Геометрические свойства равнобедренных треугольников
Геометрические свойства равнобедренных треугольников
В. В. Богун
Предлагаемая
статья, как следует из названия, посвящена изучению свойств равнобедренных
треугольников, а также установлению взаимосвязей между данными треугольниками.
Необходимость исследований назрела, в первую очередь, из-за частого применения
в архитектуре равнобедренных треугольников как геометрических моделей отдельных
фрагментов зданий и сооружений, а во-вторых, пополнения базы знаний в области
элементарной геометрии.
Где
же могут найти применение данные теоретические исследования? Прежде всего в
педагогике как таковой, поскольку они существенно расширят кругозор школьников
и студентов, изучающих элементарную геометрию, а также тригонометрию, поскольку
работа находится на стыке двух разделов математики - элементарной геометрии и
тригонометрии, причем их важность абсолютно равнозначна.
Существенными
плюсами данных исследований являются следующие факты:
Возможность
выхода на теорию стереометрической взаимосвязи между геометрическими фигурами,
в частности, правильных четырехугольных пирамид;
Объяснение
с помощью свойств равнобедренных треугольников и построенных на их основе
правильных четырехугольных пирамид геометрических взаимосвязей между пирамидами
Гизы в Египте (Хеопса, Хефрена и Микерина);
Последний
факт должен вызвать особый интерес читательской аудитории к исследованиям,
поскольку в отличие от всей геометрии в целом, представленной в популярных
учебниках в большинстве случаев лишь в виде "голой" теории, мы имеем
сочетание теоретических и практических аспектов.
Для
простоты изложения материала внесем ряд определений:
Основная
высота - высота равнобедренного треугольника, опущенная из вершины, являющейся
точкой пересечения равных боковых сторон, на основание и соответственно
пересекающей последнее в его середине.
Полуподобные
равнобедренные треугольники - равнобедренные треугольники, для которых
справедливо равенство углов при основании одного половинным углам между
боковыми сторонами другого.
Половинноподобные
равнобедренные треугольники - равнобедренные треугольники, равные углы при
основании одного являются половинными углами при основании другого.
Теорема
1: Об отношении основной высоты равнобедренного треугольника к радиусу
вписанной в него окружности
Отношение
основной высоты равнобедренного треугольника к радиусу вписанной в него
окружности равно алгебраической сумме единицы и величины, обратной по значению
косинусу равных углов при основании.
Исходные
данные:
Равнобедренный
∆ АВС (рис. 1); ВD = h основная высота, опущенная из вершины В
на основание АС = 2 а; АВ = ВС = b боковые стороны
треугольника; DО = КО = LО = r - радиус вписанной в ∆ АВС окружности,
ВАС = ВСА = .
Доказать:
(1)
Доказательство:
Формулы
для вычисления площади ∆АВС:
S
∆АВС
.
S
∆АВС
.
Рис.
1. Равнобедренный ∆ АВС с вписанной в него окружностью.
Получим:
|
|
(1)
|
Следствия
из теоремы 1:
1.1.Отношение
половины основания равнобедренного треугольника к радиусу вписанной в него
окружности равно котангенсу половинного угла при основании:
Так
как
,
а
то
. (2)
Однако
из курса геометрии известно, что центр вписанной в любой треугольник окружности
лежит на пересечении биссектрис его углов.
1.2.
Отношение боковой стороны равнобедренного треугольника к радиусу вписанной в
него окружности равно отношению котангенса половинного угла при основании к
косинусу полного угла при основании:
|
|
(3)
|
1.3.
В равнобедренном треугольнике отношение разницы между основной высотой и
радиусом вписанной окружности к величине последнего равно отношению боковой
стороны к половине основания или величине, обратной значению косинуса угла при
основании:
. (4)
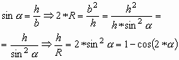
Теорема
2: Об отношении основной высоты равнобедренного треугольника к радиусу
описанной вокруг него окружности
Отношение
основной высоты равнобедренного треугольника к радиусу описанной вокруг него
окружности равно удвоенному произведению квадрата синуса угла при основании или
разнице единицы и косинуса двойного угла при основании:
Рис.
2. Равнобедренный ∆ АВС с описанной вокруг него окружностью.
Исходные
данные:
Равнобедренный
∆АВС (рис. 2); ВD = h - основная высота, опущенная из вершины В на
основание АС = 2 а; АВ = ВС = b - боковые стороны треугольника; АQ =
BQ = CQ = R - радиус описанной вокруг ∆АВС окружности, ВАС =
ВСА = .
Доказать:
(5)
Доказательство:
Формулы
для вычисления площади ∆АВС:
S
∆АВС =
S
∆АВС =
Получим:
|
|
(5)
|
Следствия
из теоремы 2:
2.1.
