Информационная система поддержки оптимального питания санатория 'Дубрава'
Введение
В последние годы во всем мире прослеживается тенденция людей
обращать внимание на состояние своего здоровья с целью коррекции возникающих
изменений. Поэтому все больше и больше людей едутв санатории. Кроме
использования естественных лечебных факторов (климата, спортивных игр, морских
купаний и т.п.) много внимания в здравницах уделяется диете, которая является
не только одним из эффективных средств комплексного лечения многих недугов, но
и средством, способствующим их профилактике.
Система «Оптимальное питание» в санатории включает такие
подразделения как кухня, столовая и врач-диетолог. Между ними происходит обмен
большого количества информации, которая должна быть актуальной. Оправданный
выбор диеты, способа кулинарной обработки, калорийности, состава витаминов,
пищевых волокон делает питание мощным лечебным фактором.
В настоящее времяво многих санаториях оздоровительного типа
до сих пор все сведения хранятся и обрабатываются в бумажном виде с помощью
картотек и отчетов. Но это очень сложно реализовать, так как имеется большое
количество продуктов с разным содержанием белков, жиров, углеводов, витаминов и
минеральных веществ. Трудность заключается также в выборе блюда, способа
приготовления, замене отсутствующего продукта на эквивалентный. Вся информация
должна храниться и своевременно обновляться.
Для структуризации всех сведений о клиентах санатория, их
диагнозе, назначенной диете, о продуктах, блюдах, а также организации питания
необходимо применить компьютерную обработку данных. Это позволит ускорить обмен
информацией, а также избежать ошибок при выборе продуктов для определенной
диеты, размещении клиентов в столовой и т.п. Информационная система решит
проблему непосредственного руководства над работой основных подразделений и
составление отчетов по всем выполняемым действиям.
Таким образом, необходимо организовать работу и
взаимодействие между собой всех подразделений системы поддержки оптимального
питания так, чтобы результат был наиболее эффективен.
1.
Анализ предметной области
.1
Описание объекта исследования и проектирования
В последнее время в мире растет интерес к
оздоровительному отдыху благодаря моде на здоровый образ жизни и на
употребление только натуральных продуктов. Люди все больше обращают внимание на
состояние своего здоровья, и это не удивительно. Условия современной жизни
диктуют нам необходимость пребывать в постоянной гонке за карьерой, достатком,
благополучием. И все меньше времени и сил остается у нас на восстановление
утраченного в этой гонке здоровья. Дорогие витамины никогда не заменят
настоящего солнца, чистого воздуха и теплого моря. Именно многочисленные
санатории оздоровительного типа предлагают немалый выбор всевозможных
оздоровительных процедур, проведение которых поставлено на научную основу.
Многолетний опыт такого оздоровления позволил разработать незаурядные методики
восстановления здоровья отдыхающих с помощью природных ресурсов.
Огромное значение в практике имеет кинезотерапия (лечебная
физкультура и массаж). Она может быть подразделена на два вида: общетренирующая
и корригирующая. Первая направлена на общее оздоровление организма, вторая - на
исправление тех или иных нарушенных функций, в частности, органов движения или
органов дыхания (рестрикция или обструкция дыхательных путей). Большое, подчас
самостоятельное значение имеет лечебное питание. Оправданный выбор диеты,
способа кулинарной обработки, калорийности, состава нутриентов, в том числе
витаминов, пищевых волокон делает питание мощным лечебным фактором. В
результате, лечебное питание, применяемое в санаториях, является важнейшим
элементом комплексной терапии. Обычно его назначают в сочетании с другими
видами терапии. В одних случаях, при заболевании органов пищеварения или
болезнях обмена веществ, лечебное питание выполняет роль одного из основных
терапевтических факторов, в других создает благоприятный фон для более
эффективного проведения прочих терапевтических мероприятий. В соответствии с
физиологическими принципами построения пищевых рационов лечебное питание
строится в виде суточных пищевых рационов, именуемых диетами. Для практического
применения любая диета должна характеризоваться следующими элементами:
· энергетической ценностью
· химическим составом (определенное
количество белков, жиров, углеводов, витаминов, минеральных веществ),
· физическими свойствами пищи (объем, масса,
консистенция, температура),
· достаточно полным перечнем разрешенных и
рекомендованных пищевых продуктов,
· особенностями кулинарной обработки пищи,
· режимом питания (количество приемов пищи,
время питания, распределение суточного рациона между отдельными приемами пищи).
Диетотерапия требует дифференцированного и индивидуального
подхода. Только с учетом общих и местных патогенетических механизмов
заболевания, характера обменных нарушений, изменений органов пищеварения, фазы течения
патологического процесса, а также возможных осложнений и сопутствующих
заболеваний, степени упитанности, возраста и пола больного можно правильно
построить диету, которая в состоянии оказать терапевтическое воздействие, как
на пораженный орган, так и на весь организм в целом.
1.2
Организационная структура санатория «Дубрава» и функции ее основных элементов
Структуру санатории можно представить состоящей из следующих
основных компонент (см. Рис. 1.1):
Рис. 1.1 Организационная структура санатория «Дубрава»
Где:
· Жилой комплекс - совокупность жилых
корпусов и отделов, которые обеспечивают проживание клиентов в санатории;
· Лечебный комплекс - обеспечивает
проведение лечебных процедур для клиентов (проведение обследования клиентов,
назначение соответствующего поставленному диагнозу лечения, снабжение клиентов
необходимыми им лекарственными препаратами);
· Комплекс питания - обеспечивает клиентов
необходимым для каждого питанием (обследование клиента врачом-диетологом, выбор
системы питания и диеты, назначение соответствующего рациона питания).
· Спортивный комплекс - предоставляет
возможность клиентам посещать спортивный зал, бассейн и т.д.
· Культурно-развлекательный комплекс -
занимается культурно-развлекательными программами для клиентов санатория.
Кроме этих основных составляющих в рассматриваемом комплексе,
как видно из рисунка, имеются бухгалтерия, регистратура, архив для хранения
данных о клиентах, склады для хранения лекарственных препаратов, продуктов
питания, запасной мебели, приборов освещения, технического инвентаря и т.д.
Рассмотрим каждое подразделение санатория «Дубрава» подробнее
(см. рис. 1.2).
Подразделение «Администрация» состоит из 2-х человек -
генерального директора и его заместителя. В их непосредственном подчинении
находятся секретарь и юрист.
Подразделение «Регистратура» включает в себя два
отдела:
отдел регистратуры - занимается регистрацией поступающих и
выписывающихся клиентов;
архивный отдел - занимается ведением архивов со сведениями о
клиентах (личные данные, диагноз заболевания, назначенные системы отдыха и
питания).
Финансовый отдел занимается ведением
данных о финансах санатория; Бухгалтерия осуществляет контроль за
денежными потоками курортного комплекса.
Жилой комплекссанатория обеспечивает проживание клиентов
в номерах; он включает в себя:
- заведующий жилым комплексом - контролирует процесс
размещения клиентов в номерах;
- отдел администраторов, которые непосредственно
производят подбор номера для клиента и размещают его;
прачечная - осуществляет стирку и глажение белья;
технический персонал - осуществляет уборку номеров.
Лечебныйкомплекссанатория проводит
диагностику и лечение клиентов. В составе подразделения находятся:
- заведующий лечебным комплексом - контролирует
процесс лечения клиентов;
- диагностическое отделение - проводит обследование
клиента, ставит диагноз заболевания;
лечебное отделение - назначает систему лечения и
проводит лечебные процедуры;
фармацевтическое отделение - проводит
консультирование клиентов по лекарствам, назначает необходимый каждому набор
лекарств и осуществляет заказы лекарственных препаратов со склада.
Комплекс питания занимается подбором
системы питания для каждого клиента в зависимости от его заболевания и
диагноза, поставленного врачом-диетологом. В состав комплекса входят:
- заведующий комплексом питания - контролирует процесс
выбора системы питания и непосредственно процессом питания клиентов;
- отделение врачей-диетологов - проводит обследование
клиента, ставит диагноз, назначает систему питания;
кухня - осуществляет приготовление блюд в
соответствии с системой и рационом питания каждого клиента;
столовая - занимается кормлением к в соответствии с
системой и рационом питания каждого из них.
Спортивный комплекспредоставляет возможность
клиента посещать спортивный зал, бассейн и т.д. В состав комплекса входят:
- заведующий спортивным комплексом;
- спортивное отделение.
Культурно-развлекательный комплекс занимается
культурно-развлекательными программами для клиентов Санатория. В состав
комплекса входят:
- заведующий культурно-развлекательнымкомплексом;
- культурно-развлекательное отделение.
Материально-технический отдел проводит небольшие
ремонтные работы, а также осуществляет снабжение всех подразделений
санаторияхозяйственным инвентарем и хранение этого инвентаря. В состав отдела
входят:
- заведующий материально-техническим отделом -
контролирует работу своего отдела;
- материально-техническая часть - осуществляет
снабжение всех подразделений санатория техническим инвентарем;
отдел ремонта - проводит небольшие ремонтные работы.
Подразделение «Склады» занимается заказом
продуктов питания, медикаментов и материальных средств, их хранением и
доставкой в подразделения. В составе подразделения находятся:
- заведующий складами - контролирует работу складов;
- склад материальных средств;
склад лекарственных препаратов;
склад продуктов питания.
Выше были описаны все компоненты санаторного комплекса.
Теперь изобразим графически все подразделы комплексов и отделов санатория. На
рис. 1.2. представлена схема организационной структуры санаторного комплекса.
Рис. 1.2 Развернутая организационная структура санатория
«Дубрава»
Организационная структура санатория «Дубрава» является
линейно-функциональной, т.к. все руководители (заведующие) всех подразделений
управляют только своим отделом (или отделами) напрямую, т.е. линейно, и только
заместитель генерального директора осуществляет руководство всеми
подразделениями, находящимися на более низком уровне организационной структуры
санатория, т.е. является функциональным руководителем.
К высшему уровню управления в данной
организационной структуре относятся:
· Генеральный директор,
· Заместитель генерального директора,
· Заведующий финансовым отделом,
· Заведующие жилищным, лечебным комплексами
и комплексом питания.
