Хроногеометрия несвязных гранично однородных порядков в аффинном пространстве

  • Вид работы:
    Статья
  • Предмет:
    Математика
  • Язык:
    Русский
    ,
    Формат файла:
    MS Word
    67,57 kb
  • Опубликовано:
    2009-01-12
Вы можете узнать стоимость помощи в написании студенческой работы.
Помощь в написании работы, которую точно примут!

Хроногеометрия несвязных гранично однородных порядков в аффинном пространстве

Хроногеометрия несвязных гранично однородных порядков в аффинном пространстве

Н.Л. Шаламова, Омский государственный университет, кафедра математическогомоделирования,

644077 Омск, пр. Мира,55-A

Изучение упорядоченных аффинных пространств An, n>2, связано, как известно, прежде всего с основаниями теории относительности [1]. Следуя же квантовой теории, мы не можем распространять причинно-следственные связи на явления микромира и поэтому вынуждены рассматривать так называемые "несвязные порядки". Предполагая при этом, что скорость передачи взаимодействия и в микромире ограничена, автор получает результаты, изложенные в данной статье.

Рассмотрим в n-мерном аффинном пространстве An, n>2, несвязный порядок , заданный семейством подмножеств An, для которого выполнены условия: (1) ; (2) если , то ; (3) если , то . Несвязность порядка означает, что . Предполагаем далее, что верно следующее: (i) ; (ii) для любой .

Замечание 1. Для любого множества A, будем через , int A, и обозначать соответственно замыкание, внутренность и границу множества A.

Назовем внешним конусом множества Px следующее множество:

где lxy - луч, идущий из точки x и проходящий через точку . Считаем далее, что Cx - конус "с острой вершиной", то есть не содержит прямой. Известным является факт [1], что семейство внешних конусов задает порядок в An.

Гомеоморфизм , для которого f(Px)=Pf(x) для любой точки , назовем порядковым -автоморфизмом. Множество всех порядковых -автоморфизмов будет группой, которую обычно обозначают . Подгруппа группы , сохраняющая фиксированную точку , обозначается .

Порядок называется - однородным или гранично однородным, если для любых найдется такой, что f(x)=y.

Имеет место следующая

Теорема. Пусть , n>2, инвариантной относительно группы параллельных переносов несвязный порядок в n-мерном аффинном пространстве An, для которого выполнены условия:

(1) существует семейство равных и параллельных телесных одинарных замкнутых выпуклых конусов с острой вершиной такое, что для любых и ;

(2) порядок - гранично однородный.

Тогда любой порядковый -автоморфизм будет аффинным преобразованием.

Доказательство .

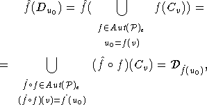
Для любой точки рассмотрим следующее множество

где объединение берется по всем -автоморфизмам f из стабилизатора таких, что f(v) = uo .

По условию (1) и, кроме того, если , то

то есть семейство сохраняется -автоморфизмами из .

Замечание 2. Не следует думать, что в определении множества , , f(v) = x точка v- фиксированная. Точка , то есть v- точка из орбиты точки x, для которой определяется множество Dx.

Рассмотрим далее множества

Легко видеть, что (здесь C-v, K-v- это конусы, центрально симметричные конусам Cv и Kv относительно точки v). В самом деле, для любой точки , имеем (семейство задает порядок в An). Поэтому для , f(v) = u0 имеем и . Если же то и . Это противоречит тому, что . Значит для любой точки .

Отметим теперь следующее: каждое множество Dx содержит Cx, а каждое множество D-x- содержит конус C-x. Далее, поскольку Kx, K-x- выпуклые конусы с острой вершиной, то существует гиперплоскость Tx такая, что , , где , - полупространства, на которые Tx разбивает An. Утверждается, что в качестве Tx можно выбрать такую гиперплоскость, которая пересекает конус Cy, по компактному множеству. Известно, что по отношению к замкнутому однородному выпуклому телесному конусу Ce с острой вершиной все гиперплоскости, имеющие с непустое пересечение, можно разделить на три непересекающихся класса. К первому классу A1 отнесем все гиперплоскости, пересекающие по компактному множеству. Во второй класс A2 попадут гиперплоскости, имеющие с некомпактное пересечение и параллельные при этом какой-либо прямолинейной образующей конуса Ce, принадлежащей его границе . Все остальные гиперплоскости будут принадлежать к третьему классу A3. Нетрудно видеть, что вышеупомянутая гиперплоскость Tx не может быть параллельна какой-либо гиперплоскости из класса A3. Это следует из того, что , а и также , , что противоречит выбору Tx.

Если же Tx параллельна гиперплоскости из класса A2, то и , что также противоречит выбору Tx. Значит Tx параллельна некоторой гиперплоскости из класса A1. Итак, пусть - эта та самая гиперплоскость, о которой идет речь выше, то есть Te параллельна гиперплоскости Tv из класса A1 и разбивает An на два полупространства и такие, что , . Очевидно, что в этом случае найдется гиперплоскость Ty0, параллельная Te, такая, что и множество - компактно. Если теперь точка , то . Поскольку и порядок - гранично однородный, то для любой точки будет верно следующее:

Действительно, вследствие граничной однородности порядка для любых точек найдется такой, что f(p0) = q0 и, значит, f(D)-p0 = D-f(p0) = D-q0. Но , поэтому и, следовательно, .

Покажем теперь, что наш порядок будет максимально линейчатым, то есть для любой точки имеем . Предположим, что это не так и найдется точка такая, что луч не лежит полностью в Qe, то есть .

Если , то есть луч l+x0, за исключением точки x0 лежит вне Qe, поступим следующим образом: Пусть , точка, которая вместе с некоторым шаром с центром в точке v0 положительного радиуса лежит в . Точка , значит найдется такое, что шар имеет непустое пересечение с int Q. Выберем точку . Нетрудно видеть, что для прямой lm, проходящей через точку m и параллельной лучу l+x0 число точек пересечения с уже наверняка больше двух: первая точка лежит на отрезке [m1, m), где , вторая точка лежит на отрезке (m, m2), где , так как , , . В этом случае в качестве точки x0 возьмем любую точку из множества .

Пусть точка . Тогда по доказанному выше (см. ()), но, поскольку , множество содержат, кроме точки w0 еще и точку x0, что, очевидно, противоречит (). Значит порядок - максимально линейчатый и в соответствии с результатами Э.Б.Винберга [2] и А.К.Гуца [3] любой порядковый -автоморфизм будет аффинным преобразованием.

Теорема доказана.

Следствие. Пусть , n>2, - несвязный порядок в An, о котором идет речь в теореме и, кроме того, семейство внешних конусов порядка является семейством равных и параллельных эллиптических конусов.

Тогда любой порядковый -автоморфизм будет преобразованием Лоренца.

Список литературы

Гуц А.К. Аксиоматическая теория относительности // Успехи мат. наук. 1982. Т. 37. N 2. C. 39-79.

Винберг Э.Б. Строение группы автоморфизмов однородного выпуклого конуса // Труды ММО. 1965. Т.13. С.56-83.

Для подготовки данной работы были использованы материалы с сайта http://www.omsu.omskreg.ru/

Похожие работы на - Хроногеометрия несвязных гранично однородных порядков в аффинном пространстве

 

Не нашли материал для своей работы?
Поможем написать уникальную работу
Без плагиата!
Без нейросетей!