Биохимические процессы, происходящие при обработке молока и выработке мороженого и сыра

  • Вид работы:
    Контрольная работа
  • Предмет:
    Другое
  • Язык:
    Русский
    ,
    Формат файла:
    MS Word
    532,04 Кб
  • Опубликовано:
    2014-06-14
Вы можете узнать стоимость помощи в написании студенческой работы.
Помощь в написании работы, которую точно примут!

Биохимические процессы, происходящие при обработке молока и выработке мороженого и сыра

Оглавление

1. Виды брожения молочного сахара

. Вязкость и поверхностное натяжение молока

. Биохимические процессы, происходящие при холодильной обработке молока (охлаждение, замораживание)

. Процессы, протекающие при выработке мороженого

. Образование вкусовых и ароматических веществ сыра

. Структурно-механические свойства масла

. Концентраты сывороточных белков

. Факторы, вызывающие перекисную деструкцию липидов. Биогенные и синтетические антиоксиданты в практике животноводства

. Сыропригодность молока

Библиографический список

1. 
Виды брожения молочного сахара


Брожение - это процесс глубокого распада молочного сахара (без участия O2) под действием ферментов микроорганизмов.

При брожения молочного сахара распадается на более простые соединения: кислоты, спирт, углекислый газ, водород и т.д.

Брожение протекает на 2 стадии. На первой стадии лактоза под влиянием лактозы распадается на моносахариды.


Виды брожения:

) Молочное брожение - это основной процесс при производстве кисломолочных продуктов, сыров и кислосливочного масла. Почти исключительно данный вид брожения протекает при производстве простокваши и ацидофильного масла.

С6Н12О63Н6О6

Гексоза молочная кислота

Гомоферментативные бактерии. Более характерным признаком при делении молочнокислых бактерий на группы является путь сбраживания глюкозы. Гомоферментативные бактерии: Str. lactis, Str. cremorus, Str. diacetilactis и палочки. Они сбраживают глюкозу по гликолитегаскому пути.

Гетероферментативные: Leuc. citrovorum, dextranicum, brevis - пентозофосфатным путем.

Механизм гомоферментативного молочнокислого брожения: глюкозы → жировые кислоты → молочная кислота (из 1 моль глюкозы образуется 2 моль молочной кислоты). Молочная кислота может существовать в двух изомерах L (+) и D (-). Большинство штампов молочнокислых и Lbm. bifidum преимущественно продуцируют (+)- молочную кислоту. Болгарские палочки и лейконосгоки - в основном D(-) форму Lbm. helveticum, Lbm. plantarum и Lbm. acidoplibum - оба изомера в почти одинаковых количествах. Следовательно, соотношение между этими изомерами в кисломолочных продуктах будет зависеть от вида используемых для заквасок молочнокислых бактерий.

Побочные продукты - летучие и нелетучие органические кислоты, глицерин, спирты, ацетон, ацетоин, диацетил, бутиленгликоль и пр.

Гетероферментативное молочнокислое брожение. Бактерии этой группы не могут сбраживать глюкозу по глюколитическому пути, а по пентозофосфатному, то есть из каждого моль глюкозы образуются моль молочной кислоты, моль этанола и СО2. Бифидобактерии сбраживают глюкозу до уксусной и молочной кислоты (уксусной в 1,5 раза больше, чем молочной).

) Спиртовое брожение - вызывают специальные молочные дрожжи. Оно протекает при выработке кефира, кумыса и ацидофилно-дрожжевого молока.

С6Н12О62Н5ОН+2СО2

Гексоза этанол

) Пропионовокислые брожение - играет большую роль в созревании сыров с высокой температурой второго нагревания (швейцарский, советский сыр и т.д.)

С12Н22О11+3Н2О8СН3СН2СООН+4СН3СООН+4СО2+4Н2О

Лактоза пропионовая кислота уксусная кислота

) Маслянокислые брожение - при производстве молочных продуктов данный вид брожения не желателен, т.к. является причиной появления в кисломолочном продукте неприятный вкус и запах, а в сырах вспучивания.

С6Н12О6 С3Н7СООН + 2СО2 + 2Н2

Гексоза масленая кислота

5) Уксуснокислое брожение. Под действием уксуснокислых бактерий этиловый спирт окисляется в уксусную кислоту, уксуснокислые бактерии как типичные аэробы появляются на поверхности молочных продуктов и часто являются спутниками дрожжей.

Уравнение: +Н2О +1/2 О2

СН3СН2ОН → СН3СНО → СН3СН(ОН2) → СН3СООН + Н2О

 

. Вязкость и поверхностное натяжение молока


Вязкость, или внутреннее трение, нормального молока при 20°С в среднем составляет 1,8 • 10-3 Па • с с колебаниями от 1,3 • 10-3 до 2,2 • 10-3 Па•с. Она зависит главным образом от содержания белков и жира, дисперсности мицелл казеина и шариков жира, степени их гидратации и агрегирования. Сывороточные белки и лактоза незначительно влияют на вязкость молока.

В процессе хранения и обработки молока (перекачивание, гомогенизация, пастеризация и т.д.) вязкость молока повышается. Это объясняется увеличением степени диспергирования жира, укрупнением белковых частиц, адсорбцией белков на поверхности шариков жира и т.д.

Практический интерес представляет вязкость сильно структурированных молочных продуктов - сметаны, кисломолочных напитков и пр. Вязкость этих продуктов, обусловленная образованием внутренних структур, отличается от истинной вязкости ньютоновских жидкостей (к которым можно условно отнести цельное молоко). При течении неньютоновских жидкостей вязкость зависит от напряжения сдвига и градиента скорости.

Для них введено понятие «эффективная вязкость», которое характеризует равновесное состояние между процессами восстановления и разрушения структуры в установившемся потоке (А.В. Горбатов), Эффективная вязкость простокваши, ацидофилина и сметаны 30%-й жирности составляет 445,1791 и 305 Па • с • 10-3, соответственно.

Поверхностное натяжение молока (сила, действующая на единицу длины границы раздела фаз молоко-воздух) ниже поверхностного натяжения воды (72,7 • 10-3 Н/м) и при 20оС равно около 44 • 10-3 Н/м. Более низкое по сравнению с водой значение поверхностного натяжения объясняется наличием в молоке поверхностно-активных веществ (ПАВ) - фосфолипидов, белков, жирных кислот и т.д. Поверхностное натяжение молока зависит от его температуры, химического состава, состояния белков, жира, активности липазы, продолжительности хранения, режимов технологической обработки и т.д.

