Просветление тумана в электрическом поле

  • Вид работы:
    Реферат
  • Предмет:
    Математика
  • Язык:
    Русский
    ,
    Формат файла:
    MS Word
    57,15 kb
  • Опубликовано:
    2009-01-12
Вы можете узнать стоимость помощи в написании студенческой работы.
Помощь в написании работы, которую точно примут!

Просветление тумана в электрическом поле

Просветление тумана в электрическом поле

Антон Латкин, Константин Турицын

Руководитель: П.В. Воробьев

8 класс школы-колледжа 130, г. Новосибирск

Аннотация

В настоящей работе представлены результаты исследования процесса рассеивания тумана в электрическом поле. Приводится теоретическое обоснование возможности просветления тумана в однородном электрическом поле, а так же приводится анализ экспериментов, который позволят определить роль однородного электрического поля в рассеивании тумана.

Введение

Физические процессы, происходящие в облаках исследовались ранее в работах [1-3]. Достаточно подробно эти явления описаны в книге Н.С. Шишкина " Облака, осадки и грозовое электричество." [1]. Многочисленные данные о влиянии электрического поля на соударение капель были получены Н.В. Красногорской [4]. Тем не менее такой важный эффект , как влияние однородного электрического поля на рассеивание тумана, в литературе описан недостаточно подробно . Данная работа посвящена исследованию этого явления .

Вначале нами была доказана возможность слияния капель за счет их взаимодействия в однородном электрическом поле, теоретически оценена сила взаимодействия капель, скорость капель и время их сближения. Затем были проведены эксперименты , и в результате был сделан вывод о роли электрического поля в просветлении тумана.

Теоретическое обоснование.

В нашей модели мы рассматривали туман, как насыщенный пар, содержащий капли фиксированного радиуса. Как известно, в такой системе воды и воздуха происходит два процесса: испарение воды и конденсация водяного пара. Для получения тумана нужно добиться конденсации пара воды в капли. Этого можно достичь либо путем понижения температуры. либо путем повышения давления. Рассматривая разные способы создания тумана, мы пришли к выводу, что самым простым и эффективным будет охлаждение воды жидким азотом в каком-либо сосуде.

В этом случае туман образуется из-за того, что попадающий в сосуд с водой жидкий азот, охлаждает водяной пар, который всегда в некотором количестве содержится над водой и конденсируется в капли. Испаряющийся азот уносит эти капли из сосуда, вода в сосуде продолжает испаряться из-за уменьшения влажности воздуха, и таким образом в течение некоторого времени образуется туман.

Известно, что в результате поляризации в неоднородном электрическом поле проволоки , нейтральные частицы, находящиеся в воздухе, начинают двигаться. На этом эффекте строится принцип работы пылеулавливающих фильтров, таким же образом можно производить и рассеивание тумана. В этом случае поляризовавшиеся капли (пылинки) засасываются в область около проволоки и там оседают.

В однородном электрическом поле на образовавшиеся заряды капли будут действовать равные по абсолютной величине и противоположные по направлению силы, поэтому эти силы не могут повлиять на движение капли. По нашему предположению, капли в однородном электрическом поле будут притягиваться вследствие их диполь-дипольного взаимодействия (рис. 3).

Рассмотрим эффекты, возникающие при попадании капли в электрическое поле. В нормальном состоянии капля имеет шарообразную форму, под действием же электрического поля капля поляризуется и растягивается (рис. 2). Оценим образовавшийся на капле заряд. Как известно, у воды, из которой состоит капля, большая относительная диэлектрическая проницаемость ( ~ 80), и, следовательно, суммарное поле в капле должно быть близко к нулю. То есть поле, создаваемое зарядами на капле, равно по модулю внешнему электрическому полю, и по направлению - противоположно ему. Найдем поле, создаваемое зарядами на капле. Для этого представим каплю как цилиндр, радиуса r, с двумя одинаковыми зарядами, расположенными на его торцах , тогда по теореме Гаусса :

,

где S - рассматриваемая поверхность, внутри которой заключен заряд капли , а Q - заряд на капле. Подставляя S= r2, получаем :

Q=0 r2E0 (1)

Где E0 - внешнее поле пластин , r- радиус капли.

 (2),

а сила поверхностного натяжения, стягивающая каплю, равна

 (3),

где  - коэффициент поверхностного натяжения воды, r - радиус капли.

Следовательно, для того, что бы электрическое поле пластин могло разорвать каплю нужно что бы  была больше , т.е.

В наших условиях, при характерных величинах м, , 0.072н/м, напряженность внешнего электрического поля должна быть больше 2.6 107 В/м, что превышает максимальную напряженность поля ,возможного в атмосфере . Поэтому поле, равное

3.5 105 В/м, способно разорвать каплю с радиусом, большим чем 7 см.

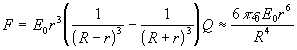
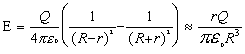
Теперь перейдем к рассмотрению сил взаимодействия между двумя каплями. Для этого представим себе каплю как два точечных заряда, расположенных на расстоянии 2r друг от друга , и найдем напряженность электрического поля, создаваемого этой каплей в точке А, расположенной на расстоянии R от центра капли. По закону Кулона:

,

где Е - напряженность поля точечного заряда, Q - заряд, R - расстояние от заряда до точки, в которой мы хотим найти напряженность.

