Движение тел переменной массы

  • Вид работы:
    Реферат
  • Предмет:
    Математика
  • Язык:
    Русский
    ,
    Формат файла:
    MS Word
    163,92 kb
  • Опубликовано:
    2009-01-12
Вы можете узнать стоимость помощи в написании студенческой работы.
Помощь в написании работы, которую точно примут!

Движение тел переменной массы

Движение тел переменной массы

Д. ф.-м. н. Б.Л.Воронов

Задача 1. Однородная неупругая цепь длиной L и массой М перекинута через блок. Часть цепи лежит на столе высотой h, а часть на полу. Найти скорость равномерного движения звеньев цепи (рис. 1).

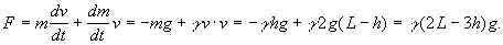
Задача 2. Однородная нерастяжимая цепь подвешена на нити так, что нижний конец ее касается крышки стола. Нить пережигают. Найти силу давления цепочки на стол в тот момент, когда над ним находится часть цепи длиной h. Масса цепи – М, ее длина – L, удар каждого звена считать абсолютно неупругим (рис. 2).

Задача 3. С какой силой давит на землю кобра, когда она, готовясь к прыжку, поднимается вертикально вверх с постоянной скоростью v (рис. 3)? Масса змеи – M, ее длина – L.

Рис. 1

Рис. 2

Рис. 3

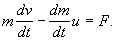
Начнем с хорошо известной ситуации. Пусть тело можно считать материальной точкой (например, можно пренебречь его структурой и размерами или вести речь только о центре масс тела) либо все части протяженного тела имеют одну и ту же скорость v. Тогда 2-й закон Ньютона, в теоретической механике чаще говорят – уравнения движения, для такого тела имеет вид:

wpe7.jpg (1199 bytes)

где m – неизменная масса тела, F – действующая на тело внешняя сила. В общем случае протяженных тел отдельные части тела движутся каждая со своей скоростью, и описание движения всех частей с учетом их взаимодействия резко усложняется.

Однако бывают случаи, когда движение некоторых частей составного тела можно описать сравнительно просто. Одним из таких случаев является случай движения тел переменной массы. Пусть имеется составная система и пусть в ней можно выделить некоторую часть, подсистему, движущуюся со скоростью v, причем состав ее меняется определенным образом. Будем называть эту подсистему телом переменной массы, если выполнены следующие условия. В каждый момент времени можно считать, что это тело либо является материальной точкой, либо все его части имеют одинаковую скорость v. С течением времени от тела непрерывно отделяются некоторые (бесконечно) малые его части, причем каждая со своей независимой скоростью v'; либо, наоборот, к телу непрерывно добавляются новые малые части, которые до «прилипания» имели свою скорость v' (возможно и то и другое). Таким образом, при движении тела меняется не только его скорость v = v(t), но и масса m = m(t), причем известна скорость изменения массыwpe8.jpg (965 bytes) Случай wpe8.jpg (965 bytes)<0 означает, что за промежуток времени t  t + dt от тела отделяются какие-то части массой –dm; случай Случай wpe8.jpg (965 bytes)>0 означает, что за тот же промежуток времени к телу добавляются какие-то части массой dm. Примером первого случая являются ракета и поливальная машина, примером второго случая – снежная лавина. Мы ограничимся ситуациями, когда все отделяющиеся или добавляющиеся части имеют в каждый момент времени одну и ту же скорость v' = v'(t), следовательно, одну и ту же скорость u = v' – v относительно тела. Эту скорость u = u(t) называют относительной скоростью. Если она известна наряду с wpe8.jpg (965 bytes)(например, в случае ракеты она определяется приготовлением, в случае снежной лавины v' = 0, стало быть, u = –v), то говорят о движении тела переменной массы.

