|
Радіус, м
|
199...250
|
251...450
|
451 і більше
|
|
Ширина колії
|
1535...1530 мм
|
1530...1525 мм
|
1520 мм
|
Довжина стругання прямого вістряка
визначається за формулою
стр=5133+580068×tg0,014−945173×sin(0.007395)=6265
м
Значення кутів j1 і j2,
під якими зістругують вістря прямого вістряка, визначають за формулами через
тангенси:
,
де Sо −
ширина колії в зоні вістря вістряка, приймається 1524 мм (для швидкісних
переводів − 1521 мм).
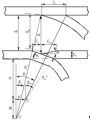
Рисунок 1.3 - Схема
стругання прямого вістряка
При виконанні цієї частини
розрахунків визначають також довжину початкової частини відігнутої рамної
рейки, що веде на бокову колію за формулою
.6 Визначення довжини рамних рейок
Довжина прямої рамної рейки залежить
від довжин вістряка, переднього та заднього вильотів, а також від прийнятого
типу кореневого кріплення.

де m1 −
довжина переднього вильоту рамної рейки;
2 −
довжина заднього вильоту рамної рейки;
− проекція
криволінійного вістряка на рамну рейку (рис. 1.5).
3945+13752+1496=19193мм
Рисунок 1.4 - Схема
стрілки
Довжина переднього вильоту
рамної рейки m1 призначається з умови забезпечення рівномірного
розкладання брусів під ним і визначається за залежністю
,
де c − нормальний
стиковий прогін, приймається згідно з табл. 1.3;
dст−
нормальний стиковий зазор, приймається 8 мм;− проміжний прогін між осями
брусів, приймається згідно табл. 1.3, повинен бути кратним 5 мм;0 −
відстань від осі першого флюгарочного бруса до вістря вістряка, у сучасних
переводів m0 = 41 мм;1 − число проміжних прогонів
під переднім вильотом рамних рейок, звичайно приймається від 5 до 9. Конкретну
кількість прогонів приймають в залежності від максимальної швидкості руху на
бокову колію (при швидкостях 40...60 км/г − 5...6, понад 60 −
7...9).
Довжина заднього вильоту
рамної рейки (див. рис.1.5) також призначається з умови розкладання брусів
,
де cк −
відстань між осями брусів у корені вістряка, мм. При кореневому стику, що
висить, можна приймати cк = c;
dк −
стиковий зазор у корені, при вкладишево − накладочному кореневому
кріпленні приймається 5 мм, при гнучких вістряках дорівнює 0; 2 −
кількість проміжних прогонів під заднім вильотом рамної рейки, звичайно
приймають 2.
Довжини рамних рейок прямого
і бокового напрямків приймаються однаковими.
.1 Визначення марки хрестовини і
довжини прямої вставки
Марка хрестовини − це тангенс
кута хрестовини, виражений простим дробом (1/N). У знаменнику знаходиться
показник марки хрестовини.
Значення кута хрестовини можна
одержати, вирішуючи рівняння проекції розрахункового контуру стрілочного
переводу АВСО на вертикальну вісь (рис.3.1):
.
Безпосередньо це рівняння
вирішити не можна, тому що у ньому є три невідомих величини:
− радіус перевідної
кривої R;
− пряма вставка d;
− кут хрестовини a (кут
хрестовини − це кут між робочими гранями сердечника хрестовини).
З рівняння очевидно, що чим
пологішим (більшим) буде радіус перевідної кривої, тим менше при одному й тому
ж значенні кута a
(тобто при незмінній марці хрестовини) буде величина прямої вставки.
Збільшенням прямої вставки можна домогтися зменшення радіуса перевідної кривої.
Збільшити пряму вставку при незмінному радіусі можна, зменшуючи кут a, тобто
шляхом уположення марки хрестовини.
Для рішення рівняння (2.1)
необхідно попередньо задатися частиною невідомих величин. Звичайно радіус
перевідної кривої у першому наближенні приймається рівним радіусу вістряка в
другій його частині, тобто
. Цим забезпечується плавність
обрису рейкової нитки по боковому напрямку і більш плавний рух екіпажів, ніж у
випадку застосування різних значень радіусів
і R.
