Декларирование соответствия продукта 'Сосиски молочные' - мясной продукт категории 'Б' производства ЗАО МПК 'Компур'

  • Вид работы:
    Курсовая работа (т)
  • Предмет:
    Другое
  • Язык:
    Русский
    ,
    Формат файла:
    MS Word
    55,46 Кб
  • Опубликовано:
    2016-05-15
Вы можете узнать стоимость помощи в написании студенческой работы.
Помощь в написании работы, которую точно примут!

Декларирование соответствия продукта 'Сосиски молочные' - мясной продукт категории 'Б' производства ЗАО МПК 'Компур'

ФЕДЕРАЛЬНОЕ ГОСУДАРСТВЕННОЕ БЮДЖЕТНОЕ ОБРАЗОВАТЕЛЬНОЕ УЧРЕЖДЕНИЕ

ВЫСШЕГ ОБРАЗОВАНИЯ

ОМСКИЙ ГОСУДАРСТВЕННЫЙ АГРАРНЫЙ УНИВЕРСИТЕТ

им. П.А. СТОЛЫПИНА

ИНСТИТУТ ВЕТЕРИНАРНОЙ МЕДИЦИНЫ и БИОТЕХНОЛОГИИ

Кафедра товароведения, стандартизации и управления качеством






КУРСОВОЙ ПРОЕКТ

Декларирование соответствия продукта «Сосиски молочные» мясной продукт категории Б», производства ЗАО МПК «Компур»

по дисциплине «Стандартизация и сертификация сырья и пищевых продуктов»

Выполнил: студент 401 гр

Медуница Иван Николаевич

Проверила: доцент

Барабанова Елена Борисовна



Омск 2016

Аннотация

В данном курсовом проекте рассмотрена процедура декларирования изделий колбасных вареных «Сосисок молочных» производства ЗАО МПК «Компур».

В обзоре литературы изложены и изучены следующие вопросы:

цели и принципы стандартизации и сертификации продукции;

законодательная и нормативная база стандартизации;

особенности стандартизации пищевых продуктов;

правовые основы подтверждения соответствия;

схемы декларирования;

подтверждение соответствия, его формы;

приведены принятые в РФ общие положения по гармонизации стандартов на продукцию;

основные положения системы сертификации однородной группы продукции;

требования, предъявляемые к нормативным документам.

Нормативные ссылки

В данном курсовом проекте использованы ссылки на следующие стандарты:

ГОСТ 1.5-2001 Межгосударственная система стандартизации. Стандарты межгосударственные, правила и рекомендации по межгосударственной стандартизации. Общие требования к построению, изложению, оформлению, содержанию и обозначению.

ГОСТ Р 1.0-2004 Стандартизация в Российской Федерации. Основные положения.

ГОСТ Р 1.2-2004 Стандартизация в Российской Федерации. Стандарты национальные Российской Федерации. Правила разработки, утверждения, обновления и отмены.

Введение

Для написания данного курсового проекта была выбрана тема: «Подтверждение соответствия изделий колбасных вареных «Сосисок молочных».

Целью курсового проекта является изучение процедуры проведения декларирования соответствия изделий колбасных вареных «Сосисок молочных».

Задачи курсового проекта:

изучение целей и задач стандартизации и сертификации продукции;

рассмотрение общих положений по гармонизации стандартов на продукцию;

изучение правовых основ подтверждения соответствия;

изучение требований, предъявляемых к нормативным документам;

изучение порядка проведения декларирования продукции.

1. 
Обзор литературы

.1 Сертификация

Сертификация продукции - процедура подтверждения качества, посредством которой независимая от изготовителя (продавца, исполнителя) и потребителя (покупателя) организация удостоверяет в письменной форме, что продукция соответствует установленным требованиям.

.2 Цели сертификации

) создание условий для деятельности организаций и предпринимателей на едином товарном рынке РФ, а также для участия в международном экономическом, научно-техническом сотрудничестве и международной торговле;

) содействие потребителям в компетентном выборе продукции; защита потребителя от недобросовестности изготовителя (продавца, исполнителя);

) контроль безопасности продукции для окружающей среды, жизни, здоровья и имущества;

) подтверждение показателей качества продукции, заявленных изготовителем.

.3      Принципы сертификации

При проведении сертификации необходимо руководствоваться следующими принципами:

) наличие законодательной основы сертификации (Законы РФ «О сертификации продукции и услуг», «О защите прав потребителей» и др.);

) гармонизация правил и рекомендаций по сертификации с действующими международными, региональными и национальными системами сертификации других стран;

) компетентность и независимость органов по сертификации, обеспечивающие объективность и достоверность подтверждения соответствия продукции установленным в нормативных документах требованиям;

) добровольность заявителя при выборе органа по сертификации;

) открытость системы сертификации для участия в ней предприятий, учреждений и организаций независимо от форм собственности, признающих и выполняющих ее требования;

) информирование всех участников сертификации - изготовителей, потребителей, общественных организаций, органов по сертификации испытательных лабораторий и других заинтересованных субъектов о правилах и результатах сертификации.

.4 Подтверждение соответствия

Подтверждение соответствия - документальное удостоверение соответствия продукции или иных объектов, процессов проектирования (включая изыскания), производства, строительства, монтажа, наладки, эксплуатации, хранения, перевозки, реализации и утилизации, выполнения работ или оказания услуг требованиям технических регламентов, положениям стандартов, сводов правил или условиям договоров.

Правовую основу подтверждения соответствия составляют:

)        Законодательные акты РФ:

ФЗ РФ «О техническом регулировании»;

Закон РФ «Об обеспечении единства измерений»;

Закон РФ «О защите прав потребителей»;

ФЗ РФ « О качестве и безопасности пищевых продуктов»;

)        Подзаконные акты - постановления правительства РФ:

« Об утверждении перечня продукции, подлежащей обязательной сертификации»;

« Об утверждении перечня продукции, соответствие которой может быть подтверждено декларацией соответствия».

) Указы президента

.5 Цели подтверждения соответствия

Подтверждение соответствия осуществляется в целях:

) удостоверения соответствия продукции, процессов проектирования (включая изыскания), производства, строительства, монтажа, наладки, эксплуатации, хранения, перевозки, реализации и утилизации, работ, услуг или иных объектов техническим регламентам, стандартам, сводам правил, условиям договоров;

) содействия приобретателям, в том числе потребителям, в компетентном выборе продукции, работ, услуг;

повышения конкурентоспособности продукции, работ, услуг на российском и международном рынках;

) создания условий для обеспечения свободного перемещения товаров по территории Российской Федерации, а также для осуществления международного экономического, научно-технического сотрудничества и международной торговли.

.6 Принципы подтверждения соответствия

1.      Подтверждение соответствия осуществляется на основе принципов:

доступности информации о порядке осуществления подтверждения соответствия заинтересованным лицам;

недопустимости применения обязательного подтверждения соответствия к объектам, в отношении которых не установлены требования технических регламентов; установления перечня форм и схем обязательного подтверждения соответствия в отношении определенных видов продукции в соответствующем техническом регламенте;

уменьшения сроков осуществления обязательного подтверждения соответствия и затрат заявителя;

недопустимости принуждения к осуществлению добровольного подтверждения соответствия, в том числе в определенной системе добровольной сертификации;

защиты имущественных интересов заявителей, соблюдения коммерческой тайны в отношении сведений, полученных при осуществлении подтверждения соответствия;

недопустимости подмены обязательного подтверждения соответствия добровольной сертификацией.

. Подтверждение соответствия разрабатывается и применяется равным образом и в равной мере независимо от страны и (или) места происхождения продукции, осуществления процессов проектирования (включая изыскания), производства, строительства, монтажа, наладки, эксплуатации, хранения, перевозки, реализации и утилизации, выполнения работ и оказания услуг, видов или особенностей сделок и (или) лиц, которые являются изготовителями, исполнителями, продавцами, приобретателями.

.7 Формы подтверждения соответствия

. Подтверждение соответствия на территории Российской Федерации может носить добровольный или обязательный характер.

. Добровольное подтверждение соответствия осуществляется в форме добровольной сертификации.

. Обязательное подтверждение соответствия осуществляется в формах:

принятия декларации о соответствии (далее - декларирование соответствия);

обязательной сертификации.

. Порядок применения форм обязательного подтверждения соответствия устанавливается настоящим Федеральным законом.

1.8    Обязательная сертификация

Обязательная сертификация - подтверждение соответствия продукции обязательным требованиям технических регламентов, положениям стандартов, сводов правил или условиям договоров.

Обязательная сертификация осуществляется органом по сертификации на основании договора с заявителем. Схемы сертификации, применяемые для сертификации определенных видов продукции, устанавливаются соответствующим техническим регламентом. Круг заявителей устанавливается соответствующим техническим регламентом.

Соответствие продукции требованиям технических регламентов подтверждается сертификатом соответствия, выдаваемым заявителю органом по сертификации.

Сертификат соответствия выдается на серийно выпускаемую продукцию, на отдельно поставляемую партию продукции или на единичный экземпляр продукции.

Основные цели систем обязательной сертификации:

защита потребителей от приобретения товаров, работ и услуг, которые опасны для их жизни, здоровья и имущества, а также для окружающей среды;

улучшение качества продукции и услуг;

повышение конкурентоспособности на внутреннем рынке и содействие экспорту, если система признана за рубежом.