Чтобы найти напряженность поля капли, нужно рассчитать напряженность поля, создаваемого каждым из зарядов, а потом, по принципу суперпозиции полей, сложить их, в результате получим:

 (4)

Подставляя формулу (1) в формулу (4) получаем:

 (5)

Теперь представим, что в точке A находится такая же капля, и найдем силу, с какой поле, создаваемое нашей каплей, действует на эту каплю. Поскольку вторая капля - это тоже диполь с диаметром 2r и с зарядами +Q и -Q , то сила, действующая на вторую каплю, как видно из формулы (5) будет равна:

 (6),

где R - расстояние между центрами капель.

Определим режим движения капель. Для этого надо посчитать число Рейнольдса. Как известно: , где

D - характерный размер, v - скорость тела,  - коэффициент кинематической вязкости среды.

.

При таком числе Рейнольндса во время движения на каплю действует сила сопротивления воздуха, которая вычисляется по формуле Стокса:

 (7),

где  - динамическая вязкость среды .

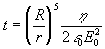
Из формулы (6) видно , что сила притяжения капли обратно пропорциональна четвертой степени расстояния между каплями. Поэтому скорость капли так же возрастает по мере приближения к другой капле, и поэтому можно оценить скорость снизу, приравняв силу (6) к силе сопротивления (7):

 (8)

Поэтому время сближения двух капель будет примерно равно:

 (9)

Попробуем сделать оценку для времени сближения капель. При характерных величинах:

, , , .

Из формулы (2) видно, что среднее время сближения двух капель зависит от отношения R/r, а если считать , что капли сливаются попарно, то с каждым таким сливанием R и r будут изменяться в одинаковое количество раз, и, следовательно время их сближения будет оставаться тем же. Отсюда следует, что при таких характерных условиях, туман может рассеиваться за счет влияния однородного электрического поля.

Экспериментальная установка.

 

Наша экспериментальная установка способна выполнять три функции: создавать туман, генерировать электрическое поле для его рассеивания и измерять прозрачность тумана, т.е. фиксировать скорость его рассеивания во время эксперимента. В первой части установки туман создается с помощью азота и воды способом, который описан в начале доклада. Вторая часть установки состоит из двух горизонтально расположенных металлических пластин, на которые подано высокое напряжение от высоковольтного источника. В нижнюю пластину вмонтирован светодиод, который испускает световые импульсы с частотой порядка 10 килогерц. В верхнюю пластину вмонтирован световод с фотодиодом. Фотодиод подключен к анализатору спектра, который настроен на ту же частоту, что и генератор сигналов низкой частоты. Анализатор спектра показывает зависимость напряжения на фотодиоде (прозрачности) от времени.

На графике 1 представлены результаты серии экспериментов по наблюдению над рассеиванием тумана при электрическом поле в 3500 В/см. Можно заметить различие между скоростью просветления тумана естественным путем и скоростью его рассеивания в электрическом поле, т.е. установить влияние электрического поля на рассеивание тумана. После этих экспериментов, предстояло выяснить, из-за чего происходит рассеивание тумана: из-за диполь-дипольного взаимодействия капель или же из-за неоднородности электрического поля краев пластин.

Для этого верхняя пластина была заменена на тонкий диск из бронзы с диаметром 0,3 мм с более острыми краями и была проведена серия экспериментов с этими пластинами. Результаты этих экспериментов представлены на графике 2. При таких пластинах если в 2 раза понизить напряжение, подаваемое на пластины, то напряженность однородного поля пластин уменьшится в два раза, а время сближения капель, как видно из формулы (2) увеличится в 4 раза, поэтому влияние однородного поля пластин сильно уменьшится. Можно будет видеть, какое электрическое поле больше влияет на просветление тумана: однородное поле пластин или неоднородное поле краев.

Из графиков 1 и 2 видно, что скорость просветления тумана в обоих экспериментах практически одинакова, а так как во втором эксперименте влияние однородного поля пластин было намного меньше, мы можем сделать вывод, что неоднородное поле краев влияет на рассеивание больше, чем однородное поле пластин. Таким образом, можно сделать вывод, что при условиях, в которых проводились эксперименты, влияние однородного электрического поля незначительно по сравнению с неоднородным полем.

  

График 1. Напряженность 3500 В/см График 2. Напряженность 1700 В/см

Список литературы

[ 2 ] Л.Г. Качурин " Физические основы воздействия на атмосферные процессы ", Л.: Гидрометеоиздат - 1990 г.

[ 3 ] В.М. Мучник " Физика грозы " , Л.: Гидрометеоиздат - 1974 г.

[ 4 ] В.М. Мучник " Физика грозы " , Л.: Гидрометеоиздат - 1974 г. , с. 26.

Для подготовки данной работы были использованы материалы с сайта http://www.nsu.ru/


Не нашли материал для своей работы?
Поможем написать уникальную работу
Без плагиата!
Без нейросетей!