Расчет поверхностной энергии металлов в рамках моделиобобщенного псевдопотенциала Хейне-Абаренкова
Расчет поверхностной энергии металлов в рамках
моделиобобщенного псевдопотенциала Хейне-Абаренкова
М.В. Мамонова, Р.В. Потерин, В.В. Прудников, Омский
государственный университет, кафедра теоретической физики
В
последнее время интенсивно развиваются методы аналитического описания
поверхностных свойств твердых тел, основанные на определении энергетического
состояния поверхности с привлечением методов квантовой механики. При описании
поверхностных явлений в металлах особенно эффективно применяется метод
функционала электронной плотности [1,2]. В предлагаемой работе в рамках метода
функционала плотности проведен расчет поверхностной энергии для ряда металлов.
Исследованы влияния различных приближений, учитывающих дискретность
кристаллической структуры и неоднородность электронного газа в поверхностном
слое металлов. Для расчета влияния электрон-ионного взаимодействия на величину
поверхностной энергии металлов впервые был использован обобщенный
псевдопотенциал Хейне-Абаренкова. Проведен сравнительный анализ результатов,
полученных с его использованием, с результатами, полученными с привлечением
иных моделей, в частности псевдопотенциала Ашкрофта.
Рассмотрим
полуограниченный металл, граничащий с вакуумом. При расчете поверхностных
свойств определяющей является функция распределения электронной плотности n(z)
вблизи поверхности. Она должна удовлетворять требованию экспоненциального
затухания вне металла и стремиться к объемному значению электронной плотности
внутри металла. Распределение электронной плотности n(z) находится как функция,
обеспечивающая минимум функционала полной энергии неоднородной системы.
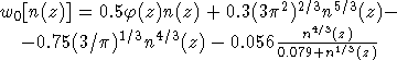
Представим функционал полной энергии в виде градиентного разложения :
|
|
(1)
|
где
|
|
(2)
|
есть
плотность энергии однородного электронного газа в атомных единицах, включающая
последовательно электростатическую, кинетическую, обменную и корреляционную
энергии, а
|
|
(3)
|
где
- фермиевский волновой
вектор. являются соответственно градиентными поправками второго порядка на
неоднородность электронного газа для кинетической энергии в приближении
Вейцзекера-Киржница и обменно-корреляционной энергии в приближении
Вашишты-Сингви (VS) [3].
В
качестве пробных функций для потенциала
и электронной плотности n(z) были выбраны
решения линеаризованного уравнения Томаса-Ферми:
|
|
(4)
|
где
n0 - объемная электронная плотность,
- ступенчатая функция.
В
дальнейшем параметр
считался
вариационным, определяемым при минимизации функционала энергии (1). С
физической точки зрения величина
представляет собой характерную толщину
поверхностного слоя, на котором резко меняется электронная плотность.
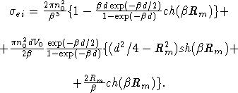
Поверхностную
энергию металла представим в виде следующей суммы :
|
|
(5)
|
где
- вклад от электронной
системы в рамках модели "желе", когда заряд положительных ионов в
металле считается равномерно и непрерывно размазанным по всему объему;
возникает от
электростатического взаимодействия ионов между собой;
- связан с разностью в электростатическом
взаимодействии электронов с дискретными ионами и с однородным фоном
"желе". Для
можно
воспользоваться аналитическим выражением работы [5]:
|
|
(6)
|
где
Z - валентность ионов; с - расстояние между ближайшими соседями в плоскости
параллельной поверхности; d - межплоскостное расстояние.
Для
вычисления поправки на электрон-ионное взаимодействие воспользуемся широко
применяемым в физике металлов обобщенным псевдопотенциалом Хейне-Абаренкова.
Явный вид данного псевдопотенциала можно записать следующим образом:
|
|
(7)
|
Псевдопотенциал
Хейне-Абаренкова переходит в выражение для другого широко используемого
псевдопотенциала Ашкрофта при V0=0. Для получения
нами была использована методика, развитая в
работе [6], согласно которой
|
|
(8)
|
где
имеет смысл среднего по
плоскостям от суммы ионных псевдопотенциалов за вычетом потенциала
полубесконечного однородного фона заряда. Нами было получено для
при -d<z<0 следующее выражение:
|
|
(9)
|
Проводя
суммирование по ионным плоскостям с z=-(i+d/2), i=1,2,... и воспользовавшись
периодичностью потенциала
, из (8) получим
|
|
(10)
|
Проводя
численное интегрирование и минимизацию полной поверхностной энергии (5),
определяем параметр
, а
затем и само значение
.
В настоящей работе для определения параметров псевдопотенциала Хейне-Абаренкова
использовалось условие минимума объемной энергии металла при наблюдаемом
равновесном атомном объеме
В соответствии с приближением локальной
плотности объемная энергия металла выражалась через параметр плотности rs :
|
|
(11)
|
Минимизация
данного соотношения по rs приводит к выражению, связывающему V0 и Rm :
|
|
(12)
|
В
результате возникает проблема определения второго параметра потенциала (7).
