравномерность
потерь, дБ
|
1,4
|
1,5
|
1,9
|
|
Температурный
коэффициент, дБ/°С
|
0,002
|
0,005
|
0,005
|
|
Рабочая
температура, °С
|
-40…+70
|
-45…+85
|
-20…+65
|
|
Относительная
влажность
|
30…85%
|
20…90%
|
|
|
Размеры
модуля, мм (Д×Ш×В)
|
140x114x18
|
140×115×10
|
140×115×10
|
|
Возможность
установки в стойку 19''
|
+
|
+
(исполнение)
|
+
|
Из всех планарных сплиттеров 1:32,
представленных на российском рынке телекоммуникационного оборудования, для
проектируемого сегмента сети PON наиболее подходящим является сплиттер
Fibertool-1х32.
Полногабаритное исполнение в корпусе с размерами
140х115х10 мм. Исполнение удобно тем, что такой форм-фактор дает возможность
изготовить порты сплиттера в волокне с диаметром наружной оболочки 2 или 3 мм.
Такое решение подходит для тяжелых условий эксплуатации и рассчитано в основном
на установку в стальные/пластиковые распределительные корпуса (могут
использоваться как отдельно стоящее устройство). То, что волокно в таких
сплиттерах идет в толстой защитной оболочке, позволяет строить PON-системы с
минимизацией затухания.
2.8.5 Оптические кроссовые шкафы
Оптические кроссовые (распределительные) шкафы
(ОРШ), являющиеся в архитектуре сети PON распределительным пунктом (блоком)
здания (РПЗ), устанавливаются на границе между магистральным и
распределительным участком сети PON.
В сети, построенной по централизованной
архитектуре, такой блок обычно представляет собой шкаф (антивандальный) с
оптическим оборудованием, обеспечивающим обслуживание сотен портов.
Конструкция распределительного шкафа в сети с
централизованной архитектурой должна гарантировать удобный доступ ; надежную
защиту от несанкционированного доступа; необходимый уровень пыле- и влаго-
защищенности.
Настенные антивандальные шкафы отечественного
производства наиболее полно отвечают всем предъявляемым требованиям. Они
предназначены для установки 19-дюймового телекоммуникационного оборудования в
местах открытого доступа, в том числе в неотапливаемых помещениях.
Таблица 2.12 - Характеристики настенных
антивандальных шкафов
|
Наименование
|
Высота,
U
|
Высота,
мм
|
Ширина,
мм
|
Глубина,
мм
|
Масса,
кг
|
Цена,
руб.
|
|
RECW-066АV
|
6
|
391
|
600
|
520
|
16
|
8204,49
|
|
RECW-096АV
|
9
|
524
|
600
|
520
|
23
|
10324,80
|
|
RECW-126АV
|
12
|
658
|
600
|
520
|
31
|
11993,90
|
|
RECW-156АV
|
15
|
791
|
600
|
550
|
23
|
10863,90
|
|
RECW-186АV
|
18
|
924
|
600
|
550
|
27
|
14494,50
|
В настенных антивандальных шкафах
устанавливаются оптические кроссы ШКО-С со съемными/несъемными панелями и
кроссы ШКО-С высокой плотности с целью экономии места в телекоммуникационном
шкафу (таблица 2.13).
Таблица 2.13 - Характеристики ШКО-С
|
Наименование
|
Высота,
U
|
Габариты,
мм
|
Количество
портов
|
Тип
портов
|
Цена,
руб.
|
|
ШКО-С-1U-24
|
1
|
410х240х44
|
до
24
|
SC/APC
|
715,20
|
|
ШКО-С-1U-16-SC
|
1
|
410х240х44
|
16
|
SC/APC
|
1207,59
|
|
ШКО-С-2U-48-SC
|
2
|
410х240х88
|
48
|
SC/APC
|
1710,70
|
|
ШКО-С-3U-72-SC
|
3
|
410х240х132
|
72
|
SC/APC
|
2348,35
|
.8.6 Оптические распределительные коробки
Оптическая распределительная коробка (ОРК) имеет
небольшие размеры и предназначена для соединения извлеченных из
распределительного кабеля волокон и волокон drop-кабеля. ОРК устанавливается на
каждом этаже для подключения к абонентским устройствам.
