Радиационные пояса
Радиационные пояса
Кузнецов С.Н., Тверская Л.В., НИИ ядерной физики им.
Д.В. Скобельцына МГУ им М.Ломоносова,
1. Введение
В настоящем разделе мы кратко рассмотрим особенности
движения заряженных частиц в магнитном и электрическом полях в магнитосфере
Земли. С более подробным изложением этих вопросов можно ознакомиться в (Альвен,
Фельтхаммер, 1967; Лайонс, Вильямс, 1987; Chen, 1970).
1.1 Движение частиц в геомагнитном поле
Значительная часть частиц радиационных поясов
находится в магнитном поле, основным источником которого являются токи внутри
Земли. Они создают поле близкое к дипольному. Краткие характеристики этого поля
на 2005 г.: ось диполя наклонена к оси Земли на 10.26° и на поверхности Земли
имеет координаты 79.74°N и 71.8°W; центр диполя сдвинут относительно центра
Земли на ~ 500 км. Магнитное поле диполя в плоскости экватора геомагнитного
диполя меняется по закону:
(3.2.1)
где Rэ – расстояние от центра диполя, Rз – радиус
Земли. Силовая линии дипольного поля описывается формулой
(3.2.2)
где λ – геомагнитная широта. Дипольное поле
меняется вдоль силовой линии как
(3.2.3)
При анализе распределения частиц радиационных поясов в
магнитосфере Земли необходимо исходить из структуры и физических свойств
магнитосферы. Во-первых, необходимо учитывать недипольность геомагнитного поля
на больших расстояниях, вызванную давлением солнечного ветра. Во-вторых, многие
явления в магнитосфере могут быть объяснены при предположении существования в магнитосфере
Земли квазиоднородного электрического поля величиной 10-6 – 10-5 В/см,
направленного с утра на вечер.
Движение частиц c Е < 1 ГэВ в дипольном поле можно
представить как суперпозицию трех независимых движений: ларморовского вращения
частицы в плоскости перпендикулярной магнитному полю; колебания мгновенного
центра вращения (ведущего центра) вдоль силовых линий и дрейфа ведущего центра
вокруг Земли.
Ларморовское вращение совершается с периодом τ1:
(3.2.4)
где Е - кинетическая энергия частицы в МэВ, Е0 -
энергия покоя частицы в МэВ (для электрона Е0= 0.51 МэВ, для протона Е0= 938
МэВ) и В – магнитное поле в Гс.
Ларморовская частота 1/τ1 электронов вблизи Земли
~1 MГц, протонов – ~1 кГц, при удалении от Земли частота уменьшается как 1/Rз.
Ларморовский радиус вращения частицы

(3.2.5)
где p ⊥ -
поперечный импульс частицы, с – скорость света и α - угол между векторами
скорости частицы и локального магнитного поля (питч-угол). Здесь В выражено в
Гс, p⊥ с - в эВ, Е и Е0 в МэВ.
Ларморовский радиус электронов радиационных поясов в
геомагнитном поле не превосходит нескольких километров, а для протонов его
величина может достигать нескольких сотен километров.
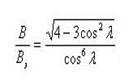
В процессе движения частицы вдоль силовой линии
выполняется соотношение sin2<α /B=const. Отсюда, зная питч-угол α
на экваторе, можно определить напряженность поля в точке отражения:
(3.2.6)
Период колебания частицы между точками отражения
(3.2.7
где Т2 (α)= 1,3-0,563 sin αэ.
Дрейф вокруг Земли по долготе для частиц с разными
знаками заряда происходит в противоположных направлениях (электроны движутся на
восток, протоны – на запад). Период дрейфа вокруг Земли
(3.2.8)
где K= 1,25-0,25 cos 2λm, λm – геомагнитная
широта точки отражения, Е – в МэВ.
Для нерелятивистских частиц τ3= 44/(EL).
Рассмотренным периодическим движениям соответствуют
некоторые величины, сохраняющиеся (в среднем) при движении частицы, если за
время, характерное для данного типа движения: (τ1,τ2,τ3),
изменением магнитного поля можно пренебречь:
(3.2.9)
Эти величины называются адиабатическими инвариантами
движения частиц.
Первым адиабатическим инвариантом является магнитный
момент частицы
Второй, или продольный инвариант (инвариант
продольного действия)
(3.2.10)
Используя эти два инварианта, а также то, что Е =
const в постоянном магнитном поле, можно показать, что в дипольном поле частицы
с разными энергиями и питч-углами, находящиеся на одной силовой линии, при
дрейфе вокруг Земли движутся практически по одной и той же оболочке (дрейфовой
оболочке). Поэтому трехмерное представление захваченной радиации сводится к
двумерному и характеризуется функцией двух координат: L = Rэ/Rз и В.
В том случае, когда точки отражения захваченных частиц
находятся на малых высотах над поверхностью Земли, для учета влияния атмосферы
на захваченные частицы вводят параметр hmin, представляющий минимальную высоту
над поверхностью Земли, на которую опускается частица на данной дрейфовой
оболочке L.
Третий инвариант Ф определяется как поток
геомагнитного поля через экваториальную плоскость вне данной L-оболочки. При
B/(dB/dt)~τ3 третий инвариант сохраняться не будет, но поскольку при этом
В/(dB/dt) > (τ1 ,τ2), первые два инварианта μ и I
сохраняются. Магнитное поле на данной L-оболочке будет меняться, при этом
E/B=const вследствие сохранения μ, и частица может перейти на другую
L-оболочку с соответствующим изменением Е.
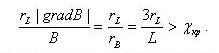
Если B/(dB/dt)~{τ1, τ2}, то ларморовское
движение частицы и ее колебания между точками отражения нельзя считать
независимыми движениями. При этом нарушается μ и J, экваториальный
питч-угол частицы изменяется, и она может высыпаться в атмосферу. При большом
импульсе частицы
(3.2.11)
Здесь rB – радиус кривизны магнитной силовой линии на
экваторе. В дипольном поле rB=L/3. В таком случае частица не может находиться в
магнитной ловушке в захваченном состоянии и быстро покидает ее. Согласно
экспериментальным данным (Ильин, Кузнецов, 1975) χкр~0.1, это
соответствует
(3.2.12)
Для протонов это приводит к следующему выражению для
максимальной энергии частиц, захваченных на данной L-оболочке (нерелятивистский
случай):
(3.2.13)
По расчетам (Кузнецов, Юшков, 2002)
χкр=0.109exp(1.928sin2α).
