Разработка месторождения золота 'Шуралинско-Ключевской'
Содержание
Введение
. Краткая горно-геологическая
характеристика месторождения и подсчёт запасов
.1 Общие сведения о районе
месторождения
.2 Климат района
.3 Гидрогеологические и
гидрологические условия района месторождения
.4 Геоморфологическая характеристика
месторождения
.5 Подсчёт запасов
. Выбор способа разработки
.1 Организация работ
.2 Персонал гидравлики
.3 Горнотехнические условия
отработки
.4 Порядок и способ отработки
.5 Производительность участка и
сроки отработки месторождения
. Предварительные,
горно-подготовительные работы
.1 Расчистка полигона от
лесорастительности, пней и валунов
.2 Проходка пионерных котлованов
.3 Проходка зумпфов ЗГМ
.4 Устройство заездов в pазpез
.5 Строительство переездов через
тpубопpоводы
.6 Строительство площадок под
эстакады
.7 Строительство площадки под
насосную станцию
.8 Монтаж водоводов и пульповодов
.9 Рыхление мерзлого грунта
.10 Строительство автотракторных
дорог
.11 Прочие ГПР
.12 Гидpотехнические сооpужения
.12.1 Строительство дамбы
хвостохранилищ № 18
.12.2 Проверочный расчет параметров
дамбы хвостохранилища №18 на ПК 035
.13 Проходка руслоотводного канала
.14 Расчет емкости хвостохpанилищ
. Выбор основного технологического
оборудования
.1 Землесос ЗГМ-2М
.1.2 Техническая характеристика ЗГМ
- 2М
.1.3 Расчет землесоса ЗГМ-2М
.2 Насосная станция
.2.2 Техническая характеристика
насоса Д -1250 -125
.3 Гидромонитор
.3.1 Техническая характеристика
гидромонитора ГМН-250
.4 Системы водоснабжения насосных
станций
.5 Водоснабжение
.6 Землеройная техника
. Добычные работы
.1 Выбор системы разработки
.2 Система разработки
.2.1 Параметры системы:
. Производительность гидравлики и
сроки проведения работ
.1 Проверочный расчет работы
землесоса при выбранных насадках гидромониторов
. Промывка и обогащение песков
.1 Обогащение
.3 Извлечение золота
.4 Схема цепи аппаратов
.6 Расчет шлюзов глубокого
наполнения
.7 Расчет стационарного
перфорированного грохота
.8 Расчет шлюзов мелкого наполнения
.9 Расчет контрольного грохота
.10 Расчет контрольных шлюзов
мелкого наполнения
.11 Армирование шлюзов
.12 Организация сполоска и доводка
концентрата
.13 Организация контроля за работой
обогатительных шлюзов и опробование продуктов обогащения
.14 Организационно-технические
меpопpиятия по обеспечению сохранности золота
.15 Удаление хвостов промывки
. Водопользование
.1 Расчет расхода воды на
технологические нужды
.2 Расчет расхода воды на
вспомогательные нужды
.3 Расчет расхода воды на
хозяйственно-бытовые нужды
.1 Охрана атмосферного воздуха от
загрязнения
.2 Перечень загрязняющих веществ,
выбрасываемых в атмосферу
.3 Охрана поверхностных и подземных
вод от загрязнения истощения
.4 Охрана окружающей природной среды
в процессе обогащения
.6 Контроль водопотребления
.8 Мероприятия по охране недр и
рациональному использованию
.9 Охрана почв
.10 Рекультивация нарушенных земель
.11 Характеристика земель после
отработки
.12 Выбор вида освоения
.13 Восстановление площадей
.14 Биологический этап рекультивации
.15 Охрана растительного и животного
мира
.16 Животный мир в районе
месторождения представлен следующими видами
. Электроснабжение прииска
.1 Электроснабжение и освещение
.2 Расчет и выбор средств
компенсации реактивной мощности
.3 Расчет и выбор воздушных и
кабельных ЛЭП102
.4 Расчет защитного заземления
карьера
.5Технико-экономические показатели
электроснабжения прииска
.6 Безопасность эксплуатации
электроустановок
. Безопасность труда
.1 Общие требования по охране труда
.2 Функции и задачи управления
охраной груда
.3 Решение задач управления охраной
труда
.4 Нормативная документация по охране
труда
.5 Обучение работников по охране
труда и проверка знаний
.6 Обеспечение безопасности
работников при эксплуатации оборудования
.7 Обеспечение безопасности
работников при эксплуатации зданий и сооружений
.8 Обеспечение работников
специальной одеждой, специальной обувью, другими средствами индивидуальной
зашиты
.9 Обеспечение установленных
законодательством режима труда и отдыха работников
.10 Лечебно-профилактическое
обслуживание работников
.11 Санитарно-бытовое обслуживание
работников
.12 Обеспечение контроля за уровнем
воздействия вредных или опасных производственных факторов на здоровье
работников
.13 Возмещение вреда, причиненного
работникам увечьем, профессиональным заболеванием или иным повреждением
здоровья, связанными с исполнением ими трудовых обязанностей
.14 Информирование работников о
состоянии условий и охраны труда на рабочих местах, о существующем риске
повреждения здоровья и полагающихся работникам средствах индивидуальной защиты,
компенсациях и льготах
.15 Профессиональный отбор работников
.16 Предоставление работникам
компенсации и льгот за работы с вредными или опасными условиями труда
.17 Обеспечение сотрудничества по
охране труда работодателя и работников
.18 Обеспечение обязательного
страхования
.19 Финансирование работы по охране
труда
.20 Основные положения
законодательства
.21 Трудовой договор. Льготы и
компенсации
.23 Общие обязанности работников по
охране труда
.24 Действия работающих при
несчастных случаях
.25 Порядок расследования несчастных
случаев
.26 Основные опасные и вредные
производственные факторы. Основные требования по предупреждению
. Генеральный план и транспорт
.1 Основные планировочные решения
.2 Транспорт
.3 Техника безопасности
. Экономика и организация
производства
.1 Характеристика структуры и
экономического положения артели
.2 Капитальные затраты на освоение
месторождения
.3 Определение объёма инвестиций
.4 Расчет величины амортизации
.5 Затраты на производство
.6 Оценка эффективности
инвестиционного проекта
Заключение
Список литературы
Введение
На сегодняшний день в экономике нашей страны
сложилось тяжёлое положение, поэтому одной из центральных отраслей в экономике
была и есть горнодобывающая промышленность.
Для стабильности экономики горная промышленность
в результате быстрой реализации своей продукции позволяет получить значительные
денежные средства.
Золотодобывающая промышленность занимает особое
место в горной промышленности. Исторически сложилось так, что именно золото во
всех странах мира было главным полезным ископаемым, добываемым из россыпных месторождений.
Разработка этих месторождений позволяет достичь: относительно быструю
окупаемость капитальных вложений, высокую производительность, позволяет также
применять относительно простую технологию добычи, а также несложное
оборудование.
На современном этапе технико-экономические
показатели разработки россыпных месторождений в некоторых случаях выше по
сравнению с показателями, достигнутыми в других областях горного дела.
Открытию золота на Урале благоприятствовали
многие обстоятельства, в их числе Указы Петра 1, усиленно заботившегося о том,
чтобы открыть в России золото и приступить к его разработке. Призыв к поиску
золота в России четко был сформулирован в Петровском Узаконении от 02 ноября
1700 года: «... для пополнения золота и серебра в своем великого государя
Московском государстве на Москве и в городах сыскивать золотых и серебряных и
медных и иных руд...». В конце XVII
века Петр 1 приступил к закладке новых заводов на Урале и к исходу его
царствования здесь был создан важнейший горнозаводской район. К 1824 году Урал
дал уже 305 пудов (4.9 т) россыпного золота.
В настоящее время одним из ведущих
золотодобывающих предприятий Свердловской области является артель старателей
«Нейва». Артель старателей «Нейва» - современное горнодобывающее предприятие с
высоким уровнем механизации. Артель старателей “Нейва” ведет разработку
россыпных месторождений золота и платины в Невьянском и Пригородном районах
Свердловской области с 1978 года. В настоящее время в Невьянском районе
работают 5 гидравлик, в Пригородном районе - 1 гидравлика. Численность
работающих около 600 человек. Годовой объем переработки горной массы - 4300
тыс. м3. Производственная база артели расположена в г. Невьянске.
Добытые драгоценные металлы поступают на шлихообогатительную установку, после чего
шлиховой металл отгружается на специализированные заводы, где аффинируется до
99,99% химической чистоты.
Аффинированные и отделенные от серебра золото и
платина отливаются в мерные слитки, реализованная в таком виде продукция
соответствует международным стандартам. Наряду с непреходящим значением золота
и платины, как валютного металла, они находят все большее применение в
промышленности.
Золото, платина и их сплавы используются в
деталях ракет, ядерных реакторах, сверхзвуковых самолетах и различного промышленного
оборудования. Золото и платина широко используются в ювелирной промышленности,
в медицине.
Артель обеспечивает занятость населения
Невьянска, Новоасбеста, Нижнего Тагила и других окрестных городов Свердловской
области.
Особое внимание уделяется перспективе освоения
развития новых месторождений. Также артель занимается геологоразведочными
работами. Большое внимание в артели уделяется природоохранным мероприятиям.
Темпы производства рекультивированных работ по сдаче нарушенных земель
первичным землепользователям превышают объемы ежегодно изымаемых земель для
производства горных работ.
1. Краткая горно-геологическая характеристика
месторождения и подсчёт запасов
.1 Общие сведения о районе месторождения
строительство месторождение
водоснабжение гидрогелогический
Россыпное месторождение золота
“Шуралинско-Ключевское” входит в состав Северной группы Невьянских россыпей и
расположено на территории Невьянского и Кировградского городских округов
Свердловской области в 8,0 км к западу от г. Невьянска. Ближайшим населенным
пунктом является п. Цементный, расположенный в 2,5 км к юго-востоку от
рассматриваемой территории. С п. Цементный район месторождения связан
улучшенной грунтовой автодорогой.
Добычу драгоценных металлов в районе ведут
артель старателей "Нейва" и артель старателей «Невьянский прииск».
Географо-экономические условия благоприятны для
освоения месторождения в ближайшее время.
По горнотехническим условиям месторождение
пригодно для разработки гидравлическим способом.
Рельеф района месторождения увалисто-холмистый,
слабо расчлененный, с абсолютными отметками от 236 до 275 м. Северо-восточная
часть занята полями и мелколесьем, юго-западная и западная заболочены, заняты
малоценным мелколесьем и кустарником и значительно нарушены горными работами прошлых
лет.
Основной водной артерией района месторождения
является р. Северная Шуралка. На рассматриваемой территории имеется также
большое количество искусственных прудов и отработанных разрезов, заполненных
водой.
1.2 Климат района
Климат района континентальный. Средняя годовая
температура воздуха около +1°, средняя температура января -23°, июля +18°.
Среднее годовое количество осадков 456 мм. Заморозки начинаются в конце
сентября, весенние паводки в апреле. Преобладающее направление ветров западное.
Продолжительность сезона для гидравлической добычи - 7 месяцев.
Таблица 1.1 - Средняя температура за последние
10 лет по данным метеорологической станции города Невьянска
|
Месяц
|
Средняя
температура, град
|
Абсолютные
значения
|
|
Средняя
|
Колебания
|
Макс.
|
Мин.
|
|
|
От
|
до
|
|
|
|
Январь
Февраль Март Апрель Май Июнь Июль Август Сентябрь Октябрь Ноябрь Декабрь
|
-19,6
-18,0 -10,9 +0,3 +9,4 +16,8 +18,2 +16,1 +8,7 +2,7 -8,3 -16,4
|
-10,3
-12,1 -6,6 +0,8 +5,7 +18,0 +19,8 +21,9 +15, +8,9 -3,6 -13,0
|
-22,2
-21,5 -11,9 -5,3 +11,3 +14,1 +13,9 +11,7 +4,3 +0,1 -14,1 -22,6
|
-2
+1 +6 +13 +22 +35 +36 +29 +26 +17 +2 -4
|
-36
-30 -29 -15 -8 +1 0 +4 +4 -16 -30 -35
|
|
За
год
|
+0,7
|
+2,4
|
-
0,2
|
+36
|
-36
|
Среднее годовое количество осадков 456 мм.
Максимальное количество осадков приходится на летний период (май - октябрь)
около 2/3 всего количества. Снежный постоянный покров держится с конца октября
до середины апреля.
Средняя (за последние 10 лет) глубина
промерзания почвы 0,6-1,0 м, максимальное значение - 1,9 м.
Заморозки начинаются в конце сентября, весенние
паводки в апреле. Преобладающее направление ветров - западное и
северо-западное.
Таблица 1.2 - Среднегодовая
роза ветров, %
|
Наименование
характеристик
|
Величина
|
|
С
|
10
|
|
СВ
|
7
|
|
В
|
10
|
|
ЮВ
|
13
|
|
Ю
|
10
|
|
ЮЗ
|
15
|
|
З
|
10
|
|
СЗ
|
15
|
|
Штиль
|
10
|
Таблица 1.3 - Количество осадков в мм по
многолетним наблюдениям метеорологической станции города Невьянска
|
Месяц
|
Среднее
|
Максимальное
|
Минимальное
|
|
Январь
Февраль Март Апрель Май Июнь Июль Август Сентябрь Октябрь Ноябрь Декабрь
|
23
21 20 22 41 54 62 60 52 39 23 39
|
50
72 87 53 71 90 95 111 91 80 74 72
|
З
1 1 0 13 16 11 10 8 15 3 5
|
|
За
год
|
456
|
791
|
288
|
.3 Гидрогеологические и гидрологические условия
района месторождения
Невьянский золотоносный район
приурочен к зоне сочленения двух крупнейших структур: Тагильского
мегасинклинория и Восточно-Уральского поднятия и характеризуется
распространением сильно дислоцированных и интенсивно метаморфизованных пород
широкого возрастного диапазона от ордовика до среднего девона. Породы осадочного,
вулканно-осадочного и вулканогенного генезиса. Интрузивные породы занимают до
40% площади. Они разнообразны по составу, формам и времени проявления. Наиболее
крупной интрузией, в Северозападной оконечности, которой расположено
месторождение, является Верх-Исетская интрузия гранитоидов, отличающаяся четко
выраженной золоторудной специализацией. По геоморфологическому районированию
район входит в зону остаточных гор восточного склона Урала и характеризуется
развитием четко выраженных возвышенностей со сглаженными вершинами и выпуклыми
склонами при колебаниях абсолютных отметок в пределах 220- 375 м.
Зона Невьянского разлома
характеризуется повышенной гидротермальной проработкой пород, что
способствовало широкому развитию мощных линейных корвыветривания не только в
зоне самого Невьянского разлома, но и вдоль оперяющих его разломов более
высоких порядков.
Основной водной артерией района
является река Нейва с притоками Шуралка, Северная и Южная Шуралка, а также
большое количество искусственных прудов и отработанных разрезов, заполненных
водой. Река Нейва берет начало из озера Таватуй. Естественный режим стока
существенно искажен наличием прудов, водохранилищ. Питание всех рек и ручьев
района в целом осуществляется за счет атмосферных осадков, меженное питание происходит
за счет подземных вод.
Длина реки Шуралка от истока до
впадения в Невьянский пруд - 7.2 км. Средний уклон - 0,009. Гидрохимический
состав ее вод формируется как результат взаимодействия атмосферных осадков с
почвами водосбора. Помимо этого, в окончательный состав вод вносят
микроэлементы подземные воды, фильтрующиеся по трещинам материнских горных
пород и дополняющие сток. Максимальный расчетный 1%-ый расход воды весеннего
половодья реки Шуралка составляет, 4,3 м3/сек.
Гидрогеологические условия месторождения
вписываются в гидрогеологическую схему района с некоторыми конкретными
особенностями.
Вся рыхлая толща (золотоносные отложения - глины
с галькой кварца и глинистый плотик) безводная. Коэффициент фильтрации
аналогичных отложений, вычисленный по результатам наливов в скважины составляет
всего 0,05 м/сут. Это дает возможность рассматривать всю рыхлую толщу на
Ключевской россыпи, как относительный водоупор.
Рыхлая толща залегает на неровной закарстованной
поверхности известняков, уровни подземных вод которых (как было сказано выше)
находятся на 15-27 м ниже их кровли.
Гидрологический расчет р. Северная Шуралка
Гидрологический расчет выполняется для
определения параметров руслоотводного канала р. Северная Шуралка. В связи с
тем, что руслоотводной канал относится к IV
классу капитальности, расчет ведется по максимальному расходу 1%
обеспеченности.
Максимальный расход воды реки весеннего
половодья
При проведении геологоразведочных работ на
месторождении гидрометрические наблюдения за расходом р. Северная Шуралка не
проводились, данных по рекам-аналогам не имеется. Поэтому, в соответствии со
СНиП 2.01.14-83, максимальный расход реки 1% обеспеченности определяется по
формуле 1.1:
Q1%=
(1.1)
где: Ко - параметр, характеризующий
дружность половодья (0,0025)
h1% - расчетный
слой суммарного стока (без срезки грунтового питания);
М - коэффициент, учитывающий
неравенство статистических параметров слоя стока и максимальных расходов воды,
М = 1,0
б - коэффициент, учитывающий влияние
водохранилищ, прудов и проточных озер;
б=
(1.2)
1 -
коэффициент, учитывающий снижение максимального расхода воды в залесенных
районах;
б1 =
(1.3)
где: а1= 1
(СНиП2.01.14-83);
АЛ - залесенность
водосбора, АЛ= 81 % (данные маркшейдерского отдела);
п2 - коэффициент
редукции, п2= 0,22 (СНиП 2.01.14-83)
б1=
=0,38
б2 - коэффициент,
учитывающий снижение максимального расхода воды в заболоченных бассейнах;
б2 = 1-
log
(1.4)
б2 =1
=0,23
где:
- коэффициент принимаемый:
=0,8;
Аб - дополнительная
площадь болот и заболоченных лугов и лесов в бассейне,
Аб = 80%;
А - площадь водосбора реки до
расчетного створа, А = 20,7 км2
А1 - дополнительная площадь
водосбора, учитывающая снижение редукции,
А1=
,% (1.5)
А - площадь водосбора озера, км2,
S= 20,7 км2
S- площадь
зеркала озера, км2, S= 0,12 км2.
А1 =
=12,0%
п1 - показатель степени
редукции, п1 = 0,17
h1%= hо. ki (1.6)
где: ho - средний
многолетний слой весеннего стока, ho = 100 мм
(определен по карте);
ki - модульный
коэффициент слоя стока, ki = 2,66.
Модульный коэффициент kiопределен
для коэффициента вариации СV = 0,39
(определен по карте с учетом поправочного коэффициента) и коэффициента
асимметрии СS= 3СV.
h1% = 100. 2,66
= 266 мм
Q1%=
20,7 = 4,3,м3/сек
Максимальный расход воды реки
дождевых паводков
Q1% = q1%.f.H1%.б.Л1%.
А (1.7)
где: q1%-
максимальный модуль стока ежегодной вероятности превышения
Р = 1%; q1% = 0,027;
F - сборный
коэффициент стока;
Н’% -
максимальный суточный слой осадков вероятностью превышения;
Р = 1%, Н’1% 105 (определено по
карте);
б - коэффициент, учитывающий влияние
водохранилищ, прудов и проточных озер,
б = 0,67;
Л1% - переходный
коэффициент от максимальных мгновенных расходов воды ежегодной вероятности
превышения Р=1% к максимальным расходам воды другой вероятности превышения, Л1%
=1,0;
А - площадь водосбора, А = 20,7 км2
(1.8)
где: С2 - эмпирический
коэффициент, С2 = 1,2;
f- сборный
коэффициент стока, = 0,28
пб=0,07;
iB- средний
уклон водосбора;
(1.9)
- цена деления между смежными
горизонталями, м
- сумма длин всех линий горизонталей
в пределах площади бассейна, км
п5 =0,65.
(1.10)
где: L - длина
реки, L= 7,2 км;
Nр -
гидравлический параметр русла, NP= 11;
ip-
средневзвешенный уклон русла реки, iP=11%
N = 1/3.
Продолжительность склонового
долегания (
ск) в первом
приближении принимаемая для водотоков, расположенных в лесной зоне,
заболоченностью менее 20% - 60 мин. В зависимости от ФР,
ск и
принимается q1% = 0,023
Q1%= 0,027.
0,17. 105. 0,67. 1,020,7 = 6,6 м3/сек
1.4 Геоморфологическая характеристика
месторождения
Шуралинско-Ключевское россыпное месторождение
золота приурочено к долинам рек Северная Шуралка, Южная Шуралка и Шуралка.
Общая длина долины, вмещающая промышленную россыпь, составляет 12,5 км при
ширине по аллювию 170-600 м, которая увеличивается на участках развития
известняков до 1100 м. Поверхность россыпи имеет пологие уклоны в южном и восточном
направлениях и сильно заболочена. Россыпь значительно поражена работами прошлых
лет.
Основными металлоносными горизонтами являются:
нижнеюрско-верхнеолигоценовые аллювиальные и
аллювиально-пролювиальные ложения;
неогеновые пролювиальные, аллювиальные и
делювиально-пролювиальные отложения.
неоген-четвертичные делювиально-пролювиальные
отложения;
средне-верхнеплейстоценовые аллювиальные
отложения.
Северный фланг Шуралинско-Ключевской россыпи
включает в себя 2 участка: верховья р.Северная Шуралка и ранее не отработанную
часть меридионального участка.
Верховья р. С. Шуралка. Участок непосредственно
примыкает к отработанному полигону гидравлики № 80 Невьянского прииска. Общая
длина россыпи на этом участке составляет 2,5 км. Отметки поверхности изменяются
от 265 до 258 м. Поверхность россыпи поражена ямными (мускульными) отработками
дореволюционного периода.
Промышленные запасы выделяются в виде полосы
шириной от 40 до 159 м, разделяющейся на две золотоносные струи, одна из
которых - восточная - приурачивается к полосе развития аллювия плейстоцена;
вторая - в интервале линий 1552-1557 - к фрагменту неогеновой террасы, развитой
в западном борту долины, а в интервале линий 1558-1564 - к излучине
плейстоценовой реки, выполненной аллювием верхнего плейстоцена. Длина основной
- восточной - струи составляет 1680 м, ширина ее изменяется от 40 до 83 м.
Подсчетные мощности по блокам изменяются от 4,3 до 9,0 м. Среднее содержание
золота по блокам колеблется от 97 до 181 мг/м3.
Длина западной струи 1527 м, ширина изменяется
от 40 до 111 м, подсчетные мощности по блокам от 3,5 до 11,5 м, среднее
содержание по блокам от 67 до 170 мг/м3. Всего по верховьям р.
