Физика как источник теорем дифференциального исчисления

  • Вид работы:
    Реферат
  • Предмет:
    Математика
  • Язык:
    Русский
    ,
    Формат файла:
    MS Word
    47,47 kb
  • Опубликовано:
    2009-01-12
Вы можете узнать стоимость помощи в написании студенческой работы.
Помощь в написании работы, которую точно примут!

Физика как источник теорем дифференциального исчисления

Физика как источник теорем дифференциального исчисления

А.В.Ястребов

В статье показано, что житейские, донаучные представления студентов о физическом мире представляет собой педагогически значимую величину, которую целесообразно использовать в процессе преподавания математики. Выявлено физическое происхождение условий некоторых математических теорем. Предложены элементы методики изложения основных теорем дифференциального исчисления, основанные на их взаимосвязи с физикой. Статья написана в рамках авторской концепции моделирования базовых свойств научных исследований в учебном процессе. 1. Об уровне физической интуиции студентов

Для определения уровня физической интуиции студентов автором был поставлен эксперимент, проводившийся 1987-88 годах на базе Ярославского государственного педагогического университета (ЯГПУ) и Ярославского государственного университета (ЯрГУ) [4, 5].

В основу эксперимента были положены следующие соображения. Во-первых, математику естественно рассматривать как составную часть естествознания. По этому поводу знаменитый математик нашего века Дж. фон Нейман пишет следующее: "Некоторые из наиболее ярких идей современной математики (я убежден, что это - ее лучшие идеи) отчетливо прослеживаются до своих истоков в естественных науках" [2]. Сужая объект рассмотрения и говоря о математическом анализе, мы можем сказать, что он был создан для описания механических движений тел. Известный российский математик А.Н.Крылов пишет: "Ньютон открыл и дал основы исчисления бесконечно малых, исходя из понятий механических и геометрических". (Цит. по книге А.Н.Колмогорова [1. С. 95].) Во-вторых, создатели математического анализа - Ньютон, Эйлер, братья Бернулли и другие - не были "чистыми" математиками, а имели серьезные труды в области механики, физики, астрономии и других наук. Естественно, что в их сознании не было перегородки, отделяющей математику от физики. Изучение движений тел давало материал для введения математических понятий, а математические теоремы позволяли описывать движения тел и находить физические законы. Преподаватель, приступающий к изложению дифференциального исчисления, может попытаться так организовать его изучение, чтобы студенты получили и усвоили информацию примерно тем же путем, каким усвоили ее создатели математического анализа.

Обращаясь к опыту детей, следует сказать, что они наблюдают движения тел с самого раннего возраста. Они легко могут сравнить скорость движения качелей в верхней и нижней точке, достаточно хорошо описывают движение поезда в момент смены направления движения и т.п. Преподаватель, приступающий к изложению дифференциального исчисления, должен уметь активизировать представления детей о физическом мире и направить их в нужное русло.

Все вышесказанное привело к той гипотезе, которая высказана в резюме в качестве утверждения. Для ее проверки был проведен эксперимент со студентами первых двух курсов упомянутых вузов. В нем участвовали 374 человека, обучающихся на разных факультетах и приобретающих разные специальности:

ЯГПУ

ЯрГУ

Всего

Математика

Физика

Экономика

Физика


102

89

117

66

374

Важной характеристикой эксперимента является момент его проведения: первая неделя обучения, т.е. момент, когда математический анализ еще не развернут в сколько-нибудь стройную теорию.

Эксперимент протекал следующим образом. Аудитории объяснялось, что экспериментаторы имеют своей целью выяснить, насколько хорошо первокурсники знают школьную физику, а затем предлагалось несколько вопросов, касающихся движения тел. На первые два вопроса студенты отвечали так, как они считали нужным. Для двух других были приведены априорные ответы, из которых студенту предлагалось выбрать один. Вопрос I. Тело движется по прямой в течение некоторого отрезка времени. Сравните минимальную скорость vmin, максимальную скорость v^ и среднюю скорость vav.