Рисунок 2.1 - Схема
розрахункового контуру стрілочного переводу
Пряма вставка d необхідна для
того, щоб забезпечити прямолінійний напрямок руху екіпажа до входу в горло
хрестовини. Крім того, вона повинна бути такої величини, щоб забезпечити
прямолінійність робочої грані вусовика в передній частини хрестовини і
сердечника по боковому напрямку (це необхідна умова симетричності хрестовини
щодо її бісектриси − при цьому хрестовина буде однаковою для лівого і
правого переводів). Для виконання першої умови пряма вставка повинна бути не
менше 2 м, другої − пряма вставка повинна бути більшої за передню частину
хрестовини на довжину половини накладки (накладка так, як і вусовик, повинна
бути на прямій частині рейки перевідної кривої).
У цьому випадку мінімальне
значення прямої вставки може бути визначене з залежності
,
де G і D − конструктивні
параметри, що забезпечують складання переднього стику хрестовини (рис. 2.2 і
2.3). Їх значення в залежності від типу хрестовини приведені в табл. Д2.2;min
− конструктивний запас, дорівнює 500 мм, що враховує можливу різницю між
теоретичною мінімальною довжиною хрестовини і її практичною довжиною.
Приймаючи у формулі (2.1) d=dmin,
одержуємо рівняння, з якого можна визначити кут хрестовини і марку. Цей кут
буде оптимальним, оскільки забезпечується сталість кривизни в межах усієї
перевідної кривої, а мінімальна довжина прямої вставки дозволяє запроектувати
хрестовину з прямолінійними робочими гранями.
Вирішуючи рівняння (2.1) і (2.2)
щодо a і ввівши деякі додаткові
позначення, одержуємо таке зведення формул для визначення марки хрестовини:
В цих формулах:
j − допоміжний кут;−
скорочене позначення в рівнянні (2.1) усіх складових, що не залежать від кута a.
Отримане в результаті
вирішення цих формул оптимальне значення показника марки N необхідно округлити
у більшу сторону. Можливо округлення й у меншу сторону. Можна також прийняти
інше заздалегідь задане або необхідне значення марки хрестовини. Після зміни
показника марки хрестовини N, тобто по суті після прийняття конкретного кута a,
визначається фактичне значення прямої вставки

.
Одночасно з цим за формулою
(2.2) для прийнятої марки хрестовини визначається нове мінімальне значення прямої
вставки dmin при збереженні прийнятої раніше умови
.
Отримане по (2.4) фактичне
значення прямої вставки необхідно зіставити з мінімальним припустимим. Якщо
розрахована при новому значенні марки хрестовини пряма вставка буде більше
мінімального її значення, то ці марку і радіус кривої можна прийняти для
подальшого розрахунку переводу.
Необхідно враховувати, що
наявність занадто великої прямої вставки (на кілька метрів більше за мінімальне
значення) вказує на нераціональне і занадто велике значення показника марки
хрестовини. Це, в свою чергу, веде до зайвого збільшення довжини переводу. У
цьому випадку бажано повторити розрахунок при менших значеннях показника марки
хрестовини.
.2 Визначення розмірів хрестовини
Хрестовину умовно ділять на дві
частини: передню і хвостову. Під передньою частиною хрестовини розуміють її
елементи, що знаходяться в зоні від переднього стику вусовика до математичного
центра хрестовини (МЦХ). Хвостова частина хрестовини − це частина
конструкції від математичного центра до хвостового стику сердечника.
Мінімальна довжина хрестовини
(теоретична довжина) визначається в залежності від її типу, конструкції і
марки.
На рисунках 2.2 наведено схему
суцільнолитої хрестовини.
Рисунок 2.2 -
Розрахункова схема суцільнолитої хрестовини
Мінімальну довжину передньої частини
суцільнолитої хрестовини приймають такою, щоб зовнішні накладки в стику не
заходили за перший вигин вусовика, тобто за горло хрестовини (див. рис. 2.2).
Тоді
,
де tг −
ширина жолоба в горлі хрестовини, прийнята з умови пропускання по хрестовині
екіпажів з найвужчою насадкою коліс і гранично зношеними по товщині гребенями.