Северная Шуралка выделено 29 блоков категории С1 и С2,
запасы горной массы составляют 1566.5 тыс. м3, запас золота (х.ч.) -
205.7 кг при среднем содержании 131 мг/м3. Забалансовые по
содержанию запасы выделены, в основном, как прирезки к балансовым блокам, а
также в виде самостоятельных блоков на выклинках золотоносных струй.
Меридиональный участок. Блоки 37-С1 -
54-С1 относятся к так называемому меридиональному участку.
Поверхность россыпи на этом, наиболее пораженном отработками прошлых лет,
участке неровная; имеется большое число заполненных водой гидравлических
разрезов 1939 - 1960 годов, гале-эфельных отвалов.
В интервале разведочных линий №№ 1573-1576
плотик россыпи сложен известняками, на остальной площади участка глинистыми
корами выветривания зеленокаменных пород и глинисто-дресвяными корами
выветривания гранитоидов.
Рыхлые отложения сверху вниз представлены в основном
техногенными отложениями различной мощности. В нижней части разреза выделяются
целиковые труднопромывистые аллювиально-делювиальные отложения неогена
различной мощности и разной степени золотоносности. Аллювиально-делювиальные
отложения плейстоцена в целике сохранились небольшими фрагментами в бортах
гидравлических разрезов и в зоне развития известняков. Мощность продуктивных
отложений от 2,5 до 17,0 м, средняя - 7,1 м.
Характеристика
плотика
Плотик россыпи сложен
частично из дресвяно-щебнистых кор выветривания плагиогранитов, и
эффузивно-осадочных пород. Общий уклон плотика на юг 0.003.
В пределах развития известняков наблюдаются
западения плотика глубиной от 2,5 до 20,0 м. Выполнены западения плотика
аллювиальными отложениями неогена, иногда плейстоцена.
Рельеф плотика
относительно ровный, без резких углублений и выступов, хотя отмечаются
сравнительно пологие локальные выступы и западины размером 10-15*20 м с
превышениями в 1-3 м относительно днища россыпи. В целом уклон плотика
направлен от потоков к устью и равен 0,01 с колебаниями от 0,002 до 0,03.
Таблица 1.4 -
Гpанулометpический состав продуктивных отложений
|
Крупность
фракции, мм
|
+100
|
-100
+50
|
-50
+10
|
-10
+2
|
-2
+1
|
-1+0
|
|
Выход
фракции, %
|
0.1
|
0.5
|
3.6
|
5.0
|
1.9
|
88.9
|
Таблица 1.5 - Гpанулометpический состав золота
|
Класс
крупности, мм
|
+2.0
|
-2.0
+1.0
|
-1.0
+0.5
|
-0.5
+0.25
|
-0.25
+0.1
|
-0.1
|
|
Выход
класса, %
|
6.4
|
9.2
|
11.1
|
25.0
|
46.0
|
2.3
|
Окатанность золота хорошая и средняя. Форма
золотин преимущественно таблитчатая, комковатая, редко пластинчатая.
Распределение золота в россыпи струйчатое и
гнездово-струйчатое, неравномерное.
Таблица 1.6 - Усредненный геологический pазpез
|
№
|
Описание
пород
|
Мощность,
м
|
Категория
|
|
1
2 3 4 5
|
Глины
иловатые и песчанистые, вскрышные отвалы, глины бурые Галечники полимиктовые
песчаные и глинистые, глины галечниковатые зеленовато-серые и бурые Глины
красно-буроцветные, галечники глинисты Глины буровато-желтые и светлые с
кварцевой галькой и песком Плотик - глинисто-щебнистые, щебнистые,
щебнисто-глыбовые коры выветривания
|
1,3
3,8 1,0 2,3
0,3
|
III IV
III IV
IV
|
|
Всего
|
8,7
|
|
Промывистость песков выражается коэффициентом
промывистости, который определяется из расчёта:
(1.11)
где: Р - число пластичности
глинистого материала, %
Р =19%;
- содержание иловой (менее 0,1 мм)
фракции в песках, % (табл. 1.4);
γ- содержание гали (+8 мм) в
песках, % (табл. 1.4); γ
2,9;
ω - естественная влажность
песков, %.
ω -28,5%.
Кпр=19 · 84,б / 2,9 · 28,5 = 19,4
.5 Подсчёт запасов
Подсчет запасов произведен линейным способом с
опорой блоков на две смежные разведочные линии, с ограничением доли влияния
высоких проб в соответствии с рекомендациями ГКЗ, с учетом пробности золота,
для сплошной гидравлической добычи «на массу». На краевые блоки, опирающиеся на
одну линию, распространялась средняя подсчетная мощность и содержание,
вычисленные по опорной линии; или данные соседнего «нормального» блока.
Оконтуривание россыпи по кровле и почве пласта
произведено согласно инструкции ГКЗ по пробам с содержанием металла выше
бортового.
Оконтуривание блоков по ширине производилось на
половину расстояния между выработками с содержаниями выше и ниже минимального в
плане.
Выделение подсчетных блоков в плане произведено
в соответствии с рекомендациями ГКЗ СССР о соблюдении принципа однородности.
Таблица 1.7 - Пример подсчета запасов (блок 52-С1)
|
Линия
|
№ скв
|
Подсч. m, м
|
C, г/м3
|
Верт запас, м
|
m, м
|
V, м3
|
C, г/м3
|
Q ш/х, кг
|
Q х/ч, кг
|
|
1574
|
279
|
20,0
|
129
|
2588
|
|
|
|
|
|
|
280
|
18,0
|
207
|
3733
|
|
|
|
|
|
|
281
|
19,0
|
21
|
407
|
|
|
|
|
|
|
282
|
13,0
|
27
|
347
|
|
|
|
|
|
|
283
|
11,0
|
104
|
1146
|
|
|
|
|
|
V=S*m=19.8*17.0=336.6 тыс. м3шх=V*C/1000=336.6*140/1000=47.1
кгх/ч=Qшх*0.929=47.1*0.929=43.8 кг
2. Выбор способа разработки
Выбор способа разработки
осуществляется с учетом обязательных требований: максимальной безопасности
работ, полноты извлечения полезного ископаемого из недр, минимального срока
отработки и минимального срока отработки и минимального нарушения природных
условий.
В настоящие время принимаются
четыре способа разработки: дражный, гидравлический, бульдозерно-экскаваторный
(открытый), подземный. Подземный способ целесообразно применять на
месторождениях, где возможно применять другие способы: на талых россыпях при
глубине более 60м, на мерзлых- при глубине более 25м; при небольших запасах
горной массы, но высоком содержании. Применение подземного способа обязательно
обосновывается технико-экономическим расчетом.
Гидравлический способ
разработки применяется при различных объёмах запасов (срок существования
разреза 1-20 лет), с глубиной залегания от 4-12 до 25 м. Способ целесообразно
применять при I-III
категории крепости пород, IV-V
категорий необходимо предварительно рыхлить. Наличие вечной мерзлоты
значительно усложняет способ разработки. Достоинства способа: поточность технологического
процесса; простота, незначительный вес, небольшие размеры, небольшая стоимость
оборудования и др. Недостатки: относительно высокая энергоёмкость; большой
расход воды; зависимость от климатических условий.
Дражный способ разработки
применяется при наличии запасов от 2 - 3 до 15-25 млн.м3 при
мощности горной массы, соответственно, 3 - 5 м до 12-25 м и 50 м.
Драгами целесообразно
разрабатывать россыпи, имеющие значительные запасы. Сложенные породами,
способными удерживать воду в дражном разрезе, расположенные в долинах крупных и
небольших рек, имеющих незначительный уклон, достаточный приток воды и
небольшое количество валунов. В отдельных случаях, драгами можно разрабатывать
увальные и террасовые россыпи со значительными запасами, а также россыпи с
недостаточным притоком воды, который выполняется за счёт подачи дополнительной
свежей воды из другого водного источника. При повышенном уклоне долины, россыпь
может отрабатываться при помощи устройства водоподъёмных плотин. В отдельных
случаях драгами целесообразно разрабатывать россыпи с небольшими запасами
горной массы, но богатых россыпей или где имеется возможность переноса их на
новые участки. Благоприятными условиями являются обводнённость месторождения,
отсутствие мерзлоты, однако при оттаивании пород драги широко применяются и в
районах распространения мерзлоты. Категории крепости разрабатываемых пород 1-5.
Достоинство способа: высокая производительность и механизация труда, низкая
энергоемкость, низкая себестоимость и др. Недостатки: невозможность раздельные
разработки пород драгой, большая стоимость оборудования, низкая маневренность.
Исходя из горно-геологических
условий месторождения - протяженности, ширины, мощности, балансовых запасов -
дражный способ отработки является экономически и технически нецелесообразным
(малая протяженность россыпи, трудоемкость пород, запасы горной массы не
обеспечивают нормальной амортизационный срок работы драги). Кроме того, ранее
на данном месторождении проводилась опытно-промышленная отработка малолитражной
драгой, которая показала низкую эффективность дражного способа отработки для
условий данного месторождения.
Открытый способ разработки
применяется при наличии запасов, обеспечивающих срок отработки от 0,5 до 20
лет. Срок погашения капитальных вложений для бульдозеров и скреперов не более 5
лет, для одноковшовых экскаваторов средней мощности 10-12 лет.
Преимущества открытого способа
по сравнению с другими реализуется при разработке мерзлых россыпей. К ним
относятся: высокая маневренность, позволяющая разрабатывать небольшие
месторождения в очень сложных горнотехнических условиях; возможность послойной
разработки пород по мере оттаивания; гибкость и простота технологических схем;
небольшие капитальные затраты; простота технологического оборудования.
Отработке подлежит россыпное
месторождение золота с площадью оконтуренных промышленных запасов 2136.7 м2.
Средняя ширина россыпи в пределах промышленного контура составляет 346 м, длина
промышленного полигона - 6,2 км. Средняя мощность продуктивных отложений - 7,7
м. запасы горной массы, вовлекаемые в отработку, составляют 16373,4 тыс.м3.
Так как ранее на данном
месторождении проводилась опытно-промышленная отработка драгой, и этот способ
показал низкую эффективность отработки данного месторождения. То для данных
горногеологических условий наиболее рациональным является гидравлический способ
отработки, позволяющий эффективно отработать россыпь и обеспечивающий
достаточную полноту выемки запасов. Замкнутый цикл водоснабжения и отводов
паводковых и ливневых вод из зоны горных работ исключают загрязнение гидросети
района.
.1 Организация работ
- Продолжительность сезона - 239 сут.
- Суточная производительность - 3138 м3/сут.
- Количество землесосов в работе - 2
ед.
- Продолжительность pаботы в сутки -
19.2 часа
- Количество гидpомонитоpов в работе - 6 ед.
Добычные работы ведутся сезонно
по скользящему графику при 12 -часовой рабочей смене. Начало сезона - апрель,
окончание - ноябрь. Сполоск шлюзов производится по специальному графику.
Для обеспечения контроля за
полнотой отработки запасов в штате гидравлики предусматриваются должности
маркшейдера и геолога, которые подчиняются соответственно главному маркшейдеру
и главному геологу артели. Для производства работ маркшейдер и геолог
обеспечиваются необходимыми инструментами и принадлежностями.
Маркшейдером гидравлики 3 раза
в месяц (подекадно) производится замер объёмов промывки горной массы,
контролируется соответствие параметров гидротехнических сооружений проекту,
выносятся в натуру контуры запасов.
Геологом гидравлики осуществляется
контроль полноты отработки запасов, опробование бортовое (борозда через 20 м по
всей мощности) и плотиковое при задирке (1 проба на 400 м2).
Задирка плотика после отработки
забоев и зачистка зумпфа производятся технологической бригадой до полного
отсутствия металла в пробах.
Руководство и надзор за
производством горных работ осуществляют горные мастера. Надзор за работой
технологического оборудования, электрооборудования и землеройной техники
осуществляется электромехаником и механиком по землеройной технике.
.2 Персонал гидравлики
Таблица 2.1 - Персонал
гидравлики
|
Должность,
профессия
|
Численность
|
Квалификация
|
|
Начальник
гидравлики
|
1
|
Высшие
или среднетехническое специал.
|
|
Электромеханик
|
1
|
Высшие
или средне техническое специал.
|
|
Механик
по землеройной технике
|
1
|
Высшие
или среднетехническое специал.
|
|
Горный
мастер
|
3
|
Высшие
или среднетехническое специал.
|
|
Маркшейдер
|
1
|
Высшие
или среднетехническое специал.
|
.3 Горнотехнические условия
отработки
Будет отрабатываться участок месторождения,
включающий в себя блоки 51-С1, 51а-С1, 52-С1,
53-С1, 54-С1, 55-С1, 56-С1, 304-С1,
41-С1.
Данный участок характеризуется следующими
показателями:
- Длина - 460 м
- Средняя ширина - 181 м
- Площадь участка - 83,4 т.м2
- Средняя мощность - 8,4 м
- Извлекаемые запасы - 750 т.м3
- Среднее содержание Au - 139 мг/м3
- Добыча золота - 105,0
кг
В связи с тем, что южная часть отрабатываемого
участка значительно нарушена работами прошлых лет (гидравлические разрезы,
заполненные водой, галле-эфельные отвалы), производство вскрышных работ и
уборка ППС в пределах промышленного контура южного участка настоящим проектом
не предусматривается.
Производство вскрышных работ и уборка ППС с
площади отрабатываемых запасов предусматривается в блоке 41-С1.
Объем вскрыши составит 25,1 т.м3, объем уборки ППС составит 5,0 т.м3.
Для исключения потерь металла вследствие его
просадки в плотик при гидромониторном размыве, проектом предусматривается
оставление на плотике недомыва из песков мощностью 0,3 м., который подается на
промывку бульдозерами одновременно с задиркой плотика. Задирку плотика проектом
предусматривается производить мощностью 0,3 м.
.4 Порядок и способ отработки
Исходя из гоpно-геологических условий
месторождения - протяженности, ширины, мощности - наиболее целесообразным
является гидравлический способ отработки. Данный способ отработки позволяет
эффективно отработать россыпь, обеспечивает достаточную полноту выемки запасов.
В виду того, что на данном участке россыпи
плотик имеет незначительный уклон, общий порядок отработки россыпи на данный
сезон принимается снизу вверх с последовательной отработкой блоков.
Складирование хвостов промывки производится в хвостохранилища, располагаемые на
борту россыпи и в выработанном пространстве.
Перед началом промывочного сезона установки №1 и
№2 устанавливается в пионерные котлованы и отрабатывают выше указанные блока.
.5 Производительность участка и сроки отработки
месторождения
Производительность участка
будет находиться в прямой зависимости:
1 От суточной
производительности основного звена в технологической цепочке.
2 От количества единиц
технологического оборудования.
От режима работы
участка, время на перестановку технологического оборудования при смене позиции
и количества позиции в сезоне.
От продолжительности
промывочного сезона.
Средняя производительность
землесоса ЗГМ-2М составляет 350 тыс.м3/год.
Проектом предусматривается на
добычных работах одновременное использование 2-х землесосов ЗГМ-2М. Срок
отработки месторождения определяется по формуле:
(2.1)
где: V-
общие запасы горной массы месторождения, подлежащие отработке, тыс. м3;
Qг-
Производительность гидравлики, тыс.м3/год.
N=750/700=1,07 год.
3. Предварительные,
горно-подготовительные работы
Состав работы
В комплекс
горно-подготовительных работ входят подготовка поверхности, осушение, вскрытие,
а также работы по воздействию гидротехнических сооружений для создания
хвостохранилищ и организации оборотного водоснабжения.
.1 Расчистка полигона от
лесорастительности, пней и валунов
Лес и кустарники удаляют в
первую очередь в местах, предназначенных для размещения сооружений и
эксплуатационных устройств, а также нагорной, руслоотводной и капитальной
канав. В дальнейшем лес и кустарник удаляют полностью в пределах конечных
контуров участка. Если лес не представляет ценности как строительный материал,
то деревья диаметром до 30 см валять бульдозером. Кустарники убирают
бульдозерами и реже кусторезами. Крупные пни и валуны, которые могут повредить
ножи машин, до начала работ удаляют корчевальными машинами или обозначают
вешками с целью своевременного их объезда. Строительный лес вырубают обычно в
зимний период с использованием электромеханических пил, бульдозеров и других
средств.
После вырубки леса приступают к
корчевке пней. Корни деревьев в условиях вечной мерзлоты располагают вблизи
поверхности, что значительно уменьшает трудоемкость корчевки пней. При
корчевании крупных пней корни окапывают бульдозером. На корчевании пней
используют главным образом корчеватели Д-210В. Для корчевки крупных пней
принимают также заряды ВВ (обычно аммонит), располагаемые под пнем на глубине 1
- 1,5 м.
Для очистки площадей от валунов
применяют бульдозеры, которые транспортируют их за границы россыпи.
Часть площади месторождения
покрыта таежным лесом и мелколесьем. Расчистка полигона от леса производится
обычным заготовительным способом с последующей корчевкой пней и уборкой
мелколесья и кустарников бульдозером.
Расчистке подвергаются как
площади полигона, так и площади, на которых предусматривается размещение
отвалов гидравлических хвостов, водоёмов, дамб, каналов, подъездных дорог, ЛЭП.
.2 Проходка пионерных
котлованов
Для проведения котлованов
применяют, как правило, драглайны или бульдозеры. Глубина котлованов,
располагаемых на вскрывающих горизонтах, равна высоте разрабатываемого уступа.
Размеры котлована принимаются минимальными, они должны обеспечивать возможность
размещения средств гидрооборудования и трубопроводов. Для доставки в котлован
рабочих, оборудования и трубопроводов проводится наклонная траншея-съезд с
уклоном.
Для создания на вскрытом уступе
первоначального фронта горных работ от котлована проводят разрезную траншею.
Ширина разрезной траншеи по дну будет зависеть от ширины заходки гидромонитора
и расчетною числа гидромониторов.
Отработка осуществляется
посредством разноса одного или обоих бортов разрезной траншеи в зависимости от
места расположения котлована (или котлованов) относительно конечных контуров
карьеры.
Углы откосов рабочих и
нерабочих бортов котлованов и разрезных траншей в зависимости от
физико-механических свойств разрабатываемых пород могут быть равны
соответственно 50-80 и 35 - 60°.
Работа по проходке пионерного
котлована осуществляется бульдозером. расстояние транспортировки до 50 м.
Категория грунта IV.
При проходке пионерного котлована необходимо установить временный водоотлив
насосом, который затем будет использован на сполоске шлюзов.
Землесос устанавливается в
пионерном котловане, пройденном до плотика россыпи. Гидромониторы
устанавливаются по обеим сторонам землесоса и отрабатывают заходки
попутно-боковыми веерными забоями. Забои разделены межзабойным целиком, который
отрабатывается в последнюю очередь, перед задиркой плотика. Для облегчения
работы по уборке крепи, крупных камней и посторонних предметов из подаваемой в
зумпф пульпы, пред зумпфомземлесоса устанавливается гидровашгерд ГВ-1200. На
один землесос предусматривается установка двух ГМН-250.Для грохочения породы на
гидровашгерде и удаление в отвал крепи и крупных камней устанавливается третий
гидромонитор.
Для установки землесосов
предусматривается проходка двух пионерных котлованов в контуре блоков 52-С1
и 54-С1 на глубину до 5,0 м. Размеры котлована по низу - 20×20
м.
Углы откосов - 45°.Общий объем работ - 6,3 т.м3. Работа выполняется
бульдозером. Грунт IV категории. Расстояние транспортировки - 50 м.
.3 Проходка зумпфов ЗГМ
Для установки ЗГМ в забое проектом
предусматривается строительство зумпфов. Размер зумпфа по верху 7 ×
7
м. Средняя глубина зумпфа 2,0 м. Объем по проходке зумпфа - 100 м3.Общий
объем работ по проходке зумпфов составит 1,2 т.м3. Работа
выполняется бульдозером. Грунт IV категории. Расстояние транспортировки 30 м.
.4 Устройство заездов в pазpез
Проектом пpедусматpивается строительство шести
заездов в разрез для автотpактоpной техники. Средняя высота борта - 8,4 м.
Объем земляных работ по строительству заезда
определяется по формуле:
V = H2 / tga1
(B / 2 + H / 3 tga0)
- H2 / tga0
(B / 2 + H / 2tga0)
(3.1)
где: Н - высота уступа;
В - ширина заезда, В = 6,0 м;
a0
- угол откоса уступа, 45°;
a1
- угол наклона заезда, 12°.
V=8,42 /tg12°(6,0 / 2+8,4
/3tg45°) - 8,42 / tg45°(6,0 / 2+8,4 / 2tg45°) = 1,9 т.
м3
Количество заездов - 6, общий объем работ - 11,4
т.м3. Работа выполняется бульдозером. Грунт III
категории. Расстояние транспортировки - 30 м.
.5 Строительство переездов через тpубопpоводы
Всего за сезон предусматривается 12 стоянок
землесосов. На каждой стоянке землесоса строится 3 переезда через трубопроводы
(один через пульповод и два через водоводы).
Общее количество переездов:= 12 * 3 = 36 ед.
Объем работ по строительству 1 переезда - 0,04
т.м3.
Общий объем работ:= 0.04 * 36 = 1,4 т.м3
Работа выполняется бульдозером. Грунт IV
категории. Расстояние транспортировки - 30 м.
3.6 Строительство площадок под эстакады
Для установки эстакад обогатительных шлюзов и
создания условий по их ноpмальной эксплуатации проектом пpедусматpивается
строительство четырех площадок под эстакады размером по верху 30*10 м, высота
отсыпки - 3,0 м. Заложение откосов 1:1. Объем земляных работ по строительству
площадок - 5,2 тыс.м3.
Работа выполняется бульдозером. Грунт III
категории. Расстояние транспортировки - 46-50 м. Эстакады устанавливаются на
лежневом основании.
.7 Строительство площадки под насосную станцию
Для установки насосной станции проектом
предусматривается строительство площадки под насосную станцию размером 20×30
м.
Средняя высота отсыпки площадки - 0,5 м. Объем земляных работ по строительству
площадок составит 0,3 тыс.м3. Работа выполняется бульдозером. Грунт
III категории. Расстояние транспортировки - 40 м. Насосная станция
устанавливается на лежневом основании.
.8 Монтаж водоводов и пульповодов
Таблица 3.1. Характеристики водоводов и
пульповодов:
|
Водовод
|
Пульповод
|
|
Землесос
№ 1 Землесос № 2 Забойный в-д
|
Æ500
мм - 1060 м Æ500 мм - 2140 м Æ275
мм - 1680 м;
|
Æ426
мм - 1660 м Æ426 мм - 1100 м
|
3.9 Рыхление мерзлого грунта
При отработке запасов в апреле проектом
предусматривается рыхление мерзлой корки мощностью 0,6 м в контуре запасов.