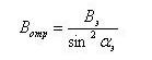
1.2 Движение частицы при наличии электрического поля
Для объяснения многих явлений в магнитосфере Земли
необходимо допустить существование электрического поля ε,
перпендикулярного магнитному. При этом на движение ведущего центра частицы
вокруг Земли накладывается дрейф в направлении, перпендикулярном электрическому
и магнитному полю со скоростью Vε (смс-1): Vе = 157ε/B , 3.2.14 где
ε - напряженность электрического поля в кВ/Rз, B – магнитное поле в Гс.
Траекторию движения ведущего центра в плоскости экватора (αэ = 90°) можно
вычислить, исходя из законов сохранения энергии и магнитного момента : Е + U =
const , μ = const , 3.2.I5 где U - электрический потенциал данной точки
пространства. Вид траекторий дрейфа электронов в однородном электрическом поле
показан на рис. 3.2.la.
Подобный вид имеют и траектории электронов
ионосферного происхождения, лишь разность между Lкр и Lmin больше, чем для
высокоэнергичных электронов. Область замкнутых траекторий для ионосферных
электронов качественно соответствует области плазмосферы. Для протонов больших
энергий траектории подобны траекториям энергичных электронов, но зеркальны
относительно линии, проходящей через центр Земли в направлении на Солнце.
Видно, что траектории, проходящие на больших
расстояниях от Земли, разомкнуты. Частицы, находящиеся на замкнутых орбитах,
принадлежат радиационным поясам.
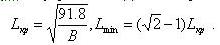
Точку ветвления Lкр на критической орбите можно найти,
приравняв скорости электрического и магнитного дрейфов частиц вокруг Земли:
.
Для нерелятивистских частиц получаем:
(3.2.I6)
здесь и далее Е в кэВ. Из этой формулы можно
определить, частицы каких энергий на данном L принадлежат радиационным поясам.
С противоположной стороны частицы проходят на минимальном расстоянии от Земли:
Lmin = Lкр/1.78.
Оценим асимметрию замкнутых траекторий дрейфа частиц.
Из условия μ=const следует, что EL3=const. Отсюда можно получить:
(3.2.17)
Если ΔL<<L, то максимальное изменение
энергии частицы на дрейфовой траектории есть ΔE=2Lε. Подставляя е в
(3.2.17), получаем:
(3.2.18)
Чем больше энергия частицы, тем меньше влияние
электрического поля. Если мы рассматриваем движение частиц малых энергий в
магнитосфере Земли, то следует учесть также вращение Земли. Это проще всего
сделать в плоскости геомагнитного экватора, если ввести фиктивный отрицательный
заряд в центр геомагнитного диполя. Приравнивая линейную скорость вращения
вместе с Землей любой точки экваториальной плоскости к скорости электрического
дрейфа
(Тз – период вращения Земли), получим электрическое
поле
которое
можно рассматривать, как поле одиночного заряда. Знак заряда (отрицательный)
определяется направлением вращения Земли. Потенциал поля этого заряда имеет вид
Вид траекторий электронов любых энергий и протонов
малых энергий подобен. Эти частицы дрейфуют с вечерней стороны через ночную на
утреннюю. Для электронов и протонов малых энергий
(3.2.19)
Для протонов, у которых выполняется условие
, вид траекторий дрейфа резко меняется, он показан на
рис. 1б.
Это получается из-за того, что на больших расстояниях
протоны увлекаются вращением Земли, а при переходе на малые расстояния скорость
их магнитного дрейфа становится больше скорости вращения магнитного поля Земли.
Поэтому протоны меняют направление своего движения.
1.3 Структура радиационных поясов Земли
На рис.2 схематически представлены в плоскости
полуденно- полуночного меридиана области регистрации высокоэнергичных частиц в
магнитосфере Земли. Асимметрия распределения частиц связана со структурой
магнитосферы. Электроны с Ее > 40 кэВ и протоны с Ер ~ 50 кэВ существуют не
только во внешней дневной магнитосфере, но также с ночной стороны на внешних
силовых линиях дипольной структуры и силовых линиях сильно вытянутых в хвост магнитосферы
в области плазменного слоя.
Электроны с энергией > 500 кэВ образуют два пояса:
внутренний на L < 2.5 и внешний на L> 3. В дальнейшем мы укажем, с чем
связано такое разделение. Протоны не имеют такой структуры. С уменьшением L
появляются протоны все больших энергий.
В верхней части рисунка приведены линии изологарифма
интенсивности электронов с Ее ~ 0.3–0.6 МэВ. Хорошо видно, что внутренний пояс
регистрируется только над Бразилией. Электроны внешнего пояса регистрируются в
узких полосах в северном и южном полушариях вокруг всей Земли. В основном – это
квазизахваченные частицы внешнего пояса. В средней части рисунка представлены
данные детектора, который регистрировал протоны с Ер > 23 МэВ и электроны с
Ее > 1.6 МэВ. На этой же части приведены штриховыми линиями изолинии L.
Видно, что внутренний пояс (в основном протоны с Ер > 23 МэВ) над
Бразильской аномалией находится на L < 2. Внешний радиационный пояс
(электроны с Ее > 1.6 МэВ) находится на L > 2.5.
Устойчивые потоки наблюдаются над Южной Атлантикой. В
остальных местах регистрируются квазизахваченные электроны (потоки менее
устойчивые). В нижней части рисунка приведены данные о потоках протонов с Ер =
50–90 МэВ. Видно, что протоны регистрируются только над Бразильской аномалией.
Вне Бразильской аномалии на L < 2 захваченные потоки не регистрируются,
здесь можно регистрировать потоки частиц космических лучей или потоки
аномальных квазизахваченных частиц.
Радиационным поясам принадлежат частицы, имеющие
замкнутые дрейфовые оболочки. В плоскости экватора – это частицы, движущиеся по
линиям B = const при В > 60 нТл. Частицы, движущиеся с ночной стороны по
линиям В < 60 нТл, или выбрасываются на утреннюю или вечернюю магнитопаузу
(в зависимости от знака заряда частицы) или попадают в касповые области, где
захват неустойчив. Если частицы отражаются вне плоскости экватора, особенно на
малых высотах, то надо учитывать сохранение второго инварианта I. При отражении
на малых высотах I ~ l, l – длина силовой линии между точками отражения. С
дневной стороны последние замкнутые силовые линии L ~ 20-25 имеют длину
25-30Rз. Линии подобной длины с ночной стороны вблизи Земли соответствуют L~8.