Вопрос II. Тело движется по прямой в течение некоторого отрезка времени. Сравните минимальную скорость vmin, максимальную скорость v^ и мгновенную скорость v(t) в произвольный момент времени t.

Вопрос III. Тело движется по прямой в течение некоторого отрезка времени. Справедливо ли следующее утверждение: существует момент времени, такой, что скорость тела в этот момент равна средней скорости тела? Ответы: 1) Да. 2) Нет. 3) Не знаю.

Вопрос IV. Тело движется по прямой в течение некоторого отрезка времени, причем в конечный момент времени оно возвращается в исходное положение. Какова скорость тела в момент наибольшего удаления?

Ответы: 1) Больше нуля. 2) Меньше нуля. 3) Равна нулю. 4) Не знаю. Результаты ответов на первые два вопроса содержатся в следующей таблице:


"Почти правильный" ответ

Правильный ответ

Всего

Вопрос I

13%

70%

83%

Вопрос II

39%

35%

74%

Правильные ответы на вопросы I и II представляют собой неравенства vmin ≤ vav ≤ vmax и vmin ≤ v(t - vmax соответственно. Их дают 70% и 35% респондентов (третий столбец таблицы). В то же время существуют ответы на эти вопросы, которые, будучи формально неверными, тем не менее свидетельствуют о достаточной интуиции. Имеются в виду неравенства vmin < vav < v^ и vmin < v(t) < vmax, которые получены из правильных ответов заменой знака нестрогого неравенства ≤ на знак строгого неравенства <. Они названы нами "почти правильными", т.к. не учитывают всего лишь один частный случай -случай прямолинейного равномерного движения для вопроса I и случай совпадения момента времени t с моментом экстремальной скорости для вопроса II. Результаты показывают, что существует достаточно большая группа студентов, которые правильно решают физическую задачу.

Сформулированные вопросы выполняют в данном эксперименте различные функции. Первые два играют вспомогательную роль. Они восстанавливают в аудитории атмосферу школьного урока физики, заставляют респондентов мыслить в уже освоенных категориях: скорость, средняя скорость, мгновенная скорость и т.д. На два других ложится основная смысловая нагрузка, т.к. именно они вскрывают уровень физической интуиции студентов.

Результаты эксперимента приведены в нижеследующей таблице. Полученные данные выражены в абсолютных единицах, а для правильных ответов также и в процентах, которые округлены до целых. Наиболее важные результаты выделены жирным шрифтом.








ЯГПУ


ЯрГУ


ВСЕГО


Математика

Физика

Экономика

Физика


Число респондентов

102

89

117

66

374

о

о

& о PQ

Да

58 (57%)

56 (63%)

106 (90%)

60 (91%)

280 (75%)

Нет

34

22

8

4

68

Не знаю

10

11

2

26

v = 0

82 (80%)

64 (72%)

88 (75%)

54 (82%)

288 (77%)

> о

о PQ

v>0

8

16

16

4

44

v<0

6

5

6

3

20

Не знаю

6

4

7

5

22

на оба вопроса

50 (49%)

38 (43%)

76 (65%)

50 (76%)

214 (57%)

Верно

по крайней мере на один вопрос

90 (88%)

84 (94%)

115 (98%)

64 (97%)

353 (94%)

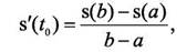
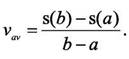
Разъясним математическую и физическую сущности вопросов и дадим комментарии к эксперименту. Пусть [a, b] - промежуток времени, в течение которого движется тело, s(t) - закон движения тела, а v(t) - его мгновенная скорость. Утвердительный (и верный) ответ на вопрос III означает, что существует момент времени t0, такой, что

(1)

Скорость является производной от пути по времени:

Средняя скорость по

определению равна

Подставляя эти выражения в равенство (1), полу-

чим формулу

(2)

которая представляет собой формулу Лагранжа.