2-й закон Ньютона для тел переменной массы имеет вид:

wpe9.jpg (1620 bytes)

где F – суммарная внешняя сила, которая действует в данный момент времени как на тело (переменной массы m), так и на его отделяющиеся или добавляющиеся части (массы –dm или dm соответственно). Эту тонкость надо постоянно иметь в виду. Может случиться, что вся внешняя сила или конечная ее составляющая приложена именно к этим частям: под действием конечной внешней силы (бесконечно) малая масса (–dm или dm) за (бесконечно) малый промежуток времени t  t + dt меняет свою скорость на конечную величину, от v до v' или от v' до v, испытывая (бесконечно) большое ускорение. Именно этот случай реализуется в приводимых ниже задачах. Конечно, может случиться, что изменение скорости отделяющихся или добавляющихся частей обеспечивается внутренними силами. Так обстоит дело, например, в случае космической ракеты или снежной лавины.

2-й закон Ньютона для тел переменной массы можно переписать в эквивалентной форме (особенно удобной во втором случае):

wpeA.jpg (1640 bytes)

Отличие от привычного случая постоянной массы состоит в том, что m = m(t) является теперь известной функцией времени, а к внешней силе F добавляется реактивная сила

wpeB.jpg (1366 bytes)

Дадим вывод 2-го закона Ньютона для тел переменной массы (при первом чтении этот абзац можно пропустить). Он следует из 2-го закона Ньютона для любой, в том числе составной системы, в следующей общей форме:

т.е. приращение dp полного импульса p системы за интервал времени t  t + dt равно импульсу Fdt действующей на систему внешней силы F. Системой в рассматриваемом интервале времени t  t + dt является тело переменной массы вместе с отделяющимися или добавляющимися частями. В любом случае (wpe8.jpg (965 bytes)>0 или wpe8.jpg (965 bytes)<0 ) изменение dp импульса p за промежуток времени t  t + dt дается формулой:

dp = p(t + dt) – p(t) = (m + dm)(v + dv) – dmv' – mv.

Вывод этой формулы предоставляем читателю в качестве упражнения. Укажем лишь, что первое слагаемое справа относится ко времени t + dt, третье слагаемое – ко времени t, а второе слагаемое (–dmv') относится к моменту t + dt в случае отделяющихся частей (массой –dm > 0, wpe8.jpg (965 bytes)<0 ) и к моменту t в случае добавляющихся частей (массой dm, wpe8.jpg (965 bytes)>0 ). Раскрывая правую часть

dp = mdv – dm (v' – v) + dmdv = mdv – dmu + dmdv

и приравнивая ее Fdt, имеем:

wpeD.jpg (1646 bytes)

Деля обе части последнего равенства на dt, переходя к переделу dt  0 и отбрасывая стремящееся к нулю слагаемое wpeE.jpg (1915 bytes) получаем окончательно:

wpeF.jpg (1647 bytes)

Из вывода следует указанное выше содержание понятия внешней силы F.

Теперь перейдем к решению задач.

Задача 1.Возьмем в качестве тела переменной массы лежащий на столе участок цепи. Цепь считается нерастяжимой, толщина цепи – пренебрежимо малой, поэтому можно считать, что весь этот участок занимает пренебрежимо малый объем (сосредоточен в точке) в основании левого вертикального участка цепи. Движение носит одномерный характер, вдоль вертикальной оси y (начало отсчета на полу), поэтому достаточно рассматривать только y-компоненту 2-го закона Ньютона (значок «y» для у-компонент векторов v, u, F в дальнейшем опускаем):

wpe10.jpg (1647 bytes)

(прочие компоненты уравнений движения имеют вид 0 = 0). Именно это уравнение должно определить скорость равномерного движения вертикальных звеньев цепи, поскольку они отделяются от нашего тела.

