Проектирование отражательного клистрона
РЕФЕРАТ
Об'єкт дослідження - відбивний
клістрон.
Метою курсового проекту є
закріплення знань з основних фізичних процесів, які мають місце в електронних
приладах НВЧ з короткочасною взаємодією (відбивних клістронах), набуття
практичних навичок самостійного розрахунку реальних приладів і засвоєння
методів їх проектування (в тому числі - автоматизованого).
Методи дослідження - аналітичні та
чисельні за допомогою системи комп'ютерної математики MathCAD 2000
Professional.
При проектуванні відбивного
клістрона визначена величина напружень на відбивачі для перших трьох зон
генерації, розрахований коефіцієнт струмопроходження і струм катода, знайдено
відстань між сітками і відстань від резонатора до відбивача. Визначена
геометрія резонатора і його параметри, розраховані вивід енергії, робочі та
вихідні параметри відбивного клістрона у двох режимах: у режимі максимальної
потужності і максимального ККД, розроблені складальне креслення приладу і
деталізація його вузлів.
КОРОТКОЧАСНА ВЗАЄМОДІЯ, РЕЗОНАТОР,
ВІДБИВАЧ, ВИВІД ЕНЕРГІЇ, ПОТУЖНІСТЬ, ЗОНИ ГЕНЕРАЦІЇ, ЕЛЕКТРОННА ПЕРЕБУДОВА
ЧАСТОТИ, ККД
РЕФЕРАТ
Объект исследования - отражательный клистрон.
Целью курсового проекта является закрепление
знаний по основным физическим процессам, которые имеют место в электронных приборах
СВЧ с кратковременным взаимодействием (отражательных клистронах), приобретение
практических навыков самостоятельного расчета реальных приборов и усвоение
методов их проектирования (в том числе - автоматизированного).
Методы исследования - аналитические и численные
с помощью системы компьютерной математики MathCAD 2000 Professional.
При проектировании отражательного клистрона
определена величина напряжений на отражателе для первых трех зон генерации,
рассчитан коэффициент токопрохождения и ток катода, найдено расстояние между
сетками и расстояние от резонатора к отражателю. Определена геометрия
резонатора и его параметры, рассчитаны вывод энергии, рабочие и выходные
параметры отражательного клистрона в двух режимах: в режиме максимальной
мощности и максимального КПД, разработаны сборочный чертеж прибора и
детализация его узлов.
КРАТКОВРЕМЕННОЕ ВЗАИМОДЕЙСТВИЕ, РЕЗОНАТОР,
ОТРАЖАТЕЛЬ, ВЫВОД ЭНЕРГИИ, МОЩНОСТЬ, ЗОНЫ ГЕНЕРАЦИИ, ЭЛЕКТРОННАЯ ПЕРЕСТРОЙКА
ЧАСТОТЫ, КПД
ABSTRACT
An explanatory note to the course project:
28
pages, 4 sources, 1 image, 4
appendixes.object of study- a reflex klystron
The aim of the course design
discipline is to strengthen theoretical knowledge of the basic processes that
deal with ultra-high frequency wave devices
with short-term reciprocity (a reflex
klystron), the acquisition of practical skills
of independent calculation of real instruments and learning methods of their
design (including the automatic ones).techniques - analytical and numerical
with the help of computer based computing program
MathCAD 2000 Professional.the designing of a reflex klystron the voltage on the
reflector is determined for the first three areas of generation, the
coefficient of the current flow and the current cathode is calculated, the
distance between the grids and the distance from the cavity to the reflector
found. The geometry of the resonator and its parameters are determined, the
energy output is calculated, actual and output parameters of a reflex klystron
in its two possible conditions: peak power and maximum efficiency, the device
and assembly drawing detailing its units
is developed.
SHORT-TERM RECIPROCITY,
RESONATOR; REFLECTOR, ENERGY OUTPUT; CAPACITY;
GENERATION
ZONE, ELECTRONIC FREQUENCY TUNING, EFFICIENCY.
СОДЕРЖАНИЕ
Введение
1. Устройство и принцип действия
отражательного клистрона
2. Расчет отражательного клистрона
2.1 Определение геометрических
размеров объемного резонатора
2.2 Расчет напряжения на отражателе
2.3 Расчет параметров тороидального
резонатора
2.4 Расчет активной проводимости резонатора
2.5 Расчет устройства вывода энергии
Выводы
Перечень ссылок
Приложение А
ВВЕДЕНИЕ
В настоящее время практическое применение имеют
три вида клистронов: отражательные, усилительные и умножительные. Наибольшее
применение получили отражательные клистроны; промышленный выпуск этих
клистронов, как по количеству, так и по числу типов во много раз превышает все
остальные виды клистронов вместе взятые.
Электровакуумные приборы, работающие в диапазоне
сверхвысоких частот (СВЧ), предназначены для работы в радиолокационных
станциях, станциях спутниковой связи, линейных ускорителях, телевизионных
передающих устройствах. Вместе с тем существуют обстоятельства, принципиально
отличающие электронику сверхвысоких частот от низкочастотной электроники. Эти