К среднему уровню управления относятся:
· Заведующий регистратурой,
· Главврач, главный фармацевт,
· Заведующий складами
· Заведующий материально-техническим
отделом.
К низшему уровню управления относятся:
· Главный бухгалтер,
· Старший архива,
· Старший повар,
· Старший столовой.
· Главные ответственные каждого из складов.
В работе будет рассматриваться система оптимального питания,
которая реализуется комплексом питания в санатории «Дубрава» (См. Рис. 1.3).
Рис. 1.3. Структура системы «Оптимальное питание»
Следующим шагом изучения предметной области санатория
является рассмотрение функций, закрепленных за каждым подразделением.
Основными функциями администрации являются:
· контроль работы всех отделов санатория на
основании полученных
- отчетов об использовании материальных средств, продуктов
питания и лекарственных препаратов от бухгалтерии;
отчетов о результатах работы финансового отдела;
отчетов о результатах работы юридического отдела;
отчетов о количестве поступающих клиентов.
Функции регистратуры:
· регистрация информации о поступлении или выписке
клиента;
· регистрация информации о размещении
клиента;
· регистрация информации о поставленном
диагнозе и назначенной системе лечения;
· регистрация информации о поставленном
диагнозе и назначенной системе питания;
· составление отчетов о количестве
поступающих клиентов.
Функции финансового отдела:
· финансовый контроль работы санатория;
· запрос о количестве приобретаемых
продуктов, медикаментов и инвентаря и расчет их стоимости;
· составление отчетов о результатах работы
отдела.
Функции бухгалтерии:
· обработка информации о количестве блюд и
расчет их стоимости;
· обработка информации о количестве
лекарственных препаратов и их стоимости;
· обработка информации о количестве занятых
номеров;
· обработка информации обо всех материальных
средствах, продуктах питания и лекарственных препаратах на складе;
Функции жилого комплекса:
· обеспечение комфортных жилищных условий
клиентов;
· регистрация и размещение клиентов
санатория.
Функции лечебного комплекса:
· постановка диагноза и назначение лечения
клиентов;
· проведение лечебных процедур.
Функции комплекса питания:
· дополнительное обследование клиента (с учетом
диагноза, поставленного диагностическим отделением лечебного комплекса);
· назначение питания клиента,
соответствующее его диагнозу и общему состоянию;
· непосредственно питание клиента.
Функции материально-технического отдела:
· обеспечение предметами
материально-технического инвентаря для всех подразделений санатория;
· проведение небольших ремонтных работ.
Функции склада:
· хранение материально-технических
ценностей, продуктов и лекарственных препаратов и обеспечение ими всех
подразделений санатория.
Функции спортивного комплекса:
· проведение спортивных мероприятий;
· лечебная физкультура.
Функции культурного комплекса:
обеспечение проведения культурного досуга в санатории.
1.3
Функциональная модель санатория «Дубрава»
На основании изучения функций подразделений построим
функциональную модель санатория «Дубрава», которая позволит понять, как
взаимодействуют между собой все подразделения всего комплекса (где каждый блок
схемы включает отдельное подразделение санатория) (См. Рис. 1.4).
Рис. 1.4 Функциональная модель санатория «Дубрава»
1 - Путевка в санаторий «Дубрава»;
2 - информация о размещении клиента;
3 - предпочтения клиента в области спорта;
4 - предпочтения клиента в области культуры;
5- информация о количестве клиентов, пребывающих в
санаторий;
6 - информация о поставленном диагнозе и
назначенной системе лечения;
7 - диагноз заболевания клиента, поставленный
врачами диагностического отделения лечебного комплекса;
8 - отчеты о работе всех отделов санатория;
9 - запрос на предметы материально-технического
инвентаря и их предоставление;
10 - предоставление хранимых на складе продуктов,
лекарств и др.;
11 - запрос материально-технического отдела на
инвентарь со склада и его предоставление;
12 - информация о выписке клиента.
Как было отмечено выше, в работе будет детально
рассматриваться организация питания санатория, поэтому рассмотрим систему
«Оптимальное питание» детально.
Итак, как можно увидеть, что система «Оптимальное питание»
состоит из трех подразделений (См. Рис. 1.3):
- Врач-диетолог;
- Столовая;
Кухня.
Выделим основные функции системы «Оптимальное
питание»:
· дополнительное обследование клиента (с
учетом диагноза, поставленного диагностическим отделением лечебного комплекса);
· назначение питания клиента,
соответствующее его диагнозу и общему состоянию;
· непосредственно питание клиента.
За каждым участником данного процесса закреплен ряд функций.
Основные функции, закрепленные за каждым
элементом этого подразделения, являются следующие:
Функции врача-диетолога:
· определение системы
питания на планируемый срок;
· выбор альтернативного
продукта в блюде;
· замена блюда Бi
на эквивалентное ему блюдо Бj в рамках рациона, назначенного
врачом-диетологом.
Функции столовой:
· размещение клиентов;
· обеспечение правильного
режима питания.
Функции кухни:
· приготовление блюд в
соответствии с системой и рационом питания каждого клиента.
Клиент, поступивший в санаторий, получает
консультацию врача-диетолога, который, в соответствии с поставленным диагнозом,
назначает соответствующую диету. Клиент в течение всего времени пребывания в
санатории получает питание, с соответствующим диете количеством приемов пищи в
день (завтрак, обед, полдник и ужин).
В функции врача-диетолога также входит
процесс замены одного продукта на другой, эквивалентный первому по составу, в
случае отсутствия или нехватки его на складе. Информация об отсутствии или
недостаточном количестве продуктов на складе поступает к врачу-диетологу со
склада.
В столовой санатория имеются складские
помещения. В этих помещениях хранятся различные продукты, которые используются
для приготовления блюд. Каждый пищевой продукт может определяться некоторым
набором характеристик. Для каждого продукта можно указать содержание (на
единицу веса съедобной части продукта), белков, жиров, углеводов, минеральных
веществ, аминокислот, витаминов, а также калорийность. Эти данные необходимы
врачу-диетологу для расчета пищевой ценности каждого блюда и всего рациона
питания.
Также необходимой характеристикой каждого
продукта является цена продукта за 1 кг веса. Эти данные необходимы бухгалтерии
для расчета стоимости сырья для приготовления блюда.
В столовой имеется ассортимент
приготовленных блюд. Ассортимент блюд составляется c учетом имеющихся на складе
продуктов. Для приготовления какого-либо блюда используется определенный набор
продуктов.
Клиенты санатория могут выбирать, будут ли
они сидеть за столиками в соответствии с диетой, которую каждому из них
назначил врач-диетолог или они будут сидеть за отдельными столиками вместе с
теми, с кем они приехали и поселились в санатории (с семьей, друзьями и т.д.).
Таким образом, функциональная схема комплекса питания в
санатории будет выглядеть следующим образом (См. Рис. 1.5).
Рис. 1.5 Функциональная схема комплекса питания
Обозначения на схеме:
информационные потоки;
материальные потоки (блюда).
В приведенной схеме определим участников данного процесса:
· заведующий комплексом питания,
· врач-диетолог,
· повар,
· диетсестра.
Рассмотрим основные функции участников и проведем анализ
бизнес-процессов.
.4
Сценарий бизнес процессов системы «Оптимальное питание»
Выделим три основных процесса в системе «Оптимальное
питание»:
1
назначение
питания клиента, соответствующее его диагнозу и общему состоянию (определение
системы питания на планируемый срок, выбор альтернативного продукта в блюде,
замена блюда Бi на эквивалентное ему блюдо Бj в рамках рациона,
назначенного врачом-диетологом, дополнительное обследование клиента (с учетом
диагноза, поставленного диагностическим отделением лечебного комплекса));
- приготовление блюд в соответствии с системой и рационом
питания каждого клиента (обеспечение приготовления пищи, ведение учета
приготовленных блюд, составление заявок на необходимые продовольственные
товары, полуфабрикаты и сырье и др.);
питаниеклиентов в соответствии с системой и рационом каждого
из них (размещение клиентов в столовой, доставка блюд с кухни и др.).
Для того чтобы наглядно представить описанные выше
бизнес-процессы и четко понять функции, закрепленные за каждым участником,
сведем рассмотренные процессы в схему сценария бизнес процессов (см. Рис. 1.6).
Рис. 1.6 Сценарий бизнес процессов системы «Оптимальное
питание»
1- информация о количестве клиентов;
2 - меню;
3 - личные дела клиентов;
4 - режим работы комплекса питания;
5 - отчеты о работе врача-диетолога;
6 - отчеты об использовании продуктов в
приготовлении.
1.5
Описание и исследование документооборота рассмотренных функций
Организация работы с документами влияет на качество работы
аппарата управления, организацию и культуру труда управленческих работников. От
того, насколько профессионально ведется документация, зависит успех
управленческой деятельности в целом.
На основании проведённого исследования документооборота были
выявлены следующие документы:
Организация работы с документами влияет на качество работы
аппарата управления, организацию и культуру труда управленческих работников. От
того, насколько профессионально ведется документация, зависит успех
управленческой деятельности в целом.
На основании проведённого исследования документооборота были
выявлены следующие документы:
Входящие документы
|
Название типа
документа
|
Направление
|
Время
использования
|
Время хранения
|
|
Докладная записка
|
входящий
|
1 неделя
|
2 недели
|
|
Служебная
записка
|
входящий
|
1 день
|
1 месяц
|
|
Заказ
|
входящий
|
1 день
|
1 неделя
|
|
Накладная
|
входящий
|
1 день
|
1 месяц
|
|
Предписание
|
входящий
|
1 неделя
|
3 недели
|
|
Приказ
|
входящий
|
1 месяц
|
1 месяц
|
|
Распоряжение
|
входящий
|
1 день
|
1 месяц
|
|
Требование
|
входящий
|
1 месяц
|
1 месяц
|
|
Указание
|
входящий
|
1 день
|
1 месяц
|
Рис. 1.7 Классификация входящих документов
Исходящие документы
|
Название типа
документаНаправлениеВремя использованияВремя хранения
|
|
|
|
|
Ведомость
|
исходящие
|
1 месяц
|
1 месяц
|
|
Накладная
|
исходящие
|
1 год
|
1 год
|
|
Служебная записка
|
исходящие
|
1 неделя
|
1 месяц
|
|
Заявка на хоз.