.2.5  

1.9    Добровольная сертификация

Добровольная сертификация проводится по инициативе юридических или физических лиц в целях подтверждения соответствия продукции (услуг) требованиям стандартов, технических условий, рецептур и других документов. Добровольная сертификация проводится на договорных условиях между заявителем и органом сертификации в системах добровольной сертификации. Допускается проведение добровольной сертификации в системах обязательной сертификации органами по обязательной сертификации. Объектами добровольной сертификации являются системы качества производства, а также продукция, работы и услуги, не подлежащие в соответствии с законодательными актами РФ обязательной сертификации.

В настоящее время в России действуют следующие системы добровольной сертификации:

•        Система сертификации « Сертификация в бизнесе и торговле»;

•        Система сертификации ювелирных изделий;

•        Система сертификации систем качества и другие.

Результатом добровольной сертификации служит сертификат соответствия.

Отличительные признаки можно рассмотреть в Таблице 1.

Таблица 1 - Отличительные признаки обязательной и добровольной сертификации

Признаки

Вид сертификации


Обязательная

Добровольная

Основные цели проведения

Обеспечение безопасности продукции

Обеспечение конкурентоспособности продукции

Основание для проведения

Законодательные акты РФ

По инициативе юридических и физических лиц на договорных условиях между заявителем и ОС

Объекты

Указано в перечне

Любые объекты

Сущность оценки соответствия

Оценка соответствия обязательным требованиям, предусмотренным законом, вводящим обязательную сертификацию

Оценка соответствия любым требованиям заявителя

Нормативная база

Государственные стандарты, Санитарные правила и нормы, технические регламенты и другие НД

Стандарты различных категорий, ТУ и другая техническая документация, предложенная заявителем


.10 Стандартизация

Стандартизация - это деятельность по установлению правил и характеристик в целях их добровольного многократного использования, направленная на достижение упорядоченности в сферах производства и обращения продукции и повышение конкурентоспособности продукции, работ или услуг. Деятельность проявляется в разработке, опубликовании и применении стандартов.

.11 Законодательная база стандартизации

Правовую основу стандартизации и регулирования оборота пищевой продукции в России составляют:

Конституция РФ;

Закон РФ «О техническом регулировании» - устанавливает права изготовителя или продавца продукции регулировать вопросы качества договорами, устанавливает правила и порядок подтверждения соответствия;

Закон РФ «О защите прав потребителей» - определяет права потребителя на безопасность и качество продукции, на достоверную информацию об изготовителе и товаре;

Закон «О санитарно-эпидемиологическом благополучии населения» - устанавливает требования в части норм гигиенической оценки продукции, сырья, производства, число обязательных показателей, включённых в нормативные документы для пищевой продукции;

Закон РФ «Об обеспечении единства измерений» - обеспечивает получение достоверной оценки безопасности и качества продукции при проведении испытаний;

Закон «О качестве и безопасности пищевых продуктов» - регулирует отношения в области обеспечения качества пищевых продуктов и их безопасности для здоровья человека;

Закон «О ветеринарии» - относится к продукции животного происхождения в части обеспечения безопасности продукции за счёт нормирования обязательных требований корма и пищевых добавок для животных;

Закон РФ «О закупках и поставках сельскохозяйственной продукции, сырья и продовольствия для государственных нужд» - устанавливает требования к обеспечению безопасности продукции для страны;

Закон РФ «О качестве и безопасности пищевой продукции» - основной закон для производства сырья и пищевых продуктов.

.12 Нормативная база стандартизации

Нормативную базу стандартизации составляют 3 уровня документов:

Технические регламенты, имеющие статус законодательного документа, содержащие требования, обязательные к исполнению;

Национальные стандарты и приравненные к ним общероссийские классификаторы и санитарные правила и нормы;

Отраслевые стандарты, стандарты организаций и предприятий, технические условия.

.13 Особенности стандартизации пищевых продуктов

При разработке нормативных документов на пищевую продукцию технический комитет должен решить следующие задачи:

улучшение качества продукции, которое достигается путём установления в стандарте прогрессивных показателей и норм, обеспечивающих потребности населения, требования перерабатывающей промышленности к сырью, требования к сельскохозяйственным кормам, биологическим препаратам;

повышение продуктивности животноводства и урожайности сельскохозяйственных культур, как основу сырьевой базы для пищевой промышленности;

рациональное и максимальное использование полученной продукции животноводства и выращенного урожая, которое решается за счет установления требований к качеству продукции в зависимости от использования, от ее назначения; дифференциация требований к качеству продукции по сортам, классам, категориям, либо установление ограничительных норм по отдельным показателям;

объективность определения качества продукции, заключается в разработке методов измерения показателей и их стандартизация для оценки качества сырья и продукции с необходимой точностью;

безвредность сырья и продукции для человека и окружающей среды;

повышение сохранности, сокращение потерь продукции при хранении и транспортировании, за счет установления требований к соответствующим операциям;

обеспечение единообразия толкования терминов применимых в производстве и науке.

.14 Цели стандартизации

) повышение уровня безопасности жизни и здоровья граждан, имущества физических и юридических лиц, государственного и муниципального имущества, объектов с учетом риска возникновения чрезвычайных ситуаций природного и техногенного характера, повышение уровня экологической безопасности, безопасности жизни и здоровья животных и растений; 2) обеспечение конкурентоспособности и качества продукции (работ, услуг), единства измерений, рационального использования ресурсов, взаимозаменяемости технических средств, технической и информационной совместимости, сопоставимости результатов исследований (испытаний) и измерений, технических и экономико-статистических данных, проведения анализа характеристик продукции (работ, услуг), исполнения государственных заказов, добровольного подтверждения соответствия продукции (работ, услуг);

) содействие соблюдению требований технических регламентов;

) создание систем классификации и кодирования технико-экономической и социальной информации, систем каталогизации продукции (работ, услуг), систем обеспечения качества продукции (работ, услуг), систем поиска и передачи данных, содействие проведению работ по унификации

.15 Принципы стандартизации

) добровольное применение документов в области стандартизации;

) максимальный учет при разработке стандартов законных интересов заинтересованных лиц;

) применение международного стандарта как основы разработки национального стандарта, за исключением случаев, если такое применение признано невозможным вследствие несоответствия требований международных стандартов климатическим и географическим особенностям РФ, техническим и/или технологическим особенностям или по иным основаниям, либо РФ в соответствии с установленными процедурами выступала против принятия международного стандарта или отдельного его положения;

) недопустимость создания препятствий производству и обращению продукции, выполнению работ и оказанию услуг в большей степени, чем это минимально необходимо для выполнения целей стандартизации;

) недопустимость установления таких стандартов, которые противоречат техническим регламентам;

) обеспечение условий для единообразного применения стандартов.

1.16 Общие положения по гармонизации стандартов на пищевую продукцию

Гармонизация стандарта - это приведение его содержания в соответствие с другим стандартом для обеспечения взаимозаменяемости продукции (услуг), взаимного понимания результатов испытаний и информации, содержащейся в стандартах. Гармонизация может быть отнесена и к техническим регламентам.

Гармонизация стандартов с международными стандартами «Кодекс Алиментариус» для России является актуальной проблемой.

Кодекс Алиментариус представляет собой совокупность международных правил и норм в области пищевых продуктов, является эталоном для потребителей, производителей и переработчиков пищевых продуктов, национальных органов, контролирующих продукты питания и соблюдение международных правил торговли.

Комиссия Кодекса была учреждена в 1963 году Продовольственной и сельскохозяйственной организацией объединенных наций (FAO) и Всемирной организацией здравоохранения (ВОЗ). Россия является членом Комиссии Кодекса с момента основания организации, а в связи с вступлением в ВТО, работа с действующими комитетами Кодекса стала особенно актуальной.

Кодекс Алиментариус разрабатывает международные стандарты на пищевые продукты, руководства и инструкции, которые регулируют безопасность и качество пищевых продуктов, поступающих на мировой рынок, а также обеспечивают соблюдение условий «справедливой торговли». Потребители могут быть уверены в качестве и безопасности продуктов, которые они покупают, а импортеры могут быть уверены в том, что пищевые продукты, заказанные ими, будут соответствовать своим спецификациям.

Гармонизованные (эквивалентные) стандарты могут иметь различия: по форме, в пояснительных примечаниях, в отдельных специальных указаниях и т.п.

)        Идентичные стандарты - гармонизованные стандарты, полностью идентичные по содержанию и по форме.

)        модифицированные - гармонизированные стандарты, которые имеют технические отклонения и /или различия по форме представления при условии их идентификации;

)        унифицированные стандарты - это гармонизованные стандарты, которые по содержанию идентичны, но отличаются по форме представления;

Гармонизация стандартов имеет важнейшее значение для расширения взаимовыгодного обмена товарами (услугами), заключения соглашений по сертификации, развития и углубления промышленного сотрудничества и совместного решения научно-технических проблем, повышения и обеспечения качества продукции, оптимизации затрат материальных и энергетических ресурсов, повышения эффективности мер по безопасности труда и защите окружающей среды.

1.17  Требования к нормативным документам

В документах в области сертификации, используемых на территории РФ, должны быть установлены требования к показателям продукции и методы испытаний, позволяющие обеспечить полное и достоверное подтверждение соответствия продукции. Желательно, чтобы все требования (показатели, характеристики) и методы испытаний для конкретного вида продукции содержались в одном нормативном документе.