обстоятельства связаны, прежде всего, со специфическими свойствами диапазона
сверхвысоких частот. Отражательный клистрона является развитым, и используются
как генератор с перестройкой частоты.
Отражательные клистроны применяются в различной
аппаратуре в качестве маломощных генераторов. Вследствие низкого КПД их не
используют для получения больших мощностей и применяют как гетеродинов СВЧ
приемников, в измерительной аппаратуре и в маломощных передатчиках. Их основные
преимущества заключаются в конструктивной простоте и наличии электронной
перестройки частоты. Отражательные клистроны имеют высокую надежность и не
требуют применения фокусирующей системы. Выходя из этого, целью курсового
проекта является закрепление знаний по основным физическим процессам,
проходящим в электровакуумных приборах СВЧ, получения навыков расчета
отражательного клистрона и усвоения автоматизированных методов их
проектирования.
1. УСТРОЙСТВО И ПРИНЦИП ДЕЙСТВИЯ ОТРАЖАТЕЛЬНОГО
КЛИСТРОНА
Рисунок 1.1- Устройство отражательного клистрона
отражательный
клистрон резонатор напряжение
Основное назначение отражательных клистронов -
генерирование СВЧ колебаний малой мощности. Клистрон имеет один полый
резонатор, дважды пронизываемый электронным потоком. Возвращение электронов в
зазор резонатора обеспечивается с помощью отражателя, находящегося под
отрицательным постоянным потенциалом по отношению к катоду. Таким образом,
резонатор отражательного клистрона играет роль группирователя при первом
прохождении электронов через зазор и роль выходного контура при втором
прохождении. Промежуток между зазорами резонатора и отражателем играет роль
пространства группировки, где происходит преобразование модуляции электронного
потока по скорости в модуляцию по плотности. Электронные сгустки образуются
относительно электронов, прошедших в первый раз зазор в момент перехода поля
через нуль от ускоряющего к тормозящему. Для того, чтобы клистрон мог
генерировать незатухающие СВЧ колебания, сгустки должны проходить через зазор
при обратном движении в момент, когда в нем имеется тормозящее высокочастотное
электрическое поле.
Для получения электронного тока на резонатор
подается постоянное напряжение, положительное относительно катода. Отражатель
ставится для того, чтобы электроны, которые пролетели сквозь резонатор,
повернули обратно и пролетели электронный зазор резонатора второй раз.
Электроны, вылетающие из катода, ускоряются положительным напряжением,
приложенным к резонатору. Таким образом, энергия источника постоянного
напряжения превращается в кинетическую энергию электронов, летящих в вакууме.
В течение одного полупериода это поле ускоряет
электроны и энергия высокочастотных колебаний расходуется на увеличение
кинетической энергии летящих электронов; в течение следующего полупериода высокочастотное
электрическое поле тормозит электрон и кинетическая энергия электронов
превращается в энергию высокочастотных колебаний. Для генерации необходимо,
чтобы за ускоряющий полупериод электроны либо совсем не пролетали сквозь зазор,
либо пролетали в меньшем количестве, чем за тормозящий полупериод.
В отличие от пролетных клистронов, электронный
КПД отражательных клистронов в разных зонах оказывается неодинаковым и
уменьшается с ростом номера зоны n.
Соответственно этому, чем меньше по абсолютной величине напряжение на
отражателе, тем ниже мощность, генерируемая клистроном в центре зоны. Основной
причиной малого электронного КПД является то, что скоростная модуляция
электронного пучка и отбор энергии производится одним и тем же зазором и,
следовательно, при одном и том же напряжении.
Если клистрон предназначен для работы в
сравнительно узком диапазоне частот (5-10% от средней частоты), то, как
правило, используется тороидальный полый резонатор, или близкий к нему
цилиндрический резонатор с укорачивающей емкостью, возбужденный на виде
колебаний Е010.
Наиболее типичными областями применения
отражательных клистронов являются гетеродины, используемые при лабораторных
исследованиях и при испытаниях аппаратуры СВЧ. Отражательные клистроны
применяются также в качестве маломощных передатчиков в радиорелейной,
радионавигационной и телевизионной аппаратуре, в качестве генераторов накачки
для параметрических усилителей СВЧ и др.
2. РАСЧЕТ ОТРАЖАТЕЛЬНОГО КЛИСТРОНА
.1 ОПРЕДЕЛЕНИЕ ГЕОМЕТРИЧЕСКИХ РАЗМЕРОВ ОБЪЕМНОГО
РЕЗОНАТОРА
Чтобы выбрать оптимальную форму резонатора
учтем, что свойства резонатора должны удовлетворять нужным требованиям, учесть
величину электрического потока лампы. Исходя из этого, выбираем тороидальный
резонатор, так как он обеспечивает меньшие потери.
Геометрию резонатора выбираем исходя из длины
волны в центре зоны генерации.

