|
Наименование показателя
|
Условное обозначение
|
Единица измерения
|
Величина
|
|
Осевая нагрузка
|
pо
|
тс/ось
|
23.375
|
|
Удельный объем
|
Vуд
|
м3/т
|
1.42
|
|
Погрузочный объем кузова
|
Vп
|
м3
|
92.12
|
|
Технический коэффициент тары
|
Кт
|
-
|
0.41
|
|
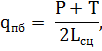
Погонная нагрузка брутто
|
qпб
|
т/м
|
6.35
|
|
Погонная нагрузка нетто
|
qпн
|
т/м
|
4.48
|
|
Вес поезда на длине станционных путей
|
Qпб
|
т
|
6350
|
|
Вес поезда нетто
|
Qпн
|
т
|
4480
|
|
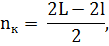
Число вагонов в поезде на длине станционных
путей
|
Nв
|
ед.
|
67
|
|
Масса тары поезда на длине станционных путей
|
Qпт
|
т
|
1842.5
|
1.2 Вписывание вагона в габарит подвижного
состава
Линейные размеры вагона и габарит подвижного состава, требованиям
которых должен удовлетворять каждый вагон, вновь проектируемый и находящийся в
эксплуатации, взаимосвязаны между собой. Габариты накладывают ограничения на
линейные размеры вагона, от которых зависит его производительность.
При вписывании вагона в габарит определяется наибольшая
ширина строительного очертания вагона на высоте H от уровня головки рельса
по формуле:
где 2Bо - ширина соответствующего габарита на той же
высоте H;
E (Eо, EВ, EН) - одно из ограничений полуширины.
Обычно при вписывании вагонов в габарит ограничения
полуширины по длине определяют для трех основных сечений:
Eо - направляющего;
EВ - внутреннего (среднего);
EН - наружного (по концевой балке рамы или
цилиндрической части котла).
При необходимости размещения выступающих частей (лестницы,
двери раздвижные, поручни, шпангоуты) ограничения EВ и EН определяются и в
промежуточных сечениях.
Определение ограничений осуществляется по формулам:

где Sк - максимальная полуширина колеи в кривой
расчётного радиуса;
dг - половина минимального расстояния между
наружными гранями предельно изношенных гребней колёс;
Sк - dг - максимальный разбег изношенной колёсной пары
между рельсами;
q + ω - горизонтальные
поперечные смещения из-за износов в узлах пятник-подпятник;
- база вагона;
n - расстояние от рассматриваемого поперечного сечения;
k - величина, на которую допускается выход подвижного состава,
проектируемого по габаритам 0-ВМ, 02-ВМ, 03-ВМ и 1-ВМ (в нижней части) за
очертание этих габаритов в кривой с радиусом 150 м;
k1 - величина дополнительного поперечного смещения
в кривой расчетного радиуса тележечного вагона (для габарита 02-ВМ k1 = 2*lТ2);
k2 - коэффициент, зависящий от расчётного радиуса
кривой (R
= 200 м для габаритов 0-ВМ, 02-ВМ, 03-ВМ и нижней части 1-ВМ);
k3 - величина геометрического смещения расчетного
вагона в кривой с R = 200 м.
где nK - длина консоли;
L - длина рамы вагона (по концевым балкам).
Для проектируемой цистерны выбраны следующие значения базы и
длины по концевым балкам:
l = 10,5 м;
L = 13,5 м.
Для вагона габарита 02-ВМ с тележками с базой 1,85 м значения
коэффициентов равны:
Sк - dг = 27,5 мм;
q + ω = 31 мм;
k = 75;
k1= 1,71;
k2 = 2;
k3 = 0.
Тогда, подставив значения длин и коэффициентов в формулы,
получим:
Получаем, что максимальная ширина проектируемого вагона равна
мм.
