Задача о бесконечной ортотропной пластинке
Задача о бесконечной ортотропной
пластинке с эллиптическим отверстием
Оглавление
1.
Общетеоретическая часть
2.
Прикладная часть
2.1
Физическая постановка задачи
2.2
Упругие свойства материала
2.3
Математическая постановка задачи
2.4
Аналитическое решение
2.5
Иллюстрация распределения
напряжений
Используемая
литература.
Приложение
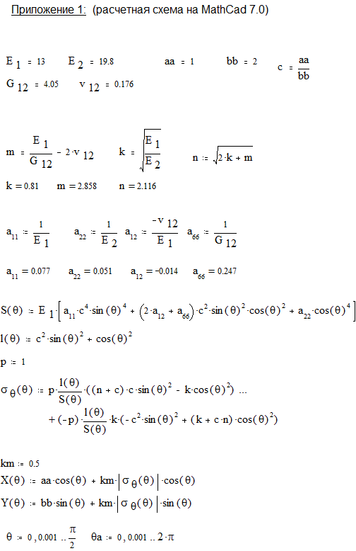
1. (Расчетная схема на MathCad 7.0 )
Приложение
2. (График распределения напряжений).
1. Общетеоретическая часть
Рассмотрим бесконечную пластинку с некоторым
отверстием в центре. Центр отверстия примем за начало координат, а оси х
1,
х
2 направим по главным направлениям упругости. На пластинку
действуют некоторые распределенные нагрузки p
1, p
2 вдоль соответствующих осей.
Общая система уравнение
теории упругости выглядит следующим образом:
(1)
Уравнения равновесия
применительно к рассматриваемой задаче, т.е. когда напряжения зависят только от
двух координат, запишутся так:
(2)
В нашей задаче искомыми
являются шесть функций компонент тензора напряжений
. Но в
уравнения равновесия (2) не входит
, тем самым этой
функции определяется особая роль. Для простоты последующих математических
выкладок примем следующие предположения. Пусть для f1(x1,x2) и f2(x1,x2)
существует потенциал, т.е. такая функция U(x1,x2) для которой выполняются условия:
(3)
Так
как силы f1 и f2
задаются при постановки задачи, то
потенциал U так же известная функция. Подставляя (3) в (2)
получим:
(4)
Введем также еще две функции F(x1,x2) и y(x1,x2),
которые называются функциями напряжений и
вводятся следующим образом:
Нетрудно видеть, что при
подстановки всех этих формул в систему (4) все три уравнения будут равны нулю.
Теперь если мы найдем функции F(x1,x2)
и y(x1,x2),
то будут найдены и функции компонент
тензора напряжений, кроме компоненты
.
Для упрощения дальнейших
выкладок сделаем следующие преобразования. Так как тензор модулей упругости Сijmn представляет собой матрицу 6х6 из которых 21 компонента независимая,
то для тензора напряжений и тензора деформаций вводится матрица столбец:
Тогда уравнения Коши
запишутся следующим образом:
а через напряжения компоненты
деформации определяются по закону Гука:
(5)
где aij - компоненты
матрицы независимых постоянных тензора упругих податливостей Dijmn.
Обозначим
как неизвестную функцию D(x1,x2), тогда из закона Гука следует, что:
а
выражение для
будет равно:
Теперь введем приведенные
коэффициенты деформации
, для которых имеет место
выражение:
, где i,j=1..6
(6)
Подставим выражение для
в обобщенный закон Гука, тогда с учетом
приведенных коэффициентов деформаций эти выражения примут вид:
Подставляя эти выражения в
уравнения Коши получим следующую систему:
(7)
Уравнения системы (7)
включают в себя и уравнения Коши и закон Гука. В этой системе величины
- константы, величины
и D зависят от
двух координат x1 и x2, а
перемещения ui - функции трех координат.
Система (7) является системой
в частных производных относительно ui и решается
последовательным интегрированием уравнений. Интегрирование следует проводить в
следующем порядке - сначала необходимо проинтегрировать 3, 4 и 5 уравнения.
После интегрирования 3-го уравнения получим:
(8)
Подставляя u3 в 4-ое уравнение и интегрируя его получим:
(9)
Аналогично
с 5-ым уравнением:
(10)
Подставляя полученные
перемещения в неиспользованные соотношения уравнений Коши, и приравнивая к 0
сомножители при степенях x3, получим:
(11)
(12)
(13)
Исходя из того, что:
функция D
будет иметь вид:
(14)
Тогда с учетом системы (7)
получим:
(15)
Исключая V1, U1, W1
( путем дифференцирования, сложения и
вычитания) получим:
(16)
(17)
Подставляя в уравнения (16) и
(17) выведенные нами выражения для напряжений через функции F(x1,x2) и y(x1,x2)
и группируя получим:
(18)
где L4, L3, L2 - дифференциальные операторы в частных производных 4-го,
3-го и 2-го порядков:
Уравнения (18) представляют
собой систему 2-х дифференциальных уравнений в частных производных. Уравнения -
линейные, неоднородные, с постоянными коэффициентами.
Общее решение системы (18)
для функций напряжения можно представить в виде:
F0 и y0 - общее
решение соответствующей однородной системы:
F* и y* - частные
решения неоднородной системы уравнений (18). Частные решения зависят от правых
частей уравнений и если эти правые части несложны, то и частные решения обычно
описать нетрудно.
