Элементарная теория сумм Гаусса

  • Вид работы:
    Реферат
  • Предмет:
    Математика
  • Язык:
    Русский
    ,
    Формат файла:
    MS Word
    57,61 kb
  • Опубликовано:
    2009-01-12
Вы можете узнать стоимость помощи в написании студенческой работы.
Помощь в написании работы, которую точно примут!

Элементарная теория сумм Гаусса

Элементарная теория сумм Гаусса


Рассмотрим следующую сумму – сумму Гаусса :

где D – целое положительное и (a, D)=1.

Покажем,  что значение суммы будет одним и тем же,  если  х пробегает любую полную систему вычетов по модулю D.

Действительно,  пусть х пробегает полную систему вычетов по модулю D. Тогда                х=qD+k      , где  k =0, 1, …, D-1  ,     q є Z



Будем иметь :



что и требовалось.

Лемма 1.




Пусть (a, D)=1. Тогда:


Доказательство:


По свойству модуля комплексного числа :

Имеем:


Сделаем замену      x = x + t  . Когда  х  и  х пробегают полную систему вычетов по модулю  D ,  от  х  и  t  пробегают независимо полные системы вычетов по модулю D.

Действительно,  пусть  х  и  х  пробегают полную систему вычетов по модулю D . Тогда                       х = qD + k              k=0, 1, …, D-1   , q є Z

                                             х = pD + i              i=0, 1, …, D-1    , p є Z

Следовательно,  t = x – x = (q – p)D +  (k – i) = l D + m , где m=0, 1, …, D-1 ,  l є Z


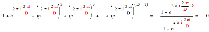
а) Пусть D – нечетное,  т.е. (2а, D)=1


если D делит t.



Если же D не делит t,  то последнюю сумму можно записать в виде :


Получили :

Тогда


Отсюда


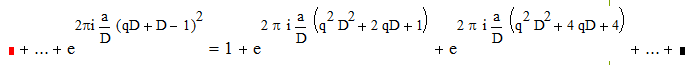
б) Пусть D делится на  4, т.е. возможно представление :  D = 2D , где   D – четное  и  ( a, D )=1 .



Получим :



Так как D  четное,  то


Следовательно

в) Пусть D = 2 (mod 4) ,  т.е. D = 4q + 2    , q є Z


Тогда из предыдущего случая имеем : D = 2 (2q+1)= 2D ,  D  - нечетное. Имеем :



Что и требовалось.

Лемма 2.

Если D  и  D взаимно простые числа,  то


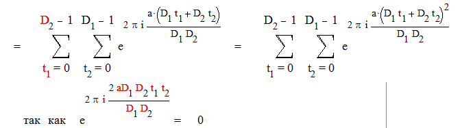
S ( aD1 , D2 ) S ( aD2  , D1 ) = S  ( a , D1 D2 )

Доказательство:

В этих суммах  t1  пробегает полную систему вычетов по модулю D2 ,  а  t пробегает полную систему вычетов по модулю D2.  При этом  D1t1 + D2t2  пробегает полную систему вычетов по модулю  D1D2 .  Действительно ,  всего членов в сумме  D1D2   и никакие два несравнимы между собой. Действительно,  предположим противное : пусть  D1t1 + D2t2 = D1t1 + D2t2 ( mod D1D2 )

Отсюда  D1 (t1 – t1)  = D2 (t2 – t2 ) (mod D1D2)        Тогда

              D1 (t1 – t1)  = D2 (t2 – t2 ) (mod D2)         А так как    D2 (t2 – t2 ) = 0 (mod D2)

То по свойству сравнений имеем           D1 (t1 – t1)  = 0 (mod D2)  Отсюда  так как  (D1, D2)=1 ,  то     t1 – t1  = 0 (mod D2)   Аналогично получим  t2 – t2 = 0 (mod D1)

Т.е. имеем      t1 = t1  (mod D2)        и             t2 = t2 (mod D1) . Но это противоречит тому,  что   t1  пробегает полную систему вычетов по модулю D2 ,  а  t пробегает полную систему вычетов по модулю D2,  так как в полной системе вычетов любые два числа не сравнимы. Следовательно наше предположение было неверным и действительно D1t1 + D2t2  пробегает полную систему вычетов по модулю  D1D2 .


Поэтому

Лемма 3.


Пусть  p  простое нечетное число и не делит a . Тогда



Доказательство:






 

что и требовалось доказать.

-6-

Лемма 4.


Если  р  простое  нечетное число , то

Доказательство :

Из леммы 3. получим


Так как произведение сопряженных величин дает квадрат модуля,  то



Лемма 5.

Если  р  и  q  различные простые числа ,  то


Доказательство :

Так как  ( р, q )= 1  ,  мы можем воспользоваться  леммой 2 : в нашем случае





Итак ,  мы показали,  что



что и требовалось доказать.


Не нашли материал для своей работы?
Поможем написать уникальную работу
Без плагиата!
Без нейросетей!