2. Кузов вагона и его составные части
Кузовом вагона-цистерны является котел. Котел состоит из
цилиндрической части и эллиптических днищ. Цилиндрическая часть котла
нефте-бензиновых цистерн состоит из пяти сваренных меж собой продольных листов
разной толщины: нижнего броневого листа, двух средних листов и двух верхних
листов. Нижний лист имеет уклон к средней части для обеспечения полного
удаления груза.
Основанием кузова является рама. Она воспринимает все нагрузки,
передающиеся от котла. Рама состоит из хребтовой балки, двух концевых балок,
двух шкворневых балок и небольших по длине продольных балок, находящихся в
консольных частях. Продольные боковые балки отсутствуют.
Котел цистерны опирается концевыми частями на деревянные
бруски опор и фиксируется на них от вертикальных и поперечных перемещений
стяжными хомутами при помощи винтовых муфт. В нижней средней части котла
расположены 2 пары лап ближе к консольным частям, которые соединены призонными
болтами с лапами хребтовой балки и предотвращают продольные перемещения котла.
Для придания котлу повышенной жесткости и прочности он подкреплен кольцевыми
шпангоутами, приваренными к цилиндрической части котла.
На цистерну модели 15-1727 устанавливаются торцевые щиты, конструкции
ОАО «Азовмаш». Они представляют собой технические средства защиты котла от
пробоя, привариваемые на консольных частях. Щит разработанный в МИИТе, гораздо
удачнее, его толщина 18 мм, имеются мощные рёбра жесткости по середине для
отвода удара автосцепки, а щит ОАО «Азовмаш не имеет мощных ребер, а толщина
его лобового листа гораздо меньше.
Котел оборудован предохранительно-впускным клапаном,
универсальным сливным прибором, наружными и внутренней лестницами.
3. Ходовые части вагона
Тележками называются устройства, которые обеспечивают
движение вагона по рельсовому пути, с минимальным сопротивлением и необходимой
плавностью хода. Тележки составляют основу вагонных ходовых частей и являются
одним из важнейших узлов грузовых и пассажирских вагонов, обеспечивающих
взаимодействие подвижного состава с верхним строением пути железнодорожного
полотна. В тележках объединяются рамой колесные пары с буксами, система
рессорного подвешивания и части тормозной рычажной передачи. Благодаря
возможности размещения в тележках нескольких последовательно расположенных
ступеней (ярусов) рессор в сочетании с различного рода гасителями колебаний и
устройствами, обеспечивающими устойчивость положения кузова, создаются условия
для достижения хорошей плавности хода вагона. Конструкция соединения тележек с
кузовом позволяет без затруднения при необходимости выкатить их. Это облегчает
осмотр и ремонт ходовой части вагона. Тележки могут свободно поворачиваться
относительно кузова вагона благодаря наличию пятника на раме кузова и
подпятника на тележке. На данном вагоне установлена тележка модели 18-100.
Тележка модели 18-100 (рис. 3.1) состоит из литой
надрессорной балки, двух литых боковым рам, колёсных пар с подшипниками качения
и других элементов. Ходовая часть вагонов включает в себя колёсные пары, буксы
с подшипниками и рессорное подвешивание, воспринимающие от вагона нагрузку и
обеспечивающие его безопасное и плавное движение.
Рис. 3.1. Тележка модели 18-100
Колесная пара вагона, состоит из оси и двух напрессованных на
ней под давлением колес диаметром 950 мм, воспринимает все нагрузки,
передающиеся от вагона на рельсы и процессе движения подвижного состава.
Буксы служат для передачи давления от вагона на шейки осей
колесных пар, а также ограничения продольного и поперечного перемещений
колёсной пары. На вагоне установлены буксы качения.
Рессоры нужны для смягчения ударов и уменьшения амплитуды
колебаний вагона, при прохождении по неровностям пути между рамой вагона и
колёсной парой размещают систему упругих элементов и гасителей колебаний
(рессорное подвешивание). В качестве упругих элементов применяют винтовые
пружины, листовые рессоры, резинометаллические элементы и пневматические
рессоры (резинокордовые оболочки, заполненные воздухом).