Положения нормативных документов должны быть сформулированы четко, обеспечивая их точное и единообразное толкование. Размерность и количественные значения характеристик должны быть заданы таким образом, чтобы имелась возможность для их воспроизводимого определения с заданной или известной точностью при испытаниях. Должна быть указана последовательность проведения испытаний, если она влияет на их результаты.

Требования нормативных документов к маркировке должны обеспечить идентификацию продукции, а также содержать указания об условиях применения и нанесения знака соответствия.

Основные требования, предъявляемые к нормативным документам:

)        документы по стандартизации не должны противоречить федеральным законам, техническим регламентам иным нормативным правовым актам РФ;

)        требования, устанавливаемые в национальных стандартах, сводах правил должны основываться на современных достижениях науки, техники и технологии;

)        требования предварительных стандартов, стандартов организаций, должны обеспечить применение и развитие требований, установленных национальных стандартов;

)        национальные стандарты, своды правил и предварительные стандарты разрабатываются на основе международных и региональных стандартов за исключением случаев, если такая разработка признана невозможной вследствие несоответствия требованиям международных и региональных стандартов, климатическим и географическим особенностям Российской Федерации, техническим и (или) технологическим особенностям или по иным основаниям, либо РФ в соответствии с установленными процедурами выступала против принятия международного или регионального стандарта или отдельного его положения.

1.18  Декларирование соответствия

Декларирование соответствия - форма подтверждения соответствия продукции требованиям технических регламентов.

Декларирование соответствия осуществляется по одной из следующих схем:

принятие декларации о соответствии на основании собственных доказательств;

принятие декларации о соответствии на основании собственных доказательств, доказательств, полученных с участием органа по сертификации и (или) аккредитованной испытательной лаборатории (центра) (далее - третья сторона).

Круг заявителей устанавливается соответствующим техническим регламентом.

Схема декларирования соответствия с участием третьей стороны устанавливается в техническом регламенте в случае, если отсутствие третьей стороны приводит к недостижению целей подтверждения соответствия.

При декларировании соответствия заявитель на основании собственных доказательств самостоятельно формирует доказательственные материалы в целях подтверждения соответствия продукции требованиям технического регламента. В качестве доказательственных материалов используются техническая документация, результаты собственных исследований (испытаний) и измерений и (или) другие документы, послужившие основанием для подтверждения соответствия продукции требованиям технического регламента.

Техническая документация должна содержать:

основные параметры и характеристики продукции, а также ее описание в целях оценки соответствия продукции требованиям технического регламента;

описание мер по обеспечению безопасности продукции на одной или нескольких стадиях проектирования (включая изыскания), производства, строительства, монтажа, наладки, эксплуатации, хранения, перевозки, реализации и утилизации;

список документов в области стандартизации, применяемых полностью или частично и включенных в перечень документов в области стандартизации, в результате применения которых на добровольной основе обеспечивается соблюдение требований технического регламента, и, если не применялись указанные документы в области стандартизации, описание решений, выбранных для реализации требований технического регламента.

Техническая документация, используемая в качестве доказательственного материала, также может содержать анализ риска применения (использования) продукции.

При декларировании соответствия на основании собственных доказательств и полученных с участием третьей стороны доказательств заявитель по своему выбору в дополнение к собственным доказательствам, включает в доказательственные материалы протоколы исследований (испытаний) и измерений, проведенных в аккредитованной испытательной лаборатории (центре) и предоставляет сертификат системы менеджмента качества, в отношении которого предусматривается контроль (надзор) органа по сертификации, выдавшего данный сертификат, за объектом сертификации.

Декларация о соответствии оформляется на русском языке и должна содержать:

наименование и местонахождение заявителя;

наименование и местонахождение изготовителя;

информацию об объекте подтверждения соответствия, позволяющую идентифицировать этот объект;

наименование технического регламента, на соответствие требованиям которого подтверждается продукция;

указание на схему декларирования соответствия;

заявление заявителя о безопасности продукции при ее использовании в соответствии с целевым назначением и принятии заявителем мер по обеспечению соответствия продукции требованиям технических регламентов;

сведения о проведенных исследованиях (испытаниях) и измерениях, сертификате системы менеджмента качества, а также документах, послуживших основанием для подтверждения соответствия продукции требованиям технических регламентов;

срок действия декларации о соответствии;

иные предусмотренные соответствующими техническими регламентами сведения.

Срок действия декларации о соответствии определяется техническим регламентом. Форма декларации о соответствии утверждается федеральным органом исполнительной власти по техническому регулированию.

Оформленная заявителем декларация о соответствии подлежит регистрации в электронной форме в едином реестре деклараций о соответствии в уведомительном порядке в течение трех дней со дня ее принятия.

Декларация о соответствии и доказательственные материалы хранятся у заявителя в течение десяти лет со дня окончания срока действия такой декларации в случае, если иной срок их хранения не установлен техническим регламентом.

1.19  Схемы декларирования

Декларирование соответствия пищевой продукции осуществляется по одной из схем декларирования, установленных настоящим техническим регламентом, по выбору заявителя, если иное не установлено техническими регламентами Таможенного союза на отдельные виды пищевой продукции.

Схема декларирования - определённая совокупность действий, официально принимаемых в качестве доказательства соответствия продукции заданным требованиям.

Схема 1д включает следующие процедуры:

формирование и анализ технической документации;

осуществление производственного контроля;

проведение испытаний образцов продукции;

принятие и регистрация декларации о соответствии;

нанесение единого знака обращения продукции на рынке

государств-членов Таможенного союза.

Заявитель предпринимает все необходимые меры, чтобы процесс производства был стабильным и обеспечивал соответствие изготавливаемой продукции требованиям технического регламента, формирует техническую документацию и проводит ее анализ. Заявитель обеспечивает проведение производственного контроля.

С целью контроля соответствия продукции требованиям технического регламента заявитель проводит испытания образцов продукции. Испытания образцов продукции проводятся по выбору заявителя в испытательной лаборатории или аккредитованной испытательной лаборатории.

Заявитель оформляет декларацию о соответствии и регистрирует ее по уведомительному принципу.

Заявитель наносит единый знак обращения, если иное не установлено техническим регламентом.

Схема 2д включает следующие процедуры:

формирование и анализ технической документации;

проведение испытаний партии пищевой продукции;

принятие и регистрация декларации о соответствии;

нанесение единого знака обращения продукции на рынке государств-членов Таможенного союза.

Заявитель формирует техническую документацию и проводит ее анализ.

Заявитель проводит испытания образцов продукции (единичного изделия) для обеспечения подтверждения заявленного соответствия продукции требованиям технического регламента. Испытания образцов продукции (единичного изделия) проводятся по выбору заявителя в испытательной лаборатории или аккредитованной испытательной лаборатории.

Заявитель оформляет декларацию о соответствии и регистрирует по уведомительному принципу.

Заявитель наносит единый знак обращения, если иное не установлено техническим регламентом.

Схема 3д включает следующие процедуры:

формирование и анализ технической документации;

осуществление производственного контроля;

проведение испытаний образцов пищевой продукции;

принятие и регистрация декларации о соответствии;

нанесение единого знака обращения продукции на рынке

государств-членов Таможенного союза.

Заявитель предпринимает меры, чтобы процесс производства был стабильным и обеспечивал соответствие мясной продукции требованиям настоящего технического регламента и технических регламентов Таможенного союза, действие которых на нее распространяется, формирует техническую документацию и проводит ее анализ. Заявитель обеспечивает проведение производственного контроля.

С целью контроля соответствия мясной продукции требованиям технических регламентов Таможенного союза, действие которых на нее распространяется, заявитель проводит испытания образцов мясной продукции в аккредитованной испытательной лаборатории, включенной в Единый реестр органов по сертификации и испытательных лабораторий (центров) Таможенного союза.

Срок действия декларации о соответствии мясной продукции, выпускаемой серийно, составляет не более 3 лет.

Схема 4д включает в себя:

формирование и анализ технической документации;

проведение испытаний образцов мясной продукции;

принятие и регистрацию декларации о соответствии;

нанесение единого знака обращения.

Заявитель формирует техническую документацию и проводит ее анализ.

Для обеспечения подтверждения заявленного соответствия партии мясной продукции техническим регламентам Таможенного союза, действие которых на нее распространяется, заявитель проводит испытания образцов мясной продукции в аккредитованной испытательной лаборатории, включенной в Единый реестр органов по сертификации и испытательных лабораторий (центров) Таможенного союза.

Срок действия декларации о соответствии мясной продукции соответствует сроку годности этой мясной продукции.

Схема 5д включает следующие процедуры:

формирование и анализ технической документации;

осуществление производственного контроля;

проведение исследований (испытаний) типа;

принятие и регистрация декларации о соответствии;

нанесение единого знака обращения.

Заявитель предпринимает все необходимые меры, чтобы процесс производства был стабильным и обеспечивал заявленное соответствие изготавливаемой продукции требованиям технического регламента, формирует техническую документацию и проводит ее анализ.

Заявитель обеспечивает проведение производственного контроля.