Объем рыхления составит 3,0 т. м3.Рыхление производится бульдозерами,
оборудованными рыхлителями. Уборка мерзлого грунта с площади запасов составит
3,0 т. м3. Работа выполняется бульдозером. Грунт III категории.
Расстояние транспортировки - 80 м.
.10 Строительство автотракторных дорог
Для обеспечения подъезда автотракторной техники
к технологической установке, насосным станциям и другим объектам на гидравлике
проектом предусматривается ремонт автотракторной дороги внутреннего сообщения
длиной 2,5 км. Ширина дороги 6,0м, высота отсыпки 0,2 м, объем строительства
3,0 т.м3. Объём планировки бульдозером 1,5 т.м3.
Автодорога к коллективному саду проходит по
площади балансовых запасов. Для обеспечения проезда садоводов к своим участкам
данным проектом планируется перенос автодороги. Длина автодороги 900,0 м,
ширина 6,0 м, высота отсыпки 0,5 м, объем строительства 2,7 т.м3.
Объём планировки бульдозером 1,4 т.м3.
.11 Прочие ГПР
Вспомогательные ГПР согласно норм артели
старателей "Нейва" планируются из расчета 12.8 машино-часов работы
бульдозера на одну стоянку землесоса. Планируется 12 стоянок землесоса, т.е.
153,6 машино-часа. Для передвижения людей в разрезе проектом предусматривается
прокладка деревянных трапов длиной 1000 м.
3.12 Гидpотехнические сооpужения
Для обеспечения складирования хвостов промывки и
зарегулирования оборотного водоснабжения по замкнутому циклу, проектом
пpедусматpивается строительство ряда гидpотехнических сооружений.
.12.1 Строительство дамбы хвостохранилищ № 18
Для создания емкости, необходимой для размещения
хвостов промывки горной массы и достаточного объёма оборотной воды в 2013 году,
проектом предусматривается строительство дамбы хвостохранилищ № 18 со
следующими параметрами:
Дамба хвостохранилища № 18
Отметка гребня дамбы - 250,0 м
НПГ - 249,0 м
Ширина дамб по верху - 4,5 м
Заложение откосов: мокрого - 1: 2
сухого - 1: 2
Длина дамбы - 70 м
Объем - 1,2 т. м3
Дамба хвостохранилища № 18 строится из местных
грунтов.
Работа по строительству дамбы выполняется
бульдозерами. Грунт III категории. Расстояние транспортировки - 80 м.
.12.2 Проверочный расчет параметров дамбы
хвостохранилища№18наПК 0
Превышения гребня дамбы над НПГ
h=0,208 ∙ V5/4
∙
D1/3 +
a, м (3.2)
где: V
- скорость ветра, м/с. V=12;
D - длина разгона
волны, км D=0,4;
A - запас возвышения
гребня дамбы, м а = 1,0
h = 0,0208 ∙
12 5/4 ∙ 0,61/3 + 0.5 = 0,9 м
Принятое превышение дамбы над НПГ 1.0 м
удовлетворяет требованиям устойчивости дамбы.
Фильтрация дамбы
Фильтрационный расход воды на 1.п.м. длины дамбы
определяется по формуле:
Q = Кф∙
(H - h1
)
/ 2 (L - m1
∙
h1 )
м3/сут (3.3)
где: Кф- коэффициент фильтрации
грунтов дамбы, Кф=1∙10-7;
Н - напор воды со стороны мокрого откоса, Н=1,9
h1-
ордината кривой депрессии в месте ее пересечения с контуром сухого откоса;
h1=
(3.4)
L-расстояние
от подошвы сухого откоса до «раздельного» сечения, м;
m1- заложение
сухого откоса, m1=2;
L = b + L’+ L’’ (3.5)
b-ширина
дамбы по гребню, b= 4,5
L’= e * H ∙ ctgd (3.6)
L’=0,27∙
1,9 * ctg 450=0,5
м
L’’=5,8
L=4,5 + 0,5 +
5,8 =10,8 м
h1=
=0,3
Q=1*10-7(
1,9 - 0,3 ) / 2 (10,8 - 2 * 0,3 )= 0,00000002 м3/сек с п.м. ;
0,00152681 м3/сут
Приведенный расчет показывает, что
фильтрация воды через дамбу принятых параметров будет незначительна и не окажет
влияния на ее устойчивость.
Ширина дамбы по подошве
Ширина дамбы по расчету на сдвиг
определяется по формуле:
Вр=
, м (3.7)
где: К - коэффициент безопасности на
скольжение, К=10;
iп- объемный
вес пульпы, iп=1,06т/м3;
G - объёмный
вес материала строительства дамбы (суглинок) G=2,2т/м3;
f -
коэффициент трения частиц породы, f=0,83;
Н-высота подпора воды с учетом
подиливания, Н=1,9 м.
Величина G и fприняты по
справочнику дражника (В.Г. Лешков, Справочник дражника, табл.3,10).
Вр=
=11,0 м
В=m1 ∙ h + m2 ∙ h + b, м
где h - высота
отсыпки дамбы, м;
b - ширина
дамбы, м ;
m2 - заложение
мокрого откоса.
В=(2 ∙ 2,9) + (2 ∙2,9)
+4,5 = 16,1 м
В>Вр
Приведенный расчет показывает, что выбранное
заложение откосов дамбы обеспечивает ее устойчивость.
.13 Проходка руслоотводного канала
Для отвода русла р. Сев. Шуралка от горных работ
проходится руслоотводной канал.
Параметры канала (см. продольный профиль
водоотводного канала):
- Ширина по низу - 3,0 м
- Заложение откосов - 1:1
- Длина канала - 560 м
- Объем -7,7 т.м3
Работы по проходке канала выполняются
экскаватором ЭО-5126. Грунт III категории.
.14 Расчет емкости хвостохpанилищ
В замкнутом круге водоснабжения технологической
водой будут 3 хвостохранилища со следующими параметрами:
Хвостохранилище № 15
- Площадь - 89,0 т. м2
- Средняя глубина -5,2 м
- Емкость - 460,0 т. м3
- НПГ - 258,0 м
Хвостохранилище № 16
- Площадь - 38,5 т. м2
- Средняя глубина - 1,3 м
- Емкость - 50,0 т. м3
- НПГ - 253,0 м.
Хвостохранилище № 17
- Площадь - 32,0 т. м2
- Средняя глубина - 4,7 м
- Емкость - 150,0 т. м3
НПГ - 249,0 м.
Хвостохранилище № 18
- Площадь - 102,0 т. м2
- Средняя глубина - 7,7 м
- Емкость - 790,0 т. м3
НПГ - 249,0 м.
Суммарная емкость хвостохранилищ составит 1450,0
т.м3.
Тpебумая емкость хвостохранилищ определяется по
формуле:
хв
= q ∙ Vпp + Vв (3.8)
где: q - коэффициент набухания пород, q = 1.3;пp
- объем промывки горной массы;в- пятисуточный запас воды, Vв
= 353.3 т. м3;хв = 1,3 *∙ 750 + 353,3 = 1328,3 т. м3
Таким образом, объема хвостохранилищ в размере
1450,0 т.м3 достаточно для размещения планового объема промывки.
4. Выбор основного технологического оборудования
.1 Землесос ЗГМ-2М
Грунтовый насос (землесос)
представляет собой центробежный одноступенчатый насос с рабочим колесом
одностороннего входа, консольно-насаженных на вал.
Корпус землесоса и рабочее
колесо выполняются массивными, на корпусе имеется геометрически закрывающийся
люк для ревизии (осмотра) и удаления застрявших между лопастями крупных кусков
породы.
Напорный патрубок отливается
вместе с корпусом землесоса и располагается либо снизу, либо сверху корпуса. В
гидравлическом отношении (т.е. в смысле влияния на потери или величину
создаваемого напора) расположение напорного патрубка никакой роли не играет;
оно учитывается только при монтаже землесоса.
Рабочее колесо - основной
рабочий элемент землесоса, так как именно лопатки колеса передают жидкости
механическую энергию.
Напор, создаваемый землесосом
при данной частоте вращения, определяется диметром рабочего колеса. Если нельзя
изменять частоту вращения вала двигателя, то для создания различных напоров
используют дополнительные рабочие колеса разного внешнего диаметра.
При работе грунтовых насосов
(землесосов) на один трубопровод существует последовательное и параллельное их
соединение.
За основное звено в
технологической цепочке принимается землесос ЗГМ- 2М со скоростью вращения 750
об/мин, мощность электродвигателя 630 кВт, с напором 60 м вод.ст..
производительностью по пульпе 1900 м3/час.
Для удаления фракции +70 мм из
пульпы применяются гидровашгердыГВ-1200.
Длина пульповода до 900 м.
водовода - до 900 м. Диаметр пульповода - 400 мм, диаметр водовода - 530 мм.
Производительность землесоса по пульпе - 1900 м3/час.
.1.1 Схема землесоса ЗГМ-2М
Рисунок 4.1 - Схема землесоса ЗГМ-2М
- всасывающий патрубок;
- прижимное уплотнительное кольцо;
З - бронедиск;
- броневкладыш;
- рабочее колесо;
- сальниковая набивка;
- кольцо, навёрнутое на вал, для крепления рабочего
колеса;
- вал;
- упорный шарикоподшипник;
- роликоподшипник;
- опора;
-трубка для подачи воды.
4.1.2 Техническая характеристика ЗГМ - 2М
Таблица 4.1 - Техническая характеристика ЗГМ -
2М
|
Показатель
|
Единица
измерения
|
ЗГМ-
2М
|
|
Расход
по воде
|
л/с
м3/ч
|
527
1900
|
|
Полный
напор
|
м
|
53
|
|
Допустимая
высота всасывания
|
м
|
5,7
|
|
Максимальный
КПД
|
%
|
65
|
|
Частота
вращения
|
Об/мин
|
730
|
|
Число
лопаток
|
-
|
3
|
|
Наименьшее
проходное сечение
|
мм
|
190
|
|
Коэффициент
быстроходности
|
-
|
100
|
|
Масса
землесоса
|
т
|
3.4
|
|
Тип
электродвигателя
|
-
|
АК-13-62-10
|
|
Напряжение
|
в
|
600
|
|
Мощность
|
кВт
|
630
|
|
Диаметр
всасывающего патрубка
|
мм
|
350
|
|
Диаметрнапорного
|
мм
|
300
|
|
Ширина
рабочего колеса в свету
|
мм
|
200
|
|
Диаметр
входа к лопаткам
|
мм
|
370
|
|
Общая
длина землесоса
|
мм
|
2080
|
|
Высота
землесоса
|
мм
|
1600
|
|
Высота
по оси вращения
|
мм
|
800
|
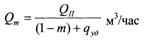
По характеристики пород, производительность
землесоса ЗГМ-2М по твердому определяется по формуле:
(4.1)
Производительность двух землесосов ЗГМ-2М по
твердому в сутки:
Qm.сут=
106,8 2 19,2 = 4101,1 м3/сут
где: 19,2 - число часов чистой работы землесосов
в сутки.
Для выбора электродвигателя необходимое число
оборотов рассчитывается из соотношения:
(4.2)
где: QП
- паспортная производительность землесоса, м3/час;
QН
- необходимая производительность землесоса, м3/час;
пП- паспортное число оборотов,
об/мин.;
пН - необходимое число оборотов,
об/мин.;
Напор землесоса с электродвигателем, имеющим
число оборотов - 630 находится из соотношения:
(4.3)
где НП- паспортный напор ЗГМ-2М при
электродвигателе АК-13-62-8, мвод.ст.
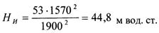
.1.3 Расчет землесоса ЗГМ-2М
Скорость пульпы в пульповоде определяется по
формуле:
(4.4)
где: Q
- часовая производительность землесоса, Q
= 1900 м3/час;
D - диаметр
пульповода, D = 0,43 м
Критическая скорость пульпы в пульповоде
определяется по формуле:
(4.5)
где:g
- ускорение свободного падения,g
= 9,81 м/с2
kэ-
эмпирический коэффициент, kэ
= 1,4;
ƒ - коэффициент
сопротивления при свободном падении твердой частицыв жидкой среде, ƒ
= 0,55;
l0-
коэффициент гидравлических сопротивлений при движении по трубопроводу чистой
воды, l0
= 0,016;
С - коэффициент, учитывающий содержание в пульпе
мелких частиц
R - процентное
содержание фракции -1 мм, R=
94,0%
По условию Vп>Vкр
принимается диаметр пульповода 430 мм.
Удельные потери напора при движении по
трубопроводу чистой воды определяются по формуле:
(4.6)
Удельные потери напора при движении по
трубопроводу пульпы определяются по формуле:
(4.7)
Полный напор землесоса ЗГМ-2М определятся по
формуле:
(4.8)
где: hп
-
потери напора, связанные с геодезической высотой нагнетания пульпы
(4.9)
где: h'гв-
геодезическая разность отметок выпуска пульпы из нагнетательного пульповода и
оси землесоса, mах 20 м
в-
потери напора во всасывающем патрубке землесоса
(4.10)
h''гв
-геодезическая разность отметок между осью землесоса и уровнем пульпы в зумпфе,h''гв
= 3,1 м
hв
= 3,1·1,06 = 3,3 м вод.ст.
hL
- потери напора на трение в пульповоде
hL=in·L
(4.11)
L - длина
пульповода, L
=
1400 м
hL
= 0,012·1400 = 16,8 м вод. ст.
hм-
местные потери напора
hм=
0,1 ·hL
hм
= 0,1 ·16,8 = 1,7 м вод. ст.
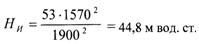
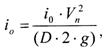
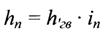
НЗГМ= 21,2+3,3+16,8+ 1,7=43,0 мв.ст.
Суммарная паспортная производительность двух
землесосов ЗГМ-2М )‚ составляет 3800 м3/час, а необходимая 3140 м3/час. для
снижения затрат / можно уменьшить производительность землесосов, путём замены
электродвигателя АК - 13-62-8 на двигатель с меньшим количеством оборотов.
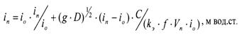
Для выбора электродвигателя необходимое число
оборотов рассчитывается из соотношения:
(4.12)
где: QП
- паспортная производительность землесоса, м3/час;
QН
- необходимая производительность землесоса, м3/час;
пП- паспортное число оборотов,
об/мин.;
пН - необходимое число оборотов,
об/мин.;
Напор землесоса с электродвигателем, имеющим
число оборотов - 630 находится из соотношения:
(4.13)
где: НП - паспортный напор ЗГМ-2М при
электродвигателе АК-13-62-8, м вод.ст.
Сравним расход электроэнергии землесоса ЗГМ-2М
до, и после смены электродвигателя:
где: N1
- расход электроэнергии землесоса ЗГМ-2М до смены электродвигателя;
N2
- расход электроэнергии землесоса ЗГМ-2М после смены электродвигателя;
η- Максимальный КПД.
Из расчётов видно, что разница в расходе
электроэнергии не существенна для предприятия, поэтому с целью сбалансирования
производительности землесосов и требуемой производительности участка, можно
применить другие способы (например, увеличить напор у гидромонитора на
вашгерде)
Принимается к установке 2 землесоса ЗГМ-2М с
напором 53 м водяного столба. Двигатели мощностью Р = 630 кВт, частота вращения
ротора п = 730 об/мин. Производительность землесоса по пульпе 9час 1900 м3/час.
.2 Насосная станция
Исходя из требуемого напора и потребного
количества воды на размыв пород, принятого порядка отработки и схемы оборотного
водоснабжения технологической водой, проектом предусматривается установка одной
насосной станции, на которой последовательно устанавливается 3 насоса 22НДС.
Расход воды одного насоса - 3600 м3/час, напор - 52 м водяного
столба.
Требуемая мощность электродвигателя определяется
по формуле:
дв
= kз ∙ jo ∙ Q ∙ H / (102 ∙ n) (4.14)
где: kз - коэффициент запаса, kз = 1.2;о -
удельный вес воды, jо = 1000 кг/м3;- производительность насоса, Q =
1.0 м3/сек;- полный напор насоса, Н = 52 м вод.ст.;- КПД насоса, n =
0.7.
4.2.1 Схема насоса 22НДС
Рисунок 4.2 - Схема насоса 22НДС
- кронштейн;
- шарикоподшипники;
З - сальники;
, 11 - трубки;
, 10 - защитные и уплотняющие кольца;
- корпус насоса;
- канал;
, 9 - ведомые и ведущий диски;
- отверстие;
- вал рабочего колеса;
- муфта;
- кольцо гидроуплотнения.
4.3 Гидромонитор
Для размыва служат
гидромониторы, которыми формируется компактная струя с высокой кинетической
энергией удара и обеспечивается подача ее в нужную точку забоя. В результате
ударного воздействия струи на породу последняя разрушается и, смешиваясь с
водой, образуют пульпу. Проектом предусматривается использование забойных
гидромониторов ГМД-250 с дистанционным управлением, для грохочения породы на
гидровашгерде ГМН-250 с насадками диаметром 90 мм и 100 мм. Общее количество
мониторов-6ед.
Высота и дальность полета
гидромониторных струй имеют большое практическое значение при определении
местоположения гидромонитора в карьере по отношению к забою.
4.3.1 Техническая характеристика гидромонитора
ГМН-250
Таблица 4.2 - Техническая
характеристика гидромонитора ГМН-250
|
Показатели
|
Тип
гидромониторов
|
|
ГМН-250
|
ГМД-250
|
|
Рабочее
давление у насадки, Мпа
|
1,5
|
2,5
|
|
Диаметр
входного отверстия нижнего колена, мм
|
250
|
250
|
|
Расход
воды, м3/час
|
-
|
До
2750
|
|
Угол
поворота, град: - в горизонтальной плоскости - вверх - вниз
|
360
32 18
|
360
30 30
|
|
Диаметр
сменных насадок, мм
|
51;
63; 76; 89;
|
80;
100;110;125
|
|
Габариты,
мм: - длина - ширина - высота
|
2528
|
4420
2190 1640
|
|
Скорость
вращения ствола, об/мин
|
~.
|
0,2-2,0
|
|
Управление
|
Ручное
|
Дистанционное
|
|
Масса
с насадками и инструментов, кг
|
182
|
1035
|
4.3.2 Схема гидромонитора
Рисунок 4.3 - Схема гидромонитора ГМН-250
- ребро;
- фланцы;
- подкос;
- верхнее колено;
- кожаная прокладка;
- кольцо;
- опора поворотного рычага;
- шаровое соединение;
- направляющие рёбра;
- хомут;
- скоба;
- насадка;
- муфта ствола;
- кронштейны;
- нижнее колено.
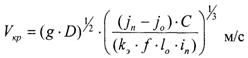
Требуемый диаметр насадки гидромонитора
определяется по формуле:
(4.15)
Принимается к установке стандартная насадка Ø
90 мм
Дальность полета струи в рабочем состоянии, м
(4.16)
где: V2-
скорость вылета струи из насадки, м/с;
φ- угол наклона
струи к горизонту, град.
.4 Системы водоснабжения
насосных станций
Для гидромеханизации горных
работ используется поверхностные и подземные воды. При выборе источника
водоснабжения в первую очередь ориентируется на подземные воды месторождения
полезного ископаемого.
При отсутствии или
невозможности использования таких источников как вследствие
неудовлетворительного количества, так и по технико-экономическим соображениям
водоснабжение осуществляется из поверхностных источников (речек, озер, дождевых
и паводковых стоков, которые аккумулируются в водохранилищах и прудах) или
артезианских скважин. В первом приближении считают, что источник удовлетворяет
потребность гидроустановки в воде, если его годовой дебит (м3) не
менее годовой производительности гидроустановки (м3 горной массы).
Самотечный способ подачи воды
возможен лишь при благоприятных топографических условиях, позволяющих подвести
воду с необходимым напором к месту работы. Для обеспечения потребного напора
гидроустановки необходимо иметь превышение отметки водозабора в водоисточнике
над рабочей площадкой карьера.
Напорный способ подачи воды
осуществляется с помощью насосов.
Комбинированный способ
водоподачи применяется в том случае, если самоточеный способ не обеспечивает
необходимый напор и требуется установка насосов.
Подача воды к гидромониторам в
количестве и с напором, обеспечивающими эффективную разработку горной массы,
осуществляется \ системой сооружений и устройств водоснабжения, входящей в
общий комплекс гидромеханизации.
.5 Водоснабжение
Водоснабжение при разработке
россыпи будет производится только с использованием паводковых вод и только по
оборотной схеме.
Вода при гидравлическом способе
отработки используется для разрушения (размыва) пород с применением
гидромониторов ГМН-250, для транспортировки золотосодержащих песков с
применением землесосов ЗГМ-2М и последующею извлечения золота на обогатительной
установке шлюзного типа.
Замкнутый цикл оборотного
водоснабжения осуществляется по следующее схеме:
из зумпфа насосной станции
технологическим насосами вода по водоводу подается в разрез для размыва;
после использования энергии
воды вместе с размытыми песками (пульпа) по пульповоду подается на
обогатительную установку, где происходит извлечение золота;
· с
обогатительной установки пульпа самотеком сбрасывается в хвостохранилище. Где
происходит осаждение галечной и глинистой фракции и осветление воды;
· осветленная
технологическая вода по водозаводному каналу, проходимому из наиболее удаленной
от обогатительной установки точки хвостохранилища. Поступает в зумпф насосной
станции, откуда насосами подается в поворотный цикл водооборота.
Закачка воды в оборотную
систему будут производиться из рек Северная Шуралка и Шуралка в весенний паводок.
Принятая схема оборотного
водоснабжения гидравлики исключает сброс производственных сточных вод
существующую гидросеть района работ.
Для обеспечения работы
гидравлического участка в замкнутом цикле водооборота, проектом
предусматривается строительство оборотных систем состоящих из хвостохранилищ и
водоемов-отстойников. Каждая система рассчитана на обеспечение работы
гидроустановок на полном замкнутом цикле водооборота.
Первоначально в начале
отработки участка по долине реки, предусматривается использовать для оборотной
системы водоснабжения искусственный водоём. В дальнейшем под оборотную систему
водоснабжения предусматривается использовать отработанные участки полигона с
учетом конкретных горнотехнических условий.
