Проект широкополосной логарифмической периодической антенны для работы в составе мобильных радиотехнических комплексов связи на стоянке
ВВЕДЕНИЕ
В настоящее время логопериодические антенны находят разнообразное
применение и широко используются в коммерческом вещании. Они успешно работают в
коротковолновых диапазонах, где меняющиеся условия распространения волн требуют
быстрой смены частоты передачи. ЛПА применяются для радио контроля, слежения за
спутниками и ракетами в радиоастрономии, при решении специальных задач в
военной технике.
Направленные свойства большинства антенн изменяются при изменении длины
волны принимаемого сигнала. У узкополосных антенн резко падает коэффициент
усиления, а у широкополосных его изменение носит монотонный характер. Один из
типов антенн с неизменной формой диаграммы направленности в широком диапазоне
частот - антенны с логарифмической периодичностью структуры ЛПА. Эти антенны
отличаются широким диапазоном: отношение максимальной длины волны принимаемого
сигнала к минимальной превосходит десять. Во всем диапазоне обеспечивается
хорошее согласование антенны с фидером, а коэффициент усиления практически
остается постоянным.
На данный момент наиболее близким аналогом по данной теме является
логопериодическая антенна DLP-11Lфирмы Titanex.
В связи с широким диапазоном рабочих частот разрабатываемого изделия,
антенна приобретает большие габариты. В отличие от аналога, в конструкцию
прототипа вводится механизм развертывания - свертывания.
Данный механизм позволяет за время 10 минут привести антенну в рабочее
состояние, либо в транспортное. Поскольку антенна согласно технического
задания, должна работать в составе мобильных радиотехнических комплексов связи,
то основной целью разработки является снижение массы изделия и уменьшение
времени перевода антенны в рабочее положение.
1. Анализ технического задания
Проектируемое изделие представляет собой одно из наиболее распространенных
видов антенных систем. Логарифмическая периодическая антенна находят
разнообразное применение и широко используются в коммерческом вещании. Они
успешно работают в коротковолновых диапазонах, где меняющиеся условия
распространения волн требуют быстрой смены частоты передачи. ЛПА применяются
для радио контроля, слежения за спутниками и ракетами в радиоастрономии, при
решении специальных задач в военной технике.
Логарифмическая периодическая антенна - определенный тип широкополосных
антенн, которые конструируются в расчете на сколь угодно широкие области частот
и в пределах своей рабочей области характеризуются независимостью электрических
свойств от рабочей частоты.
Целью выполнения дипломного проекта является разработка конструкции
мобильной логопериодической антенны, предназначенной для приема и передачи
радиосигналов при работе в составе мобильных радиотехнических комплексов связи
на стоянке.
Так как данная антенна мобильная, к ней предъявляются строгие требования:
1) По массе - максимальная масса 15 кг.
2) По времени приведения антенны в рабочее состояние - 10 минут
командой из 2-х человек.
3) Антенна будет размещаться на борту автомобильного средства, поэтому в
не рабочем состоянии она должна занимать наименьшее пространство.
В данном устройстве объеден ряд противоречащих требований: антенна должна
быть мобильной, легкой, удобной в использовании, но при этом из-за требуемых
электрических параметров антенна будет больших габаритов (4 м х 4,47 м). Данные
противоречия предлагается решить использованием легких сплавов материалов,
таких как сплав алюминия АМг6ГОСТ 17232-99 [1], стеклотекстолитовых материалов
и пластмасс на основе синтетических высокомолекулярных соединений, таких как
полиамид блочный ПА-6 ТУ6-05-988-87 [2].
Для того чтобы антенну возможно было разместить в не рабочем положении на
борту автотранспорта, конструкцию предлагается сделать складной. Для реализации
этого решения вместо типичных используемых жестких трубчатых вибраторов будут
применены гибкие, с использованием высоковольтного высокочастотного провода
ПВАО-1 ТУ16.К76-223-2008 [3]. Сама же конструкция антенны будет построена на
шарнирных соединениях, которые позволят легко и с минимальными временными
затратами приводить антенну в рабочее положение и складывать для транспортировки.
Так как антенна - это внешнее устройство, которое будет использоваться в
условиях повышенной влажности, низких температур, соляного тумана и т.д.,
необходимо обеспечить защитные покрытия, которые будут защищать устройство от
неблагоприятных факторов. Учитывая габариты изделия, покрывать несущие
конструкции защитными металлическими покрытиями не возможно, из - за отсутствия
нужных размеров гальванических ванн. В связи с этой проблемой были проведены
исследования и найдено решение, применить грунт - эмаль ХВ-0278
ТУ2313-174-217-43165-2000, который обладает высокими антикоррозионными
свойствами, а так же предназначен для защиты деталей эксплуатируемых в
агрессивных средах [4]. Так же сверху будет покрытие эмаль ХВ-124 защитная. IV.
02 ГОСТ 10144-89, дающее декоративный эффект и дополнительную защиту [5].
Антенна на местности будет располагаться на мачтовом устройстве высотой
не более 12 м. Поэтому предъявляется требование по ветроустойчивости - не более
30 м/с. Для обеспечения этого требования необходимо применить мощное
фиксирующее устройство на мачте. А так же дополнительно Реп - шнуры фирмы Lanex, которые будут располагаться под
углом 120ᵒ относительно мачты, они будут давать дополнительное
распределение нагрузки при ветровых потоках [6].
Предлагаемый механизм и сама антенна в целом достаточно просты и могут
быть реализованы в производстве на любом радиотехническом предприятии с
использованием недефицитных материалов.
2. Назначение и принцип работы антенны ЛПА
Антенна ЛПА предназначена для приёма и передачи радиосигналов при работе
в составе мобильных радиотехнических комплексов связи на стоянке в диапазоне
частот от 30 до 80 МГц.
Логопериодические антенны относятся к классу сверхширокополосных антенн с
логарифмической периодичностью параметров в зависимости от частоты. Общий вид
логопериодической антенны показан на рисунке 2.1, где n - номер вибратора; N -
общее число вибраторов; Rn - расстояние от первого вибратора до вибратора с
номером n; In - длина вибратора с номером n. Типовые диаграммы направленности
логопериодической антенны в Е и Н плоскостях (Е - плоскость, содержащая
вибраторы, Н - плоскость, перпендикулярная осям вибраторов) приведены на
рисунке2.2.
Антенна состоит из ряда симметричных параллельных вибраторов монотонно
изменяющейся длины, расположенных в одной плоскости. Длина вибраторов и их
расстояние от вершины антенны образуют геометрическую прогрессию со
знаменателем τ, называемым периодом ЛПА:
n-1 / Rn = ln-1 1n = τ. (2.1)
Длина антенны определяется углом α, образуемым линией, соединяющей концы
излучающих элементов с осью антенны, и самой длинной волной заданного рабочего
диапазона.
Вибраторы логопериодической антенны возбуждаются двухпроводным фидером,
который возбуждается со стороны коротких вибраторов и образован двумя
параллельными трубками, внутри одной из которых проложен коаксиальный кабель.
Внешний проводник кабеля присоединяется к трубке, внутри которой он проложен, а
внутренний проводник кабеля к другой трубке. Подобная конструкция антенны очень
удобна, так как не требует применения специального симметрирующего устройства.
Рисунок - 2.1
Логопериодическая антенна (ЛПА)
Рисунок - 2.2 Типовые диаграммы направленности логопериодической антенны
Из-за шунтирующего действия вибраторов постоянная распространения волны в
линии питания и, следовательно, длина волны изменяются. Известна следующая
зависимость длины волны в линии питания от геометрических параметров ЛПА:
λл = λ/[1 + Wл(τ)1 2tg (α/2)/WВ(1 - τ)](2.2)
где λл
- длина волны в линии питания;
λ - длина волны в свободном
пространстве;л - волновое сопротивление линии питания;B -
волновое сопротивление вибраторов полотна;
α - угол раскрыва логопериодической
антенны;
τ - период логопериодической антенны.
Рабочая полоса частот логопериодической антенны с нижней стороны
ограничивается размерами самых длинных вибраторов lмакс ≈ λмакс/4 и с верхней стороны - размерами
самого малого вибратора lмин ≈ λмин/4. Для сохранения
удовлетворительного направленного действия на крайних частотах диапазона
следует дополнительно применять по два лишних длинных и коротких вибратора. Это
объясняется тем, что в логопериодической антенне на какой-либо заданной частоте
возбуждается активная область, которая включает в себя вибратор, длина которого
примерно равна λ/4, и пару вибраторов, примыкающих к нему с двух сторон.
Другие вибраторы из-за значительной расстройки возбуждаются слабее, и их
влияние на излучаемое поле невелико. В активной области более длинный вибратор
является рефлектором, а более короткий - директором. Совместное излучение
нескольких вибраторов активной области усиливается в направлении вершины
антенны и компенсируется в обратном направлении. Диаграмма направленности ЛПА
(рисунок 2.2) из-за направленных свойств вибратора в плоскости Е (в плоскости,
содержащей вибраторы) уже диаграммы в плоскости Н (в плоскости,
перпендикулярной осям вибраторов).
Достоинством логопериодической антенны является ее сверхширокополосность.
При правильном выборе размеров антенны удается в десятикратном диапазоне волн
получать почти неизменные характеристики направленности при коэффициенте
стоячей волны менее 1,5-1,7.
Недостатком логопериодической антенны является сравнительно низкое
значение ее коэффициента усиления, так как активная область включает только
небольшую часть всех вибраторов антенны (обычно от трех до пяти) [7].
3. Обзор научно-технической литературы
Логарифмическими периодическими антеннами (ЛПА) называют определенный тип
широкополосных антенн, которые конструируются в расчете на сколь угодно широкие
области частот и в пределах своей рабочей области характеризуются
независимостью электрических свойств от рабочей частоты.
У большинства широкополосных антенн частотная область, выраженная через
отношение fmax:fmin, едва превосходит 4:1, причем в
рабочей области постоянно лишь входное сопротивление, а диаграмма
направленности излучения изменяется с частотой. Как правило, с ростом частоты
сужается главный лепесток и растет число боковых лепестков диаграммы
направленности.
У логопериодических антенн этот эффект отсутствует, и диаграмма
направленности остается неизменной во всей рабочей области. Нижние частоты fн определяются только габаритами антенны, а
максимальная верхняя частота fв
зависит от типа и
размеров системы питания и достижимой точности изготовления антенны. Отношение
пределов области частот ЛПА возрастает до 20:1. Усиление ЛПА, приведенное к
материальным затратам, сравнительно невелико и при подавлении обратного
излучения на 15 - 25дБ и обычных габаритах составляет 4 - 8,5dBd.
ЛПА находят разнообразное применение и широко используются в коммерческом
вещании. Они успешно работают в коротковолновых диапазонах, где меняющиеся
условия распространения волн требуют быстрой смены частоты передачи. ЛПА
применяются для радио контроля, слежения за спутниками и ракетами в
радиоастрономии, при решении специальных задач в военной технике.
В зависимости от исполнения ЛПА бывают линейной или круговой поляризации.
Их диаграммам направленности почти всегда свойствен единственный главный луч, но
строятся и двунаправленные антенны, а так же линейно поляризованные ЛПА с
круговой диаграммой. Среди всех конструкций ЛПА самым распространённым типом
является логопериодическая вибраторная антенна (ЛПВА). Ее отличает наглядность
устройства и возможность легко рассчитать параметры конструкции. Этот тип ЛПА
лучше других отвечает запросам потребителей [8].
Направленные свойства большинства антенн изменяются при изменении длины
волны принимаемого сигнала. У узкополосных антенн резко падает коэффициент
усиления, а у широкополосных его изменение носит монотонный характер. Один из
типов антенн с неизменной формой диаграммы направленности в широком диапазоне
частот - антенны с логарифмической периодичностью структуры ЛПА. Эти антенны
отличаются широким диапазоном: отношение максимальной длины волны принимаемого
сигнала к минимальной превосходит десять. Во всем диапазоне обеспечивается
хорошее согласование антенны с фидером, а коэффициент усиления практически
остается постоянным.
Внешний вид ЛПА показан на рисунке 3.1. Она образована собирательной
линией в виде двух труб, расположенных одна над другой, к которым крепятся
плечи вибраторов поочередно через один. Схематически такая антенна показана на
рисунке 3.2. Сплошными линиями изображены плечи вибраторов, соединенные с
верхней трубой собирательной линии, а штриховой линией - соединенные с нижней
трубой. Рабочая полоса частот антенны со стороны наибольших длин волн зависит
от размеров наиболее длинного вибратора В1, а со стороны наименьших длин волн -
от размера, наиболее короткого вибратора. Вибраторы вписаны в равнобедренный
треугольник с углом при вершине а и основанием, равным наибольшему вибратору.
Для логарифмической структуры полотна антенны должно быть выполнено
определенное соотношение между длинами соседних вибраторов, а также между
расстояниями от них до вершины структуры. Это соотношение носит название
периода структуры:
Рисунок 3.1 - Внешний вид антенны ЛПА
Рисунок 3.2 - Схематичное изображение антенны ЛПА
Таким образом, размеры вибраторов и расстояния до них от вершины
треугольника уменьшаются в геометрической прогрессии. Характеристики антенны
определяются периодом структуры и углом при вершине описанного треугольника.
Чем меньше угол α и чем больше период структуры т (который всегда
остается меньше единицы), тем больше коэффициент усиления антенны и меньше
уровень заднего и боковых лепестков диаграммы направленности. Однако при этом
увеличивается число вибраторов структуры, растут габариты и масса антенны.
Поэтому при выборе угла и периода структуры приходится принимать компромиссное
решение. Наиболее часто угол а выбирают в пределах 30... 60°, а период
структуры т - в пределах 0,7... 0,9.
Подключение фидера к ЛПА, производится без специального симметрирующего и
согласующего устройства следующим образом. Кабель с волновым сопротивлением
75Ом вводится внутрь нижней трубы с конца А и выходит у конца Б. Здесь оплетка
кабеля припаивается к концу нижней трубы, а центральная жила - концу верхней
трубы. В зависимости от длины волны принимаемого сигнала в структуре антенны
возбуждаются несколько вибраторов, размеры которых наиболее близки к половине
длины волны сигнала. Поэтому ЛПА по принципу действия напоминает несколько
антенн "Волновой канал", соединенных вместе, каждая из которых
содержит вибратор, рефлектор и директор. На данной длине волны сигнала
возбуждается только одна тройка вибраторов, а остальные настолько расстроены,
что не оказывают влияния на работу антенны. Это приводит к тому, что
коэффициент усиления ЛПА оказывается меньше, чем коэффициент усиления антенны
"Волновой канал" с таким же числом элементов, но зато полоса
пропускания получается значительно шире.
Как видно из приведенных конструкций антенн бегущей волны и логопериодических,
для достижения широкополосности используется принцип взаимной расстройки
элементов антенны подобно тому, как в широкополосных усилителях расширение
полосы пропускания достигается взаимной расстройкой контуров. Как для
усилителей, так и для антенн можно считать общим принципом постоянство для
данной конструкции произведения коэффициента усиления на полосу пропускания.
Чем шире полоса пропускания, тем меньше коэффициент усиления при данных
габаритах антенны [9].
В качестве товара-конкурента выбираем DLP-11L
фирмы Titanex [10]. Введение новых функциональных
возможностей при сохранении совместимости с конкурентом способствует росту
спроса на это изделие.
Взятая за прототип логопериодическая антенна DLP-11L
фирмы Titanex, содержащая, как и аналог: жесткую
двухпроводную питающую линию, одновременно играющую роль несущей траверсы для
крепления диполей (излучателей); серию гибких диполей (излучателей),
подключенных к двухпроводной линии, расстояние между которыми и их размеры
определяются известными для логопериодических антенн соотношениями; гибкий
диэлектрический строп, обеспечивающий натяжение всей структуры антенны в
эксплуатационном положении, и имеющая массу 11 кг, длину питающей линии (бума)
6м, максимальную длину излучающего элемента 10,3 м при общем числе диполей 11 и
коэффициентом стоячей волны на входе питающего разъема менее 2.
По сравнению с аналогом прототип антенной системы имеет лучшие показатели
мобильности (меньшая масса), позволяющие использовать его в мобильных
радиотехнических комплексах, однако процедура предварительной сборки антенны на
земле также существенно увеличивает время приведения антенны в рабочее
состояние и осложняет процесс подъема ее на мачту. Устранение перечисленных
недостатков достигается тем, что в антенне работающей в диапазоне рабочих
частот 30-80 МГц и содержащей:
) жесткую двухпроводную питающую линию длиной 4,5 м, играющую роль
несущей траверсы для крепления диполей (излучателей);
) серию гибких диполей (излучателей) с максимальным размером 4 м. и
минимальным размером 0,5м, подключенных к двухпроводной линии, расстояние между
которыми, их размеры и число определяются известными для логопериодических
антенн соотношениями;
) гибкий диэлектрический строп, обеспечивающий натяжение всей структуры
антенны в эксплуатационном положении;
Вводится механизм развертывания - свертывания антенны, состоящий из
четырех подвижных диэлектрических натяжителей, диэлектрического же стропа,
удерживающего в рабочем состоянии гибкие излучатели антенны, при натяжении
стропа и диэлектрической растяжки (тетивы).
Применение описанного механизма развертывания - свертывания излучателей
антенны, в сочетании с гибкой конструкцией самих излучателей, позволяет
организовать процесс снятия (установки) и свертывания (развертывания) антенны
на мобильной телескопической мачте без разборки (сборки) антенны на составные
части за время от 3-х до 10 минут, в зависимости от размеров антенны,
конструируемой в пределах вышеуказанного диапазона частот 14-500 МГц, что
существенно меньше значений времени развертывания прототипа антенны достигающих
20-30 минут. Типичной ситуацией является установка антенны на верхней секции
мачты с крыши аппаратной машины, при этом антенна развертывается в
горизонтальном положении, а при подъеме мачты в штатное положение она может быть
переведена, при необходимости, в вертикальное положение специальным
диэлектрическим тросом и механизмом поворота.