Результаты эксперимента показывают, что на интуитивном, физическом уровне 75% респондентов могут самостоятельно сформулировать теорему Лагранжа, являющуюся одной из основных теорем дифференциального исчисления (последний столбец таблицы, строка с ответом "да").

Для выяснения сущности вопроса IV воспользуемся теми же обозначениями. Верный ответ состоит в том, что скорость тела в момент наибольшего удаления равна нулю. Если t0 - момент наибольшего удаления, то v(t0) = 0, или s'(O = 0. Получается, что если s(b) = s(a) (тело возвращается в исходное положение), то существует момент времени t0, такой, что s′(t0) = 0. Это утверждение является теоремой Ролля. Результаты эксперимента показывают, что на интуитивном, физическом уровне 77% респондентов могут самостоятельно сформулировать теорему Ролля, являющуюся одной из основных теорем дифференциального исчисления (последний столбец таблицы, строка с ответом v = 0).

Особого внимания заслуживают две последние клетки последнего столбца таблицы. Дело в том, что теоремы Ролля и Лагранжа занимают центральное место в курсе дифференциального исчисления, поскольку именно из них выводятся основные утверждения, применяемые при исследовании функций и построении их графиков: критерий постоянства функции, достаточное условие монотонности, достаточное условие экстремума. Тот факт, что 57% респондентов в состоянии самостоятельно сформулировать на интуитивном уровне две серьезные математические теоремы, говорит о достаточно хорошей физической интуиции студентов и о том, что эту интуицию следует активно использовать в преподавании дифференциального исчисления. Теоремы Ролля и Лагранжа выводятся чисто логически одна из другой, поэтому оказывается весьма важным тот факт, что 94% респондентов могут на интуитивном уровне самостоятельно сформулировать по крайней мере одну из них. Он говорит о том, что стимулирование физической интуиции при изучении математики встретит достаточно адекватную реакцию практически всей студенческой аудитории.

Данные эксперимента говорят о том, что нет прямой зависимости между ориентацией на физико-математические науки и физической интуицией в исследуемой области и на исследуемом уровне. Так, данные для экономистов (специальность "бухгалтерский учет") показывают, что они сопоставимы с результатами математиков и даже физиков (см. строки с правильными ответами и две последние строки).

Интересно, что респонденты не связывали задаваемые им физические вопросы с математическим материалом, о чем свидетельствовали собеседования, проводимые с аудитори-ей.

Достоверность полученных результатов оценивалась с помощью критерия "хи-квадрат". Подсчет показал следующее: вероятность того, что данные цифры получены в результате случайного (равновероятного) выбора одного из возможных априорных ответов, много меньше 0,001.

Итак, данные эксперимента говорят о том, что физическая интуиция студентов представляет собой значимую величину, активное использование которой в процессе преподавания является вполне естественным. Ниже мы покажем, что ее использование не только естественно, но и весьма эффективно.

2. Логика доказательств и физическое происхождение условий некоторых математических теорем

Выведем из физических соображений некоторые ограничения на функцию, которая может служить законом движения макроскопического тела, а затем сравним их с условиями основных теорем дифференциального исчисления.

(А) Начнем с простого соображения о том, что реальный физический эксперимент имеет свое начало и конец, т.е. протекает за конечный отрезок времени. В силу этого можно считать, что закон движения тела представляет собой функцию, определенную на отрезке [a, b].

(Б) Рассмотрим более глубокий вопрос о том, всякая ли числовая функция числового аргумента может служить законом движения для некоторого физического тела. Наивный, но любопытный студент может задать такой вопрос в отношении многих хорошо известных ему функций: s(t) = t2, s(t) = t, s(t) = sint, s(t) = tgt, s(t) = sgnt и т.д. При этом в некоторых случаях ответ хорошо известен (равноускоренное и колебательное движение в первом и третьем случае соответственно), а в других отнюдь не очевиден.