На рис. 4 показаны данные о потоках квазизахваченных электронов с Ее > 500
кэВ на средних и высоких широтах в плоскости полуденно-полуночного меридиана по
данным ИСЗ КОРОНАС-И. С ночной стороны граница потоков электронов находится на
~ 69o (L ~ 7.8), с дневной стороны – на ~ 77 o(L ~ 21.6).
1.4 Процессы, определяющие структуру и динамику
радиационных поясов
Структура и динамика радиационных поясов определяется
взаимодействием источников и потерь.
Источники:
- Распад нейтронов альбедо космических лучей (Singer,
1958). Нейтроны являются источником захваченных протонов с Ер>30 МэВ.
Мощность этого источника для электронного пояса недостаточна.
- Захват частиц из межпланетной среды при смещениях
магнитопаузы во время внезапных обжатий магнитосферы солнечным ветром
(Тверской, 1964а).
- Перенос и ускорение заряженных частиц в магнитосфере
при диффузии под действием нестационарных электрических полей (Parker, 1960;
Тверской, 1964б, 1965а; Nakada and Mead, 1965; Falthammar, 1965).
- Резонансное ускорение частиц под действием
квазипериодических магнитных возмущений (Cladis, 1966).
- Инжекция частиц в процессе диполизации при втягивании
силовых линий геомагнитного хвоста в область захваченной радиации (Tverskoy,
1969).
- Ускорение частиц нестационарными электрическими
полями суббурь до энергии в первые сотни кэВ (Бондарева, Тверская, 1973; Li et
al., 1998).
- В последние годы предложено несколько механизмов
ускорения электронов до релятивистских энергий на основе взаимодействия
волна-частица (см., напр., Summers and Ma, 2000; Бахарева, 2003 и
соответствующие ссылки). Одним из случаев инжекции является перераспределение
частиц в результате большого (~200 нТл) биполярного внезапного импульса
геомагнитного поля (Blake et al., 1992). Данные об этом событии представлены
ниже (см. п. 2.2).
Потери:
Для протонов и ионов радиационных поясов основными
являются ионизационные потери. Частицы теряют свою энергию при ионизации и
возбуждении атомов и ионов верхней атмосферы.
Для электронов кулоновское рассеяние более эффективно
(McDonald and Walt, 1961). Оно определяет время жизни на L<1.5.
Основным механизмом утечек электронов на больших L
является циклотронная неустойчивость (Андронов и Трахтенгерц, 1964; Tverskoy,
1965b; Kennel and Petchek, 1966; Тверской, 1967).
Переход от внутреннего электронного пояса к внешнему
(зазор между поясами) обусловлен резким возрастанием поглощения возбуждаемых
при неустойчивости волн. При этом основополагающую роль играет электромагнитное
излучение в области особо низких частот, развивающееся вблизи плазмопаузы
(Захаров, Кузнецов 1978).
Быстрые потери частиц наблюдаются на главной фазе
магнитных бурь. Для энергичных протонов уменьшение интенсивности во время
магнитных бурь объясняется нарушением адиабатичности движения из- за ослабления
магнитного поля (Ильин, Кузнецов, 1975).
Очень сложен вопрос о быстрых потерях энергичных
электронов во время магнитных бурь. Одной из причин является уменьшение
размеров области замкнутых дрейфовых оболочек при обжатии магнитосферы.
По-видимому, имеет место быстрое высыпание релятивистских электронов из-за
паразитного резонанса с волнами, развивающимися при циклотронной неустойчивости
кольцевого тока вблизи плазмопаузы (Thorne and Kennel, 1971). Возможен также
ускоренный перенос частиц при перестройке конфигурации магнитосферы во
внутренних областях во время магнитных бурь.
Адиабатические вариации. На приэкваториальных
спутниках можно наблюдать обратимые вариации интенсивности частиц,
коррелированные с Dst-вариацией. Расчеты показали хорошее согласие с
экспериментом (Dessler and Karplus, 1961; Тверской, 1964б).
2. Протоны и ионы радиационных поясов
2.1 Среднее состояние поясов
На рис. 5 представлены профили потоков протонов
различных энергий в плоскости экватора по данным модели радиационных поясов
АР-8min. С моделью можно ознакомиться по адресу
#"85288.files/image025.jpg"
alt="kk20ss (1K)">с коэффициентом корреляции
Структура пояса определяется характером диффузии и
потерями.
В случае магнитной диффузии (под действием внезапных
импульсов) коэффициент диффузии D~L10, а случае электрической – D~L6. Сравнение
с экспериментальной структурой протонного пояса позволяет определить тип
диффузии, ответственной за формирование пояса. Магнитная диффузия ионов с
границы магнитосферы с учетом ионизационных потерь и плотности холодной
атмосферы на больших высотах ~1000 см-3 дает количественное согласие с
экспериментом (Тверской, 1965а, 1968; см. также Тверской, 2004). Положение
максимума интенсивности протонов разных энергий Lmax(p)~E-3/16, причем для
ионов i с другим атомным номером А и зарядом z теория предсказывает:
(3.2.20)
Предсказанная этой теорией структура пояса
альфа-частиц полностью совпала с полученными позднее экспериментальными данными
(Fritz and Spjeldvik, 1981). Исследования с привлечением большого количества
данных по протонам, альфа-частицам, ионам углерода и кислорода подтвердили
основную роль магнитной диффузии в формировании пространственно-энергетического
распределения этих частиц (Panasyuk, 2004).
На рис. 7 приведены зависимости положения максимумов
поясов протонов, ионов Не, С, N и О от энергии по данным модели АР-8, и по
данным измерений ИСЗ «Электрон-1– 4», «Explorer-45», «Молния-1,2», и ISEE-1
(Panasyuk, 2004).
Прямые линии 1 – 4 для каждого сорта ионов
соответствуют теории Тверского (для ионов С и О среднее зарядовое состояние 5+
и 6+, соответственно).
Экспериментальные данные для ионов имеются в
сравнительно узком диапазоне энергий, и все удовлетворительно согласуются с
теоретическими зависимостями. Видно, что в широком диапазоне энергий протонов
(от ~0.3 до 30 МэВ) теория хорошо описывает структуру протонного пояса. Для
энергий >30 МэВ, как уже отмечалось, источником частиц является распад
нейтронов альбедо космических лучей. Отклонения на малых энергиях связаны с
необходимостью учета перезарядки и, возможно, электрической диффузии (Панасюк,
1984).
Обращает на себя внимание значительное отклонение
данных модели АР-8 в области энергий 0.1 – 0.3 МэВ от многочисленных более
поздних измерений. Этот интервал энергий уже относится к диапазону энергий
частиц кольцевого тока и здесь не рассматривается.