Гасители колебаний предназначены для создания сил,
устраняющих или, хотя бы, уменьшающих амплитуды колебаний вагона или его
частей. Во фрикционных гасителях колебаний силы трения возникают при
вертикальном и горизонтальном перемещениях клиньев гасителя, трущихся о
фрикционные планки, укреплённые на колонках боковин тележек.
Тележка имеет одну ступень подвешивания - центральную,
состоящую из 7 двухрядных и фрикционного клинового гасителя колебаний (по два
клина на каждую боковую раму). На типовые тележки устанавливаются клинья,
изготовленные из стали, однако, эксплуатировались и тележки с чугунными
клиньями, обладающими меньшим коэффициентом трения (0,15 против 0,25).
Вертикальные нагрузки в тележке передаются от пятника вагона
на подпятник надрессорной балки, далее через цилиндрические двухрядные пружины
на боковые рамы и через опорные поверхности на корпуса букс. Колёсные пары
удерживаются в буксовом проёме челюстями.
Схема опирания кузова вагона на тележку - с пятника на
подпятник с зазорами в скользунах. Тормозная рычажная передача тележки модели
18-100 обеспечивает одностороннее нажатие тормозных колодок на колесо.
4. Автосцепное устройство
На цистерне модели 15-1727 устанавливается типовая автосцепка
СА-3 полужесткого типа (рис. 4.1). Она состоит из автосцепки с механизмом
сцепления, упряжи, передних упорных угольников с ударной розеткой и задних
упорных угольников. Механизм сцепления находится в полости головки автосцепки
(кармане) и включает в себя замок, замкодержатель, предохранитель от саморасцепа,
подъемник и валик подъемника. В состав упряжи входят тяговый хомут, клин
тягового хомута, поглощающий аппарат и упорная плита. Упряжь располагается в
хребтовой балке рамы вагона между передними и задними упорными угольниками.
Снизу она удерживается поддерживающей плитой, которая крепится к хребтовой
балке болтами. К ударной розетке передних упорных угольников при помощи
маятниковых подвесок крепится центрирующая балочка, на которой лежит
автосцепка. Центрирующая балочка позволяет автосцепке отклоняться на угол до 19о
от продольной оси вагона при прохождении сцепом кривых участков пути и
горизонтальных неровностей.
Рис. 4.1. Автосцепное устройство СА-3
На рисунке 4.1 цифрами показано: 1 - задние упорные
угольники, 2 - кронштейн двуплечего рычага, 3 - двуплечий рычаг, 4 -
поддерживающая плита, 5 - поглощающий аппарат, 6 - тяговый хомут, 7 - упорная
плита, 8 - клин тягового хомута, 9 - передние упорные угольники с ударной
розеткой, 10 - кронштейн двуплечего рычага, 11 - маятниковая подвеска, 12 -
центрирующая балочка, 13 - автосцепка с механизмом сцепления, 14 - цепь
расцепного привода.
Расцепной привод включает в себя двуплечий рычаг, к одному
концу которого крепится цепь, связывающая его с валиком подъемника. Рычаг крепится
к концевой балке рамы при помощи двух кронштейнов.
При сжимающих усилиях продольная нагрузка передается через
автосцепку на упорную плиту, далее на поглощающий аппарат и задние упорные
угольники, закрепленные на хребтовой балке рамы вагона. Тяговый хомут в этом
случае под действием клина перемещается к задним упорным угольникам и не
участвует в передаче нагрузок. При растягивающих усилиях продольная нагрузка
передается с хвостовика автосцепки через клин тягового хомута на тяговый хомут,
который своей задней внутренней поверхностью давит на поглощающий аппарат,
сжимая его. С поглощающего аппарата нагрузка передается через упорную плиту на
передние упорные угольники, закрепленные на хребтовой балке рамы вагона.