Нужды
|
исходящие
|
1 месяц
|
1 месяц
|
|
Заявка на
продукты
|
исходящие
|
1 день
|
1 неделя
|
|
Отчет
|
исходящие
|
1 месяц
|
1 месяц
|
|
Материальный
отчет
|
исходящие
|
1 месяц
|
2 месяца
|
|
Приказ
|
исходящие
|
1 месяц
|
2 месяца
|
|
Письмо
|
исходящие
|
1 год
|
1 год
|
|
Распоряжение
|
исходящие
|
1 месяц
|
2 месяца
|
|
Указание
|
исходящие
|
1 месяц
|
1 месяц
|
|
Название типа
документа
|
Направление
|
Время
использования
|
Время хранения
|
|
Журнал
регистрации инструктажа на рабочем месте
|
внутренний
|
1 год
|
3 года
|
|
Журнал учета
продуктов
|
внутренний
|
1 месяц
|
1 год
|
|
Бракеражный
журнал
|
внутренний
|
1 неделя
|
1 месяц
|
|
Журнал
повышения квалификации работников
|
внутренний
|
1 год
|
1 год
|
|
Отчет по нормам
потребления
|
внутренний
|
1 месяц
|
1 год
|
|
Должностная
инструкция зав. Комплексом питания
|
внутренний
|
1 месяц
|
1 месяц
|
|
Документ
«Сводный порционник»
|
внутренний
|
1 месяц
|
1 месяц
|
|
Документ «Меню»
|
внутренний
|
1 день
|
1 день
|
|
Документ
«Данные о клиентах»
|
внутренний
|
постоянно
|
постоянно
|
|
Документ
«Данные о диетах»
|
внутренний
|
1 месяц
|
4 месяца
|
|
Документ
«Данные о блюдах»
|
внутренний
|
2 месяца
|
4 месяца
|
|
Карточка
заболевания клиента
|
внутренний
|
постоянно
|
постоянно
|
|
Информация о
количестве клиентов
|
внутренний
|
1 день
|
1 день
|
|
Информация о
эквивалентном блюде
|
внутренний
|
постоянно
|
постоянно
|
|
Информация о
витаминном и энергетическом составе продукта
|
внутренний
|
1 год
|
1 год
|
|
Документ о
количестве дежурных блюд
|
внутренний
|
2 дня
|
|
Документ о
количестве человек, питающихся по каждой диете
|
внутренний
|
1 день
|
1 день
|
|
Документ о
количестве блюд
|
внутренний
|
1 день
|
1 день
|
|
Информация о
столе, выбранном в соответствии с диетой
|
внутренний
|
1 неделя
|
2 недели
|
|
Журнал Рецептов
блюд
|
внутренний
|
постоянно
|
постоянно
|
|
Документ
перечня продуктов
|
внутренний
|
1 неделя
|
1 неделя
|
|
Журнал
наименования всех блюд
|
внутренний
|
1 месяц
|
1 месяц
|
|
Раздаточная
ведомость
|
внутренний
|
1 месяц
|
1 год
|
|
Рабочая
карточка повара
|
внутренний
|
1 месяц
|
1 месяц
|
|
Требование на
продукты
|
внутренний
|
постоянно
|
1 неделя
|
|
План график
работ с персоналом
|
внутренний
|
1 год
|
1 год
|
Рис. 1.8 Классификация исходящих документов
Рис. 1.9 Классификация внутренних документов
Результатом проведения предпроектного обследования и анализа
всех документов, фигурирующих в системе диетпитания является таблица
документов.
|
Тип информации
|
Процент от
общего числа, %
|
|
Входящая
|
19.2
|
|
Исходящая
|
25.5
|
|
Внутренняя
|
55.3
|
Рис. 1.10 Общая картина документооборота
обранная информация позволяет получить представление о
принципах функционирования системы оптимального питания в санатории «Дубрава»,
участвовавшей в обследовании. Таким образом, от того, насколько полно были
отображены процессы, протекающие в санатории, в собранной документации, зависит
полнота и достоверность создаваемой модели. Так же на основании такого анализа
можно оценить информационную загруженность в целом, отдельных подразделений.
На основании проведённого анализа, было выявлено, что
преобладает внутренняя информация, поэтому ей следует уделить большее внимание.
.6
Математическая модель оптимального питания в санатории «Дубрава»
В качестве объекта моделирования рассмотрим подразделение
«Врач-диетолог» системы «Оптимальное питание», как самое важное звено,
определяющее принципы работы будущей системы.
Рассмотрим подробно, как функционирует это подразделение,
чтобы смоделировать его математическую модель, а затем произвести ее
оптимизацию.
Врач-диетолог при составлении диеты для к должен учитывать
витаминный и энергетический составы продуктов, используемых при приготовлении
блюд. Каждый пищевой продукт Пi, оценивается количеством белков, жиров,
углеводов, минеральных веществ, аминокислот, витаминов и энергетической
ценности. Таким образом, каждый продукт может характеризоваться некоторым
набором атрибутов. В столовой имеется ассортимент приготовляемых блюд.
Ассортимент блюд составляется с учетом имеющихся на складе продуктов.
Для наглядного представления механизма формирования диеты, с
учетом необходимых веществ, запишем это в следующем математическом виде:
Пусть у врача-диетолога имеется m различных продуктов
F1,…, Fm. Из них он должен составить диету. Требуется,
чтобы диета имела определенное количество питательных веществ, пусть их n:
N1,…, Nn.
Предположим, что каждому человеку в год необходимо С1
единиц N1, C2 - N2,…, Cn - Nn.
Обозначим через aijколичествоj-го вещества,
содержащегося в i-м продукте. Предположим, что врач выбрал диету,
согласно которой в год каждый должен потреблять не менее y1единиц
продукта F1, y2 - F2, …, ym
- Fm
Рассмотрим питательное вещество N1. Так как в единице
продукта F1 содержится a11вещества N1, тогда
в y1единице продукта содержится a11*y1вещества
N1. Для Fmвymединице содержится am1*ymвещества
N1.Во всей диете общее количество N1:
. Аналогично для остальных веществ.
(1)
Диета, для которой выполняется выражение (1), называется
допустимой диетой. Выполнение данного условия позволяет сформировать
оптимальную диету.
Для приготовления какого-либо блюда из диеты используется
определенный набор продуктов. Набор продуктов {П} для приготовления блюда Бj является набором атрибутов этого блюда.
Можно записать:
Б1= {П11, П31,
П251, Пе1,…};
Б2= {П12, П22,…
П102, Пк2,…};
:
:
Бj= {П7j, П13j, П15j},
где Пij - i-й продукт, используемый
для приготовляемого j-го блюда
(i-вид продукта).
Длина набора атрибутов для каждого блюда может быть различной
и определяется количеством продуктов, необходимых для приготовления данного
блюда. Множество продуктов для приготовления каждого из блюд могут
пересекаться, т.е. для приготовления разных блюд могут использоваться одни и те
же продукты, а некоторые множества могут быть уникальными. Значениями
атрибутов, характеризующих блюдо, является вес брутто продукта, необходимый для
приготовления одной порции данного блюда.
Отношения между блюдами, имеющимися в ассортименте, и
продуктами, находящимися на складе и идущими на приготовление блюд, можно
представить в виде двудольного графа, позволяющий наглядно представить модель
взаимодействия блюд и продуктов (рис. 1.11).
Рис. 1.11 Общий вид двудольного графа связи блюд и продуктов
Множество вершин {Бj} на графе отражает
множество блюд, а множество вершин {Пi} - множество продуктов.
Дуги отражают связь каждого блюда с продуктами, используемыми для его
приготовления. Каждая дуга содержит вес брутто Вji - вес i-го продукта, необходимый
для приготовления одной порции j-го блюда.
Таким образом, путем инициализации одной из вершин Бj можно получить для блюда
Бj список продуктов,
необходимых для приготовления этого блюда, а также вес каждого продукта для
приготовления одной порции. Эти данные необходимы для расчета количества сырья
(по каждому продукту), которое кухня должна запросить со склада для
приготовления блюд (с учетом необходимого числа порций по каждому из блюд).
Аналогично можно выразить соответствие блюд Бj и диет Дiс
помощью двудольного графа на рис. 1.12.
Рис. 1.12 Двудольный граф соответствия блюд и диет
На рис. 1.12. kij - калорийность j-го блюда вi-ой диете.
Для полного представления механизма формирования блюд,
согласно выбранной диете, построим модель, использую метод БАС, позволяющий
производить анализ, выбор, упорядочивание и оптимизацию модели, если
потребуется.
На каждый день недели имеется меню, в которое входят блюда
для завтрака, обеда, полдника и ужина. Имеются указания на то, к какой диете
каждое блюдо относится, причем одно и тоже блюдо может относиться к разным
диетам. Каждый клиент может выбрать блюда на завтрак, обед, полдник и ужин в
соответствии со своей диетой. Взяв различное сочетание блюд на завтрак, обед,
полдник и ужин, а также на весь день можно получить все возможные варианты для
данной диеты.
Для всех приемов пищи существуют следующие категории блюд:
Q1r - закуски (салаты и
др.);
Q2r - первое блюдо (супы);
Q3r - второе блюдо (мясное
или рыбное блюдо с гарниром);
Q4r - третье блюдо
(напитки);
Q5r - десерт (сладости или
хлебобулочные изделия).
Следовательно, один прием пищи в общем случае может содержать
все эти категории блюд:
Qr = {Q1r, Q2r, Q3r, Q4r, Q5r}
или
Qr = {Qir},
где i = 1, 2,…, 5.
Для каждой из категорий существует свой набор
блюд:
Q1r = (Б11r, Б12r,…, Б1jr,…, Б1mr);2r
= (Б21r,…, Б2jr,…, Б2lr);
Q3r = (Б31r,…, Б3jr,…, Б3kr);
Q4r = (Б41r,…, Б4jr,…, Б4hr);5r
= (Б51r,…, Б5jr,…, Б5gr).
При этом одно и то же блюдо может принадлежать к разным
категориям.
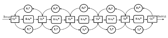
На основе этих данных можно сформировать
блочно-альтернативную сеть для завтрака (см. рис. 1.13.). Набор категорий блюд
завтрака включает:
QЗ = (Q13,Q43, Q5З).