Ионы радиационных поясов могут иметь различное
происхождение:
1. Захват ионов на внешних замкнутых дрейфовых
оболочках, как и протонов, тогда максимальный их поток наблюдается на экваторе,
и теория ионного пояса аналогична теории протонного пояса, как указывалось
выше.
2. В магнитосферу могут проникать однозарядные ионы
аномальной компоненты космических лучей, обдираться во внешней атмосфере на
высотах 200 – 300 км и захватываться при соответствующем питч- угле в
Бразильской аномалии (Grigorov et al., 1991). Минимальная энергия ионов Ei в
МэВ/нукл находится из выражения:
(3.2.21)
Эта энергия соответствует χ =0.75 и после полной
обдирки для кислорода χ=0.75/8=0.94. Максимальная энергия, при которой
может быть захвачен ион кислорода Emax=1.37Ei.
Для кислорода такой пояс наблюдается на L~2.2 в
интервале энергий 18 – 25 МэВ. Длительные исследования этого пояса проведены на
спутнике SAMPEX (Leske et al., 1999, Mazur et al., 1999). В составе этого пояса
были обнаружены также ионы углерода, азота, неона и аргона.
На L<1.4 существует ионный пояс «второго» порядка,
возникший в результате взаимодействия энергичных протонов внутреннего пояса с
атомами кислорода остаточной атмосферы (Вандас и др., 1988).
2.2 Вариации во время магнитных бурь
Протоны радиационных поясов испытывают адиабатические
вариации во время магнитных бурь, коррелирующие с Dst-вариацией (McIlwain,
1966; Soraas and Davis, 1968). Во время сильных бурь наблюдаются
неадиабатические вариации протонов с энергией в десятки МэВ (McIlwain, 1965;
Ильин, Кузнецов, 1975). Во время магнитной бури внутри кольцевого тока
магнитное поле ослабевает, поэтому условия захвата частиц изменяются. Граница
захвата протонов смещается на меньшие L*.
3.2.22
Формула справедлива при Dst •(L*)3/30040<0.17.
Зарегистрированы случаи прямого захвата альфа-частиц,
генерированных во время солнечных вспышек, на внутренние L- оболочки (L=3–4)
(Van Allen and Randall, 1971) и возрастаний потоков более тяжелых ионов во
внутренней магнитосфере во время сильных магнитных бурь (Spjeldvik and Fritz,
1981).
Появление нового мощного пояса протонов и электронов с
энергиями в десятки МэВ на L~2.5 было зарегистрировано на ИСЗ CRRES 24 марта
1991 г. (Blake et al., 1992). В момент гигантского (с амплитудой ~200 нТл)
внезапного импульса геомагнитного поля за ~1 минуту на L~2.8 сформировался
новый пояс протонов в десятки МэВ, эквивалентный стабильному внутреннему поясу,
имеющему максимум на L~1.5, и электронов с Ее>15 МэВ.
На рис. 8 (Li et al., 1996) представлены радиальные
профили радиационных поясов для протонов с Ер=20-80 МэВ и электронов с Ее>15
МэВ, построенные по данным измерений до события 24 марта 1991 г., через 6 дней
и через ~6 месяцев после образования нового пояса. Видно, что потоки электронов
с Ее>15 МэВ превысили спокойный уровень почти на три порядка величины, а
протоны с Ер=20-80 МэВ – более чем на два порядка. Через 6 месяцев новые пояса
электронов и протонов продвинулись на меньшие L. В дальнейшем они
регистрировались, по крайней мере, до середины 1993 г. (Гинзбург и др., 1993;
Klecker, 1996).
Эволюция “ударного” пояса релятивистских электронов в
процессе последовавшей за гигантским SSC сильной магнитной бури будет
рассмотрена в 3.6.
Эффект «ударной» инжекции частиц был объяснен в рамках
теории дрейфа частиц в электрическом и магнитном полях внезапного импульса
(Тверской, 1968) в предположении существования в данном случае биполярного
импульса большой амплитуды (~200 нТл): положительного длительностью ~10 сек и
отрицательного длительностью ~1 мин (Павлов и др., 1993). Аналогичная идея была
использована в детальном компьютерном расчете этого случая (Li et al., 1993).
Как следует из расчетов, влияние внезапного
биполярного импульса на перераспределение заряженных частиц во внутренней
магнитосфере зависит от его амплитуды и временных масштабов переднего и заднего
фронтов. Импульсы меньшей амплитуды, чем гигантский SSC 24 марта 1991 г., также
могут вызвать появление новых поясов частиц других энергий на других
L-оболочках.
3 электроны радиационных поясов
3.1 Среднее состояние поясов
На рис 9 приведена структура пояса электронов в
плоскости экватора и при В/Вэк=3 по модели АЕ-8мин (#"85288.files/image030.jpg"
alt="kk23 (2K)">3.2.23
На рис. 19 приводится зависимость Lmax от |Dst|max,
построенная во всем диапазоне известных амплитуд магнитных бурь, включая самую
сильную бурю за всю историю космических исследований – 13-14 марта 1989 г.
(Tverskaya et al., 2005). Видно, что новые данные многочисленных спутников на
больших и малых высотах хорошо соответствуют зависимости (3.2.23).
В соответствии с теоретическими представлениями
(Tverskoy, 1972, 1982, 1997) и экспериментальными данными (Тверская, 1998;
Tverskaya et al., 2005) формула (3.2.23) может определять (с точностью не хуже,
чем первые десятые доли L), до каких L- оболочек в ночной магнитосфере
смещаются в максимуме бури многие плазменные структуры: граница области
захваченной радиации, максимум давления плазмы кольцевого тока, экваториальная
граница овала полярных сияний, центр западной электроструи, граница
проникновения солнечных космических лучей. Поэтому рассматриваемая зависимость
может быть эффективно использована для предсказания космической погоды.
Вопрос о механизме ускорения релятивистских электронов
во время магнитных бурь остается открытым. Электроны с энергиями в десятки –
первые сотни кэВ (так называемые “seed” электроны) легко могут быть ускорены
нестационарными электрическими полями суббурь (Бондарева и Тверская, 1973; Li
et al., 1998). Электроны больших энергий могут ускоряться в процессе
диполизации магнитного поля при втягивании силовых линий геомагнитного хвоста в
область захваченной радиации во время суббурь (Tverskoy, 1969). Поскольку
электроны инжектируются в поле, ослабленное кольцевым током, на фазе
восстановления бури они испытывают дополнительное ускорение (Вакулов и др.,
1975).