При ширині колії 1520 мм жолоб у горлі приймається рівним 64 мм.н −
довжина двоголової накладки, для рейок типу Р75 і Р65 вона дорівнює 800 мм,
типу Р50 − 820 мм;
Мінімальна довжина хвостової
частини суцільнолитої хрестовини при накладочно−вкладишному стику
визначається з умови складання цього стику за формулою
,
де 5 − конструктивна
відстань між підошвами рейок у хвості хрестовини, яка гарантує розташування
рейок, що примикають, без стругання їхніх підошв, мм.
Отримані значення hmin
і Pmin необхідно відкоригувати з умови раціонального розподілу
перевідних брусів під ними.
На рис. 2.4 приведена схема
розкладання брусів під хрестовиною. Користуючись нею, можна визначити практичні
довжини передньої і хвостової частин хрестовини hпр і Pпр.
Всі бруси під хрестовиною розташовуються перпендикулярно бісектрисі кута
хрестовини. Один з брусів повинен обов’язково знаходитися в тому місці, де
ширина сердечника становить 20 мм. Тут найбільш напружене місце, тому що в цій
зоні відбувається перекочування колеса з вусовика на сердечник. Потім
розміщують бруси в передньому і задньому стиках хрестовини. Ці стики
влаштовуються у висячому положенні. Передній стик хрестовини знаходиться
посередині прогону. Хвостовий стик зміщений від осі прогону на величину x/2. Тут
величина
забігу осей брусів відносно перпендикуляра до осі колії (рис. 2.3). Цим
зміщенням хрестовинного стику зменшується зміщення рейкових стиків на зовнішніх
нитках відносно осі прогону між стиковими брусами. Під частиною хрестовини, що
залишилася, бруси розташовують рівномірно з прогоном b між осями. Зазори між
хрестовиною і сусідніми рейками повинні рівнятися нулю.
Рисунок 2.3 - Схема
розміщення брусів під хрестовиною
Практична довжина обох частин
хрестовини по напрямку бісектриси її кута, як видно з рис. 2.3, може бути
визначена за формулами:
.
Тут l20=20N −
відстань від математичного центру хрестовини до осі бруса, розташованого під
сердечником шириною 20 мм.
Відстані між осями брусів
(величини b і c) приймаються так само, як і у зоні стрілки.
Кількість прогонів n3
і n4 підбирається таким чином, щоб практична довжина кожної частини
хрестовини була не менше мінімальної. Проте дуже збільшувати довжину хрестовини
нераціонально. Доцільно проектувати ці частини так, щоб виконувалися такі
нерівності:
.
≤ 3670 - 3527 <0.6
≤ 3793 - 3648 <0.6
Практичні довжини елементів
хрестовини, що вимірюються вздовж робочих граней, визначаються за формулами:
.
Практична довжина всієї
хрестовини
.
3672+3795=7467 мм
3.
Визначення основних геометричних і осьових розмірів стрілочного переводу
Основними геометричними розмірами
стрілочного переводу в цілому (рис. 3.1) є:
− теоретична довжина
стрілочного переводу Lт;
− практична довжина
стрілочного переводу Lпр;
− радіус перевідної кривої R;
− довжина прямої вставки перед
математичним центром хрестовини d.
Осьові розміри:
- відстань від початку вістряка
до центра переводу (ao);
- відстань від центра переводу
до математичного центра хрестовини (bo);
- відстань від початку рамних
рейок до центра переводу (a);
- відстань від центра переводу
до кінця (хвоста) хрестовини (b).
Довжина прямої вставки перед
математичним центром хрестовини і радіус перевідної кривої визначені раніше.
13752+581645[sin(0.06378)−sin(0.026837)]+6045×cos0.998053=40463
мм
Рисунок 3.1 - Схема
переводу з основними і осьовими розмірами
Практична довжина стрілочного
переводу (відстань від переднього стику рамної рейки до хвостового стику
хрестовини) визначається за формулою
.
3945+40457+3795=48197 мм
З рисунка 3.1 легко
встановлюються залежності для визначення осьових розмірів стрілочного переводу:
.
За стрілочним переводом на
бісектрисі кута a
встановлюється граничний стовпчик. Він вказує граничне положення екіпажа, який
стоїть на одній з колій, що примикають до переводу, при якому можливий рух по
іншій колії. В цьому місці відстань між коліями, що розгалужуються, буде
мінімально припустима за умовами габариту.
