К методике изложения темы об электромагнитном излучении в преподавании физики

  • Вид работы:
    Реферат
  • Предмет:
    Математика
  • Язык:
    Русский
    ,
    Формат файла:
    MS Word
    14,51 kb
  • Опубликовано:
    2009-01-12
Вы можете узнать стоимость помощи в написании студенческой работы.
Помощь в написании работы, которую точно примут!

К методике изложения темы об электромагнитном излучении в преподавании физики

К методике изложения темы об электромагнитном излучении в преподавании физики

А. И. Иванов, Л. П. Казанцева, Ярославский педагогический университет им. К.Д. Ушинского

В учебниках физики и в методической литературе при рассмотрении вопросов об излучении электромагнитной энергии основное внимание уделяется количественной стороне явления, но недостаточно освещена физическая сторона, механизм явления.

В настоящей работе сделана попытка восполнить этот пробел.

Излучение связано с конечной скоростью распространения электромагнитной волны [1]. При бесконечно большой скорости движения электромагнитной волны не было бы запаздывания и энергия, уходящая от источника волны при возрастании тока в нём, полностью возвращалась бы обратно при убывании электрического тока. При конечной скорости C движения волны за время t возрастания тока в контуре от нуля до максимального значения электромагнитная волна достигает точки, отстоящей от контура на расстоянии X1 = C t. В это время энергия электрического тока в источнике превращается в энергию поля и движется от контура. На рис. приведён разрез пространственной фигуры ("розетки"), во всех точках поверхности которой мгновенные значения магнитной составляющей поля одинаковы. Распространение энергии происходит во все стороны в основном вдоль радиальной плоскости OA.

Как только сила тока в контуре начинает убывать, напряжённость магнитной составляющей поля вблизи контура становится меньше, чем в удаляющемся электромагнитном поле. Поэтому в пространстве, окружающем источник поля, происходит сложный процесс. С одной стороны, излучаемая энергия поля продолжает движение от контура, а, с другой стороны, часть излучённой энергии поля возвращается обратно. За время τ уменьшения тока от максимального значения до нуля часть излучаемой энергии поля, продолжая своё движение, достигает точки X2 = (t + τ). Вся энергия, заключённая в поле, не успевает возвратиться обратно к источнику, так как для этого потребовалось бы время t + τ = T. Поэтому часть энергии электромагнитного поля, ушедшая на расстояние большее, чем , будет двигаться от контура вместе с электромагнитной волной. Следовательно, за период T = t + τ изменения тока в контуре энергия поля, ушедшая на расстояние, большее, чем излучается.

Таким образом, имеются две различные области поля вокруг источника: ближняя и дальняя зоны.

Границу ближней зоны нетрудно установить. Если ток в контуре уменьшается от максимального значения до нуля за время τ, то для возвращения энергии поля с самой удалённой точки ближней зоны нужно время для передачи энергии со скоростью C и столько же времени для обратного движения поля и его энергии к контуру. Отсюда следует, что граница между ближней и дальней зоной проходит на расстоянии от источника, равном .

Адресованную учителям физики и студентам количественную оценку мощности излучения нетрудно получить на основе известной им теории электромагнитного поля [2].

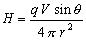
Источником электромагнитного поля может быть короткий отрезок проводника, вдоль которого электрический заряд q совершает колебательное движение. При этом возбуждается магнитное поле, линии которого перпендикулярны как к вектору скорости заряда, так и к нормальной составляющей вектора напряжённости электрического поля (рис.2). В соответствии с законом Био и Савара

(1)

энергия электромагнитного поля в элементарном объёме dV, взятом в области излучения, составляет

(2),

где dV=r2 dr sin d d ,(3).

Мощность излучения равна

(4).

Средняя мощность излучения за время τ с учётом оказывается равной

(5).

Эта замечательная формула общеизвестна. Она играет фундаментальную роль в теории электромагнитного излучения.

Из полученной формулы следует, что мощность излучения при прочих равных условиях увеличивается по мере увеличения частоты (уменьшения t + τ). Объясняется это тем, что при увеличении частоты граница дальней зоны оказывается ближе к источнику волны, где плотность энергии выше. Кроме того из (5) следует, что мощность излучения пропорциональна квадрату линейного ускорения. При отсутствии линейного ускорения, т.е. при постоянной скорости движения электрического заряда излучение отсутствует.

между осью движения и поверхностью конуса (рис.3)

Наблюдая прохождение быстрых электронов в водном растворе солей урана (ураниле), аспирант академика С.И. Вавилова П.А. Черенков в 1934 году обнаружил слабое свечение синего цвета [3].В ходе обсуждения результатов наблюдений учитель и ученик пришли к выводу, что неизвестное до той поры явление, названное позднее "Свечением Черенкова", или сверхсветовым излучением. Более 20 лет потребовалось для теоретического объяснения сверхсветового излучения Черенкова П.А. В 1958 году учёные С.И. Вавилов, П.А. Черенков, И.Е. Тамм и И.М. Франк были удостоены Нобелевской премии за открытие и объяснение Черенковского излучения. В своей нобелевской лекции И.Е. Тамм говорил, что мы долго не могли объяснить наблюдаемое свечение потому, что в молодые годы нас учили, что ничто не может двигаться быстрее света. Такова цена догматизма в науке и в обучении.

В настоящее время счётчики Черенковского излучения устанавливаются на спутниках и космических ракетах для излучения космических лучей.

Список литературы

Иванов А.И. Электрическая энергия: как она передаётся от генератора к потребителю. // Ярославский педагогический вестник. 1998. Т.2. С.105-109.

Каплянский А.Е. и др. Теоретические основы электротехники, ГЭИ, Москва, 1961. С. 172-185.

Лешковцев В.А. Из истории советской физики // Физика в школе. 1967. № 5.

Для подготовки данной работы были использованы материалы с сайта http://www.yspu.yar.ru

Похожие работы на - К методике изложения темы об электромагнитном излучении в преподавании физики

 

Не нашли материал для своей работы?
Поможем написать уникальную работу
Без плагиата!
Без нейросетей!