ОРК конструктивно состоят из закрываемого
корпуса с кабельными вводами, внутри которого размещаются сплайс-кассеты. В
корпусе также имеются отверстия с уплотнителями для вывода соединительных
шнуров (пигтейлов, патч-кордов) или одноволоконных кабелей. ОРК могут содержать
панель для установки разъемных адаптеров.
Способ размещения ОРК зависит от реальных
условий в помещениях заказчиков. Устройство может располагаться как в
технических нишах, шкафах, так и просто крепиться к стенам, балкам, опорам,
колоннам во всех доступных помещениях. Общей рекомендацией является
использование сварки для подключения drop-кабеля в ОРК: сварное соединение
гарантирует надежное и высококачественное соединение на все время эксплуатации
оптической сети.
Однако существуют ситуации, когда выгоднее
использовать претерминированные кабели, с помощью которых можно снизить
стоимость инсталляции. Использование в ОРК разъемных соединений создает
дополнительную потенциальную точку отказа, но дает свои преимущества. Так,
например, разъемное соединение можно использовать для тестирования соединений,
что особенно важно, когда нет доступа ко второму концу drop-кабеля (в месте
установки устройства ONT). Кроме того, применение претерминированных кабелей
позволяет максимально быстро осуществить подключения без необходимости
выполнения сварных работ.
На каждом этаже будут установлены ОРК. Размеры
этих коробок позволяют при необходимости установить их в существующие
малогабаритные этажные отсеки для слаботочного оборудования. Абонентская
розетка подключается гибким соединительным шнуром с волокном G.657A с малым
допустимым радиусом изгиба. Разъемы на обеих сторонах шнура предустановлены в
заводских условиях. Емкость одной распределительной коробки обеспечивает
подключение абонентов этажа. Распределительные коробки соединяются с
распределительным шкафом кабелями внутренней прокладки.
2.9 Абонентский участок
Волокно заводится в каждую квартиру, где
устанавливают индивидуальные устройства ONT, к которым по соответствующей
проводке уже подключаются абонентские устройства - компьютеры, телефоны,
телевизионные приемники. В помещении пользователя устанавливается абонентская
розетка. От абонентской розетки до абонентского ONT прокладывается патчкорд
длиной 2 м.
2.9.1 Анализ абонентских оптических кабелей
От ОРК до помещения пользователя прокладывается
одноволоконный дроп-кабель. Средняя длина такого кабеля 20 м.
Кабель должен быть изготовлен с применением
волокна G.657A, что позволяет прокладывать данный тип кабеля по квартире
абонента, по кабельному каналу или по плинтусу с минимальным радиусом изгиба с
защитой от горения, случайных ударов, растягивания, скручивания, сдавливания.
Сравним дроп-кабели разных производителей:
Таблица 2.15 - Технические характеристики дроп-кабелей
|
Производитель
|
ООО
«Эликс-Кабель»
|
Prysmian
|
Кабельный
завод «ОПТЕН»
|
FinMark
|
|
Марка
кабеля
|
ЭКБ-БСШ
|
Verticasa-SFC
|
ОБГ
|
FTTH001-SM-01
|
|
Диаметр
кабеля (габариты), мм
|
2,9
|
4
|
2,9
|
2,0х3,1
|
|
Масса
1 км кабеля, кг
|
7
|
18
|
8,5
|
9,6
|
|
Минимальный
радиус изгиба, мм
|
29
|
40
|
58
|
15
|
|
Допустимая
растягивающая нагрузка, Н
|
100
|
150
|
200
|
80
|
|
Температура
эксплуатации, °С
|
-20…+70
|
-10…+60
|
-10…+50
|
-40…+60
|
Дроп-кабель FinMark FTTH001-SM-01 является
наилучшим кабелем для абонентского участка сети по техническим характеристикам.-SM-01
распределительный «кабель последней мили», для применения в сетях FTTH. Для
прокладки внутри зданий, в стояках, чердаках, подвалах, трубопроводах, офисах и
квартирах, а также для проброса между домами и столбами. Кабель содержит одно
оптическое волокно, соответствующее рекомендациям ITU-T G.657A. Наружная
оболочка изготовлена из не распространяющего горение безгалогенного
низкодымного материала - LSZH (Low Smoke Zero Halogen). Устойчивость к
продольным натяжениям кабелю придают два диэлектрических силовых элемента
(стеклопрутки).