Орган по сертификации продукции (аккредитованная испытательная лаборатория), в соответствии со своей областью аккредитации и по поручению заявителя проводит исследование типа продукции одним из следующих способов:

исследование образца для запланированного производства как типового представителя всей будущей продукции;

анализ технической документации, испытания образца продукции или критических составных частей продукции.

Результаты исследования типа оформляются в заключении (сертификате соответствия) и (или) протоколе, в котором аккредитованная испытательная лаборатория дает оценку соответствия типа продукции установленным требованиям.

Заявитель оформляет декларацию о соответствии и регистрирует по уведомительному принципу.

Заявитель наносит единый знак обращения, если иное не установлено техническим регламентом.

Схема 6д включает в себя:

формирование и анализ технической документации, в состав которой включается сертификат на систему менеджмента качества и безопасности (его копия), выданный органом по сертификации систем менеджмента;

осуществление производственного контроля;

проведение испытаний образцов мясной продукции;

принятие и регистрацию декларации о соответствии;

нанесение единого знака обращения;

контроль за стабильностью функционирования системы менеджмента качества и безопасности.

Заявитель предпринимает меры по обеспечению стабильности функционирования системы менеджмента качества и безопасности и условий производства для изготовления мясной продукции, соответствующей требованиям технических регламентов Таможенного союза, действие которых на нее распространяется, формирует техническую документацию и проводит ее анализ.

Заявитель обеспечивает проведение производственного контроля и информирует орган по сертификации систем менеджмента о запланированных изменениях системы менеджмента.

С целью контроля соответствия мясной продукции требованиям технических регламентов Таможенного союза, действие которых на нее распространяется, заявитель проводит испытания образцов мясной продукции в аккредитованной испытательной лаборатории, включенной в Единый реестр органов по сертификации и испытательных лабораторий (центров) Таможенного союза.

Орган по сертификации систем менеджмента осуществляет инспекционный контроль за стабильностью функционирования системы менеджмента качества и безопасности.

Срок действия декларации о соответствии мясной продукции, выпускаемой серийно, составляет не более 5 лет.

.20 Схема проведения декларирования соответствия

Процедура декларирования состоит из нескольких этапов. Схема проведения декларирования представлена на рисунке 1.

















Рисунок 1 - Схема проведения декларирования соответствия

. Экспериментальная часть

.1 Порядок проведения декларирования изделия колбасные вареные «Сосиски молочные» мясной продукт категории Б охлажденные

В данном разделе подробно описывается процедура проведения декларирования соответствия на примере коктейля. Декларирование проводится по схеме 3д. Этапы проведения декларирования представлены на рисунке 2.













Рисунок 2 - Этапы проведения декларирования соответствия

сертификация пищевой продукт нормативный

1)      Формирование технической и нормативной документации

Заявитель, в лице генерального директора ЗАО МПК «Компур» Пименова П.А., заполняет декларацию о соответствии, формирует пакет документов, который будет являться одним из доказательств качества и безопасности выпускаемой продукции. Пакет документов включает в себя:

копии документов, подтверждающих государственную регистрацию в качестве юридического лица или индивидуального предпринимателя (свидетельство ОГРН № 1025501378210);

- национальный стандарт (ГОСТ Р 52196-2011 Изделия колбасные вареные. Технические условия).

- перечень документов, в соответствии с которыми изготовлена продукция (ТР ТС 021/2011 «О безопасности пищевой продукции»; ТР ТС 022/2011 «Пищевая продукции в части ее маркировки»; ТР ТС 034/2013 «О безопасности мяса и мясной продукции»).

протокола испытаний пищевой продукции (Протокол испытаний № П-2151 от 15.01.2016).

) Осуществление производственного контроля

Производственный контроль на предприятии разработан с учетом видов и объемов осуществляемой деятельности, обеспеченности кадрами, в том числе специалистами, имеющими квалификацию. Разработана и поддерживается в актуальном состоянии программа производственного контроля. В структуру производственного контроля входят:

специалисты, ответственные за организацию и проведение производственного контроля;

структурные подразделения: лаборатория

) Отбор образцов

Отбор образцов для проведения испытаний осуществляется в соответствии с ГОСТ 9793-73 «Статистический контроль качества. Методы случайного отбора выборок продукции». Орган по сертификации ООО «Соответствие» проводит отбор образцов для лабораторных испытаний для определения показателей безопасности, установленных в ТР ТС 021/2011(прил. 1,2), ТР ТС 034/2013, качества по ГОСТ Р 52196-2011, маркировки по ТР ТС 022/2011(ст.4). Из выборки отбирают 5 кг продукта, из которых 3 кг для испытаний, а 2 кг для контрольных образцов. По результатам проведённых действий составляется акт отбора образцов №176 от 10.01.2016 г (Приложение А).

) Проведение испытаний образцов

Испытания образцов будет проводить испытательная лаборатория ООО «Соответствие».

Испытания образцов на соответствие требованиям ГОСТ Р 52196, ТР ТС 021/2011( прил.1,2), ТР ТС 022/2011(ст.4), ТР ТС 034/2013 и показателям безопасности приведены в протоколе испытания № П-2151 от 15.01 2016 г. (Приложение Б).

)Подача заявления

Заявитель, в лице директора ЗАО МПК «Компур» направляет заявление на проведение декларирования соответствия изделий колбасных вареных «Сосисок молочных» вырабатываемых в соответствии с ГОСТ Р 52196-2011 Изделия колбасные вареные. Технические условия (П.п. 4.2, 4.4) серийный выпуск, в орган по сертификации ООО «Соответствие». С заявкой были приложены:

декларация о соответствии;

копии документов, предусмотренных для данной продукции соответствующими федеральными законами, и выданные уполномоченными на то органами и организациями в 1 экземпляре: ТС ТР 021/2011 «О безопасности пищевой продукции»; ТР ТС 022/2011 «Пищевая продукции в части ее маркировки»; ТР ТС 034/2013 ГОСТ Р 52196-2011 «Изделия колбасные вареные. Технические условия»;

копии документов, подтверждающих соответствие продукции установленным требованиям и (или) правомочность принятия декларации о соответствии : Протокол испытаний № П-2151 от 15.01.2016г

Заявка представлена в приложении В

) Рассмотрение заявки

Орган по сертификации рассматривает представленные заявителем документы на предмет:

а) правильности и полноты заполнения заявителем декларации о соответствии;

б) наличия всех необходимых документов;

в) наличия нормы технического регламента Таможенного союза, устанавливающей, что соответствие определенного вида продукции требованиям технического регламента Таможенного союза может быть подтверждено принятием декларации о соответствии;

г) соответствия заявителя, принявшего декларацию о соответствии, требованиям технического регламента Таможенного союза, устанавливающим круг заявителей для определенного вида продукции.

) Регистрация и выдача декларации о соответствии:

По результатам рассмотрения документов, представленных заявителем, орган по сертификации в течение 5 рабочих дней с даты поступления на регистрацию декларации о соответствии осуществляет регистрацию этой декларации о соответствии либо уведомляет заявителя об отказе в ее регистрации (с указанием оснований отказа).

Уведомление об отказе в регистрации декларации о соответствии направляется заявителю в письменной форме заказным почтовым отправлением с уведомлением о вручении или вручается заявителю.

Декларация о соответствии считается зарегистрированной с момента присвоения ей регистрационного номера в Едином реестре выданных сертификатов соответствия и зарегистрированных деклараций о соответствии.

Затем орган по сертификации выдает Декларацию о соответствии на продукцию изделий кобасных вареных «Сосисок молочных» производства ЗАО МПК «Компур» сроком действия с момента регистрации: с 6.03.2015 г. по12.02.2018 г. Включительно.

Сертификат находится в приложении Г.

.2 Методы испытаний

В этом подразделе будут кратко описаны те методы испытаний, которые использовались при определении качества выбранного продукта .

Контроль качества полуфабрикатов по органолептическим и физико-химическим показателям проводится на предприятии, контроль показателей безопасности проводится в сторонней лаборатории на сновании заключенных договоров.

Определение органолептических показателей сосисок молочных. Дегустаторы перед проведением органолептической оценки должны быть ознакомлены с требованиями нормативного документа к качеству оцениваемой продукции.

Образцы продукции представляют на дегустацию в следующей очередности: в первую очередь оценивают продукты, обладающие слабо выраженным (тонким) ароматом, менее соленые и острые, затем - продукты с умеренным ароматом и соленостью, после этого - продукты с сильно выраженным ароматом, соленые и острые.

В последнюю очередь оценивают изделия в подогретом виде (сосиски, сардельки и т.д.) и термически обработанные (кулинарные изделия, пельмени, котлеты и другие полуфабрикаты); порядок их представления определяется также степенью выраженности аромата и вкуса.

Показатели качества мясных продуктов определяют сначала на целом (неразрезанном), а затем разрезанном продукте.

Посуда, используемая при отборе проб, предназначенных для органолептических испытаний, должна быть без постороннего запаха.

Пробы представляют на дегустацию при той же температуре, при которой данный продукт обычно употребляют.

Показатели качества целого продукта определяют в следующей последовательности:

внешний вид, цвет и состояние поверхности - визуально путем наружного осмотра;

запах - на поверхности продукта. При необходимости определения запаха в глубине продукта берут специальную деревянную или металлическую иглу, вводят ее в толщу, затем быстро извлекают и определяют запах, оставшийся на поверхности иглы;

консистенцию - надавливанием шпателем или пальцами.

