О курсе “Элементы теории Галуа”

  • Вид работы:
    Реферат
  • Предмет:
    Математика
  • Язык:
    Русский
    ,
    Формат файла:
    MS Word
    123,77 kb
  • Опубликовано:
    2009-01-12
Вы можете узнать стоимость помощи в написании студенческой работы.
Помощь в написании работы, которую точно примут!

О курсе “Элементы теории Галуа”

О курсе “Элементы теории Галуа”

Меньшикова Е.А., Шендеровский В.Г.

Всем, кто учился в средней школе, приходилось решать алгебраические уравнения, т.е. уравнения вида

anxn+an-1xn-1+…+a0=0,

где an, an-1,…, a0–некоторые числа.

Изучение уравнений начинается во втором классе с решения уравнений первой степени (линейных):

ax+b=0.

В восьмом классе переходят к квадратным уравнениям, знакомятся с формулами корней квадратного уравнения. В школьном курсе математики редко встречаются уравнения третьей, четвертой и более высоких степеней. Как правило, их решают сведением к линейным и квадратным уравнениям. Вероятно, многие задавались вопросом: “Существуют ли столь же простые, как и для квадратного уравнения, или чуть более сложные формулы вычисления корней уравнения более высоких степеней?”

Уже несколько лет на нашем факультете читается курс “Элементы теории групп и теории Галуа” (разработанный одним из авторов статьи), в рамках которого и дается ответ на этот вопрос.

1. О целесообразности курса

Естественно, возникает вопрос: ”А зачем вести курс, который не входит в программу педагогического университета?” Мы приведем ряд аргументов, доказывающих, на наш взгляд, целесообразность чтения такого курса.

Преподавание любого предмета (математики в особенности) предполагает элементы исследовательской деятельности. При этом можно указать следующие направления для исследований: поиск эффективных частных методик, создание новых учебников, подготовка школьников к олимпиадам. Необходимость уделять большое внимание выработке навыков научного исследования внутри математики вытекает из закона психологии о переносе навыков. Возникнув сначала внутри математики, навыки исследовательской деятельности будут перенесены в профессиональную сферу. В силу этого важно пробудить у будущего учителя математики интерес к предмету, привить ему навыки самостоятельной творческой работы, развить умение решать нестандартные задачи и проблемы.

В рамках данного курса рассматривается большое количество как задач на вычисления, так и теоретических задач. Студенты имеют широкие возможности испытать собственные силы в решении теоретических задач разного уровня сложности: от задач “на определение” до задач, решение которых требует использования комплекса результатов теорем, других задач, разного рода технических приемов и немалой доли математической фантазии. Безусловно, далеко не все предлагаемые задачи по плечу “среднему” и даже “хорошему” (в общепринятом смысле этого слова) студенту, и существует опасность не только не развить интерес к математике, но и прийти к противоположному результату.

Избежать этого можно, разумно дозируя сложность задач, сочетая индивидуальный подход, когда студентам разных способностей предлагаются для самостоятельного решения (исследования) задачи соответствующего уровня, с коллективным обсуждением достаточно серьезных проблем, когда выслушиваются и обсуждаются все предлагаемые идеи решения, и когда преподаватель играет незаметную роль наблюдателя и лишь иногда вопросами или замечаниями пытается интенсифицировать или изменить ход обсуждения. Можно привести конкретные результаты, полученные за несколько лет преподавания данного курса одним из авторов (Шендеровский В.Г.) Здесь и многообразие идей (зачастую неожиданных) решения некоторых задач, и расширение списка упражнений за счет сконструированных, сформулированных новых задач в процессе решения других проблем. Было несколько случаев, когда удалось пробудить интерес к математике у “закоренелых двоечников”, что позволяло им успешно завершить курс обучения в университете (в чем они позднее признавались). Наконец, обсуждаемый курс для значительного числа студентов стал первой ступенькой в самостоятельной исследовательской работе, приведшей к написанию дипломных работ (например, второй автор, Меньшикова Е.А., успешно защитила даже две работы, связанные с тематикой курса), докладов, представленных на научные студенческие конференции, областные конференции и конкурсы научных работ молодых ученых, а в ряде случаев (Меньшикова Е., Казусев А., Масленников Н., Сидорова Л.) –к продолжению обучения в аспирантуре ЯГПУ.