На самом деле ответ на поставленный вопрос является отрицательным, поскольку закон движения макроскопического тела является непрерывной функцией. Докажем это на е − δ-языке с помощью эйнштейновского постулата о постоянстве скорости света c. Пусть функция s(t) выражает закон движения тела. Если она разрывна в точке u, то справедливо следующее утверждение:

(Зе > 0)(V5 > 0)(3t, | t − u |< δ) | s(0 - s(u) |≥ ε. (3)

Рассмотрим числа ε и t, фигурирующие в утверждении (3). Подберем число δ достаточно малым для того, чтобы дробь ε оказалась больше скорости света в вакууме:

ε>c. (4)

8 V '

. | s(0 - s(u) | ε ε

|t−u | |t−u | δ

а это противоречит положению о недостижимости скорости света физическим телом. Если обращение к эйнштейновскому постулату по каким-либо причинам нежелательно, непрерывность закона движения тела можно пояснить с помощью наглядных соображений, касающихся разрывов того или иного типа. Например, закон движения тела не может иметь "бесконечный" разрыв, поскольку в этом случае материальное тело пройдет бесконечное расстояние за конечное время. Аналогичные рассуждения можно провести в отношении разрывов типа "скачок" и типа "колебание".

Сравним в физическом контексте две функции: функцию s: [0,1) →> R, заданную равенством s(t) =1, и функцию s : [0,1 ] →> R, заданную равенством s(t) =1. Очевидно, что функция s является сужением функции s на некоторое подмножество области определения, или, другими словами, функция s является продолжением функции s на более широкое множество. Хорошо известно, что под действием операции продолжения (сужения) функция может терять некоторые из своих свойств или приобретать новые свойства. В данном случае различие в свойствах имеет физическую природу: функция s может служить законом движения некоторого тела, а функция s не может, поскольку в противном случае тело удалилось бы на бесконечность за конечное время. Функции s и s можно рассматривать в контексте теории рядов, поскольку выражение является суммой бесконечно убывающей геометрической прогрессии

1 +t +t2 +t3 + L. Известно, что областью сходимости этого степенного ряда является интервал (−1,1). Таким образом, для данного примера получаем, что сходимость степенного ряда тесно связана со способностью его суммы служить законом движения тела. (В) Покажем, что среди функций, описывающих движения макроскопического тела, всегда можно выбрать дифференцируемую функцию.

Начнем с примера. Пусть легкий упругий шарик падает на массивную плиту и отскакивает от нее. Для изучения движения шарика построим две модели. Первая модель базируется на следующих допущениях: 1) шарик представляет собой материальную точку; 2) отскок происходит мгновенно. Вторая модель базируется на двух других допущениях: 1) шарик представляет собой тело конечного объема, а закон движения описывает положение центра тяжести шарика; 2) отскок происходит за конечное время за счет деформации шарика. Нетрудно видеть, что первая модель представляет собой функцию, не дифференцируемую в те моменты времени, которые соответствуют моментам отскока. В то же время вторая модель является функцией, дифференцируемой при любых значениях аргумента.

Мы оставляем в стороне вопросы об адекватности данных моделей физическому явлению, об удобстве использования каждой из них, о целесообразности выбора той или иной модели при исследовании движения шарика в разные моменты времени. Здесь мы хотим лишь подчеркнуть, что каждая пара допущений является вполне естественной. Поясним возможность выбора дифференцируемой модели в точных терминах. Известно, что для каждой функции s(t), непрерывной на отрезке [a, b], можно построить интерполяционный многочлен Лагранжа Ln(t) с помощью n узлов интерполирования. Более того, можно выбрать такую последовательность систем узлов, что выражение

I s(t) − Ln(t) | будет равномерно сходиться к нулю при и n → ∞ [3. C. 265]. Это означает, что какова бы ни была точность измерения с помощью физических приборов, существует номер N, такой, что при всех n> N величина | s(t) − Ln(t) | меньше точности измерения. Отсюда следует, что многочлен Лагранжа Ln(t), который является дифференцируемой функцией, можно принять за закон движения тела, причем расчеты с помощью многочлена Ln (t) и измерения при данной точности будут соответствовать друг другу.