Заполнение хвостохранилищ осуществляется
за счет дождевых и паводковых вод. подпитка свежей водой в течении сезона не
предусматривается и в связи с этим объём заканчиваемой воды в водохранилища
следует производить с учетом технологических потерь. Вода будет использоваться:
· на
технологические нужды для размыва песков и транспортирования пульпы на
обогатительные установки,
· на
хозяйственно-бытовые нужды и вспомогательные нужды. Нормативное количество воды
на производственные нужды определяются расчетным путем, согласно технологическим
норм водопотребления и водоотведения на единицу продукции золотодобывающей
продукценности, разработанных институтами «Иргиредмег» и ВНИИ-I,
которые составляют:
операционная технологическая
норма водопотребления на размыв песков и транспортировку пульпы на
обогатительные установки составит - 16,8 м3/м3
- норма технологических потерь
- 0,207 и 0, 216
норма потребления свежей воды
на вспомогательные и хозяйственно-бытовые нужды - 0,0045 - 0,0042
Для отвода русловых, паводковых
и ливневых вод за пределы горных работ, обеспечения складирования хвостов
промывки и зарегулирования оборотного водоснабжения по замкнутому циклу,
проектом предусматривается строительство ряда гидротехнических сооружений.
.6 Землеройная техника
Для строительства дорог, площадок, подачи на
промывку песков (недомыва), задирки плотика, проходки каналов, канав, пионерных
котлованов, производства вскрышных и других работ проектом предусматривается
использование бульдозеров Т-11.
Эксплуатационная сменная производительность
бульдозера при разработке и перемещении породы, м3/см
,м3/см (4.17)
где: Vг - объем
призмы волочения, срезанный отвалом, м3;
rс -
коэффициент сохранения породы во время ее транспортирования;
rс= 1 - 0.005 ∙
Lп (4.18)
rс= 1 - 0.005 ∙
80=0.6
Lп- расстояние
транспортирования породы, м;
rв-
коэффициент использования рабочего времени;
n- число
рабочих часов в смене;
Т - продолжительность цикла, сек.
,м3 (4.19)
где: l - длина
отвала, м;
Н - высота отвала, м;
m
- коэффициент трения о породу, m=0.44¸0.58;
rр -
коэффициент разрыхления породы, rp=1.2¸1.4.
=3.8 м3
Продолжительность цикла, сек.
Т = t1 + t2 + t3 + t4, сек (4.20)
где: t1- время
резания породы
72 сек
Lнб - длина пути
набора породы, м;
m - глубина
резания, м;
Vт - скорость
бульдозера при наборе породы, Vт=2.0 км/час;
t2 - время
движения бульдозера при перемещении породы, сек.
144 сек
Vгр - скорость
бульдозера при транспортировании породы,Vгр=2.0 км/час;
t3 - время
движения бульдозера при обратном ходе, сек;
127 сек
Vпор - скорость
бульдозера при обратном ходе, Vпор=3.4 км/час;
t4 - время
переключения скоростей, t4» 4¸5 сек.
Т =72 +144 +127 +5=348 сек, (5 мин
48 сек.)
=250 м3/см
,м3/см (4.21)
67,5 тыс.м3/сезон
Принимается 4 ед. бульдозеров
Применяемое технологическое
оборудование:
1 На разработке и
транспортировки песков - гидромониторы ГМН-250
2 На доработке недомыва и
зачистке плотика бульдозерами Т-11
Подача пульты на
обогатительные установки - землесосы ЗГМ-2М с электродвигателями 630 кВт, со
скоростью вращения 750 об/мин.
Обогащение на шлюзах
типа 4А1. Установленные на передвижную металлическую эстакаду.
Подача технологической
воды насосами 22 НДС с мощностью электродвигателя 630 кВт.
Насос для сполоска
6К-6
Закачной насос 14-
НДМ.
Таблица 4.3 - Список
технологического оборудования необходимого для отработки россыпи
|
№
|
Наименование
оборудования Всего
|
|
1
|
ЗГМ-2М
|
2
|
|
2
|
Гидромониторы
ГМД-250
|
6
|
|
3
|
Насосы
22 НДС
|
3
|
|
4
|
Насосы
на Сполоск 6К-6
|
2
|
|
5
|
Шлюзы
типа 4А1
|
2
|
|
6
|
Заливочные
насосы 3 КБ
|
2
|
|
7
|
Насосы
на хозяйственные нужды 3 КБ
|
1
|
|
8
|
Закачной
насос 14-НДС
|
1
|
|
9
|
Гидровашгерд
ГВ-1200
|
2
|
5. Добычные работы
.1 Выбор системы разработки
Системы разработки принято
различать по направлению подвигания за боя - это главный признак, в
соответствии с которым системы разделяют на системы с попутным, боковым,
встречным, веерным и полувеерным забоем (рис 5.1). Когда нельзя отработать весь
участок, используя только одну систему, применяют комбинацию различных систем
(комбинированную систему).
Рисунок 5.1 - Виды разработки
.2 Система разработки
Наиболее рациональной для данных условий системой
разработки является классическая веерная попутно-боковая система.
Землесос устанавливается в середине
отрабатываемого контура в выработанном пространстве. Гидромониторы
устанавливаются по обеим сторонам землесоса и отрабатывают заходки веерными
попутно-боковыми забоями. Перед зумпфом землесоса устанавливается гидровашгерд
для удаления крупных камней и посторонних предметов из подаваемой в зумпф
пульпы.
Между забоями гидромониторов оставляется
межзабойный целик. После отработки забоев на расстояние 70 м от землесоса
производится сбойка забоев. С этого момента отработка ведется
бульдозерно-гидравлическим способом с применением экскаваторов и бульдозеров.
Бульдозеры производят окучивание оставленных на плотике песков (недомыва),
задирку плотика, а подачу песков из западин производят экскаватором под
бульдозер. Окученные пески располагаются вблизи зумпфа землесоса, где
производится их размыв гидромониторами. Среднее расстояние транспортировки - 50
м, породы IV категории. После зачистки зумпфа землесос переставляется вперед на
новую позицию.
.2.1 Параметры системы
Таблица 5.1 - Параметры системы
|
Средняя
ширина заходки
|
140
м
|
|
Средняя
ширина забоя
|
70м
|
|
Уходка
забоев на 1 стоянку ЗГМ-2М
|
70м
до 17,0 м
|
|
Высота
забоя
|
20×20
м
|
|
Минимальный
размер рабочей площадки
|
6,6
м
|
|
Берма
безопасности
|
4,7
м
|
|
Призма
обрушения
|
|
|
Минимальное
расстояние от транспортного и горного оборудования
|
20,4
м
|
5.2.2 Схема расположения
оборудования в забое
Рисунок 5.2 - Схема
расположения оборудования в забое при гидравлическом способе
1. Гидромониторы
2. Гидровашгерд ГВ-1200
. Зумпф землесоса
. Землесос ЗГМ-2М
. Пульповод
. Водоводы
. Межзабойный целик
6. Производительность
гидравлики и сроки проведения работ
Объем промывки горной массы составит 750.0 т.м3.
Объем промывки гидравлическим способом, тыс.м3.
Vг
= Vгм
- Vб,
тыс.м3. (6.1)
где: Vгм
- объем промывки горной массы, тыс.м3;
Vб
- объем бульдозерно-гидравлических работ, тыс.м3.
Объем промывки бульдозерно-гидравлическим
способом, тыс.м3.
Vб = Sэкс
* (mзпл+
mндм)
(6.2)
где: Sэкс
-
площадь эксплуатационных запасов, тыс.м2;
mзпл
- мощность задирки плотика, м;
mндм-
мощность недомыва, м.
Vб
= 83,4 * (0.3 + 0.3) = 50,0 тыс.м3
Vг
= 750,0 -50,0 =700,0 тыс.м3.
По категориям пород промываемый объем
распределяется следующим образом:
гидравлическим способом: породы III
категории - (Vг
/ ∑mVг)*
∑III
= 700,0 /8,7*2,3= 185,1 тыс. м3;
породы IV
категории - (Vг
/ ∑mVг)*
∑IV
= 700,0 /8,7*6,4= 514,9 тыс.
бульдозерно-гидравлическим способом:
породы IV категории
подача недомыва - 50,0 - 25,0 = 25,0 тыс. м3
задирка плотика - 25,0 т. М3 (табл.
Перевода запасов)
Часовую производительность гидравлики определяем
по часовой производительности гидромониторов по породе, которая принимается по
«Единым нормам выработки (времени) на разработку россыпных месторождений
открытым способом» (Магадан, 1981 г.).
Принимаем в работе один гидромонитор с диаметром
насадки 90 мм и один гидромонитор с диаметром насадки 100 мм.
.1 Проверочный расчет работы землесоса при
выбранных насадках гидромониторов
Расход воды через насадки гидромониторов
определяется по формуле:
Qв = m*∙
w*∙Ö
((2* g*∙ Hн) ∙ 3600 (6.3)
где: m - коэффициент расхода, m = 0.95;- площадь
поперечного сечения насадки, м2.
= ( p * dн2)
/ 4 (6.4)
где dн- диаметр насадки, м;н - рабочий напор
воды перед насадкой.в90 = 0,95*∙ (3,14*∙ 0,0922
/ 4)*∙ Ö(2* 9,81*∙ 70)* 3600 = 806 м3/часв100
= 0,95* (3,14* 0,122 / 4)* Ö(2* 9,81* 70)*∙
3600 = 995 м3/час
Средневзвешенная производительность
гидромониторов при гидравлическом способе разработки для насадок 90 и 100 мм:т
= ((46,5 + 57,1)* 185,1 + (35,5 + 43,9) *514,9) /700,0 = 85,8 м3/час
Производительность по пульпе составит:
п
= Qв90 + Qв100 + Qт = 806 + 995 + 85,8 =
1886,8 м3/час
Принятый тип землесоса ЗГМ-2М с двигателем
мощностью 630 кВт обеспечит необходимую производительность.
Суточная производительность землесоса при
гидравлическом способе отработки составит:
Рсут = 85,8 * 19,2 = 1647,4 м3/сутки
где: 19.2 - время работы землесоса в сутки
Производительность гидромониторов при
бульдозерно-гидравлическим способе отработки составит:
/ (1 - 0,35 + 17,2) = 106,4 м3/час
Суточная производительность землесоса при
бульдозерно-гидравлическим способе отработки:
,4 * 19.2 =2042,9 м3/сут.
Исходя из суточной производительности разных
способов отработки, определяется чистое время промывки плановых объемов песков
одним землесосом:
Тч = 700,0 / 1,65 + 50,0 / 2,04 = 448 сут.
Время на перестановки землесоса в сезоне:
Тп = (П - 2)* 3 (6.5)
где: П - количество стоянок землесоса, П = 12
шт.
Тп = (12 - 2)* 3 = 30 сут.
где: 3 - количество суток на 1 перестановку
ЗГМ-2М (норматив артели старателей "Нейва")
Общее время на промывку планового объема песков
составит:
То = Тч + Тп = 448 + 30 = 478 сут.
При работе 2-х землесосов продолжительность
сезона составит:
/ 2 = 239 сут.
7. Промывка и обогащение песков
.1 Обогащение
Для извлечения золота из песков
в качестве прибора обогащения проектом предусматривается использование шлюзов
прямоточного типа с подшлюзками мелкого наполнения. Проектом предусматривается
использование трех передвижных эстакад шлюзов на добычных работах.
Дезинтеграция песков и их
частичная классификация происходят в забое под действием струи гидромонитора.
Размытые пески в виде пульпиц самотеком поступают на грохот гидровашгерда,
имеющий отверстия струей гидромонитора удаляется в отвал. Фракция - 100 мм
поступает в зумпф, откуда землесосом ЗГМ-2М по пульповоду с 1426 мм подается на
обогатительную установку, где происходит обогащение песков сначала на шлюзах
глубокого наполнения. Хвосты шлюзов глубокого наполнения поступают на
стационарный перфорированный грохот с отверстиями dl5
мм, где происходит их классификация. Фракция +15 мм поступает на проходную
колоду, где проходит обогащение, а затем сбрасывается в отвал. Фракция - 15 мм
поступает на шлюза мелкого наполнения, где проходит обогащение, а затем
сбрасывается в отвал.
Во время сполоска концентрат со
шлюзов по концентратопроводу поступает на сократительную установку,
расположенную на эстакаде под шлюзами.
Шлюза глубокого наполнения и
проходная колода армируются резиновыми ячеистыми ковриками, цельнотянутыми
металлическими сетками и чугунными трафаретами. Шлюза мелкого наполнения
армируются резиновыми ячеистыми ковриками и цельнотянутыми металлическими
сетками.
Шлюза изготавливаются из
листовой стали и монтируются на пространственном каркасе, нижним основанием
которого являются полозья из труб. На основании располагается помещение
размером 5x3 м, в котором находится сократительная установка.
Исходя из петрографического состава рыхлых
отложений, определяется удельный расход воды на размыв 1 м3 породы.
7.2 Расчет удельного расхода воды на промывку
1 м3 горной массы
Таблица 7.1 - Расчет удельного расхода воды на
промывку 1 м3 горной массы
|
Средняя
мощность отложений, м
|
Категория
пород
|
Коэффициент
разрыхления
|
Расход
воды на промывку 1м3породы, м3
|
|
2,3
6,4
|
III IV
|
1,25-1,35
1,25-1,35
|
14,7
18,7
|
|
8,7
|
|
|
|
qуд.
= ∑(hi
* qi) / ∑(hi)
(7.1)
где qi - расход воды на размыв 1 м3
пород данной категории, м3/м3- мощность пород данной
категории, муд. =(2,3* 14,7 +6,4*18,7) /8,7 = 17,6 м3/м3
Принимаем определенный “Рабочим проектом…”
удельный расход воды 17,2 м3/м3.
.3 Извлечение золота
В соответствии с планом мероприятий по повышению
уровня извлечения драгметаллов в 2014г. проводилось контрольное опробование
технологической цепи обогащения.
В соответствии с результатами контрольного
технологического опробования и исходя из полученного при этом
гранулометрического состава золота коэффициент извлечения на 2013 г.
принимается 85%.
Норматив потерь составит 15%.
7.4 Схема цепи аппаратов
Для извлечения золота из промываемых песков
предусматривается использование обогатительного комплекса, состоящего из
обогатительной и доводочной установок. Дезинтеграция песков и их частичная
классификация происходят в забое под действием струи гидpомонитоpа. Размытые
пески в виде пульпы самотеком поступают на грохот гидpовашгеpда, имеющий
отверстия Æ30 мм. Фракция +30 мм струей
гидpомонитора удаляется в отвал. Фракция -30 мм поступает в зумпф, откуда
землесосом ЗГМ-2М по пульповоду Æ426 мм подается на
обогатительную установку, где происходит обогащение песков сначала на шлюзах
глубокого наполнения. Хвосты шлюзов глубокого наполнения поступают на
стационарный пеpфоpиpованный грохот с отверстиями Æ7
мм, где происходит их классификация. Фракция +7 мм поступает на проходную
колоду, где происходит обогащение. Хвосты проходной колоды сбрасываются в
отвал. Фракция -7 мм поступает нашлюза мелкого наполнения, где проходит
обогащение. Хвосты шлюзов мелкого наполнения сбpасываются в отвал.
В соответствии с рекомендациями
"Практического руководства..." (п.2.3) оптимальная нагрузка по пескам
на 1 м ширины шлюзов глубокого наполнения не должна превышать 50 м3/час.
При существующей ширине шлюзов 2.4 м оптимально-допустимая производительность
по твердому составит 120 м3/час. Исходя из этого расчет
водно-шламовой схемы будет вестись по производительности землесоса по пульпе
1900 м3/час и производительности по пескам 100 м3/час.
7.6 Расчет шлюзов глубокого наполнения
Ширина шлюзов:
B = Q
/ ( V * h
), м3 (7.2)
где, Q - расход пульпы на шлюзах, м3/сек.;=
0,53 м3/сек. (производительность ЗГМ - 2М.);- скорость потока
пульпы, м/сек.;= 1,8 м/сек.;- высота потока пульпы, мм
h = a
* Dmax, мм (7.3)
где, a - коэффициент, зависящий от размеров
частиц породы (a = 1,5);- максимальный размер частиц породы транспортируемых по
шлюзу, мм.(Dmax = 30 мм.).
h = 1,5 * 30 = 45
мм= 0,53 / ( 1,8 * 45 ) = 6,5 м
Принимаем h=105
мм
Расчет ширины шлюзов
В=0,53/(1,8*105)=2,8 м
Принимаем размеры шлюзов: количество 3 шт.;
ширина 0,8 м*3=2,4 м;
длина 9,0 м;
площадь 21,6 м2.
Фактическая высота потока пульпы из принятой
ширины 2,4 м будет:
h=0,53/(1,8*2,4)=122,7
мм
Уклон шлюзов:
i = V2
/C2
* R ), д. ед. (7.4)
где, C - коэффициент Шези (C = 20);-
гидравлический радиус потока, м..
R = w
/ P, м. (7.5)
где, w - живое сечение потока, м2;-
смоченный периметр, м.
w = B
* h, м2 (7.6)
w = 2,4 * 0,1227 = 0,294 м2=
( 2 * h ) + B, м=
( 2 * 0,1227 ) + 2,4 = 2,65 м=
0,294 / 2,65 = 0,11 м=
1,82 /202 * 0,11 = 0,074 д.
ед.
Удельная нагрузка по пескам на метр ширины
шлюзов составляет 42,1 м3./м.*час. Расход воды на шлюзах составляет 1799 м3. /
час. Расход воды на метр ширины шлюзов составляет 749,58 м3. / час.
Расчет емкости постели шлюзов глубокого
наполнения
Высота постели:
hп. = 2 * Dmax,
мм (7.7)
hп. = 2 * 30 = 60 мм
Площадь постели: Sп.
= 21,6 м2
Емкость постели равна 22 % от ее объема.
Еп. = hп. * Sп. * 0,22, м3 (7.8)
Еп. = 0,060 * 21,6 * 0,22 = 0,29 м3
На постели остаются неподвижными частицы металла
крупностью 1мм и частицы породы крупность 1,25см. С учетом вертикальной
составляющей скорости потока пульпы V = 10,8см./сек. (6 % от V),частицы металла
крупностью 0,01см. и частицы породы крупностью 0,1cм. будут находиться во
взвешенном состоянии.
.7 Расчет стационарного перфорированного грохота
Предназначен для классификации песков. Пески
крупностью - 7 мм через грохот попадают на шлюза мелкого наполнения, а пески
крупностью + 7 мм. уходят по проходному шлюзу в отвал.
Размеры грохота: ширина 2,4 м
длина 4 м
диаметр отверстий 7 мм.
Часовая производительность грохота:
Qг. = (( 100 - e
) / 7,5 ) * 1,67 * d
*
0,95 * Bг.*Lг. * j, м3/
час (7.9)
где,
e - точность отсева, %;- диаметр отверстий грохота, мм. (d = 7 мм.);г. - ширина
грохота, м.(Bг. = 2,4 м.;г. - длина грохота, м.; (Lг. = 4 м.);- насыпной вес,
т./ м3
j = 2,6 т./ м3
e = 100 * ( 100 / lо ) *
(( lо - l
) / ( 100 - l )), %. (7.10)
где,
lо - содержание классов меньше диаметра отверстий грохота в исходных песках, %
(lо = 94,7 %);- то же в подрешетном продукте, %; (l = 25 %).
e = 100 * ( 100 / 93,0 ) * (( 93,0 -
25 ) / ( 100 - 25 )) = 97,49 %
Qг. = (( 100 - 97,49 ) / 7,5 ) * 1,67
* 12 * 0,95 * 2,6 * 3 * 2,6 = 92,77 м3 / час.
На
шлюза мелкого наполнения попадает 92,77м3/час. песков крупностью - 7
мм. и 1455,3 м3. / час. воды.
.8
Расчет шлюзов мелкого наполнения
Ширина
шлюзов:
'
= Q' / ( V' * h' ), м (7.11)
где,
Q' - количество пульпы, проходящей по шлюзам, м3 / час.;' = 74,3 +
1337 = 1411,3 м3/ час. = 0,39 м3/ сек.;' - cкорость
потока пульпы, м. / сек.; (V' = 1,7 м. / сек.;)' - высота потока пульпы, м.
h' = a * Dmax, м (7.12)
где,
а - коэффициент, зависящий от размеров частиц породы (a = 3);- максимальный
размер частиц породы транспортируемых по шлюзу, мм.; (Dmax = 7 мм).
h' = 3 * 7 = 21 мм' = 0,39 / ( 1,7 *
0,021 ) = 10,9 м
Принимаем
размеры шлюзов: количество 6 шт.;
ширина
0,8*6=4,8 м.;
длина
8,5 м.;
площадь
40,8 м2.
Фактическая
высота потока будет:
h=0,39/(1,7*4,8)=47,8 мм
Уклон
шлюзов:
i =V'2/C2 * R, д. ед.
(7.13)
где,
С - коэффициент Шези (C = 24);- гидравлический радиус потока, м..
R = w / P, м. (7.14)
где,
w - живое сечение потока пульпы, м2.;- смоченный периметр, м..
w = B' * h', м2 (7.15)
P = ( 2 * h' ) + B', м (7.16)
w = 4,8 * 0,0478 = 0,23 м2
P = ( 2 * 0,0478 ) + 4,8 = 4,9 м
R = 0,23 / 4,9 = 0,047 м
i =1,72 / 242 *
0,047 = 0,11 д. ед.
Удельная
нагрузка по пескам на метр ширины шлюзов составляет 15,5 м3 / час.
Расход воды на метр ширины шлюзов составляет 278,5 м3./час.
Расчет
емкости постели шлюзов мелкого наполнения
Высота
постели:
'п.
= 2 * Dmax, мм (7.17)
h'п.
= 2 * 7 = 14 мм
Площадь
постели:'п. = 40,8 м2
Емкость
постели составляет 22 % от ее обьема.
Е'п.
= h'п. * S'п. * 0,22, м3 (7.18)
'п.
= 0,014 * 40,8 * 0,22 = 0,126 м3
На
постели остаются неподвижными частицы металла крупностью 0,1 мм и частицы
породы крупностью 1,5 мм. C учетом вертикальной составляющей скорости потока
пульпы v' = 10,2 см. / cек.(6 % от V'), частицы металла крупностью 0,01 мм и
частицы породы крупностью 0,15 мм будут находиться во взвешенном состоянии.
.9
Расчет контрольного грохота
Предназначен
для классификации песков. Пески крупностью - 7 мм.через грохот попадают на
шлюза мелкого наполнения, а пески крупностью + 7 мм уходят в отвал.
Размеры
грохота: ширина 0,8 м
длина
3,2 м
диаметр
отверстий 7 мм.
Часовая
производительность грохота:
г.
= (( 100 - e ) / 7,5 ) * 1,67 * d * 0,95 * Bг.*Lг. * j, м3/ час (7.19)
где,
e - точность отсева, %;- диаметр отверстий грохота, мм. (d = 7 мм);г. - ширина
грохота, м. (Bг. = 0,8 м);г. - длина грохота, м. (Lг. = 3,2 м.);- насыпной вес,
т./ м3 (j = 2,6 т./ м3).=25,7*97,49/ 100 = 25,1 %г. = (( 25,7 - 25,1
) / 7,5 ) * 1,67 * 7 * 0,95 * 0,8 * 3,2 * 2,6 = 5,9 м3 / час.