Таким образом, технические преимущества предлагаемого решения, достаточно
очевидны и не требуют дополнительных пояснений.
Предлагаемый механизм и сама антенна в целом достаточно просты и могут
быть реализованы в производстве на любом радиотехническом предприятии с
использованием недефицитных материалов.
4. Разработка конструкции изделия
.1 Обоснование конструкции антенны ЛПА. Выбор основных материалов
Выбор конструкции разрабатываемого в дипломном проекте изделия
производится на основе требований технического задания. При этом необходимо
учитывать различные воздействия, которые будет испытывать конструкция при
эксплуатации. Нужно также, чтобы конструкция обладала достаточной надежностью и
минимальной массой.
При разработке изделия необходимо выбирать методы конструирования,
обеспечивающие снижение стоимости, в том числе и энергоемкости, уменьшение
объема и массы изделия, стремиться к использованию унифицированных
соединительных изделий.
Исходя из требований технического задания и данных, полученных при
анализе аналогичных изделий, в рамках данной работы был разработана мобильная
логопериодическая антенна.
Конструктивно антенна представляет собой ряд из 12 симметричных
проволочных излучателей, подключенных к собирательной линии питания
представляющей собой две параллельные трубки. Излучатели выполнены из гибкого
особо прочного диэлектрического троса с проводящей оплёткой.
Внутри одной из труб (траверсы) собирательной линии проложен отрезок
радиочастотного коаксиального кабеля для возбуждения излучателей антенны,
подключаемых к линии через резьбовые контакты.
В соответствии с техническим заданием изделие должно иметь массу не более
15 кг. Это условие возможно осуществить применив в несущих узлах изделия детали
выполненные из легких сплавов материалов, таких как сплав алюминия АМг6 ГОСТ
17232-99 [1].
Конструкции из листового материала нашли широкое применение в
конструировании радиоэлектронной аппаратуры. Т.к. они отличаются высокой
прочностью и жесткостью при малом весе. Штамповка из листовых материалов
обеспечивает малую трудоемкость и стоимость изделия, высокую точность размеров.
Конструкция штампованных деталей существенно зависит от объема применяемости
(масштаба производства).
На технологичность конструкции штампованных деталей оказывается влияние
ограничения в формообразовании для выбранного материала; величина допуска на
размеры и форму детали; требование к чистоте поверхности [11].
АМг6имеет высокие пластические характеристики, как при комнатной, так и
при повышенных температурах, и обладает высокой коррозионной стойкостью в
различных средах, в том числе и в морской воде. Это, а также хорошая
свариваемость сплава предопределяет широкое применение его в
радиоаппаратостроении. Несмотря на довольно значительное увеличение
растворимости магния в алюминии при повышении температуры, упрочнение при
закалке сплава АМг6 весьма незначительно, поэтому сплав Амг6 как и другие
сплавы группы магния (АМг2, АМг3,5) относятся к термически не упрочняемым.
Полуфабрикаты из сплава АМг6 поставляются обычно в отожженном состоянии. Отжиг
производится при сравнительно невысоких температурах (310 - 335 °C) с
охлаждением на воздухе. При более высоких температурах отжига повышается
склонность к коррозии, поэтому для полуфабрикатов низкотемпературный отжиг
имеет особое значение. Марганец, несмотря на довольно узкий диапазон содержания
в сплаве существенно влияет на его механические свойства. Так при содержании Mn
на верхнем пределе (0,8%) при прочих равных условиях прочностные свойства на
2-3 кг/мм 2 выше, чем при содержании Мn на нижнем пределе (5%). Значительное
упрочнение профилей из сплава АМг6 может быть достигнуто в результате холодной
деформации. Так правка растяжением в пределах применяемых на практике степени
деформации (2-3%) не оказывая заметного влияния на предел прочности профилей из
сплава АМг6, значительно повышает предел их текучести. Относительное удлинение
при этом понижается менее интенсивно, чем у других сплавов. Следует отметить,
что такой характер изменения механических свойств профилей из сплава АМг6 при
правке растяжением наблюдается независимо от условий отжига, предшествовавшего
правке [12].
Из этого материала целесообразно изготовить платформу, для закрепления
излучателя на мачте. Чтобы обеспечить необходимую жесткость конструкции к
платформе из листового материала будут приварены ребра жесткости.
Для изготовления несущих траверс будут использованы трубы из АМг6
диаметром 24×1,5, это позволит значительно сократить массу изделия, но лишив
его прочности.
Траверсы должны быть электрически изолированы от основания, для этого
необходимо использовать не металлический материал. В наибольшей степени,
требованиям настоящего ТЗ удовлетворяет полиамид блочный ПА-6 ТУ6-05-988-87.
Полиамид ПА6 - твердая пластическая масса с перекрестными молекулярными
связями. Этот материал устойчив к сгибанию, разрывам и истиранию. Полиамиды ПА6
чаще всего применяют для изготовления различных технических конструкций и
механизмов, эксплуатируемых в течение длительного времени при больших
нагрузках.
Полиамиды группы ПА6 - кристаллизующиеся жесткие полимерные материалы с
высокой прочностью на разрыв и стойкостью к износу. ПА6 отличается высокой
температурой размягчения и эластичностью при низких температурах, выдерживает
стерилизацию паром, разогретым до 140°C. Это позволяет использовать его в
условиях с температурными перепадами в широком диапазоне.
Полиамид ПА6 устойчив к воздействию различных химически активных веществ
- таких как слабые кислоты, кетоны, щелочи, углеводы, масла, спирты и эфиры.
Детали, изготовленные из этого материала, устойчивы к ударным и кинетическим
нагрузкам. Полиамид ПА6 может служить хорошим теплоизолятором и изолятором
[13].
Для того чтобы растянуть полотно излучателей необходимо использовать
диэлектрические распорки. Для нашего случая самым подходящим материалом
является трубки из стеклотекстолита марки ТСЭФ 14х20ГОСТ 12496-88 [14].
Стеклотекстолит ТСЭФ изготавливают из стеклоткани со средней внутренней и
поверхностной структурой, с добавлением эпоксидной смолы в качестве
термореактивного связующего. Обладает высокой механической прочностью при
умеренной температуре, высокой стабильностью электрических свойств при
повышенной влажности. Длительно допустимый рабочий диапазон температур
составляет от минус 65°C до плюс 155°С. Также стеклотекстолит СТЭФ выдерживает
кратковременный нагрев до плюс 155°С. Предназначен для работы в агрессивной
среде трансформаторного масла и воздушной среде в условиях нормальной и повышенной
влажности.
Изделие будет работать в условия повышенной влажности и высоким перепадом
температур. Так как алюминиевые сплавы окисляются при контакте с кислородом и
начинают коррозировать, необходимо обеспечить защитное покрытие.
Из-за больших габаритов изделия, на отдельные детали не возможно будет
нанести металлическую защитную пленку методом гальваники. Поэтому не обходимо
применить грунт - эмаль ХВ-0278 ТУ2313-174-217-43165-2000, который обладает
высокими антикоррозионными свойствами, а так же предназначен для защиты деталей
эксплуатируемых в агрессивных средах. Так же сверху будет покрытие эмаль ХВ -
124 защитная. IV. 02 ГОСТ 10144-89, дающее декоративный эффект и дополнительную
защиту от внешних агрессивных факторов.
Для деталей, габариты которых позволяют использовать гальванические
покрытия будут применены подходящие для используемых материалов покрытия.
Антенна на местности будет располагаться намачтовым устройством высотой
не более 12 м. Поэтому предъявляется требование по ветроустойчивости - не более
30 м/с. Для обеспечения этого требования необходимо применить мощное
фиксирующее устройство на мачте. А так же дополнительно Реп - шнуры фирмы Lanex, которые будут располагаться под
углом 120ᵒ относительно мачты, они будут давать дополнительное распределение
нагрузки при ветровых потоках.
Антенна - это внешнее, которое будет подвергаться воздействию атмосферных
конденсированных осадков (инея и росы). Для того чтоб влага и осадки не
попадали внутрь трубок, через отверстия вывода кабеля их необходимо заглушить
пенополиуретаном (ППУ-335МК-ГАЗ), который заполнив внутреннее пространство
трубы, не только даст защиту от конденсированных осадков, но и придаст
дополнительную жесткость конструкции, без значительного увеличения массы [15].
Так как пенополиуритан гидрофильное вещество не обходимо само отверстие залить
компаундом ЭЗК-6 ОСТ107.460007.007-92, образующим твердую пленку при
застывании, который защитит ППУ от намокания [15].
Для пайки электрических соединений применяется оловянно - свинцовый
припой ПОС-61, наиболее распространенный и отвечающий всем технологическим
требованиям, предъявляемым к припоям, и флюс ФКС на основе канифоли [16].
При выборе и обосновании конструкции модуля учтены следующие общие
требования конструирования;
максимальная эксплуатационная надежность;
минимизация малогабаритных показателей конструкции и унификации ее
деталей.
4.2 Расчет конструкции мобильной логопериодической антенны
Для расчета конструкции антенны предлагается следовать следующим
операциям:
) Выбрать рабочую область и задать область частот В согласно формуле
, (4.1)
По техническому заданию рабочая область частот должна находиться в
диапазоне В = 30 - 80 МГц, т.е. рабочая область равна 50 МГц. Будем
придерживаться 28 -82 МГц. Введем 5 процентную поправку для fH
Таким образом:
) С помощью таблицы 4.1 выберем σ = 0,05 и τ = 0,9, которым соответствует
предполагаемое усиление 6 dBd +
0,3 dBd.
Таблица 4.1
Ориентировочные оценки усиления ЛПА при разных значениях σ и τ
|
τ
|
Усиление, dBd
|
σОПТ
|
|
σ = 0,05
|
σ = 0,10
|
σ = 0,15
|
σ = σОПТ
|
|
|
1
|
2
|
3
|
4
|
5
|
6
|
|
0,750
|
3,3
|
4,4
|
5,3
|
5,4
|
0,128
|
|
0,775
|
3,8
|
4,9
|
5,8
|
5,6
|
0,134
|
|
0,800
|
4,3
|
5,2
|
6,0
|
5,8
|
0,140
|
|
0,825
|
4,8
|
5,4
|
6,3
|
6,2
|
0,147
|
|
0,850
|
5,3
|
5,8
|
6,5
|
6,7
|
0,153
|
|
0,875
|
5,8
|
6,1
|
6,8
|
7,5
|
0,160
|
|
Продолжение таблицы 4.1
|
|
1
|
2
|
3
|
4
|
5
|
6
|
|
0,900
|
6,3
|
6,4
|
7,2
|
8,0
|
0,166
|
|
0,925
|
6,8
|
6,8
|
7,5
|
8,6
|
0,173
|
|
0,950
|
7,2
|
7,1
|
7,9
|
9,1
|
0,179
|
|
0,975
|
7,7
|
7,4
|
8,5
|
9,5
|
0,186
|
|
|
|
|
|
|
|
) Рассчитаем активную область Вar по формуле 4.2
Вar = 1.1 + 30,8(1 - τ) × σ,(4.2)
Вar = 1,1 + 30,8(1 - 0,9) × 0,05 = 1,254.
) Рассчитаем ширину структуры ВS по формуле 4.3. ВS представляет собой отношение значений длины наиболее
и наименее длинных элементов.
ВS = В × Вar, (4.3)
ВS = 3,083 × 1,254 = 3,866 м
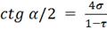
) По формуле 4.4 найдем половину угла раскрыва α/2 через ctgα/2, пользуясь тригонометрическими
таблицами или калькулятором.
, (4.4)
,
α/2 = 26,5ᵒ
) По формуле 4.5 рассчитаем предполагаемую длину антенны А. Если она
слишком велика для местных условий, увеличить α/2 и повторить расчеты.
, (4.5)
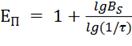
) По формуле 4.6 найдем количество вибраторов ЕП, округляя до
целого числа.
,(4.6)
) По формуле 4.7 рассчитаем длину вибратора l1, а затем длину остальных вибраторов l2 - l14
(4.7)
l1 = 11,278/2 = 5,639 м
Рассчитаем длины остальных вибраторов
l2 = l1× τ = 5,639 × 0,9 = 5,0751 м
l3 = l2 × τ = 5,0751 × 0,9 = 4,5676 м
l4 = l3× τ = 4,5676 × 0,9 = 4,1108 м
l5 = l4 × τ = 4,1108 × 0,9 = 3,6997 м
l6 = l5 × τ = 3,6997 × 0,9 = 3,3298 м
l7 = l6 × τ = 3,3298 × 0,9 = 2,9968 м
l8 = l7 × τ = 2,9968 × 0,9 = 2,6971 м
l9 = l8 × τ = 2,6971 × 0,9 = 2,4274 м
l10 = l9 × τ = 2,4274 × 0,9 = 2,1847 м
l11 = l10 × τ = 2,1847 × 0,9 = 1,9662 м
l12 = l11 × τ = 1,9662 × 0,9 = 1,7696 м
l13 = l12 × τ = 1,76996 × 0,9 = 1,5926 м
l14 = l13 × τ = 1,5926 × 0,9 = 1,4336 м
) По формуле 4.8 рассчитаем расстояние между вибраторами S1и всю серию расстояний S2 - S13.
,(4.8)
Если S1 задано, то S2 = S1× τ; S3 = S2
× τ2
Таким образом
S1
= 0,05 × 11,278 = 0,5639 м
S2 = 0,5639 × 0,9 = 0,5075 м3 = 0,5639 × 0,92 =
0,456759м4 = 0,5639 × 0,93 = 0,4111м5 = 0,5639 × 0,94 = 0,36997м6 = 0,5639 × 0,95 = 0,33298м7 = 0,5639 × 0,96 = 0,29968м8 = 0,5639 × 0,97 = 0,26971м9 = 0,5639 × 0,98 = 0,2427 м10 = 0,5639 × 0,99 =
0,218847 м11 = 0,5639 × 0,910 =
0,19662 м12 = 0,5639 × 0,911 =
0,17696 м13 = 0,5639 × 0,912 = 0,1593
м
Проделав расчеты, получаем следующую структуру, представленную на рисунке
4.1:
.3 Расчет антенны на прочность при воздействии воздушного потока со
скоростью 50 м/с
.3.1 Конструкция антенны
Работа антенны заключается в обеспечении приема или
передачи радиосигнала на стоянках объекта.
Рисунок 4.1 - Структурный вид ЛПА
Рисунок 4.2 - Общий вид антенны ЛПА
Рисунок 4.3 - Габаритные размеры антенны ЛПА
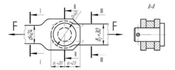
Антенна состоит из 12 симметричных проволочных излучателей, подключенных
к собирательной линии питания (траверсам, поз. 6), представляющей собой две
параллельные алюминиевые трубы диаметром 24 × 1,5 мм. Излучатели (поз. 5)
выполнены из гибкого особо прочного диэлектрического троса с проводящей
оплёткой.
Внутри одной из труб (траверсы) собирательной линии проложен отрезок
кабеля РК75-7-22 для возбуждения излучателей антенны, подключаемых к линии
через резьбовые контакты.
Для удобства транспортировки и сокращения времени развёртывания-свёртывания
конструкция антенны выполнена складывающейся и неразборной. Для установки на
мачту (поз. 3), выполненную из дюралюминиевой трубы диаметром 50х2,0 мм,
антенна снабжена специальным дюралюминиевым основанием размерами 514 × 180 мм (поз. 4). Для фиксации
положения излучателей к торцам откидных опор (поз. 2, 8) спереди и сзади
антенны прикрепляются реп-шнуры (поз. 1, 7), удерживающие излучатели в заданном
положении с помощью закреплённых на них бобышек.
Размеры антенны в развёрнутом состоянии составляет 4,4 м в длину и 4,47 м
в ширину.
.3.2 Исходные данные для расчета
) Размеры антенны представлены на рисунках 5.1 и 5.2;
) Материал траверс - труба АМг6 24х1,5 ОСТ1 92096-83;
) Материал мачты - труба Д16.Т.КР 50х2,0 ОСТ1 92096-83;
) Материал основания - лист АМг6.М 2,0 ГОСТ 21631-76;
) Материал шарниров - 40Х13 ГОСТ 5949-75;
) Механические характеристики материалов (предел прочности σв):
для 40Х13 σв = 1х108 кг/м2;
для Д16Т σв = 4,3х107 кг/м2;
- для АМг6.М σв = 4,1х107 кг/м2
)Скорость воздушного потока 50 м/с.
.3.3 Расчет ветровых нагрузок
Ветровую нагрузку, воздействующую на антенну можно рассчитать по формуле
5.1:
,(4.9)
где КП - коэффициент перегрузки;
q -
скоростной напор, кгс/м2;
β - динамический коэффициент;
СХ - аэродинамический коэффициент лобового сопротивления;
S -
площадь поперечного сечения конструкции, противостоящей воздушному потоку, м2;
α - угол между направлением воздушного
потока и нормалью к поверхности элемента конструкции.
Если к изделию не предъявляются специальные требования, то расчет
проводят при коэффициенте КП = 1 и динамическом коэффициенте β = 1,4.
Скоростной напор рассчитывается по формуле:
(4.10)
где V - скорость воздушного потока, м/с.
При V = 50 м/cq = 502/16 = 156,25 кгс/м2
Значение СХ зависит от числа Рейнольдса
(4.11)
где
(для V = 50
м/с);
d -
характерный геометрический размер (диаметр);
v -
кинематический коэффициент вязкости воздуха.
При 15ᵒС и барометрическом давлении воздуха 760 мм.рт. ст.
v = 1,455×10-5 м2с.
В зависимости от Reопределяется СХ
В интервале Re = 1,6×104 - 1,8×105СХ остается примерно постоянным и равным
для гладкого цилиндра 1,2.
Для тела, имеющего в сечении форму квадрата со стороной d (или близкую к нему), направленного
плоскостью перпендикулярно потоку СХ = 1,28 (для плоских тел) и СХ
= 2,0 (для бесконечно длинных).
Угол между направлением воздушного потока и нормалью к поверхностям
элементов конструкции антенны (рисунок 4.3) α = 0; соsα = 1.