Так, поверхностное натяжение снижается при нагревании молока и особенно сильно при его лигголизе, так как в результате гидролиза жира образуются ПАВ - жирные кислоты, ди- и моноацилглицернны, понижающие величину поверхностной энергии.

Натяжение в молоке возникает также на границе раздела других фаз - жир-плазма и воздух-плазма, способствуя образованию гидратных оболочек шариков жира и пены. Пенообразование имеет большое значение для некоторых процессов переработки молока, например для процесса маслообразования, фризерования смеси при производстве мороженого и др. Вместе с тем пенообразование при получении, транспортировке, перекачивании, сепарировании и сгущении молока отрицательно влияет на качество получаемых молочных продуктов, так как способствует дестабилизации жировой эмульсии, липолизу и окислению свободного жира.

3. Биохимические процессы, происходящие при холодильной обработке молока (охлаждение, замораживание)

Охлаждение

На фермах и молочных предприятиях сырое и пастеризованное молоко охлаждают и хранят при температуре 4-10°С.

Охлаждение сырого молока способствует увеличению продолжительности бактерицидной фазы. Бактерицидные свойства молока обусловливаются наличием в нем антибактериальных веществ. Их количество зависит от индивидуальных особенностей, физиологического состояния животных и изменяется в течение лактационного периода (особенно высокой антибактериальной активностью обладает молозиво).

По окончании бактерицидной фазы в молоке при высокой температуре хранения (13-15°С) начинается быстрое размножение разнообразной микрофлоры. При этом в нем могут накапливаться бактериальные токсины, вызывающие сильные пищевые отравления, появляются окисленный и прогорклый привкусы, повышается титруемая кислотность, и молоко свертывается. Поэтому температура 6-10°С является предельной для кратковременного (не более 1 сут.) хранения сырого молока. При необходимости более длительного хранения (2-3 сут.) молоко охлаждают до температуры 2-4°С. и технологические свойства молока.

При охлаждении молока жир переходит из жидкого состояния в твердое, в результате чего повышаются его вязкость и плотность. Механические воздействия (при транспортировании, очистке, перемешивании, перекачивании и т. д.) могут привести к повреждению оболочек и повышению степени дестабилизации жировой фазы. В таком молоке активнее происходят липолиз и окисление липидов.

Различают два вида липолиза, вызываемого нативными липазами: спонтанный (самопроизвольный) и индуцированный (наведенный).

Спонтанный липолиз происходит при охлаждении молока. В процессе охлаждения плазменная липаза самопроизвольно адсорбируется оболочками жировых шариков и вызывает гидролиз жира. Склонность или чувствительность молока к развитию в нем спонтанного липолиза обусловлена индивидуальными особенностями животного, рационом кормления, периодом лактации и другими факторами.

Индуцированный липолиз происходит при активировании липаз с одновременным разрушением оболочек жировых шариков в результате получения и обработки молока.

В результате липолиза в молоке увеличивается (на 30-70%) количество свободных жирных кислот, и появляются прогорклый вкус, мыльный и другие привкусы. Качество выработанных из него масла, молочных консервов и других продуктов снижается.

При длительном низкотемпературном хранении молока уменьшается средний диаметр казеиновых мицелл. Молоко медленнее свертывается сычужным ферментом, снижается интенсивность синерезиса сычужных и кислотных сгустков.

В процессе хранения в плазме молока повышается количество ионов кальция. Поэтому с увеличением продолжительности хранения термоустойчивость молока снижается, что необходимо учитывать при производстве молочных консервов. Для длительного хранения молоко следует пастеризовать и затем охладить до 4-6°С.

Хранение сырого молока при 4°С не вызывает заметного снижения содержания витаминов. Исключение составляет витамин С - он разрушается на 18% при хранении в течение 2 сут. и на 67% при хранении в течение 3 сут.

Замораживание

Изменение состава и свойств молока под влиянием низких температур зависит от температуры и скорости замораживания.

Молоко замерзает при температуре ниже - 0,54°С. В интервале от -0,54 до -3,5°С в лед превращается основная часть (80-85%) воды, процесс льдообразования практически заканчивается при температуре -30°С.

Замораживание молока при любых температурах происходит неравномерно. Вначале замерзает слой чистой воды, а в оставшейся жидкой части концентрируются компоненты молока, в том числе электролиты (соли кальция и др.), которые могут вызвать нежелательные изменения белков и жира.

При медленном замораживании незамерзшими остаются вся связанная вода (3-3,5%) и часть свободной влаги молока. В медленно замороженном молоке происходят физико-химические изменения белков, приводящие к частичной или полной их коагуляции. Оттаявшее после замораживания молоко быстрее свертывается сычужным ферментом по сравнению с обычным.

При быстром замораживании молока при температуре ниже -22°С остается незамерзшей около 3-4% воды, т.е. почти вся свободная влага переходит в лед, а в жидком состоянии находится лишь связанная влага, которая не обладает свойством растворять соли, поэтому денатурационных изменений белков не происходит.

При высоких температурах замораживания (-5...-10°С) может разрушаться жировая эмульсия. В процессе охлаждения жировые шарики отвердевают (форма их становится угловатой). В результате этих изменений нарушается целостность оболочек жировых шариков, т. е. происходит частичная дестабилизация жировой фазы с выделением свободного жира. Замороженное и оттаявшее молоко быстрее сбивается, при нагревании в нем появляются капли жира, при хранении оно более склонно к липолизу. Быстрое замораживание молока при низких температурах (ниже -22°С) предотвращает нарушение жировой эмульсии.

 

. Процессы, протекающие при выработке мороженого


Мороженое обладает высокой пищевой ценностью. Оно содержит молочный жир, белки, углеводы, минеральные вещества и витамины, легко усваивается организмом. Основной процесс, определяющий структуру и консистенцию готового продукта, - это фризерование смеси. Его протекание зависит от состава смеси, режимов пастеризации, гомогенизации, охлаждения и скорости замораживания смеси.

Содержание в смеси жира и сухого обезжиренного молочного остатка (СОМО), а также вид и количество вводимого стабилизатора влияют на структуру и консистенцию мороженого.