Відстані, що визначають
положення граничного стовпчика, визначаються за формулами:
де e − відстань між
осями колій у місці граничного стовпчика, рівняється 4100 мм (на деяких коліях
може дорівнювати 3600 мм) ;, f − відстані від граничного
стовпчика відповідно до осі колії, центра переводу і математичного центра
хрестовини (див. рис. 3.1).
4. Визначення ординат перевідної
кривої
Ординати для розбивки
перевідної кривої обчислюються при абсцисах точок, що кратні 2000 мм, і в кінці
кривої при абсцисі xкк (рис. 4.1). За початок координат приймається
точка, що знаходиться на робочій грані прямої рамної рейки навпроти торця
вістряка в корені. Ордината перевідної кривої у цій точці буде
. Ця
величина визначалася раніше при розрахунку стрілки.
Абсциса кінця перевідної
кривої визначається за формулою
.
581645 [sin(0.062378)−sin(0.026837)]=
20672 мм
Ординати перевідної кривої у
точках з заданими абсцисами визначаються за залежністю
.
Для контролю обчислення
ординат yi за формулами (4.2) ордината в кінці кривої повинна бути
також обчислена за формулою (4.3):
.
5. Визначення довжин рейок сполучної
частини
Довжини рейок сполучної частини
визначаються з геометричних міркувань. При цьому положення стиків в кінці
стрілки визначаються довжиною рамної рейки і вістряка (рис. 5.1). Стики на
початку й у хвості хрестовини визначаються її довжиною; на зовнішніх рейкових
нитках стики знаходяться на перпендикулярі до осі кожної з колій.
Рисунок 5.1 -
Схема розкладання рейок у переводі
Сполучні колії між стрілкою і
хрестовиною повинні бути розділені на дві частини так, щоб рейки, що примикають
до стрілки l1, l3, l5 і l7, були по
можливості кратними довжині цілої рейки або частинам цілих рейок (25 м, 12,5 м
або 6,25 м). Довжини інших рейок обчислюються за формулами:
де Rв=R−Sк
− радіус перевідної кривої по робочій грані внутрішньої рейкової нитки,
м;
bб −
кут, який відповідає задньому стику рамної рейки, що веде на бокову колію. Для
марок хрестовини 1/9 і пологіших та при умові, що
, цей кут
визначається за формулою
.
Після цього розрахунку може
знадобитися остаточне коригування довжин рейок. Насамперед, необхідно мати на
увазі, що рейкові рубки повинні бути по можливості довгими і в усіх випадках не
коротше 4,5 м.
Якщо обчислені за формулою
(6.1) якісь рейки, наприклад l4 і l6, виявляться коротше
4,5 м, то їх необхідно подовжити, а прилягаючі до них рейки l3 і l5
зробити коротшими. Одночасно з цим необхідно укоротити до тієї ж довжини рейки
l1 і l7. Можна кратними довжині цілої рейки приймати
ходові рейки біля контррейок l2 і l8, тоді визначенню
підлягають рейки l1 і l7 з використанням тих же формул
(6.1).
При визначенні довжин рейок
необхідно мати на увазі, щоб відстань між стиками в зоні сполучної частини на
зовнішніх і внутрішніх нитках не перевищувала 1,5...1,8 м. Цю умову необхідно
витримувати для забезпечення нормальної роботи рейкових ланцюгів на переводах,
що ввімкнуті в електричну централізацію. Крім того, невелика відстань між цими
стиками, а ще краще − розташування всіх чотирьох стиків в однім створі,
полегшує механізовану заміну стрілочних переводів.
6. Проектування епюри стрілочного
переводу
Під епюрою стрілочного переводу
розуміють масштабне схематичне креслення, на одній частині якого зображено
основні елементи переводу з розміщеними під ним брусами (ця частина називається
схемою розкладки брусів), на іншій частині даються основні елементи стрілочного
переводу і приводяться його геометричні характеристики і розміри, але немає
зображення брусів (схема розбивки). Епюра стрілочного переводу є основним
документом, відповідно до якого укладається й утримується перевод.
Рейкові нитки на епюрі зображуються
однією лінією − робочою гранню головки рейок. Бруси показують двома
лініями, що відображають ширину їхньої нижньої постелі.