В последние годы предложено несколько механизмов
ускорения электронов до релятивистских энергий на основе взаимодействия
волна-частица (Summers and Ma, 2000; Бахарева, 2003 и соответствующие ссылки).
Однако большинство этих механизмов ускоряют электроны до релятивистских энергий
за время порядка нескольких часов и даже дней. В то же время эксперимент
показывает, что ускорение электронов до релятивистских энергий может
происходить даже в сердцевине внешнего радиационного пояса на временной шкале
~1 ч (Тверская, 1998; Li et al., 1999).
Достаточно подробный обзор разрабатываемых в последние
годы механизмов ускорения электронов радиационных поясов можно найти в (Friedel
et al., 2002).
4 потоки энергичных частиц под радиационными поясами
земли
На рис. .3 (из раздела 1.3) приведены карты
распределения различных частиц в поясах на высоте около 500 км. Для электронов
с Ее=0.3-0.6 МэВ выбрана минимальная интенсивность 10 частиц/см2сср. Хорошо
видны области внутреннего пояса, внешнего пояса и область высыпания из внешнего
пояса на северных и южных широтах вокруг всей Земли. Характерной особенностью
распределения энергичных электронов на малых высотах является наличие долготной
зависимости их интенсивности вдоль траектории дрейфа. При одних и тех же
параметрах L и В интенсивность электронов на долготах к западу от аномалии
больше, чем к востоку (Вернов и др., 1963).
На более низких широтах, чем область высыпания из
внешнего пояса, также существуют потоки квазизахваченных частиц, генетически
связанных с радиационными поясами. На рис.20 приведены данные пролета ИСЗ
КОРОНАС-И с севера на юг на L<8. В северном полушарии видно два пика потоков
электронов, соответствующие внешнему поясу (L~4-5) и внешней кромке внутреннего
пояса (L~2.1-2.3). В южном полушарии наблюдаются дополнительные пики на L~1.3 и
L~1.6. Также заметно некоторое возрастание потоков протонов на экваторе, на
промежуточных L и вблизи внешней границы внешнего пояса. Анализ данных,
полученных на других орбитах, показывает, что возрастания потоков протонов на
экваторе и на L~3.5 и 4.5 повторяются.
На рис. 21 (Bashkirov et al., 1999) приведено
географическое распределение потоков электронов. Все области квазизахваченных
электронов хорошо разделяются. В северном полушарии в области долгот от -70° до
+50° потоки электронов на L~2.1 и 1.6 практически отсутствуют. Это – область,
сопряженная Бразильской аномалии.
Исходя из разницы магнитного поля в Бразильской аномалии
и сопряженной точке на высоте полета спутника, можно определить, что рассеяние
электронов на полукачке на L~2.1 и 1.6 меньше 4- 6°. Интересно, что если на
L~2.1 и 1.3 пики электронов регистрируются в любое мировое время, то на L~1.6
они регистрируются только с 10 до 24 ч UT (см. рис. 22).
Иногда во внешнем поясе в районах северного полушария,
сопряженных с Южно-Aтлантической аномалией, где зеркальные точки опускаются
ниже 50 км или уходят под Землю, регистрируются заметные потоки энергичных
электронов. Это, скорее всего, связано с рассеянием частиц за один качек при
движении между точками отражения (Вернов и др., 1965).
На L<2 квазизахваченные электроны регистрировались
в ряде экспериментов. На существование потоков электронов на L~1.6 было указано
в работе (Nagata et al., 1988). В работах (Imhof et al., 1984, Imhof et al.,
1995) исследовалось высыпание электронов, вызванное взаимодействием с
излучением низкочастотных радиостанций.
Зарегистрированы случаи появления в районе экватора
протонов с Ер~70 кэВ (Бутенко, 1975) и 1-4.5 МэВ (Bashkirov, 1999).
Исследования этого эффекта проводились и ранее (Hovestadt et al., 1972; Гоцелюк
и др., 1974; Greenspan et al, 1999; Grachev et al., 2002). В работе (Гоцелюк и
др., 2005) более детально изучалось распределение протонов под поясами. На рис.
23 приведено распределение протонов вблизи экватора. Видно, что они
регистрируются на L<1.1, то есть существуют менее одного периода дрейфа
вокруг Земли. Их источником считаются протоны радиационного пояса на L~2.5–4.
Эти протоны захватывают электроны экзосферы и уже не удерживаются магнитным
полем. Часть их, достигая атмосферы Земли на высоте ~ 200 км в экваторе,
обдираются и, если они имеют питч-угол ~ 90°, захватываются магнитным полем. В
работе выделены еще две области регистрации квазизахваченных протонов. Это –
3<L<4 и L>4. Область квазизахваченных протонов на 3<L<4
существует из-за паразитного рассеяния протонов на циклотронном излучении
электронов (Гоцелюк и др., 1985). Неясно, чем объяснить высыпание протонов на
L>4.
Список литературы
Альвен Г., Фельтхаммер К., Космическая
электродинамика, основные принципы, М.: Мир, 1967.
Андронов А.А., Трахтенгерц В.Ю., Кинетическая
неустойчивость радиационных поясов Земли, Геомагнетизм и аэрономия, Т. 4, с.
181-185, 1964.
Бахарева М.Ф., Нестационарное статистическое ускорение
релятивистских частиц и его роль во время геомагнитных бурь, Геомагнетизм и
аэрономия, Т. 43, № 6, с. 737–744, 2003.
Безродных И.П., Бережко Е.Г., Морозова Е.И. и др.,
Всплески энергичных электронов на магнитопаузе и во внешнем радиационном поясе,
Геомагнетизм и аэрономия, Т. 24, с. 818- 830, 1984.
Бутенко В.Д., Григорян О.Р., Малкиэль Г.С.,
Столповский В.Г., Потоки протонов с Ер>70 кэВ в приэкваториальной области на
малых высотах, Космические исследования, Т. 13, № 4, с. 508- 512, 1975.
Вакулов П.В., Коврыгина Л.М., Минеев Ю.В., Тверская
Л.В., Динамика внешнего пояса энергичных электронов во время умеренной
магнитной бури, Геомагнетизм и аэрономия, Т. 15, № 6, с.1028-1032, 1975.
Вандас М., Дворжакова М., Кузнецов С.Н., Фишер С.,
Регистрация энергичных ионов на высоте 500 км во внутреннем радиационном поясе
Земли, Изв. АН СССР, сер. физ., Т. 52, № 12, с. 821- 823, 1988.
Вернов С.Н., Савенко И.А., Шаврин П.И., Тверская Л.В.,
О структуре радиационных поясов Земли на высоте 320 км. Cenl`cmerhgl и
аэрономия, Т. 3, № 5, с. 812-815, 1963.
