Микроволновый фон космоса как суммарное излучение всех звезд

  • Вид работы:
    Реферат
  • Предмет:
    Математика
  • Язык:
    Русский
    ,
    Формат файла:
    MS Word
    98,74 kb
  • Опубликовано:
    2009-01-12
Вы можете узнать стоимость помощи в написании студенческой работы.
Помощь в написании работы, которую точно примут!

Микроволновый фон космоса как суммарное излучение всех звезд

Микроволновый фон космоса как суммарное излучение всех звезд

Николай Жук

г. Харьков, Украина

Показано, что микроволновое фоновое излучение космоса может быть суммарным излучением всех звёзд стационарной Вселенной при наличии пространственной диссипации энергии электромагнитных волн. Выведена формула температуры этого излучения, показан чернотельный характер его спектра и совместимость закона распространения электромагнитных волн с диаграммой Хаббла. Приведены количественные оценки суммарного излучения и показано их соответствие характеристикам реально наблюдаемого микроволнового фонового излучения.

Введение

Современные представления о Вселенной базируются на открытиях красного смещения в спектрах излучения галактик, пропорционального расстоянию до них (Э. Хаббл, 1929 г.), и микроволнового фонового излучения космоса с температурой 2,7 К (А. Пензиас и Р. Вильсон, 1965 г.).

Первое из них было истолковано на основе эффекта Доплера как взаимное удаление галактик друг от друга, т. е. расширение Вселенной, а второе — как остывший электромагнитный остаток (реликт) Большого Взрыва, который якобы произошёл 20 млрд. лет тому назад и привёл в движение все массы Вселенной. Однако последние исследования показывают, что указанные открытия ни порознь, ни в совокупности не являются достаточным основанием для такого заключения.

Так, в работах [1, 2] обоснована стационарная модель Вселенной, в рамках которой показано, что Вселенная не может быть консервативной системой, и что в ней должна существовать диссипация энергии при движении материальных тел и распространении полей за счёт глобального гравитационного взаимодействия со всеми массами Вселенной. По отношению к свету диссипация энергии должна проявляться в виде уменьшения частоты по закону

, (1)

где: — начальная и конечная частоты света; — пройденное светом расстояние; — радиус гравитационных взаимодействий, который, в свою очередь, определяется по формуле

(2)

и зависит от скорости света , гравитационной постоянной и средней плотности Вселенной .

Здесь не будет обсуждаться правильность или ошибочность вышеуказанного закона, а будет показано, что наличие такого закона не противоречит наблюдаемой картине мира и, в частности, существованию микроволнового фонового излучения космоса.

1. Температура суммарного излучения звёзд

Как известно, полный световой поток источника света — это поток света сквозь произвольную замкнутую поверхность, охватывающую источник света. При этом сила света точечного источника или средняя сферическая сила света равна

. (3)

Учитывая формулу (1), условимся называть светимостью источника света полный световой поток сквозь поверхность, охватывающую источник света на предельно малом расстоянии, которым можно пренебречь при проведении последующих рассуждений.

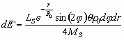
Поскольку указанному выше сдвигу подвергаются все частоты спектра излучения источника, то, очевидно, полный поток излучения любого космического источника на расстоянии от него будет равен

, (4)

а сила излучения будет определяться выражением

. (5)

При таком подходе освещённость некоторой единичной поверхности от такого источника будет составлять величину

, (6)

где — угол между направлением потока излучения и нормалью к поверхности.

Рис. 1. К определению освещённости от слоя звёзд

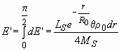
Теперь можно определить освещённость любой поверхности от всех звёзд Вселенной, находящихся с одной стороны от неё. Для начала выделим в бесконечном пространстве сферически-симметричный слой звёзд на расстоянии от поверхности в точке 0, как показано на рис. 1.

В указанном слое, в свою очередь, выделим кольцевой слой звёзд с угловой шириной , толщиной и раствором . Световой поток от этого кольцевого слоя звёзд на расстоянии будет определяться выражением

, (7)

где: теперь обозначает светимость средней звезды; — среднее количество звёзд в кольце, которое, в свою очередь, определяется по формуле

, (8)

где: — средняя масса звезды; — доля звёзд в средней плотности Вселенной .