Ветровая складывается из ветровых нагрузок, прилагаемых к каждому
элементу конструкции:
(4.12)
Результаты расчетов ветровых нагрузок на элементы конструкции антенны при
скорости ветра 50 м/с приведены в таблице 4.2.
Таким образом, выделим ветровые нагрузки, необходимые нам для дальнейших
расчетов, на следующие элементы конструкции:
При скорости ветра 50 м/с:
1) Ветровая нагрузка на излучатель
QИЗЛ. = 4,73 + 0,486 = 5,216 кгс;
) Ветровая нагрузка на траверсу
QТР = 2×5,216 + 2,85 + 0,433 + 0,514 + 7,455 =
21,684 кгс;
) Ветровая нагрузка на основание
Q1 = 88,188 кгс;
) Ветровая нагрузка на всю антенну ЛПА
QАНТ = 90,6 кгс.
Таблица 4.2
Результаты расчета ветровых нагрузок на элементы конструкции антенны ЛПА
при скорости ветра 50 м/с
|
Наименование элемента конструкции
|
Размеры, мм
|
S, м2
|
Re
|
CX
|
Q, кгс
|
Кол. элем. в антенне
|
∑Q,
кгс
|
|
d, мм
|
L, мм
|
|
|
|
|
|
|
|
Излучатель
|
16
|
1126
|
0,01802
|
6,5×104
|
1,2
|
4,73
|
8
|
37,842
|
|
Шарнир
|
25
|
74
|
0,00185
|
1,02×105
|
1,2
|
0,0486
|
8
|
3,885
|
|
Корпус траверсы
|
106
|
96
|
0,01018
|
4,3×105
|
1,28
|
2,85
|
2
|
5,7
|
|
96
|
65
|
0,00624
|
3,9×105
|
2,0
|
2,73
|
2
|
5,46
|
|
60
|
44
|
0,00264
|
2,4×105
|
0,75
|
0,433
|
2
|
0,866
|
|
Фланец траверсы
|
47
|
50
|
0,00235
|
1,9×105
|
1,0
|
0,514
|
2
|
|
Труба траверсы
|
40
|
710
|
0,0284
|
1,6×105
|
1,2
|
7,455
|
2
|
14,91
|
|
Соединительная коробка
|
160
|
98
|
0,01568
|
6,5×105
|
1,28
|
4,39
|
1
|
4,39
|
|
Корпус стойки
|
126
|
50
|
0,0063
|
5,1×105
|
1,28
|
1,764
|
1
|
1,764
|
|
60
|
52
|
0,00312
|
2,4×105
|
0,75
|
0,512
|
1
|
0,512
|
|
Опорная труба
|
50
|
1000
|
0,05
|
2×105
|
1,0
|
10,938
|
1
|
10,938
|
|
60
|
100
|
0,006
|
2,4×105
|
0,75
|
0,984
|
1
|
0,984
|
|
Кожух
|
200
|
60
|
0,012
|
8,2×105
|
0,35
|
0,919
|
1
|
0,919
|
|
Зажим
|
65
|
150
|
0,00975
|
2,6×105
|
0,7
|
0,493
|
1
|
1,493
|
|
Итого
|
90,6
|
4.3.4 Расчет антенны на стойкость при воздействии воздушного потока со
скорость 50 м/с
Расчет на стойкость антенны ЛПА будем проводить по самым нагруженным
элементам конструкции. Самими нагруженными элементами в конструкции являются
места закрепления излучателей в шарнирах, диэлектрической трубы траверсы во
фланец, цилиндрическая часть фланца траверсы, основание центральной стойки.
Для упрощения расчетов считаем, что ветровая нагрузка равномерно
распределяется по длине основных элементов конструкции антенны и принимаем
расчетную схему балки с жестким защемлением одного конца (рисунок 4.4)
Рисунок - 4.4
А - реакция опора
МИЗГ - изгибающий момент
Расчет ведем по допустимой нагрузке на изгиб
, (4.13)
где МИЗГ - максимальный изгибающий момент по расчетной схеме
рисунок 4.3 возникает в точке заделки балки и равен:
, (4.14)
где g = Q/l - интенсивность
распределения нагрузки,
W -
момент сопротивления.
Момент сопротивления определяется по формулам:
Для трубы:
(4.15)
где dН - наружный диаметр трубы,
dВ - внутренний диаметр трубы.
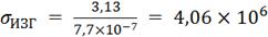
Момент, создаваемый воздушным потоком в месте закрепления излучателя в
шарнир:
МИГЗ = 1/2×1,126×4,73 = 2,663 кг×м
Момент у основания излучателя:
МИГЗ = 1/2×1,2×5,216 = 3,13 кг×м
Момент, создаваемый воздушным потоком у основания траверсы:
МИГЗ = 0,83×(4,73×2+2,85+0,433)+1/2×0,71×7,455 = 13,22кг×м.
Момент, создаваемый ветром в месте закрепления диэлектрической трубы
центральной стойки в зажим:
МИГЗ = 1,2×76,27+1/2×11,922 = 97,5 кг×м.
Момент сопротивления трубы излучателя равен
м3
Момент сопротивления шарнира
м3
Момент сопротивления диэлектрической траверсы
м3
Момент сопротивления цилиндрической часта фланца траверсы
м3
Момент сопротивления диэлектрической трубы стойки
м3
Определим напряжение, возникающее в опасных сечениях
г/м2- для излучателя;
кг/м2 - для шарнира;
кг/м2 - для диэлектрической трубы траверсы;
кг/м2- для цилиндрической части фланца траверсы;
кг/м2 - для основания стойки
[
] = 0,3÷0,45σВ
Для стали 40×13σВ = 108 кг/м2
[σИЗГ] = 3×107 кг/м2
Для стали 12×18Н9ТσВ = 5,4×107 кг/м2
[σИЗГ] = 1,89×107 кг/м2
Для стеклотекстолитаσВ = 108 кг/м2
[σИЗГ] = 2×107 кг/м2
Коэффициент запаса прочности определяется по формуле:
(4.16)
Для излучателей:
.
Для шарниров:
.
Для трубы траверсы:
.
Для фланца траверсы:
.
Для основания стойки:
.
Вывод: Антенна ЛПА устойчива к воздействию ветровой нагрузки в 90,6 кгс,
создаваемой воздушным потоком со скоростью 50 м/с.
.4 Построение диаграммы направленности мобильной логопериодической
антенны
При описании свойств излучения используются два почти равноценных понятия
трехмерной и двухмерной диаграмм направленности, которые служат для
представления свойств излучения в системе пространственных координат. Первая из
этих диаграмм воспроизводит распределение излучения по всем направлениям, а
вторая - по направлениям, лежащим в какой-либо плоскости. Рекомендуется
пространственную зависимость создаваемой антенной в разных направления на
одинаковом расстоянии в дальнем поле напряженности поля по амплитуде, фазе и
поляризации обозначить термином «характеристика направленности». Диаграммой
направленности называют графическое представление сечения характеристики
направленности.
Диаграмма направленности антенн может изображаться в полярной системе
координат или в сечении этой системы, а так же в декартовых (прямоугольных)
координатах.
В полярных координатах применяется сетка концентрических кругов и
исходящих из их центра лучей (рисунок 4.5). Концентрические круги представляют
напряжение, причем в их центре оно приравнивается к нулю. Лучи показывают
направление, отсчитываемое в угловой мере, как правило, от основного
направления передачи или приема. От этого правила часто отступают при
построении диаграммы направленности в вертикальной плоскости.
На рисунке 4.5а представлена нормированная диаграмма направленности
полуволнового вибратора в горизонтальной плоскости (плоскость Е горизонтальная
ширина половинной мощности 80ᵒ); на рис. 4.5б - диаграмма в
горизонтальной плоскости директорией антенны (плоскость Е, горизонтальная
ширина 27°) в линейных полярных координатах.
Рисунок
4.5 - Горизонтальные диаграммы направленности
Представление
диаграмм направленности в декартовых координатах менее наглядно (рисунок 4.6), однако
его преимущество состоит в большем угловом разрешении боковых лепестков (это
видно при сравнении рисунка 4.6 и 4.5б). Обычно максимум излучения отвечает
углу 0°. По оси абсцисс откладывают углы от 0° до ±180°, а по оси ординат -
проценты от максимума (0-100%) или значения отображаемой величины в децибелах.
Рисунок
4.6 - Диаграмма направленности антенны в декартовых координатах
Максимальное выходное напряжение антенны, измеренное в главном
направлении излучения, приравнивается к 1 (100%) или 0 дБ и наносится при угле
0°. Все последующие напряжения приема, измеренные под разными углами к главному
направлению в пределах 180°, откладываются при соответствующих углах в долях от
максимального напряжения. Кривая, связывающая точки результатов измерений,
представляет собой функцию направления и служит диаграммой направленности
излучения.
По диаграмме направленности определяют ряд важных параметров
рассматриваемой антенны. Половину ширины главного лепестка называют углом половинного
уровня. Это угол между направлением максимума излучения и направлением, где
плотность потока энергии составляет половину от максимальной. Чтобы определить
такой угол, точке наибольшего напряжения в главном направлении присваивают
значение 1,0 и по обе стороны лепестка излучения находят точки, в которых
напряжение составляет 0,71 от максимального. Уменьшение напряжения в 0,71 раз
(1/V2) соответствует снижению мощности на
50% или на 3 дБ. Затем, как показано на рисунке 4.5а, через эти точки проводят
из центра прямые, которые и служат сторонами искомого угла половинного уровня.
Обычно предпочитают пользоваться понятием ширины диаграммы по половинной
мощности или ширины по уровню 3 дБ. Ширина лепестка диаграммы направленности по
половинной мощности равна сумме обоих углов половинного уровня и обозначает
интервал углов, в котором плотность потока энергии составляет не менее половины
своего максимального значения. Наряду с термином «ширина по половинной
мощности» пользуются и тождественным - «угол раскрыва».
Смысл угла половинного уровня нетрудно понять в прямоугольной системе
координат. Поскольку диаграммы направленности строят в горизонтальной и
вертикальной плоскостях, следует различать горизонтальную и вертикальную ширину
диаграмм по половинной мощности.
Коэффициентом обратного излучения называется отношение максимального
напряжения, полученного при угле 0°, к максимальному напряжению, наведенному с
обратного направления. Этот коэффициент выражается в децибелах.
Реже пользуются понятием коэффициента бокового излучения, который
выражается отношением напряжения при угле 0° к напряжениям при угле 90° или
270°.
Точка диаграммы направленности, где напряжение убывает до нуля, носит
название нулевой. Ее положение описывается углом нулевого значения, то есть углом
между направлением максимума излучения и направлением на первую нулевую точку.
Шириной по нулевому уровню называют интервал углов между первыми нулевыми
точками по обе стороны от главного лепестка диаграммы направленности.
Как показано на рисунке 4.5б, наряду с главным лепестком возможны более
или менее выраженные боковые лепестки. Чаще всего они нежелательны, поскольку
ухудшают направленность и ослабляют главный лепесток. Отношение максимального
напряжения, отвечающего главному направлению излучения, к напряжению в боковом
лепестке называется коэффициентом ослабления бокового лепестка. Вместе с этим
коэффициентом при описании бокового лепестка приводят и его угол относительно
главного направления.
Диаграмма направленности является нормированной, когда все значения
напряжения поделены на его максимальную величину и результат деления выражен в
долях единицы или в процентах (см. рис. 4.5а и 4.6).
4.4.1 Закономерности излучения полуволнового вибратора
Трехмерная диаграмма направленности имеет форму тора с проводником
антенны на оси симметрии. В случае, показанном на рисунке 4.7, вибратор
горизонтально поляризован, так как ось антенны горизонтальна. Горизонтальный
разрез тора в плоскости его оси на рисунке 4.7 (вид сверху) дает наглядное
представление об этой характеристике. Заштрихованные плоскости сечения
изображают диаграмму направленности, соответствующую рисунку 4.5а. Видно, что
главный луч полуволнового вибратора в свободном пространстве всегда
перпендикулярен оси проводника. Это справедливо и для иной плоскости сечения.
Например, если тор рассечь перпендикулярно его оси, диаграмма направленности
окажется кругом, в центре которого находится сечение проводника (рисунок 4.8).
Данное сечение служит вертикальной диаграммой направленности горизонтального
полуволнового вибратора в свободном пространстве и лежит в плоскости,
перпендикулярной оси проводника. Если вибратор сориентировать вертикально, то
круговая диаграмма на рисунке 4.8 превратится в горизонтальную диаграмму
направленности вертикального вибратора, а двухлепестковая диаграмма на рисунке
4.5а станет вертикальной диаграммой направленности того же вибратора.
Ради простоты обычно пользуются понятиями плоскости Е и плоскости Н.
Первая из них соответствует направлению линий электрического поля в плоском волновом
фронте, вторая - направлению линий магнитного поля. У линейно поляризованных
антенн проводник вытянут в плоскости вектора напряженности электрического поля
Е.
Рисунок
4.7 - Трехмерная диаграмма направленности горизонтального вибратора (верхняя
часть тора удалена)
Поперечное сечение вибратора
Рисунок 4.8 - Диаграмма направленности горизонтального полуволнового
вибратора в вертикальной плоскости
Поэтому диаграмма направленности типа той, что показана на рисунке 4.5,
всегда отображает диаграмму направленности в плоскости Е независимо от наклона
вибратора. Соответственно, диаграмма на рисунок 4.8 служит диаграммой в
плоскости Н, так как она принадлежит плоскости вектора магнитного поля Н.
Согласно [17], диаграмма направленности Е или Н является графическим
представлением диаграммы направленности антенны с преимущественно линейной
поляризацией для плоскости, в которой лежат главный луч и электрический или
магнитный вектор.
.4.2 Зависимость направленности горизонтальных антенн от окружающих
предметов
До сих пор обсуждались диаграммы направленности антенн, находящихся в
свободном пространстве или хотя бы на большой высоте вдали от посторонних
предметов. Разумеется, «на большой высоте» и «вдали» - понятия относительные и
должны рассматриваться с учетом рабочей длины волны излучения. Так, антенну для
2-метрового диапазона на 10-метровой мачте допустимо называть высокой,
поскольку высота опоры пятикратно превосходит длину волны. При желании
разместить 40-метровую антенну на расстоянии пяти длин волн от земли
потребовалась бы 200-метровая мачта, так как длина 10-метровой опоры оказалась
бы вчетверо меньше длины волны. Ясно, что радиолюбители не в состоянии
размещать коротковолновые антенны на столь большом удалении от земли и
посторонних предметов, чтобы можно было пренебрегать влиянием окружающих
объектов.
Если антенна размещается вблизи грунта, ее параметры изменяются
вследствие отражений от земли. Прежде всего это касается сопротивления
излучения, коэффициента укорочения и диаграмм направленности. Высота антенны по
сравнению с рабочей длиной волны, ориентация относительно земной поверхности, а
также электрические свойства грунта и окружающих объектов определяют, в какой
степени изменятся эти параметры.
Волны, излученные антенной к земле вертикально или под малым углом к
вертикали, отразятся от почвы и пройдут сквозь структуру антенны, наводя ток в
ее проводниках. Фазы и амплитуды наведенных токов зависят от расстояния между
антенной и отражающим грунтом. Таким образом, суммарный ток антенны образуют
две составляющих. Амплитуда первой из них определяется мощностью передатчика и
сопротивлением излучения. Вторая составляющая связана с излучением, отраженным
от грунта к проводникам антенны. В зависимости от высоты антенны над землей
фаза этой составляющей по-разному соотносится с фазой главного компонента. При
одинаковых фазах токи складываются. Если фазы противоположны, результирующий
ток антенны равен разности составляющих. Поскольку мощность питания антенны от
передатчика Р постоянна, вслед за вариациями тока антенны I за счет отражения
должен меняться и ее импеданс R: Р =
I2R. Поэтому с приближением антенны к грунту значение ее
импеданса отклоняется от теоретического.
На рисунке 4.9 показана зависимость вертикальной диаграммы направленности
горизонтального полуволнового вибратора от соотношения его высоты над идеальным
грунтом и длины волны излучения. При построении графиков использован
коэффициент, достигающий теоретически возможного максимального значения 2,0
лишь при совпадении фазы и направления прямой и отраженной волн.
На рисунке 4.9 изображены диаграммы направленности горизонтального
вибратора при разном его возвышении над бесконечно проводящей поверхностью для
плоскости, перпендикулярной оси вибратора. Высота составляет в случае а - 1/8λ; б - 1/4λ;в - 3/8λ; г - 1/2λ; д- 5/8λ; е - 3/4λ; ж - 7/8λ; з - 1λ; и - 5/4λ; к - 3/2λ; л - 7/4λ; м - 2λ.
Угол к горизонтали называют углом возвышения. Согласно рисунку 4.9г, угол
возвышения максимума диаграммы горизонтального полуволнового вибратора, находящегося
на высоте λ/2 над идеальным грунтом, составляет 30° (коэффициент 2,0).
При углах 10° и 55° коэффициент близок к 1,0.
Нетрудно оценить важность угла возвышения антенны для реальной дальней
радиосвязи, если вспомнить о закономерностях распространения пространственных
волн. Как известно, глобальная коротковолновая связь осуществляется благодаря
отражениям в ионосфере. Чтобы отражаться от ионизированного слоя с ростом
частоты, луч должен падать на него все более наклонно. Оптимальные углы
возвышения для отдельных любительских диапазонов лежат в следующих интервалах:
1) 40 м- (12-40);
2) 30 м-(11-30);
) 20 м -(10-25);
) 17м- (8-22);
) 15 м - (7-20)°;
) 12 м -(6-17)°;
) 10м-(5-14)°.
