Задание физического формата вселенной

  • Вид работы:
    Доклад
  • Предмет:
    Математика
  • Язык:
    Русский
    ,
    Формат файла:
    MS Word
    6,46 kb
  • Опубликовано:
    2009-01-12
Вы можете узнать стоимость помощи в написании студенческой работы.
Помощь в написании работы, которую точно примут!

Задание физического формата вселенной

Задание физического формата вселенной

Катющик Виктор Григорьевич

Существует два теоретических варианта задания механизма расстояния:

Расстояние как мера прямой (луча) состоящей из бесконечного количества точек.

Расстояние как мера прямой (луча) состоящей из бесконечного количества отрезков, каждый из которых состоит из бесконечного количества точек.

Объем вселенной может быть задан посредством одного из указанных механизмов расстояния.

Рассмотрим на примерах, какой из описанных механизмов наиболее подходит для задания объема заключающего вселенную.

Расстояние между двумя объектами как бы далеко друг от друга они не находились, может быть выражено посредством отрезка. Применительно к данному аспекту, посредством отрезка состоящего из бесконечного количества точек. Поскольку сами габариты материального пространства заключающего вселенную, значительно больше и не могут быть выражены посредством отрезка, логичен вывод, что:

Материальное пространство, заключающее вселенную, имеет габариты соответствующие заданным посредством прямой (луча) состоящей из бесконечного количества отрезков, каждый из которых состоит из бесконечного количества точек.

Материальный формат, заданный посредством прямой (луча) состоящей из бесконечного количества отрезков, каждый из которых состоит из бесконечного количества точек, допускает возможность работы и с явлением и с содержащим его объемом.

Использование для описания вселенной формата заданного посредством прямой (луча) состоящей из бесконечного количества точек, приводит к невозможности сопоставления стремящихся к бесконечности величин, в силу чего качественно уступает использованию формата заданного посредством прямой (луча) состоящей из бесконечного количества отрезков, каждый из которых состоит из бесконечного количества точек.

Для соизмерения материального формата и рассматриваемой области целесообразно ввести некую соотносящую величину – реальный отрезок.

Реальный отрезок – определяющая материальный формат, условно заданная величина, соответствующая выбранному применительно к рассматриваемой ситуации, значению длины отрезка составляющего прямую (луч).

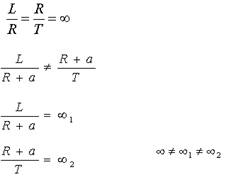
Для работы с пространством физический формат объема будет иметь вид , соответствующий следующему комплексу условий.

Где: L – луч,

R – реальный отрезок,

T- точечный отрезок,

a – частный отрезок.

Две частные физические ситуации, рассмотренные в разных форматах, могут быть переведены к одному физическому формату посредством соотнесения реальных отрезков.

Список литературы


Похожие работы на - Задание физического формата вселенной

 

Не нашли материал для своей работы?
Поможем написать уникальную работу
Без плагиата!
Без нейросетей!