2.9.2 Абонентская розетка
Абонентская розетка ШКО-Н-ПА-1 (ЗАО
«Связьстройдеталь») предназначена для установки в квартире абонента.
Конструкция предусматривает возможность выкладки запаса кабеля. Рассчитана на
ОВ любого типа (G.652, G657). Оконцевание (монтаж) входящего ОВ возможно с
помощью сварки или установки механического соединителя. Внешний вид приближен к
стандартным бытовым электророзеткам. Пластмассовый корпус выполнен из
материала, не поддерживающего горение.
Таблица 2.16 - Технические характеристики
ШКО-Н-ПА-1
|
Наименование
|
Шкаф
ШКО-Н-ПА-1SC/APC
|
|
Количество
вводимых ОК
|
1
|
|
Габариты,
мм
|
95х90х15
|
|
Масса,
кг
|
0,07
|
|
Цена,
руб.
|
123
|
2.9.3 Абонентский терминал ONT
Устройства ONT серии NTE-RG-1402 (Элтекс):
поддержка стандарта IEEE802.3ah;
поддержка VLAN в соответствие с IEEE802.1Q;
фильтрация многоадресных рассылок IGMP snooping;
высокоэффективный буфер с поддержкой механизмов
качества обслуживания QoS;
приоритезация различных видов трафика на уровне
портов GPON в соответствии с 802.1p, до 8-ми очередей приоритета;
алгоритм аутентификации IEEE802.1х на уровне
портов GPON;
поддержка функций безопасности;
ограничение скорости на портах;
энергонезависимая память EEPROM для хранения
параметров конфигурации;
полное управление посредством протокола OAM
через OLT.серии NTE-RG-1402 имеют встроенный маршрутизатор, который кроме
присущих им функций выполняют функции сетевого моста.
3.
Расчет бюджета оптической мощности
Для каждой оптической линии представим все
потери в линии в виде суммы затуханий всех компонентов:
гдеAΣ
- суммарные потери в линии, дБ;- длина i-ого участка;- количество участков;
a - коэффициент затухания оптического волокна; р
- количество разъемных соединений;р - средние потери в разъемном соединении,
дБ;с - количество сварных соединений;с - средние потери в сварном соединении,
дБ;спл - потери в сплитере, дБ;
Коэффициент затухания a
оптического волокна в магистральном кабеле составляет 0,4 дБ/км (волокно
G.652D), в распределительном и дроп-кабеле - 0,35 дБ/км (волокно G.657A).
Значения выбраны для диапазона длин волн
1300…1625 нм, т.к. в этом диапазоне длин волн коэффициент затухания имеет
наибольшее значение. Средние потери в разъемном соединении Aр (SC/APC) - 0,2
дБ; на сварке - 0,05дБ. Потери в сплитере составляют 16,5 дБ.
Расчет бюджета потерь должен подтвердить, что
для каждой цепи общая величина потерь (включая запас) не превышает динамический
диапазон системы, т.е:
 (2.19)
гдеР - динамический диапазон PON,
дБ;
АΣ - суммарные потери в линии,
дБ;
Рзап - эксплуатационный запас PON,
дБ.
Эксплуатационный запас необходимо
предусматривать на случай повреждений в линейном тракте, ухудшения условий
передачи и дальнейшего развития сети. Запас берется 4 дБ. Динамический диапазон
PON за счет использования оборудования LTE-8ST - 28 дБ.
Произведем расчет затухания для
цепи, имеющей наибольшую протяженность.
   .
 .
Таким образом, суммарные потери в
линии, с учетом выбранного оборудования, не превышают оптический бюджет линии.