Схема розкладки брусів викреслюється
в масштабі 1:50, іноді, при пологих марках, 1:100. На ній вказуються відстані
між осями брусів, довжини і кількість брусів кожного типорозміру та номері
брусів.
Схема розбивки переводу
викреслюється в масштабі 1:100. На ній необхідно вказати:
·
практичну довжину переводу;
·
теоретичну довжину переводу;
·
осьові розміри: відстань від початку
вістряка до центра переводу; відстань від центра переводу до математичного
центра хрестовини;
·
відстань до граничного стовпчика;
·
довжину переднього вильоту рамної
рейки;
·
довжину стругання криволінійного і
прямого вістряків з зазначенням ширини головки вістряка в кінці стругання;
·
довжини рамних рейок, вістряків і
рейок сполучної частини;
·
ординати перевідної кривої;
·
радіуси вістряка і перевідної кривої
з указанням їх меж;
·
довжину прямої вставки;
·
практичні довжини передньої і
задньої частин хрестовини;
·
ширину колії: в передньому стику
рамної рейки, біля вістря вістряків, в корені вістряків по прямому і боковому
напрямках, у середині перевідної кривої, в хвостовому стику. Якщо в перевідній
кривій ширина колії інша від ширини в стрільці та хрестовині, то вона
вказується в тих інших місцях, де відбувається ця зміна, з вказуванням довжини,
де ширина колії перемінна;
·
величини зазорів в стиках;
·
кути: початковий кут криволінійного
вістряка; кут кінця стругання криволінійного вістряка; повний стрілочний кут,
кут хрестовини. Кути необхідно приводити в градусах, хвилинах і секундах.
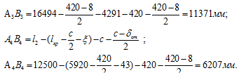
Для забезпечення рівномірного
розкладання брусів між стиковими прогонами в зоні сполучної частини і під
вістряком слід попередньо обчислити довжини відрізків A1B1,
A2B2, A3B3, A4B4
за напрямком зовнішньої рейкової нитки прямої колії (рис. 6.1). Ці відрізки
визначають, користуючись відомими значеннями лінійних розмірів переводу,
вістряків і довжин рейкових рубок.
На рис. 6.1,а наведено схему, що
пояснює розрахунок A1B1, A2B2, A3B3,
A4B4 у випадку, коли стики в з’єднувальній частині не
знаходяться в одному створі:
Рисунок 6.1 - Схема до
розрахунку розкладання брусів
Рис. 6.1,б пояснює розрахунок
A2B2 у випадку, коли стики в з’єднувальній частині
знаходяться в одному створі (відстань A3B3 дорівнює нулю)
.
Після визначення невідомих
відрізків залишається розподілити на їхній довжині бруси, по можливості,
рівномірно з прогонами, що дорівнюють b. Кількість прогонів, що можна
розмістити на кожному відрізку, буде
. Природно, що при цьому ми одержимо
неціле число прогонів, тобто буде утворюватися залишок, який необхідно, по
можливості, рівномірно розподілити на всі прогони.
стрілка гостряк
рейка геометричний
Бібліографічний список
1. Шахунянц Г.М.
Железнодорожный путь. - М.:Транспорт, 1987.479с.
. Інструкція з улаштування та
утримання колії залізниць України / Е.І. Даниленко, В.О. Яковлєв, А.М.
Орловський та інші. ЦП−0138 - К.:НВП Поліграфсервіс, 2006. - с.336.
. Амелин С.В. Соединения и
пересечения рельсовых путей. - М.: Транспорт, 1968. 262 с.
. Чернышов М.А., Крейнис З.Л.
Железнодорожный путь. - М.:Транспорт, 1985. 302 с.
. Волошко Ю.Д., Орловский А.Н.
Как работают стрелочные переводы под поездами. - М.: Транспорт, 1987. 120 с.
. Каменский В.Б., Горбов Л.Д.
Справочник дорожного мастера и бригадира пути. - М.: Транспорт, 1986. 487 с.
. Інструктивні вказівки з
основних питань улаштування та утримання залізничної колії і забезпечення
безпеки руху поїздів (Пам’ятка майстру та бригадиру колії) під редакцією М.І.
Карпова та В.О. Яковлева, ЦП−0161. - К: Транспорт України, 2007, 264 с.