Увеличение в смеси количества жира и СОМО положительно действует на структуру мороженого: в продукте образуются мелкие кристаллы льда, так как создается механическое препятствие их росту. Оптимальным считается содержание СОМО в мороженом 8-12%. Содержание СОМО выше 12% сильно повышает вязкость смеси и может вызвать усиленную кристаллизацию лактозы. Выпадение относительно крупных (выше 10 мкм) кристаллов лактозы приводит к порокам мороженого - мучнистости и песчанистости. Для предупреждения пороков необходимо следить за соотношением содержания воды и СОМО. Оно должно быть не менее 6,6.

Структура мороженого также улучшается с увеличением содержания в смеси сахарозы. Сахароза снижает температуру замерзания смеси и положительно влияет на кристаллизацию воды. Однако содержание сахарозы выше 17% ухудшает консистенцию мороженого. Уменьшается его взбитость, продукт приобретает чрезмерно плотную консистенцию, быстрее плавится. Его приходится замораживать и хранить при более низких температурах.

Существенное влияние на структуру и консистенцию мороженого оказывают стабилизаторы. Все стабилизаторы обладают большой водосвязывающей способностью. Связывая значительные количества свободной воды, они повышают вязкость смесей и препятствуют образованию крупных кристаллов льда при замораживании. Мороженое приобретает мелкокристаллическую структуру и эластичную консистенцию. Кроме того, стабилизаторы обеспечивают высокую взбитость смесей, образование стойкой пены и повышают сопротивляемость мороженого таянию. Смеси, содержащие излишнее количество стабилизаторов, обладают чрезмерной вязкостью, плохо взбиваются, что обусловливает тягучую, тестообразную консистенцию мороженого.

Качество готового продукта во многом зависит от режимов пастеризации и гомогенизации смеси. Смеси для мороженого содержат больше сухих веществ по сравнению с молоком, поэтому требуют применения более высоких температур пастеризации или более продолжительных сроков выдержки. Режимы пастеризации устанавливают в зависимости от вида вырабатываемого мороженого и типа применяемого аппарата.

Гомогенизация смеси способствует улучшению структуры мороженого. В результате гомогенизации повышается дисперсность жира, увеличиваются вязкость и взбитость смеси.

Давление гомогенизации необходимо устанавливать в зависимости от содержания жира и СОМО в смеси: чем они выше, тем ниже должно быть давление.

В процессе замораживания смеси создается структура мороженого, от которой зависят консистенция и вкусовые качества продукта. Структура мороженого определяется, в первую очередь, размерами кристаллов льда. Размер кристаллов льда в мороженом хорошего качества должен составлять 20-55 мкм.

На структуру мороженого влияют скорость замораживания и степень взбитости смеси. При быстром замораживании смеси образуется много мелких кристаллов льда, размер которых незначительно увеличивается во время закалки мороженого. При медленном замораживании создается мало центров кристаллизации, при закаливании образуются крупные кристаллы льда, мороженое приобретает грубую структуру.

Взбитость смеси характеризуется степенью насыщения ее воздухом во время фризерования. Для получения мороженого хорошего качества необходимо, чтобы пузырьки воздуха были мелкими (размером не более 100 - 150 мкм), равномерно распределены по всему объему продукта. Крупные пузырьки воздуха в мороженом нежелательны. Они образуются чаще всего при слишком высокой взбитости молочных смесей. Мороженое с высокой взбитостью приобретает снежистую, или хлопьевидную, структуру. При недостаточной взбитости продукт имеет грубую структуру и очень плотную консистенцию.

Взбитость зависит от состава смеси и режимов технологической обработки. Она повышается при введении стабилизаторов, увеличении содержания СОМО и уменьшении размера жировых шариков. Взбитость понижается с повышением содержания сахарозы, жира, стабилизаторов, с образованием скоплений жировых шариков при высоких давлениях гомогенизации и т.д. Взбитость мороженого на молочной основе должна быть 50-90% и 40-70% - для мороженого на плодово-ягодной основе.

5. Образование вкусовых и ароматических веществ сыра


Биохимические процессы, протекающие во время созревания сыра, приводят к значительным изменениям его основных составных частей. Многочисленные химические соединения, являющиеся продуктами распада белков, жира и молочного сахара, влияют на вкус и аромат сыра. Все эти соединения в разной степени участвуют в формировании вкусовых особенностей сыра.

Важная роль в создании вкуса сыра принадлежит летучим жирным кислотам и карбонильным соединениям (альдегидам, кетонам), образующимся при распаде молочного сахара, аминокислот и жира. Из многих сыров выделены разнообразные летучие жирные кислоты. Так, уксусная, пропионовая, масляная, муравьиная кислоты обнаружены в твердых сырах (швейцарском, советском, голландском) и считаются основными кислотами, влияющими на вкус и аромат этих сыров. В мягких сырах в большом количестве накапливаются среднемолекулярные жирные кислоты (капроновая, каприловая, каприновая и валериановая), обладающие специфическим острым вкусом. В большинстве сыров обнаружены различные альдегиды, из которых метиональ обладает сильным сырным запахом и считается важным компонентом вкуса и аромата российского сыра и чеддера. В создании вкуса и аромата рок- фора и других мягких сыров участвуют метилкетоны, образующиеся при окислении жирных кислот.

На вкус сыров существенно влияют продукты распада белковых веществ - пептиды и аминокислоты. В первой половине периода созревания сыров вследствие накопления большого количества пептидов ощущается горьковатый привкус, но затем по мере их гидролиза горечь исчезает и сыр приобретает специфический для него вкус. Все виды сыров содержат свободные аминокислоты, многие из которых имеют выраженный вкус. Сладкий вкус характерен для аланина, пролина, глицина, горький - для триптофана, лейцина, бульонный - для глутаминовой кислоты.

Накопившиеся в процессе протеолиза свободные аминокислоты могут оказывать влияние на вкус и запах сыров, так как некоторые из них имеют выраженный вкус, например сладкий вкус имеют глицин, пролин, аланин, серии; горький - аргинин, гистадин, триптофан и лейцин; сладко-горький - валин, треонин, фенилаланин; кислый - глутаминовая и аспарагиновая кислоты, сернистый - цистин и метионин.

Вместе с тем более сильное влияние на вкус и запах молочных продуктов оказывают продукты дальнейшего превращения аминокислот (органические кислоты, альдегиды, амины и пр.).

К процессам диссимиляции аминокислот относятся peaкции дезаминирования, переаминирования, декарбоксилирования и др.