Рисунок 4.9 - Вертикальные диаграммы направленности горизонтального
полуволнового вибратора
Отсюда следует, что энергия, излучаемая антенной под углами возвышения
более 40° и менее 5°, неэффективна для дальней связи. Обычно излучение,
распространяющееся по касательной к земной поверхности (угол возвышения меньше
5°), сильно поглощается грунтом. Долговременные колебания ионосферы учитываются
интервалами оптимальных углов. Вслед за изменением ее состояния меняется и оптимальный
угол возвышения. Поместить антенну как можно выше всегда выгодно, но уже при
высоте 12 м можно рассчитывать на приличную дальнюю связь в любительских
диапазонах 10, 15 и 20 м, в то время как антенна 40-метрового диапазона не
должна находиться ниже 15 м, причем этого достаточно лишь при отсутствии
окружающих объектов.
Находящиеся поблизости отражающие сооружения уменьшают эффективную высоту
антенны и вызывают многочисленные изменения ее диаграммы направленности.
Антенны с горизонтальной поляризацией особенно чувствительны к наличию разного
рода посторонних проводников, металлических водостоков и горизонтальных
элементов громоотводов. Однако допустимо пренебрегать влиянием подобных
объектов, если их протяженность намного меньше половины длины волны, приведенной
к рабочей частоте. Так, обычные телевизионные антенны не влияют на
направленность соседних коротковолновых антенн. Особенно сильно страдает
излучение вертикальных антенн при наличии отвесных объектов, например различных
металлических опор.
Умеренно направленная антенна с горизонтальной поляризацией
характеризуется таким же углом возвышения максимума диаграммы направленности,
как горизонтальный полуволновый вибратор, если антенна и вибратор находятся на
одинаковой относительной высоте от земли. Например, для трехэлементной
директорной антенны «волновой канал» на высоте 3/4 длины волны над идеальным
грунтом и для полуволнового вибратора на той же высоте характерны одни и те же
лепестки диаграммы направленности при углах около 20° и более 60°. Однако соотношения
амплитуд лепестков антенны и вибратора различны (рис. 4.10). Из диаграммы
направленности директорной антенны следует, что ее излучение под углами больше
60° сильно подавлено по сравнению с излучением под углом 20°. Концентрация
излучения на малых углах возвышения особенно важна при дальней связи.
Описанному правилу подчиняются также многоэтажные антенны с горизонтальной
поляризацией. При монтаже такие антенны размещают над земной поверхностью
относительно среднего расстояния между плоскостью излучения антенны и грунтом.
Рисунок 4.10 - Вертикальная диаграмма горизонтальной трехэлементной
директорной антенны и горизонтального полуволнового вибратора на высоте 3/4λ от идеального грунта
Пример: Согласно рисунку 4.11, нижняя плоскость излучения двухэтажной
направленной горизонтальной антенны находится на расстоянии λ/2 от земли. Расстояние между этажами
антенны также составляет λ/2. Следовательно, эффективная высота антенны над грунтом
равна 3/4λ.
Рисунок 4.11 - Пример определения эффективной высоты многоэтажной
горизонтальной антенны над идеальным грунтом
4.4.3 Зависимость направленности вертикальных антенн от окружающих
предметов
Исключая вертикальные антенны с дополнительными отражающими элементами в
нижней части, радиолюбители - коротковолновики редко применяют антенны с
вертикальной поляризацией. В 2 - метровом любительском диапазоне вертикальная
поляризация важна при передачах с частотной модуляцией.
Установка антенны с вертикальной поляризацией на некотором удалении от
земли приводит к деформации диаграммы направленности в плоскости Е вследствие
отражений от грунта. В данном случае именно эта характеристика является
вертикальной диаграммой направленности (рисунок 4.12). Нижняя заштрихованная
часть диаграммы отображает интервал углов, в котором часть излучения при
уменьшении высоты антенны направляется вверх из-за отражений от грунта. Как уже
говорилось, отраженная волна векторно суммируется с прямой волной, и результат
зависит от высоты средней плоскости излучения антенны над идеальным грунтом,
приведенной к длине волны.
Рисунок 4.12 - Векторная диаграмма направленности полуволнового вибратора
на большом удалении от земной поверхности
Соответствующие примеры показаны на рисунке 4.13. Здесь за высоту
вибратора принято расстояние между его геометрической серединой и землей: в
случае а высота составляет 1/4λ; б - 3/4λ; в - 1/2λ; г - 1λ. Минимальный угол возвышения равен
0°, что указывает на распространение главного луча почти по касательной к
земной поверхности. К сожалению, такая пологая трасса, выгодная для
распространения волн в ионосфере, характеризуется ограниченной эффективностью,
поскольку часть излучения при углах менее 5° теряется из-за поглощения грунтом.
Пунктирные кривые дают представление о потерях за счет поглощения.
Рисунок 4.13 - Вертикальная диаграмма вертикального полуволнового
вибратора
.4.4 Усиление и коэффициент направленности
Усиление и коэффициент направленности - важные параметры антенны. В силу
принципа взаимности следующие ниже положения одинаково применимы к приему и
передаче радиоволн.
Усилением GE
приемной антенны называется отношение мощности, принятой антенной, которая
оптимально ориентирована по направленности и поляризации в плоском волновом
поле РЕ, к мощности, принятой полуволновым вибратором, в том же
плоском волновом поле Рк:
. (4.17)
Из равенства Р = U2/R следует, что усиление антенны выражается также через
отношение напряжений, если сопротивления нагрузки R обоих излучателей одинаковы:
(4.18)
Усиление удобнее представлять в виде логарифма отношения и выражать в
децибелах:
(4.19)
Коэффициентом направленности приемной антенны, или коэффициентом ее
направленного действия, называется отношение максимальной мощности РЕ,
принимаемой антенной в поле плоской волны, к мощности РК,
принимаемой изотропным излучателем в том же поле:
(4.20)
Таким образом, коэффициент направленности отличается от коэффициента
усиления тем, что сравнение в этом случае производится с изотропным
излучателем. Поскольку полуволновый вибратор является направленной антенной и
имеет по отношению к изотропному излучателю усиление 2,14 дБ, коэффициент
направленности какой-либо антенны больше ее коэффициента усиления на 2,14 дБ
или в 1,28 раз по напряжению:
D =
1,28G по напряжениюили
D = G+ 2,14 дБ (4.21)
На рисунке 4.14 показаны соотношения напряжения, тока и мощности,
выраженные в децибелах. Поскольку в технике антенн необходимо рассчитывать
затухания, на рисунке4.15 представлены соотношения тех же величин для
затухания.
Преимущество вычислений в децибелах состоит в том, что в этом случае
величины просто складываются и вычитаются. Пусть имеется антенна с усилением 12
дБ и потерями в фидере 7 дБ. Тогда усиление всего устройства 12 - 7 = 5 дБ.
В устаревшей литературе встречаются соотношения напряжения, тока и
мощности, выраженные в неперах (Нп). При описании антенн эти единицы измерения
уже почти не применяются. Для пересчета служат следующие соотношения:
1) 1 Нп = 8,686 дБ;
2) 1 дБ = 0,1151 Нп.
Многочисленные таблицы в приложении дают весьма точные значения
табулированных величин [8].
Рисунок 4.14 - Соотношение тока, напряжения и мощности для усиления
логарифмический периодический мобильный антенна
Рисунок 4.15 - Соотношение тока, напряжения и мощности для затухания
4.4.5 Расчет и анализ диаграммы направленности по
средствам программы MMANA-GAL
MMANA-GAL является одной из программ, позволяющей комфортно
подготавливать данные для расчетов в модифицированном MININEC3 и анализировать
полученный результат. Для создания модели антенны и вывода результатов в MMANA
можно использовать как текстовый, так и графический режимы. Кроме подготовки -
обработки данных MININEC3, MMANA включает в себя множество дополнительных
функций, облегчающих жизнь проектировщику антенн.
Для расчета и анализа антенны ЛПА в программе
MMANA-GAL необходимо заполнить закладку геометрия (рисунок 4.16), содержащую
три таблицы, служащие для ввода и редактирования проводов, источников и
нагрузок. Кроме того на ней расположены элементы позволяющие настроить
параметры сегментации и установить основную частоту.
Таблица проводов расположена в верхней части окна и
имеет 8 колонок. Первые шесть (X1, Y1, Z1, X2, Y2, Z2) описывают координаты
(декартовы) начала и конца провода. Седьмая колонка R описывает радиус провода.
Таблица нагрузок служит для задания RLC элементов
включенных в провода антенны. Количество используемых колонок зависит от
способа описания нагрузки. Колонка Pulse служит для описания места включения
нагрузки, которое описывается так же, как для источников. В колонке Type
описывается тип нагрузки: LC, R+jX, S.
Заполняем таблицы для построения геометрической модели
логопериодической антенны
Рисунок 4.16 - Закладка геометрия в программе
MMANA-GAL
Закладка Вид служит для вывода изображения антенны и
токов. Последние выводятся только в том случае, если антенна была просчитана.
Изображение антенны можно вращать двигая мышью с
нажатой левой кнопкой по полю с изображением. Для перемещения антенны следует
дополнительно нажать клавишу Shift (или Ctrl) клавиатуры.
Выделить один из проводов антенны можно при помощи
щелчка мышью или при помощи кнопок вверх/вниз в меню Выбор провода. Выбранный
провод изображается утолщенной линией, а в правом нижнем углу появляется
полупрозрачная таблица с описанием координат провода в декартовых и полярных
координатах.
Заполнив таблицы закладки геометрия получаем вид
антенны представленный на рисунке
Рисунок 4.17 - Построенная антенна ЛПА в программе
MMANA-GAL
Закладка Вычисления (рисунок 4.18) служит для запуска
расчетов и вызова окон оптимизации, графиков и редакторов провода и элементов.
На этой странице можно устанавливать частоту для текущего расчета, параметры
земли и материал проводов (материал можно выбирать из нескольких
предустановленных или выбрав тип пользователя описать параметры своего
материала).
Результат последнего вычисления выводится в верхней
строке таблицы и дублируется в поле правого верхнего угла окна. В случае модели
с несколькими источниками в таблице выводится Za только для первого источника.
Za для остальных источников - в поле правого верхнего угла.
Поле Доб высота показывает цифру, которая будет
автоматически добавлена ко всем координатам Z антенны. Изменением этой цифры
удобно оперативно двигать антенну по высоте. Однако, если вы проектируете
антенну, касающуюся земли, то сумма координаты Z конца провода, касающегося земли
и цифры в поле Доб высота должны быть равны нулю.
Окошко Земля позволяет выбрать тип земли, а также при
выборе реальной земли задать и посмотреть её профиль, как набор из нескольких
участков с разными характеристиками-высотами. Для первичного изучения антенны
рекомендуется выбирать либо Свободное пространство либо Идеальную землю. И
только разобравшись с работой самой антенны переходить к Реальной земле и
изучать влияние земли на антенну. Понимание антенны сразу над реальной землей -
это непростая задача, особенно для неопытного пользователя.
Следует учитывать, что используемый в MMANA-GAL
модифицированный MININEC-3 рассчитывает входное сопротивление и ближнее
(реактивное) поле без учета потерь в реальной земле (т.е. полагая землю
идеально проводящей). Потери в земле учитываются только при расчете диаграммы
направленности модели.
Радиус ближней зоны составляет около l/2p = 0,16l.
Поэтому, если над реальной землёй рассчитываются: или горизонтальная антенна
содержащая хотя бы один провод ниже 0,16l, или вертикал с противовесами,
приподнятыми на высотах от 0,005l до 0,05l, то более точные результаты по Za и
Ga дают вычисления на ядре NEC2. MININEC3 в этих случаях дает погрешность тем
большую, чем сильнее отличаются параметры земли от идеальных.
Для построения диаграммы направленности в закладке
вычисления необходимо задать частоту, в нашем случае 30 МГц. Затем указать тип
грунта - реальный, после высота от грунта - 12 м и материал проводников - медь.
После заполнения данных запускаем расчет нажатием кнопки “Start”.
Рисунок 4.18 - Закладка вычисления в программе
MMANA-GAL
Далее получаем построенную диаграмму направленности
антенны, которую можно представить как в двухмерном (рисунок 4.19), так и
трехмерном пространстве (рисунок 4.20).
Рисунок 4.19 - Диаграмма направленности мобильной ЛПА
Рисунок 4.20а - Диаграмма направленности мобильной ЛПА
представленная в трехмерном пространстве
Рисунок 4.20б - Диаграмма направленности мобильной
ЛПА, вид слева
.5 Расчет коэффициента стоячей волны
Коэффициент стоячей волны - отношение наибольшего
значения амплитуды напряженности электрического или магнитного поля стоячей
волны в линии передачи к наименьшему [18].
Характеризует степень согласования антенны и фидера
(также говорят о согласовании выхода передатчика и фидера). На практике всегда
часть передаваемой энергии отражается и возвращается в передатчик. Отражённая
энергия ухудшает работу передатчика и может его повредить.
КСВ рассчитывают следующим образом:
СВ = 1 / KБВ = (Uпад + Uотр) / (Uпад - Uотр), (4.22)
где Uпад и Uотр - амплитуды
падающей и отраженной электромагнитных волн.
КСВ измеряется или рассчитывается на определенной
длине волны или в диапазоне длин волн.
В идеальном случае КСВ = 1, это означает, что
отраженная волна отсутствует. При появлении отраженной волны КСВ возрастает в
прямой зависимости от степени рассогласования тракта и нагрузки. Значения КСВ
до 1,5 считаются приемлемым в УКВ диапазоне. На практике чаще используется
коэффициент стоячей волны по напряжению (КСВН). Этот параметр обязательно
оговаривается в технических требованиях на передающее устройство. Кроме того,
существуют ГОСТы на предельно допустимый уровень КСВ.КСВ является обратной
величиной к коэффициенту бегущей волны (КБВ).
КСВ зависит от многих условий, например:
) Волновое сопротивление СВЧ кабеля и источника
СВЧ сигнала
2) Неоднородности, спайки в кабелях или
волноводах
) Качество разделки кабеля в СВЧ-соединителях
(разъёмах)
) Наличие переходных соединителей
) Сопротивление антенны в точке подключения
кабеля
) Качество изготовления и настройки источника
сигнала и потребителя (антенны и др.)
КСВ измеряют с помощью включения в тракт двух
направленных ответвителей, включенных в противоположных направлениях. В
космической технике КСВ измеряется встроенными в волноводные тракты датчиками
КСВ. Параметр КСВ входит в состав телеметрической информации, принимаемой от
космического аппарата.
При проведении измерений КСВН необходимо учитывать,
что затухание сигнала в кабеле приводит к погрешности измерений. Это
объясняется тем, что и падающая и отраженная волны испытывают затухание. В этом
случае КСВН можно рассчитать по формуле:
КСВН = (Uпрям + Uотр× К)/(Uпрям - Uотр× К), (4.23)
где КСВН - коэффициент стоячей волны по напряжению;прям
- измеренное напряжение падающей волны;отр - измеренное напряжение
отраженной волны;
К - коэффициент ослабления отраженной волны.
Коэффициент ослабления отраженной волны рассчитывается
по формуле:
= B × 2 × L, (4.24)
где K - коэффициент ослабления отраженной волны;
В - удельное затухание, дБ/м;- длина кабеля, м.
В этой формуле множитель 2 учитывает тот факт, что
сигнал испытывает ослабление при передаче от источника СВЧ сигнала к антенне и
на обратном пути. Так как при использовании кабеля PK50-7-15 удельное затухание
на частотах Си-Би (около 27 МГц) составляет 0,04 дБ/м, то при длине кабеля 40 м
отраженный сигнал будет испытывать затухание 0,04 × 2 × 40 = 3,2 дБ. Это приведет к тому,
что при реальном значении КСВН, равном 2,0, прибор покажет только 1,38; при
реальном значении 3,0 прибор покажет около 2,08.
В ходе работы были произведены измерения и получены
результаты представленные на рисунке 4.21
Рисунок 4.21 - КСВ мобильной ЛПА
Данное КСВ не превышает значение 3,0, а значит
соответствует требованию технического задания.
.6 Расчет на прочность несущих конструкций мобильной
логопериодической антенны
Для расчета прочности используем трехмерный САПР Solid Works Premium. Программный комплекс Solid Works предназначен для
автоматизации работ промышленного предприятия на этапах конструкторской и
технологической подготовки производства изделий любой степени сложности и
назначения. Специализированные модули программного комплекса решают задачи на
этапе производства и эксплуатации.
Для расчета на прочность выберем узел в котором
распорка, растягивающая полотно вибраторов присоединяется к собирательной линии
питания (рисунок 4.22).
Рисунок 4.22 - Крепление распорок к собирательной
линии питания
Из рисунка видно, что максимальную нагрузку испытывает
деталь осуществляющая крепление распорки к траверсе, на которую воздействует
сила в 70Н. Используя программный комплекс Solid Works, смоделируем необходимую деталь (рисунок 4.23).
Рисунок 4.23 - Рассчитываемая деталь
После этого запускаем приложение Simulation Xpress, в котором указываем необходимые для расчета параметры:
) Крепления;
2) Нагрузки;
) Материал.
Задаем первый параметр, указывая крепежные отверстия
(рисунок 4.24).
Рисунок 4.24 - Зафиксированные крепежные отверстия
Для задачи второго параметра необходимо указать поверхность,
на которую будет воздействовать сила (рисунок 4.25).
Рисунок 4.25 - Воздействие силы на поверхность
Затем необходимо задать материал детали, в данном
случае это пруток Д16.Т.КР30ГОСТ 21488-97. После чего запускаем расчет Simulation Xpress, программа обсчитывает деталь и результатом выдает
эпюру, показывающую распределение нагрузки на объект (рисунок 4.26).
Рисунок 4.26 - Эпюра показывающая распределение
величины нагрузки на объект
Из графика мы видим, что максимальная нагрузка
создается в месте отмеченным красным цветом и составляет 0,249 МПа, что не
превышает предел текучести. Запас прочности не превышает 1, следовательно,
деталь можно оставить в текущем виде без оптимизации.
.7 Расчеты на срез и смятие
Детали, служащие для соединения отдельных элементов
машин или строительных конструкций - заклепки, штифты, болты, винты и т. п. -
во многих случаях воспринимают нагрузки, перпендикулярные к их продольной оси.
Поперечная нагрузка указанных деталей возникает, в
частности, при растяжении (сжатии) соединяемых элементов. Соответствующие
примеры приведены на рисунке 4.27 (а - штифт, б - заклепка, в - болт,
поставленный без зазора, г - шпонка).