Рис. 1.13 БАС завтрака
Сочетание различных блюд {БijЗ} образует маршрут МeЗ на сети завтрака.
Маршрут выбирается целенаправленно, в соответствии с определенной диетой, т.е.
с учетом блюд, разрешенных для данной диеты Дk.
На сети получаем множество маршрутов МkЗ = {MkeЗ}, где
k - номер диеты,
k = 1,…, D, где D - количество диет;
е =1,…, LЗ, где LЗ - количество маршрутов по данным D диетам для завтрака;
МkeЗ = (Б1jЗ, Б4jЗ, Б5jЗ),
где индекс j - номер блюда в списке блюд определенной категории.
В общем случае маршрут выбора блюд на весь день для клиента с
определенной диетой Дk можно записать в виде:
Мkе = {МkeЗ, МkeО, МkeП, МkeУ},
где k - номер диеты,
e - номер маршрута.
Таким образом, для каждой из диет имеем определенное число
маршрутов выбора блюд. Тогда диету как совокупность маршрутов выбора блюд можно
записать в виде:
Дk = {Мk1,…, Мke,…, МkL}.
Следовательно, для завтрака определенная диета Дk будет иметь вид: ДkЗ = {Мk1З,…, МkeЗ,…, МkLЗ}, k = 1, 2, …, D.
Каждый из маршрутов Мke3 характеризуется
калорийностью, содержанием белков, жиров, углеводов, а также витаминов и
минеральных веществ:
Мke3 = Мke3 (Кke3, БЛke3, Жke3, Уke3, Вke3, МВke3),
k=1,…, D,
е =1,…, L.
Аналогичным образом может быть представлена БАС для обеда QО (см. рис. 1.14)
QО = {QiО}, i =1,…, 5;
QiО = (Бi1О, Бi2О,… БijО,… БiNО).
Маршруты на БАС для обеда определяются путем
выбора по одной альтернативной вершине для каждой категории блюд с учетом
диеты:
ДкО = (Мk1О, Мk2О,…, MkS О)
МkО = {Mk1О}, k =1,…, N;
MksО = (Б1jО, Б2jО, Б3jО, Б4jО)
МksО = МksО (КksО, БЛksО, ЖksО, УksО, ВksО, МВksО);
k =1,…, N; s =1,…, S.
Рис. 1.14 Блочно-альтернативная сеть обеда
Блочно-альтернативная сеть полдника (см. рис. 1.15.) состоит
из двух элементарных блоков:
QП={Q1П, Q4П}.
Рис. 1.15 Блочно-альтернативная сеть полдника
QiП = (Бi1П, Бi2П,…, БiNП);
МkП = {МkpП}, k = 1,…, D, p = 1,…, P;
МkpП = (Б1jП, Б2jП);
ДкП = (Мk1П, Мk2П,… МkpП);
МkpП = МkpП (КkpП, БЛkpП, ЖkpП, УkpП, ВkpП, МВkpП).
Аналогично, можно представить БАС ужина (см. рис. 1.16.).
QУ ={Q1У, Q3У, Q4У, Q5У};
QiУ =(Бi1У, Бi2У,…, БiNУ);
Мkу ={Мkyу}, k = 1,…, D, y = 1,…, Y;
Мkpу =(Б1jу, Б2jу);
Дку = (Мk1у, Мk2у,…, Мkyу);
Мkyу = Мkpу (Кkyу, БЛkyу, Жkyу, Уkyу, Вkyу, МВkyу).
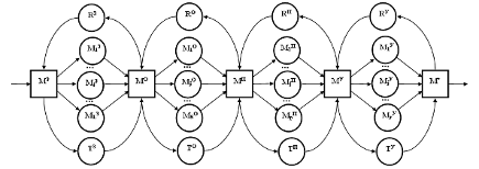
Рис. 1.16Блочно-альтернативнаясеть ужина
Выбор блюд на день методом БАС
Последовательно соединив все БАС завтрака, обеда, полдника и
ужина, получим полную БАС одного дня; она представлена на рис. 1.17.
Рис. 1.17. Полная БАС блюд на один день
Как уже говорилось выше, определенная
диета представляет собой множество всех маршрутов выбора блюд:
Дk= {Mkе},
где k - номер диеты, k = 1,…, D;
e - номер маршрута, e = 1,…, L.
А каждый маршрут включает в себя множество
маршрутов выбора блюд каждого приема пищи:
Мkе = {МkeЗ, МkeО, МkeП, МkeУ}.
Множество всех маршрутов на БАС
представлено на рис. 1.18.
Рис. 1.18. Незамкнутая БАС маршрутов выбора блюд
2.
Подготовка к проектированию
.1
Оптимизация математической модели
Рассмотрим объект оптимизации, то есть систему «Оптимальное
питание», как объект управления с входными и выходными параметрами Х и У:
={
}.
Рассмотрим входные вектора объекта:
= (номер клиента, фамилия, имя, отчество клиента, дата рождения
клиента, заболевание клиента) - картаклиента.
=(номер диеты, название диеты, энергетическая ценность диеты,
белки диеты, жиры диеты, углеводы диеты, витамин А, витамин В1,
витамин С, минерал Са, минерал Fe, минералKa) - содержание диет.
=(номер блюда, название блюда, рецепт блюда) - список блюд.
=(номер продукта, название продукта, энергетическая ценность
продукта, белки продукта, жиры продукта, углеводы продукта, витамин А, витамин
В1, витамин С, минерал Са, минерал Fe, минералKa) - содержание продуктов.
= (номер диеты, номер стола диеты) - соответствие столов диетам.
= (номер диеты, номер приема пищи, прием пищи) - соответствие
приемов пищи диетам.
= (номер приема пищи, номер категории, категория) - соответствие
категорий приемам пищи.
= (номер блюда, номер категории) - соответствие блюд категориям.
= (диета, заболевания) - соответствие заболеваний диетам.
На выходе системы будут:
-рекомендуемая диета клиента;
-содержание блюд;
- подборка альтернативного блюда;
- подборка альтернативного продукта;
- рацион питания клиентов;
- количество каждого блюда;
- количество пациентов каждой диеты.
Наглядно оптимизация системы «Оптимальное питание» будет выглядеть
следующим образом (рис. 2.1).
Рис. 2.1 Модель оптимизации системы «Оптимальное питание»
Более подробно систему «Оптимальное питание» можно
представить следующим образом (рис. 2.2).
Рис. 2.2 Оптимизация «Оптимальное питание» с информационными
элементами
Где Е1, Е2, …, Е7, Е8
- информационные элементы объекта оптимизации.
Теперь остановимся на самых важных звеньям данной подсистемы,
оптимизация которых позволит значительно сократить время выполнения некоторых
операций, а также поможет повысить производительность будущей системы. К
рассматриваемым объектам оптимизации относится: формирование диеты клиента,
подборка альтернативного меню.
Оптимизация
составления оптимальной диеты
Пусть у врача-диетолога имеется n различных продуктов F1, F2,…, Fn, из которых надо
составить диету с учетом их питательности. Пусть для нормального питания
человеку необходимо m веществ N1, N2, …, Nm. Предположим, что за
месяц каждому человеку необходимо g1 кг вещества N1, g2 кг вещества N2,…, gm кг вещества Nm. Для составления диеты
необходимо знать содержание питательных веществ в каждом продукте. Обозначим
через aij количество i-го питательного вещества, содержащегося в одном килограмме j-го продукта. Всю эту
информацию представим в виде, так называемой, матрицы питательности (табл.
2.1).
Таблица 2.1 Матрица питательности
|
Питательное
вещество
|
Продукт
|
|
 …
|
|
|
|
|
  …
|
|
|
|
|
|
  …
|
|
|
|
|
|
…
|
…
|
…
|
…
|
…
|
|
  …
|
|
|
|
|
Предположим, что диетолог уже выбрал диету, т.е. определил,
что человек должен за месяц потреблять h1 кг продукта F1,…,hn кг продукта Fn. Полное количество
питательного вещества N1 будет
По условию требуется, чтобы его, по крайней мере, хватило (1)
(1)
Точно то же и для остальных веществ. В целом (2)
(2)
Эти условия определяют наличие минимума необходимых питательных
веществ. Диета, для которой выполнены условия (2) - допустимая диета.
Предположим, что из всех допустимых диет должна быть выбрана самая дешевая.
Пусть pi - цена 1 кг продукта Fi. Полная стоимость диеты, очевидно (3).
(3)
Таким образом, мы пришли к задаче: найти неотрицательное решение h1,…, hn системы неравенств (2), минимизирующее
выражение (3).
С чисто математической стороны решение данной задачи требует
чтобы:
) все эти значения были неотрицательны;
) удовлетворяли системе линейных уравнений или линейных
неравенств;
3) при этих значениях некоторая линейная функция имела бы
минимум.
Таким образом, задача составления оптимальной диеты принимает
следующийвид (4):
(4)
и линейная функция (5)
(5)
Требуется найти такое неотрицательное решение (6)
(6)
системы (4), чтобы функция / принимала наименьшее значение.
Условия (8) называют ограничениями данной задачи, а функцию f
- целевой функцией (или линейной формой).
Решение данной задачи помогает узнать необходимое потребление
продуктов, содержащие в себе все необходимые питательные вещества, а также
позволит оптимально составить диету при минимальных затратах.
Оптимизация
подборки альтернативного меню
Анализ БАС, построенной на основе изучения предметной
области, показал, что, врачу-диетологу необходимо составлять рационы питания
пациентов каждый день, таким образом, алгоритм навигации на БАС маршрутов
выбора блюд должен быть замкнутым. Замкнутая БАС маршрутов выбора блюд
представлена на рис. 2.3.
Рис. 2.3 Замкнутая БАС маршрутов выбора блюд
Преимущество использования замкнутой БАС с использованием
алгоритма заключается в формирование вершинного маршрута, т.к. основная цель
таких алгоритмов заключается в определении каждого элемента, в оценке
согласованности с другими, а маршрут интерпретируется как модель результата
решения (Рис. 2.4).
Рис. 2.4. Алгоритм составления меню
Если необходимо сгенерировать некоторую совокупность решений,
то формируется несколько маршрутов, образующих парадигму решений. На массиве
решений возможны реализации задач анализа, выбора, упорядочивания, оптимизации.