Показатели качества разрезанного продукта определяют в следующей последовательности:

перед проведением оценки мясные изделия освобождают от упаковки, оболочки и шпагата (клипсов), удаляют из них кости (если они имеются) и с помощью острого ножа нарезают тонкими ломтиками таким образом, чтобы обеспечить характерный для данного продукта вид и рисунок на разрезе;

цвет, вид и рисунок на разрезе, структуру и распределение ингредиентов - визуально на только что сделанных поперечном и (или) продольном разрезах продукции;

запах, аромат, вкус и сочность - опробованием мясных продуктов, нарезанных на ломтики. При этом определяют специфический запах, аромат и вкус; отсутствие или наличие постороннего запаха, привкуса; степень выраженности аромата пряностей и копчения; соленость;

консистенцию продуктов - надавливанием, разрезанием, разжевыванием, размазыванием (паштеты). При определении консистенции устанавливают плотность, нежность, упругость, однородность массы.

Запах, вкус, сочность сосисок и сарделек определяют в нагретом виде, для чего их опускают в теплую воду (50-60 °С) и доводят ее до кипения. Сочность сосисок и сарделек в натуральной оболочке можно также определять проколом. В местах прокола в сочной продукции должна выступить капля жидкости.

Результаты органолептической оценки сопоставляют с показателями качества, приведенными в нормативном документе на данный вид продукта, определяя при этом соответствие продукта требованиям стандарта или технических условий.

Результаты проведения органолептической оценки заносят в протокол и рабочий журнал.

Определение физико-химических показателей

При оценке качества сосисок Молочных по физико-химическим показателям контролируется: массовая доля влаги, массовая доля жира, массовая доля белка, массовая доля хлористого натрия (поваренной соли).

Определение массовой доли влаги проводится по ГОСТ 9793-74

Сущность метода заключается в определении влаги в продукте методом высушивания. Пробы сосисок освобождают от оболочек, измельчают на бытовой или электрической мясорубке и тщательно перемешивают. Подготовленную для испытания пробу помещают в стеклянную банку с притертой пробкой, вместимостью 200-400 см3, заполнив ее полностью, и сохраняют при температуре от 3 до 5 °С до окончания испытаний. Затем пробу высушивают в течение 2 ч в сушильном шкафу при температуре (103±2) °С, охлаждают в эксикаторе и взвешивают.

Высушивание продолжают до постоянной массы. Каждое повторное взвешивание проводят после высушивания в течение 1 ч при температуре (103±2) °С. Результаты двух последовательных взвешиваний не должны отличаться более чем на 0,1% массы навески.

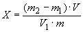
Массовую долю влаги (Х) в процентах вычисляют по формуле


Где:

m0 - масса бюксы с песком и палочкой, г;

За окончательный результат принимают среднеарифметическое значение двух параллельных определений.

Расхождение между результатами параллельных определений не должно превышать 0,5%.

Окончательный результат вычисляют с погрешностью до 0,1%.

Определение массовой доли жира проводится по ГОСТ 23042-86

Метод заключается в ускоренном определения жира и определении жира с использованием экстракционного аппарата Сокслета.

Метод основан на извлечении общего жира, содержащегося в мясе и мясных продуктах:

смесью хлороформа и этилового спирта в фильтрующей делительной воронке;

хлороформом после обработки пробы ацетоном в фильтрующем устройстве марки Я10-ФУС;

гексаном или петролейным эфиром температурой кипения от 50 до 60 °С в экстракционном аппарате Сокслета.

Метод определения жира с использованием устройства марки Я10-ФУС

Навеску продукта массой (2,0±0,2) г взвешивают на весах в стаканчике или бюксе. Затем количественно переносят в фильтрующую делительную воронку, приливают 20 см3 экстрагирующей смеси, состоящей из хлороформа и этилового спирта в соотношении 2:1, и проводят экстракцию, встряхивая воронку в течение 2 мин (примерно от 75 до 80 качаний).

Количество извлеченного жира определяют путем взвешивания.

Массовую долю жира (Х) в процентах вычисляют по формуле:

,

Где:

m1 - масса бюксы с жиром, г;

m2 - масса бюксы с не липидной фракцией, г;

- общий объем экстракта, см;

m - масса навески, г;

- объем экстракта, отобранный для высушивания, см3.

Вычисления проводят с погрешностью ±0,1%

За окончательный результат испытания принимают среднеарифметическое значение результатов двух параллельных определений, допускаемое расхождение между которыми не должно превышать 0,5% при выполнении анализов в одной лаборатории и 1% - при выполнении анализов в разных лабораториях.

Определение массовой доли белка проводится по ГОСТ 25011-81 фотометрическим методом.

Сущность метода:

Метод основан на минерализации пробы по Кьельдалю и фотометрическом измерении интенсивности окраски индофенолового синего, которая пропорциональна количеству аммиака в минерализате.

Отобранные пробы сосисок дважды измельчают на бытовой или электрической мясорубке с отверстиями решетки диаметром 3 мм и тщательно перемешивают.

Подготовленную для анализа пробу помещают в стеклянную банку вместимостью 200-400 см3, заполнив ее полностью, и закрывают крышкой.

Исследования проводят на спектрофотометре марок СФ-4, СФ-26 или фотоэлектроколориметр марки 56 ПМ или других аналогичных марок.

Навеску продукта рассчитывают по разности, для этого часть измельченной объединенной пробы помещают в бюксу, закрывают крышкой и взвешивают с допустимой погрешностью не более 0,0002 г. Затем из бюксы скальпелем отбирают 0,4-0,5 г продукта на листок беззольного фильтра и вместе с ним осторожно опускают в колбу Кьельдаля. Бюксу закрывают, взвешивают и рассчитывают точную массу продукта, взятого для анализа.

Такой же листок беззольного фильтра помещают в контрольную колбу Кьельдаля. Затем в обе колбы добавляют 10 см3 концентрированной серной кислоты, 1-2 г сернокислого калия и проводят минерализацию, периодически добавляя для интенсивности процесса в охлажденную пробу перекись водорода (5-7 см в течение всей минерализации). Допускается применение других катализаторов, обеспечивающих точность определения.

После минерализации колбы охлаждают и содержимое количественно переносят в мерные колбы вместимостью 250 см3, после охлаждения объем доводят до метки и содержимое перемешивают.

см3 полученного минерализата переносят в мерную колбу вместимостью 100 см3 и доводят до метки дистиллированной водой, получая вторично разбавленный минерализат. Для проведения цветной реакции 1 см3вторично разбавленного минерализата вносят в пробирку, затем последовательно добавляют 5 см3 реактива 1 и 5 см3 реактива 2, перемешивают содержимое пробирки. Через 30 мин определяют оптическую плотность растворов на спектрофотометре при длине волны 625 нм или на фотоэлектроколориметре с применением красного светофильтра. Измерение ведется в сравнении с контрольным раствором.

Контрольный раствор готовят одновременно, используя для этой цели контрольный минерализат.

Стабильность окраски растворов сохраняется в течение одного часа.

Температура реактивов при проведении цветной реакции должна быть не ниже 20 °С.

По полученному значению оптической плотности с помощью калибровочного графика находят концентрацию азота.

Массовую долю белка (Х), в процентах, вычисляют по формуле

,

Где:

C - концентрация азота, найденная по калибровочному графику в соответствии с полученной оптической плотностью, мкг/см

m - навеска пробы, г;

- объем минерализата после первого разведения, см3;

- объем разбавленного минерализата для вторичного разведения, см3;

- объем минерализата после вторичного разведения, см3;

1 - объем раствора, взятый для проведения цветной реакции, см3;

106 - множитель для перевода г в мкг;

- множитель для перевода в проценты;

,25 - коэффициент пересчета на белок.

За окончательный результат принимают среднеарифметическое значение результатов двух параллельных определений.

Расхождение между параллельными определениями не должно превышать 0,1% по содержанию азота для мяса и мясопродуктов.

Определение массовой доли поваренной соли (хлористого натрия) проводится по ГОСТ 9957-73.

Сущность метода:

Определение хлористого натрия аргентометрическим титрованием по Методу Мора.

Метод Мора основан на титровании иона хлора в нейтральной среде ионом серебра в присутствии хромата калия.

5 г измельченной средней пробы взвешивают в химическом стакане с погрешностью ±0,01 г и добавляют 100 см дистиллированной воды. Через 40 мин настаивания (при периодическом перемешивании стеклянной палочкой) водную вытяжку фильтруют через бумажный фильтр.

5-10 см фильтрата пипеткой переносят в коническую колбу и титруют из бюретки 0,05 моль/дм раствором азотнокислого серебра в присутствии 0,5 см раствора хромовокислого калия до появления оранжевого окрашивания.

Массовую долю хлористого натрия, %, вычисляют по формуле


Где:

0,00292 - количество хлористого натрия, эквивалентное 1 см3 0,05 моль/дм3 раствора азотнокислого серебра, г;

К - поправка к титру 0,05 моль/дм3 раствора азотнокислого серебра;

V - количество 0,05 моль/дм3 раствора азотнокислого серебра, израсходованное на титрование испытуемого раствора, см3;

v1 - количество водной вытяжки, взятое для титрования, см3;

m -навеска, г.

Расхождение между результатами параллельных определений не должно превышать 0,1%. За окончательный результат принимают среднее арифметическое результатов двух параллельных определений.