Действительные условия работы рассматриваемых деталей
сложны и во многом зависят от технологии изготовления отдельных элементов
конструкции и ее сборки. Практические расчеты этих деталей носят весьма
условный характер и базируются на следующих основных допущениях:
Рисунок 4.27 - Поперечная нагрузка деталей при
растяжении - сжатии
) в поперечном сечении возникает только один
внутренний силовой фактор - поперечная сила;
) касательные напряжения, возникающие в поперечном
сечении, распределены по его площади равномерно;
) в случае, если соединение осуществлено несколькими
одинаковыми деталями (болтами и т. п.), принимается, что все они нагружены
одинаково.
Разрушение соединительных элементов (в случае
недостаточной прочности) происходит в результате их перерезывания по плоскости,
совпадающей с поверхностью соприкосновения соединяемых деталей (рисунок 4.28).
Поэтому говорят, что эти элементы работают на срез, и возникающие в их
поперечном сечении касательные напряжения также называют напряжениями среза и
обозначают.
Рисунок 4.28 -Работа элементов на срез
На основе сформулированных выше допущений получаем
следующую расчетную формулу (условие прочности при расчете на срез):
, (4.25)
где - рабочее (расчетное) напряжение среза,
возникающее в поперечном сечении рассчитываемой детали;
F - поперечная сила; при нескольких одинаковых соединительных
деталях Q = F/i(F - общая нагрузка соединения,
i - число болтов, заклепок и т.п.);
Acp - площадь среза одного болта
(заклепки и т.п.);
[τcp] - допускаемое напряжение на срез,
зависящее от материала соединительных элементов и условий работы конструкции.
В машиностроении при расчете штифтов, болтов, шпонок и
т.п. принимают:
,
где [
] - предел текучести материала.
Меньшие значения принимают при невысокой точности
определения действующих нагрузок и возможности не строго статического нагружения.
Формула (4.25) является зависимостью для проверочного
расчета соединения. В зависимости от постановки задачи она может быть
преобразована для определения допускаемой нагрузки или требуемой площади
сечения (проектировочный расчет).
Расчет на срез обеспечивает прочность соединительных
элементов, но не гарантирует надежность конструкции (узла) в целом. Если
толщина соединяемых элементов недостаточна, то давления, возникающие между
стенками их отверстий и соединительными деталями, получаются недопустимо большими.
В результате стенки отверстий сминаются, и соединение становится ненадежным. В
случае, если изменение формы отверстия значительно (при больших давлениях), а
расстояние от его центра до края элемента невелико, часть элемента может
срезаться (выколоться), как схематически показано на рисунке 4.29.
Рисунок 4.29 - Линии выкола
Давления, возникающие между поверхностями отверстий и
соединительных деталей, принято называть напряжениями смятия и обозначать σсм. Соответственно расчет,
обеспечивающий отсутствие значительных деформаций стенок отверстий, называют
расчетом на смятие. Распределение напряжений смятия по поверхности контакта
деталей весьма неопределенно и в значительной степени зависит от наличия зазора
(в ненагруженном состоянии) между стенками отверстия и болтом (заклепкой и
т.п.).
Расчет на смятие носит условный характер и ведется в
предположении, что силы взаимодействия между деталями равномерно распределены
по поверхности контакта и во всех точках нормальны к этой поверхности.
Соответствующая расчетная формула имеет вид:
.(4.26)
ГдеF/i - нагрузка на одну соединительную
деталь;
Асм - расчетная площадь смятия;
[σсм] - допускаемое напряжение на смятие.
В машиностроении для болтовых, штифтовых и шпоночных
соединений принимают: для деталей из малоуглеродистой стали [σсм] = 100 ÷ 120 н/мм2; для деталей из
среднеуглеродистой стали [σсм] = 140÷ 170 н/мм2; для чугунного
литья [σсм] = 60÷80н/мм2.
Часто контактирующие детали изготовлены из различных
материалов; в этих случаях при выборе допускаемого напряжения ориентируются на
материал той детали, прочность которого меньше.
В качестве расчетной площади смятия при контакте по
плоскости (рисунке 4.26г) принимают действительную площадь соприкосновения- Fсм = tl, где l -
размер шпонки в направлении, перпендикулярном к плоскости чертежа; при контакте
по цилиндрической поверхности (рисунок 4.27 а,б,в) принимают площадь проекции
поверхности контакта на диаметральную плоскость, т.е. Fсм = dδ. При различной толщине соединяемых
деталей в расчетную формулу следует подставлять δmin.
Тот факт, что расчетная площадь смятия в случае
контакта деталей по поверхности полуцилиндра равна площади диаметральной
проекции этой поверхности, легко обосновать предпосылкой о характере
распределения напряжений смятия. На рисунок 4.30 показано поперечное сечение
штифта (болта и т.п.), действующая на него нагрузка F и напряжения смятия, возникающие на поверхности контакта
штифта с одним из соединяемых им элементов конструкции.
Рисунок 4.30 - Поперечное сечение штифта
Положим, что размер поверхности контакта в
направлении, перпендикулярном плоскости чертежа, равенδ,тогда на элемент поверхности,
соответствующий центральному углу dφ, приходится сила, равная
(4.27)
Составляя уравнение равновесия сил, действующих на
штифт (проектируя все силы на направление F), получаем
. (4.28)
откуда
(4.29)
В некоторых конструкциях соединительные детали
(штифты, шпонки) работают на срез по продольным сечениям (рисунок 4.27г); здесь
предпосылки расчета и его методика остаются такими же, как и при срезе по
поперечным сечениям.
Помимо расчетов на срез и смятие, необходима проверка
прочности соединяемых элементов на растяжение по ослабленному сечению, т. е.
проходящему через центр отверстия, и расчет на срез (выкалывание) части
элемента от центра отверстия до его края.
Используя выше приведенные данные произведем расчеты
на растяжение тяг и срез штыря.
Условия расчета:
Тяги 1 и 2 соединены между собой с помощью штыря 3,
вставленного в их проушины, и нагружены, как показано на рисунке 4.31 и 4.32.
Определить допускаемую величину сил F, растягивающих тяги, при следующих значениях допускаемых напряжений: на
растяжение [σр]
= 120н/мм2; на срез [τср] = 80н/мм2; на смятие [σсм] = 210н/мм2.
Допускаемая нагрузка соединения определяется из
расчета тяг на растяжение, штыря на срез, стенок отверстий в тягах на смятие и
краёв проушины на срез (выкалывание).
Рисунок 4.31 - Соединение двух тяг (главный вид)
Рисунок 4.32 - Соединение двух тяг (вид сверху,
разрез)
В результате каждого из указанных расчетов в общем
случае получаются различные значения допускаемой нагрузки.
Решением задачи является такая величина нагрузки, при
которой обеспечена прочность всех элементов конструкции, т. е. наименьшая из
полученных по результатам отдельных расчетов.
) Определение допускаемой нагрузки из расчета тяги 1
на растяжение:
а) по сечению I-I (неослабленное сечение)
б) по сечению II-II (это сечение показано отдельно на
рисунке 4.30)
) Определение допускаемой нагрузки из расчета тяги 2
на растяжение:
а) по сечению III-III (неослабленное сечение)
б) по сечению II-II (рисунок 4.30)
) Определение допускаемой нагрузки из расчета штыря на
срез. Штырь имеет две плоскости среза:
) Определение допускаемой нагрузки из расчета стенок
отверстий в проушинах на смятие.
Для первой тяги расчетная площадь смятия, через
которую передается сила F
То же для тяги 2:
Таким образом, достаточно произвести расчет для более
нагруженной, т.е. имеющей меньшую площадь смятия, проушины тяги 2:
) Определение допускаемой нагрузки из расчета краев
проушин на выкалывание:
а) для проушины тяги 1
б) для проушины тяги 2
Здесь не учитывается незначительная разница между
размером e2 и длиной линий ak и cl.
Таким образом, допускаемая нагрузка ограничивается
прочностью тяги 2 на растяжение по сечению, проходящему через центр отверстий
для штыря. Следует заметить, что значительное различие в величинах допускаемых
нагрузок, определенных из условий прочности отдельных элементов конструкций, указывает
на ее нерациональность. Всегда следует стремиться к тому, чтобы все элементы
конструкции обладали равной прочностью - это обеспечит наиболее полное
использование ее материала [19].
5. Разработка технологии изготовления мобильной логопериодической антенны
.1 Анализ технологичности конструкции
Под технологичностью конструкции изделия (ТКИ)
понимает совокупность свойств конструкции изделия, проявляемых в снижении
оптимальных затрат труда, средств, материалов и времени при технической
подготовке производства, изготовлении, эксплуатации и ремонте, по сравнению с
соответствующими показателями однотипных конструкция изделий того же
назначения. Различает производственную, эксплуатационную, ремонтную
технологичность и технологичность при техническом обслуживании, технологичность
конструкции деталей и сборочной единицы, а также технологичность конструкции по
процессу изготовления, форме поверхности, размерам, материалам.
Стандарты ЕСТПП предусматривают обязательную отработку
конструкций на технологичность на всех стадиях их создания. Общие правила
отработки конструкции на технологичность регламентируются ГОСТ 14.201-83.
Различают качественную и количественную оценки ТКИ.
К качественным характеристикам ТКИ относят
взаимозаменяемость, регулируемость, контролепригодность и инструментальную
доступность конструкции.
Количественная оценка технологичности конструкции
основана на системе показателей, которые согласно ГОСТ 14.201-83 делятся на три
вида:
базовые показатели технологичности. Их оптимальные
значения и предельные отклонения регламентированы для однотипных изделий
отраслевыми стандартами и указываются в техническом задании на разработку
изделия;
показатели технологичности конструкции, достигнутые
при разработке изделия;
показатели уровня технологичности конструкции
разрабатываемого изделия, которые определяются как отношения показателей ТКИ
нового изделия к базовый показателям ТКИ.
По области проявления свойств ТКИ различают
производственную и эксплуатационную технологичности.
Производственная технологичность конструкции
проявляется в сокращении затрат средств, времени на конструкционную и
технологическую подготовку производства и процессы изготовления.
Эксплуатационная технологичность проявляется в
сокращении затрат средств и времени на техническое обслуживание и ремонт
изделия.
Вид изделия, объем выпуска и тип производства являются
главными факторами, определяющими требования к технологичности конструкции
изделия. При проектировании изделия технолог должен участвовать во всех стадиях
проектирования, что позволяет быстрее получить данные для подготовки
производства.
Основные задачи, решаемые при анализе технологичности
конструкции обрабатываемой детали, сводятся к возможному уменьшению
трудоемкости и материалоемкости, возможности изготовления и обработки высокопроизводительными
методами. Таким образом, улучшение технологичности конструкции позволяет
снизить себестоимость ее изготовления без ущерба для служебного назначения.
Общие требования к технологичности конструкции, учитываемые при
проектировании детали, в процессе изготовления, в техническом обслуживании и
ремонте:
1) конструкция детали должна состоять из стандартных
и унифицированных конструктивных элементов или быть стандартной в целом; состав
конструктивных элементов выбирают с учетом ограничительных перечней, стандартов
и карточек применяемости;
2) формы и габариты детали, конструктивные
элементы, основные и вспомогательные базы и их сочетания, схемы простановки
размеров должны максимально соответствовать принятым обозначениям для типовой
конструкции детали;
) материалы, покрытия, требования к упрочнению
должны максимально соответствовать принятым обозначениям для типовой
конструкции детали;
4) детали должны изготавливаться из стандартных или унифицированных
заготовок;
5) размеры и поверхности детали должны иметь соответственно
оптимальные (экономически и конструктивно обоснованные) точность и
шероховатость;
6) физико-химические и механические свойства
материала, формы и размеры должны соответствовать требованиям технологии
изготовления;
7) жесткость детали, ее форму и размеры выбирает
с учетом требований технологии изготовления и ремонта (включая процессы
упрочнения, коррозионной защиты и др.), хранения и транспортирования;
8) показатели базовой поверхности (точность, шероховатость) детали
должны обеспечивать точность установки, обработки и контроля;
9) заготовки должны быть получены рациональными способами с учетом
заданного объема и выпуска и типа производства;
) при выборе метода изготовления заготовок следует исходить из
возможности одновременного изготовления нескольких деталей;
) сопряжения поверхностей деталей различных квалитетов точности и
величины шероховатости должны соответствовать применяемым методам и средствам
обработки;
) конструкция детали должна обеспечивать возможность применения
типовых и стандартных технологических процессов ее изготовления и ремонта [20].
Применяемые значения шероховатостей поверхностей деталей конструкции Ra6,3 и Ra12,5 (применяемые для поверхностей,
не трущихся и не подвергающихся износу) позволяют использовать несложные
средства технологического оснащения.
Применение допусков формы и классов точности не высокого уровня позволяет
сильно упростить изготовление детальных и сборочных узлов, так как не требуется
разработки дополнительной оснастки.
Использование недефицитных и не дорогостоящих материалов: АМг6 ГОСТ
17232-99, полиамид блочный ПА-6 ТУ6-05-988-87, стеклотекстолита марки ТСЭФ
14х20ГОСТ 12496-88, Д16Т ГОСТ 21488-97 и т.д. позволяет повысить
технологичность конструкции.
Использование стандартных и унифицированных крепежных и такелажных
изделий, позволяет использовать типовые и стандартные технологические процессы
для изготовления изделия.
Применение стеклотекстолита ТСЭФ 14х20 ГОСТ 12496-88, в качестве
материала для натяжителей полотна излучателей является технологичным, поскольку
он обладает низкой стоимостью и хорошей обрабатываемостью. Данный материал
обладает удовлетворительными электроизоляционными свойствами в заданных ТЗ
климатических условиях.
Виды и показатели технологичности конструкции приведены в ГОСТ 14.205-83,
а правила обработки конструкции изделия и перечень обязательных показателей
технологичности - в ГОСТ 14.201-83
Отработку конструкции на технологичность рекомендуется проводить в
следующем порядке:
) Подобрать и проанализировать исходные материалы;
2) Уточнить объем выпуска изделий;
) Проанализировать показатели технологичности базовой конструкции;
) Определить показатели технологичности деталей;
) Провести сравнительную оценку и расчет уровня технологичности
конструкции разрабатываемого изделия;
) Разработать мероприятия по улучшению показателей
технологичности.
Оценка технологичности конструкции может быть двух видов:
) качественный;
2) количественный.
5.2 Качественная оценка технологичности
Качественная оценка характеризует технологичность конструкции обобщенно
на основании опыта исполнителя и допускается на всех стадиях проектирования как
предварительная. Она начинается с анализа применяемого материала и далее
учитывать обрабатываемость, стоимость, возможность получения, а также его
замены более легким, прочным материалом или с повышенными физико-механическими
свойствами.
Обрабатываемые поверхности должны быть простыми (плоскими,
цилиндрическими, конусными, винтовыми), так как точность и стабильность
обработки детали в значительной степени определяются простотой конструктивных
форм. Положительным фактором является наличие большого количества поверхностей
детали, не требующих обработки резанием.
Анализ простановки размеров связан с определением размерных связей между
конструкторскими, технологическими и измерительными базами и возможностью их
совмещения.
При анализе точности и шероховатости следует помнить, что чрезмерные
требования к точности размеров и шероховатости поверхностей ведут к увеличению
трудоемкости и перерасходу средств на изготовление деталей. Поэтому размеры
должны иметь более широкие поля допусков, а сами поверхности - большую
шероховатость.
Технологичность заготовок характеризуется возможностью ее получения по
форме с максимальным приближением к форме и размерам готовой детали при условии
обеспечения технологичности при ее дальнейшей механической обработке.
Для того чтобы конструкция изделия была признана технологичной необходимо
обеспечить ее простое и экономичное изготовление. Повышение технологичности
конструкции изделия предусматривает проведение комплекса различных мероприятий,
в числе которых необходимо отметить следующие:
) Применение сварных соединений. Уменьшение трудоемкости при этом
достигается не только за счет сокращения числа деталей и упрощения сборки, но
также благодаря снижению требований к точности деталей, входящих в расчетные
размерные цены машины и к точности обработки присоединительных поверхностей
этих деталей.
) Создание конфигурации деталей и подбор их материалов, позволяющих
применение наиболее совершенных исходных заготовок, сокращающих объем
механической обработки (точное и кокильное литье, объемная штамповка, ЭШП и
т.д.).
Упрощение конфигурации деталей позволит также унифицировать режущий
инструмент и создать условия для более благоприятной его работы, позволит
применять наиболее совершенные и производительные методы механической обработки
(обработка многорезцовым, фасонным и многолезвийным инструментом, накатывание и
вихревое нарезание резьбы).
) Использование простановки размеров в чертежах деталей, обеспечивающей
возможность выполнения обработки по принципу автоматического получения размеров
на настроенных станках, автоматах и полуавтоматах и совмещение конструкторских
и технологических баз.
) Проведение нормализации и унификации деталей и стандартных единиц
выпускаемых изделий, являющихся предпосылками типизации технологических
процессов, унификации режущего и мерительного инструмента, а также внедрения
групповой обработки.
) Выполнение требований «азбуки конструирования» - обработанные
поверхности на деталях надо четко разграничивать от необработанных. Должны быть
обеспечены условия для врезания и выхода режущего инструмента, следует
обеспечить доступ ко всем элементам детали для обработки и измерения,
соответствие формы и размеров поверхностей стандартному инструменту и т.п.
) Создание конструкции изделия, позволяющей проведение операционной
сборки по принципам полной или неполной взаимозаменяемости, что является одним
из основных условий организации поточной сборки.
Осуществление указанных мероприятий представляет собою сложную задачу,
решение которой требует глубокого анализа конструкции изделия и технологии
производства.
Вследствие того, что проведение отдельных из перечисленных мероприятий
может противоречить остальным (стремление к созданию конструкции, состоящей из
минимального количества взаимозаменяемых деталей, может пойти вразрез с
принципом конструирования наиболее простых деталей, имеющих предельно широкие
допуски), окончательное решение вопроса о наиболее технологичной конструкции
изделия должно применяться с учетом общей экономичности изделия в целом для
завода.