На
шлюза мелкого наполнения попадает 5,9 м3 /час.песков крупностью - 7 мм. и 463,0
м3 / час. воды.
.10
Расчет контрольных шлюзов мелкого наполнения
Ширина
шлюзов:
'
= Q' / ( V' * h' ), м (7.20)
где,
Q' - количество пульпы, проходящей по шлюзам, м3 / час.;' = 5,9 + 463 = 468,9
м3/ час. = 0,13 м3/ сек.;' - cкорость потока пульпы, м. / сек. (V' = 1,7 м. /
сек.);' - высота потока пульпы, м.
'
= a * Dmax, м (7.21)
где,
а - коэффициент, зависящий от размеров частиц породы (a = 3);- максимальный
размер частиц породы транспортируемых по шлюзу, мм. (Dmax = 7 мм).' = 3 * 7 =
21 мм' = 0,13 / ( 1,7 * 0,021 ) = 3,6 м
Принимаем
размеры шлюзов: количество 3 шт.;
ширина
0,8*3=2,4 м.;
длина
10,0 м.;
площадь
24,0 м2.
Фактическая
высота потока будет:=0,13/(1,7*2,4)=0,03 м
Уклон
шлюзов:
=
V'2 / C2 * R, д. ед. (7.22)
где,
С - коэффициент Шези (C = 24);- гидравлический радиус потока, м..
=
w / P, м. (7.23)
где,
w - живое сечение потока пульпы, м2.;- смоченный периметр, м.
=
B' * h', м2 (7.24)
P = ( 2 * h' ) + B', м
=
2,4 * 0,03 = 0,072 м2
P = ( 2 * 0,072 ) + 2,4 = 2,5 м
R = 0,072/2,5 = 0,029 м
i =1,72 / 242 * 0,029 = 0,17 д. ед.
Удельная
нагрузка по пескам на метр ширины шлюзов составляет 2,5 м3 / час. Расход воды
на метр ширины шлюзов составляет 192,9 м3. / час.
Расчет
емкости постели шлюзов мелкого наполнения
Высота
постели:
'п.
= 2 * Dmax, мм (7.25)
'п.
= 2 * 7 = 14 мм
Площадь
постели: S'п. = 24,0 м2. Емкость постели составляет 22 % от ее
объема.
Е'п.
= h'п. * S'п. * 0,22, м3 (7.26)
'п.
= 0,014 * 24,0 * 0,22 = 0,074 м3
На
постели остаются неподвижными частицы металла крупностью 0,1 мм и частицы
породы крупностью 1,5 мм. C учетом вертикальной составляющей скорости потока
пульпы v' = 10,2 см. / cек.(6 % от V'), частицы металла крупностью 0,01 мм.и
частицы породы крупностью 0,15 мм. будут находиться во взвешенном состоянии.
.11
Армирование шлюзов
Шлюза
глубокого наполнения армируются резиновыми ковриками, цельнотянутыми
металлическими сетками и чугунными трафаретами.
Шлюза
мелкого наполнения армируются резиновыми ковриками и цельнотянутыми
металлическими сетками.
Проходной
шлюз армируется так же, как шлюза глубокого наполнения.
Сократительный
шлюз ("американка") армируется резиновыми ковриками и цельнотянутыми
металлическими сетками.
.12
Организация сполоска и доводка концентрата
Сполоск
шлюзов будет производиться по специальному графику. Предусматривается следующий
порядок сполоска и доводки концентрата:
Отдельным
стационарным насосом устанавливается расход воды в количестве 15-20 л/сек,
необходимом для нормальной работы по проведению сполоска.
Поднимают,
обмывают и удаляют со шлюзов трафареты. Оставшийся на металлических сетках
материал крупностью -70 +20 мм струей воды с помощью пробуторки смывают на
грохот, расположенный в конце шлюзов глубокого наполнения.
Поднимают
металлические сетки перед доводочным порогом, открывают окно для спуска
концентрата на сократительный шлюз.
Начиная
снизу, прополаскивают и удаляют со шлюзов металлические сетки и коврики.
Концентрат равномерно смывается в окно на сократительный шлюз.
После
окончания сполоска всех секций шлюзов подача воды прекращается, спусковые окна
перекрываются, шлюза армируются.
Сокращение
золотоносного концентрата производится на сократительном шлюзе
("американке"). Весь сокращенный концентрат загружается в переносные
контейнеры и доставляется на ШОУ артели.
Доводку
золотоносного концентрата производят на ШОУ артели, которая оснащается
необходимым оборудованием и материалами: виброгрохот, концентрационный стол,
вытяжной шкаф, лотки, магниты, ступа, набор необходимой посуды и др.
После
обработки металлоносных концентратов на концентрационном столе, обработки
магнитом, доводки в лотке или ковше, металл тщательно промывается чистой
проточной водой, сушится, отдувается от остатков посторонних примесей, плавится
в слитки и сдается в ЗПК артели.
Накапливающиеся
после доводки концентратов шлихи собираются в спецотвал и передаются на
медеплавильные предприятия для металлургической переработки.
.13
Организация контроля за работой обогатительных шлюзов и опробование продуктов
обогащения
На
участке составляется технологическая карта, регламентирующая работу
обогатительной установки, которая утверждается главным инженером артели.
Контроль
выполнения карты осуществляется путем сопоставления режима работы,
утвержденного картой, и фактического, а также путем отбора и обработки
оперативных эфельных проб.
Отбор
проб производится круглосуточно путем отсечения части потока пульпы
сократителем, вмонтированным в днище одного из шлюзов мелкого наполнения.
Отсеченная проба по отдельному открытому желобу постоянно поступает на
специальный шлюз, расположенный в доводочном отделении под эстакадой шлюзов и
предназначенный для опробования. Желоб, вмонтированный в шлюз, перекрыт
грохотом с отверстиями Æ4 мм.
Полученные
данные по опробованию заносятся в специальный журнал с последующим анализом
результатов. Объем промывки песков принимается по данным маркшейдерского
замера.
Для
проведения оперативного опробования проектом предусматривается введение в штат
участка пробщика-обогатителя.
.14
Организационно-технические меpопpиятия по обеспечению сохранности золота
Предусмотренные
проектом мероприятия по обеспечению режима охраны и сохpанности металла
выполнены в соответствии с "Инструкцией по обеспечению сохpанности золота
на гоpно-добывающих пpедпpиятиях МЦМ" № 80 1977 г.
Технологическая
схема обогащения песков на шлюзовой обогатительной установке пpедусматpивает
получение гравитационных концентратов, которые, после сокращения, в пеpеносных
контейнерах в опломбированном виде доставляются на ШОУ артели для дальнейшей
обработки и извлечения золота с применением специальных методов обогащения. ШОУ
располагается на производственной базе артели.
Сполоск
шлюзов и доводка концентрата выполняются специальной бригадой
сполосчиков-доводчиков без привлечения к этой работе персонала технологических
бригад.
Шлюза
глубокого и мелкого наполнения имеют сетчатое ограждение по пеpиметpу.
Хвостовой проем шлюзов имеет техническое средство охраны
"еж-веpтушка", пpедотвpащающее проникновение внутрь сетчатого
ограждения шлюзов во время остановок обогатительной установки. Шлюза глубокого
наполнения имеют сплошное ограждение, закpываемое на замок и пломбируемое двумя
пломбами. Вход внутрь сетчатого ограждения шлюзов, также закрываемый на замок и
пломбируемый двумя пломбами, имеет звуковую и световую охpанную сигнализацию.
На
период между сполосками охрана теppитоpии шлюзовой обогатительной установки
возлагается на специальных охранников.
При
необходимости, по окончании сполоска и доводки концентрата, в помещении
доводочной производится личный досмотр работников, связанных с
пеpеpаботкойзолотосодеpжащей продукции.
.15
Удаление хвостов промывки
В
работе находятся 2 эстакады обогатительных шлюзов. Проектом предусматривается 4
позиции установки эстакад.
- Объем промывки - 750,0 т. м3
- Высота слива средняя - 6,0 м
- Уклон поверхности - 1°
- Объем фракции +1 мм - 11,1 %
Объем первоначального конуса определяется по
формуле: [5,стp.185]
Vo = H3c
∙
(0,5*∙ p*∙ ctgf1
+ ctgf3)*
ctgf2
/ 3 (7.27)
V+1 = 750,0 / 4 *∙11,1 / 100 =
20,8 т. м3
где: Нс - высота слива ( Нс
= 6,0 м);1, f2, f3 - углы откосов отвала
хвостов;
Vo = 6,03*∙
(0,5*∙ 3*14*∙ 7,115 + 1,483) ∙ 4,331 / 3 = 3,9 т.м3
Vраз= (20,8 -
3,9)*4 =67,6 т.м3
Разваловка производится бульдозером.
Грунт III категории.
Расстояние транспортировки - до 70 м.
8. Водопользование
Цель водопользования:
- технологические нужды (вода используется при
гидpомонитоpном pазмыве золотосодеpжащих песков и тpанспоpтиpовании пульпы на
обогатительные установки по оборотной схеме водоснабжения);
вспомогательные нужды;
хозбытовые нужды обслуживающего персонала.
Нормативное количество воды на производственные
нужды определяется согласно технологических норм водопотребления и
водоотведения на единицу продукции золотодо бывающей промышленности,
pазpаботанных институтами "Иpгиpедмет" и ВНИИ-1, котоpые составляют:
операционная технологическая норма
водопотребления на размыв песков и тpанспоpтиpование пульпы на обогатительную
установку - 17,2м3/м3
- норма технологических потерь воды - 0,111 м3/м3
норма потребления воды на вспомогательные нужды
0,0004 м3/м3
норма расхода воды на хозяйственно-бытовыенужды
0,0056 м3/м3
Итого: 17,317 м3/м3
.1 Расчет расхода воды на технологические нужды
При годовой производительности гидравлики 750
тыс. м3 нормативное водопотpебление составит:
годовое: 17,311 * 750 = 12983,25 т. м3/год
где: 17,311 - норма расхода воды на размыв и
тpанспоpтиpование 1м3 песков с учетом технологических потерь;
суточное:
,25 / 239 =54,3 т.м3/сутки
где: 239 - количество дней чистой pаботы участка
в сезоне
свежей воды, закачиваемой в хвостохранилище для
возмещения технологических потерь:
годовое:
0,111 ∙ 750 = 83,25 т. м3/год
где: 0,111 - норма потерь воды на 1 м3
помывки горной массы
суточное:
83,25 / 239 = 0,35 т. м3/сутки
- оборотной воды:
годовое:
,2 ∙ 750 = 12900,0 т. м3/год
суточное:
,0 / 239 = 54,0 т. м3/сутки
Для обеспечения осветления технологической воды
необходимо иметь ее пятисуточный запас, который, с учетом технологических
потерь, составит:54,0 * 5 + 83,25 = 353,3 т. м3
.2 Расчет расхода воды на вспомогательные нужды
Расход воды на вспомогательные нужды обусловлен
потребностью в воде на запpавку системы охлаждения автомобильно-тpактоpного паpка.Водопотpебление
на вспомогательные нужды составит:
годовое:
.0004 ∙ 750000 = 300 м3/год
суточное:
/ 239 = 1.26 м3/сутки
8.3 Расчет расхода воды на хозяйственно-бытовые
нужды
Расход воды на хозяйственно-бытовые нужды
обусловлен потребностью в воде на санитарные, бытовые, хозяйственные и питьевые
нужды.
Водопотpебление на хозяйственно-бытовые нужды
составит:
годовое:
.0056 ∙ 750000 = 4200 м3/год
суточное:
.0 / 239 = 17,6 м3/сутки
Хозяйственно-бытовые нужды участка и запpавку
системы охлаждения автотpактоpного паpка пpедусматpивается обеспечивать за счет
привозной воды из водопровода г. Невьянска по договору с «УралТехно».
Хозбытовые сточные воды собираются в выгребную
яму для последующего хлорирования и вывоза спецмашиной на очистные сооружения
г. Невьянска.
Нормы расхода воды на хозяйственно-бытовые нужды
составлены из расчета штата участка 80 человек.
9. Охрана окружающей среды
.1 Охрана атмосферного воздуха
от загрязнения
Принятый проектом
гидравлический способ отработки месторождения с использованием вахтового метода
предусматривает минимальное количество автотракторной техники, которая
заметного влияния на состояние атмосферы в районе работ не окажет. Для
уменьшения выброса в атмосферу вредных примесей с выхлопными газами, проектом
предусматривается регулирование топливной аппаратуры машин и механизмов при
прохождении технического обслуживания на специальных диагностических стендах
типа КН-921. Контроль за выбросом вредных веществ в атмосферу в выхлопными
газами автотракторной техники будет осуществляться с помощью газоанализатора
«Инфралит 1100» и дымомета «Ина 109».
Другие источники загрязнения
атмосферного воздуха при отработке месторождения отсутствуют.
Выбросы загрязняющих веществ в
атмосферу, производимые автотракторной и сварочной техникой, которая
используется при отработке месторождения, учтены в «Проекте нормативов
предельно допустимых выбросов загрязняющих веществ в атмосферу объектами артели
старателей «Нейва», разработанном ПКО артели и утвержденном Нижнетагильским
МРКОП. Имеется «Разрешение на выброс загрязняющих веществ в атмосферу»,
выданное Нижнетагильским МРКОП.
В связи с тем, что гидравлика
работает уже 6 лет, фоновые концентрации загрязняющих веществ в атмосфере не
могут быть отделены от выбросов в атмосферу загрязняющих веществ источниками
гидравлики. Настоящим проектом увеличение количества выбросов и изменение
состава загрязняющих веществ в выбросах не предусматривается.
9.2 Перечень загрязняющих
веществ, выбрасываемых в атмосферу
Таблица 9.1 - Перечень
загрязняющих веществ, выбрасываемых в атмосферу
|
Код
|
Наименование
вещества
|
ПДК
м.р. (ПДК с.с. ОБУВ) мг/мЗ
|
Класс
опасности
|
Суммарный
выброс т/год
|
|
Г0337~
|
Углерода
оксид
|
5,00
|
4
|
0,534
|
|
ПозоГ
|
Азота
диоксид
|
0,085
|
2
|
0,149
1
|
|
0330
|
Ангидрид
сернистый
|
0,50
|
|
0,014
|
|
0328
|
Сажа
|
Г0Д5"
|
h^-
|
0,027
|
|
|040Г
|
Углеводороды
|
1,0
|
-
|
-,091
|
|
0123
|
Железа
оксид
|
0,04
(ПДК ее)
|
3
|
0,125
|
|
0143
|
Марганца
оксид
|
0,01
|
2
|
0,008
|
|
0342
|
Водород
фтористый
|
0,02
|
2
|
0,015
|
|
2704
|
Бензин
|
5,0
|
4
|
|
|
2735
|
Масло
минеральное
|
0,05
(обув)
|
-
|
0,001
|
|
2909
|
Пыль
неорганическая
|
0,5
|
з
|
1,920
|
9.3 Охрана поверхностных и
подземных вод от загрязнения истощения
Гидрологическая и
гидрогеологическая характеристики района месторождения.
Речная система в районе
месторождения представлена рекой Шуралкой, левым притоком реки Нейвы. Река
Шуралка образуется при слиянии двух рек: Южной Шуралки и Северной Шуралки.
Максимальные паводковые расходы рек 1%-ной обеспеченности определены
гидрологическим расчетом в подразделе «Гидротехнические сооружения» настоящего
проекта и составляют: реки Северная Шуралка - 5,6 м/с; реки Южная Шуралка - 4,7
м/с; реки Шуралка - 11,2 м/с.
В гидрогеологическом отношении
район находится в пределах Большеуральского сложного бассейна корово-блоковых
(пластовоблоковых, пластовых) безнапорных и напорных вод, в зоне развития
вулканогенных и карбанатных пород. Сверху коренные породы перекрыты
глинисто-песчаными отложениями мощностью от 2 до 14 метров. Подземные воды
приурочены к зоне трещиноватости и закарстованности коренных пород, развитой до
глубины 60-100 м. Уровень грунтовых вод в естественных условиях повторяет
рельеф и находится на глубине от долей метра в долинах рек до 15-20 метров на
водоразделах. На рассматриваемом участке ожидаемый уровень грунтовых вод -
первые метры. Водообильность карбонатных пород изменяется в широких пределах:
от долей дмЗ/с до 7-30 дм З/с в зависимости от их закарстованности и
трещиноватости. Водообильность вулканогенных пород в целом невелика, дебиты
скважин обычно не превышают 0,5 - 1,0 дм/с, увеличиваясь в локальных водоносных
зонах, приуроченных к литологическим контактам и тектоническим нарушениям, до
3-5 дмЗ/с. По химическому составу воды гидрокарбонатные магниево-кальцеевые с
минерализацией 0,2 - 0,4 г/дм. В 2-2,7 км северо-восточнее отработки
Шуралинско-Ключевского месторождения находится водозабор Невьянского цементного
завода. В ЗСО III пояса этого
водозабора рассматриваемый участок не попадает. Гидрогеологическое заключение №
741 М, выданное центром «Уралгидромониторинг», признает возможной разработку
россыпи при условии исключения поступления воды, загрязненной взвешенными
веществами, в заводской пруд на р. Северная Шуралка, затопленные дражные
выработки и соединяющие их протоки до северной границы горного отвода. Участок
отработки расположен ниже по течению участка реки, для которого предусмотрены
ограничения. Ближайшие одиночные скважины, зарегистрированные «Кадастром
подземных вод Урала», расположены в с. Шурала и г.Кировграде. Рассматриваемый
участок находится за пределами области питания этих скважин.
Для устранения возможности
вредного воздействия загрязненной технологической воды, содержащей большое
количество взвешенных минеральных частиц, на окружающую природную среду,
проектом предусматривается:
организация замкнутого цикла
оборотного водоснабжения технологической водой;
отведение русловых, паводковых
и ливневых вод за пределы горных работ.
.4 Охрана окружающей природной
среды в процессе обогащения золотосодержащих песков
Золотосодержащие пески в виде
пульпы (смесь твердого и жидкого в соотношении 1:17) транспортируется из забоя
землесосом ЗГМ-2М по пульповоду на обогатительный прибор шлюзового типа.
Обогатительный прибор представляет собой несколько колод прямоточного типа, дно
которых армируется чугунными и цельнотянутыми стальными трафаретами и
резиновыми ячеистыми ковриками. На шлюзах происходит гравитационное разделение
смеси по плотности и наклонно текущем потоке воды. Тяжелые минералы и золото
концентрируются на дне шлюзов в ячейках ковриков, а легкие сносятся потоком
воды в отвал.
На основании приказа
Главалмаззолото от 28 декабря 1988г. применение ртути в технологическом
процессе обогащения с 01.01.1989 года прекращено. Таким образом, вредные
компоненты в процессе обогащения не применяются.
.5 Мероприятия по
предотвращению загрязнения площади водосбора объектами вспомогательного производства
Объектами вспомогательного
производства - потенциальными источниками загрязнения окружающей природной
среды - на гидравлике являются склад ГСМ и ремонтная площадка, на которых
производятся работы с горюче-смазочными материалами.
Для предотвращения загрязнения
окружающей природной среды горюче-смазочными материалами проектом
предусматривается:
1 Сбор отработанного
масла с последующей его сдачей на Невьянскую нефтебазу.
2 Применение
маслоулавливающих поддонов, оборудование наливных шлангов специальными
наконечниками.
Сбор промасленной
ветоши с последующим её сжиганием.
Ремонтная площадка и
склад ГСМ покрываются железобетонными дорожными плитами, по периметру
окапываются канавой глубиной 0,5 м с устройством маслосборника.
.6 Контроль водопотребления
Контроль количества
закачиваемой воды выполняется косвенным методом по производительности насосов.
При этом персоналом, обслуживающим насосную станцию, учитывается время работы
насосов с записью в специальном журнале.
.7 Отходы производства
В процессе гидравлической
разработки россыпного месторождения золота образуются следующие виды отходов:
1 Нефтеотходы
(отработанные масла) - класс токсичности 2; общее количество 1,5 т/год.
Образуются при замене масла в двигателях внутреннего сгорания автотракторной
техники. Собираются в специальную емкость, установленную на складе ГСМ, и по
мере накопления вывозятся на Невьянскую нефтебазу для регенерации по
приемо-сдаточным актам.
2 Лом черных металлов -
класс токсичности - нетоксичные; общее количество - 80 т/год. Образуется при
ремонте технологического оборудования, замене изношенных трубопроводов.
Собирается на специальную площадку и по мере накопления вывозится на Невьянское
предприятие АОЗТ «Втормет» по приемо-сдаточным актам.
Бытовые отходы жидкие
от предприятия - класс токсичности - не токсичные; общее количество - 4080 мЗ/год.
Образуются в результате пользования персоналом гидравлики баней и от мытья
продуктов и посуды столовой. Собираются в выгреб с последующим хлорированием и
вывозом на очистные сооружения города Невьянска (МП «Гидробазис»).
Отходы обогащения -
класс токсичности - не токсичные; общее количество - 1890000 т/год. Класс
токсичности определен в результате выполнения научно-исследовательской работы
«Экспериментальная гигиеническая оценка твердых отходов артели старателей
«Нейва». Определение класса токсичности, проведенной Медицинским научным
центром профилактики и ораны здоровья рабочих промпредприятий (г.Екатеринбург,
1996 г.). Образуются в процессе разработки горных пород и извлечения из них
золота. Испльзуются для закладки выработанного пространства. Отходы обогащения,
размещенные в хвостохранилищах на специальных площадках (хвостохранилище №12),
ликвидируются путем проведения рекультивации.
Исходное сырье промывки
(глинистые, галечные и щебнисхые отложения) не содержит химически активных
веществ. В процессе переработки исходного сырья (размыв и обогащение) химически
активные вещества не применяются. В связи с этим вредные отходы производства
отсутствуют, и вопрос об их захоронении в настоящем проекте не рассматривается.
.8 Мероприятия по охране недр и
рациональному использованию природных ресурсов
Балансовые запасы россыпи
включаются в отработку полностью за исключением предусмотренных проектом
эксплуатационных потерь и запасов в постоянных целиках.
С целью предотвращения потерь
металла в плотике, проектом предусматривается задирка плотика мощностью 0,3 м.
Для уменьшения просадки металла в плотик при размыве, проектом
предусматривается оставление на плотике недомыва из песков мощностью 0,3 м,
который подается на прмомывку бульдозерами одновременно с задиркой плотика.
.9 Охрана почв
Имеющийся на месторождении
почвенно-плодородный слой снимается бульдозерами и складируется во
временныеотвады на специальных площадках. Часть ППС может быть использована для
строительства ограждающих дамб хвостохранилищ (со стороны сухого откоса).