Чтобы получить общее решение
однородной системы (19) исключим из нее y0:
(20)
В силу симметрии L их можно
менять местами:
(21)
Таким образом, мы получили
линейное дифференциальное уравнение 6-го порядка для функции F. Аналогично
находим уравнение для y:
(22)
Оказалось, что F0 и y0 должны удовлетворять одинаковым условиям. Оператор
6-го порядка можно разложить на 6-ть линейных операторов 1-ого порядка Dk и уравнение (21) представить в виде:
(23)
Из теории диф. уравнений и
условия что функция F0 зависит только от x1 и x2 для Dk
имеем:
(24)
где
-
это корни алгебраического (характеристического) уравнения шестой степени,
соответствующего дифференциальному уравнению (21).
Интегрирование линейного
уравнения 6-го порядка можно свести к последовательному интегрированию шести
уравнений первого порядка. В результате получим следующие общие выражения:
Если среди корней
характеристического уравнения есть кратные, задача упрощается, однако решение
системы (19) может быть найдено в любом случае исходя из следующих рассуждений.
Любые 6 вещественных чисел
можно принять в качестве значений независимых компонент тензора напряжений в
данной точке упругого анизотропного тела. Удельная потенциальная энергия
деформации есть величина положительная при любых вещественных и не равных нулю
значениях компонент тензора напряжений в данной точке. Исходя из этих
предположений можно доказать теорему, согласно которой алгебраическое
характеристическое уравнение системы (21), не имеет вещественных корней.
Поэтому можно утверждать, что числа
в общем решении
системы (19), а также в условиях связи всегда комплексные или чисто мнимые.
Наряду с комплексными
параметрами вводят и систему комплексных переменных:
Введение комплексных
переменных позволяет использовать при аналитическом решении рассматриваемой
задачи об упругом равновесии анизотропного тела математический аппарат и методы
функций комплексных переменных. Эти методы, применительно к данной задаче
являются очень эффективными и позволяют получить аналитическое решение многих
плоских задач теории упругости анизотропного тела.
2. Прикладная часть
2.1 Физическая постановка задачи.
Рассмотрим бесконечную пластинку из ортотропного
материала с эллиптическим отверстием в центре. Направление главных осей эллипса
совпадает с главными осями упругости материала, усилия приложены на
бесконечности вдоль главных осей.
Введем следующие обозначения
2a, 2b - главные оси эллипса, с=a/b, р - усилие
на единицу площади. В нашем случае отношение полуосей эллипса с=1/2. Вдоль оси
1 на бесконечности приложено растягивающее усилии р, а вдоль оси 2 - сжимающее
-р. Наша задача найти напряжения на краю отверстия и построить их эпюру.
2.2 Упругие свойства материала.
Пластинка сделана из
стеклопластика C-II-32-50 со следующими характеристиками:
Е1=13,0 ГПа;
Е2=19,8 ГПа;
Е3=7,8 ГПа;
G12=4,05 ГПа;
G13=6,4
ГПа;
G23=3,2
ГПа;
n13=0.25;
n32=0.14;
n12=0.176;
n23=0.06.
2.3 Математическая постановка
задачи.
Уравнения равновесия применительно
к нашей задаче, когда напряжения зависят только от двух координат и fi=0, запишутся так:
Граничные условия будут иметь
следующий вид:
или в развернутом виде
применительно к нашей задаче:
где n - нормаль к
контуру отверстия.
2.4 Аналитическое решение.
Решая данную задачу по методу
изложенному в первой части с учетом того, что материал у нас ортотропный
выясняем что характеристическое уравнение для определения коэффициентов
распадается на
уравнения 4 и 2 степени:
Отсюда немедленно вытекают
следующие соотношения:
Как мы увидим в дальнейшем
этих соотношений достаточно и искать непосредственно
не
требуется.
Для решения нашей задачи
воспользуемся формулами полученными в работе [1]. Нам надо
будет провести только некоторые обобщения и объединение этих формул.
Определим для начала
необходимые нам константы аij:
введем теперь следующие обозначения:

Беря уравнение контура в
параметрическом виде, т.е. полагая:
введем еще обозначения для
функций, зависящих от параметра
:
Нас будет интересовать только
напряжение у края отверстия -
где, как показывает
ряд решенных задач, оно получается наибольшим. Опуская промежуточные выкладки
приведем две формулы (при растяжении вдоль большой и малой оси эллипса):
для нашей задачи в силу
принципа суперпозиции (а его можно применить, так как мы рассматриваем линейную
связь между напряжениями и деформациями, а также считаем их малыми) получим
следующую общую формулу:
2.5 Иллюстрация распределения
напряжений.
Для построения эпюры
напряжений на краю отверстия воспользуемся возможностями математического пакета
MathCad 7.0. Используя найденную нами формулу рассчитаем
напряжения
в зависимости от угла и отложим их на
графики от контура отверстия на продолжении лучей, проведенных из центра через
данные точки контура. Положительные напряжения изображены стрелками
направленными от центра к периферии, отрицательные - стрелками направленными к
центру. При расчетах полагалось р=1.
Результаты расчета и график
распределения напряжений приведены соответственно в приложениях 1 и 2.
Проведем небольшой анализ
полученных результатов. Как мы видим максимальное напряжение наблюдается в
точках
, оно равно
-6р. То есть наблюдаем концентрацию в 6 раз по сравнению с пластинкой без
отверстия.
Используемая литература:
1. Лехницкий С.Г. Теория упругости анизотропного тела.
Гостехиздат М. 1950 г.
2. Лехницкий С.Г. Теория упругости анизотропного тела.
Изд. "Наука" М. 1977 г.
3. под
ред. Любина Д. Справочник по композиционным
материалам.. Машиностроение
М. 1988 г.