Определение массовой доли нитрита в продукте определяется по ГОСТ 29299-92.

Сущность метода: экстрагирование пробы горячей водой, осаждение белков и фильтрование. Получение красной окраски в присутствии нитрита путем добавления к фильтрату аминобензола сульфамида и N-1-нафтилэтилендиамина дигидрохлорида и фотометрическое измерение при длине волны 538 нм.

Используют показательную пробу массой не менее 200 г. Пропускают пробу через мясорубку не менее двух раз и перемешивают. Для исследования взвешивают 10 г пробы с точностью до 0,001 г.

Содержание нитрита в пробе, выраженное в миллиграммах нитрита натрия на килограмм, вычисляют по формуле

,

где:

m - масса образца, г;- объем части фильтрата, взятой для фотометрического определения, см3- концентрация нитрита натрия в мкг/см3, определенная по калибровочной кривой и соответствующая показателю спектрального поглощения раствора, полученного из образца.

За результат анализа принимают среднеарифметическое значение результатов двух определений, при условии соблюдения требования к воспроизводимости. Результат выражают с точностью до 1 мг на килограмм продукта.

Разница между результатами двух определений, проводимых одновременно или в близкой последовательности одним и тем же лицом, может составлять не более 10% от среднего результата.

Определение мышьяка в продукте.

Для определения мышьяка в продукте используют инверсионно-вольтамперометрические методы по ГОСТ 31628-2012.

КХА проб пищевых продуктов и продовольственного сырья на содержание мышьяка основан на ИВ методе определения массовой концентрации элемента в растворе подготовленной пробы. Подготовку пробы проводят с целью устранения мешающих влияний органических веществ и перевода всех химических форм мышьяка в форму As (3+) для измерения его аналитического сигнала методом ИВ.

Метод ИВ измерений основан на способности элемента электрохимически осаждаться на индикаторном электроде из анализируемого раствора при заданном потенциале предельного диффузионного тока, а затем растворяться в процессе анодной поляризации при определенном потенциале, характерном для данного элемента. Регистрируемый на вольтамперограмме аналитический сигнал элемента пропорционален его концентрации.

Массовую концентрацию элемента в испытуемых растворах пробы определяют по методу добавок в них ГР с установленным содержанием определяемого элемента.

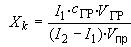
Расчет массовой концентрации мышьяка в контрольной пробе, Xk, мг/дм3, при использовании анализаторов проводится автоматически, а при использовании полярографов по формуле:

,

Где:

СГР - массовая концентрация ГР мышьяка, из которой делается добавка в контрольной пробе, мг/дм3;

VГР - объем добавки ГР мышьяка, см3;

l1 - максимальный анодный ток мышьяка на вольтамперограмме контрольной пробы, А;

l2 - максимальный анодный ток мышьяка на вольтамперограмме пробы с добавкой ГР мышьяка, А;

Vпр - объем пробы, см3.

Определение ртути в продукте

Для определения ртути в продукте используют колориметрический метод по ГОСТ 26927.

Сущность метода:

Метод основан на деструкции анализируемой пробы смесью азотной и серной кислот, осаждении ртути йодидом меди и последующем колориметрическим определении в виде тетрайодомеркуроата меди - путем сравнения со стандартной шкалой.

Массовую долю ртути (Х) в млн -1 вычисляют по формуле:

,

Где: m2 - масса ртути в аликвотном объеме, взятом для колориметрирования, определенная по градуировочной шкале, мкг;

m1 - масса ртути в контрольном опыте, определенная по градуировочной шкале, мкг;

V -объем раствора йода концентрации 3,5 г/дм3 использованный для растворения ртути, см3;

V1 - аликвотный объем, cм3;

m -масса образца, взятая для деструкции, г.

Вычисление проводят до третьего десятичного знака.

Определение кадмия и свинца в продукте

Для определения кадмия и свинца в продукте используют Атомно-абсорбционный метод определения токсичных элементов по ГОСТ 30178-96.

Сущность метода:

Метод основан на минерализации продукта способом сухого или мокрого озоления и определении концентрации элемента в растворе минерализата методом пламенной атомной абсорбции.

Исследования проводят на атомно-абсорбционном спектрофотометре, укомплектованном горелкой для воздушно-ацетиленового пламени, корректором фонового поглощения и источниками резонансного излучения свинца, кадмия, меди, цинка и железа (лампами с полым катодом, безэлектродными разрядными лампами или другими равноценными источниками). Допускается применение спектрофотометра без корректора фонового поглощения при условии проведения экстракционного концентрирования.

Определение антибиотиков в продукте. Для определения остаточных количеств антибиотиков в продуктах животноводства используются МУ 3049-84.

Для исследования на содержание антибиотиков -бацитрацин, тетрациклиновая группа, берется образец пробы продукта не более 50,0г. Содержание антибиотиков выявляют микробиологическим методом диффузии в агар по величине торможения роста следующих тест-культур, внесенных в питательные среды:

для тетрациклиновых антибиотиков - Bac. cereus АТСС 11778 (чувствительность - 0,01 ЕД/г/мл);

Для приготовления основного раствора стандарта бацитрацина берут произвольную навеску стандарта бацитрацина (10 - 20 мг) и растворяют ее в фосфатном буфере pH 6,0, до получения концентрации 100 ед./мл.

Основной раствор стандарта бацитрацина можно хранить в течение 30 дней. Из основного раствора готовят (рабочее) контрольное разведение, равное 0,2 ед./мл.

Навески по 10,0 +/- 0,1 гпродукта, вырезанные из средней части образца, измельчают режущим инструментом с последующим растиранием в ступке с кварцевым песком (предварительно простерилизованным), приливая 20,0 +/- 0,1 мл буфера соответственно определяемому антибиотику, т.е. при определении тетрациклинов - буфер N 3, цинкбацитрацина - N 4, гризина - физиологический раствор (0,85% NaCl). При наличии микроразмельчителя тканей к измельченной ножницами пробе добавляют 20,0 +/- 0,1 мл буфера, тщательно перемешивают, переносят в стакан от микроразмельчителя и гомогенизируют образец при максимальной скорости оборотов в течение 3 мин.

Экстракцию антибиотиков проводят в течение 1,5 +/- 0,5 час.

При исследовании на бацитрацин и цинкбацитрацин гомогенат прогревают на водяной бане при 65 +/- 5 град. C 30 мин. для инактивации возможных ингибиторных веществ и лучшей десорбции антибиотика.

Центрифугируют пробы при 3000 об./мин. в течение 20 +/- 1 мин.

Затем поступают либо соответственно ходу определения (когда надосадочную жидкость, являющуюся разведением 1:3, и приготовленное из нее разведение 1:6 вносят в лунки зараженной тест-микробом среде, либо следующим образом:

Надосадочную жидкость в количестве 0,05 +/- 0,001 мл от каждого исследуемого образца вносят в 2 - 3 лунки на 2 параллельные чашки Петри. При определении бацитрацин чашки ставят на 3 часа в холодильник при +4 град. C для преддиффузии.

Засеянные чашки с внесенной в лунки надосадочной жидкостью инкубируют в течение 18 +/- 0,5 час. при 29 +/- 1 град. C (определение тетрациклинов) либо при 37 +/- 0,1 град. C (определение бацитрацина и цинкбацитрацина), после чего измеряют диаметры зон задержки роста тест-культуры и производят расчет активности остаточных количеств антибиотиков в исследуемых субстратах.

Измеряют зоны задержки роста тест-культур и производят расчет содержания антибиотиков в исследуемых продуктах либо по таблицам, составленным В.С. Дмитриевой и С.М. Семеновым (Дмитриева В.С., Семенов С.М. "Микробиологический контроль активности антибиотических препаратов", М., 1965) (п. 10.1).

Определение остаточных количеств левомицетина

Хлорамфеникола, Хлормицетина проводится по МУК 4.1.1912-04, методом высокоэффективной жидкостной хроматографии и иммуноферментного анализа

Метод основан на извлечении хлорамфеникола экстракцией этилацетатом, последовательной промывке экстракта разбавленным раствором щелочи и кислоты, обезжиривании петролейным эфиром и хроматографическом разделении с помощью высокоэффективной жидкостной хроматографии в обращенно-фазном варианте

Определение пестицидов в продукте проводится по ГОСТ 30349-96

Из объединенной пробы продукта отбирают навеску массой 50,0 г, помещают в коническую колбу с притертой пробкой вместимостью 250 см3 и заливают 100 см3 этилацетата. Содержимое колбы перемешивают в течение 20 мин на аппарате для встряхивания.

Экстракт декантируют в круглодонную колбу, пропуская через слой безводного сернокислого натрия. Эту операцию повторяют еще 2 раза. Экстракт объединяют и концентрируют с помощью ротационного испарителя досуха при температуре водяной бани 40-45 °С.

После нанесения пробы на пластинку "Силуфол" ее помещают в хроматографическую камеру с подвижным растворителем (N 1) - гексан-ацетон (6:1) или (N 2) - гексан. После того, как фронт растворителя поднимется по пластинке, ее вынимают из камеры, обрабатывают проявляющим реактивом и подвергают УФ-облучению в течение 5-10 мин лампой типа ПРК-4. Пластины располагают на расстоянии 20 см от источника света.