2.2
Анализ существующих информационных систем поддержки организации оптимального
питания
На данный момент существует большое количество
автоматизированных информационных систем поддержки организации оптимального
питания. Но во всех системах присутствует один недостаток, это узконаправленная
специфика, т.е. нет возможности проследить жизненный цикл услуги от назначения
диеты врачом до непосредственного приема пищи проживающим. Выделим для примера
две информационные системы «1C-АНАЛИТ: Диетпитание» и «ДИП Диетпитание 3.1».
Информационная система «АНАЛИТ: Диетпитание» узко направлена, хотя и имеет
некоторые функции, которых нет у информационной системы «ДИП Диетпитание 3.1».
Хотя обе информационные системы реализована с помощью современных технических
средств, в состав их не входят некоторые функции которые могли бы существенно
облегчить работу персонала санатория «Дубрава».
Информационная
система «1С-АНАЛИТ: Диетпитание»
Конфигурация «АНАЛИТ: Диетпитание» предназначена для
автоматизации задачи обеспечения учреждения лечебным питанием. Данная задача
затрагивает сразу несколько служб учреждений.
Диетслужба
Данная служба должна обеспечить формирование меню на каждый
день. При этом необходимо учитывать множество различных факторов. Эта служба
должна составить меню исходя из количества питающихся, состава и количества
имеющихся продуктов на складе. Меню формируется по различным диетам учреждения,
при этом должны полностью учитываться все особенности этих диет-столов. Должен
вестись контроль за количеством белков, жиров, углеводов, калорийностью
питания, минеральным, витаминным составом блюд. Необходимо соблюдать
определенные пропорции в распределении этих характеристик в течении всего дня.
Продслужба
Эта служба должна вести учет прихода, расхода, сроков
годности продуктов на складе
Бухгалтерия.
Данная служба аккумулирует данные из первых двух служб.
Формируется необходимая отчетность по движению продуктов, стоимости питания
больных и т.д.
При создании программы разработчики стремились упростить
порядок работы в конфигурации, и при этом, ни сколько не уменьшить состав
решаемых ею задач. Это стало возможным благодаря использованию разветвленной
системы справочников. Они заполняются на этапе ввода системы в эксплуатацию и
входе работы могут пополняться и корректироваться.
В справочной системе хранится подробная информация о
продуктах, карточках раскладках блюд, недельных меню учреждения, используемых
диетстолах, нормах лечебного питания и т.д. Реализованы такие понятия как:
- сезонные продукты (продукты, нормы отхода
которых определяются сезоном)
- производные продукты (продукты получаемые
в ходе технологического процесса)
- штучные продукты (проходящие по складу в
штуках, а по диет-службе в граммах)
- продукты с неизвестным весом (приходуются
на склад в килограммах, назначаются диет-службой в штуках).
При поступлении продуктов на склад лечебного учреждения
заполняется документ «Приходная накладная». При оформлении этого документа из
справочника «Продукты» выбирается наименование продукта, указываются
количество, цена за единицу и срок годности. Единица измерения (например, банка
металл. 338 г.) также выбирается из соответствующего справочника. На основании
цены за единицу продукта в дальнейшем будет рассчитана средне взвешенная
стоимость питания пациентов по различным дням, пищеблокам и диетам.
Если необходимо сформировать меню на будущий период, а
продукты еще не поступили (в основном это относится к скоропортящимся
продуктам), то можно ввести документ «Планирование». Цены на продукты этот
документ не содержит, так как они могут быть еще неизвестны. После поступления
продуктов на основании документа «Планирование» формируется «Приходная
накладная».
Меню на каждый день формируется на основании «Недельного
меню» лечебно-профилактического учреждения. Их в системе может быть определено
любое количество. При формировании недельного меню существует возможность
сформировать его на основании уже созданного. Можно выделить, откорректировать
и вставить обратно в недельное меню перечень блюд по отдельной диете.
Ежедневную работу в программе по формированию меню на каждый
день можно разделить на три этапа.
Первый этап: корректировка численности питающихся в
учреждении. После внесения всех изменений печатается «Сводная ведомость»
Второй этап: создание одного экземпляра документа «Расчет
меню». По умолчанию в данный документ загружается меню из указанного недельного
меню, на требуемый день недели. В соответствии с наличием продуктов на складе
его можно корректировать. Причем корректировка возможна как до начала, так и в
процессе расчета. (Под расчетом понимается автоматический процесс
резервирования продуктов на складе). При необходимости можно внести в меню
индивидуальные столы. В процессе расчета может выясниться, что какого либо
продукта не хватает для приготовления блюда в нужном количестве, в таком случае
программа предложит перечень возможных замен. Если и возможных замен
недостаточно, можно заменить блюдо целиком. При замене контролируется
допустимость замены одного блюда на другое. На любом этапе предусмотрена
возможность контроля количества белков, жиров, углеводов, калорийности питания
больных по различным диетам учреждения, вплоть до каждого приема пищи. По
окончании расчета автоматически формируются требования на получение продуктов.
Отдельно для «весовых» продуктов, отдельно для продуктов, вес которых нельзя
определить заранее (апельсины - приходуются в килограммах, назначаются по 1
штуке на человека). Кроме требований автоматически формируются другие
необходимые печатные формы: «Меню», «Бракеражный журнал», «Меню-раскладка»,
«Раздаточная ведомость».
Третий этап: печать полученных документов. Дополнительно
можно получить отчет о соответствии питания нормам лечебного пайка, стоимости
питания. Кроме этого конфигурация позволяет учитывать консультативную
деятельность диет-врача, допуск персонала к работе, ведется производственный
журнал и т.п.
Выдача продуктов производится на основании требований,
сформированных диет-службой. При выдаче, для отдельных категорий продуктов
допускается округление отпускаемого количества. Кроме выдачи по требованиям
допускается отпуск продуктов по расходной накладной. Это может быть выдача
молока «за вредность», отпуск соли на процедуры и т.д. При изменении
численности питающихся можно оформить возврат / дополучение продуктов со
склада. Соответствующие документы формируются автоматически (по желанию
ответственных работников).
Все отчеты в данной конфигурации можно условно разделить на
две части:
- используемые в повседневной деятельности;
- необходимые для составления бухгалтерской
отчетности.
К первой группе относятся: «Остатки продуктов на складе»,
«Сроки годности», «Соответствие нормам лечебного питания» и т.д.
Ко второй группе можно отнести «Сводная оборотная ведомость
по продуктам», «Развернутая оборотная ведомость по продуктам», «Стоимость
питания» и т.д.
Кроме этого предусмотрена печать всех справочных материалов,
заведенных в систему.
Информационная
система «ДИП Диетпитание 3.1»
Программный комплекс Диетпитание разработан
«Научно-производственным центром «ДИП» совместно со специалистами Института
Питания РАМН и предназначен для автоматизации диетслужб больниц, медицинских
институтов и центров, а также других оздоровительных учреждений. Эксплуатация
комплекса соответствует технологии, утвержденной Приказом Минздрава №330 от
05.08.03.
В комплексе полностью автоматизирована ежедневная работа
диетврача (диетсестры) по расчету диетпитания и формированию всех необходимых
документов на пищеблоке: картотеки блюд, меню на день, меню-раскладки,
бракеражного журнала, раздаточных ведомостей, отчетов, а также всей нормативной
документации, рекомендованной Институтом Питания РАМН: картотеки блюд, типового
семидневного меню по всем основным диетстолам.
Программный комплекс позволяет производить расчет
диетического питания стационара, вести учет приготовления блюд в пищеблоке и
контролировать движение продуктов на продовольственном складе. Расчет
диетического питания производится в зависимости от количества больных по
различным диетстолам и дням недели на основе текущего недельного меню.
Автоматический расчет белков, жиров, углеводов, калорийности блюд позволяет
диетологу контролировать их количественный и качественный состав. Технология
приготовления каждого блюда в карточке-раскладке обеспечивает оперативность
работы пищеблока.
В программе предусмотрены печать картотеки блюд, меню на день,
меню-раскладки, бракеражного журнала, раздаточных ведомостей и других
стандартных документов, используемых диет-службами стационаров, а также
формирование необходимых отчетов.
Для хранения в комплексе информации о диетических столах,
карточках-раскладках блюд, ежедневной норме выдачи продуктов питания на одного
довольствующегося и других данных в конфигурации применяются соответствующие
справочники.
Карточки-раскладки блюд
Карточки-раскладки блюд хранятся в справочнике «Блюда». В них
представлена информация о выходе готового блюда и полуфабриката, о содержании
белков, жиров, углеводов и калорийности готового блюда, технология его
приготовления и другие данные. При формировании карточки-раскладки
врач-диетолог выбирает из справочника «Продукты питания» необходимые
ингредиенты и добавляет их в карточку. Стоимость блюд рассчитывается программой
автоматически, исходя из цен на продукты и их количества. Карточка-раскладка
имеет стандартную печатную форму.
Меню, Заказы и Требование
Для ввода в систему новых меню по каждой диете на
определенный день недели, а также для редактирования ранее созданных меню в
конфигурации предназначен документ «Формирование меню». Информация о блюдах при
заполнении этого документа выбирается из справочника «Блюда». В программе предусмотрено,
что каждый прием пищи (1-й завтрак, 2-й завтрак и т.д.) может состоять максимум
из семи блюд (Закуска, Первое блюдо и т.д.).
Работа с документом начинается с выбора диетического стола и
дня недели. Если для выбранных параметров в системе уже существует ранее
введенный документ, то он автоматически откроется и его можно отредактировать.
В процессе работы с документом «Формирование меню» в любой момент, например,
после добавления очередного блюда можно проконтролировать текущее содержание
белков, жиров, углеводов и количество калорий, а также состав продуктов и
затраты на питание больного. Программа позволяет присвоить меню статус
«эталонного», то есть используемого в дальнейшем для конкретных дня недели и
диеты «по умолчанию».
В Документе «Заказ блюд» обобщается информация о заказанных
блюдах по всему стационару. Поэтому этот документ формируется по всем
диетическим столам и отделениям на всех довольствующихся. В каждую строку
табличной части документа «Заказ блюд» вводится информация о подразделении, диетическом
столе и о количестве порций «до обеда» и «после обеда». В зависимости от
выбранной диеты и дня недели программа автоматически подставит в документ
соответствующее им эталонное меню. Документ «Заказ блюд» может быть двух видов
- «Выдача продуктов» и «Возврат продуктов».