В каждый момент времени все звенья рассматриваемого участка свободно, без натяжения, лежат на столе, v = 0, соответственно wpe11.jpg (1091 bytes), сила тяжести компенсируется силой реакции стола. Отделяющееся первое сверху звено, лежащее в основании вертикального участка, уходит вверх с постоянной во времени вертикальной скоростью v' > 0. Эта скорость и является искомой. Относительная скорость u = v' – v = v'. Масса тела m = l, где l – длина рассматриваемого участка, wpe12.jpg (896 bytes) – линейная плотность цепи. Длина l, а значит, и масса m, уменьшаются за счет уходящих вверх звеньев; вследствие нерастяжимости цепи wpe13.jpg (1264 bytes)

соответственно

wpe14.jpg (1831 bytes)

Остается определить вертикальную компоненту F внешней силы F. Она равна натяжению Th левой вертикальной части цепи на нижнем ее конце, находящемся на высоте y = h. Приложена эта сила к отделяющемуся от тела первому сверху звену, тогда как все звенья тела лежат свободно (см. выше о внешней силе F). Th в свою очередь определяется условиями движения вертикальных участков цепи. Если они движутся равномерно, как это и принимается в условии задачи, и, кроме того, цепь справа ложится на пол свободно, т.е. натяжение T0 правого вертикального участка на нижнем его конце, у пола, на высоте y = 0, равно нулю (T0 = 0), то Th равно разности веса Pправ правого участка и веса Pлев левого вертикального участков цепи: Th = Pправ – Pлев.

Мы оставляем читателю соответствующие рассуждения, укажем лишь, что при равномерном движении любого вертикального участка цепи его вес компенсируется разностью натяжений на концах этого участка, кроме того, при безынерционном блоке (что неявно принимается), натяжение цепи справа и слева от блока одинаково. Разность весов определяется разностью масс, следовательно, разностью длин соответствующих участков:

Pправ – Pлев = hg,

так что

С учетом сказанного 2-й закон Ньютона принимает вид:

– (–v')v' = hg,

или: v'2 = hg,

откуда находим искомую скорость: wpe16.jpg (1028 bytes)

В качестве упражнения читателю предлагается решить задачу, взяв в качестве тела переменной массы некоторый участок вертикальной цепи. Видимо, проще всего выбрать некоторый нижний отрезок левого вертикального участка с фиксированным верхним звеном (но не высотой!). Тонкость будет в определении силы F: натяжение цепи Th на нижнем конце теперь, когда звено, лежащее в основании и имеющее скорость v', включается в состав тела переменной массы, равно нулю (Th = 0), а прежнее натяжение цепи Th = hg является теперь внутренней силой. Любопытно, что ответ не зависит от длины выбранного отрезка и его можно взять сколь угодно малым, достаточно рассматривать в каждый момент времени только звено, лежащее в основании цепи. Это же ясно и из предыдущего рассмотрения.

Задача 2. В качестве тела переменной массы возьмем вертикальный, падающий, участок цепи переменной длины l = h, h – высота цепи над столом. Как и в предыдущей задаче, движение одномерное, вдоль вертикальной оси y, поэтому вследствие нерастяжимости цепи все падающие звенья имеют одну и ту же скорость v, и 2-й закон Ньютона имеет прежний вид:

wpe10.jpg (1647 bytes)

Оказывается, дополнительные соображения однозначно определяют закон движения, тем самым однозначно определяется левая часть последнего уравнения, что позволяет найти силу F, а затем и силу N давления цепочки на стол.

Рассмотрим эти соображения.

Во-первых, поскольку отделяющиеся от тела, упавшие на стол звенья имеют скорость v' = 0 (удар абсолютно неупругий), относительная скорость u = v' – v = –v, и 2-й закон Ньютона в данном частном случае принимает вид:

wpe17.jpg (1621 bytes)

Во-вторых, как и в предыдущей задаче, m =  l =  h, =wpe19.jpg (896 bytes). Как следствие wpe1A.jpg (1798 bytes), масса тела уменьшается вместе с высотой h, которая изменяется со скоростью v тела, v < 0. В третьих, как и в предыдущей задаче, последнее звено свободно ложится на стол, следовательно, натяжение T0 цепи на нижнем конце падающего участка равно нулю (T0 = 0). На верхнем его конце натяжение, очевидно, равно нулю, поэтому каждое звено вертикальной цепочки, за исключением упавшего последнего звена, падает свободно с ускорением wpe18.jpg (1123 bytes). Как известно, при свободном падении с нулевой начальной скоростью текущая скорость v определяется пройденным путем s: wpe1B.jpg (1091 bytes). Для верхнего звена, а значит, и любого звена вертикального участка, при высоте h этот путь s = L – h, поэтому wpe1C.jpg (1411 bytes).