Дезаминирование аминокислот. На первой стадии разложения аминокислот микроорганизмами происходит их дезаминирование, в ходе которого отщепляется б-аминогруппа. Процесс дезаминирования аминокислот в зависимости от условий среды может идти окислительным, гидролитическим и восстановительным путями. При этом образуются различные кето-, окси- и карбоновые кислоты: пировиноградная, пропионовая, б-кетоглутаровая, янтарная, изомасляная, изовалериановая, яблочная и др.

Окислительное дезаминирование сопровождается образованием кетокислот:


При гидролитическом дезаминировании образуются оксикислоты:


В результате восстановительного дезаминирования образуются карбоновые кислоты:


Наиболее часто разложение аминокислот молочнокислыми бактериями и другими микроорганизмами в молочных продуктах идет по пути окислительного дезаминирования, приводящего к образованию аммиака и б-кетокислот. б-Кетокислоты могут далее восстанавливаться в оксикислоты или подвергаться декарбоксилированию. Так, при дезаминировании аминокислот под действием некоторых штаммов Lac. lactts, дроюкей и микрококков образующиеся кетокислоты декарбоксилируются до соответствующих альдегидов:


Таким образом, кетометилвалериановая кислота, образующаяся при дезаминировании лейцина, под воздействием декарбоксилазы превращается в изовалериановый альдегид:


Аналогичным путем из валина образуется изомасляный альдегид, из аланина - уксусный альдегид, из фенилаланина - фенилуксусный и т.д.

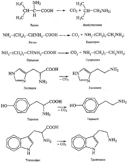
Декарбоксилирование и другие изменения аминокислот. Важным биохимическим процессом, осуществляемым микроорганизмами при выработке разнообразных молочных продуктов, особенно сыров, является декарбоксилирование аминокислот, в результате которого образуется диоксид углерода (углекислый газ) и соответствующий амин:


Например, при декарбоксилировании глицина образуется метиламин, у-аминомасляной - пропиламин, валина - изобутиламин, лизина - кадаверин, орнитина - путресиин, гистидина - гистамин, тирозина - тирамин, триптофана - триптамин, например:


Данные амины обладают ярковыраженными вкусовыми свойствами. Многие из них имеют неприятный вкус и запах (аммиачный, рыбный и др.), однако при небольших концентрациях могут играть важную роль в формировании аромата некоторых сыров (российский, чеддер и др.).

Кроме процессов дезаминирования, переаминирования и декарбоксилирования возможны и другие ферментативные и неферментативные изменения аминокислот. Например, возможен ферментативный распад аминокислот при взаимодействии с дикарбонильными соединениями (пировиноградной, щавелевоуксусной кислотами и др.). При этом одновременно с декарбоксилированием аминокислоты происходит ее переаминирование с дикарбонильным соединением. В результате из аминокислоты образуется альдегид, а из дикарбонильного соединения - аминокетон, то есть идет реакция типа реакции разложения аминокислот по Штреккеру.

Так, важный компонент аромата сыров альдегид метиональ (3-метилтиопропаналь) образуется из метионина:


Аналогичным путем из цистеина образуется другой компонент аромата сыров - меркаптоацеталъдегид:


Под действием ферментов бактерий Brevibacteriutn linens (а также гнилостных бактерий) в мягких слизневых сырах серосодержащие аминокислоты распадаются с выделением сероводорода, сульфидов, имеющих характерный запах.

6. Структурно-механические свойства масла


Сливочное масло обладает комплексом разнообразных свойств, характеризуемых такими показателями, как термоустойчивость, восстанавливаемость структуры, вытекание жидкого жира, дисперсность влаги и др.

Термоустойчивость (КТ) - способность масла сохранять форму при повышенных температурах. Она определяется термостатированием цилиндрического образца масла диаметром 20 мм и высотой 20 мм при температуре 30°С в течение 2 ч. Мерой термоустойчивости служит отношение начального диаметра образца масла к среднему диаметру основания образца D1, полученному после термостатирования

Для характеристики термоустойчивости масла пользуются шкалой, приведенной ниже.

Термоустойчивость Величина КТ

Хорошая 1,0-0,86

Удовлетворительная 0,85-0,70

Неудовлетворительная Менее 0,7

Вытекание жидкого жира (М в ж) - способность структуры сливочного масла удерживать жидкий молочный жир (предложен В. Мором и К. Бауэром, модифицирован Э. Ставровой и А. Транчевой). Пробу масла в форме кубика со стороной 3,5 см помещают на 5 слоев фильтровальной бумаги, уложенной в чашку Петри. Кубики выдерживают в термостате при 25оС в течение 24 ч. После этого пробу охлаждают при 5°С в течение 30 мин, осторожно удаляют с бумаги остатки масла.

Восстанавливаемость структуры (Кв) характеризует степень обратимости связей в структурной сетке образца.

Кислотность масла характеризует наличие в нем молочной кислоты, кислых солей, а также свободных жирных кислот молочного жира; выражают в градусах Кеттсторфера (°К) - число миллилитров однонормального раствора щелочи, израсходованного на нейтрализацию 100 г масла. Кислотность сладкосливочного масла составляет 0,6-1,2°К, а кислосливочного-1,5-2,5°К.

К важнейшим физическим характеристикам молочного жира относятся температура плавления, температура отвердевания, температура полного отвердевания, показатель преломления и число рефракции.

Температура плавления молочного жира - температура, при которой высокоплавкая фракция молочного жира полностью переходит в жидкое состояние; она составляет 28-36°С.

Температура отвердевания молочного жира-температура, при которой начинают появляться первые кристаллы высокоплавкой фракции. Эта характеристика колеблется от 18 до 24°С.

Температура полного отвердевания молочного жира - это температура, при которой кристаллизуется самая легкоплавкая фракция молочного жира.

Она колеблется от -40°С до -36°С.

Показатель преломления - оптическое свойство молочного жира, характеризующее его способность преломлять световую волну определенной длины. Обычно табличные показатели преломления приводятся для длины волны 589 нм, излучаемой натровой лампой. Молочный жир при температуре 40°С имеет показатель преломления 1,453-1,462. По показателю преломления рассчитывают число рефракции, которое для молочного жира находится в пределах от 40 до 45.

Оптическая плотность (Э) служит мерой непрозрачности слоя вещества для световых лучей; она выражается десятичным логарифмом отношения потока излучения Nо, падающего на слой, к прошедшему через этот слой N.