При этом должны приниматься во внимание и организационные вопросы,
связанные с изготовлением рассматриваемой конструкции изделия, которые могут
способствовать выпуску или затруднить его (вопросы межцеховой или межзаводской
кооперации, загрузки определенных видов оборудования, возможности пополнения
станочного парка, получения определенных исходных заготовок и т.д.).
Из сказанного следует, что понятие технологичности конструкции по существу
не может быть абсолютным, что оно меняется вместе с развитием производства и
технологии и для разных типов производства и даже для различных по характеру и
уровню технологии предприятий, принадлежащих к одному типу производства, это
понятие неодинаково. Так, например, на предприятиях единичного производства,
применяющих станки с ЧПУ, требования к технологичности конструкции отличаются
от требований, предъявляемых к таким же деталям, обрабатываемых на
универсальных станках.
С развитием технологии производства требования к технологичности
конструкции изменяются, поэтому само представление о технологичности со
временем также претерпевает изменения.
.3 Количественная оценка технологичности
Технологичность конструкции может быть объективно оценена путем расчета
количественных показателей технологичности по ГОСТ 14.201-73 и ГОСТ 14.204-73.
По ГОСТ 14.201-73 предусмотрена значительная номенклатура (22)
количественных показателей. Количественные показатели технологичности
разделяются на основные и дополнительные.
Основными показателями являются:
) Абсолютное значение трудоемкости изделия Тu. Опыт показывает, что
трудоемкость механической обработки по отношению к общей трудоемкости (по
удельному весу в % ) стабильна для одного и того же типа изделий. Следовательно,
для сравнительной оценки достаточно определить трудоемкость механической
обработки.
) Абсолютное значение технологической себестоимости изготовления изделия
Cт.u. Лучше всего оценивать технологичность по себестоимости. Но при этом
следует помнить, что расчет ее не в условиях производства, а при проектировании
очень трудоемок.
) Показатель уровня технологичности по трудоемкости изготовления
, (5.1)
где Тu и Tu.Б. - ожидаемая трудоемкость изготовления нового изделия и трудоемкость
базового показателя.
) Показатель уровня технологичности по технической себестоимости
, (5.2)
Где Ст.и. и Ст.и.б. - ожидаемая техническая себестоимость проектируемого
изделия и себестоимости базового изделия.
К дополнительным показателям технологичности относят ряд частных и
комплексных, абсолютных и относительных показателей, оценивающих конструкцию,
как с экономической, так и с технической стороны.
Коэффициент использования материала
, (5.3)
где,q - масса детали, Q - масса заготовки.
Рассчитаем коэффициент использования материала, для несущих деталей
конструкции.
) Рассчитаем коэффициент использования материала, для изолирующего
уголка, удерживающего траверсы на основании мачты (рисунок. 5.1):
Рисунок 5.1 - Уголок
.
Из расчетов видно, что КИМ уголка очень низкий, таким образом
можно сказать, что эта деталь не технологична.
) Рассчитаем коэффициент использования материала для основания (рисунок
5.2):
Рисунок 5.2 - Основание
.
Расчет показывает высокий коэффициент использования материала,
следовательно, деталь технологична.
) Коэффициент унификации и стандартизации деталей
, (5.4)
где Куэ - коэффициент унификации конструктивных элементов; Nуэ, Nэ - соответственно число унифицированных конструктивных
элементов детали и общее, шт.
Рассчитаем коэффициент унификации для изделия по формуле 5.4
.
) Коэффициент обработки поверхностей
, (5.5)
где ДМО - число поверхностей, подвергаемых механической
обработке, ДЭ - общее число поверхностей.
Рассчитаем коэффициент обработки поверхностей для несущих деталей
конструкции (рисунок 5.1, рисунок 5.2).
а) Рассчитаем коэффициент обработки поверхностей, для изолирующего
уголка, удерживающего траверсы на основании мачты (рисунок. 5.1):
Так как КПО = 0,54, следовательно, заготовка выбрана
правильно, а значит, деталь технологична.
б) Рассчитаем коэффициент обработки поверхностей для основания (рисунок
5.2):
КПО = 0,33, а это меньше единицы, следовательно, деталь
технологична.
)Коэффициент точности обработки
, (5.6)
где АСР - средний квалитет точности обработки
Рассчитаем коэффициент точности обработки для основания (рисунок 5.2):
КТЧ = 14,2.
) Коэффициент шероховатости поверхности
, (5.7)
где БСР - средняя высота неровностей поверхностей изделия
Рассчитаем КШ - для всего изделия: КШ = 6,3.
. Организационно экономическая часть
.1 Определение трудоемкости ОКР
Общая трудоемкость ОКР может быть определена исходя из доли этапа
разработки рабочих чертежей, рассчитанного по нормативам.
Для определения затрат времени на проведение опытно-конструкторской
разработки существует несколько методов. Использование того или другого метода
зависит, прежде всего, от новизны разрабатываемой радиоэлектронной аппаратуры
(РЭА) и сложности конструкции. Одним из распространенных методов является метод
типовых этапов. Исходя из норм времени, результаты расчета трудоемкости
разработки рабочих чертежей и темы приведены в таблицах 6.1 и 6.2.
Таблица 6.1
Расчет норм времени
|
Наименование работ
|
Количество чертежей формата А1
|
Норма времени на один чертеж, чел.-ч
|
Трудоемкость, чел.-ч
|
|
1. Разработка чертежей отдельных узлов и блоков
|
10
|
9,8
|
98,0
|
|
2. Разработка чертежей общего вида и его согласование
|
5
|
10,2
|
51,0
|
|
3. Разработка и выпуск детальных чертежей
|
10
|
11,0
|
110,0
|
|
4. Выполнение контрольно-сборочных чертежей, составление
спецификаций, ведомостей технических условий
|
2
|
10,6
|
21,2
|
|
5. Копирование подлинников, сличение с оригиналами
|
-
|
-
|
20,0
|
|
6. Технологический и нормализационный контроль чертежей
|
-
|
-
|
30,0
|
|
Итого
|
27
|
-
|
330,2
|
|
С учетом коэффициента унификации и применения
заимствованных деталей, равного 0,7
|
-
|
231,1
|
|
С учетом коэффициента новизны конструкции, равного 1,5
|
-
|
346,7
|
|
С учетом коэффициента серийности, равного 1,2
|
-
|
416,0
|
|
С учетом коэффициента условия применения, равного 1,5
|
-
|
624,0
|
|
Всего
|
-
|
624,0
|
Рассчитаем число исполнителей Рисп по формуле:
(6.1)
где Т - трудоёмкость;
Фэ - месячный эффективный фонд времени 1-го исполнителя;
Д - директивный срок, равный 4-5 мес.;
Квн- коэффициент выполнения норм, равный 1.1.
чел.
Результаты
расчетов отражены в таблице 6.2.
Таблица 6.2
Расчет числа исполнителей
|
Исполнители
|
Удельный вес, %
|
Число исполнителей, чел.
|
|
1. Ведущий инженер, руководитель темы
|
15
|
1
|
|
2. Инженер 1 кат.
|
10
|
1
|
|
3. Инженер 2 кат.
|
10
|
1
|
|
4. Инженер-программист 1 кат.
|
20
|
1
|
|
5. Инженер-конструктор 1 кат. 20%)
|
20
|
1
|
|
6. Инженер 3 кат.
|
15
|
1
|
|
7. Техник 1 кат.
|
10
|
1
|
|
Всего
|
100
|
7
|
.2 Распределение трудоемкости ОКР по исполнителям
Трудоемкость ОКР распределена по исполнителям исходя из соотношения
категорий, содержания работ и квалификационных характеристик. Результаты
расчетов отражены в таблице 6.3.
Таблица 6.3
Распределение трудоемкости ОКР по исполнителям
|
Показатель
|
Удельный вес, %
|
Всего на ОКР
|
|
1. Ведущий инженер, руководитель темы
|
15
|
720
|
|
2. Инженер 1 кат.
|
10
|
480
|
|
3. Инженер 2 кат.
|
10
|
480
|
|
4. Инженер-программист 1 кат.
|
20
|
960
|
|
5. Инженер-конструктор 1 кат. 20%)
|
20
|
960
|
|
6. Инженер 3 кат.
|
15
|
720
|
|
7. Техник 1 кат.
|
10
|
480
|
|
Всего
|
100
|
4800
|
.3 Определение договорной цены ОКР
Результатом опытно-конструкторской разработки является научно-техническая
продукция, которая, как и любой товар имеет свою цену. Так как данный проект
разрабатывается на предприятии, то в дальнейших расчетах используются данные,
предоставленные плановым отделом базового предприятия.
Таблица 6.4
Расчет заработной платы исполнителей
|
Исполнители
|
Трудоемкость, чел.-ч
|
Часовая оплата, р.
|
Зарплата, р.
|
|
1. Ведущий инженер, руководитель темы
|
720
|
94
|
67680
|
|
2. Инженер 1 кат.
|
480
|
88
|
42240
|
|
3. Инженер 2 кат.
|
480
|
82
|
39360
|
|
4. Инженер-программист 1 кат.
|
960
|
88
|
82560
|
|
5. Инженер-конструктор 1 кат. 20%)
|
960
|
88
|
82560
|
|
6. Инженер 3 кат.
|
720
|
76
|
54720
|
|
7. Техник 1 кат.
|
480
|
64
|
30720
|
|
Всего
|
4800
|
-
|
168000
|
Таблица 6.5
Расчет стоимости покупных изделий нового товара
|
Наименование материалов, покупных изделий, полуфабрикатов
|
Количество
|
Цена за единицу, р.
|
Сумма, р.
|
|
Розетка СР-75-211 ФВ
|
2
|
412,92
|
825,84
|
|
Вилка СР-75-211 ФВ
|
2
|
351,54
|
703,08
|
|
Кабель РК-75-7-22
|
5,6 м
|
670
|
3,350
|
|
Итого
|
-
|
-
|
1532,27
|
|
Транспортно-заготовительные расходы
|
-
|
-
|
153,227
|
|
Всего
|
-
|
-
|
1685,497
|
Таблица 6.6
Расчет договорной цены ОКР в рублях
|
Наименование затрат
|
Затраты
|
Примечание
|
|
1) Материалы
|
1685,497
|
Таблица 6.5
|
|
2) Спецоборудование
|
4000
|
-
|
|
3) ФОТ
|
168000
|
Таблица 6.4
|
50400
|
30% от п. 3
|
|
5) Затраты по работам, выполняемым сторонними организациями
и предприятиями
|
-
|
-
|
|
6) Расходы на командировки
|
40526
|
-
|
|
7) Накладные расходы
|
166,32
|
99% от п. 3
|
|
8) Прочие расходы
|
-
|
-
|
|
9) Себестоимость
|
264777,817
|
сумма п. 1 - п. 8.
|
|
10) Прибыль
|
52956
|
20% от п. 9
|
|
Итого договорная цена
|
317733,4
|
6.4 Выбор и обоснование товара-конкурента
В качестве товара-конкурента выбираем DLP-11L
фирмы Titanex, Введение новых функциональных
возможностей при сохранении совместимости с конкурентом способствует росту
спроса на это изделие.
Взятая за прототип логопериодическая антенна DLP-11L
фирмы Titanex, содержащая, как и аналог: жесткую
двухпроводную питающую линию, одновременно играющую роль несущей траверсы для
крепления диполей (излучателей); серию гибких диполей (излучателей),
подключенных к двухпроводной линии, расстояние между которыми и их размеры
определяются известными для логопериодических антенн соотношениями; гибкий
диэлектрический строп, обеспечивающий натяжение всей структуры антенны в
эксплуатационном положении, и имеющая массу 11 кг, длину питающей линии (бума)
6м, максимальную длину излучающего элемента 10,3м при общем числе диполей 11 и
коэффициентом стоячей волны на входе питающего разъема менее 2.
По сравнению с аналогом прототип антенной системы имеет лучшие показатели
мобильности (меньшая масса), позволяющие использовать его в мобильных
радиотехнических комплексах, однако процедура предварительной сборки антенны на
земле также существенно увеличивает время приведения антенны в рабочее
состояние и осложняет процесс подъема ее на мачту. Устранение перечисленных
недостатков достигается тем, что в антенне работающей в диапазоне рабочих
частот 30-80 МГц и содержащей:
жесткую двухпроводную питающую линию длиной 4,5 м., играющую роль несущей
траверсы для крепления диполей (излучателей);
серию гибких диполей (излучателей) с максимальным размером 4м. и
минимальным размером 0,5м, подключенных к двухпроводной линии, расстояние между
которыми, их размеры и число определяются известными для логопериодических
антенн соотношениями;
гибкий диэлектрический строп, обеспечивающий натяжение всей структуры
антенны в эксплуатационном положении;
вводится механизм развертывания - свертывания антенны, состоящий из
четырех подвижных диэлектрических натяжителей, диэлектрического же стропа,
удерживающего в рабочем состоянии гибкие излучатели антенны, при натяжении
стропа и диэлектрической растяжки (тетивы).
Применение описанного механизма развертывания - свертывания излучателей
антенны, в сочетании с гибкой конструкцией самих излучателей, позволяет
организовать процесс снятия (установки) и свертывания (развертывания) антенны
на мобильной телескопической мачте без разборки (сборки) антенны на составные
части за время от 3-х до 10 минут, в зависимости от размеров антенны,
конструируемой в пределах вышеуказанного диапазона частот 14-500 МГц, что
существенно меньше значений времени развертывания прототипа антенны достигающих
20-30 минут. Типичной ситуацией является установка антенны на верхней секции
мачты с крыши аппаратной машины, при этом антенна развертывается в
горизонтальном положении, а при подъеме мачты в штатное положение она может
быть переведена, при необходимости, в вертикальное положение специальным
диэлектрическим тросом и механизмом поворота.
Таким образом, технические преимущества предлагаемого решения, достаточно
очевидны и не требуют дополнительных пояснений.
Предлагаемый механизм и сама антенна в целом достаточно просты и могут
быть реализованы в производстве на любом радиотехническом предприятии с
использованием недефицитных материалов
.5 Анализ технической прогрессивности новой конструкции
Техническая прогрессивность изделия определяет его конкурентоспособность.
Она является предпосылкой размера издержек производства и потребления и может
быть установлена только при сравнении товаров между собой по группам
технических параметров. Техническая прогрессивность разработанной конструкции
характеризуется коэффициентом эквивалентности (КЭК). Его расчет
осуществляем путем сравнения технического уровня товара-конкурента и новой
конструкции по отношению к мировому эталонному уровню изделия данного направления
техники. Коэффициент эквивалентности Кэк рассчитаем по формуле:
(6.2)
где
Ктн - коэффициент технического уровня нового изделия;
Ктб
- коэффициент технического уровня базового изделия.
В
свою очередь, Ктн и Ктб определяются из (6.3) и (6.4),
соответственно:
, (6.3)
, (6.4)
при
условии
,
Результаты
расчета приведены в таблице 6.7.
Таблица 6.7
Расчет коэффициента эквивалентности новой конструкции
|
Наименование параметра
|
«Вес» параметра
|
Значение параметра
|
  
|
|
|
|
|
|
ПБ
|
ПН
|
ПЭ
|
|
|
|
|
|
Легкость эксплуатации
|
0,3
|
1
|
3
|
2
|
0,5
|
2
|
0,15
|
0,45
|
|
Габарит
|
0,2
|
2
|
3
|
3
|
0,66
|
1
|
0,13
|
0,2
|
|
Мобильность
|
0,5
|
14
|
12
|
10
|
0,74
|
0,83
|
0,37
|
0,41
|
|
Всего
|
1,0
|
-
|
-
|
-
|
-
|
-
|
0,65
|
1,06
|
(6.5)
Так как коэффициент эквивалентности КЭК = 1,63 и больше 1,
очевидно, что новое изделие обладает лучшими техническими характеристиками, чем
базовый вариант.
.6 Анализ изменений функциональных возможностей новой конструкции
Отдельные конструктивные параметры, а также эстетические, эргономические,
экологические, которые характеризуют функциональные возможности изделия,
удовлетворение каких-либо потребностей, являются неизмеримыми. Перечень таких
показателей для каждого радиотехнического изделия является индивидуальным и
устанавливается экспертами. Изменение функциональных возможностей нового
изделия характеризуется коэффициентом изменения функциональных возможностей.
Результаты расчета приведены в таблице 6.8.
Коэффициент изменения функциональных возможностей Кфв
определим из формулы:
(6.6)
Таблица 6.8
Расчет коэффициента изменения функциональных возможностей
|
Перечень неизмеримых параметров
|
Характеристика параметра
|
Балльная оценка
|
|
конкурент
|
новый
|
конкурент
|
новый
|
|
1. Технологичность
|
высокая
|
высокая
|
2
|
2
|
|
2. Дизайн
|
средний
|
средний
|
2
|
2
|
|
3. Быстро разборная конструкция
|
нет
|
есть
|
1
|
2
|
|
4. Ветроустойчивость
|
средняя
|
высокая
|
3
|
3
|
|
5. Мобильность
|
низкая
|
высокая
|
2
|
3
|
|
Итого
|
|
|
10
|
12
|
. (6.7)
Так как КФВ > 1, то новый товар превосходит по
функциональным возможностям товар-конкурент.
.7 Анализ соответствия новой РЭА нормативам
Новая конструкция мобильной логопериодической антенны отвечает всем
техническим условиям, нормам и правилам. Следовательно, коэффициент
соответствия нормативным параметрам (КН = 1).
Таким образом, новый товар отвечает всем требованиям, предъявляемым на
государственном уровне, и может быть выставлен на рынок сбыта.
.8 Образование цены товара-конкурента
Цена товара-конкурента установлена, исходя из полной себестоимости и
прибыли. Полная себестоимость рассчитана в соответствии с методом удельных
весов: находится суммарная стоимость покупных изделий и полуфабрикатов и
определяется доля этих расходов в общих затратах. Так как цена на новый
товар тоже неизвестна, то воспользуемся данными таблицы 6.3. Расчет стоимости
покупных изделий и полуфабрикатов конструкции-конкурента приведен в таблице
6.9. Расчет нижнего предела цены новой и базовой конструкций приведен в таблице
6.10.