Вернов С.Н., Савенко И.А., Тверская Л.В., Тверской
Б.А., Шаврин П.И., Об интенсивности электронов радиационных поясов на высотах
180-330 км в районах, сопряженных с отрицательными геомагнитными аномалиями,
Космические исследования, Т. 3, вып. 1, с. 128-134, 1965.
Гинзбург Е.А., Малышев А.В., Пустоветов В.П., О новом
радиационном поясе релятивистских электронов на L=1.9 по данным измерений на
ИСЗ Метеор, Изв. РАН, сер. физ., Т. 57, с. 89-92, 1993.
Гоцелюк Ю.В., Кузнецов С.Н., Кузнецова В.А., Рассеяние
протонов радиационного пояса на свистовой моде ОНЧ-излучения, Космические
исследования, Т. 23, №5, c. 729-735, 1985.
Гоцелюк Ю.В., Логачев Ю.И., Столповский В.Г.,
Пространственное распределение и временные вариации протонов с энергией более 1
МэВ на ионосферных высотах, Геомагнетизм и аэрономия, Т. 14, №6, с. 944- 954,
1974.
Захаров А.В., Кузнецов С.Н., Высыпание электронов и
ОНЧ- излучение, Геомагнетизм и аэрономия, Т. 18, №2, с. 352-353, 1978.
Иванова Т.А., Павлов Н.Н., Рейзман С.Я., Рубинштейн
И.А., Сосновец Э.Н., Тверская Л.В., Динамика внешнего радиационного пояса
релятивистских электронов в минимуме солнечной активностиб Геомагнетизм и
аэрономия, Т. 40, № 1, с. 13-18, 2000.
Ильин В.Д., Кузнецов С.Н., Неадиабатические эффекты
движения частиц в статическом дипольном поле и в переменных во времени полях,
VII Ленинградский Международный семинар, Ленинград, с. 269-278, 1975.
Кузнецов С.Н., Суворова А.В., Дмитриев А.В., Форма и
размеры магнитопаузы. Связь с параметрами межпланетной среды, Геомагнетизм и
аэрономия, Т. 68, № 6, с. 7-16, 1998.
Кузнецов С.Н., Юшков Б.Ю., О границе неадиабатического
движения заряженных частиц в поле магнитного диполя, Физика плазмы, Т. 28, № 4,
с. 375-383, 2002.
Кузнецов С.Н., Мягкова И.Н., Юшков Б.Ю., Муравьева
Е.А., Кудела К., Динамика внешнего радиационного пояса во время сильных
магнитных бурь по данным КОРОНАС-Ф, Доклад на Международной конференции
«КОРОНАС-Ф: «Три года наблюдений активности Солнца», 2001-2004 гг.» 31 января –
5 февраля 2005 г. Астрономический Вестник, 2006 (в печати).
Лайонс Л., Вильямс Д., Физика магнитосферы.
Количественный подход, М.: Мир, 1987.
Павлов Н.Н, Тверская Л.В., Тверской Б.А., Чучков Е.А.,
Вариации энергичных частиц радиационных поясов во время сильной магнитной бури
24-26 марта 1991 года, Геомагнетизм и аэрономия, Т. 33, № 6, с. 41-45, 1993.
Панасюк М.И., Экспериментальная проверка механизмов
переноса ионов в радиационных поясах Земли под действием нестационарных
электрических полей, Космические исследования, T. 22, вып. 4, с. 572-587, 1984.
Тверская Л.В., О границе инжекции электронов в
магнитосферу Земли, Геомагнетизм и аэрономия, Т. 26, с.864-869, 1986.
Тверская Л.В., Диагностика магнитосферных процессов по
данным о релятивистских электронах радиационных поясов, Геомагнетизм и
аэрономия, Т. 38, № 5 с. 22-32, 1998.
Тверской Б.А., Захват быстрых частиц из межпланетного
пространства, Изв. АН СССР, сер. физ., Т. 28, с. 2099-2103, 1964а.
Тверской Б.А., Динамика радиационных поясов Земли. II,
Геомагнетизм и аэрономия, Т. 4, с.436-448, 1964б.
Тверской Б.А., Перенос и ускорение заряженных частиц в
l`cmhrnqtepe Земли. Геомагнетизм и аэрономия, T. 5, c. 793- 809, 1965.
Тверской Б.А., Устойчивость радиационных поясов Земли,
Геомагнетизм и аэрономия, Т. 7, № 2, с. 226-242, 1967.
Тверской Б.А., Динамика радиационных поясов Земли, М.:
Наука,1968, 224 с.
Тверской Б.А., О продольных токах в магнитосфере,
Геомагнетизм и аэрономия, Т. 22, № 6, с. 991-995, 1982.
Тверской Б.А., Механизм формирования структуры
кольцевого тока магнитных бурь, Геомагнетизм и аэрономия, Т. 37, № 5, с. 29-
34, 1967.
Тверской Б.А., Основы теоретической космофизики, М.:
Едиториал УРСС, 2004, 376 с
Baker D.N., Li X., Turner N. et. al.,
Recurrent geomagnetic storms and relativistic electron enhancement in the outer
magnetosphere: ISTP coordinated measurements, J.Geophys. Res., V. 102, p.
14141-14148, 1997.
Baker D.N., Kanekal S.G, Pulkkinen N.I.,
and Blake J.B., Equinoctial and solstitial averages of magnetospheric
relativistic electrons: A strong semiannual modulation, Geophys. Res. Lett., V.
26, pp. 3193-3196, 1999.
Bashkirov V.F., Denisov Yu.I., Gotselyk
Yu.V., Kuznetsov S.N., Myagkova I.N., Sinyakov A.V., Trapped and quasitrapped
radiation observed by CORONAS-I satellite, Radiation Measurements so (1999), p.
537-548.
Blake J.B., Gussenhoven M.S, Mullen E.G.,
Fillius R.W. Identification of an unexpected space radiation hazard, IEEE
Trans. Nucl. Sci., V. 39, p. 1761-1765, 1992.
Chen A.J., Penetration of low-energy
protons deep into the magnetosphere, J. Geophys. Res., V. 75, p. 2458-2467,
1970.
Cladis J.B., Acceleration of
geomagnetically trapped electrons by variation of ionospheric currents, J.
Geophys. Res., V. 71, p.5019-5025, 1966.
Dessler A.I., and Karplus R., Some effects
of diamagnetic ring currents in Van Allen radiation belts, J. Geophys. Res., V.