Ориентировочный объем снимаемого ППС составит 150 тыс. мЗ. При проведении работ
по рекультивации отработанного участка месторождения (через 2-3 года после
отработки) ППС используется для нанесения на поверхность рекультивируемого
участка.
.10 Рекультивация нарушенных
земель
Характеристика земель до начала
отработки
Площадь испрашиваемого
земельного отвода (включая отработанные площади, используемые для складирования
хвостов промывки) составляет 775,3 га. Участок располагается на землях
Невьянского и Кировградского районов Свердловской области и включает следующие
угодья:
Таблица 9.2 - Характеристика
участка до начала обработки
|
Пашня
|
5,3
га
|
|
Сенокосы
|
21,5
га
|
|
Лес
|
386,2
га
|
|
Пастбища
|
61,6
га
|
|
Водоемы
|
116,4
га
|
|
Болота
|
46,0
га
|
|
Кустарник
|
32,8
га
|
|
Прочие
|
105,5
га
|
775,3
га
|
Участок представляет собой
долины рек Северная Шуралка, Южная Шуралка и Шуралка. Территория участка сильно
поражена старательскими работами прошлых лет, местами покрыта кустарником и
лесом, значительно заболочена.
.11 Характеристика земель после
отработки
Производство добычных работ при
разработке данного рассыпного месторождения гидравлическим способом заключается
в следующем:
- с площади предварительно
вырубается лесорастительность, удаляются растительные остатки;
производится снятие
почвенно-плодородного слоя, который складируется во временные отвалы по бортам
россыпи;
- на отдельных площадках
строятся дамбы хвостохранилищ, водозаводные каналы и т.д.;
- размытые гидромониторами
пески в виде пульпы подаются землесосом на обогатительную установку, с которой
после извлечения золота сбрасываются в отвал.
Таким образом, после отработки
месторождения поверхность земельного участка будет представлять собой отвалы
почвенно-плодородного слоя, отстойники-хвостохранилища с осаженной в них
глинистой фракцией, гале-эфельные отвалы ядра хвостохранилищ, систему дамб и
каналов, выработанное пространство.
9.12 Выбор вида освоения
В соответствии с утвержденными
техническими условиями, исходя из хозяйственной ценности данного участка, его
расположения, современного состояния, характера нарушений и практики
рекультивации площадей отработанных россыпных месторождений, предусматривается
лесохо-зяйственное направление рекультивации земель: под лесоугодья, сенокосы,
проточные водоемы.
Довольно ровная поверхность
хвостохранилищ, наличие глинистой фракции на поверхности отвалов способствуют
самозарастанию отвалов лесорастительностью, травами и быстрому восстановлению
площадей.
Как показывает практика
рекультивации гидравлических полигонов, на участках, где сосредотачивается
крупная фракция хвостов промывки, целесообразно размещать лесонасаждения. Здесь
хорошо произрастают хвойные поды деревьев.
На площадях размещения иловой фракции
хвостов промывки после незначительного улучшения почвы хорошо растут травы.
Земли площадей, которые
образуются после разравнивания дамб и засыпки каналов и зумпфов, формируются из
верхних плодородных слоев почвы. На них могут размещаться лесонасаждения и
сельхозугодья.
При отработке месторождения
гидравлическим способом часть выработанного пространства остается незаполненной
хвостами промывки и из нее формируются проточные водоемы.
.13 Восстановление площадей
Технический этап рекультивации
Рекультивационные работы на
данном участке будут производиться отдельными частями по мере выбывания
площадей из процесса добычных работ. После окончания добычных работ и перекачки
воды из хвостохранилищ, через 2 года, за которые происходит осушение и
уплотнение отвалов, начинаются восстановительные работы, которые включают в
себя:
· планировку
гале-эфельных отвалов, дамб и прилегающей территории с таким расчетом, чтобы
углы откосов не превышали 7-8°;
· выполаживание
бортов разрезов до углов откосов не более 18°;
· обратную
засыпку каналов и зумпфов;
· нанесение
почвенно-плодородного слоя мощностью 0,2 м.
Планировочные работы
выполняются бульдозерами ДЗ-27. При проведении грубой планировки рельеф
формируется с учетом исключения местных бессточных понижений. На подтапливаемых
и обводненных участках, а также для обеспечения проточности водоемов
прокладываются канавы для спуска воды.
Чистовая планировка
производится бульдозерами в режиме плавающих отвалов и рельсовыми волокушами.
Засыпка каналов производится
бульдозерами ДЗ-27 с использованием грунтов кавальеров, расположенных вдоль
каналов.
Нанесение почвенно-плодородного
слоя производится на площади хвостохранилищ и прилегающую к ним нарушенную
территорию после их планировки. Для подвоза ППС из временных отвалов
используются автосамосвалы КрАЗ-256. На погрузке используется экскаватор ТЭ-ЗМ.
После проведения технической
рекультивации восстановленные площади будут использоваться под следующие
угодья:
Таблица 9.3 - Характеристика
используемой площади после рекультивации
|
лесопосадки
|
247,6
га
|
|
пашни
|
5,3
га
|
|
сенокосы
|
392,6
га
|
|
водоемы
|
102,8га
|
|
ИТОГО
|
775,3
га
|
9.14 Биологический этап
рекультивации
На биологическом этапе
рекультивации в сельхозугодья производится формирование пахотного слоя,
обогащение его подвижными формами питательных веществ и восстановление
биологической активности грунтов рекультивационного слоя. Для этого вносятся
удобрения и высеваются многолетние травы. Для создания травостоя будет
высеваться трехкомпонентная смесь из клевера розового, овсяницы луговой и
костра безостого.
Посадка леса будет
производиться лесопосадочной машиной. В качестве посадочного материала будут
использоваться двухлетние сеянцы сосны, ели, березы. Междурядья лесопосадок
будут засеваться многолетним люпином для защиты их от эрозии и улучшения
почвенно-грунтовых условий.
Все мероприятия биологического
этапа рекультивации предусмотрены в соответствии с рекомендациями
«Уралгипрозема».
9.15 Охрана растительного и
животного мира
Общая площадь земельного отвода
составляет 775,3 га. В том числе покрыто лесом 386,2 га, покрыто кустарником
32,8 га. Растительный покров на площади месторождения образовался в результате
самозарастания техногенного рельефа, образовавшегося после разработки
месторождения в 30-40-х годах XX
столетия. Древесная растительность представлена березой (50%), осиной (20%),
ольхой (30%). Средний возраст деревьев 45 лет. Бонитет III.
Леса относятся к I, II
группе. Кустарник представлен в основном ивой. Особо охраняемых видов растений
в районе месторождения не выявлено.
В соответствии с заключением
Свердловского управления лесами №2-02/26 от 07.02.97 г. вырубаемая древесина
будет реализована по согласованию с администрацией города Невьянска (в основном
для снабжения местного населения дровами).
В результате разработки
месторождения растительный покров практически на всей площади земельного отвода
будет уничтожен. При проведении биологической рекультивации на пригодных для
этого площадях будут посажены хвойные породы деревьев. Междурядья лесопосадок
будут засеваться травами. Выполнение этих мероприятий позволит в короткий срок
включить процесс восстановления растительного покрова на площади месторождения.
При этом будет улучшаться видовой состав флоры.
9.16 Животный мир в районе
месторождения
Животный мир в районе
месторождения представлен следующими видами:
1 Наземные животные.
В связи с близостью к району
месторождения промплощадки Невьянского цементного завода и жилой застройки села
Шурала, крупные животные на площади месторождения не обитают. Мелкие животные
представлены грызунами.
2 Птицы.
По той же причине, что и
наземные животные, крупные птицы в районе месторождения отсутствуют. Обитают
мелкие лесные птицы. Во время сезонных перелетов на водоемах останавливаются на
отдых водоплавающие птицы.
3 Рыбы.
В имеющихся на площади
месторождения водоемах обитают малоценные породы рыб: плотва, окунь, лещ, щука.
Воздействие разработки
месторождения на животный мир выразится в том, что наземные животные и птицы
мигрируют с отрабатываемой площади в леса на прилегающей территории, рыбы
мигрируют в прилегающие водоемы. После выполнения работ по рекультивации
отработанных площадей произойдет обратная миграция наземных животных и птиц и
их расселение на рекультивированной площади. Путем обратной миграции рыб
произойдет зарыбление вновь образованных водоемов. Для охраны рыбных запасов в
период разработки месторождения водозабор будет ограждаться рыбозащитной
металлической сеткой с ячеей 4x4 мм
10. Электроснабжение
прииска
Электроснабжение гидравлики
участка «Шуралинско-Ключевская» осуществляется путем строительства ВЛ-35 кВ
(отпайка от ПС 110/35 «Романовская»), общей протяженностью 3 км и ГПП-35/6.
От ГПП отходят три временные
воздушные ЛЭП, выполненные неизолированными алюминиевыми проводами марки «А».
Основными энергоемкими
потребителями электроэнергии на гидравлике являются высоковольтные
электродвигатели землесосных и насосных установок.
Электрооборудование:
·
землесос
типа ЗГМ-2М - 2шт;
·
насосая
установка типа Д1250-125- 3 шт;
·
установка
осветительная - ДКсТ-20 - 2 шт.
К воздушной линии (ВЛ)
передвижные высоковольтные машины подключаются от пусковых ячеек типа КРУН-6
посредством гибкого кабеля типа КГЭ. Элекгроприемники с напряжением питания 0,4
кВ подключаются через ПКТП-6/0,4 с помощью кабеля КГН.
Питающие кабели 6 и 0,4 кВ
прокладываются открыто, а в местах с пересечения с дорогами в трубах.
Электрооборудование
сгруппировано в соответствии с технологией проведения работ прииска.
Схема
электроснабженияосновногоэлектромеханического оборудования приведена на рисунке
10. 1.
10.1 Электроснабжение и освещение
Для расчета нагрузок, составляется
таблица-формуляр электрических нагрузок. В него вписываются все
электроприемники независимо от напряжения. Электроприемники при этом
группируются по отдельным воздушным ЛЭП.
Коэффициенты
и
принимаются
из таблицы 10.1 [1].
Произведем расчет для насосной
установки Д1250-125.
Коэффициент реактивной мощности:
.
Расчетная активная мощность (
), кВт:
.
Расчетная реактивная мощность (
), квар:
.
Расчетный максимум полной нагрузки
ГПП определится, кВА:
где
- коэффициент совмещения максимумов
активных нагрузок карьера (
);
- суммарные расчетные активная и
реактивная мощности в целом по прииску, кВт, квар (из формуляра электрических
нагрузок).
Годовой расход активной
электроэнергии кВт∙ч на шинах ГПП определяется из выражения:
где
- время использования активной
максимальной нагрузки в течение года, ч. принимаем
.
Годовой расход реактивной энергии определяется
из формулы, квар∙ч:
.
10.2 Расчет и выбор средств компенсации
реактивной мощности
Мощность компенсирующего устройства определяется
по формуле:
, (10.1)
где
- среднегодовая активная нагрузка
предприятия, кВт;
- средневзвешенный коэффициент
мощности за год;
- нормативный коэффициент мощности
.
.
Значение
меньше
нижней границы желаемого коэффициента мощности
, поэтому требуются средства
компенсации реактивной мощности.
Среднегодовая активная нагрузка
предприятия:
,
где ТР -
продолжительность работы предприятия в течение года, ч.
квар.
По таблице 4 [1] выбираем
конденсаторную установку УКЛ(П)56-6,3-900-У3.
Реактивная мощность с компенсирована
до желаемого результата.
Выбор количества и мощности
трансформаторов на ГПП.
Выбор мощности силовых
трансформаторов произведем с учетом их перегрузочной способности. Для повышения
надежности электроснабжения главные понизительные подстанции приисков
выполняются двухтрансформаторными. Применяется схема неявного резервирования
электроснабжения.
Расчетная мощность для выбора
трансформаторов ГПП определяется из выражения, кВА:
, (10.2)
где
- коэффициент резервирования,
учитывающий наличие потребителей 1-ой и 2-ой категорий,
;
- коэффициент, учитывающий
допустимую перегрузку трансформатора, принимается
;
- коэффициент мощности с учетом
компенсации реактивной нагрузки.
Для установки на ГПП выбираем из
таблицы 6.12 [2] два трансформатора одинаковой мощности с таким расчетом, чтобы
каждый из них по мощности был близок к расчетной нагрузке:
;
кВА;
2500> 1520
Выбираем силовой трансформатор со встроенным
регулятором напряжения под нагрузкой типа ТМН 2500/35
Таблица 10.1 - Номинальное напряжение и потери
мощности
|
Показатели
|
Значения
|
|
Номинальное
напряжение первичной обмотки , кВ35
|
|
|
Номинальное
напряжение вторичной обмотки , кВ6,3
|
|
|
Потери
мощности (холостой ход), кВт4,1
|
|
|
Потери
мощности (к.з.), кВт23,5
|
|
|
Ток
холостого хода, , %1
|
|
|
Напряжение
к.з. ,
%6,5
|
|
Коэффициент загрузки определяется по формуле:
, (10.3)
где
- номинальная мощность
трансформатора, кВА.
Реактивная мощность, потребляемая
трансформатором при холостом ходе, квар:
.
Реактивная мощность, потребляемая
трансформатором при номинальной нагрузке, квар:
.
Экономически выгодная загрузка:
Выбор передвижных трансформаторных
подстанций.
Произведем выбор ПСКТП для осветительных
установок ДКСТ.
кВА, (10.4)
где
- мощность лампы ДКсТ, кВт;
- к.п.д. осветительной сети
(0,95-0,97);
- к.п.д. светильника (0,8-0,9);
- коэффициент мощности светильника
(0,92-0,94).
Выбираем ближайшую большую по
мощности ПСКТП-63/6. [2]
10.3 Расчет и выбор воздушных и кабельных ЛЭП
Для питания электроприемников прииска
используются временные воздушные ЛЭП.
Провода временных воздушных ЛЭП выбираются по
длительно допустимому току нагрузки, путем сравнения расчетного тока со
значением последнего (длительно допустимого), указанного в таблице 6, [1].
Расчетный ток определяется по формуле, А:
, (10.5)
, (10.6)
где
,
- расчетные активная и реактивная
мощности электроприемников, подключенных к ЛЭП-1,2, кВт, квар, принимаются из
таблицы 2;
- номинальное напряжение сети, В
(6000).
Передвижные электроприемники
питаются через гибкие кабели, подключенные к приключательным пунктам или
передвижным трансформаторным подстанциям.
Расчет ЛЭП 1
Рассчитаем сечение кабеля, необходимого
для подключения землесоса ЗГМ-2М.
Выбор кабеля производится по
длительно допустимому току нагрузки.
Расчетный ток двигателя землесоса:
А.
Выбираем кабель КГЭ 3×16+1×6
(Iдл.доп=105 А).
.
>
.
Проверим по потере напряжения:
В.
В.
Выберем сечение провода для
воздушной линии (4 потребителя).
Проверка по
:
А;
;
.
Предварительно выбираем провод марки
А-25,
А.
;
>111,25.
Проверка по механической прочности:
По условию механической прочности принимаем
проводА-70 с Iдл.доп=265
А.
Проверка по потере напряжения:
В.
,
где
=1,3 - протяженность воздушной
линии, км;
,
- соответственно удельное
сопротивление 1 км провода, Ом/км,
.
В.
>95,81 - оставляем (А-70):
ЛЭП-1 удовлетворяет условиям
проверки по потере напряжения и принимается к эксплуатации.
Расчет ЛЭП 2
Рассчитаем сечение кабеля,
необходимого для подключения насоса Д1250-125.
Выбор кабеля производится по
длительно допустимому току нагрузки
Расчетный ток двигателя насоса:
А.
Выбираем кабель КГЭ 3×16+1×6
(Iдл.доп=105 А).
.
>
.
Проверим по потере напряжения:
В.
В.
>26,77 - оставляем КГЭ 3×16+1×6.
Выберем сечение провода для
воздушной линии (3 потребителя).
Проверка по
:
А;
;
.
Предварительно выбираю провод марки
А-70,
А.
;
>223,42.
Проверка по механической прочности:
ПроводА-70 с Iдл.доп=265
А. удовлетворяет критерию выбора по механической прочности.
Проверка по потере напряжения:
В.
,
где
=1,5 - протяженность воздушной
линии, км;
,
- соответственно удельное
сопротивление 1 км провода, Ом/км,
.
В.
<324,54 - провод А-70 не проходит
по условию потери напряжения, поэтому принимаем ближайшее большее сечение
провода из стандартного ряда: А-95 с Iдл.доп=320 А.
.
В.
>264,53 - провод А-95 проходит по
условию потери напряжения
ЛЭП-2 удовлетворяет условиям
проверки по потере напряжения и принимается к эксплуатации.
10.4 Расчет защитного заземления карьера
В соответствии с требованиями «Правил
технической эксплуатации» (ПТЭ) и «Правил техники безопасности» (ПТБ) все
металлические части машин и механизмов (экскаваторов, буровых станков, лебедок,
конвейерных приводов и т.д.), корпуса трансформаторов, каркасы
распределительных устройств, арматура кабелей и т.д. должны быть заземлены.
Необходимо определить тип заземляющих электродов
(заземлителей), их числа и сечения заземляющих проводников.
Для заземляющего устройства одновременно
используемого для электроустановок напряжением до и выше 1000В, допустимые
сопротивления, согласно ПУЭ, определяются из выражения:
, (10.7)
, (10.8)
где: IЗ.З - расчетный ток замыкания на землю, А.
где
- суммарная длина электрически
связанных кабельных линий (1,2 км);
- суммарная длина электрически
связанных воздушных линий (2,4 км);
- напряжение линий, (6,3 кВ);
А;
Ом.
На карьерах, где
используются передвижные электроприемники напряжением выше 1000В, допустимое
сопротивление заземляющего устройства должно быть не более 4 Ом. Принимаем:
Ом;
Расчетное сопротивление
заземлителя определяется из формулы:
; (10.9)
где:
,
- соответственно сопротивления заземляющих проводников и заземляющей жилы
кабеля, Ом;
Эти величины находятся
из выражения:
, (10.10)
где:
- длина заземляющего проводника;
- удельная проводимость
материала проводника, (gCu=53См×м/мм2);
-
сечение заземляющего проводника, мм2.
Расчет заземления будем
проводить для самого мощного удаленного от ГПП электропотребителя, т.е. до
насоса Д1250-125 на ВЛ-2.
Длина Воздушной ЛЭП до
которого составляет 1,5 км, а длина кабельной линии 200 м.
Расчет сопротивления
заземляющей жилы кабельной линии:
Ом.
Расчет сопротивления
заземляющего проводника воздушной ЛЭП:
gal= 32См×м/мм2;
Ом.
Расчетное сопротивление
заземлителя:
Ом.
Число заземлителей nопределится из формулы:
, (10.11)
где:
.
- сопротивление одиночного заземлителя;
- коэффициент
использования заземлителей. С учетом взаимного экранирования заземлителей, в
расчетах принимаем
.
Сопротивление одиночного
заземлителя, выполненного из труб:
, (10.12)
где:
- удельное сопротивление грунта;
Ом×см;
- длина трубы (300 см);
- диаметр трубы (5,8 см);
Верхний конец трубы на уровне
поверхности.
Ом.
Количество заземлителей:
шт.
10.5 Технико-экономические показатели
электроснабжения прииска
Основными технико-экономическими показателями
электроснабжения предприятия являются:
а) тридцатиминутный максимум активной нагрузки;
б) средневзвешенный коэффициент мощности;
в) общий расход активной электроэнергии;
г) удельный расход активной электроэнергии;
д) электровооруженность труда;
е) стоимость электроэнергии.
Тридцатиминутный максимум активной нагрузки
определяется по выражению:
Рм = Ксм×ΣРр=0,9×2560=2176
кВт, (10.13)
где Ксм - коэффициент совмещения
максимумов нагрузки,
Ксм = 0,85…0,95;
ΣРр -
суммарная расчетная активная мощность электроприемников предприятия, кВт.
Средневзвешенный коэффициент мощности сosjсв
определен ранее с учетом компенсации реактивной мощности.
Общий годовой расход активной
электроэнергии Wа также был
определен ранее:
Удельный расход электроэнергии -
количество электроэнергии, израсходованной на производство единицы продукции:
где Q - производительность предприятия по
полезному ископаемому, кг.
Электровооруженность труда - показатель
использования электрической энергии в промышленности. Определяется по выражению
, (10.14)
где N - среднесписочная численность
промышленно-производственного персонала на предприятии, чел;
Эт - электровооруженность
труда, кВт×ч/чел.
Стоимость электроэнергии по тарифу:
С = Wа,*В (10.15)в2 =2,4-
плата за 1 кВт×ч потребленной
активной энергии, руб/кВт×ч.
С = 7680000*2,4 =18423000 руб.
10.6 Безопасность эксплуатации
электроустановок
На каждом пусковом аппарате должна быть четкая
надпись, указывающая включаемую им установку.
При обслуживании электроустановок необходимо
применять электрозащитные средства (диэлектрические перчатки, боты и ковры,
указатели напряжения, изолирующие штанги, переносные заземления и др.) и
индивидуальные средства защиты (защитные очки, монтерские пояса и когти и др.).
Перед каждым применением средств защиты
необходимо проверить их исправность, отсутствие внешних повреждений,
загрязнений, срок годности по штампу.
Пользоваться средствами с истекшим сроком
годности запрещается. Вновь смонтированные или реконструированные
электроустановки, а также технологическое оборудование и пусковые комплексы,
питающиеся от электроустановок, должны приниматься в эксплуатацию в порядке
предусмотренном действующими нормами и правилами безопасной эксплуатацией
электрооборудования.
Токоведущие части электроустановок не должны
быть доступными для случайного прикосновения, а доступные прикосновению
открытые и сторонние проводящие части не должны находиться под напряжением,
представляющие опасность поражения электрическим током как в нормальном режиме
работы электроустановки, так и при повреждении изоляции.
Меры защиты от поражения электрическим током
должны быть предусмотрены в электроустановке или ее части либо применены к
отдельным электроприемникам и могут быть реализованы при изготовлении
электрооборудования, либо в процессе монтажа электроустановки, либо в обоих
случаях.
Применение двух и более мер защиты в
электроустановке не должно оказывать взаимного влияния, снижающего
эффективность каждого из них.
Общее заземляющее устройство объекта открытых горных
работ должно состоять из центрального заземлителя, магистрали заземления,
заземляющих проводников и местных заземлителей. Сопротивление общего
заземляющего устройства должно быть не более 4 Ом.