При отсутствии пластин "Силуфол" можно использовать пластины "Сорбфил" отечественного производства, с системой подвижных растворителей ацетонитрил-вода (2:1).

При наличии хлорорганических пестицидов при описанных выше условиях на пластинах проявляются пятна серо-черного цвета на светлом фоне. По значениям соответствующих определяют, какие пестициды присутствуют в продукте.

Измерение содержания пестицидов проводят путем сопоставления площади пятна испытуемого экстракта и площади пятна рабочего стандартного раствора, наиболее близкого по интенсивности окраски к пятну экстракта. Площади пятен измеряют с помощью линейки или шаблона из миллиметровой бумаги. Содержание пестицидов, мг/кг, вычисляют по формуле:

,

Где:

m - масса пестицида в 1 см3 стандартного раствора, мкг;

m1 - масса навески исследуемого продукта, г;

S1 - площадь пятна, полученного при нанесении испытуемого экстракта, мм2;

S2 - площадь пятна, полученного при нанесении стандартного раствора, мм2;

V1 - объем экстракта, в котором перерастворен сухой остаток, см3;

V2 - объем исследуемого экстракта, нанесенного на пластинку, см3.

При нанесении всей пробы V1=V2.

Вычисления проводят до первого десятичного знака. Окончательный результат округляют до целого числа.

Определение бактерии рода Staphylococcus aureus по ГОСТ 31746-2012

Устанавливает методы выявления и определения количества коагулазоположительных стафилококков и Staphylococcus aureus (S. aureus) посевом: в жидкую селективную среду (с предварительным обогащением) и на (в) агаризованные селективно-диагностические среды.

Сущность методов:

Метод выявления и метод НВЧ - определение количества коагулазоположительных стафилококков и S. aureus посевом с предварительным обогащением основаны на высеве навески продукта и (или) разведений навески продукта в жидкую селективную среду, инкубировании посевов, пересеве культуральной жидкости на поверхность агаризованной селективно-диагностической среды, подтверждении по биохимическим признакам принадлежности выделенных типичных и (или) атипичных колоний к коагулазоположительным стафилококкам и S. aureus.

При пересеве на агаризованную среду с кроличьей плазмой и бычьим фибриногеном выросшие типичные колонии без подтверждения по биохимическим признакам относят к коагулазоположительным стафило Чашки Петри с посевами инкубируют при температуре 37 °С в течение 24-48ч. Предположительное присутствие коагулазоположительных стафилококков определяется по редукции теллурита калия и яично-желточной реакции (лецитиназной активности).

На агаре с кроличьей плазмой и бычьим фибриногеном после инкубирования присутствие коагулазоположительных стафилококков определяется по типичным колониям, показавшим специфичную реакцию (бычий фибриноген/кроличья плазма).

Подтверждение принадлежности типичных и (или) атипичных колоний к коагулазоположительным стафилококкам проводят по изучению отношения выявленных микроорганизмов к окраске по Граму, определению присутствия у них каталазы и коагулазы.

Результаты выявления коагулазоположительных стафилококков и S. aureus выражают: "обнаружены" или "не обнаружены" в см3 или граммах продукта.

Определение бактерий рода Salmonella

Для определения бактерий рода Salmonella в продукте используют метод по ГОСТ 31659-2012.

Сущность метода:

Метод основан на выявление бактерий рода Salmonella в определенной массе или объеме продукта. Навеску продукта массой 25 г вносят в забуференную пептонную воду, затем инкубируют при температуре (37±1) °С в течение (18±2) ч.

Среду Раппапорта-Вассилиадиса с соей (RVS-бульон) и одну из двух сред: Мюллер-Кауфман тетратионатный бульон (МКТ-бульон) или селенитовую среду - инокулируют культурой, полученной по 4.2. После посева RVS-бульон инкубируют при температуре (41,5±1,0) °С в течение (24±3) ч, а МКТ-бульон и селенитовую среду - при температуре (37±1) °С в течение (24±3) ч., затем культуры пересевают пересевают на две селективные агаризованные среды; далее колонии, предположительно относящиеся к бактериям рода Salmonella, полученные на чашках, идентифицируют с помощью биохимических и серологических тестов.

Определение Listeria monocytogenes

Для определения Listeria monocytogenes используют метод по ГОСТ32031-12.

Сущность метода:

Метод основан на определении наличия или отсутствия Listeria monocytogenes в определенной массе (25,0г) или объеме продукта.

Метод выявления бактерий L. monocytogenes в определенной массе или объеме продукта состоит из четырех последовательных этапов:

первичное обогащение анализируемой пробы в жидкой среде со сниженной концентрацией селективных компонентов (полуконцентрированный бульон Фразера) при температуре 30 °С в течение 24 ч.

вторичное обогащение посевного материала, полученного в жидкой среде с полной концентрацией селективных компонентов (бульон Фразера) при температуре (37±1) °С в течение 48 ч.

пересев посевного материала, параллельно на две плотные селективные среды:

а) первая среда (обязательная): ALOA;

б) вторая среда: одна из плотных селективных сред, на выбор лаборатории.

Посевы на ALOA культивируют при температуре (37±1) °С и просматривают через (24±3) ч, а при необходимости еще через (24±3) ч, контролируя наличие роста характерных для L. monocytogenes колоний.

Посевы на второй селективной среде культивируют при соответствующей температуре и просматривают на наличие роста колоний с характерным для бактерий рода Listeria ростом после определенного времени.

Идентификация отобранных колоний: пересев колоний, с характерным ростом для бактерий рода Listeria и вида Listeria monocytogenes на плотные питательные среды и культивирование при температуре (37±1) °С в течение (24±3) ч и их идентификация по соответствующим морфологическим, культуральным и биохимическим признакам.

Определение количества мезофильных аэробных и факультативно-анаэробных микроорганизмов

Для определения КМАФАнМ используют метод по ГОСТ10444.15-94

Сущность метода:

Метод основан на определении количества мезофильных аэробных и факультативно-анаэробных микроорганизмов посевом в агаризованные питательные среды предназначен для пищевых продуктов, содержащих в 1 г твердого продукта более 150 или в 1 см3 жидкого продукта более 15 колониеобразующих единиц (КОЕ) мезофильных аэробных и факультативно-анаэробных микроорганизмов.

Метод определения наиболее вероятного числа мезофильных аэробных и факультативно-анаэробных микроорганизмов предназначен для пищевых продуктов, содержащих в 1 г твердого продукта более 150 или в 1 см3 жидкого продукта менее 15 КОЕ мезофильных аэробных и факультативно-анаэробных микроорганизмов.

Определение количества БГКП (колиформы)

Для определения БГКП (колиформы) используют метод по ГОСТ 31747-12

Сущность метода:

Метод основан на выявлении в определенной навеске пищевого продукта колиформных бактерий и три метода определения их количества: метод наиболее вероятного числа (НВЧ) и методы посева в или на агаризованные селективно-диагностические среды.

Метод определения НВЧ колиформных бактерий предназначен для пищевых продуктов, содержащих в 1 г твердого продукта менее 150 или в 1 см жидкого продукта менее 15 клеток колиформных бактерий.

Метод определения количества колиформных бактерий посевом в агаризованные селективно-диагностические среды предназначен для пищевых продуктов, содержащих в 1 г твердого продукта более 150 или в 1 см жидкого продукта более 15 колониеобразующих единиц (КОЕ) колиформных бактерий.

Метод определения количества колиформных бактерий посевом на агаризованные селективно-диагностические среды предназначен для пищевых продуктов, содержащих в 1 г твердого продукта более 1500 или в 1 см жидкого продукта более 150 КОЕ колиформных бактерий.

Выводы

В ходе выполнения курсового проекта я изучил документацию для проведения подтверждения соответствия изделий колбасных вареных.

Были решены поставленные задачи курсового проекта:

изучил цели и задачи стандартизации и сертификации продукции;

рассмотрел общие положения по гармонизации стандартов на продукцию;

изучил правовые основы подтверждения соответствия;

изучил требования, предъявляемые к нормативным документам;

изучил порядок проведения декларирования продукции;

изучил цели и принципы подтверждения соответствия.

Список используемой литературы

1)      Федеральный закон «О техническом регулировании» № 184 - ФЗ от 27.12.2002 г.

) Федеральный закон «О качестве и безопасности пищевых продуктов» № 29-ФЗ от 02.01.2000 г.

)        Федеральный закон «О санитарно-эпидемиологическом благополучии населения» № 52-ФЗ от 30.03.99.г.

) Закон РФ «О защите прав потребителей» № 2300-1 от 07.02.1992г.

) Технический регламент таможенного союза « О безопасности пищевой продукции» № 021/2011 г. Технический регламент таможенного с7

) Технический регламент таможенного союза «О безопасности мяса и мясной продукции» №034/2013г. ой продукции» № 021/2011 г.

) Технический регламент таможенного союза «Пищевая продукция в части её маркировки» № 022/2011 г.

)        ГОСТ Р 52196-2011 «Изделия колбасные вареные. Технические условия».

Приложение А

АКТ №176

отбора образцов (проб)

от 10 января 2016г.