Э = lg (No/N)

Оптическая плотность молочного жира при длине волны 450 нм и температуре 50°С составляет 0,220-0,586.

Химический состав молочного жира можно характеризовать или количественным содержанием жирных кислот (газожидкостная хроматография), или с помощью так называемых констант, или чисел. Важнейшими химическими числами молочного жира являются следующие.

Йодное число - условная величина, представляющая собой число граммов йода, присоединившегося к 100 г жира, и выраженная в процентах. Оно позволяет судить о степени ненасыщенности жирных кислот, входящих в состав жира. Йодное число в течение года изменяется от 25 до 45.

Число омыления характеризует среднюю молекулярную массу смеси свободных жирных кислот, входящих в состав глицеридов жира; определяется количеством миллиграммов едкого калия, необходимого для омыления глицеридов и нейтрализации свободных жирных кислот в 1 г жира. Число омыления молочного жира находится в пределах от 220 до 234.

Под числом Рейхерта-Мейссля понимают условную величину, выражаемую числом миллилитров децинормального раствора едкого калия, необходимого для нейтрализации растворимых в воде летучих жирных кислот, выделенных из 5 г жира; показатель характеризует содержание низкомолекулярных жирных кислот (масляной и капроновой). Молочный жир имеет данное число 20- 32, тогда как говяжий, свиной и бараний жиры - 0,1-1,2, а подсолнечное, хлопковое, кукурузное, соевое и кокосовое масло - 0-8. Указанное различие используют для определения натуральности молочного жира при подозрении на фальсификацию.

Число Поленске характеризует количество низкомолекулярных летучих нерастворимых в воде жирных кислот (каприловой и каприновой) в 5 г жира. Молочный жир имеет число Поленске 1,9-5.

Структура масла, ее влияние на вкус, запах, цвет, консистенцию и хранимоспособность:

Под структурой масла понимают форму, размеры, распределение и взаимосвязь элементов, из которых она слагается. Твердость, пластичность и другие механические характеристики масла определяются его структурой. С последней также тесным образом связаны консистенция, вкус, цвет и стойкость масла при хранении.

Невооруженным глазом и при небольшом увеличении можно наблюдать макроструктуру, а с помощью светового и электронного микроскопов - микро- и ульстраструктуру сливочного масла.

Уже первые наблюдения тонких срезов масла под микроскопом, выполненные Ф. Шторхом в 1883 г., выявили основные структурные элементы масла, которыми оказались неповрежденные жировые шарики с оболочками, капли влаги, частицы белка и пузырьки воздуха.

Представления о структуре масла тесно связаны с теоретическими воззрениями маслообразования. И по мере совершенствования последних менялись и взгляды на структуру масла. Наиболее распространенной точкой зрения на процесс образования масла является представление об обращении фаз. биохимический вкусовой ароматический молочный

Может показаться, что непрерывность жировой фазы исключает даже возможность существования непрерывной водной фазы, так как массовая доля влаги в сладкосливочном масле примерно равна 16%. Однако наблюдения за диффузией водорастворимых веществ (метиленовой сини, растворов солей и кислот) подтвердили, что наряду с жировой фазой непререрывной является и водная. Это становится возможным благодаря тому, что жировую фазу пронизывает сетка из оболочек жировых шариков.

Электронно-микроскопические исследования позволили более глубоко изучить отдельные элементы ультрамикроструктуры масла. Определены размеры казеиновых частиц, наличие межфазных пленок вокруг капелек водной фазы; в структуре масла, выработанного методом сбивания, выявлены отдельные микрозерна жира, а в масле, полученном методом преобразования высокожирных сливок, такие микрозерна не обнаружены.

 

. Концентраты сывороточных белков


Концентраты сывороточных белков (КСБ) получают с помощью ультрафильтрации или диафильтрации (полученный концентрат разбавляют водой и повторно фильтруют, чтобы удалить лактозу и минеральные вещества). Ультрафильтрация позволяет выделить из сыворотки белки в неденатурированном нативном состоянии, что повышает их растворимость и биологическую ценность. К ним относят концентрат КСБ-УФ и растворимый сывороточный белок РСБ, широко используемые как белковые добавки при производстве детских молочных продуктов и питания для спортсменов.

Методами ультрафильтрации и диафильтрации также вырабатывают молочно-белковые добавки (ДМБ) из пастеризованного обезжиренного молока и пахты. Их выпускают жидкими (с содержанием белка от 14,5 до 19,5%) и сухими с количеством белка от 60 до 80%. Молочно-белковые добавки успешно применяют в молочной и мясной промышленности.

Концентрат сывороточных белков - сывороточный белковый концентрат уникален тем, что даёт как функциональные, так и оздоровляющие преимущества, так как его биологическая ценность выше, чем у других белков. Продукт обладает высоким содержанием серосодержащих аминокислот, важных для боисинтеза глютатина, трипептида с антиоксидантом, антиканцерогенного и иммуностимулирующего эффекта. Также, это самый высокосодержащий естественный источник незаменимых аминокислот, способствующих синтезу мышечного белка.

8. Факторы, вызывающие перекисную деструкцию липидов. Биогенные и синтетические антиоксиданты в практике животноводства


Под действием кислорода воздуха жиры окисляются, причем даже на ранних стадиях окисления это приводит к снижению пищевой ценности, а в дальнейшем к их порче (появление неприятных запаха и вкуса, иногда изменение цвета и консистенции жира). В отличие от окисления химическими реагентами (азотная кислота, марганцовокислый калий и т.п.) окисление жиров и других органических веществ кислородом воздуха часто называют самоокислением, хотя для краткости обычно говорят об окислении.

Присутствие перекисей установлено даже в свежевыработанных жирах, так как их окисление начинается уже в процессе технологической переработки: при подготовке жира-сырца к выплавке, во время выплавки и последующих операций. В связи с этим большое влияние на образование и накопление перекисей оказывает способ производства жиров. Перекисные числа жира, вытопленного в открытом котле, находятся в пределах 0,013-0,035, а выплавленного на центробежной машине - 0.000-0,025% йода.

Чем меньше энергия активации Е, тем легче протекает реакция между двумя реагирующими химическими соединениями. В реакции двух молекулярных соединений энергия активации составляет обычно более 100 кДж/моль. В случае реакции свободного радикала с молекулой энергия активации очень невелика или равна нулю, т.е. Е лежит в пределах 0-40 кДж/моль.