На цистернах для нефтепродуктов устанавливаются поглощающие
аппараты класса Т-2. Действие этих аппаратов основано на перетекании эластомера
в зазор между поршнем и цилиндром, который составляет десятые доли миллиметра,
или на сжатии эластомера. Это приводит к увеличению энергоемкости аппарата по сравнению
с пружинно-фрикционными системами.
Поглощающий аппарат 73-ZW (рис. 4.2) относится к
категории амортизаторов, в которых используют в качестве рабочей среды
силиконовые эластомеры.
Рис. 4.2. Поглощающий аппарат 73-ZW
Внутри корпуса аппарата размещается амортизатор (цилиндр с
поршнем и эластомером). Шток амортизатора упирается в днище корпуса аппарата, а
основание - в упорную плиту. Плита удерживается четырьмя закрепленными на ней
болтами с гайками и шплинтами с помощью двух монтажных планок. Аппарат 73-ZW
относится к классу «Т-2» и устанавливается на цистернах для перевозки
нефтепродуктов.
Специалистами ГУП «Уралвагонзавод» был разработан
эластомерный поглощающий аппарат класса «Т-2» АПЭ-95-УВЗ (рис. 4.3).
Рис. 4.3. Поглощающий аппарат АПЭ-95-УВЗ
Внутри корпуса аппарата АПЭ-95-УВЗ располагается амортизатор,
который представляет собой цилиндр с эластомером и поршнем. Шток поршня
упирается в днище корпуса аппарата, а основание выходит за пределы корпуса.
Этот поглощающий аппарат устанавливается на цистернах для перевозки
нефтепродуктов.
Эластомерный поглощающий аппарат АПЭ-90-А (рис. 4.4) имеет:
хромированный шток диаметр которого существенно меньше габаритных размеров
корпуса аппарата и упорной плиты; плиту, расположенную на вагоне между упорной
плитой и штоком аппарата и соединенную с корпусом двумя болтами.
Рис. 4.4. Поглощающий аппарат АПЭ-90-А
Самым лучшим из приведенных выше поглощающих аппаратов
является аппарат 73-ZW (рис. 4.2), он отличается высокой надежностью,
практически не изнашивается, сохраняет работоспособность при низких
температурах.
5. Тормозная система вагона
Автоматическим тормозом железнодорожного подвижного состава называется
комплекс устройств, создающих регулируемое искусственное сопротивление движению
поезда с целью уменьшения скорости его движения или остановкой в местах,
предусмотренных графиком или расписанием движения поезда, перед запрещающим
сигналом (красный свет светофора), при угрозе жизни людей или сохранности
грузов.
Чем выше эффективность действия автотормоза, тем выше
безопасность движения поездов и больше пропускная и провозная способность
железных дорог.
Пневматическая часть тормозного оборудования (рис. 5.1)
включает в себя тормозную магистраль (воздухопровод) 6 диаметром 32 мм с
концевыми кранами 4 клапанного или шаровидного типа и соединительными
междувагонными рукавами 3; двухкамерный резервуар 7, соединенный с тормозной
магистралью б отводной трубой диаметром 19 мм через разобщительный кран 9 и
пылеловку - тройник 8; запасный резервуар 11; тормозной цилиндр 1;
воздухораспределитель с магистральной 12 и главной 13 частями (блоками);
авторежим.
Рис. 5.1. Схема тормозного оборудования грузового вагона
Авторежим служит для автоматического изменения давления
воздуха в тормозном цилиндре в зависимости от степени загрузки вагона - чем она
выше, тем больше давление в тормозном цилиндре. При наличии на вагоне
авторежима рукоятка переключателя грузовых режимов воздухораспределителя
снимается после того, как режимный переключатель воздухораспределителя будет
поставлен на средний режим при композиционных тормозных колодках. Запасный
резервуар имеет объем 78 л у четырехосных вагонов с тормозным цилиндром
диаметром 356 мм.
