Проверка гипотезы о независимости двух случайных величин для любого типа шкал
Проверка гипотезы о независимости двух случайных
величин для любого типа шкал.
С.В. Усатиков, кандидат физ-мат наук, доцент; С.П.
Грушевский, кандидат физ-мат наук, доцент; М.М. Кириченко, кандидат
социологических наук
Во
многих практических задачах мы исследуем объекты, обладающие несколькими (двумя
или более) признаками, и хотим выяснить, насколько эти признаки связаны между
собой. Например, у каждого человека есть возраст и место рождения, уровень
образования и годовой доход, пол и социальная принадлежность и т.п. Вопрос
состоит в том, можно ли по степени выраженности одного признака судить о
степени выраженности другого, либо же знание об одном ничего не добавляет к
знанию о другом (т.е. эти признаки проявляются независимо друг от друга).
Ответы на такие вопросы могут иметь значительную практическую ценность.
Например, если мы установим, что признаки “профессия” и “политические
убеждения” независимы, то социологические опросы по предсказанию результатов
выборов можно проводить без учета профессии опрашиваемых.
Прежде
всего следует дать определение интуитивно понятной вероятностной независимости.
А именно, случайное событие А независимо от случайного события В, если
вероятность одновременного появления и события А, и события В в опыте равна
произведению вероятностей этих событий.
Иногда
признаки связаны жестко: если профессия - горняк или сталевар, то пол,
несомненно, мужской. Тем самым по некоторым значениям признака “профессия”
можно узнать значение признака “пол”. Другая крайность - отсутствие связи: если
глаза серые, то какая профессия? Исследователя в подобных задачах интересует,
насколько точно можно предсказать значение одного признака по значению другого.
Этой проблеме должна предшествовать более простая: надо сначало проверить
существует ли вообще какая-либо связь между этими признаками? Таким образом,
возникает и требует проверки следующая нулевая гипотеза: проявления одного
признака независимы от проявлений другого в опыте.
Отметим
еще одно важное обстоятельство. Ведь необходимо исследуемые признаки как-то
измерить, представить в виде делений какой-то шкалы, и очень часто это не
деления секундомера или линейки. Как измерить” профессию”, “политические
убеждения” или “степень доверия”? Если присвоить проявлениям признака
какие-либо числовые значения, очень часто эти числа нельзя даже упорядочить по
возрастанию.
Заметим
еще также, что к проверке независимых признаков очень часто можно свести задачу
однофакторного анализа об отсутствии эффекта обработки. Тогда одним признаком
становится отклик, а другим - способ обработки. Причем в отличие от
рассмотренного в предыдущем пункте критерия Вилкоксона, Манна и Уитни, способов
обработки может быть и два, и три, и больше трех.
Пусть
первый признак имеет шкалу х1,...,хк. Например, признак “лекарство” может быть
х1=“первое”, х2=“второе”, х3=“третье”. Второй признак имеет шкалу у1,...,уl.
Например, признак “результат” может быть у1=“благоприятный” или у2=“неблагоприятный”
Проведено
n экспериментов, в которых nij ряд деления шкал xi (1Ј iЈ k) и y1 (1Ј jЈ l)
появились вместе. Эти числа nij удобно записать в виде таблицы сопряженности
признаков размера k· l.
Например:
|
результат yi
|
первое= х1
|
второе=х2
|
третье= х3
|
всего
|
|
у1=благоприятный
|
29=n11
|
38=n21
|
53=n31
|
120=N1
|
1=n12
|
2=n22
|
7=n32
|
10=N2
|
|
всего
|
30=n1
|
40=n2
|
60=n3
|
130=n
|
Здесь
“лекарство” можно трактовать как способ обработки, а “результат” как отклик.
Отсутствие эффекта обработки означает, что все эти три лекарства действуют
одинаково и признаки независимы.
В
этом примере проведено n =130 экспериментов, в которых n11=29 раз первое
лекарство помогло,n12=1 раз от первого лекарства стало хуже и т.п.
Обозначим
ni (1Ј iЈ k) сумму чисел по столбцам таблицы, а Nj (1Ј jЈ l) сумму чисел по
строкам таблицы. В данном примере n1 =30 по первому столбцу, n2=40 по второму
столбцу, N1=120 по первой строке и т.п. Ясно, что ni/n есть оценка вероятности
появления деления xi шкалы, а Nj/n - вероятность для yj. В свою очередь nij/n
есть оценка вероятности одновременного появления делений xi и yj на шкалах
первого и второго признаков.
Требуется
проверить нулевую гипотезу о независимости признаков.
Прежде
всего назначим уровень значимости a - вероятность ошибочно отвергнуть правильную
нулевую гипотезу. Теперь будем искать то явление, чья вероятность при верной
нулевой гипотезе мала и равна a . Если в опыте это явление происходит, то мы
смело отвергаем нулевую гипотезу (с риском ошибки a ).
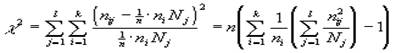
По
определению вероятностной независимости, в ячейках таблицы сопряженности
признаков должны стоять (при верной нулевой гипотезе) следующие числа Nij:
или
которые
мы называем ожидаемыми частотами. Если Nij и nij не совпадают, это еще ничего
не означает, т.к. такие отклонения могут быть вызваны случайностью. Числа nij
являются суммой большего числа случайных величин - отдельных испытаний, поэтому
по центральной предельной теореме они пожчиняются нормальному закону (рис.1).
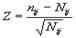
Можно доказать, что средняя m этого нормального закона равна ожидаемой частоте
Nij, а среднее отклонение: s =Ц Nij. Следовательно числа
подчиняются
Z- закону Гаусса, а число

Вспомнив
правило “трех s ” для c 2-закона, можно сказать, что при a =0,1 величина c 2Ј n
+
. Таким образом, при
уровне значимости 10% (т.е. с риском ошибиться в 1 случае из 10) гипотеза о
независимости признаков отвергается, если подсчитанное числоc 2> n +
. В противном случае
наблюдения не противоречат гипотезе о независимости.
Заметим,
что при других уровнях значимости a величину критического значения c 2
необходимо брать из таблиц распределения Пирсона в статистических справочниках
или учебниках.
Вернемся
к нашему примеру. Считаем по формуле c 2:
Число
степеней свободы n =(2-1)(3-1)=2, следовательно критическое значение c 2 равно
n +
=4. Поскольку
вычисленное c 2» 2,5 не превосходит критического 4, нулевая гипотеза о
независимости не может быть отвергнута, т.е. все три лекарства действуют
примерно одинаково.
Список литературы
Для
подготовки данной работы были использованы материалы с сайта http://mschool.kubsu.ru