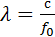
, (2.1)
где λ - длина
волны, см;
с - скорость света, м/с;
f0 -
генерируемая частота в центре зоны, Гц.
λ
0,028(нм)
2,8(см).
Коэффициент пересчета:
К
. (2.2)
Расстояние между сетками резонатора
находим по формуле:
θ
, (2.3)
где θ - угол
пролета в высокочастотном зазоре отражательного клистрона, рад;
d -
расстояние между сетками резонатора, см.
Величину угла пролета выбираем
равной θ
0,47. При
данном значении θ
расстояние
между сетками определяем по формуле:
d 
, (2.4)
d 
3,56
10-2 (см).
Чтобы определить группу резонаторов
умножим полученное значение d на коэффициент пересчета К:
d
К
3,56
-2
-2. (2.5)
Выбираем резонатор, для которого
справедливы следующие соотношения:

, (2.6)
откуда
h=24d=0,75(см),
a=2d=0,071(см),
b=11,3d=0,353(см).
2.2 РАСЧЕТ НАПРЯЖЕНИЯ НА ОТРАЖАТЕЛЕ
Значение напряжения на отражателе,
соответствующее центрам зон генерации при U0=const, находим из
соотношения, предварительно посчитав расстояние между отражателем и второй
сеткой:
Uотр=U0 
, (2.8)
где n - номер
зоны генерации;
Д - расстояние между отражателем и
второй сеткой, м;
е - масса электрона;
q-заряд
электрона, Кл.
Рассчитаем величину напряжения на
отражателе для трех зон
генерации, n=0,1,2.
Для n=0:
Uотр
(В);
Для n=1 имеем:
Uотр
(В);
Для n=2 получаем:
Uотр
(В).
В проектированном клистроне
используется сетка с шагом hc=200 мкм и диаметром проволоки
dc=20 мкм.
Величину токопрохождения определим по формуле:
Rc
, (2.9)
где hc - шаг
сетки, мкм;
dc - диаметр
проволоки сетки, мкм.
Rc
(Ом)
Так как сеток две, при прохождении
тока катода используем величину:
Rcl
(Ом). (2.10)
Ток тогда находим по формуле:

k
, (2.11)
где Rc| - коэффициент
токопрохождения;
Ik - ток пучка,
мА.

(А).
.3 РАСЧЕТ ПАРАМЕТРОВ ТОРОИДАЛЬНОГО
РЕЗОНАТОРА
Для определения общей
сосредоточенной емкости резонатора надо определить емкость образованную
боковыми поверхностями. Торцевую емкость рассчитаем по формуле:

, (2.12)

.
Боковую емкость рассчитываем по
формуле:

, (2.13)

.
Полная емкость:

. (2.14)
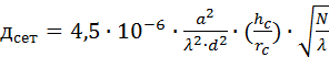
Расчет волнового сопровождения
резонатора определим из соотношения:

, (2.15)

(Ом).
где N-отклонение
удельного сопротивления данного металла к удельному сопротивлению меди;
.4 РАСЧЕТ АКТИВНОЙ ПРОВОДИМОСТИ
РЕЗОНАТОРА
Для определения активной
проводимости определим проводимость стенок резонатора и проводимость сеток.
Рассчитаем проводимость сеток по формуле:

, (2.16)

.
Проводимость стенок определяем по
формуле:

, (2.17)
Отсюда 
.
Следовательно, активная проводимость
равняется сумме этих двух проводимостей:

(2.18)
Рассчитываем добротность резонатора
по формуле:

, (2.19)
Минимальную длину волны в резонаторе
находим из состояния:

(2.20)
Максимальную длину волны в
резонаторе находим по формуле:

, (2.21)
.5 РАСЧЕТ УСТРОЙСТВА ВЫВОДА ЭНЕРГИИ
Передача энергии высокой частоты из
резонатора клистрона в коаксиальную линию осуществляется с помощью петли связи.
Рассчитаем геометрические размеры петли связи. Для этого посчитаем площадь
петли связи по формуле:

, (2.22)
где r0 - расстояние
от оси резонатора до центра петли, см,
β - коэффициент модуляции,
L -
самоиндукция петли, Гн.
Примем коэффициент R в клистроне
равным 0,5. Значение β
находим
из графика зависимости от угла пролета и получаем β=0,97.
Расстояние от оси резонатора до
центра петли связи находим из соотношения:

, (2.23)

(см).
Величина угла пролета в пространстве
группировки Θ
в
центре зоны генерации (n=0) найдем из соотношения:

, (2.24)

, (2.25)

, (2.27)

. (2.28)
При согласованной нагрузке учет
влияния коаксиальной линии сводится к тому, что сопротивление нагрузки следует
считать равным волновому сопротивлению коаксиальной линии, которое равно:

, (2.29)
где r1, r2 - радиусы
внешнего и внутреннего проводника коаксиальной
линии, см.
Размеры r1 и r2
стандартизованы и равны: r2=0,7(cм); r1=0,3(см).

(Ом).
Получив исходные данные для расчета
площади петли и приняв Lω=0, получаем:

(см).
Найдем радиус круглой петли:

, (2.30)

, (2.31)

(см).
Ширину диапазона электронной
настройки определим по формуле (для первой зоны генерации n=0):

, (2.32)
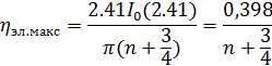
Расчет выходной мощности произведем
по формуле:

, (2.33)
где 
- функция Бесселя,

- параметр группировки,
изменяющихся в пределах 1,84
2,41.

; (2.34)
приняв 
=1,84 получаем: 
При таком значении формула для
выходной мощности упрощается и принимает вид:

, (2.35)

(Вт).
Вычислим максимальное электронное
кпд:
(2.37)
Вычисления максимального
электронного кпд дает следующие результаты при n=0,1,2.
Для n=0:
для n=1:
для n=2:
Проверим, как выполнится условие 
для различных зон генерации.
Вычислим амплитуду U1 , соответствующую найденным
оптимальным параметрам группировки
(2.38)
При М=1 уравнение (2.38) дает для
нулевой зоны (n=0) величину
U1, равную 
.
ВЫВОДЫ
В данном курсовом проекте были
рассчитаны параметры отражательного клистрона, такие как: напряжения на
отражателе для первых трех зон генерации, которые составили: для первой зоны Uотр
В, для второй - Uотр
В, а для третьей - Uотр
; коэффициент токопрохождения и
определен ток катода. Установив необходимость применения сеток, были найдены
расстояния между сетками и расстояние от резонатора до отражателя. Расстояние
между сетками d
cм.
Для выбранного тороидального
резонатора была рассчитана геометрия резонатора и его параметры, нагруженная
добротность, обеспечивающая заданные параметры электронной настройки, вывод
энергии. В режиме максимальной мощности и максимального КПД определены рабочие
и выходные параметры отражательного клистрона. Максимальное электронное К.П.Д.
отражательного клистрона составляет: для n=0- 
для n=1 - 
, для n=2 - 
. 
мВт
В результате полученных данных можно
сделать выводы о преимуществах использования отражательных клистронов в
маломощных передатчиках, в качестве генераторов накачки для параметрических
усилителей, гетеродинах сверхвысокочастотных приемников, как генераторов малой
мощности в радиолокации, радионавигации, измерительной технике. Отражательные
клистроны обеспечивают низкий уровень шумов, а также обладают рядом
преимуществ, связанных с простотой настройки и изготовления.
ПЕРЕЧЕНЬ ССЫЛОК
. Коваленко,
В. Ф. Введение в электронику сверхвысоких частот / В. Ф. Коваленко. - М.: Сов.
Радио, 1955. - 344с.
2. Лебедев,
И. В. Техника и приборы сверхвысоких частот. Т. 2. Электровакуумные приборы СВЧ.
Под ред. Н. Д. Девяткова. - М.: Высшая школа, 1972. -374с.
. Зиньковский
А. И. Клистрон. Под ред. И. П. Жеребцов - М.: 1959. - 170с.
. Кацман,
Ю.А. Теория, основы расчета и проектирования электронных приборов. Том 2.
Приборы сверхвысоких частот. - М.: Высшая школа, 1973. - 386с.
ПРИЛОЖЕНИЕ А