После того, как сформированы все заказы на текущий день,
вводится документ «Требование на продукты», который может быть двух видов.
Заполнение этого документа всеми текущими заказами выбранного вида производится
автоматически. Документ «Требование на продукты» имеет печатную форму. Если
после ввода «Требования» поступят новые заказы, то в этом случае составляется
новое «Требование», и в него автоматически попадет информация только из тех
заказов, по которым ранее «Требование» созданы не были. Документ «Требование на
продукты» при проведении автоматически, в зависимости от выбранного вида
(«Выдача продуктов» или «Возврат продуктов») формирует соответствующие
проводки.
Для удобства работы с документами по диетическому питанию в
программном комплексе предусмотрены журналы документов. Журналы «Заказы блюд» и
«Меню» применяются для просмотра, редактирования и удаления документов
соответствующего вида. Со всеми без исключения документами диетической службы
можно работать, используя журнал «Диетпитание».
Программный комплекс «Диетпитание» позволяет формировать
различные отчеты по диетпитанию. Это «Раздаточная ведомость (отделения)» и
«Раздаточная ведомость (кухня)», «Сводный порционник», «Раздаточная карточка» и
другие. Возможна также печать журналов.
Сравнительный
анализ рассмотренных информационных систем
Проведем сравнительную характеристику информационных систем
Метод анализа иерархий является систематической процедурой для иерархического
представления элементов, определяющих суть проблемы. Метод состоит в
декомпозиции проблемы на все более простые составляющие части и дальнейшей
обработке последовательности суждений лица, принимающего решения, по парным
сравнениям. В результате может быть выражена относительная степень
(интенсивность) взаимодействия элементов в иерархии. Эти суждения затем
выражаются численно. Метод анализа иерархий включает в себя процедуры синтеза
множественных суждений, получения приоритетности критериев и нахождения
альтернативных решений. Такой подход к решению проблемы выбора исходит из
естественной способности людей думать логически и творчески, определять события
и устанавливать отношения между ними.
Формирование структуры модели принятия решения в методе
анализа иерархий достаточно трудоемкий процесс. Однако в итоге удается получить
детальное представление о том, как именно взаимодействуют факторы, влияющие на
приоритеты альтернативных решений, и сами решения. Как именно формируются
рейтинги возможных решений и рейтинги, отражающие важность факторов. Процедуры
расчетов рейтингов в методе анализа иерархий достаточно просты (он не похож на
«черный ящик»), что выгодно отличает данный метод от других методов принятия
решений.
Сбор данных для поддержки принятия решения осуществляется
главным образом с помощью процедуры парных сравнений. Результаты парных
сравнений могут быть противоречивыми. При этом возникает необходимость
пересмотра данных для минимизации противоречий. Процедура парных сравнений и
процесс пересмотра результатов сравнений для минимизации противоречий часто
являются трудоемкими. Однако в итоге лицо, принимающее решение, приобретает
уверенность, что использующиеся данные являются вполне осмысленными.
Суть метода заключается в том, что сначала определяется
перечень критериев выбора и вес, т.е. важность, каждого из этих критериев, а
затем эксперты, участвующие в выборе, указывают для каждого из предложенных
вариантов оценки по каждому критерию.
Иерархия строится с вершины - цели анализа, через
промежуточные уровни (критерии, по которым производится сравнение вариантов) к
нижнему уровню (который является перечислением альтернатив).
Таблица2.2 - Сравнительный анализ 1C-АНАЛИТ: Диетпитание, ДИП
Диетпитание 3.1, Разработанная ИС
|
Критерии
сравнения
|
1C-АНАЛИТ:
Диетпитание
|
ДИП Диетпитание
3.1
|
Разработанная
ИС
|
|
Формирование
меню на каждый день
|
Средний уровень
|
Низкий уровень
|
Высокий уровень
|
|
Учет сроков
годности продуктов
|
Низкий уровень
|
Низкий уровень
|
Высокий уровень
|
|
Формирование
отчета меню-требование.
|
Средний уровень
|
Низкий уровень
|
Высокий уровень
|
|
Наличие
отчетных форм по движению продуктов
|
Средний уровень
|
Средний уровень
|
Высокий уровень
|
|
Просмотр
назначений диет проживающим (интегрированная версия)
|
Низкий уровень
|
Низкий уровень
|
Высокий уровень
|
В таблице 2.2 перечислены функции, которыми должна обладать
система для организации диетпитания.
Начну с построения матрицы попарных сравнений для критериев.
Значения из шкалы относительной важности вписываю в ячейки, образованные
пересечением соответствующей строки и столбца.
Таблица 2.3 - Относительные веса критериев
|
Критерии
сравнения
|
Формирование
меню на каждый день
|
Учет сроков
годности продуктов
|
Формирование
отчета меню-требование.
|
Наличие
отчетных форм по движению продуктов
|
Просмотр
назначений диет проживающим
|
Оценки
компонент собственного вектора
|
Нормализованные
оценки вектора приоритета
|
λ max
|
|
Формирование
меню на каждый день
|
1
|
1/4
|
1/3
|
1/3
|
1/5
|
0,232179
|
0,04117
|
0,82141
|
|
Учет сроков
годности продуктов
|
4
|
1
|
2
|
3
|
1/3
|
1,227514
|
0,46137
|
1,36013
|
|
Формирование
отчета меню-требование.
|
3
|
½
|
1
|
1/5
|
1/4
|
0,595779
|
0,07314
|
0,75274
|
|
Наличие
отчетных форм по движению продуктов
|
1/3
|
5
|
1
|
1/2
|
0,741808
|
0,23243
|
0,38218
|
|
Просмотр
назначений диет проживающим
|
5
|
3
|
4
|
2
|
1
|
3,747315
|
0,38423
|
2,35821
|
|
ИТОГО:
|
16
|
5,08
|
12,3
|
6,53
|
2,28
|
6,544518
|
|
5,67467
|
Заполнив таблицу2.3, сначала определяю оценки компонент собственного
вектора, которые получаются как произведение относительных весов критерия по
горизонтали, возведенного в степень 1/5 (где 5 - количество критериев).
Например, рассчитаю оценку собственного вектора для
критерия «Формирование меню на каждый день»:
(1*1/4*1/3*1/3*1/5)1/5 = 0,232179
Аналогично определяю остальные критерии.
Для того же критерия «Формирование меню на каждый день»
вычисляю нормализованные оценки вектора приоритета, разделив оценки
собственного вектора на их сумму, равную 6,415485.
,232179 / 6, 544518 = 0, 04117Так же рассчитываю остальные
критерии.
Получив сумму по каждому критерию в столбцах, вычисляю
значение матрицы, умножая нормализованные оценки вектора приоритета на эту
сумму. Например, для критерия «Формирование меню на каждый день»:
*0, 04117 = 0, 82141
Просуммировав, получаем максимальноесобственное значение
матрицы (λ max).
λ max = 5,67467
Таблица 2.4 - Сравнение ИС
|
Критерии
|
Нормализованные
оценки вектора приоритета
|
|
Формирование
меню на каждый день
|
0,04117
|
|
Учет сроков
годности продуктов
|
0,46137
|
|
Формирование
отчета меню-требование.
|
0,07314
|
|
Наличие
отчетных форм по движению продуктов
|
0,23243
|
|
Просмотр
назначений диет проживающим
|
0,38423
|
Сравнивая нормализованные оценки вектора приоритета можно
сделать вывод, что наибольшее значение я придаю критерию «Простота освоения и
использования», наименьшее - «Формирование меню на каждый день».
Далее определяю индекс согласованности (ИС), который дает
информацию о степени нарушения согласованности, т.е. проверяю, насколько мои
суждения были непротиворечивыми при составлении матрицы попарных сравнений
критериев.
ИС = (λ max - n)/(n - 1),
где λmax - максимальное
собственное значение матрицы (λ max≥ n),размерность
матрицы
ИС = (6,42823 - 5)/ (5-1) = 0,058187
Разделив ИС на число, соответствующее случайной
согласованности матрицы шестого порядка, равного 1,12, получим отношение
согласованности (ОС). Величина ОС должна быть порядка 10% или менее, чтобы
быть приемлемой. В некоторых случаях допускается ОС до 20%, но не более, иначе
надо проверить свои суждения.
ОС = 0,058187 / 1,12 = 5,2% < 10%, т.е. пересматривать
свои суждения нет нужды.
Построю матрицу сравнений, сравнивая попарно альтернативу из строки с
альтернативой из столбца по отношению к критерию «Формирование меню на каждый
день». Никакие другие критерии при этом не учитываю. Значения из шкалы
относительной важности вписываю в ячейки, образованные пересечением
соответствующей строки и столбца. Диагональ этой матрицы заполняю значением
«1», а ячейки, лежащие ниже диагонали - обратными значениями.
Таблица 2.5 - Сравнительные оценки систем по критерию
«Формирование меню на каждый день»
|
1C-АНАЛИТ:
Диетпитание
|
ДИП
|
Разработанная
ИС
|
Оценки
компонент собственного вектора
|
Нормализованные
оценки вектора приоритета
|
λ max
|
|
1C-АНАЛИТ:
Диетпитание
|
1
|
1/4
|
1/5
|
1,13180
|
0,2162
|
0,02625
|
|
ДИП Диетпитание
3.1
|
4
|
1
|
1/5
|
1,7324
|
0,33265
|
0,17216
|
|
Разработанная
ИС
|
5
|
5
|
1
|
2,22316
|
0,43749
|
0,3121
|
|
ИТОГО:
|
8
|
6,25
|
1,4
|
5,0873
|
|
0,5105
|
Относительная согласованность матрицы равна 3,91%, т.е.
<10%.