66, p. 2289-2297, 1961.
Falthammar С.G., On the transport
of trapped particles in the outer magnetosphere, J. Geophys. Res., V. 70, p.
2503-2512, 1965.
Frank L.A., Inward radial diffusion of
electrons of greater than 1.6.Million electron volts in the outer radiation
zone, J. Geophys. Res., V.70, p. 3533-3540, 1965.
Friedel R.H.W., Reeves G.D., Obara T.,
Relativistic electron dynamics in the inner magnetosphere. A review, Solar-
Terrestrial Phys., V. 64, p. 265-282, 2002.
Fritz T.A., and Spjeldvik W.N.,
Steady-state observation of geomagnetically trapped energetic heavy ions and
their implications for theory, Planet. Space Sci., V. 29, No 11, p. 1169-1193,
1981.
Grachev E., Grigorian O., Juchniewicz J.,
Klimov S., Kudela K., Petrov A., Stetiarova J., Low energy protons on L 1.15 in
500- 1500 km range, Adv. Space Res., V. 30, No 7, p. 1841-1845, 2002
Greenspan M. E., Mason G.M., Mazur J.E.,
Low-altitude equatorial ions: A new look with SAMPEX, J. Geophys. Res., V. 104,
No A9, p. 19,911 -19,922, 1999.
Grigorov N.L., Kondrat’eva M.I., Panasyuk
M.I., Tretyakova Ch.A., Adams J., Blake J.B., Schulz M., Mewaldt R.A., Tylka
A., An evidence for anomalous cosmiс ray oxygen ions in the inner
magnetosphere, Geophys. Res. Lett., V. 18, p. 1959- 1962, 1991.
Hovestadt D., Hausler B., Sholer M.,
Observation of energetic particles at very low altitudes near the geomagnetic
equator, Phys. Rev. Lett., V. 28, p. 1340-1343, 1972.
Huang C.-S., Reeves G.D., Bordovsky J.E.,
Skoug R.M., Pu Z.Y., Le G., Periodic magnetospheric substorms, and their
relationship with solar wind variations, J. Geophys. Res., V. 108, No A6, p.
1255-1266, doi 10.1029/2002/JA009704, 2003.
Imhof W.L., Gaines E.E., Reagan J.B. High
resolution spectral features observed in the inner belt electrons. J. Geophys
Res., V. 90, No A9, p. 8333-8342, 1995.
Imhof, W. L.; Reagan, J. B.; Gaines, E. E.;
Datlowe, D. W., The L shell region of importance for waves emitted at ground
level as a loss mechanism for trapped electrons with energies greater than 68
keV, J. Geophys. Res., (ISSN 0148-0227), V. 89, p. 10827-10835, 1984.
Ingraham J.C., Cayton T.E., Belian R.D.,
Christensen R.A., Guyker F., Meier M.M., Reeves G.D., Brautigam D.H.,
Gussenhoven M.S., Robinson R.M., Multisatellite characterization of the large
energetic electron fluxes increase at L=4-7, in the five-day period following
the March 24, 1991 solar energetic particle event, Workshop on the Earth’s
Trapped Particle Environment, ed. by G. D. Reeves, AIP Conf. Proc. 383, p.
103-108, 1996.
Ivanova T.A., Pavlov N.N., Sosnovets E.N.,
Tverskaya L.V., Dynamics of outer belt relativistic electrons in a solar
activity minimum. In “Space Radiation Belt Modelling: New Phenomena and
Approaches, Schedule. Programme and abstracts”. p. 140, 1997.
Kennel, C. F.; Petscheck, H. E., Limit on
stably trapped particle fluxes, J. Geophys. Res., V. 71, p. 1-28, 1966.
Klecker B., Energetic particles environment
in near Earth’s orbit, Adv. Space Res., V. 17, No 2, p. 37-45, 1996.
Kuznetsov S.N., Myagkova I.N., Yushkov B.Yu.,
Relationship of Energetic Particle Fluxes at Geostationary Orbit with Solar
Wind Parameters and Cosmic Ray Fluxes, Proceedings of Space Radiation
Environment Workshop, Farnborough, UK, 1999. Eds. D.Rodgers, S.Clucas, K.Hunter
and C.Dyer. British National Space Centre, No 12, p.1-4, 2002.
Leske et al., Long-Term Temporal Behavior
of Interplanetary and Trapped Anomalous Cosmic Rays, Proceedings of the 26th
ICRC. August 17-25, 1999. Salt Lake City, Utah, USA. V. 7, Edited by D. Kieda,
M. Salamon, and B. Dingus, p. 516-519.
Li X., Roth I., Temerin I.M., Wygant J.R,
Hudson M.K., Blake J.B., Simulation of the prompt energization and transport of
radiation belt particles during the March 24, 1991 SSC, Geophys. Res. Lett., V.
20, p. 2423-2426, 1993.
Li X., Hudson M.K., Blake J.B., Roth I.,
Temerin I.M., Wygant J.R, Observation and simulation of the rapid formation of
a new electron radiation belt during March 24, 1991 SSC. Workshop on the
Earth’s Trapped Particle Environment, ed. by G. D. Reeves, AIP Conf. Proc. 383,
p. 109-118, 1996.
Li X., Baker D.N., Temerin M., Reeves G.D.,
Belian R.D., Simulation of dispersionless injections and drift echoes of
energetic electrons associated with substorms. Geophys. Res. Lett., V. 25, p.
3759-3762, 1998.
Li X., Baker D.N., Temerin M. et al., Rapid
Enhancements of Relativistic Electrons Deep in the Magnetosphere during the May
15, 1997 Magnetic Storm, J. Geophys. Res., V. 104, No A3, p. 4467-4476, 1999.
Mazur I. et al., Low energy anomalous
cosmic rays trapped in the Earth's magnetosphere: 6 years of SAMPEX
observations, Proceedings of the 26th ICRC, August 17-25, 1999. Salt Lake City,
Utah, USA. V. 7. Edited by D. Kieda, M. Salamon, and B. Dingus, p. 527-530.
McDonald W.H., Walt M., Distribution
function of magnetically confined electrons in a scattering atmosphere, Ann.
Phys., V. 15, p. 44-48, 1961.
McIlwain C.E., Redistribution of trapped
protons during a magnetic storm, Space Res., V. 5, p. 374-391, 1965.
McIlwain C.E., Ring current effects on
trapped particles, J. Geophys. Res., V. 71, p. 3623-3634, 1966.
McIlwain C.E., Processes Acting Upon Outer
Zone Electrons, Radiation Belts: Model and Standard Geophysical Monograph, p.