4.
Безопасность жизнедеятельности
4.1 Техника безопасности
По видам проектируемых сооружений
предусматривается и указывается на необходимость строго соблюдать нормы и
правила по технике безопасности и охране труда в процессе непосредственного
выполнения строительно-монтажных работ, так и при осуществлении последующей
эксплуатации и техническом обслуживании.
ПОТ РО-45-009-2003 «Правила по
охране труда при работах на линейных сооружениях кабельных линий передач»;
ПОТ РО-45-007-96 «Правила по охране
труда при работах на телефонных станциях и телеграфах»;
ГОСТ 12.1.040-83 «Система стандартов
безопасности труда. Лазерная безопасность. Общие положения»;
СНиП 12-03-99 «Безопасность труда в
строительстве. Часть 1. Общие требования»;
Правила охраны линий связи;
Правила охраны электрических сетей
напряжением до одной тысячи вольт;
СН 322-74 «Указания по производству
и приемке работ по строительству в городах и на промышленных предприятиях
коллекторных тоннелей, сооружаемых способом щитовой проходки»;
Инструкция по проведению работ в
охранных зонах магистральных и внутризоновых кабельных линий связи;
Правила техники безопасности на
городском электротранспорте;
ПОТ РО-45-005-95 «Правила по охране
труда при работах на кабельных линиях связи и проводного вещания
(радиофикации)»;
ОСТ 45.42-87 «Проектная документация
для строительства. Предприятия и сооружения электросвязи, радиовещания и
телевидения. Рабочие чертежи»;
ОСТ 45.86-96 «Линейно-аппаратные
цехи оконечных междугородных станций, сетевых узлов, усилительных и
регенерационных пунктов. Требования к проектированию»;
СНиП 11-01-95 «Инструкция о порядке
разработки, согласования, утверждения и составе проектной документации на
строительство предприятий, зданий и сооружений».
В качестве мероприятий,
обеспечивающих безопасность персонала, обслуживающего технологическое
оборудование предусмотрено:
заземление и зануление корпусов
электрооборудования, элементов электроустановок;
устройство и соблюдение
соответствующих эксплуатационных проходов между техническим оборудованием;
применение специальной технической
мебели - стремянки, табуреты и т.д.;
укладка диэлектрических ковров перед
обслуживаемыми сторонами электрооборудования;
комплект защитных средств и
инструментов.
4.1.1 Пожарная безопасность
По пожарной опасности в соответствии
с ОСТ 45.86-96 технологическое помещение с оборудованием OLT относится к
категории В и подлежит:
защите автоматической пожарной
сигнализацией, построенной по лучевой схеме, с использованием извещателя «на
дым»;
соблюдением требуемых пределов
огнестойкости в соответствии со II-ой степенью огнестойкости здания;
облицовкой стен несгораемыми и
трудносгораемыми материалами в соответствии с требованиями СНиП 2.02-85;
заделкой отверстий в стенах
цементно-песчаным раствором после монтажа коммуникаций;
установкой противопожарных дверей в
помещениях с категорией В;
обеспечением габаритов прохода и
дверей в соответствии с противопожарными требованиями СНиП 2.09.02-85, СНиП
2.01.02-85 и другими действующими нормативными документами;
выбором соответствующих марок
кабелей и проводов, способа их прокладки в зависимости от категории и класса
помещения по пожарной безопасности;
применением несгораемых материалов
для монтажа электрооборудования;
устройством предупредительных
надписей о пожарной опасности;
мероприятиями по молниезащите
здания.
Помещение с оборудованием OLT должно
быть оборудовано углекислотным огнетушителем.
4.1.2 Электробезопасность
В системе электропитания сети
передачи данных используется напряжение переменного тока до 220В и постоянного
тока до 60В. При несоблюдении правил по технике безопасности эти величины
напряжения представляют серьезную опасность, так как электрический ток, проходя
через тело человека, производит термическое и биологическое воздействие, тем
самым нарушая нормальную жизнедеятельность.