Учитывая, что

, (9)

получаем

. (10)

Световой поток от всего слоя будет равен интегралу:

. (11)

Суммарный же световой поток от всех звёзд полусферы получится путём интегрирования (11) по расстоянию от нуля до бесконечности:

. (12)

Поскольку существует связь между интегральной излучательной способностью материального тела и его температурой в соответствии с формулой

, (13)

где — постоянная Стефана-Больцмана, то температура суммарного излучения всех звёзд Вселенной будет определяться выражением

. (14)

Известно, что масса средней звезды равна примерно 0,4 массы Солнца. Тогда, если в формулу (14) подставить значения этой массы кг и соответствующую ей светимость звезды Вт, , а также Вт.м-2.К-4 и значение кг/м3 (т. е. ), то для температура равновесного излучения всех звёзд будет равна К, что согласуется с реальными измерениями этой величины ( К).

2. Спектр суммарного излучения звёзд

Как известно, спектр наблюдаемого микроволнового фонового излучения соответствует спектру излучения абсолютно чёрного тела. Распределение же энергии в спектре излучения абсолютно чёрного тела в зависимости от частоты и температуры тела описывается формулой Планка

, (15)

где: — постоянная Планка; — постоянная Больцмана.

Существует несколько способов вывода формулы (15), но в настоящее время практически общепринят способ, в основе которого лежит распределение Гиббса. Согласно данному распределению, в состоянии теплового равновесия вероятность обнаружить любое состояние частиц макроскопического тела определяется только их полной энергией. Вероятность обнаружить состояние частиц с полной энергией из интервала () равна

. (16)

Если из (1) мы рассмотрим функцию

, (17)

то обнаружим полную аналогию исходных позиций при выводе формулы распределения энергии в спектре излучения абсолютно чёрного тела и формулы спектральной плотности суммарной энергии излучения всех тел Вселенной.

Поскольку каждая звезда имеет свой спектр электромагнитного излучения, подчиняющийся формуле (15), то для облегчения рассуждений можно усреднить (унифицировать) все звёзды. С другой стороны, чем дальше находится сферически-симметричный слой пространства Вселенной с вкрапленными в него звёздами, тем больше его спектр сдвинут в длинноволновую сторону в соответствии с законом (1). Поэтому конечный результат будет представлять собой интеграл

, (18)

где — функция, зависящая от массы и светимости средней звезды, а также от средней плотности Вселенной; — температура этой осреднённой звезды.

Для численного исследования поведения интеграла (18) удобнее воспользоваться системой координат, в которой все его постоянные параметры равны 1, т. е. представить интеграл в виде

. (19)

Рис. 2. Спектр суммарного излучения звёзд (в условных единицах)

Численные исследования показали, что распределение (19) носит характер спектральной плотности излучения абсолютно чёрного тела (рис. 2). Более того, оно точно (в пределах точности численного интегрирования) аппроксимируется функцией

, (20)

которая в соответствующей системе координат тождественна закону Планка (15).

Таким образом, приведенные рассуждения показали, что и с этой стороны закон распространения света (1) согласуется с реальными наблюдениями микроволнового фонового излучения космоса.

3. Теоретическая диаграмма Хаббла

Как известно, связь абсолютной звёздной величины с видимой звёздной величиной и расстоянием до галактики в парсеках выражается зависимостью

. (21)

В астрономии видимую звёздную величину небесного светила и освещённость единичной поверхности, перпендикулярной световому потоку, принято связывать зависимостью

, (22)

Поскольку освещенность (блеск) поверхности, перпендикулярной направлению на источник света, и светимость источника с учётом закона распространения света (1) связаны зависимостью

, (23)

а расстояние до галактики и красное смещение — функцией, которая вытекает из (1),

, (24)

то, подставив (24) в (23), а (23) — в (22), после преобразований находим

, (25)

где

(26)

является некоторой постоянной величиной, если рассматривать как математическое ожидание светимости объектов галактического масштаба. После подстановки примерного значения средней светимости галактических объектов Вт и м получаем .