Несомненным достоинством курса является его цельность. По существу весь курс посвящен доказательству одной “школьной” теоремы, объясняющей, условно говоря, почему мы умеем решать квадратные уравнения и не умеем решать уравнения 5-ой степени. Эта теорема (теорема Абеля) является и источником, и конечной целью исследования. И в рамках небольшого курса удается пройти весь путь: от постановки задачи до получения красивого конечного результата.

Изучение теории Галуа в педагогическом университете обеспечивает преемственность между школьным и вузовским курсами математики.

Во-первых, как указывалось выше, одной из основных при изучении математики в школе является линия уравнений. Однако для уравнений четвертой степени и большинства уравнений третьей степени совсем не ясно, чем объясняется их разрешимость в радикалах, да и формулы Кардано и Феррари выводятся довольно искусственными преобразованиями. Теория Галуа позволяет обосновать разрешимость данных уравнений в радикалах и отсутствие общей формулы для корней уравнения степени пять и выше.

Во-вторых, многочисленные примеры полей, рассматриваемые при изучении данного курса, прямо или косвенно связаны с содержанием школьного курса математики (так решения практически всех квадратных уравнений из школьного учебника являются элементами квадратичных расширений поля рациональных чисел).

В-третьих, подробное изучение групп симметрий (самосовмещений) многогранников и многоугольников позволяет углубить знания студентов о свойствах геометрических объектов.

В-четвертых, значительное место в школьном курсе геометрии занимают задачи на построение геометрических фигур с помощью циркуля и линейки. Обоснование возможности/невозможности таких построений и проводится в данном курсе.

2. О структуре курса

Данный курс охватывает следующие темы: основные понятия теории групп и теории полей, теория Галуа и разрешимость алгебраических уравнений в радикалах.

Большое внимание уделяется теории групп как одной из самых развитых и важных областей алгебры. В этом разделе формируются понятия, идеи и методы, которые используются как в самой математике, так и за ее пределами –в топологии, теории функций, кристаллографии, квантовой механике и других областях математики и естествознания. В рамках данного курса изучаются начальные разделы теории групп, излагаемые на базе общих понятий. Все рассматриваемые понятия иллюстрируются большим числом простых, в значительной части геометрических примеров. Развивая понятие группы, рассматриваются такие вопросы, как циклические группы, подгруппы и нормальные делители, коммутант и разрешимость групп, симметрические группы.

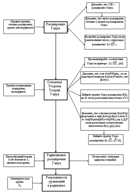
Вторая часть курса посвящена изучению теории Галуа. Студенты знакомятся с основными определениями и фактами из теории полей, рассматривается доказательство основной теоремы Галуа и вопрос о разрешимости алгебраического уравнения в радикалах (показывается, что разрешимость уравнения в радикалах эквивалентна разрешимости его группы Галуа; доказывается разрешимость общего алгебраического уравнения степени не выше 4 и теорема Абеля). На практических занятиях студенты строят соответствия Галуа конкретных расширений, вычисляют группы Галуа уравнений. Особенно подробно рассматриваются уравнения 3-й и 4-й степени: доказывается ряд утверждений, с помощью которых вычисляются группы Галуа как уравнений с конкретными числовыми коэффициентами, так и некоторых типов уравнений.

В качестве иллюстрации к вышесказанному приведем фрагмент курса.

Список литературы

Меньшикова Е.А. Сборник задач по курсу алгебры (V-VI семестры)// Тезисы конференции молодых ученых. - Ярославль: ЯГПИ, 1998.

Шендеровский В.Г. Элементы теории групп и теории Галуа. - Ч.1 - Ярославль: ЯГПИ, 1991.

Шендеровский В.Г. Элементы теории групп и теории Галуа. - Ч.2 - Ярославль: ЯГПИ, 1992.

Для подготовки данной работы были использованы материалы с сайта http://www.yspu.yar.ru


Не нашли материал для своей работы?
Поможем написать уникальную работу
Без плагиата!
Без нейросетей!