К сожалению, приведенное рассуждение не может быть предъявлено в тот момент, когда происходит изучение основных теорем дифференциального исчисления, поскольку теория интерполяции изучается значительно позднее.

Обратимся теперь к основным теоремам дифференциального исчисления. Теорема Лагранжа [3. C. 226] и многочисленные следствия из нее справедливы для функций, которые удовлетворяют ряду условий: функции определены на замкнутом отрезке, непрерывны на нем и дифференцируемы внутри него. Очевидно, что эти условия полностью совпадают с теми свойствами законов движения тел, которые выведены в пунктах (А)-(В) из чисто физических соображений. Тем самым выявляется двойственная природа условий теорем дифференциального исчисления. С одной стороны, введение этих условий вызвано потребностями логики, поскольку каждое из них используется при доказательстве теорем, а невыполнение любого из них приводит к тому, что теоремы перестают быть справедливыми. С другой стороны, мы обнаружили, что эти чисто логические ограничения на функции оказались детерминированы свойствами окружающего нас физического мира.

В рамках данной статьи будем пользоваться следующим определением. Назовем функцию f(x) подобной закону движения тела, если она определена на отрезке [a, b], непрерывна на нем и дифференцируема на интервале (a,b).

Не всякая функция, подобная закону движения тела, может служить законом движения реального физического тела. Двумя простыми примерами являются функции

f(x) = arcsin(x) и f(x) = x , определенные на отрезке [0,1]. Обе они подобны закону движения тела, однако не могут служить законами движения для реального физического тела, поскольку достигают бесконечных скоростей, первая в момент окончания

движения, а вторая даже в момент его начала. Таким образом, между множеством функций, являющихся законами движения, и множеством функций, подобных закону движения, существует отношение включения: первое множество включается во второе. 3. Специальная методика изложения основных теорем дифференциального исчисления

Идея предлагаемой методики проста и естественна. Она состоит в том, чтобы побудить студентов к обоснованному переносу свойств функций из класса законов движения тела на более широкое множество - класс функций, подобных закону движения тела.

1) Как показал эксперимент, большинство студентов понимают, что для закона движения тела существует момент времени t0, для которого справедлива формула (2). Если распространить это утверждение на более широкое множество, то мы можем сформулировать следующую гипотезу. Гипотеза 1 (Лагранж). Если функция f(x) подобна закону движения тела, то существу-

г„ ч f(b)−f(a) ет такое значение аргумента x0 , что / (jc0) = ^-^) .

Нетрудно увидеть в этой гипотезе теорему Лагранжа. Нетрудно также заметить, что преподаватель может использовать дополнительное рассуждение для пояснения естественности рассматриваемой гипотезы. Действительно, в процессе движения скорость варьируется между своим минимальным и максимальным значением. Естественно предположить, что в какой-то момент времени ее значение совпадет со средней скоростью тела.

2) Как показал эксперимент, большинство студентов понимают, что если движущееся тело занимает одно и тоже положение в начальный и конечный моменты времени, то в момент t0 наибольшего удаления s′(t0) = 0. Если распространить это утверждение на более широкое множество, то мы можем сформулировать следующую гипотезу. Гипотеза 2 (Ролль). Если функция f(x) подобна закону движения тела на отрезке [a,b] и f(a) = f(b), то существует такое значение аргумента x0 , что f′(x0) = 0.