15-26, 1996.
Nagata K., Kohno T., Murakami H., Nakamoto
A., Hasebe,N., Electron (0.19-3.2 MeV) and proton (0.58-35 MeV) precipitations
observed by OHZORA satellite at low latitude zones L=1.6-1.8, Planet. Space
Sci. (ISSN 0032-0633), V. 36, p. 591-606, 1988.
Nakada N.P., and Mead G.D., Diffusion of
protons in the outer radiation belt, J. Geophys. Res., V. 70, p. 3529-3536,
1965.
O’Brien T.P., McPherron R.L., Sornette D.,
Reeves G.D., Friedel R., Singer H.J., Which magnetic storms produce
relativistic electrons at geosynchronous orbit? J. Geophys. Res., V. 106, No
A8, p.15533-15544, 2001.
Panasyuk M.I., The Ion Radiation Belts:
Experiments and Models, in: Effect of Space Weather on Technology
Infrastructure, ed. by I.A. Daglis, Kluwer Academic Publishers. p. 65-90, 2004.
Parker E.N., Geomagnetic fluctuations and
the form of the outer zone of the Van Allen radiation belt, J. Geophys. Res.,
V. 65, p. 3117-3126, 1960.
Paulikas J.B., and Blake D.N., Effects of
the solar wind on magnetospheric dynamics: energetic electrons at the
synchronous orbit, In: Olson, W. (Ed.), Quantitative Modelling of the
Magnetospheric Processes, V. 21 of Geophys. Monogr. Ser. AGU, Washington D.C.,
p. 180-202, 1979.
Reeves, G. D., Relativistic electrons and
magnetic storms: 1992- 1999, Geophys. Res. Lett., V. 25, p. 1817-1820, 1998.
Russel C.T., and McPherron R.L., Semiannual
variations of geomagnetic activity, V. 78, p. 92-100, 1973.
Singer S.F., Trapped albedo neutron theory
of the radiation belt, Phys. Rev. Lett., V. 1, р.181-183, 1958.
Soraas F., and Davis L.R., Temporal
variations of the 100 keV to 1700 keV trapped protons observed on satellite
Explorer-26 during the first half of 1965, GSFC Rept. X-612-68-328. 1968.
Summers D., and Ma С., A
model for generating relativistic electrons in the Earth’s inner magnetosphere
based on gyroresonant wave-particle interactions, J. Geophys. Res., V. 105. No
A2. p. 2625-2639, 2000.
Thorne R.M. and Kennel C.F., Relativistic
electron precipitation during magnetic storm main phase, J. Geophys. Res., V.
76, p. 4456-4468, 1971.
Tverskaya L.V., Dynamics of energetic
electrons in the radiation belts. Radiation belts: Model and Standards, Geophysical
Monograph 97, AGU, p. 183-187, 1996.
Tverskaya L.V., The long period DP-1 and
DP-2 variation effects in radiation belts, Proc. of XXIV Annual Seminar
“Physics of Auroral Phenomena”, Apatity, p. 55-58, 2001.
Tverskaya L.V., Krasotkin S.A., Global
long-period oscillations of the magnetosphere and the related phenomena in the
radiation belts, Proc. “SOLSPA:The Solar Cycle and Space Weather
Euroconference”, Vico Equence, Italy, 24-29 September 2001 (ESA SP-477,
February 2002), 2002.
Tverskaya L.V., Pavlov N.N., Ivanova T.A.,
Some features of injection of relativistic electrons into the inner
magnetosphere during a magnetic storm, Proc. of XXV Annual Seminar “Physics of
Auroral Phenomena”, Apatity, p. 59-62, 2002.
Tverskaya L.V., Ivanova T.A., Pavlov N.N.,
Reizman S.Ya., Sosnovets E.N., Vlasova N.A., Long-term variations of the
outer-belt relativistic electron fluxes. Programme and Abstract Book of
Workshop “Effects of Space Weather on Technology Infrastructure”, Rhodes,
Greece, 25-29 March 2003. Ed. by F.-A. Metallinou, p. 55, 2003a.
Tverskaya L.V., Ginzburg E.A., Pavlov N.N.,
Svidsky P.M., Injection of relativistic electrons during the giant SSC and
greatest magnetic storm of the space era, Adv. Space Res., V. 31, No 4, p.
1033-1038, 2003b.
Tverskaya L.V., Ivanova T.A, Pavlov N.N.,
Reizman S.Ya., Rubinstein I.A., Sosnovets E.N., Veden’kin N.N., Storm-time
formation of a relativistic electron belt and some relevant phenomena in other
magnetosphere plasma domains, Adv. Space Res., V. 36, No 12, p. 2392-2400,
2005.
Tverskoy B.A., The Earth’s radiation belt
theory, Proc. of 9th ICRC, London, V. 1, p. 546-547, 1965.
Tverskoy B.A., Main mechanisms in the
formation of the Earth’s radiation belts. Rev. Geophys., V. 7, No 1-2, p.
219-221, 1969.
Tverskoy B.A., Electric fields in the
magnetosphere and the origin of trapped radiation, In: Solar Terr. Phys/ 1970,
ed. by Dyer, R.Publ.Co., p. 297-317, 1972.
Van Allen J.A., and Randall D.A., Evidence
for direct durable capture of 1-8MeV solar alfa-particles into geomagnetically
trapped orbits, J. Geophys. Res., V. 76, p.1830-1841, 1971.
Vernov S.N., Gorchakov E.V., Kuznetsov
S.N., Logachev Yu.I., Sonsovets E.N., Stolpovsky V.G., Particle fluxes in the
outer geomagnetic field. Rev. of Geophys., V. 7, No 1,2, p. 257-280, 1969.
Walt M., Source and Loss processes for
Radiation Belt Particles, Model and Standards, Geophysical Monograph 97, AGU,
pp.1-13, 1996.
West H.I., Buck R.M., Davidson G.T., The
dynamics of energetic electrons in the Earth’s outer radiation belt during 1968
as observed by the Lavrence National Laboratory’s spectrometer on OGO-5, J.
Geophys. Res., V. 86, p. 2111-2122, 1981.
Williams D.J., 27-day periodicity in outer
zone trapped electron intensities, J. Geophys. Res., V. 71, p. 1815-1821, 1966.
Williams D.J., Arens I.F., and Lanzerotti
L.T., Observations of trapped electrons at low and high altitudes, J. Geophys. Res., V. 73, p. 5673-5684, 1968.
Для подготовки данной работы были использованы
материалы с сайта http://www.kosmofizika.ru