Термическое действие тока
проявляется в ожогах отдельных участков тела, нагреве до высокой температуры
кровеносных сосудов, нервов, сердца, мозга и других органов, что вызывает в них
серьезные функциональные расстройства.
Можно выделить 4 степени тяжести
поражения электрическим током:
-я степень - характеризуется
судорожным сокращением скелетных мышц без потери сознания;
-я степень - судорожное сокращение
мышц с потерей сознания, дыхание и сердечная деятельность при этом не нарушены;
-я степень - потеря сознания и
нарушение дыхания и сердечной деятельности;
-я степень - развитие клинической
смерти.
Оказание первой помощи при
электротравме:
устранить воздействие тока на
пострадавшего (выключить электроустановку, откинуть электропровод и т.п.);
если пострадавший не дышит, сделать
искусственное дыхание;
при отсутствии сердцебиения сделать
непрямой массаж сердца;
дать пострадавшему подышать
нашатырным спиртом (0,5-1 секунду);
наложить стерильную повязку на место
электротравмы;
вызвать скорую медицинскую помощь;
проводить мероприятия по неотложной
помощи до прибытия реанимационной бригады;
Повышенная температура, влажность,
наличие химически активной среды значительно увеличивает опасность поражения
человека электрическим током. Это связано с тем, что при нагреве и выделении
пота снижается сопротивление человека, а при увлажнении - сопротивление одежды,
обуви и полов. Кроме того, химически активная среда оказывает разрушающее
действие на изоляцию токоведущих частей электрооборудования.
В соответствии с «Правилами техники
безопасности при работах на телефонных и телеграфных станциях», персоналом
должны соблюдаться следующие правила:
перед стойкой питания должны быть
положены диэлектрические коврики;
наличие напряжения на токоведущих
частях оборудования и приборов необходимо проверять индикатором напряжения;
в цехах систем передач данных перед
стабилизаторами напряжения, оконечными и промежуточными стойками должны лежать
диэлектрические коврики;
при частичном выключении напряжения
могут производиться работы на блоках (платах) питания;
работы по текущему ремонту
аппаратуры уплотнения, на стабилизаторах напряжения и вводных гребенках
необходимо производить при полном выключении напряжения;
токопроводящий пол (металлический,
бетонный, кирпичный), на котором стоит человек, резко уменьшает сопротивление
его цепи и повышает опасность прикосновения к токопроводящим частям,
находящимся под напряжением. В связи с этим, в помещении станционного цеха
предусмотрено закрытие бетонного пола деревянными фальшполами.
Помещение, в котором расположено
оборудование сети, является помещением с повышенной опасностью, так как в нем
есть возможность одновременного прикосновения человека к заземленным корпусам
оборудования и к находящимся под напряжением частям электрооборудования. Объем
и характер необходимых защитных мероприятий, обеспечивающих безопасность,
определяется в зависимости от сложности работ, к ремонту и обслуживанию
электроустановок привлекается персонал III-V групп электробезопасности.
Основные технические мероприятия по
обеспечению безопасности работ включают в себя:
установка временных ограждений и
вывешивания предупредительных плакатов, проверка отсутствия напряжения на части
электроустановки, на которой производятся работы;
присоединение к заземляющей шине
провода переносного заземления, наложение заземления на отключенные токоведущие
части и вывешивание плакатов «Работать здесь».
Организационные мероприятия,
обеспечивающие безопасность работы, включают в себя:
оформление работы нарядом или
распоряжением;
допуск к работе;
окончание работ без перерывов и
переходов на другое рабочее место;
надзор во время работы.
4.2 Охрана окружающей среды
Технологические процессы,
происходящие во время работы проектируемого оборудования, не производят
промышленных отходов в окружающую среду. После выполнения строительно-монтажных
работ, для предотвращения травм обслуживающего персонала остатки монтажного
провода и упаковочной тары должны утилизироваться на свалке. С учетом выше
изложенного, проектные мероприятия исключают отрицательное воздействие
запроектированных сооружений на окружающую среду.