Полученные данные определяют силу F, действующую на вертикальный участок цепочки, включая последнее, покоящееся, звено:

wpe1D.jpg (3930 bytes)

Теперь силу F нужно связать с силой давления N всей цепи на стол. Сила F складывается из силы тяжести и силы реакции стола N > 0, действующей на вертикальный участок в точке падения звеньев. По 3-му закону Ньютона N равна силе давления вертикального участка на стол в этой точке (стандартно имеется в виду величина этой силы, направленной вниз):

F = N – mg.

Но N однозначно связана с полной силой давления N: N складывается из силы давления N вертикального участка и веса P = (M – m)g свободно лежащей на столе части цепочки:

N = N + p = N + (M – m)g,

откуда N = N – (M – m)g.

Стало быть, F = N – mg = N – Mg,

Окончательно : wpe1F.jpg (1588 bytes)

Кажется полезным прокомментировать как сам ответ, так и отдельные моменты решения. Ответ демонстрирует интересную разрывную зависимость силы давления N цепи на стол от времени. В начальный момент времени (t = 0), когда h = L, сила давления N = 0. Зависимость N от t

Затем, с уменьшением высоты h по закону свободного падения wpe20.jpg (1273 bytes)она квадратично растет со временем по закону wpe21.jpg (1409 bytes). Наконец, в момент времени t=tмакс=wpe22.jpg (1174 bytes), когда падает последнее звено цепи с максимальной скоростью wpe23.jpg (1261 bytes) и h = 0, сила давления достигает максимального значения Nмакс= 3Mg – тройной вес цепи. Но уже в следующий момент после падения и позднее, когда вся цепь свободно лежит на столе, сила давления равна просто весу цепочки: N = Mg при t > tмакс (см. рисунок).

Обратим внимание еще на одну тонкость. Когда мы делали заключение о свободном падении вертикального участка цепи, мы исключали из него нижнюю точку – последнее упавшее, отделившееся, звено, имеющее нулевую скорость. Сила, действующая на тело, была только силой тяжести, Fт = – mg. Когда же мы обсуждали силу F = N – mg, то это была внешняя сила, действующая на весь вертикальный участок, включая нижнюю точку, – последнее упавшее звено. Именно его останавливает сила N реакции стола (см. опять-таки обсуждение содержания внешней силы F при выводе 2-го закона Ньютона). Мы видим, что конечный вклад

wpe24.jpg (2203 bytes)

в полную силу давления N связан с последним останавливающимся звеном, передающим свой импульс столу. (Сравните это явление с давлением молекулярного газа на стенку.)

И, наконец, последнее замечание. В качестве тела переменной массы можно взять участок цепи, лежащей на столе. При таком выборе будем иметь: скорость v = 0, масса m = (L – h) и увеличивается за счет падающих на стол звеньев, их скорость

wpe25.jpg (1863 bytes)

поэтому wpe26.jpg (1402 bytes), относительная скорость u = v' – v = v', сила F = N – mg, 2-й закон Ньютона

wpe27.jpg (1620 bytes)

принимает вид: -(-v')v'=N-mg, откуда, как и раньше,

wpe28.jpg (1578 bytes)

На этот раз последнее упавшее, теперь добавляющееся, звено относится к лежащей на столе части цепи. Вот такие «хитрости». Их можно избежать, а решение задачи упростить, если рассмотреть целиком всю цепь и применить 2-й закон Ньютона к движению всей цепи.

Список литературы

Для подготовки данной работы были использованы материалы с сайта http://www.1september.ru/


Не нашли материал для своей работы?
Поможем написать уникальную работу
Без плагиата!
Без нейросетей!