Зарядка резервуара 7, золотниковой и рабочей камер
воздухораспределителя запасного резервуара 11 производится из тормозной
магистрали 6 при открытом разобщительном кране 9. При этом тормозной цилиндр
через главную часть воздухораспределителя и авторежим 2 сообщен с атмосферой.
При торможении давление в тормозной магистрали понижается через кран машиниста
и частично через воздухораспределитель, который при срабатывании отключает
тормозной цилиндр 1 от атмосферы и сообщает его с запасным резервуаром 11 до
выравнивания давления в них при полном служебном торможении.
Тормозная рычажная передача грузовых вагонов выполнена с
односторонним нажатием тормозных колодок (кроме шестиосных вагонов, у которых
средняя колесная пара в тележке имеет двустороннее нажатие) и одним тормозным
цилиндром, укрепленным на хребтовой балке рамы вагона болтами.
Тормозная рычажная передача всех грузовых вагонов приспособлена к
использованию чугунных или композиционных тормозных колодок. В настоящее время
все грузовые вагоны имеют композиционные колодки. При необходимости перехода с
одного типа колодки на другой необходимо изменить лишь передаточное число
тормозной рычажной передачи путем перестановки валиков затяжки и горизонтальных
рычагов (в более близко расположенное к тормозному цилиндру отверстие при
композиционных колодках и, наоборот, при чугунных колодках). Изменение
передаточного числа связано с тем, что коэффициент трения у композиционной
колодки примерно в 1,5-1,6 раза больше, чем у чугунных стандартных колодок.
В тормозной рычажной передаче четырехосного грузового вагона (рис. 5.2)
горизонтальные рычаги 4 и 10 шарнирно соединены со штоком б и кронштейном 7 на
задней крышке тормозного цилиндра, а также с тягой 2 и авторегулятором 3 и с
тягой 77. Между собой они соединены затяжкой 5, отверстия 8 которой
предназначены для установки валиков при композиционных колодках, а отверстия 9
- при чугунных тормозных колодках.
Рис. 5.2. Схема (а) и конструкция (б) рычажной передачи
четырехосного грузового вагона
Для закрепления вагонов на станциях или крутых спусках
применяется ручной стояночный тормоз (рис. 5.3).
Рис. 5.3. Схема ручного стояночного тормоза
Ручной стояночный тормоз состоит из привода 2 со штурвалом 1,
червячной передачи, механизма с эксцентриком 4 и тяги 5. Чтобы привести тормоз
в рабочее положение, штурвал с приводом отклоняют в сторону от первоначального
положения (3 на рисунке 5.3), чтобы он располагался перпендикулярно к
продольной оси вагона. Тогда червячная передача входит в зацепление с
поворотным механизмом, который, поворачиваясь, тянет за собой тягу. Тяга вторым
своим концом крепится при помощи валика к головному горизонтальному рычагу. При
перемещении ее в сторону привода ручного стояночного тормоза головной
горизонтальный рычаг поворачивается относительно мертвой точки и выводит шток
поршня из тормозного цилиндра, тем самым приводя тормозную рычажную передачу в
положение торможения.
Второй конец тяги ручного стояночного тормоза, соединенный с
головным горизонтальным рычагом, выполнен в форме проушины, то есть имеет
эллиптическое отверстие, длина которого обеспечивает свободное перемещение
крепительного валика при выходе штока тормозного цилиндра во время работы
тормозной системы.
6. Особенности погрузки-разгрузки перевозимого
груза и обеспечение безопасности перевозки
Под налив продукта должны использоваться только технически
исправные цистерны. Цистерны с неисправными сливными приборами, внутренними
лестницами, крышками люков, с течью в котлах, без проушин для пломбирования на
крышках люков, а также без резиновых уплотнительных прокладок подавать и
использовать под налив не допускается.
Налив и слив продукта производят открытым способом: налив -
сверху через люк-лаз при помощи наливного рукава, слив - внизу через сливной
прибор при открытой крышке люка на протяжении всего процесса слива (во
избежание образования вакуума и повреждения котла). Уровень заполнения цистерны
контролируется метр-штоком.