Устойчивость жиров к окислению не только в исследовательских, но и практических целях принято характеризовать длиной индукционного периода, т. е. отрезка времени, в течение которого резко выраженных изменений в них не наблюдается. В начале индукционного периода не обнаруживаются продукты окисления, доступные химическому определению. Позже обнаруживаются перекиси и при достаточном их накоплении окисление начинает развиваться с возрастающей скоростью. Индукционный период заканчивается, а кривая накопления перекисей резко поднимается.

Наличие следов металлов способствует порче животных жиров, называемой осаливанием. В практике осаливание наблюдается, например, при чрезмерно интенсивной механической обработке жиров в металлической аппаратуре или при длительном хранении в металлической таре. Осаливание протекает без значительного накопления перекисей. Основными продуктами окисления в этом случае являются оксикислоты, но возможно присутствие продуктов полимеризации и следов специфических карбонильных соединений.

Каталитическая активность металлов переменной валентности значительно повышается, если они связаны с некоторыми специфическими органическими соединениями, и особенно с белками. Пигменты мяса и крови - миоглобин и гемоглобин, а также их производные являются сильными катализаторами окисления липидов. Это, в частности, подтверждается ускорением окисления линолеата в присутствии экстрактов мышечной ткани свиней. Гемоглобины разных животных незначительно отличаются по каталитическому действию на процесс окисления линолеата. Понижение температуры лишь в умеренной степени способствует уменьшению скорости окисления, катализированного пигментами мяса и крови.

Ускорение реакции окисления жира в присутствии пигментов мяса зависит от прямой реакции гидроперекисей жирных кислот с гемовыми пигментами, которые катализируют эту реакцию. Реакция протекает с образованием свободных радикалов по схеме:


Окисление жира колбасных изделий ускоряется в присутствии поваренной соли и нитрита. Влияние хлористого натрия на ускорение окисления жиров не имеет еще исчерпывающего объяснения, но известно, что присутствие в поваренной соли небольших количеств железа приводит к быстрой порче жиров,

Задержка сырья перед обработкой, высокая температура, присутствие атмосферного кислорода, контакт с металлическим оборудованием, длительная обработка, влияние света в процессе выработки жиров, а также неправильные условия хранения готового продукта способствуют появлению и нарастанию перекисей.

Между величиной перекисного числа и органолептической оценкой качества жиров и жирсодержащих продуктов существует определенная зависимость, так как параллельно с накоплением перекисей в них появляются и накапливаются вещества, придающие жиру прогорклый запах и вкус.

Доказано вредное действие окисленных жиров на животный организм. Например, скармливание цыплятам небольших количеств окисленного животного жира приводит к задержке роста и полового развития. Из неомыляемой фракции окисленного говяжьего жира выделены вещества, вызывающие при содержании их в пище в количестве 10-5-10-6% заболевания цыплят (асцит, гидроперикард, эдема).

Вредное действие на организм окисленных жиров может быть обусловлено или прямым их токсическим действием, или разрушением ими жизненно необходимых составных частей пищи вследствие окисления.

Таким образом, нет сомнений в необходимости предотвращения процессов окисления. Реакцию окисления, как и любую цепную реакцию, можно затормозить, добавляя ингибиторы (вещества, угнетающие процесс); в данном случае ингибиторы окисления, или антиокислители.

Антиоксиданты (от греч. anti- приставка, означающая противодействие, и oxys-кислый).

Синтетические и природные антиоксиданты нашли применение в кардиологии, в онкологии, в лечении нейродегенеративных и многих других заболеваний. Их используют в сельском хозяйстве как стимуляторы роста растений и средства для профилактики и лечения заболеваний у животных и птиц.

Молекулы ингибиторов обладают ослабленной связью In-Н, энергия которой составляет 250-290 кДж/моль. Энергия связи Р-Н окисляющегося субстрата значительно выше (335-234 кДж/моль), вследствие чего свободные радикалы, ведущие цепь окисления, реагируют преимущественно с молекулами ингибитора, а не с молекулами субстрата.

Реакцию торможения можно записать следующим образом-

InH+RO2 (или R)→RO2H (иди RH) + In

где In - неактивный радикал ингибитора.

Радикал In, обладая очень малой активностью, не способен к продолжению цепи и гибнет, вступая в реакцию рекомбинации с другими, такими же малоактивными свободными радикалами:

In+In→In-In,

где In - In - стабильный продукт.

При этом на каждый акт обрыва цепей расходуется одна молекула антиокислителя и, следовательно, концентрация его в ходе процесса окисления непрерывно снижается. После того как будет израсходован весь ингибитор, цепной процесс возобновится и будет развиваться почти с той же скоростью, как и до внесения ингибитора.

Возможна и другая реакция гибели малоактивного свободного радикала In в случае его возникновения из веществ фенольной природы. При большой концентрации в системе свободных радикалов RO2 или R2 становится возможным взаимодействие их с малоактивными свободными радикалами ингибитора:

In+RO2 (или R)→InRО2 (или InR).

Из цепной теории торможения процессов окисления видно, что вводить ингибиторы следует на возможно более ранней стадии технологического процесса изготовления жира, когда в системе свободных радикалов еще немного. Некоторые антиокислители способны тормозить процесс и на довольно глубоких стадиях окисления, но они быстро расходуются и поэтому их действие кратковременно.

Цепную реакцию окисления можно затормозить не только увеличив обрыв цепей, как это имеет место в случае фенольных и некоторых других антиокислителей, но и уменьшив скорость образования свободных радикалов по реакции вырожденного разветвления. Введение в окисляющуюся систему веществ (например, некоторых тиосоединений), взаимодействующих с гидроперекисью без образования свободных радикалов, дает возможность уменьшить скорость реакции окисления.

Сернистые соединения значительно менее активны в торможении процессов окисления, чем, например, ингибиторы типа алкилфенолов. Однако после добавления в окисляющуюся систему вместе с фенольным антиокислителем они значительно повышают эффективность его действия. При этом индукционный период оказывается больше, чем сумма индукционных периодов, обусловленная каждым веществом порознь. Такое неаддитивное ингибирующее действие совместной добавки двух (или более веществ) получило название синергизма.