Использование заземлителей подстанций
напряжением 110 кВ и выше, а также тяговых и совмещенных тяговопонизительных
подстанций в качестве главного заземлителя электроустановок на открытых горных
работах, питающихся от системы электроснабжения с изолированной нейтралью, не
допускается.
Наружный осмотр всей заземляющей сети должен
проводиться электротехническим персоналом не реже одного раза в месяц и после
взрывных работ в зоне возможного повреждения заземляющих устройств.
Измерение сопротивления заземляющих устройств
стационарных электроустановок должно выполняться в периоды наибольшего
высыхания (летом) и наибольшего промерзания (зимой) грунта.
При пересечении (сближении) ВЛ с автомобильными
дорогами расстояние от нижнего фазного провода линии до верхней точки машин или
груза должно быть не менее - 2 м,
Для временных технологических ВЛ напряжением до
35 кВ допускается применение передвижных опор. Расстояние между передвижными
опорами определяется по расчету с учетом климатических условий и обеспечения
устойчивости опор и, как правило, не должно превышать 50 м.
Все воздушные и кабельные линии электропередачи
в границах опасных зон на время взрыва должны быть отключены.
11. Безопасность труда
11.1 Общие требования по охране
труда
Настоящий стандарт
распространяется на всех работников, состоящих в трудовых отношениях с
директором. Стандарт не отменяет требований других нормативных правовых актов
по охране труда.
Настоящий стандарт
устанавливает систему управления охраной труда (далее по тексту СУОТ) и
разработан в соответствии с утвержденной структурой управления персоналом.
Система управления охраной
труда - часть общей системы управления, принятая у работодателя, обеспечивающая
управление рисками в области охраны здоровья и безопасности труда, связанными с
трудовой деятельностью. Система включает организационную структуру,
деятельность по планированию, распределению ответственности, процедуры,
процессы и ресурсы для разработки, внедрения, достижения целей, анализа
результативности политики и мероприятий охраны труда.
Объектом управления охраной
труда является деятельность руководителей, специалистов по обеспечению
безопасных условий труда на рабочих местах. Управление охраной труда
осуществляют: Директор - в целом.
Руководители структурных
подразделений, отделов - в руководимых ими подразделениях, отделах,
непосредственные руководители - в руководимых ими коллективах.
Обязанности и ответственность
по охране труда руководителей, специалистов и других служащих установлены
стандартом по охране труда СТП.ССБТ.002-2006 «Функциональные обязанности
руководителей, специалистов и других служащих по охране труда».
Организационно-методическую
работу по управлению охраной труда, подготовку управленческих решений и
контроль за их реализацией осуществляют:
· директор;
· инженер
по охране труда (на договорной основе);
· руководители
и специалисты.
Организацию сотрудничества по
охране труда работодателя и работников осуществляет совместная комиссия по
охране труда, созданная на паритетной основе, в которую входят одинаковое число
представителей работодателя и выбираемых представителей работников.
Нормативной основой СУОТ
являются:
Федеральный закон «Трудовой
Кодекс российской Федерации» от 30.12.2001 г. № 197-ФЗ
ГОСТ Р 12.0.006-2002 «Общие
требования к управлению охраной труда в организации».
Нормативные правовые акты по
охране труда в соответствии с «Перечнем вил нормативных, правовых актов,
содержащих государственные нормативы! требования охраны труда», утвержденным
Постановлением Правительства Российской Федерации от 23.05.2000 г. № 399.
Стандарты по охране труда
(СТП.ССБТ), инструкции по охране труда (ИСЛ приказы (распоряжения)
работодателя.
11.2 Функции и задачи
управления охраной груда
Функции управления охраной
труда: Организация и координация работы по охране труда. Планирование и
финансирование работы по охране труда. Контроль за состоянием охраны труда и
функционированием СУОТ. Задачи управления охраной труда.
Обучение безопасным методам и
приемам выполнения работ, инструктаж п охране труда, стажировка на рабочих местах
работников и проверка их знани требований охраны труда, недопущение к работе
лиц, не прошедших установленном порядке указанные обучебния, инструктаж,
стажировку проверку знаний требований охраны труда.
Обеспечение безопасности
работников при эксплуатации оборудования. Обеспечение безопасности работников
при выполнении ими порученной работы. Обеспечение безопасности работников при
эксплуатации зданий и сооружений. Обеспечение на каждом рабочем месте условий
труда, соответствую щи: требованиям охраны труда.
Обеспечение работников
средствами коллективной защиты. Обеспечение работников специальной одеждой,
специальной обувью, другими средствами индивидуальной защиты, обеспечение
работников санитарное одеждой, санитарной обувью, санпринадлежностями, инвентарем
в соответствие с установленными нормами.
Обеспечение применения средств
индивидуальной и коллективной защиты: работников.
Обеспечение установленного
законодательством режима труда и отдыхе работников.
Лечебно-профилактическое
обслуживание работников в соответствии с требованиями охраны труда.
Расследование в установленном
законодательством порядке несчастных случаев на производстве и профессиональных
заболеваний.
Санитарно-бытовое обслуживание
работников в соответствии с требованиями охраны труда.
Обеспечение контроля за
состоянием условий труда на рабочих местах, а также за правильностью применения
работниками средств индивидуальной и коллективной защиты.
Возмещение вреда, причиненного
работникам увечьем, профессиональные заболеванием или иным повреждением
здоровья, связанными с исполнением им: трудовых обязанностей.
Информирование работников о
состоянии условий и охраны труда на рабочих местах, о существующем риске
повреждения здоровья и полагающихся работникам средствах индивидуальной защиты,
компенсациях и льготах. Профессиональный отбор работников.
Проведение обязательных
предварительных (при поступлении на работу) и периодических (в течение трудовой
деятельности) медицинских осмотров работников.
Недопущение работников к
выполнению ими трудовых обязанностей без прохождения обязательных медицинских
осмотров, а также в случае медицинских противопоказаний,
Предоставление работникам
компенсаций и льгот за работы с вредными или опасными условиями труда.
Обеспечение сотрудничества по
охране труда работодателя и работников. Обеспечение необходимых мер по
сохранению жизни и здоровья работников при возникновении аварийных ситуаций, а
также надлежащих мер по оказанию первой помощи пострадавшим.
Обеспечение обязательного
социального страхования работников от несчастных случаев на производстве и
профессиональных заболеваний. Ознакомление работников с требованиями охраны
труда.
11.3 Решение задач управления
охраной труда
Реализация функций и решение
задач управления охраной труда обеспечиваются координацией работы и
взаимодействием в работе по охране труда структурных подразделений и отделов,
руководителей и специалистов в соответствии с распределением обязанностей.
Периодичность исполнения
мероприятий по охране труда и конкретные мероприятия установлены стандартами по
безопасности труда, инструкциями по охране труда, планами, графиками и
приказами (распоряжениями) работодателя.
11.4 Нормативная документация
по охране труда
Инструкции по охране труда для
работников разрабатываются на основами Типовых инструкций по охране труда
(межотраслевых и отраслевых утвержденных Минтрудом РФ, органами
государственного надзор федеральными органами исполнительной власти в
соответствии с Методическим рекомендациями по разработке инструкций по охране
труда, утвержденным13.05.2004 г.)
Стандарты и инструкции по
охране труда вводятся в действие приказом работодателя. У заведующего
производством, руководителей подразделений, у главного бухгалтера (руководителя
отдела) должен постоянно храниться комплект действующих инструкций по охране
труда для работников всех профессий и по всем видам работ для данного
подразделения, отдела, а также перечень стандартов и инструкций по охране
труда, утвержденных работодателем.
11.5 Обучение работников по
охране труда и проверка знаний
Обучение работников по охране
труда и проверка знаний производятся в соответствии с требованиями стандарта по
охране труда СТП.ССБТ.005-2005 и других нормативных актов по охране труда,
устанавливающих порядок, виды обучения и проверки знаний по охране труда
работников.
Руководители, на которых
возложены обязанности по проведению инструктажей на рабочем месте, стажировки и
проверки знаний по охране труда обязаны оформлять и вести в установленном
порядке документацию по проведению обучения, инструктажа по охране труда и
проверки знаний у подчиненных работников.
11.6 Обеспечение безопасности
работников при эксплуатации оборудования
Обеспечение безопасности
работников при эксплуатации оборудования, инвентаря, приспособлений,
инструмента осуществляется содержанием оборудования, инвентаря, приспособлений,
инструмента в технически исправном состоянии, правильной эксплуатацией в
соответствии с требованиями: нормативных актов по охране труда, инструкций по
охране труда, инструкций по технической эксплуатации, технических паспортов.
11.7 Обеспечение безопасности
работников при эксплуатации зданий и сооружений
Обеспечение безопасности
работников при эксплуатации зданий и сооружений осуществляется периодическим
осмотром зданий и сооружений и правильной эксплуатацией, своевременным ремонтом
и поддержанием зданий, сооружений и инженерных коммуникаций в исправном и
безопасном состоянии.
11.8 Обеспечение работников
специальной одеждой, специальной обувью, другими средствами индивидуальной
зашиты
Обеспечение работников
специальной одеждой, специальной обувью и другими средствами индивидуальной
зашиты осуществляется на основании требований ст. 221 Трудового кодекса
Российской Федерации от 30.12.2001 г. № 197-ФЗ, ст. 17 Федерального Закона « Об
основах охраны труда в Российской Федерации» от 17,07.1999 г. № 181-ФЗ и в
порядке, установленном «Правилами обеспечения работников специальной одеждой,
специальной обувью и другими средствами индивидуальной защиты», утвержденных
Постановлением Минтруда РФ от 18.12.1998 г. №51 и стандартом по охране труда
СШ.ССБТ.004-2005. Обеспечение работников в санитарной одеждой, санитарной
обувью, санпринадлежностями, осуществляется в соответствии с нормами,
утвержденными приказом Минздрава СССр № 65- от 29.01,88, приказом Минторговлн
СССР No 308 от
27.12.83.
11.9 Обеспечение установленных
законодательством режима труда и отдыха работников.
Режим труда и отдыха работников
обеспечивается соблюдением требований Федерального Закона «Трудовой кодекс
Российской Федерации» от 30.12.2001 г. « 197-ФЗ и «Правил внутреннего трудового
распорядка».
11.10 Лечебно-профилактическое
обслуживание работников
Лечебно-профилактическое
обслуживание работников включает в себя:
· проведение
обязательных предварительных (при поступлении на работу) и периодических (в
течение трудовой деятельности) медицинских осмотров (обследований);
· проведение
внеочередных медицинских осмотров (обследований) работников в соответствии с
медицинскими рекомендациями;
организацию и проведение
санитарно-оздоровительных мероприятий (вакцибнация, производственная гимнастика
и т.п.).
Предварительные (при
поступлении на работу) и периодические (в течение трудовой деятельности)
медицинские осмотры (освидетельствования) работников проводятся в порядке,
установленном приказом Минздрава и социального развития РФ от 16.08.2004 г. №
83 и др.
Перечень контингентов
работников (по профессиям, опасным, вредным веществам и производственным
факторам), подлежащих предварительным и периодическим медицинским осмотрам,
определяет местный орган (центр) Федерального медико-биологического агентства
России совместно с работодателем и выборными представителями работников не
позднее 01 декабря предшествующего года.
Сроки проведения медицинских осмотров
(обследований) должны соответствовать установленной периодичности.
Периодические (в течение
трудовой деятельности) медицинские осмотры (обследования) проводятся с
установленной периодичностью в порядке, определяемом приказом работодателя и
договором с лечебно-профилактическим учреждением. Пофамильные списки
работников, подлежащих периодическому медицинскому осмотру должны составляться
по форме, установленной органом (центром) ФМБА России и направляться в
лечебно-профилактическое учреждение заблаговременно.
Все подразделения, отделы
обеспечиваются медицинскими аптечками с набором медикаментов и средств для
оказания первой помощи пострадавшим при несчастных случаях.
.11 Санитарно-бытовое
обслуживание работников
Обеспечение работников санитарио-бытовыми
помещениями и оборудование этих помещений производится в соответствии с
требованиями СНиП 2.09.04-87 и других нормативных актов по охране труда.
Непосредственные руководители
работ обязаны обеспечить эксплуатацию санитарно-бытовых помещений в
соответствии с требованиями СНиП 2.09.04-87 и других нормативных актов по
охране труда.
11.12 Обеспечение контроля за
уровнем воздействия вредных или опасных производственных факторов на здоровье
работников
Контроль за уровнем воздействия
на работников вредных и опасных производственных факторов производится в
соответствии с требованиями санитарных правил СП 1.1.1058-01 «организация и
проведение производственного контроля за соблюдением санитарных правил и
выполнением санитарно-противоэпидемических (профилактических)
мероприятий»,утвержденных Главным государственным врачом Российской Федерации
10.07.2001 г. Лабораторные исследования и испытания осуществляются с
привлечением лаборатории, аккредитованной в установленном порядке.
Устранение превышений уровней
вредных и опасных производственных факторов допустимых норм должно
производиться в сроки, установленные приказом работодателя.
В случае отсутствия технических
решений по доведению уровней вредных и опасных производственных факторов до
допустимых норм, работники обязаны применять соответствующие средства
индивидуальной защиты.
.13 Возмещение вреда,
причиненного работникам увечьем, профессиональным заболеванием или иным
повреждением здоровья, связанных с исполнением ими трудовых обязанностей
Возмещение вреда, причиненного
работникам увечьем, профессиональным заболеванием или иным повреждением
здоровья, связанными с исполнением ими трудовых обязанностей производится в
соответствии с Федеральным законом от 24.07.1998 г. № 125-ФЗ « Об обязательном
социальном страховании от несчастных случаев на производстве и профессиональных
заболеваний» и других нормативных документов.
.14 Информирование работников о состоянии
условий и охраны труда на рабочих местах, о существующем риске повреждения
здоровья и полагающихся работникам средствах индивидуальной защиты,
компенсациях и льготах
Информирование работников о
состоянии условий и охраны труда на рабочих местах, о существующем риске
повреждения здоровья и полагающихся работникам средствах индивидуальной защиты,
компенсациях и льготах производится при проведении всех видов инструктажей по
охране труда, обучении по охране труда в соответствии с требованиями стандарта
по охране труда СТП.ССБТ.005-2005, а также, в конкретных случаях, при изменении
условий труда.
.15 Профессиональный отбор
работников
Профессиональный отбор
работников производится с учетом результатов медицинского освидетельствования,
документов, удостоверяющих квалификацию работника, трудовой книжки при
оформлении на работу, а также по результатам проверки знаний (аттестации),
трудовой деятельности работника.
11.16 Предоставление работникам
компенсации и льгот за работы с вредными или опасными условиями труда
Предоставление работникам
компенсаций и льгот за работы с вредными или опасными условиями труда
производится в соответствии с нормативными актами по вопросам предоставления
льгот и компенсаций за условия труда, перечень которых изложен в Приложении к
письму Минтруда РФ от 30.06.1992 г. № 1358-ВК. Дополнительные компенсации и
льготы работникам, предоставляемые с учетом специфики условий труда на
конкретном рабочем месте, могут определяться коллективным договором или
соглашением по охране труда, на основании аттестации рабочих мест.
.17 Обеспечение сотрудничества по охране труда
работодателя и работников
Сотрудничество по охране труда
работодателя и работников осуществляется по СТП.ССБТ.006-2005, разработанного в
соответствии с требованиями Федерального Закона от 17.07.1999 г. № 181-ФЗ «Об
основах охраны труда в Российской Федерации» с учетом «Рекомендаций по
формированию и деятельности совместных комитетов (комиссий) по охране труда,
создаваемых на предприятиях, в учреждениях и организациях с численностью
работников более 10 человек», утвержденных Постановлением Минтруда РФ от
12.10.1994 г. № 64.
11.18 Обеспечение обязательного
страхования работников от несчастных случаев на производстве и профессиональных
заболеваний
Обеспечение обязательного
социального страхования работников от несчастных случаев на производстве и
профессиональных заболеваний осуществляется в соответствии с требованиями ст.
212 Федерального Закона «Трудовой кодекс Российской Федерации» от 30.12.2001 г.
№ 197-ФЗ, ст. 14 Федерального Закона «Об основах охраны труда в Российской
Федерации» от 17.07.1999 г. № 181-ФЗ и в порядке, установленном Федеральным
Законом «Об обязательном социальном страховании от несчастных случаев на
производстве и профессиональных заболеваний» от 24.07.1998 г. № 125-ФЗ.
11.19 Финансирование работы по
охране труда
Финансирование мероприятий по
улучшению условий и охраны труда осуществляется в соответствии с требованиями
ст. 226 Федерального Закона «Трудовой кодекс Российской Федерации» от
30.12.2001 г. № 197-ФЗ и ст. 19 Федерального Закона «Об основах охраны труда в
Российской Федерации» от 17.07.1999 № 181-ФЗ,
11.20 Основные положения
Законодательства об охране труда
Права на труд и охрану труда
закреплены в Конституции РФ, принятой всенародным голосованием 12.12.93.
Основные вопросы охраны труда
изложены в Федеральном законе № 181 от 17.07.99 «Об основах охраны труда в РФ».
Этот документ среди других положений определил гарантии права работника на
охрану труда, определил обязанности работодателя, работника по ОТ, наметил
организацию работы по ОТ (обучение по ОТ, медосмотры, экономический механизм
обеспечения ОТ и др.),определил ответственность за нарушения норм ОТ,
организацию контроля за ОТ и ряд других положений.
С учетом этих Основ
Правительством РФ выпущен ряд законодательных актов по ОТ. В частности,
постановлением Правительства РФ от 23.05.2000 № 399 «О нормативных правовых
актах, содержащих государственные нормативные требования охраны труда»
определен перечень нормативных документов, содержащих требования по ОТ.
Важнейшим законодательным
документом, регулирующим вопросы охраны труда, является Трудовой Кодекс от
30.12.2001 № 197-ФЗ.
В соответствии с законодательством каждый
работник имеет право на охрану труда, в том числе:
а) на рабочее место, защищенное
от воздействия вредных или опасных производственных факторов, которые могут
вызвать производственную травму, профессиональное заболевание или снижение
работоспособности;
б) на возмещение вреда,
причиненного ему увечьем, профессиональным заболеванием либо иным повреждением
здоровья, связанным с исполнением им трудовых обязанностей;
в) на получение достоверной
информации от работодателя или государственных и общественных органов о
состоянии условий и охраны труда на рабочем месте работника, о существующем
риске повреждения здоровья, а также о принятых мерах по его защите от
воздействия вредных или опасных производственных факторов;
г) на отказ без каких-либо
необоснованных последствий для него от выполнения работ в случае возникновения
непосредственной опасности для его жизни и здоровья до устранения этой
опасности;
д) на обеспечение средствами
индивидуальной и коллективной защиты в соответствии с требованиями
законодательных и иных нормативных актов об охране труда за счет средств
работодателя;
е) на обучение безопасным методам и приемам
труда за счет средств работодателя;
ж) на профессиональную переподготовку
за счет средств работодателя в случае приостановки деятельности или закрытия
производства, либо ликвидации рабочего места вследствие неудовлетворительных
условий труда, а также в случае потери трудоспособности в связи с несчастным
случаем на производстве или профессиональным заболеванием;
з) на проведение
инспектирования органами государственного надзора и контроля или общественного
контроля условий и охраны труда, в том числе по запросу работника на его
рабочем месте;
и) на обращение с жалобой в соответствующие
органы государственной власти, а также в профессиональные союзы и иные
уполномоченные работниками представительные органы в связи с
неудовлетворительными условиями и охраной труда;
к) на участке в проверке и
рассмотрении вопросов, связанных с улучшением условий охраны труда.
Условия трудового договора
должны соответствовать требованиям законодательных и иных нормативных актов об
охране труда. В трудовом договоре указываются достоверные характеристики
условий труда, компенсации на льготы работникам за тяжелые работы и работы с
вредными или опасными условиями труда.
Отказ работника от выполнения работ в случае
возникновения непосредственной опасности для его жизни и здоровья либо от
выполнения тяжелых работ с вредными и ли опасными условиями труда, не
предусмотренных трудовым договором, не влечет для него каких-либо
необоснованных последствий.
Работник обязан:
а) соблюдать нормы, правила и
инструкции по охране труда;
б) правильно применять
коллективные и индивидуальные средства защиты;
в) немедленно сообщать своему
непосредственному руководителю о любом несчастном случае, произошедшем на
производстве, о признаках профессионального заболевания, а также о ситуации,
которая создает угрозу жизни и здоровью людей;
Для всех вновь поступивших на
работу, а также переводимых на другую работу лиц, работодатель обязан проводить
инструктаж по охране труда, организовывать обучение безопасным методам и
приемам выполнения работ и оказанию первой помощи пострадавшим.
Для лиц, не обученных вопросам
охраны труда, поступающих на производство с вредными или опасными условиями
труда, где требуется профессиональный отбор, организуется предварительное
обучение по охране труда с проверкой знаний требований охраны труда.
Все работники, включая
руководителей, обязаны проходить инструктажи, проверку знаний правил, норм и
инструкций по охране труда в порядке и в сроки, которые установлены для
определенных видов работ и профессий.
Допуск к работе лиц, не
прошедших в установленном порядке обучение, инструктаж и проверку знаний правил,
норм и инструкций по охране труда,
Запрещается:
На тяжелых работах и работах с
вредными или опасными условиями труда применение труда женщин и лиц в возрасте
до 18 лет, а также лиц, кому эти работы противопоказаны по состоянию здоровья.
Для работников, занятых на
работах с вредными условиями труда, устанавливается сокращенная
продолжительность рабочего времени не более 36 часов в неделю.
Сверхурочные работы, как
правило, не допускаются. Работодатель может применять сверхурочные работы
только в случаях, предусмотренных Трудовым Кодексом.
На отдельных работах, где может
быть соблюдена установленная ежедневная или еженедельная продолжительность
рабочего времени, допускается по согласованию с соответствующим выборным
представительным органом работников введение суммарного учета рабочего времени
с тем, чтобы продолжительность рабочего времени за учетный период не превышала
нормального числа рабочих часов.
Суммированный учет рабочего
времени не может применяться для подростков в возрасте до 18 лет, беременных
женщин, матерей, кормящих грудью, и женщин, имеющих детей в возрасте до одного
года, а также других категорий работников в соответствии с законодательством о
труде.
К работе в ночное время не
допускаются: беременные женщины и женщины, имеющие детей в возрасте до трех
лет, работники моложе 18 лет, другие категории работников в соответствии с
действующим законодательством.
Работающим в холодное время
года на открытом воздухе или в закрытых не обогреваемых помещениях, рабочим,
занятым на погрузочно-разгрузочных работах, а также другим категориям
работников в случаях, предусмотренных законодательством, предоставляются
специальные перерывы для обогревания и отдыха, которые включаются в рабочее
время.