Таблица 6.9
Расчет стоимости покупных изделий товара-конкурента
|
Наименование материалов, покупных изделий, полуфабрикатов
|
Количество
|
Цена за единицу, р.
|
Сумма, р.
|
|
Розетка СР-75-211 ФВ
|
4
|
412,92
|
1651,68
|
|
Вилка СР-75-211 ФВ
|
4
|
351,54
|
1406,16
|
|
Кабель РК-75-7-22
|
10,7м
|
670
|
7169
|
|
Итого
|
-
|
-
|
10226,84
|
|
Транспортно-заготовительные расходы
|
-
|
-
|
1022,684
|
|
Всего
|
-
|
-
|
11249,524
|
В таблице 6.10 приведен расчет себестоимости нового товара и
товара-конкурента методом удельных весов.
Таблица 6.10
Расчёт себестоимости нового товара и товара-конкурента методом удельных
весов
|
Наименование затрат
|
Сумма, р.
|
Удельный вес, %
|
|
базовый
|
новый
|
|
|
1
|
2
|
3
|
4
|
|
1. Основные материалы
|
1842
|
1539,2
|
5,0
|
|
2. Покупные изделия и полуфабрикаты
|
17683,17
|
14776,6
|
48,0
|
|
3. Зарплата производственных рабочих
|
5157,6
|
43092
|
14,0
|
|
4. Общепроизводственные расходы
|
6999,6
|
5848,2
|
19,0
|
|
5. Общехозяйственные расходы
|
3315,6
|
2770,2
|
9,0
|
|
6. Прочие производственные расходы
|
736,8
|
615,6
|
2,0
|
|
7. Производственная себестоимость
|
35734,8
|
29856,6
|
97,0
|
|
8. Внепроизводственные расходы
|
1105,2
|
923,4
|
3,0
|
|
9. Полная себестоимость
|
36840
|
30780
|
100,0
|
|
10. Прибыль
|
7368
|
6156
|
20,0
|
|
11. Нижний предел цены
|
44208
|
36936
|
-
|
Из таблицы 6.10 видно, что стоимость товара-конкурента выше стоимости
нового изделия.
6.9 Расчет годовых издержек потребителя РЭА в условиях эксплуатации
В нашем случае расходы на эксплуатацию логопериодической антенны равны
расходам на электрическую энергию, потребляемую ей. Зная цену 1 кВт-ч
СЭ = 2,41р. рассчитаем стоимость потребляемой электроэнергии.
Число часов работы антенного устройства в год примем ФИЗ =
2000 ч., а значение потребляемой мощности известно ранее.
Результаты расчета годовых эксплуатационных издержек представим в таблице
6.11.
Таблица 6.11
Расчет годовых эксплуатационных издержек
|
Наименование расходов
|
Товар-конкурент
|
Новый товар
|
|
1. Потребляемая мощность, Вт
|
14
|
12
|
|
2. Расходы на электроэнергию, р.
|
16,87
|
14,46
|
.10 Расчет полезного эффекта новой конструкции в эксплуатации
Полезный эффект новых соединителей в эксплуатации представляет
стоимостную оценку изменения ее потребительских свойств, оказывающих влияние на
показатели технической прогрессивности.
Для расчета полезного эффекта (ЭП) и изменения текущих
издержек эксплуатации у потребителя при использовании им новой РЭА взамен
базовой, воспользуемся следующими данными:
коэффициент учета изменения срока службы (КД) равен 1, так как
срок службы изделия по сравнению с базовым не изменяется и равен 10 годам;
- изменение текущих издержек эксплуатации у потребителя (ΔИ) при использовании им нового
изделия взамен базового равен:
, (6.8)
где
,
-
годовые издержки базового и нового изделия;
- срок
службы нового изделия;
-
нормативный коэффициент экономической эффективности, равный 0,15.
(6.9)
Таким
образом, экономический эффект равен:
, (6.10)
где
- цена базового изделия;
-
коэффициент эквивалентности;
-
коэффициент учета изменения срока службы нового изделия по сравнению с базовым.
27860,68
р. (6.11)
.11 Образование цены нового товара
Цена на товар - должна отражать его качество и имидж. Существует
множество используемых в рыночных условиях стратегических подходов
ценообразования, нам необходимо выбрать тот единственный, который обеспечит
достижение цели исходя из присущих новому товару технико-экономических
показателей. Производителю же выгоднее всего будет продать товар по предельно
высокой цене.
Лимитная цена (ЦВП) выражает предельно допустимый (верхний)
уровень цены, определяемый на основе стоимостной оценки улучшения ее
потребительских свойств, при которой обеспечивается относительное удешевление
продукции в эксплуатации.
, (6.12)
где
- цена базового изделия, которая корректируется коэффициентом удешевления
(0,9), характеризующим моральное старение товара-конкурента, - полезный эффект
от применения нового товара, который корректируется коэффициентом учета
полезного эффекта в цене новой конструкции (0,7).
р. (6.13)
Определим
разницу (DЦ) верхнего и
нижнего пределов цены:
, (6.14)
(6.15)
Полученная
разница между ценами верхнего и нижнего пределов выше 20%, следовательно, новое
изделие может поступать на рынок.
Основные соображения при назначении цены на новую конструкцию
представлены в таблице 6.12.
Таблица 6.12
Расчет цены на новую конструкцию
|
Показатель
|
Значение
|
|
1. Полная себестоимость новой конструкции, р.
|
30780
|
|
2. Нижний предел цены новой конструкции, р.
|
36936
|
|
3. Верхний предел цены новой конструкции, р.
|
59289
|
|
4. Уровень качества товара на рынке
|
Высокий
|
|
5. Цена товара-конкурента, р.
|
44208
|
|
6. Прогнозируемый спрос новой конструкции, шт.
|
5000
|
|
7. Продажная цена на новую конструкцию, р.
|
39900
|
Стратегия выхода на рынок - «политика прорыва». Производитель выходит на
рынок и устанавливает цены ниже, чем у конкурентов. По мере завоевания
определённой доли рынка цены на товар постепенно повышаются до уровня других
продавцов.
.12 Образование цены потребления и установление коммерческой
конкурентоспособности
Цена потребления (ЦП) является составляющей абсолютной
характеристикой коммерческой конкурентоспособности товара.
Результат расчета цены потребления приведены в таблице 6.13.
Таблица 6.13
Результат расчета цены потребления
|
Затраты
|
Товар-конкурент, р.
|
Новый товар, р.
|
|
1. Продажная цена
|
44208
|
39900
|
|
2. Эксплуатационные издержки за весь срок службы
|
168,7
|
144,6
|
|
3. Цена потребления
|
44376,7
|
40044,6
|
Определим коэффициент цены потребления (КЦ):
. (6.16)
6.13 Обоснование конкурентоспособности нового товара
Определим, к какой группе, определяющий уровень качества, относится новая
конструкция. Для оценки конкурентоспособности нового изделия по отношению к
конкуренту используют интегральный показатель (КИН):
, (6.17)
где
- коэффициент изменения функциональных возможностей;
-
коэффициент эквивалентности;
-
нормативный коэффициент;
-
коэффициент цены потребления.
(6.18)
Интегральный показатель больше единицы, следовательно, новая конструкция
обладает более высокой конкурентоспособностью, чем базовая.
.14 Выводы по результатам технико-экономического анализа
Исходя из проведенных выше расчетов, можно сделать вывод, что новая
мобильная логопериодическая антенна обладает высокой конкурентоспособностью
среди подобных товаров на рынке. Этот факт подтверждается результатами,
приведенными в таблице 6.14.
Так как основным потребителем данного товара будут являться предприятия,
производящие радиоаппаратуру, число которых на территории нашего государства
относительно невелико, то необходимо обеспечить выход продукции на рынок в
масштабе всего государства и как можно быстрее получить признание нового товара
на отечественном рынке, попытаться получить признание своего товара на
зарубежном рынке.
Таблица 6.14
Показатели рыночного уровня новизны разработанной системы
|
Показатели
|
Товар
|
|
конкурент
|
новый
|
|
1. Технические
|
|
|
|
1.1 Количество приёмников, шт.
|
1
|
3
|
|
1.2 Интерфейсы сопряжения с оконечным оборудованием, шт
|
2
|
3
|
|
1.3 Потребляемая мощность, Вт
|
14
|
12
|
|
2. Нормативные
|
Соответствует
|
Соответствует
|
|
3. Экономические
|
|
|
|
3.1Продажная цена, р.
|
44376,7
|
39900
|
|
3.2Издержки потребителя, р.
|
168,7
|
144,6
|
|
3.3 Цена потребления, р.
|
44224,87
|
40044,6
|
|
3.4 Коэффициент эквивалентности
|
1,0
|
1,63
|
1,0
|
1,2
|
|
3.6 Коэффициент цены потребления
|
1,0
|
1,3
|
|
3.7 Интегральный коэффициент конкурентоспособности
|
1,0
|
1,5
|
7. Безопасность жизнедеятельности и экологичность
.1 Безопасность производственной среды
.1.1 Анализ опасных и вредных факторов
При разработке дипломного проекта «мобильная логопериодическая антенна»,
основная часть работы более 70 % производится за ЭВМ, организм разработчика
подвергается вредным факторам, которые отрицательно сказываются на его
здоровье. Рассмотрим эти факторы:
- негативное воздействие на органы зрения человека, так как при
распознавании информации, получаемой с монитора, они всё время находятся в
напряжении;
вредное излучение монитора, основная часть которого исходит от
электронно-лучевой трубки (ЭЛТ);
повышенная температура, пониженная влажность воздуха рабочей зоны. При
увеличении компьютеров в рабочей зоне вред, наносимый человеку, увеличивается;
- повышенный уровень шума на рабочем месте. Компьютер оснащен кулерами,
для того чтобы снизить нагревание его частей. При работе кулеры создают шумовые
помехи, вследствие чего работоспособность пользователей снижается, более быстро
возникает утомление и усталость;
- поражения электрическим током. В процессе разработки ПС компьютер
находится под напряжением, которое опасно для жизни разработчика. Поэтому не
следует забывать, что под напряжением могут оказаться вследствие повреждения
оборудования те части компьютера, которые при его исправном состоянии
изолированы от электросети (например, металлические части корпуса) и к которым
разработчик может прикоснуться, не разбирая компьютер;
- повышенный уровень электромагнитных излучений. При превышении
допустимых норм может возникнуть опасность от действия электромагнитных
излучений;
- недостаточная освещенность рабочего места. При работе за компьютером
освещение должно быть достаточным, поскольку при снижении уровня освещения
возникает угроза быстрой утомляемости человека и потери остроты зрения;
- отрицательное влияние компьютера на психоэмоциональное состояние
разработчика.
7.1.2 Влияние электромагнитного излучения
При работе глаза проектировщика постоянно находятся перед дисплеем. Его
влияние отрицательно сказывается на здоровье разработчика. К числу
отрицательных последствий относятся глазные (дискомфорт и нарушение),
костно-мышечные боли, головная боль, стрессовые расстройства и др. К системам
зрительного дискомфорта относятся следующие отклонения:
- зрительные (пелена перед глазами);
глазные (ощущение усталости глаз, боль);
сопутствующие (головная боль);
функциональные, поведенческие.
.1.3 Опасность поражения электрическим током
Особенно опасно для проектировщика поражение электрическим током, которое
может быть вызвано повреждением изоляции кабелей электропитания ЭВМ, а также
неисправностью оборудования. Проходя через организм, электрический ток
оказывает термическое, электролитическое и биологическое действия.
7.1.4 Влияние неблагоприятных климатических условий
Не менее опасное влияние на организм человека могут оказать
неблагоприятные климатические условия. При повышении температуры воздуха в
помещении кровеносные сосуды кожи расширяются, при этом происходит повышенный
приток крови к поверхности тела, и теплоотдача в окружающую среду значительно
увеличивается. Однако при температурах окружающего воздуха, поверхностей
оборудования, и помещений 30-35 оC отдача теплоты конвекцией и
излучением в основном прекращается. При более высокой температуре воздуха
большая часть теплоты отдаётся путём испарения с поверхности кожи. В этих
условиях организм теряет определённое количество влаги, а вместе с ней и соли,
играющие важную роль в жизнедеятельности организма. Влажность воздуха также
оказывает большое влияние на терморегуляцию организма. Пониженная влажность
вызывает пересыхание слизистых оболочек дыхательных путей.
.1.5 Уровень шума на рабочем месте
Шум является наиболее распространенным в производстве вредным фактором.
Проявление вредного воздействия шума на организм человека разнообразно: так шум
в компьютерных лабораториях вызывает снижение работоспособности и мешает
нормальной работе.
.2 Меры защиты от опасных и вредных факторов
С целью исключения вредного влияния персонального компьютера (ПК) на
организм необходимо соблюдать и выполнять следующие правила и нормы:
помещения, где расположены ПК, должны иметь естественное и искусственное
освещение. Местное освещение не должно создавать бликов на поверхности экрана.
В качестве источников света при искусственном освещении должны применяться
преимущественно люминесцентные лампы типа ЛБ. Допускается применение ламп
накаливания в светильниках местного освещения. Применение светильников без
рассеивателей и экранирующих решеток не допускается;
- для обеспечения нормируемых значений в помещениях пользования ПК
следует проводить чистку стекол оконных рам и светильников не реже двух раз в
год и проводить своевременную замену перегоревших ламп;
- рабочие места с ПК по отношению к световым проемам должны располагаться
так, чтобы естественный свет падал сбоку, преимущественно слева. Расстояние
между рабочими столами и видеомониторами должно быть не менее 2 м, а расстояние
между боковыми поверхностями видеомониторов - не менее 1,2 м. Идеально ПК
должны размещаться по периметру помещения. Площадь на одно рабочее место с ВДТ
должна составлять не менее 6 кв. м;
- конструкция рабочего стула должна обеспечивать поддержание рациональной
рабочей позы при работе на ПК, позволять изменять позу с целью снижения
статического напряжения мышц шейно-плечевой области и спины. Рабочий стул
должен быть подъемно-поворотным и регулируемым по высоте и углам наклона
сидения и спинки. Рабочее место должно быть оборудовано подставкой для ног.
Клавиатуру следует располагать на поверхности стола на расстоянии 100-300 мм от
края стола. Экран монитора должен находиться от глаз пользователей на
оптимальном расстоянии 600-700 мм, но не ближе 500 мм с учетов размеров
алфавитно-цифровых знаков и символов;
в помещениях с ПК ежедневно должна проводиться влажная уборка;
- профессиональные пользователи ПК должны проходить обязательные (при
приеме на работу) и периодические медицинские осмотры;
режимы труда и отдыха должны организовываться в зависимости от вида и
категории трудовой деятельности. На протяжении рабочей смены должны
устанавливаться регламентированные перерывы. Продолжительность непрерывной
работы с ВДТ без регламентированного перерыва не должна превышать двух часов.
7.2.1 Защита от электромагнитных излучений
Монитор является основным элементом электромагнитных излучений. Для
определения требований к монитору рассмотрим таблицу 5.1.
Монитор должен соответствовать ГОСТ Р50948-96 или СанПиН 2.2.2.542-96,
допустимо использовать ТСО-91, MPRII.
Дополнительные требования к монитору (в соответствии с СанПиН
2.2.2.542-96): окраска корпуса в спокойном, мягком тоне с диффузным рассеянием
света. Корпус монитора, системного блока, клавиатуры, мыши, принтера и других
блоков должны иметь матовую поверхность одного цвета с коэффициентом отражения
0,4…0,6 и не иметь блестящих деталей, способных создавать блики.
Требования к визуальным параметрам монитора представлены в таблице 7.1.
Таблица 7.1
Требования нормативных документов к параметрам излучения дисплеев
|
Наименование параметров
|
MPRII
|
ТСО91
|
ГОСТ Р50948-96 (с 01.07.97)
|
СанПиН 2.2.2.542-96 (с 01.01.97)
|
|
Напряженность ЭПМ в 0,5 м вокруг дисплея по электрической
составляющей, не более (В/м): в диапазоне частот 5 Гц…2 кГц в диапазоне
частот 2…400 кГц
|
25
|
10
|
25
|
25
|
|
2,5
|
1,0
|
2,5
|
2,5
|
|
Плотность магнитного потока в 0,5 м вокруг дисплея, не
более, (нТл): в диапазоне частот 5 Гц…2 кГц в диапазоне частот 2 …400 кГц
|
250
|
250
|
250
|
250
|
|
25
|
25
|
25
|
25
|
|
Поверхностный электростатический потенциал, не более, (В):
|
500
|
500
|
500
|
500
|
Таблица 7.2
Визуальные параметры монитора
|
Наименование параметров
|
Пределы значений параметров
|
|
Минимум (не менее)
|
Максимум (не более)
|
|
1. Яркость знака (яркость фона), кд/м2(измеренная
в темноте)
|
35
|
120
|
|
2. Внешняя освещенность экрана, лк
|
100
|
250
|
|
3. Угловой размер знака, угл. мин.
|
16
|
60
|
Магнитные поля могут являться причиной возникновения злокачественных
опухолей. Наиболее сильно воздействие электромагнитных полей наблюдается ближе
0,3 м от экрана. В разработанном модуле управления инженер-исследователь ведет
работу с монитором на расстоянии до экрана не менее чем 0,5 м.
Для того, чтобы ослабить вредное влияние мониторов ЭВМ на глаза для
устаревших мониторов используют различные защитные экраны. При этом важно,
чтобы экран был правильно подобран к конкретному монитору.
Освещение
Естественное и искусственное освещение в помещениях регламентируется
нормами СНиП 23-05-95 в зависимости от характера зрительной системы и вида
освещения, фона, контраста объекта с фоном.
Нормированные значения освещенности при естественном и совмещенном
освещении приведены в таблице 7.3.