Синергистами в процессах ингибированного окисления принято называть вещества, которые сами или совсем не обладают антиокислительным действием, или являются слабыми антиокислителями, но увеличивают эффективность действия других ингибиторов К синергнетам относят некоторые тиосоединения, фосфатиды, органические и неорганические кислоты, аминокислоты, полифосфаты и др.

Перечисленные группы веществ настолько разнообразны с химической точки зрения, что нельзя предположить существования общего для них механизма синергетического действия. Одно считается несомненным, что в случаях синергизма каждый из двух компонентов по-разному участвует в процессе ингибирования окисления. Исключение составляют случаи синергизма двух соединений одной и той же природы, например, алкилфенолов. Здесь трудно предположить, чтобы торможение процесса окисления происходило по разным механизмам для каждого соединения.

Для некоторых синергистов считается правдоподобным представление о механизме их действия как доноров водорода, что приводит к восстановлению первоначальной формы антиокислителей. Например, обратимое превращение хинона в гидрохинон создает возможность, при которой одна и та же молекула ингибитора обрывает несколько цепей. Этим механизмом процесса и объясняется резкое повышение эффективности действия ингибитора. Аскорбиновая кислота и ее жирнокислотные моноэфиры легко окисляются и восстанавливаются.

Благодаря способности отдавать атомы водорода эти соединения могут регенерировать окислившиеся фенольные антиокислители. Одновременно аскорбиновая кислота является дезактиватором металлов, образуя нейтральные однометаллические соли за счет одного из енольных атомов водорода. Дезактиваторы применяют в тех случаях, когда в процессе окисления окисляющаяся система находится в контакте с металлической поверхностью, и, коррозируя ее, образует солевые катализаторы из металлов переменной валентности.

Сильным дезактиватором металлов является лимонная кислота, которая образует с ионами металлов комплексные соединения, способные связывать содержащиеся в жирах следы железа и выводить их из реакции. Полиоксисоединения - сорбит, сахара и их производные- также обладают способностью связывать металлы.

Благодаря явлению синергизма появилась возможность повышения антиокислительной эффективности ряда веществ и, кроме того, уменьшения их концентрации в окисляющейся системе. Использование добавок, дезактивирующих следы металлов переменной валентности, во многих случаях попадающих в продукт в процессе его технологического изготовления, усиливает торможение процесса окисления.

Таким образом, изучение механизма и химизма процессов окисления и их торможения позволило прийти к практическому применению отдельных антиокислителей и эффективных антиокислительных составов для повышения сроков хранения жиров, а в некоторых случаях и жирсодержащих продуктов.

Для удлинения сроков хранения пищевых и технических жиров, а также пищевых продуктов, содержащих жиры, применяют индивидуальные антиокислители, смеси антиокислителей, а также композиции одного или нескольких антиокислителей с различными синергистами и дезактиваторами металлов.

В России для торможения процессов окисления в животных топленых пищевых жирах разрешено применение бутилоксианизола (смесь двух изомеров) и бутилокситолуола в концентрации до 0,02%; в сухом молоке - додецилгаллата в концентраций до 0,01%, который может быть разрешен и для животных жиров.


9. Сыропригодность молока


Требования сыропригодности молока указаны в ГОСТ Р 52054-2003 «Молоко натуральное коровье - сырьё».

Показатели сыропригодности <http://xn----8sbedlakhe2axia9aoh6n.xn--p1ai/syroprigodnosti/20-pokazateli-syroprigodnosti.html>

Решающим фактором в производстве сыров является качество молока.

Качество сырья оценивается химическими, физико-химическими, биохимическими и микробиологическими показателями, а также зависит от условий получения и первичной обработки. Комплекс этих показателей определяет сыропригодность молока.

Коровье молоко должно быть чистым, без посторонних, не свойственных свежему молоку привкусов и запахов.

Молоко для сыроделия считается сыропригодным, если оно имеет оптимальное содержание белков, жира, СОМО, кальция, образует под действием сычужного фермента плотный сгусток, хорошо отделяющий сыворотку, и является благоприятной средой для развития молочнокислых бактерий.

К химическим показателям, характеризующим сыропригодность, относят состав молока: белки, минеральный состав.

Для сыроделия наиболее пригодно молоко с высоким содержанием белков: не ниже 3,1%, в том числе казеина не менее 2,6%; СОМО должно быть не менее 8,4%. При этом в молоке должно быть оптимальное соотношение: между жиром и белком - 1,1-1,25, между белком и СОМО - 0,35-0,45.

Факторы, влияющие на сыропригодность

Фальсификация молока. Любые виды фальсификации молока нарушают естественное соотношение между составными частями молока, изменяют его физико-химические свойства.

Например, при добавлении в молоко соды или аммиака происходит нейтрализация молочной кислоты, в результате чего наблюдается быстрое размножение микрофлоры, в том числе гнилостной, и такое молоко быстро портится.

Содержание жира, белков, сухого остатка, СОМО. Молоко плохо свертывается сычужным ферментом, получается дряблый сгусток, снижается выход сыра.

Ингибирующие вещества. Ингибиторы, обусловливающие естественную бактерицидность молока, при нагревании разрушаются. Однако поскольку практически все молоко, идущее на производство сыра, у нас в республике подвергается термической обработке, ингибирующие вещества существенного влияния на сыропригодность не оказывают.

Требования к молоку, заготовляемому для производства сыра, контроль качества <http://xn----8sbedlakhe2axia9aoh6n.xn--p1ai/syroprigodnosti/22-trebovaniya-k-moloku-zagotovlyaemomu-dlya-proizvodstva-syra-kontrol-kachestva.html>

Согласно данным А.В. Гудкова и А.Г. Титова наиболее важным для оценки сыропригодности сырого молока является показатель наличия ингибирующих веществ, затем в порядке снижения идут класс по пробе на редуктазу, температуре, количество спор мезофильных анаэробных бактерий, класс по сычужно-бродильной пробе, титруемая кислотность, количество психротрофных бактерий, анормального молока, колиформных бактерий, общее количество мезофильных микроорганизмов, класс по пробе на брожение и группа чистоты.

Приемка, контроль качества и сортировка молока. К приемке" допускается молоко, доставляемое в опломбированном виде в транспортных средствах, имеющих санитарный паспорт.

Приемка молока включает следующие операции: проверку сопроводительных документов, осмотр тары, органолептическую оценку молока, определение температуры, отбор проб на анализы для оценки качества молока, анализы, сортировку молока, оформление необходимой документации.