Отношение половины стороны основания равнобедренного треугольника к радиусу
описанной вокруг него окружности равно синусу двойного угла при основании:
Так
как
,
то
(6)
,
то
2.2.
Отношение боковой стороны к радиусу описанной окружности равно двум синусам
углам при основании:
|
|
(7)
|
2.3
В равнобедренном треугольнике отношение разницы между радиусом описанной
окружности и основной высотой к величине первого равно косинусу двойного угла
при основании:
|
|
(8)
|
Следствие
из теорем 1 и 2:
В
равнобедренном треугольнике отношение радиуса вписанной к радиусу описанной
окружности равно произведению тангенса половинного угла при основании и синуса
двойного угла при основании:
(9)
В
табл. 1 представлены взаимосвязи между линейными элементами равнобедренного
треугольника (основная высота, половина основания, боковая сторона, радиусы
вписанных и описанных окружностей), выражаемые через тригонометрические
выражения равных углов при основании.
Таблица
1
Соотношения
в равнобедренном треугольнике
|
|
Y
|
|
a
|
b
|
h
|
R
|
R
|
|
XX
|
aa
|
1
|
|
|
|
|
|
bb
|
|
1
|
|
|
|
|
hh
|
|
|
1
|
|
|
|
RR
|
|
|
|
1
|
|
|
rr
|
|
|
|
|
1
|
В
предлагаемых ниже двух теоремах рассмотрены взаимосвязи между вписанными и
описанными окружностями двух равнобедренных треугольников, имеющих один общий
элемент. В первой теореме данным субъектом является основная высота, во второй
- сторона основания. Что же касается совпадения боковых сторон равнобедренных
треугольников, то здесь получим равенство треугольников по двум сторонам и углу
между ними.
Теорема
3: О равных углах равнобедренных треугольников
Если
два равнобедренных треугольника построены на одной основной высоте и равные
углы при основании одного равны углу между боковыми сторонами второго, то их
центры вписанной и описанной окружностей соответственно совпадут.
Исходные
данные:
Равнобедренные
∆АВС и ∆ЕBF c общей основной высотой ВD = h. DO 1 = r и ВО 2 = R -
радиусы вписанной и описанной окружностей равнобедренных ∆АВС и ∆ЕBF
соответственно.
ВАС = ВСА = EBF = ,
BEF = BFE = (рис. 3)
Рис.
3. Геометрическая интерпретация теоремы 3
Доказать:
h
= R + r (10)
Доказательство:
Для
равнобедренного ∆АВС:

По
условию теоремы
ВАС = ВСА = EBF =
=
, BEF = BFE = .
А
так как
BEF = BFE =
,
получим:
Если
(10),
то
Действительно,
,
что
и требовалось доказать.
Следствия
из теоремы 3:
3.1.
Если два равнобедренных треугольника построены на одной основной высоте и угол
между боковыми сторонами одного равен углам при основании второго, то отношение
соответствующих оснований равно разнице величины, обратной по значению
косинусам равных углов при основании второго, и единице:
Так
как
и
,
то
|
|
(11)
|
3.2.
Если два равнобедренных треугольника построены на одной основной высоте и
равные углы при основании одного равны углу между боковыми сторонами второго,
то отношение соответствующих боковых сторон равно половине величины, обратной
по значению синусам равных углов при основании второго:
Поскольку
и
,
то
.
|
.
|
(12)
|
Теорема
4: О половинных углах равнобедренных треугольников
Если
два равнобедренных треугольника имеют общее основание и вершина, являющаяся
пересечением боковых сторон первого, совпадает с центром вписанной во второй
треугольник окружности, то центр описанной вокруг первого треугольника
окружности лежит на пересечении перпендикуляров к боковым сторонам второго.
Исходные
данные:
Равнобедренные
∆ АВС и ∆ АОС с общим основанием АС = 2 а, DO = r = H
радиус вписанной окружности и высота равнобедренных ∆ АВС и ∆ AOC
соответственно. ВАС = ВСА = , OAC =
OCA =
(рис. 4).
Доказать:
(13)
Рис.
4. Геометрическая интерпретация теоремы 4
Доказательство:
Исходя
из рис. 4, получим следующую цепочку соотношений:
Тогда
|
|
(13)
|
При
этом согласно определению равнобедренные ∆ АВС и ∆ АСS являются
полуподобными, поскольку
и
наоборот, а равнобедренные ∆АВС и ∆АОС являются половинноподобными,
поскольку удовлетворяют определению:
ВАС = ВСА = , OAC = OCA =
Список литературы
Для
подготовки данной работы были использованы материалы с сайта http://www.yspu.yar.ru