Проектными решениями по видам
проектируемых сооружений предусматривается и указывается на необходимость
строго соблюдать нормы и правила по производственной санитарии в процессе
непосредственного выполнения строительно-монтажных работ и осуществления
последующей эксплуатации и технического обслуживания.
Заключение
В работе представлен проект сети
широкополосного доступа по технологии GPON в городе Чита по адресу пос. КСК 4
микрорайон дом 31
Решены следующие задачи:
разработан проект строительства сети
широкополосного доступа на волоконно-оптических кабелях связи для
предоставления услуг по передаче данных, по передаче голосовой информации,
организации связи для целей кабельного вещания;
произведен анализ и выбор
телекоммуникационного оборудования (станционного и абонентского) и
магистрального и внутриобъектового оптического кабеля, отвечающих необходимым
стандартам;
представлены схемы прокладки
магистрального и внутриобъектового оптического кабеля;
определено затухание в линии -
суммарные потери в линии, с учетом выбранного оборудования, не превышают
оптический бюджет;
определены требования по
безопасности жизнедеятельности.
Также были произведены расчеты
оптических параметров передачи оптического волокна:
.Относительной разности показателей
преломления ( ;
.Числовой апертуры ( );
.Нормированной частоты (ν=1,4696)
. Диаметра модового поля(dмп=15,59
мкм);
. Длины волны отсечки ( λс =800,475
нм).
Также были проведены расчеты
параметров передачи, а именно:
Общее затухание (α=0,675 дБ/км);
Дисперсия  );
Полоса пропускания ( ).
Список использованных источников
Олифер
В.Г Компьютерные сети. Принципы, технологии, протоколы: Учебник для вузов. 3-е
изд./ Олифер В.Г., Олифер Н.А. -Санкт-Петербург: Питер, 2006. - 958 с.
ГОСТ
Р МЭК794-1-93. Кабели оптические. Общие технические требования. М.: Госстандарт
России, 1993. - 32 с.
ГОСТ
25462-82. Волоконная оптика. Термины и определения. М.: Государственный комитет
СССР по стандартам, 1982. - 3с.
ГОСТ
26599-85. Системы передачи волоконно-оптические. Термины и определения. М.:
Государственный комитет СССР по стандартам, 1985. - 15 с.
ГЭСН-2001-34
- Государственные элементные сметные нормы при прокладке и монтаже сетей связи
городских волоконно-оптических сетей .
Иоргачев
Д.В. Волоконно-оптические кабели и линии связи. / Иоргачев Д.В., Бондаренко
О.В. - Москва: Эко-Трендз, 2002. - 238 с.
Убайдуллаев
P.P. Волоконно-оптические сети. / Убайдуллаев P.P. - Москва: Эко-Трендз, 2001.
- 267 с.
Семенов,
А.Б. Проектирование и расчет структурированных кабельных систем и их
компонентов. / Семенов А.Б. - М.: ДМК Пресс, 2008. - 416 с.
Российский
сайт об интернет-провайдинге. Пассивное оборудование.[ Электронный ресурс].
Режим доступа: #"863660.files/image055.gif">
Рисунок А.1 - Структурная схема проектируемой
сети
На рисунке приняты следующие обозначения:-
оборудывание линейного тракта;- оптический кросс;
ОРШ - оптический распределительный шкаф;
/32 - сплиттер;
ОРК - оптическая разпределительная коробка;
АР - абонентская розетка;- абонентский терминал.
Приложение Б
Схема прокладки магистрального оптического
кабеля
Рисунок Б.1 - Схема прокладки магистрального
оптического кабеля
Рисунок Б.2 - Схема прокладки магистрального
оптического кабеля
Приложение В
Схема размещения пассивного оборудования и
прокладки вертикального кабеля
Рисунок В.1 - Схема размещения пассивного
оборудования и прокладки вертикального кабеля
Приложение Г
Схема подключения услуги Triple Play посредством
технологии GPON в квартире абонента
Рисунок Г.1 - Схема подключения услуги Triple
Play посредством технологии GPON
Приложение Д
План размещения квартир
Рисунок Д.1 - План размещения квартир
Похожие работы на - Проектирование сегмента сети широкополосного доступа
|