В каждой упаковочной единице (секции молочной цистерны, фляге) после перемешивания определяют органолептические показатели молока: запах, цвет и консистенцию. Оценку вкуса проводят только после кипячения пробы молока.

Ежедневно в пробах молока, идущего на изготовление сыра, определяют кислотность, группу чистоты, количество соматических клеток.

Оценка сыропригодности молока

С целью восстановления и уточнения вышеуказанных особенных требований разработаны ТУ 9811-153-0461-0209-2004 «Молокосырье для сыроделия» (табл.1).

Таблица 1

Требования к молоку для сыроделия

Показатели

Нормативные документы


ГОСТ 52054-2003

ТУ 9811-153-0461-209-2004

КМАФАнМ, КОЕ, не более

4x106

1x106

Класс по редуктазной пробе

-

I, II

Содержание соматических клеток. тыс/мл, не более

500

Кислотность, Т

16-21

16-19

Класс по сычужно-бродильной пробе, не ниже

-

II

Содержание спор лактатоосаживающих маслянокислых бактерий, н.в ч т. не более сыры с низкой температурой второго нагревания

-

13

сыры с высокой температурой второго нагревания

-

2


Для свертывания молока в сыроделии применят молоко свертывающие ферменты животного происхождения: сычужный фермент н пепсин, ферментные препараты на их основе. Промышленный препарат сычужного фермента содержит 30-40% пепсина. Используют его в виде порошка, состоящего из смеси сычужного фермента и хлорида натрия, что обеспечивает активность сычужного порошка 100 000 усл.ед. Молоко свертывающую активность определяют по количеству частей молока, свертываемых одной частью порошка при температуре 35°С в течение 45 мин.

Ход выполнения исследований

Сычужная проба

Проба характеризует способность молока к свертыванию под действием сычужного фермента. По ее результатам молоко делят на 3 класса.

Принцип метода. О способности молока к свертываемости судят по скорости (продолжительности) образования сгустка после добавления к нему раствора сычужного фермента определенной концентрации.

В пробирки пипеткой отмеривают по 10 см исследуемого молока, нагретого до 35оС. затем вносят по 2 см рабочего раствора сычужного фермента 0,03%. Содержимое тщательно перемешивают и ставят в водяную баню пли термостат при 35С для свертывания. Секундомер включают при внесении в молоко сычужного фермента. Окончание свертывания устанавливают по образованию плотного сгустка, не выпадающего из пробирки при ее осторожном перевертывании.

По продолжительности свертывания молоко делят на 3 типа (табл. 2)

Таблица 2

Оценка качества молока в зависимости от результатов сычужной пробы

Тип

Продолжительность свертывания, мин по З.Х. Диланяну по A.M. Николаеву.

1

Менее 10

15 и менее

II

10-15

25-35

III

Более 15 или совсем не свертывается

40 и более или совсем не свертывается


Оптимальным для сыроделия считается молоко II типа, характеризующееся нормальным свертыванием.

Сычужно-бродильная проба

Проба одновременно характеризует способность молока к сычужному свертыванию и наличие в нем бактерий группы кишечных палочек. Определение ведут в соответствии с ГОСТ 9225-84.

Принцип метода. Проба основана на контроле качества сгустка, получаемого после внесения в молоко раствора сычужного фермента и определенной выдержки при 37-40оС.

В стерильные пробирки наливают около 30 см моток а и 1 см3 сычужного фермента 0,5%. Затем содержимое пробирок хорошо перемешивают и ставят на водяную баню при 37-40оС. Сыропригодное молоко свертывается в течение 20 мин. молоко, обладающее слабой способностью к свертыванию, может не свернуться н через 12 ч.

По истечении 12 ч оценивают пробы. Для этого осматривают внешний вид пробы, определяют вкус и запах сыворотки, получившиеся сгустки вынимают из пробирок, укладывают на фильтровальную бумагу, слегка обсушивают и разрезают ножом на 2 части. По результатам опенки сгустка молоко относят к одному из трех классов в соответствии с табл. 3. Для сыроделия пригодно молоко I и II классов, молоко III класса непригодно.

Таблица 3

Опенка качества молока в зависимости от результатов сычужно-бродильной пробы

Класс

Качество

Характеристика сгустка

I

Хорошее

Сгусток нормальный, с гладкой поверхностью, упругий на ощупь, без глазков на продольном разрезе, плавает в прозрачной не тягучей и не горькой сыворотке

П

Удовлетворительное

Сгусток мягкий на ощупь, с единичными глазками (1-10). Сгусток разорван, но не поднялся наверх

III

Плохое

Сгусток с многочисленными глазками, губчатый, мягкий на ощупь вспучен, всплыл вверх, или вместо сгустка наблюдается хлопьевидная масса, сыворотка часто мутная


Недостаток сычужно-бродильной пробы заключается в ее длительности: результаты становятся известными после того, как молоко уже направлено в производство.

Результаты исследований проб молока обобщаются в табл. 4.

Таблица 4

Карта качества молока

Пробы молока

Класс по редуктазной пробе

Мас. доля жира, %

Мас. доля белка, %

Плотность, г/см3

Кислотность, оТ

Температура, °С

Группа по термоустойчивости

Сычужно-бродильная

Наличии ингибир

Кол-во сомат. клеток, тыс/см3

Наличие маслянокисл. бактер.

№1












№3












 

Библиографический список


1. Бредихин С.А., Юрин В.Н. Техника и технология производства сливочного масла и сыра. - М.: КолосС 2007. - 319 с.

2.      Горбатов В.М. Физико-химические и биохимические основы технологии мяса и мясопродуктов. - М.: Пищевая промышленность, 1973. - 495 с.

3. Горбатова К.К. Химия и физика молока. - СПб.: ГИОРД, 2004. - 288 с.

4. Конспект лекций по дисциплине «Биохимия молока и молочных продуктов». Федеральное агентство по образованию ФГОУ СПО «Сарапульский техникум пищевой промышленности». - 2008. - 117 с.

5. Погожева Н.Н. Технология сыроделия. - Йошкар-Ола, 2007. - 137 с.

6. Шейфель О.А. Биохимия молока и молочных продуктов. - Кемерово, 2010. - 126 с.

Похожие работы на - Биохимические процессы, происходящие при обработке молока и выработке мороженого и сыра

 

Не нашли материал для своей работы?
Поможем написать уникальную работу
Без плагиата!
Без нейросетей!