С другой стороны, если же в (21) подставить закон Хаббла ( -скорость “разбегания” галактик)

(27)

и линейное приближение эффекта Доплера

, ( 28)

то получится взаимосвязь звёздной величины m с красным смещением z и постоянной Хаббла H

. (29)

Поскольку измерения производятся, как правило, для каких-то одинаковых объектов (определённых типов галактик, звёздных скоплений, ярчайших звёзд), то для каждого из них сумма также будет являться постоянной величиной. И действительно, результаты измерений красных смещений спектров излучения галактик в своей наиболее достоверной части дают следующую формулу

, (30)

где скорость света берётся в км/с.

После выведения из-под знака логарифма скорости света данное выражение принимает вид

. (31)

Таким образом, можно считать, что мы имеем теоретически выведенное выражение (25) и найденное из наблюдений его линейное приближение (31).

Действительно, разложение в ряды входящих в (25) компонентов и ограничение длины рядов только линейными членами, показывает, что (31) действительно является линейным приближением для (25).

Правые части обеих вышеуказанных зависимостей приведены к одинаковому виду, при котором каждая из них состоит из суммы функции от z и некоторой константы. Поэтому естественно считать, что данные константы равны друг другу, т. е. что A=21,68, как это следует из наблюдений.

Тогда с учётом нового закона распространения света и проведенных рассуждений зависимость “видимая звездная величина m — красное смещение z спектров излучения галактик” (диаграмма Хаббла) приобретает вид:

. (32)

Интересно проследить поведение зависимости (32) при различных значениях z. Так, в диапазоне наблюдаемых значений z данная зависимость практически линейна (рис. 3а), что полностью согласуется с результатами внегалактических наблюдений.

Для больших значений функция (32) носит явно нелинейный характер (рис. 3б). Нелинейности начинают проявляться при или . Поэтому естественно, что наиболее удалённые наблюдаемые объекты Вселенной должны перестать удовлетворять соотношению (30) и следующему из него выражению (31).

Следует также отметить, что в работe [3] приведены результаты исследований спектров излучения квазаров, в которых выявлено циклическое изменение спектральной плотности, пропорциональное аргументу ln(1+ z). Такое распределение коррелирует с распределением галактик, образующих во Вселенной однородные тонкостенные скопления в виде сот или пены.

С учётом формулы (24) циклическое изменение спектральной плотности излучения квазаров преобразуется в циклическую зависимость распределения квазаров по расстояниям, указывающую на однородность Вселенной не только в пространстве, но и во времени, т. е. на её стационарность за последние минимум 30 млрд. лет (столько времени до нас шли электромагнитные волны от самых далёких квазаров).

Рис. 3. Диаграмма Хаббла для различных диапазонов красных смещений

Заключение

Таким образом, на основании приведенного анализа видно, что микроволновое фоновое излучение космоса действительно не является убедительным доказательством существования Большого Взрыва Вселенной, так как оно может быть всего лишь равновесным излучением всех звёзд стационарной Вселенной при наличии диссипации энергии электромагнитных волн в соответствии с формулой (1). Окончательный же ответ о природе микроволнового фона космоса может быть получен только после постановке лабораторного эксперимента по проверке самой этой формулы. Схема такой установки автором уже предложена [1]. Остаётся найти партнёров и финансирование.

Список литературы

Жук Н. А. Космологические решения уравнений Эйнштейна. — Авторское свидетельство № 1718 с приоритетом от 28.01.99 (Украина).

Жук Н. А. Космология. — Харьков: ООО “Модель Вселенной”, 2000, 464 с.

Karlsson K. G. Possible discretization of quasar redshifts. // Astron. and Astrophys., 1971, v. 13, p. 333-335.

Для подготовки данной работы были использованы материалы с сайта http://www.sciteclibrary.ru

Похожие работы на - Микроволновый фон космоса как суммарное излучение всех звезд

 

Не нашли материал для своей работы?
Поможем написать уникальную работу
Без плагиата!
Без нейросетей!