Таблица 2.6 - Сравнительные оценки систем по критерию «Учет
сроков годности продуктов»
|
1C-АНАЛИТ:
Диетпитание
|
ДИП
|
Разработанная
ИС
|
Оценки
компонент собственного вектора
|
Нормализованные
оценки вектора приоритета
|
λ max
|
|
1C-АНАЛИТ:
Диетпитание
|
1
|
1/2
|
2
|
1,5129
|
0,3172
|
1,02625
|
|
ДИП Диетпитание
3.1
|
2
|
1
|
3
|
1,8171
|
0,43285
|
0,97216
|
|
Разработанная
ИС
|
1/2
|
1/3
|
1
|
1,2239
|
0,23541
|
1,2121
|
|
ИТОГО:
|
3,5
|
1,83
|
6
|
4,5539
|
|
3,2105
|
Относительная согласованность матрицы равна 7,41%, т.е.
<10%.
Таблица 2.7 - Сравнительные оценки систем по критерию
«Формирование отчета меню-требование.»
|
1C-АНАЛИТ:
ДиетпитаниеДИПРазработанная ИСОценки компонент собственного
вектораНормализованные оценки вектора приоритетаλ
max
|
|
|
|
|
|
|
|
1C-АНАЛИТ:
Диетпитание
|
1
|
2
|
1/2
|
1,53180
|
0,7162
|
3,52625
|
|
ДИП Диетпитание
3.1
|
2
|
1
|
3
|
1,4394
|
0,33665
|
1,17216
|
|
Разработанная
ИС
|
2
|
1/3
|
1
|
2,27316
|
0,43849
|
2,5121
|
|
ИТОГО:
|
5
|
3,33
|
4,5
|
5,2473
|
|
7,2175
|
Относительная согласованность матрицы равна 8,08%, т.е.
<10%.
Таблица 2.8 - Сравнительные оценки систем по критерию
«Наличие отчетных форм по движению продуктов»
|
1C-АНАЛИТ:
Диетпитание
|
ДИП
|
Разработанная
ИС
|
Оценки
компонент собственного вектора
|
Нормализованные
оценки вектора приоритета
|
λ max
|
|
1C-АНАЛИТ:
Диетпитание
|
1
|
2
|
4
|
1,9180
|
0,4162
|
2,3125
|
|
ДИП Диетпитание
3.1
|
1/2
|
1
|
1/2
|
1,2524
|
0,25265
|
1,2516
|
|
Разработанная
ИС
|
4
|
2
|
1
|
1,9131
|
0,45749
|
1,3121
|
|
ИТОГО:
|
5,5
|
5
|
5,5
|
5,0873
|
|
4,8775
|
Относительная согласованность матрицы равна 8,11%, т.е.
<10%.
Таблица 2.9 - Сравнительные оценки систем по критерию
«Просмотр назначений диет проживающим».
|
1C-АНАЛИТ:
Диетпитание
|
ДИП
|
Разработанная
ИС
|
Оценки
компонент собственного вектора
|
Нормализованные
оценки вектора приоритета
|
λ max
|
|
1C-АНАЛИТ:
Диетпитание
|
1
|
3
|
1/5
|
1,6180
|
0,3162
|
2,79625
|
|
ДИП Диетпитание
3.1
|
1/3
|
1
|
1/5
|
1,1524
|
0,37265
|
2,2168
|
|
Разработанная
ИС
|
5
|
5
|
1
|
2,1678
|
0,4378
|
0,8421
|
|
ИТОГО:
|
8
|
6,25
|
1,4
|
4,9382
|
|
5,85
|
Относительная согласованность матрицы равна 7,31%, т.е.
<10%.
Результаты оценок по всем критериям представлены в таблице
2.10.
Для каждой из альтернатив заполняю столбцы критериев
значениями локальных векторов приоритета.
Далее подсчитываю значения глобального приоритета для каждой
из альтернатив как сумму произведений значения вектора приоритета для критерия
и значения вектора локального приоритета этой альтернативы в отношении данного
критерия.
Таблица 2.10 - Сравнительные оценки систем по всем критериям
|
Альтерна тивы
|
Формирование
меню на каждый день
|
Учет сроков
годности продуктов
|
Формирование
отчета меню-требование.
|
Наличие
отчетных форм по движению продуктов
|
Просмотр
назначений диет проживающим
|
Глобальные
приоритеты
|
|
Численное
значение вектора приоритета
|
|
|
0,04117
|
0,46137
|
0,07314
|
0,23243
|
0,38423
|
|
|
1C-АНАЛИТ:
Диетпитание
|
0,2162
|
0,3172
|
0,7162
|
0,4162
|
0,3162
|
0,1146557
|
|
ДИП Диетпитание
3.1
|
0,33265
|
0,43285
|
0,33665
|
0,25265
|
0,37265
|
0,21485281
|
|
Разработанная
ИС
|
0,43749
|
0,23541
|
0,43849
|
0,45749
|
0,4378
|
0,35886516
|
Выбранной альтернативой считается альтернатива с максимальным
значением глобального приоритета. Сравнение систем приведено в таблице 2.11.
Таблица 2.11 - Сравнение ИС
|
Наименование ИС
|
Глобальные
приоритеты
|
|
1C-АНАЛИТ: Диетпитание
|
0,1146557
|
|
ДИП Диетпитание
3.1
|
0,21485281
|
|
Разработанная
ИС
|
0,35886516
|
Анализ данных, приведенных в таблице 2.11 показывает, что
следует остановить свой выбор на разработанной информационной системе.
Разработанная система поможет повысить конкурентоспособность,
оптимизировать процессы управления. Результатом использования системы будет
исключение лишних и бесполезных действий, снижение затрат, повышение гибкости и
эффективности предприятия.
2.3
Функциональные требования к информационной системе поддержки организации
оптимального питания в санатории «Дубрава»
В результате анализа существующих информационных систем,
выявлено, что большинство информационных систем обладают
узкоспециализированными функциями. Приведем описание функций, которые отсутствуют
в рассматриваемых информационных системах.
Учет прихода и расхода продуктов - эта функция предназначена
для автоматического расчета остатков по каждому материально ответственному
лицу, гибкой обработкой требований на продукты, поступающих по результатам
составления меню-требований.
Контроль закладки продуктов в котел - эта функция
предназначена для автоматического составления отчетности по результатам
фактической закладки продуктов при приготовлении блюд.
Ведение бракеражного журнала - функция, позволяет проводить
контроль приготовленных блюд по следующим параметрам:
- соблюдение технологических процессов,
- санитарное состояние,
- отметка о разрешении к выдаче блюд.
Просмотр остатков на складе - функция обеспечивает
своевременное планирование расхода продуктов, объемов закупок, является крайне
удобной функцией при формировании меню-требования.
Ведение журнала осмотров сотрудников - функция позволяет
вносить данные по осмотрам сотрудников и формировать соответствующие отчетные
формы.
Просмотр назначений диет проживающим (интегрированная версия)
- функция позволяет диетсестре получить детальную информацию о назначенных
диетах всем проживающим.
Корректировка численности питающихся в учреждении - функция,
предоставляющая возможность автоматически формировать суммарный расчет по
количеству необходимых продуктов исходя из расчета по одному человеку.
Автоматизированная обработка меню-требования - функция
предназначена для автоматического формирования приходно-расходных документов
при подтверждении выдачи продуктов в соответствии с меню-требованием.
Учет С-витаминизации проживающих - функция предназначена для
ведения учета количества витамина С (мг.) на каждого проживающего, что является
одним из важных показателей качества питания, т.к. витамин С крайне полезен для
иммунной системы человека.
Для разработки модели информационной системы обладающей всеми
выше перечисленными функциями, необходимо задействовать в работе системы не
только работников занимающихся учетом продуктов (зав. складом, бухгалтер), но и
персонала работающего непосредственно с продуктами. Таковыми сотрудниками
являются диетсестры, повара, раздатчицы.
Главными требованиями к работе разрабатываемой системы
являются:
1. Контроль и учет продуктов, необходимых для питания;
2. Учет затрат на обеспечение питания;
. Автоматическое формирование меню - требования на
каждый день;
. Ведения журнала осмотра сотрудников пищеблока на
гнойничковые заболевания;
. Контроль процесса закладки продуктов в котел;
. Контроль доброкачественности готовых блюд.
7. Автоматическое формирование отчетов по расходованию
продуктов.
Для решения вышеперечисленных задач данная система должна
быть реализована как система взаимодействующих модулей. Каждый модуль
представляет собой совокупность тесно взаимодействующих функций, направленных
на решение определенного круга задач.
В системе выделены следующие функциональные единицы:
· Модуль «Меню-требование»;
· Модуль «Журналы по диетпитанию».
Модуль «Меню-требование»
Данный модуль предназначен для формирования меню-требования
на каждый день, а также автоматического обновления информации о проживающих,
требуемой для его составления.
Функциональность модуля:
· Отображение данных об имеющихся продуктах на
складе;
· Отображение сведений о количестве
проживающих, находящихся на довольствии по диетам;
· Формирование меню-требования с учетом норм
расхода, предоставляемых бухгалтерией;
· Автоматическое обновление меню-требования
(его пересчет) при изменении числа проживающих более чем на 3 человека;
· Поступление меню-требования к завскладом
для выдачи продуктов;
· Возможность печати меню-требования для его
последующего поступления к шеф-повару для закладки продуктов в котел;
· Поступление меню-требования в бухгалтерию
для расчета стоимости питания.
В модуле необходимо предусмотреть возможность поддержки
следующих справочников:
· Нормы по питанию);
· Справочник замены блюд.
Печатный модуль «Журналы по диетпитанию»
Данный модуль предназначен для наглядного отображения
информации по контролю процесса предоставления питания проживающим в
учреждении. Журналы, представленные в модуле, заполняются как автоматически на
основании сведений, хранящихся в БД, так и при использовании ручного ввода.
Модуль содержит следующие журналы:
· «Журнал осмотра на гнойничковые заболевания»;
· «Журнал закладки продуктов»;
· «Журнал С-витаминизации»;
· «Бракеражный журнал готовой пищи»;
· «Журнал бракеража скоропортящихся
продуктов»;
· «Журнал отбракованных продуктов на склад»;
· «Журнал контроля доброкачественности
продуктов, поступивших на пищеблок»;
· «Производственный журнал».
Вышеперечисленный список журналов и отчетов отражает всю
динамику и содержание работы. Информация, отображаемая в данных отчетах,
является структурированной и детализированной. Совокупность всех отчетных
данных является источником принятия управленческих решений со стороны директора
учреждения социальной защиты. Отчетность должна удовлетворять всем требованиям
оформления и исполнения, т.к. любые недочеты в печатных формах могут
существенно осложнить работу диетсестры и вспомогательного персонала.