Обычно его определяют по сопоставлению расчетов, проведенных с использованием
данного псевдопотенциала, с какими-либо эмпирическими характеристиками. В
данной работе в качестве такой
Таблица
1
|
Металл
|
Z
|
n0,
|
d,
|
c,
|
rc,
|
|
Rm,
|
V0,
|

|
|
ат.ед.
|
ат.ед.
|
ат.ед.
|
ат.ед.
|
эрг/см2
|
ат.ед.
|
ат.ед.
|
эрг/см2
|
|
Na (ОЦК)
|
1
|
0.0038
|
5.71
|
6.99
|
1.736
|
265
|
1.800
|
0.529
|
280
|
|
Pb (ГЦК)
|
4
|
0.0194
|
5.38
|
6.59
|
1.457
|
1064
|
1.355
|
0.172
|
560
|
|
Al (ГЦК)
|
3
|
0.0269
|
4.92
|
5.25
|
0.960
|
1269
|
1.150
|
0.100
|
1140
|
|
Cu (ГЦК)
|
2
|
0.0252
|
3.92
|
4.80
|
0.923
|
898
|
1.350
|
0.588
|
1750
|
|
Fe (ОЦК)
|
4
|
0.0504
|
4.84
|
4.70
|
0.945
|
631
|
1.090
|
0.343
|
1910
|
|
Cr (ОЦК)
|
4
|
0.0492
|
3.85
|
4.72
|
0.956
|
649
|
1.120
|
0.364
|
2060
|
|
Mo (ОЦК)
|
0.0570
|
4.21
|
5.16
|
1.094
|
887
|
1.210
|
0.227
|
2200
|
экспериментальной
характеристики была использована величина поверхностной энергии. В таблице 1
приведены значения параметров, использованные для расчета поверхностной энергии
металлов, и рассчитанные значения параметров псевдопотенциала Хейне-Абаренкова
для ряда простых и переходных металлов, дающие в соответствии с развитой
методикой значения поверхностной энергии, наиболее хорошо согласующиеся с
экспериментальными. Следует заметить, что для определения параметра обрезания
rc псевдопотенциала Ашкрофта достаточно использования условия минимальности
объемной энергии металла. Получающиеся при этом значения параметра обрезания rc
и соответствующие значения поверхностной энергии также приведены в табл. 1.
Проведенные нами расчеты поверхностной энергии металлов с использованием
псевдопотенциала Ашкрофта и различного типа обменно-корреляционных поправок на
неоднородность электронного газа [7] показали, что ни одна из поправок не
является универсальной, а модель псевдопотенциала Ашкрофта неприменима для
описания поверхностных характеристик благородных и переходных металлов,так как
дает для них чересчур заниженные значения. Модель, использующая псевдопотенциал
Хейне-Абаренкова, позволяет решить эту проблему. Отсутствие универсальных
обменно-корреляционных поправок для металлов в рамках модели псевдопотенциала
Ашкрофта [], приводит к значительным трудностям при расчетах адгезионных
характеристик. Применение псевдопотенциала Хейне-Абаренкова с единой
обменно-корреляционной поправкой в приближении Вашишты-Сингви позволяет
избежать данных трудностей и позволяет применять данную модель для расчета
адгезионных свойств как простых, так и переходных металлов.
Список литературы
Партенский
М.Б. Самосогласованная электронная теория металлической поверхности // УФН.
1979. 128. Вып.1. С.69-106.
Ухов
В.Ф., Кобелева Р.М., Дедков Г.В., Темроков А.И. Электронностатистическая теория
металлов и ионных кристаллов. М.:Наука, 1982.
Vashishta P., Singwi K.S. Electron correlations at metallic
densities. // Phys.Rev., 1972. B6. N3. P.875-887.
Ferrante J., Smith J.R. A theory of adhesional bimetallic interface
overlap effects. // Surface Science. 1973. 38. N1. P.77-92.
Кобелева
Р.М., Гельчинский Б.Р., Ухов В.Ф. К расчету поверхностной энергии металлов в
модели дискретного положительного заряда // ФММ. 1978. 48. N1. С.25-32.
Вакилов
А.Н., Прудников В.В., Прудникова М.В. Расчет решеточной релаксации
металлических поверхностей с учетом влияния градиентных поправок на
неоднородность электронной системы // ФММ. 1993. 76. N6. С.38-48.
Вакилов
А.Н., Потерин Р.В. Прудников В.В., Прудникова М.В. Расчет адгезионных
характеристик металлов и их расплавов. // ФММ, 1995, 79, N4, с.13-22.
Для
подготовки данной работы были использованы материалы с сайта http://www.omsu.omskreg.ru/