Таблица 7.3
Значения освещенности при естественном и искусственном освещении
|
Характерис-тика работы
|
Наим. размер объекта
|
Контрастн. объекта с фоном
|
Искусственное освещение, лк
|
Естественное освещение КЕО, %
|
Совмещённое освещение, КЕО, %
|
|
|
|
При комб. освещ.
|
При общем освещ.
|
При верх. или верхне-боковом
|
При боковом
|
При верх. или верхне-боковом
|
При боковом
|
|
Малой точности
|
1,0-5,0
|
Малый, средний
|
400
|
200
|
4
|
1,5
|
1,8
|
0,6
|
При работе с ЭВМ, как правило, применяется естественное освещение.
Желательно чтобы световые проемы располагались слева от оператора ЭВМ,
допускается и правостороннее естественное освещение. В тех случаях, когда
одного естественного освещения не хватает, устанавливается совмещенное
освещение. При этом дополнительное искусственное освещение применяется не
только в темное, но и в светлое время суток.
Для обеспечения нормируемых значений освещенности в помещении следует
проводить чистку стекольных рам и светильников не реже двух раз в год и
проводить своевременную замену перегоревших ламп.
Для искусственного освещения помещения следует использовать главным
образом люминесцентные лампы. Наиболее приемлемыми являются люминесцентные
лампы белого и тепло - белого света.
Для исключения засветки экранов дисплеев прямыми световыми потоками
светильники общего освещения располагают сбоку от рабочего места, параллельно
линии зрения оператора и стене с окнами.
Следует ограничивать отраженнуюблесткость на рабочих поверхностях за счет
правильного выбора типов светильников и расположения рабочего места по
отношению к источникам искусственного освещения. Яркость бликов на экране
дисплея не должна превышать 40 кд/м2.
Рекомендуемая освещенность для работы с экраном дисплея составляет 200
лк, а при работе с экраном в сочетании с работой над документами - 400 лк.
Рекомендуемые яркости в поле зрения операторов должны лежать в пределах
1:5-1:10.
Освещение должно быть достаточно равномерно распределено на рабочих
поверхностях и в окружающем пространстве; не должно быть резких теней, прямой и
отраженной блеклости; освещение должно быть равномерно во времени; направление
излучаемого осветительными приборами светового потока должно быть оптимальным.
Шум
Шум создают системный блок, а точнее блок питания в системном блоке -
менее 40 дБА (один метр от поверхности), источник бесперебойного питания -
менее 40 дБА, принтер - менее 40 дБА. В соответствии с ГОСТ 12.1.003-83, для
помещений управления допустимый уровень звукового давления составляет 60 дБА.
Средства и методы защиты от шума определены в ГОСТ 12.1.029-80. Для
снижения шума следует:
- снизить эффект суммарного воздействия на рабочие места отраженных
звуковых волн за счет звукопоглощения энергии прямых звуковых волн
поверхностями ограждающих конструкций;
- применять рациональное расположение оборудования;
- использовать архитектурно-планировочные и технологические
решения, направленные на изоляцию источников шума.
Таблица 7.4
Нормы шума на рабочих местах
|
Помещения производственного предприятия
|
Уровни звукового давления, дБ,в октавных полосах со
среднегеометрическими частотами, Гц
|
Уровни звука и эквивалентные уровни, ДБА
|
|
63
|
125
|
250
|
500
|
1000
|
2000
|
4000
|
8000
|
|
|
Конструкторское бюро, отделы: расчетчиков, программистов,
лаборатории: теоретических работ и обработки экспериментальных данных
|
1
|
1
|
4
|
9
|
5
|
2
|
40
|
38
|
50
|
|
Кабинеты управленческого персонала, рабочие комнаты
|
9
|
0
|
3
|
8
|
5
|
32
|
30
|
49
|
60
|
7.2.4 Микроклимат
Температура воздуха является одним из основных параметров,
характеризующих тепловое состояние микроклимата.
Особенно большое влияние на микроклимат оказывают источники теплоты,
находящиеся в помещении. Основными источниками теплоты являются: компьютер и
вспомогательное оборудование, приборы освещения, обслуживающий персонал.
Наибольшее количество теплоты выделяют ЭВМ и вспомогательное оборудование.
Правильный выбор установки кондиционирования воздуха обеспечивает
благоприятный микроклимат в рабочем помещении. При выборе той или иной системы
кондиционирования необходимо учитывать размеры помещения, количество
вычислительной техники и рабочих мест, также требуется экономический анализ
ряда факторов: характеристики и стоимости вычислительного оборудования,
эксплуатационных расходов и т.п.
Таблица 7.5
Допустимые нормы микроклимата в холодный и переходные периоды (до 10 °С)
|
Категория работ
|
Температура воздуха, °С
|
Относительная влажность воздуха (не более), %
|
Скорость движения воздуха (не более), м/с
|
Температура воздуха вне постоянных рабочих мест, °С
|
|
Легкая I
|
19-25
|
75
|
0,2
|
15-26
|
В таблице 7.6 приведены нормы микроклимата для теплого периода года для
легкой категории работ.
Таблица 7.6
Нормы микроклимата для теплого периода года
|
Категория работ
|
Температура воздуха с избытком явного тепла (не более), °С
|
Относительная влажность (не более), %
|
Скорость движения воздуха при избытке тепла, м/с
|
Температура воздуха вне постоянных рабочих мест при избытке
явного тепла, °С
|
|
Легкая I
|
Не более чем на 5°
|
55 (при 20 °С)
|
0,2-0,5
|
Не более чем на 5 °С выше температуры наружного воздуха
|
.2.5 Оценка электробезопасности
Для защиты от поражений напряжением, которое вследствие повреждения
изоляции возникает на поверхности металлических или других электропроводящих
элементов или частей вычислительной техники (например, деталей корпуса), не
входящих в его электрическую цепь, т.е. нормально не находящихся под
напряжением, используют заземление. Электробезопасность достигается применением
системы заземляющего устройства, под которой понимается совокупность
заземлителей и заземляющих проводников.
.3 Расчет защитного зануления
Рассчитаем зануление электрооборудования при номинальным напряжении 220В
и номинальном токе Iн = 10А.
Для питания электрооборудования лаборатории используется провод марки
АЛП, прокладываемый в стальной трубе. Выбираем сечение алюминиевого провода S =
2,5 мм длиной l = 30 м. Участок магистрали выполнен четырехжильным кабелем
марки АВРЕ с алюминиевыми жилами сечением (3Х50 + 1Х25) мм2 в
полихлорвиниловой оболочке. Длина участка - 0,25 км.
Для защиты используется предохранитель ПР-2. Ток предохранителя Iпр:
Iпр = (3·Kп·Iн)/2,5 = (3 ·10)/2,5 = 12 А, (7.1)
где Кп - пусковой коэффициент 0,5...4,0
Значение коэффициента Кп принимается в зависимости от типа
электрических установок: Выбираем стандартный предохранитель на 15 А.
Определим расчетное значение сопротивления трансформатора.
Рассчитаем активное сопротивление фазного провода:
, (7.2)
где l - длина провода- сечение провода
r - удельное сопротивление материала (для алюминия r = 0,028 0м*мм2/км).
Рассчитаем активное сопротивление фазных проводов для участков:
R1
= 0,028·250/50 =
0,14 Ом, (7.2.1)
R2
= 0,028·30/2,5 =
0,336 Ом, (7.2.2)Ф1 = 0,14 0м, RФ2 = 0,336 Ом.
Полное
активное сопротивление фазного провода: RФее = 0,476 0м.
Рассчитаем
активное сопротивление фазного провода с учетом температурной поправки, считая
нагрев проводов на всех участках равным Т = 55 С.
Rф
= RфS·(1 + а (Т - 20)) = 0,543 Ом, (7.3)
где a = 0,004 град - температурный
коэффициент сопротивления алюминия.
Активное сопротивление нулевого защитного проводника:
RMЗ1 = 0,028·(250/25) = 0,28 Ом. (5.4)
Для трубы из стали: r = 1,8 Ом/км
RMЗ2 = 1,8·(30/1000) = 0,054 Ом. (7.5)
Таким образом, суммарное сопротивление магистрали зануления равно:
RM3
å = RM3 1+ RМЗ
2 = 0,334 Oм. (7.6)
Определяем внешние индуктивные сопротивления. Для фазового провода:
Х'Ф = Х'ФМ- ХФL, (7.7)
Для магистрали зануления:
Х'М3 = Х'М3М- ХМ3 L, (7.8)
где Х'М3 и Х'ФМ - индуктивные сопротивления,
обусловленные взаимоиндукцией фазового провода и магистрали зануления;
ХМ3 и ХФ1- внешние индуктивные сопротивления
самоиндукции.
Индуктивные сопротивления, обусловленные взаимоиндукцией фазового провода
и магистрали зануления, определяются по формуле:
Х'ФМ = Х'М3 М = 0,145 lg(dФМ3), (7.9)
где d - расстояние между фазным и нулевым проводом. (для 1 d = 15 мм, для
3 d = 9,5 мм)
Х’ФМ1 = Х’М3М1 = 0,145·lg15 = 0,17 Ом, (7.9.1)
Х’ФМ2 = Х’М3М2 = 0,145·lg9,5 = 0,142 Ом, (7.9.2)
Суммарное сопротивление на всех участках:
Х’ФМ = Х’М3М = 0,312 Ом. (7.9.3)
Внешние индуктивные сопротивления определяются по формуле:
ФL = X'L·L, (5.10)
где X'L - удельное сопротивление самоиндукции, Ом/м.
X'L1 = 0,09·0,25 = 0,023, (7.10.1)
X'L2 = 0,03·0,03 = 0,0009. (7.10.2)
Суммарное внешнее индуктивное сопротивление фазового провода:
ХФL = 0,0239 Oм. (7.10.3)M3L1 = 0,068·0,25 = 0,017
Ом, (7.11)M3L2 = 0,138·0,03 = 0,004 Oм. (7.12)
Суммарное внешнее индуктивное сопротивление магистрали зануления:M3L
= 0,021 Oм.
Суммарное внешнее индуктивное сопротивление:
ХФ' = 0,312 - 0,0239 = 0,281 Ом, (7.13)
ХМ3' = 0,312 - 0,021 = 0,3 Ом. (7.14)
Полное сопротивление фазного провода и магистрали зануления:Ф =
0,476 + 0,281 = 0,757 Ом, (7.15)M3 = 0,334 + 0,3 = 0,634 Ом. (7.16)
Ток однофазного КЗ определим по формуле:
КЗ
= 220/(0,25 + 0,634) = 248 А. (7.17)
Сравним расчетные параметры с допустимыми: IКЗ = 248 >12 А.
Кроме того, должно выполняться условие: ZM3 < 2 ·ZФ
,
Как видно, условие выполняется.
7.4 Экологичность проекта
Компьютеры и другая оргтехника, используемые при разработке схемы и
программного средства, не выделяют в окружающую среду газообразных, жидких или
твердых вредных веществ в количестве, требующем учета и принятия
соответствующих мер по предотвращению и ликвидации загрязнения. Так как
разрабатываемое устройство является передовым современным товаром,
оборудование, применяемое для его разработки, в связи с моральным устареванием
будет заменяться более новым своевременно, прежде чем оно окончательно
выработает свой ресурс. При этом оно останется пригодным для решения менее
сложных задач. По истечении срока эксплуатации оно будет передано другим фирмам
по остаточной стоимости, поэтому утилизация вычислительной техники не
производится. Отработанные расходные материалы не представляют повышенной
опасности для окружающей среды, поэтому их утилизация за исключением бумаги и
картона производится вместе с другими твердыми бытовыми отходами (ТБО).
Утилизация бумаги и картона осуществляется в пунктах приема вторичного сырья.
Так как в помещении, где разрабатывается ПС, в качестве осветительных приборов
используются лампы накаливания, их утилизация также осуществляется вместе с
ТБО.
.5 Чрезвычайные ситуации
.5.1 Оценка пожаробезопасности
Основные требования противопожарной защиты определены ГОСТ 12.1.004-91.
Согласно этому стандарту мероприятия по пожарной профилактике, разделяются на
организационные, технические, режимные и эксплуатационные.
Источниками возгорания могут быть электронные схемы приборов, устройства
электропитания, кондиционирования воздуха, где в результате различных нарушений
образуются перегретые элементы, электрические искры и дуги, способные вызвать
загорания горючих материалов. При проектировании новых лабораторных помещений
необходимо соблюдать мероприятия пожарной профилактики (СНиП 21-01-97 Пожарная
безопасность зданий и сооружений), где изложены основные требования к
огнестойкости зданий противопожарным преградам, эвакуации людей. Пожарные краны
устанавливаются в коридорах, на площадках лестничных клеток и входов. Наличие
горючего изоляционного материала, вероятных источников зажигания в виде
электрических искр и дуг, разветвлённость и труднодоступность делают кабельные
линии местом наиболее вероятного возникновения и развития пожара.
.5.2 Средства пожарной защиты и план эвакуации
Для выбора средств пожаротушения учитывается площадь помещения и
категория помещения по пожарной опасности. Лаборатория, в которой будет
происходить разработка «мобильной логопериодической антенны», относится к
пожароопасной категории В. Помещение должно быть в обязательном порядке
оборудовано ручными средствами пожаротушения. К ним относят:
1) Оборудование противопожарных щитов
2) Пожарные краны
3) Ручные огнетушители
Огнетушители в зависимости от применяемого в них вещества делятся на
химические - пенные, воздушно-пенные, углекислотные и порошковые. В связи с наличием
в помещении электроустановок под напряжением рекомендуется применять
углекислотные огнетушители. в нашем случае для помещения площадью 72 м2 и
категории В для пожарной безопасности будет необходимо два углекислотных
переносных огнетушителей марки ОУ-5.
Характеристики ОУ-5:
Вместимость корпуса: 7,2 литра;
время выхода ОТВ: 10 секунд;
длинна струи: 3 метра;
габариты, мм: 940х230х520
диапазон температур: -20 +50 градусов Цельсия.
Персонал, работающий в помещении лаборатории должен знать последовательность
действий в случае пожара, а также уметь пользоваться ручными средствами
пожаротушения.
На рисунке 7.1 приведен план эвакуации людей при пожаре в лабораторном
помещении.
Рисунок 7.1 - План эвакуации людей при пожаре в помещении
ЗАКЛЮЧЕНИЕ
В ходе выполнения дипломного проекта спроектировано и
разработана мобильная логопериодическая антенна.
Проведен ряд исследований, результаты которых
позволяют дать оценку существующим и проектируемым аналогам, а также выбрать наиболее
дешевый и технологичный вариант построения собственного изделия и его
функциональных узлов, разработан комплект конструкторской документации,
проведены конструктивные расчеты, показывающие обоснованность конструкторских
решений.
Задачи поставленные в ТЗ достигнуты. Следует отметить, что данное изделие
было разработано с применением методов ТРИЗ, и специализированного алгоритма
решения изобретательских задач АРИЗ-85б (метод замены жестких связей объектов
системы на гибкие).
В результате выполнения организационно-экономической
части определена договорная цена данной разработки, проведен
технико-экономический анализ и обоснование рыночной новизны данного изделия.
Выявлены и проанализированы опасные и вредные факторы,
влияющие на человека и экологию, определены пути по уменьшению этих факторов и
их опасного влияния.
СПИСОК ИСПОЛЬЗУЕМЫХ ИСТОЧНИКОВ
1. ГОСТ
17232-99. Плиты из алюминия и алюминиевых сплавов. Технические условия.
Межгосударственный совет по стандартизации, метрологии и сертификации. - М.: Госстандарт
России: Издательство стандартов, 2001. - 158с.
2. СТП
ИТНЯ.4.4.50.03-2000. Стандарт предприятия. Пластмассы. Ограниченный перечень.
. Электронный
каталог ОКБ ПК. - Электрон. дан.
. Электронный
каталог Спектр. - Электрон. дан.
. СТП
ИТНЯ.20.21.07-04 Стандарт предприятия «Покрытия лакокрасочные» Руководство по
выбору.
. Электронный
каталог Sport Extreme.
. Григоров
И.Н.. Практические конструкции антенн. издательство ДМК: В помощь
радиолюбителю, 2005. - 47 с.
. К.
Ротхаммель Антенны: В 2 томах, Том 1 - 11-е издание, исправленное и дополненное
Алоизом Кришке: Радио и связь, 1991. - 77 с.
. Электронный
каталог Gelezo.
. Электронный
каталог Titanex.
. Гелль
П.П.. Иванов-Есипович Н.К. Конструирование радиоэлектронной аппаратуры. Л.,
«Энергия», 1972. - 232 с. с ил.
. Анурьев
В.И. Справочник конструктора-машиностроителя: В 3-х томах, Том 1. - 8-е изд.,
перераб. и доп. / Под ред. И.Н. Жестковой. - М.: Машиностроение, 2001. - 920
с., ил.
. Электронный
каталог Полиамиды. - Электрон. дан.
. ГОСТ
12496-88. Цилиндры и трубки электротехнические стеклоэпоксифенольные.
Технические условия.
. ОСТ107.460007.007-92.
Отраслевой стандарт. Материалы полимерные для герметизации изделий
радиоэлектронной аппаратуры. Основные свойства и применение.
. ГОСТ
21930-76 Припои оловянно-свинцовые в чушках. Технические условия.
17. Brown,
G.H.; Lewis, R.F.; Epstein, J.: Ground Systems as a Factor in An Antenna
Efficiency. Proc. IRE, June 1937, pp. 753-787.
18. К.
Ротхаммель. Антенны: В 2 томах, Том 2, 11-е издание, исправленное и дополненное
Алоизом Кришке: Радио и связь, 1991. - 78с.
. Н.П.
Баловнев. Расчет резьбовых соединений и винтовых механизмов: методические
указания к разделу курса «Детали машин и основы конструирования» для всех
машиностроительных специальностей. Москва - 1999.
20. Чернышов А.В. Проектирование технологических процессов изготовления
деталей РЭС: учеб. пособие / А.В. Чернышов. 2-е изд., перераб. и доп. Воронеж:
ГОУВПО «Воронежский государственный технический университет» 2009. 147 с.