Нетрудно увидеть в этой гипотезе теорему Ролля. Нетрудно также заметить, что преподаватель может использовать дополнительное рассуждение для пояснения естественности рассматриваемой гипотезы. Действительно, допустим, что в момент наибольшего

удаления скорость тела больше нуля. Тогда тело, двигаясь по инерции, удалится от начала движения на расстояние, превосходящее расстояние максимального удаления. Очевидно, что последнее невозможно по чисто логическим соображениям. Аналогично отвергается случай отрицательной скорости в момент наибольшего удаления.

3) Выведем критерий постоянства функции из физических соображений. Тот факт, что тело покоится в течение некоторого промежутка времени, можно выразить в одной из двух равносильных форм. Во-первых, можно сказать, что координата тела является константой, а во-вторых, что скорость тела тождественно равна нулю:

s(t) ≡ const <=> Тело покоится <=> s'(0 = 0.

Удалив из рассуждения промежуточные звенья, мы получим, что для любого закона движения тела справедливо утверждение s(0 = const <=> s′(t = 0.

Если распространить полученную эквиваленцию на более широкий класс функций, а именно, на множество функций, подобных закону движения тела, то мы придем к следующей гипотезе.

Гипотеза 3 (Постоянство функции). Функция, подобная закону движения тела, постоянна тогда и только тогда, когда ее производная тождественно равна нулю: f(x) ≡ const <=> f′(x) ≡ 0.

4) Если скорость тела положительна, то это означает, что оно движется вперед без остановок, и следовательно, его координата возрастает. Другими словами, получаем, что для любого закона движения тела справедливо утверждение

s′(t) = v(t) > 0 => s(t) возрастает.

Если распространить полученную импликацию на более широкий класс функций, а именно, на множество функций, подобных закону движения тела, то мы придем к следующей гипотезе.

Гипотеза 4 (Достаточное условие монотонности). Если функция подобна закону движения тела и ее производная положительна, то функция возрастает: f′(x) > 0 => f(x) возрастает.

Подобные рассуждения можно было бы провести в отношении других теорем дифференциального исчисления. Многократные проверки показали, что студенты легко справляются с задачей распространения свойств движений на более широкий класс функций и самостоятельно получают в виде гипотез все основные теоремы дифференциального исчисления.

В заключение отметим, что возникновение математических утверждений в виде гипотез отнюдь не заменяет их строгого логического доказательства, даже если в процессе самостоятельного вывода этих утверждений студенты продемонстрировали способность к математическому творчеству. В то же время нельзя недооценивать этот творческий акт. Даже с утилитарной точки зрения он дает преподавателю большую свободу в отношении дальнейших математико-педагогических действий. Проверку гипотез можно сделать немедленной или отсроченной, выполнить эту проверку самому или отослать студентов к учебникам, заняться применением этих гипотез в физике или математике и проч. Выбор педагогом того или иного способа действий зависит от конкретной ситуации.

Список литературы

Колмогоров А.Н. Математика в ее историческом развитии. - М.: Наука, 1991. - 223 с. Нейман, Дж. фон. Математик // Природа. - 1983. - № 2. - С. 88-95. Фихтенгольц Г.М. Курс дифференциального и интегрального исчисления. Т. 1. - М.: Наука, 1966.-607 с.

Ястребов А.В. Использование интуиции студентов в преподавании дифференциального исчисления // Актуальные методические и психолого-педагогические проблемы обучения в высшей школе. Тезисы докладов II областной научно методической конференции. -Ярославль: Изд-во Ярославского гос. университета, 1990. - С. 35-36. Ястребов А.В. Моделирование научных исследований как средство оптимизации обучения студента педагогического вуза // Дисс.…. д-ра пед. наук. - Ярославль, 1997. - 386 с.

Для подготовки данной работы были использованы материалы с сайта http://www.yspu.yar.ru

Похожие работы на - Физика как источник теорем дифференциального исчисления

 

Не нашли материал для своей работы?
Поможем написать уникальную работу
Без плагиата!
Без нейросетей!