Наименование и адрес заявителя ЗАО МПК «Компур», 644073, г. Омск, ул. Солнечная 2-я, 44А______________________________________________

Наименование и адрес организации, где проводится отбор образцов (проб)

ЗАО МПК «Компур», 644073, г. Омск, ул. Солнечная 2-я, 44А_______

Наименование продукции изделия колбасные вареные «Сосиски молочные» мясной продукт категории Б охлажденные___________________

Наименование изготовителя и страны ЗАО «Компур», Россия_______

Объем патии_200 килограмм____________________________________

Результаты наружного осмотра партии упаковка чистая, целая , без повреждений. Маркировка четкая, легко читаемая ______________________

Состояние упаковки, маркировки

Дата выработки (срок годности)_09.01.2016г. Срок годности в течение 20 суток, при температуре хранения от 0 до 6 °С________________________

Проба (образец) отобраны в соответствии с _ГОСТ 9793-73__________

Количество отобранных образцов__5 кг _________________________

Масса упаковочной единицы

Для испытаний__3 кг _________________________________________

Для контрольных образцов_2 кг ________________________________

Цель отбора: испытания продукции по показателям безопасности в соответствии с требованиями ТР ТС 021/2011(прил.1,2), ТР ТС 034/2013 (прил.3), ГОСТ Р 52196-2011__

Подписи:

__________________          Генеральный директор

предприятия: П.А Пименов

__________________          Эксперт: Е.С. Фитов___

Приложение Б

ИЦ БУ Омской области Аккредитованная испытательная лаборатория «Омская областная ветеринарная Аттестат аккредитации рег. номер RA. RU.21ПХ92

лаборатория» от 23.07.2015

г. Омск -31, ул. 10 лет Октября,203А

ПРОТОКОЛ ИСПЫТАНИЙ

№ П-2151 от «15» января 2016 г.

Наименование продукции изделия колбасные вареные «Сосиски молочные» » мясной продукт категории Б охлажденные_________________

Изготовитель _Россия, ЗАО МПК «Компур» ____________________

страна, предприятие, фирма

Размер партии __200 кг______ ______________________________

вагон, контейнер, упаковка - общей массой (кг)

Дата изготовления_09.01.2016г _______________________________

Количество проанализированных образцов__3кг_________________

шт. масса

Предъявитель образцов ЗАО МПК «Компур», 644073, г. Омск, ул. Солнечная 2-я, 44А

наименование, адрес

Отбор проб и подготовка к испытаниям технолог Черникова Е.Н. 10.01.2016 г.__

Ф.И.О, должность, дата

ГОСТ 9793-73

НД на отбор проб

Исследования проведены на соответствие требованиям_ ГОСТ Р 52196, ТР ТС 021/2011 (прил.1,2), ТР ТС 034/2013_(прил.3)______________

Результаты испытаний

.1 Органолептические показатели:

Внешний вид: Батончики с чистой сухой поверхностью

Консистенция: Нежная, сочная

Цвет и вид фарша на разрезе: Светло-розовый фарш, однородный, равномерно перемешан

Запах и вкус: Свойственный данному виду продукта с ароматом пряностей, в меру соленый

Форма и размер: Открученные батончики длиной 10 см, в оболочке диаметром 20 мм

.2 ПОКАЗАТЕЛИ

№ п/п

Наименование показателей

Ед.изм.

Значение показателей

НД на методы испытаний




Допустимые уровни

По результатам испытаний

Характеристика погрешности


1

М.д. белка, не менее

%

11

18

±1

ГОСТ 25011-81

2

М.д. жира, не более

%

28

19

±0,06

ГОСТ 23042-86

3

М.д.поваренной соли, не более

%

2

0,6

±0,1

ГОСТ 9957-73

4

Масссовая доля влаги, не более

%

65

62,5

±0,7

ГОСТ 9793-74

5

М.д. нитрита натрия, не более

%

0,005

0,0022

±0,0004

ГОСТ8558.1-78

6

Патогенные микроорганизмы, в т.ч. сальмонеллы

масса (г), в которой не допускается

25

не обнаружены


ГОСТ 31468-12

7

L monocytogenes

масса (г), в которой не допускается

25

не обнаружены


ГОСТ 32031-12

8

БГКП (колиформы)

масса (г), в которой не допускается

1,0

не обнаружены


ГОСТ Р 54374-11


Сульфитредуцирующие клостридии

масса (г), в которой не допускается

0,001

не обнаружены


ГОСТ29185-91

9

КМАФАнМ, не более

КОЕ/ 1г

1000

560


ГОСТ Р 50396.1-10

10

S. aureus  

масса (г), в которой не допускается

1,0

не обнаружены


ГОСТ 31746-12

11

Антибио тики

Левомицетин

 Мг/кг

Не допускается (<0,01)

Менее предела обнаружения


МУК 4.1.1912-04



Тетрацик линовая группа


Не допускается (<0,01)

Не обнаружены


МУ 3049-84



Бацитра цин


Не допускается (<0,02)

Не обнаружены


МУ 3049-84


Ответственные исполнители: Зав.отд.хим. Симонова И.А. Зав.рад.отд. Лукашова Л.В.Зав.отд.хим. Симонова И.А.

Приложение В

ИЦ БУ Омской области

«Омская областная ветеринарная

лаборатория» г. Омск -31, ул. 10 лет Октября,203А

ЗАЯВЛЕНИЕ

НА ПРОВЕДЕНИЕ РЕГИСТРАЦИИ ДЕКЛАРАЦИИ

О СООТВЕТСТВИИ ПРОДУКЦИИ

____________________________ЗАО МПК «Компур»______________

наименование организации - изготовителя, продавца

_____________________________________________________________

или индивидуального предпринимателя

Банковские реквизиты ________________________________________

_____________________________________________________________

Телефон __ 71-33-12 _______ Факс _________ Телекс ______________

Просит провести регистрацию декларации о соответствии продукции изделия колбасные вареные «Сосиски молочные» мясной продукт категории Б охлажденные _____________

наименование продукции

_______________________серийный выпуск______________________

серийный выпуск, или партия определенного размера, или единица продукции

Оплата работ по регистрации гарантируется.

Заявление на регистрацию данной декларации о соответствии в другие органы по сертификации не подавалось.

Приложения:

. Декларация о соответствии.

. Копии документов, предусмотренных для данной продукции

соответствующими федеральными законами, и выданные уполномоченными на

то органами и организациями в 1 экз.

__ТС ТР 021/2011 «О безопасности пищевой продукции»; ГОСТ Р 52196-2011 «Изделия колбасные вареные. Технические условия»__________________________________________

наименование документов

. Другие копии документов, подтверждающих соответствие продукции установленным требованиям и (или) правомочность принятия декларации о соответствии

Протокол испытаний № П-2151 от 15.01.2016 «Омская областная ветеринарная лаборатория». Аттестат аккредитации RA. RU.21ПХ92 от 23.07.2015 ____

наименование документов

Руководитель организации _________ Пименов П.А._______________

Подпись инициалы, фамилия

Главный бухгалтер ______________ _Родина О.В._________________

Подпись инициалы, фамилия

М.П.

Дата_____15.02.2016______________

Приложение Г

ТАМОЖЕННЫЙ СОЮЗ

ДЕКЛАРАЦИЯ О СООТВЕТСТВИИ

Заявитель ЗАО МПК «Компур», 644073, г. Омск, ул. Солнечная 2-я, 44А ОГРН: 1025501378210.

наименование и местонахождение заявителя

в лице генерального директора Пименова П.А.

заявляет, что изделия колбасные вареные «Сосиски молочные» мясной продукт категории Б охлажденные

информация об объекте подтверждения соответствия, позволяющая идентифицировать объект Изготовитель ЗАО МПК «Компур» код ТН ВЭД ТС 1602 644073, Россия, Омская область, Омск г., ул. Солнечная 2-я, 44А наименование и местонахождение изготовителя

соответствует требованиям: ТР ТС 034/2013 «О безопасности мяса и мясной продукции», утв. Решением Совета ЕЭК от 9 октября2013г №68 ТР ТС 021/2011 "О безопасности пищевой продукции", утв. Решением КТС от 9 декабря 2011 г. № 880 ТР ТС 022/2011 "Пищевая продукция в части ее маркировки", утв. Решением КТС от 9 декабря 2011 г. № 881

ГОСТ Р 52196-2011 «Изделия колбасные вареные. Технические условия»

Декларация о соответствии принята на основании: протокола испытаний: № П-2151 от 15.01.2016 «Омская областная ветеринарная лаборатория». Аттестат аккредитации RA. RU.21ПХ92 от 23.07.2015

Дополнительная информация: Условия хранения: при относительной влажности воздуха не выше 75% и температуре от 00С до 60С. Сроки годности указываются на потребительской упаковке.


Декларация о соответствии действительна с даты регистрации по 12.02.2018 включительно.



Пименов П.А.

(подпись) М.П.


(инициалы и фамилия руководителя организации-заявителя или физического лица, зарегистрированного в качестве индивидуального предпринимателя)

Сведения о регистрации декларации о соответствии:

Регистрационный номер декларации о соответствии: ТС № RU Д-RU.ПК40.В.00772

Дата регистрации декларации о соответствии: ______06.03.2015__________


Похожие работы на - Декларирование соответствия продукта 'Сосиски молочные' - мясной продукт категории 'Б' производства ЗАО МПК 'Компур'

 

Не нашли материал для своей работы?
Поможем написать уникальную работу
Без плагиата!
Без нейросетей!