При необходимости промывки и пропарки цистерны производить
эти операции следует в строгом соответствии с «Типовым технологическим
процессом подготовки цистерн и вагонов для перевозки нефтепродуктов к наливу и
ремонту на промывочно-пропарочных предприятиях железных дорог». После промывки
и пропарки крышку люка необходимо оставлять открытой до полного выравнивания
температуры внутри котла с температурой окружающего воздуха.
На цистерну модели 15-1727 устанавливается сливной прибор с
тремя запорными органами (рис. 6.1). Вместо диска стал применяться шаровой
кран, в средней зоне сливного прибора добавлен дополнительный элемент -
дисковый затвор типа «бабочка». Промежуточный дисковый затвор всегда занимает
одно из двух положений: вертикальное (клапан открыт), горизонтальное (клапан
закрыт). Шаровой кран при своем обороте способствуют удалению грязи и мусора из
зоны слива.
Рис. 6.1. Сливной прибор с тремя запорными органами
Избыточное и пониженное (вакуум) давления в котле создают
опасность для прочности и устойчивости его оболочки. Поэтому котлы цистерн
оборудуют предохранительно-впускным клапаном (рис. 6.2).
Корпус 6 предохранительно-впускного клапана укреплен в
верхней части котла 7. При давлении в котле, превышающем усилие пружины 5,
отрегулированном в цистернах, ее сопротивление преодолевается и клапан 3,
имеющий направляющую втулку 4, поднимается со своего седла вверх, открывая
выход газа в атмосферу через отверстия а.
При снижении давления в котле сжимается пружина 2, клапан
опускается, и воздух через отверстия а входит в котел.
Рис. 6.2. Предохранительно-впускной клапан
Заключение
Роль вагонов-цистерн в работе железнодорожного транспорта
огромна, так как железные дороги являются универсальным видом транспорта для
перевозок всех видов грузов в общенациональном масштабе.
Вагоны-цистерны проектируются с учетом свойств опасных
грузов, для перевозки которых они предназначены, и соответственно оснащаются
специальными устройствами для выполнения сливоналивных операций и обеспечения
безопасности перевозок.
На цистерну модели 15-1727 устанавливаются торцевые щиты,
конструкции ОАО «Азовмаш». Они представляют собой технические средства защиты
котла от пробоя, привариваемые на консольных частях. Щит разработанный в МИИТе,
гораздо удачнее, его толщина 18 мм, имеются мощные рёбра жесткости по середине
для отвода удара автосцепки, а щит ОАО «Азовмаш не имеет мощных ребер, а
толщина его лобового листа гораздо меньше.
Автосцепка цистерны модели 15-1727 оснащена верхним и нижним
ограничителем саморасцепа, что является одним из технических средств защиты. В
целом данная модель соответствует всем современным требованиям и вполне может
использоваться в перевозочном процессе.
Список литературы
1.
Вагоны. Общий курс по ред. В.В. Лукина. - М.: МАРШРУТ, 2004, -423 с.
.
Железнодорожный транспорт. Энциклопедия. - М. 1994
.
Конструкция вагонов. Пастухов И.В. и др., - М.: МАРШРУТ, 2004, -504 с.
.
Филиппов В.Н., Козлов И.В., Курыкина Т.Г., Подлесников Я.Д. Тележки грузовых
вагонов. Этапы развития конструкции: Методические указания. - М.: МИИТ, 2013 -
64 с.
.
Филиппов В.Н., Козлов И.В., Курыкина Т.Г., Подлесников Я.Д. Автосцепка. Этапы
развития конструкции: Методические указания. - М.: МИИТ, 2013 - 57 с.
.
Специализированные цистерны для перевозки опасных грузов. МОСКВА ИЗДАТЕЛЬСТВО
СТАНДАРТОВ 1993