2.4
Построение функциональной модели информационной системы поддержки оптимального
питания в санатории «Дубрава»
При формировании функциональной модели информационной системы
ключевым моментом является декомпозиция функции «Формирование меню-требования».
Рассмотрим декомпозицию блока «Формирование меню-требования». Все поступления
продуктов в учреждения и их расход фиксируются в системе. Совместный учет
расходов и приходов дает данные об остатках, на основании которых формируется
перечень необходимых продуктов. При возникновении необходимости замены
продуктов диетсестра использует справочник замены продуктов, который формирует
автоматически список замены на основании первичного перечня продуктов, что
является важным фактором экономии времени. Для наиболее качественного и
эффективного составления меню диетсестра имеет возможность получать информации
обо всех назначенных проживающим диетам за счет интеграции с другими
подсистемами. Автоматизированная система на основании выбранных продуктов и
количестве проживающих формирует меню-требование, готовое к передачи в
бухгалтерию и шеф-повару.
Рис. 2.5 Модель формирования меню-требования
3. Проектирование информационной системы
поддержки организации оптимального питания в санатории «Дубрава»
В предыдущем разделе мы чётко выделили предметную область
проектирования системы. Были обозначены задачи прямых и косвенных членов
системы. Также было обозначено, какая информация будет считаться входной,
внутренней и кто её будет вносить в базу данных, а так же определена выходная
информацию - и её пользователи. Теперь необходимо выделить сущности системы и
описать их атрибуты. Для удобства дальнейшей обработки атрибутов поставим в
соответствие каждому атрибуту и сущности латинское наименование, а так же для
каждой сущности опишем ключевое поле, которое будет использоваться в физической
модели БД.
Исходя из поставленных задач, в системе будет задействовано
шестнадцать сущностей:
· «Блюдо меню-требования»,
· «Витаминизация меню»,
· «Готовое блюдо»,
· «Диета для блюда»,
· «Замена продукта»
· «Контроль продуктов меню»,
· «Меню-требование»,
· «Норма денежных средств»,
· «Норма продукта»,
· «Отбраковка»,
· «С-витаминизация»,
· «Сотрудник на осмотр»,
· «Сотрудник, принявший закладку продуктов»,
· «Тип приема пищи»,
· «Диета»,
· «Продукт».
Теперь нам предстоит описать атрибуты сущностей.
Сущность «Блюдо меню-требования» (TDish) описывается следующими
атрибутами:
· fk_menu - ссылка на меню-требование,
· fk_dish - ссылка на блюдо,
· fn_brutto - весбрутто,
· fk_meal_type - ссылка на тип приема
пищи,
· fc_san_status - санитарное состояние
пищеблока.
Сущность «Витаминизация меню» (TVitamin) описывается следующими
атрибутами:
· fk_vitamin _id - ключевое поле
(уникальный идентификатор),
· fn_vitamin - содержание
аскорбиновой кислоты,
· fn_count - число
витаминизированных порций,
· fn_one_tabl_count - содержание
аскорбиновой кислоты в таблетке,
· fk_menu - ссылка на меню,
· fk_sotr - лицо, ответственное за
витаминизацию.
Сущность «Готовое блюдо» (TReadyDish) описывается следующими
атрибутами:
· fk_ready_dish_id - ключевое поле
(уникальный идентификатор),
· fc_name - наименование блюда,
· fc_code - кодблюда,
· fn_brutto - вес_брутто,
· fn_netto - вес_нетто,
· fc_tech - технологияприготовления,
· fk_meal_type - ссылка на тип приема
пищи,
· fb_sotr - питание сотрудников,
· fk_change - замена (наименование
блюда, которое может послужить заменой для данного).
Сущность «Диета» (TDiet) описывается следующими атрибутами:
· fk_diet_id - ключевое поле
(уникальный идентификатор),
· fb_type - тип (номерная или
стандартная),
· fс_description - описание.
Сущность «Диета для блюда» (TDishDiet) описывается следующими
атрибутами:
· fk_dish_diet_id - ключевое поле
(уникальный идентификатор),
· fk_dish - блюдо,
· fk_diet - ссылка на диету.
Сущность «Замена продукта» (TProductChange) описывается следующими
атрибутами:
· fk_product_change_id - ключевое поле
(уникальный идентификатор),
· fn_old_prod - масса заменяющего
продукта,
· fn_new_prod - масса заменяемого
продукта,
· fk_old_product
- продуктзаменяемый,
· fk_new_product
- продукт_заемняющий.
Сущность «Контроль продуктов меню» (TControl) описывается следующими
атрибутами:
· fk_control_id - ключевое поле
(уникальный идентификатор),
· fd_postavka - время поставки на
пищеблок,
· fk_product_link - ссылка на продукт,
· fk_menu_link - ссылка на меню,
· fn_count_breakf - кол-во продуктов для
закладки,
· fk_meal_type - ссылка на тип приема
пищи,
· fn_netto - масса_нетто,
· fn_brutto - масса_брутто,
· fn_not_food_wastes
- массанепищевыхотходов,
· fn_food_wastes - масса пищевых отходов,
· fk_waste_reason - ссылка на причину
отбраковки.
Сущность «Меню-требование» (TMenu) описывается следующими
атрибутами:
· fk_menu_id - ключевое поле (уникальный
идентификатор),
· fk_link_shablon - ссылка на шаблон,
· fc_number - номер,
· fb_shablon - принадлежность шаблонам,
· fd_date - дата,
· fk_money_norm_link - ссылка на норму
денежных средств.
Сущность «Норма денежных средств» (TMoneyQuota) описывается следующими
атрибутами:
· fk_money_quota_id - ключевое поле
(уникальный идентификатор),
· fd_finish - дата окончания,
· fd_start - дата начала,
· fn_norm - кол-во денег на одного
человека,
· fb_budjet - бюджет(внебюджет),
· fk_norma_link - сдедующая норма.
Сущность «Норма продукта» (TProductQuote) описывается следующими
атрибутами:
· fk_product_quote_id - ключевое поле
(уникальный идентификатор),
· fn_one_norm - норма на 1 человека,
· fk_link_product
- продукт.
Сущность «Отбраковка» (TScreening) описывается следующими
атрибутами:
· fk_screening_id - ключевое поле
(уникальный идентификатор),
· fc_reason - причина отбраковки.
Сущность «Сотрудник» (TSotr) описывается следующими
атрибутами:
· fk_sotr_id - ключевое поле
(уникальный идентификатор),
· fc_name - имя,
· fc_surname - фамилия,
· fc_patronimyc - отчество,
· fb_sex - пол,
· fd_date_born - дата рождения,
· fn_code - уникальный личный
номер.
Сущность «Продукт для блюда» (TDishProduct) описывается следующими
атрибутами:
· fk_dish_product_id - ключевое поле (уникальный
идентификатор),
· fk_link_product - продукт,
· fk_link_sem_product
- продукт-полуфабрикат,
· fn_netto - нетто,
· fk_link_dish - блюдо,
· fn_brutto - брутто.
Сущность «Продукт-ингредиент полуфабриката» (TSemifinishedProductPart) описывается следующими
атрибутами:
· fk_semifinished_product_part_id - ключевое поле
(уникальный идентификатор),
· fk_link_semprod - ссылка на
продукт-полуфабрикат,
· fk_link_prod - продукт-ингредиент,
· fn_count - количество.
Сущность «Продукт-полуфабрикат» (TSemifinishedProduct) описывается следующими
атрибутами:
· fk_semifinished_product_id - ключевое поле
(уникальный идентификатор),
· fn_weight - вес,
· fc_name - наименование.
Сущность «Сотрудник на осмотр» (TSotrCheck) описывается следующими
атрибутами:
· fk_sort_check_id - ключевое поле
(уникальный идентификатор),
· fk_sotr_link - ссылка на сотрудника,
· fk_menu_link - ссылка на меню,
· fb_angina - отметка об отсутствии
ангины,
· fc_note - примечание,
· fb_sex - пол,
· fd_date_born - дата рождения.
Сущность «Сотрудник, принявший закладку продуктов» (TCheckProductSotr) описывается следующими
атрибутами:
· fk_check_product_sotr_id - ключевое поле
(уникальный идентификатор),
· fk_menu_link - cсылка на меню,
· fk_sotr_link - cсылка на сотрудника.
Сущность «Тип приема пищи» (TMeals) описывается следующими
атрибутами:
· fk_meals_id - ключевое поле
(уникальный идентификатор),
· fс_name - наименование.
Сущность «Продукт» (TProducts) описывается следующими атрибутами:
· fk_product_id - ключевое поле
(уникальный идентификатор),
· fс_name - наименование,
· fn_protein - белки,
· fn_fat - жиры,
· fn_carbon - углеводы.
Рис. 3.1 Логическая модель данных
Рис. 3.2 Физическая модель данных
Заключение
В дипломном проекте проведена разработка информационной
системы поддержки организации оптимального питания в санатории «Дубрава».
Была проработана интегрированная система организации
оптимального питания, которая должна охватить проблемную область организации
диетпитания и заметно повысить производительность выполнения расчетов
меню-требований, автоматизированного формирования отчетов и журналов.
Данная система позволит работникам пищеблока быстро
формировать планы закупок продуктов, ускорить процесс создания меню, отправлять
отчеты для вышестоящих органов управления в электронном виде без
предварительной подготовки.
Для разработки модели информационной системы, обладающей выше
перечисленной функциональностью, были пройдены следующие этапы:
- проведено обследование работы подразделения
обеспечения питания;
- произведен анализ существующих аналогов;
- сформулированы требования к
разрабатываемой подсистеме и задачи, которые должна выполнять система;
- сформулирована характеристика объекта
автоматизации и построена структурная и функциональная модель организации
питания.
Также был проведен анализ неблагоприятных случаев на этапе
разработки, и были предложены мероприятия по их устранению и предупреждению.
Расчет технико-экономических показателей разработки системы
сравнение с аналогом доказали эффективность разработки.
Таким образом, разработанная информационная модель охватывает
все аспекты в сфере организации питания, что в свою очередь позволяет вести
жесткий учет приготовленных блюд, денежных затрат на их приготовление.