Запрещается применение труда
лиц моложе 18 лет на производствах, профессиях и работах с вредными условиями
труда. К работам с физическими перегрузками относятся: работы, связанные с
перемещением грузов вручную (масса груза в кг) или с приложением усилий (в Н; 1
Н = 0,1 кгс) в течение смены, выполняемые постоянно: мужчины - более 30 кг (или
более 300 Н), женщины - более 7 кг (или более 70 Н).
Максимальная масса груза при
разовых перемещениях вручную для мужчин - 50кг.
Законодательством установлены
следующие нормы для женщин и подростков:
Для женщин масса поднимаемого перемещаемого
груза вручную не должна превышать норм предельно допустимых нагрузок,
установленных законодательством:
Подъем и перемещение (разовое)
тяжестей:
· при
чередовании с другой работой (до 2-х раз в час)- до 10 кг;
· постоянно
в течение рабочей смены- до 7 кг. Суммарная масса грузов, перемещаемых в
течение каждого часа смены:
· с
рабочей поверхности-350 кг; -с пола - х75 кг. Величина динамической работы,
совершаемой в течение каждого часа рабочей смены при перемещении груза на
расстояние от 1 до 5 м, не должна превышать:
· с
рабочей поверхности-1750 кг;
- с пола- 875 кг.
При перемещении грузов на
тележках или в контейнерах прилагаемое усилие не должно превышать_ 10 кг.
В массу поднимаемого и
перемещаемого груза включается масса тары и упаковки.
Для лиц, моложе 18 лет
(подростков) масса поднимаемого перемещаемого груза в ручную не должна
превышать норм предельно допустимых нагрузок, установленных законодательством:
Подъем и перемещение вручную
груза постоянно в течение рабочей смены:
· Юноши:
14 лет - 3 кг; 15 лет - 3 кг; 16 лет - 4 кг; 17 лет - 4 кг;
· Девушки:
14 лет - 2 кг; 15 лет - 2 кг; 16 лет - 3 кг; 17 лет - 3 кг;
Подъем и перемещение груза
вручную в течение не более 1/3 рабочей смены: Постоянно (более 2-х раз в час):
· Юноши:
14 лет - 6 кг; 15 лет - 7 кг; 16 лет - 11 кг; 17 лет - 13 кг;
· Девушки:
14 лет - 3 кг; 15 лет - 4 кг; 16 лет - 5 кг; 17 лет - 6 кг; При чередовании с
другой работой (до 2-х раз в час):
· Юноши:
14 лет - 12 кг; 15 лет - 15 кг; 16 лет - 20 кг; 17 лет - 24 кг;
· Девушки:
14 лет - 4 кг; 15 лет - 5 кг; 16 лет - 7 кг; 17 лет - 8 кг; Суммарная масса
груза, перемещаемого в течение смены:
Подъем с рабочей поверхности:
· Юноши:14
лет - 400 кг; 15 лет - 500 кг; 16 лет - 1000 кг; 17 лет - 1500 кг; - Девушки:14
лет-180 кг; 15 лет-200 кг; 16 лет-400 кг; 17 лет-500 кг; Подъем с пола:
· Юноши:14
лет - 200 кг; 15 лет - 250 кг; 16 лет - 500 кг; 17 лет - 700 кг;
· Девушки:14
лет - 90 кг; 15 лет - 100 кг; 16 лет - 200 кг; 17 лет - 250 кг;
· В
массу поднимаемого и перемещаемого груза включается масса тары и упаковки.
Подъем и перемещение тяжестей в пределах указанных норм допускаются, если это
непосредственно связано с выполняемой постоянной профессиональной работой.
Перемещение тяжести подросткам
не должно занимать более 1/3 рабочего дня.
За работу с вредными условиями
труда работникам предусматриваются компенсации, назначаемые в соответствии с
законодательством по результатам аттестации рабочих мест (см. положение,
утвержденное Постановлением Минтруда № 12 от 14.03.97).
За нарушения или несоблюдение
требования по охране труда работники несут уголовную, административную,
дисциплинарную и иную (в т.ч. материальную) ответственность в соответствии с
действующим законодательством.
Кроме законов и других нормативных
документов по охране труда, действующих на федеральном, региональном и
муниципальном уровнях обязательны к исполнению положение по охране труда,
инструкции по охране труда, приказы и распоряжения руководителя, правила
внутреннего трудового распорядка.
В соответствии с этими правилами работник
ОБЯЗАН:
а) знать и уметь безопасно
выполнять порученную ему работу, своевременно исполнять возложенные на него
обязанности, проявлять инициативу, повышать свою квалификацию;
б) знать и соблюдать технологии
выполнения работ, правила и нормы по охране труда, эксплуатации оборудования и
инструмента, производственной санитарии и гигиены труда, пожарной безопасности,
охраны окружающей среды и иные правила и нормы, относящиеся к их трудовой
деятельности;
в) выполнять установленные
нормы охраны труда;
г) обеспечивать рациональную
работу, согласно социально-технических ресурсов. не допускать и не
способствовать нанесению ущерба;
д) соблюдать трудовую;
производственно-технологическую дисциплину;
е) не употреблять в рабочее
время алкогольные напитки и наркотические средства на территории производства,
не появляться на территории производства в рабочее и нерабочее время в
состоянии опьянения;
ж) содержать рабочие места в
безопасном состоянии, не создавать опасностей для себя и окружающих, не
применять опасных приемов работ.
Продолжительность, начало и
окончание ежедневной работы, и перерыв для отдыха и приема пищи определяются
графиками сменности, согласованными с представительным органом работников, с
соблюдением установленной продолжительности рабочего времени за неделю или
другой учетный период. Очередность предоставления ежегодных отпусков
устанавливается с учетом необходимости обеспечения нормального хода работы и
благоприятных условий для отдыха работников.
Нарушение трудовой дисциплины,
т.е. неисполнение или ненадлежащее исполнение по вине работника возложенных на
него трудовых обязанностей, в том числе нарушение требований по охране труда,
влечет за собой применение мер дисциплинарного воздействия, а также применение
иных мер, предусмотренных законодательством.
За нарушение трудовой
дисциплины применяются дисциплинарные взыскания, предусмотренные Трудовым
Кодексом.
Дисциплинарные взыскания
объявляются приказом руководителя.
Приказ о применении
дисциплинарного взыскания с указанием мотивов его применения объявляется
(сообщается) работнику, подвергнутому взысканию, под расписку.
Приказ в необходимых случаях
доводится до сведения работников.
За образцовое выполнение
трудовых обязанностей, снижение затрат, продолжительную и безупречную работу,
новаторство в труде и другие достижения в работе применяются следующие
поощрения:
а) объявление благодарности;
б) денежная премия;
в) награждение ценным подарком.
Решение о поощрении принимается
работодателем.
При применении поощрений
учитывается мнение работников.
Поощрения объявляются в
приказе, доводятся до сведения всего коллектива.
11.21 Трудовой договор. Льготы
и компенсации
Часть вопросов охраны труда
находят отражение в трудовом договоре.
Трудовой договор заключается в письменной форме.
Трудовой договор в письменной
форме заключается при найме работник Содержание Трудового договора определено
Трудовым Кодексом РФ. Г заключении трудового договора рекомендуется указывать
обязательные условия:
· место
работы - (работодатель), куда принимается работник;
· трудовую
функцию - работу в соответствии с квалификацией по определенной профессии
(должности), которую должен выполнять работник;
· дату
начала работы и дату ее окончания, если заключается срочный трудовой договор;
· обязанности
работодателя по обеспечению охраны труда на производстве. Договор может
содержать и дополнительные условия, конкретизируя обязательства сторон
устанавливаемые в договорном порядке. К дополнительным можно отнести условия об
установлении испытательного ср о совмещении профессий, о регулярном повышении
квалификации продолжительности дополнительного отпуска, режиме рабочего времен
времени отдыха и др.
Установление дополнительных
условий трудового договора не должно ухудшать положение работника по сравнению
с законодательством. Письменный трудовой договор заключатся как с постоянными,
так и с временными работникам основному месту работы и при совместительстве,
надомниками и т.п. Прием на работу оформляется приказом на основании
письменного трудового договора.
Приказ объявляется работнику
под расписку.
В трудовом договоре указывается
наименование профессии (должности которую принимается работник. Наименование
профессии (должности) работника необходимо определить в соответствии с Единым
тарифно-квалификационным справочником.
С целью проверки соответствия подготовки и
способностей работника поручаемой ему работе по соглашению сторон может быть
установлен испытательный срок в пределах, предусмотренных законодательством.
Если работник принимается с испытательным сроком, то в трудовом договоре
фиксируется конкретный срок испытания (с какого по какое время). В трудовом
договоре целесообразно размер тарифной ставки (должностного оклада) работника
по профессии (должности), квалификационному разряду и квалификационной
категории, предусмотренные в коллективном договоре или ином локальном
нормативном акте.
Кроме размера тарифной ставки
(должностного оклада), в трудовом договоре могут быть предусмотрены различные
доплаты и надбавки стимулирующего и компенсационного характера: за
профессиональное мастерство и высокую квалификацию, за классность, за
отклонение от нормальных условий труда и др. В трудовом договоре указывается
размер доплат за совмещение профессий или должностей. Конкретный размер доплат
определяется по соглашению сторон исходя из сложности выполняемой работы, ее
объема, занятости работника по основной и совмещаемой работе и др. Наряду с
доплатами стороны могут договориться и об иных компенсациях за совмещение
профессий (должностей), например, дополнительном отпуске, повышенном размере
вознаграждения по итогам года и др.
Режим рабочего времени
определяется правилами внутреннего трудового распорядка или графиками сменности
распространяется на всех работников. Однако в отдельных случаях может
возникнуть необходимость конкретизировать режим рабочего времени, прийти к
соглашению о неполном рабочем времени гибком графике работы и т.д. В этом
случае в трудовом договоре производится соответствующая запись.
При заключении трудового договора не могут
устанавливаться по согласовании сторон трудового договора следующие условия:
- основания увольнения;
- установление не
предусмотренных законодательством дисциплинарных взысканий;
- введение для работников
полной материальной ответственности, кроме случаев предусмотренных Трудовым
Кодексом РФ.
Стороны не могут также изменить
порядок рассмотрения трудовых споров. Нормальная продолжительность рабочего
времени работников не может превышать 40 часов в неделю.
11.23 Общие обязанности
работников по охране труда
Каждый работник ОБЯЗАН:
· Выполнять
правила внутреннего трудового распорядка.
· Выполнять
требования режимов труда и отдыха.
· Знать
опасные и вредные производственные факторы.
· носить
на работе положенную исправную спецодежду, спецобувь и средства индивидуальной
защиты.
· выполнять
требования пожарной безопасности, не курить в не отведённых местах, не
пользоваться открытым огнем в не отведенных местах, соблюдать инструкцию по
пожарной безопасности.
· Сообщать
руководителю работ обо всех неисправностях и опасностях, угрожающих здоровью и
жизни людей, сообщать о несчастных случаях.
· Уметь
оказывать первую (доврачебную) помощь. Соблюдать правила личной гигиены.
· Помнить,
что нарушение инструкций по охране труда является нарушением трудовой
дисциплины, которое влечет ответственность в соответствии с действующим
законодательством.
· Быть
внимательным, остерегаться транспортных средств, ходить только по тротуару,
пешеходным дорожкам, соблюдать правила для пешеходов.
· При
следовании в транспортных средствах не выставлять за их пределы части тела,
соблюдать правила для пассажиров.
· Проявлять
осторожность при выходе из транспортных средств, пользоваться поручнями,
ступеньками (лестницами), подножками.
·
Выполнять
требования инструкций по охране труда и других локальных нормативных
документов, а также требования безопасности, изложенные в паспортах и
инструкциях по эксплуатации используемого оборудования инструмента, механизмов,
машин.
·
Принимать
все необходимые меры предосторожности для предотвращения несчастных случаев,
как с самим собой, так и с окружающими, принимать экстренные меры по
прекращении работ и удалению людей в случае явной угрозы здоровью и жизни.
· Знать
и соблюдать требования личной и коллективной безопасности.
· Предупреждать
работающих и окружающих об опасных и вредных факторах, о последствиях при
нарушении правил и инструкций по охране труда.
· Выполнять
только порученную работу, которую может и умеет выполнять;
· Не
загромождать рабочие места и проходы.
· Пользоваться
только исправным инструментом, инвентарем, приспособлениями, оснасткой,
исправной спецодеждой, спецобувью, защитными средствами.
· правильно
применять средства индивидуальной и коллективной защиты.
- Проявлять особую осторожность при подъемах и
спусках по лестницам, трапам, настилам, при выходе из автомобилей.
-Не приступать к работе или
прекратить ее при плохом самочувствии, головокружении, в состоянии опьянения.
- Соблюдать трудовую и
производственную дисциплину.
- Находиться на рабочем месте в
бытовых помещениях столько времени, сколько требует производственная
необходимость и правила внутреннего трудового распорядка.
- Соблюдать меры пожарной
безопасности, уметь пользоваться средствами пожаротушения.
Работающим запрещается:
- Самовольно передавать свою
работу кому-либо без разрешения на то руководителя работ.
- Применять опасные для себя и
окружающих приемы работ.
В помещениях употреблять
алкогольные напитки, наркотические и токсические средства.
· Пить
воду из смущаемых источников; пить неизвестные жидкости.
· Пользоваться
оборудованием, инструментом, не имея на то допуска, а также непроверенными
электроприборами, электроинструментом, оборудованием.
-Касаться токоведущих проводов
(даже изолированных), без допуска производить ремонт электрооборудования и
электросетей.
· Пользоваться
в помещениях открытым огнем.
· Уклоняться
от прохождения мед.осмотров и выполнения рекомендаций по их результатам.
· Уклоняться
от прохождения проверки знаний по охране труда.
11.24 Действия работающих при несчастных случаях
и при аварийных ситуациях
Все работающие при несчастных
случаях с ним или другими работающими, признаках профессионального заболевания,
а также о ситуациях, опасных для здоровья и жизни, обязаны сообщать
непосредственному руководителю.
При несчастном случае
работающие ОБЯЗАНЫ:
· освободить
пострадавшего от поражающего или вредного фактора (отисточник травмы,
отравления и т.п.). При этом самим соблюдать необходимые мер: предосторожности;
· оказать
пострадавшему первую неотложную помощь;
-вызвать скорую медицинскую
помощь или доставить пострадавшего ближайшее лечебное учреждение;
-предпринять необходимые меры
для того, чтобы не пострадали от поражающее или вредного фактора другие
работники;
· поставить
в известность о несчастном случае руководителя работ, а тот -работодателя;
· сохранить
обстановку на месте несчастного случая (если она не представляет угрозы для
других);
· принять
участие в расследовании несчастного случая;
При возникновении аварийной
ситуации работающий обязан:
-прекратить работу и принять
меры по прекращению действия опасного (вредного) фактора, вызывающего аварийную
ситуацию (отключить электроэнергию, выключить оборудование, механизм и. т.п.).
- принять меры по эвакуации
работающих и пострадавших.
-при необходимости вызвать скорую помощь,
пожарную охрану, газовую службу, службы ремонта электросетей, сетей
водоснабжения, теплоснабжения. При необходимости - сообщить в милицию.
· своими
силами (если это не угрожает жизни и здоровью) с помощью имеющихся средств,
приступить к ликвидации источники аварийной ситуации.
· по
возможности сохранить обстановку на месте происшествия.
· о
происшествии сообщить руководству.
11.25 Порядок расследования
несчастных случаев на производстве и профзаболеваний
Расследование несчастных
случаев на производстве ведется в соответствии с «Положением об особенностях
расследования несчастных случаев на производстве», утвержденного Постановлением
Минтруда РФ от 24.10.2002 № 73. Этим Положением регламентированы состав
комиссии, сроки расследования, оформление материалов расследования и другие
вопросы.
Профзаболевания расследуются в
соответствии с «Положением о расследовании и учете профессиональных заболеваний»,
утвержденных постановлением Правительства № 967 от 15.12.2000.
11.26 Основные опаснее и
вредные производственные факторы, основные требования по предупреждению
электротравматизма
Физические факторы:
· перепады
высот;
· повышенная
запыленность воздуха рабочей зоны;
· повышенный
уровень вибрации и шума на рабочем месте;
· повышенная
или пониженная влажность воздуха;
· повышенная
или пониженная подвижность воздуха4
· повышенное
значение напряжения в электрической цепи, замыкание которое может пройти через
тело человека;
· повышенный
уровень статистического напряжения;
· электромагнитные
излучения;
· отсутствие
или недостаток естественного освещения;
· недостаточная
освещенность рабочей зоны;
· пониженная
контрастность;
· прямая
и отраженная блесткость;
-о стрые кромки, заусенцы и
шероховатость на поверхностях инструментов, оборудования, инвентаря, изделий и
др.
Химические факторы:
· вредные
химические вещества в воздухе рабочей зоны. Психофизиологические факторы:
· физические
перегрузки;
- нервно-психические перегрузки
(монотонность труда, эмоциональные перегрузки и др.).
При эксплуатации
электроустановок, электроосветительных сетей, электроприборов запрещается:
-использовать кабели и провода
с поврежденной или потерявшей защитные свойства изоляцией;
- оставлять под напряжением
электрические провода и кабели с неизолированными концами;
- пользоваться поврежденными
розетками, рубильниками и другими электроустановочными изделиями;
- завязывать и не скручивать
электропровода, не оттягивать провода и светильники, не подвешивать светильники
(за исключением открытых ламп) и т.п. на электрических проводах;
· использовать
ролики, выключатели, штепсельные розетки для подвешивания одежды и других
предметов.
· обертывать
электрические лампы бумагой, материей и другими горючими материалами.
- применять для электросетей
радио и телефонные провода.
- пользоваться разбитыми
выключателями, розетками, патронами и другой неисправной электроарматурой.
Плавкие вставки предохранителей
должны быть калиброваны с указанием на клейме номинального тока вставки.
Номинальный ток плавких вставок и автоматов должен соответствовать токовой
нагрузке.
Используемые для отопления
небольших помещений электрорадиаторы, греющие панели должны иметь электрозащиту
и исправные терморегуляторы.
12. Генеральный план и транспорт
В генплан входят площадки под
запасами, хвостохранилищами, отвалами почвенно-плодородного слоя, дорогами,
линиями электропередач, промплощадкой и т.д.
.1 Основные планировочные решения
На промплощадке гидравлики
располагаются вахтовый поселок и ремонтная площадка со складом ГСМ. Жилой
поселок включает:
1. Жилые дома общей площадью
100*6=600 м2, где: 78 - количество работающих на гидравлике, 6 -
норматив жилой площади на 1 человека.
. Контора общей площадью 6*4=24
м2, где: 6 - количество работающих, 4 - норматив площади на 1
человека.
. Столовая на 20 мест и склад
продуктов
а) обеденный зал столовой
20*1,3 = 26 м2, где: 20 - количество посадочный мест, 1,3 - норматив
площади на 1 посадочное место.
б) кухня - 20 м2
в) склад продуктов - 20 м2
4. баня-прачечная
а) баня 33 * 0,66 = 22 м2
где: 33 - количество работающих
в смену 0,66 - норматив площади на 1 человека
б) парилка - 12 м2
в) раздевалка - 12 м2
г) прачечная - 14 м2
5. Сушилка для спецодежды 80*
1,5= 120 м2, где: 80 - количество работающих, 1,5 - норматив площади
на 1 работающего.
Овощехранилище
Помещение доводочной - 25 м2
Склад хозяйственный - 20 м2
Выгребная яма
Туалет на 4 очка.
Противопожарный водоем.
На ремонтной площадке
располагаются:
1 Мехмастерская
2 Ремонтный бокс
Склад запчастей
Склад ГСМ
Грузоподъемный
механизм на 5 тн.
Эстакада для ремонта
автомобилей
Потребная площадь
производственных и бытовых помещений определена согласно СНиП 11-90-81, СНиП
11-104-76, СНиП 11-Л. 1-71.
Все здания строятся из круглого
леса по типовым чертежам.
.2 Транспорт
Для обеспечения транспортных
перевозок, связанных со снабжением гидравлики вспомогательными материалами и
запчастями, проектом предусматривается использование автомобильного транспорта:
1-го автомобиля Урал-375, и 1-гоавтомобиля ГАЗ-53.
Для транспортировки пульпы из
гидравлического разреза на обогатительную установку шлюзового типа проектом
предусматривается использование трубопроводного транспорта. Подача пульпы
осуществляется землесосами ЗГМ-2М по пульповодам d426
мм.
.3 Техника безопасности
Все проектные решения приняты в
соответствии с «Нормами технологического проектирования предприятий цветной
металлургии по разработке россыпных месторождений », с учетом требований «
Единых правил безопасности при разработке месторождений полезных ископаемых
открытым способом », « Санитарных норм проектирования промышленных предприятий
», которые должны выполняться как при строительстве, так и при эксплуатации с
учетом особенностей технологического процесса и горнотехнических условий
разработки данного месторождения.
1 Всем рабочим под
роспись должны выдаваться инструкции по безопасным методам работы по профессии.
2 Вся пусковая работа
электроаппаратура должна иметь защитные средства.
Заземление
электрических машин и аппаратуры должно выполняться согласно §§437-438 ПТЭ.
До начала эксплуатации
проводится испытание установок гидромеханизации на давление, превышающие
рабочее: для насосов и землесосов - на 59%, для труб - на 30%.
5 Перед началом работы
гидромонитора ГМД - 250 из сферы действия струи должны быть удалены люди.
Территория участка на расстоянии не менее полуторной дальности полета струи
гидромонитора должна быть ограждена знаками, предупреждающими об опасности
пребывания людей на этой территории.
6 При работе в темное
время суток забои, рабочие площадки,
перекрывающие задвижки
должны быть освещены.
8 Во время грозы работа
гидроустановок запрещена.
9 Гидромонитор ГМД - 250
должен устанавливаться от высоковольтной линии электропередач на расстоянии не
менее 2-кратной дальности полета струи.
Уборка из зумпфа
землесоса камней, корней и посторонних предметов должна производиться при
помощи специальных устройств после прекращения работы гидромониторов и
землесосов.
11 Зумпфы землесосов должны
быть закрыты сверху решетками или досками, исключающими возможность падения
людей в зумпф.
12 Отработанным бортам
разреза должен придаваться угол естественного откоса.
13 Движущиеся части машин,
механизмов и токоведущие проводники должны быть надежно ограждены.
14 Прокладка водоводов и
пульповодов должна производиться на расстоянии не менее 25 м от линии
электропередач. При уменьшении расстояния, стыки трубопроводов оборудуются
защитными козырьками.
15 Каждый гидромонитор
должен оборудоваться индивидуальной задвижкой.
16 В помещениях насосных
станций свободные проходы должны составлять не менее 1м.
17