Полуточка: модель скорости
Полуточка: модель скорости
Каратаев Евгений Анатольевич
Настоящая
статья строит модель скорости в рамках модели полуточки и приводит две простых
иллюстрации, демонстрирующие и иллюстрирующие модель скорости в общеизвестных
случаях поступательной и вращательной скорости. В статье приводится в основном
модель скорости, и разбор отдельных случаев скорости и её видов представляется
либо темой отдельной статьи, либо большой работы о кинематике, выраженной на языке
гиперкомплексных чисел.
Для
понимания предлагаемой модели скорости частично повторим основные положения
модели полуточки и модели миров.
Точка
пространства испытывает изменение при переходе от одной системы отсчёта к
другой:
|
|
(1)
|
Считается,
что точка
принадлежит
миру с временем
:
|
|
(2)
|
В
этой статье понятия системы координат и системы отсчёта полагаются
совпадающими. Полагается, что положение точки и её состояние измеряются в
некоторой идеальной системе, выбираемой наблюдателем по его усмотрению.
Состояния
точки в два различных момента времени могут быть определены относительно одной
и той же системы координат. Будем полагать, что из первого состояния во второе
можно попасть, совершив преобразование системы координат:
|
|
(3)
|
Здесь
величина
определяет преобразование, которое следует
совершить для такого перехода. При этом
есть разность времён этих двух
миров:
|
|
(4)
|
Также
будем полагать, что эти два состояния разделены друг от друга бесконечно малым
расстоянием во времени:
|
|
(5)
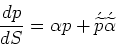
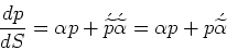
|
Под
скоростью будем понимать величину, определенную классическим способом: Если
величина
зависит
от величины
,
и с течением
величина
испытывает
изменение, то скоростью называется предел отношения приращений величин
и
:
|
|
(6)
|
Ещё
одно небольшое отступление нужно сделать для описания и выбора точной модели преобразования
Пуанкаре. Дело в том, что пока рассматриваются лишь пространственно-временные
преобразования, им в действительности удовлетворяет два различных
преобразования:
|
|
(7)
|
и
|
|
(8)
|
Здесь
в первом случае используется скалярно-векторное сопряжение, во втором -
скалярно-алгебраическое. Для того, чтобы выявить, в чем они различаются с точки
зрения группы Пуанкаре, распишем их операторное представление:
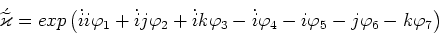
Видно,
что эти два оператора отличаются псевдоскалярной частью параметра. В силу того,
что её можно вынести из оператора преобразования, оба варианта могут быть
представлены как:
|
|
(12)
|
|
|
(13)
|
где
через
обозначен
оператор
с вынесенной псевдоскалярной составляющей из его параметров:
|
|
(14)
|
Таким
образом, предстоит сделать выбор между двумя вариантами преобразований: 1)
использовать скалярно-векторное сопряжение или 2) использовать
скалярно-алгебраическое сопряжение. Выберем вариант 1 с отбрасыванием
рассмотрения псевдоскалярной составляющей параметра преобразований в силу того,
что пока в наши цели не входит рассмотрение псевдоскалярных преобразований и в
силу того, что векторное сопряжение удобнее в силу его линейности.
А
именно:
|
|
(15)
|
|
|
(16)
|
Поэтому
мы можем выполнить дальнейший вывод более наглядно.
В
силу того, что величина
и её приращение являются скалярами, имеем:
|
|
(17)
|
И
в случае когда
мало, имеем:
|
|
(18)
|
|
|
(19)
|
Используя
это соотношение для преобразования полуточки, распишем выражение для
преобразования точки:
|
|
|
|
|
|
|
|
|
(20)
|
Оставив
члены первого порядка малости по
:
|
|
(21)
|
Используя
определение полуточки
получим:
|

|
Положив
точку функцией величины
и сравнив с разложением её в ряд Тейлора в окрестности
, получим:
|
|
(23)
|
Это
выражение и является определением скорости точки
, если она движется во времени
, испытывая в
каждый его момент преобразование Пуанкаре:
|
|
(24)
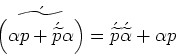
|
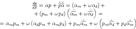
Выражение
(23) является скалярно-векторно сопряжённым самому себе:
|
|
(25)
|
То
есть абсолютное приращение точки
выполняется несмотря на произвольность
величины
так,
что точка
остается
сама себе скалярно-векторно сопряжённой.
Отметим
также, что в силу свойства точки
верно
равенство:
|
|
(26)
|
Далее...
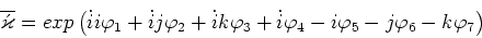
Придерживаясь
модели полной группы Пуанкере, мы должны считать величины
и
дуальными бикватернионами,
имеющими 16 компонент. В силу требования скалярно-векторной сопряжённости самой
себе точка часть компонентов имеет нулевыми.
Для
понимания дальнейшего вывода представим величины
и
в виде, явно содержащем
разделение на главную и дуальную части:
|
|
|
|
|
|
|
|
|
(27)
|
Здесь
индексом
обозначены
главные части, а индексом
- дуальные. Пользуясь введенным обозначением, распишем выражение
скорости:
|
|
|
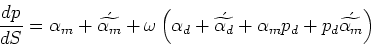
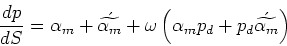
Сгруппировав
главные и дуальные части, получим:
|
|
(28)
|
Используя
это разложение в главных и дуальных частях и задавая различные частные случаи
величин
,
,
и
, оценим характер
вклада в скорость точки
отдельных величин
и
. А также найдём их
сопоставление отдельным общеизвестным скоростям.
Случай
1.
Зададим
точку
как дуальный
вектор с единичной главной частью:
|
|
(29)
|
а
величину
как
дуальный вектор с нулевой главной частью:
|
|
(30)
|
Тогда,
используя разложение (29), найдем скорость точки при таком преобразовании:
|
|
(31)
|
В
силу того, что выбрано условие
, имеем:
|
|
(32)
|
Таким
образом, в приведённых выше условиях величина
является
линейной скоростью приращения дуальной части
. В силу того, что в состав величины
входит
как полярная, так и дуальная части, то есть:
|
|
(33)
|
то
в силу свойств функций
и
,
определённых как
|
|
(34)
|
|
|
(35)
|
И
имеющих свойства сопрягаться:
|
|
(36)
|
|
|
(37)
|
Имеем
равенство для первого случая:
|
|
(38)
|
Или:
величина
является линейной скоростью изменения вектора
.
Случай
2. Выберем величины
и
такими, что выполняются следующие условия:
|
|
(39)
|
Используя
выражение (29) с этими условиями, получим:
|
|
(40)
|
В
силу выбора
и свойства (38) имеем:
|
|
(41)
|
И,
также в силу свойства (38), в выражении скорости остаются члены:
|
|
(42)
|
Переведя
величины
и
в векторную
запись и раскрыв произведение по правилу произведения кватернионов, получим:
|
|
(43)
Или:
величина является угловой скоростью вращения вектора .
Таким
образом, величины и имеют всем хорошо известные механические кинематические
интерпретации.
Целью
настоящей работы было дать модель скорости и её иллюстрация в частных случаях.
Поэтому полный разбор сочетаний и здесь не рассматривается и автор
полагает, что такое рассмотрение должно стать темой отдельной работы,
посвящённой именно этому вопросу.
К
будущим исследованиям могут быть отнесены: величины и , а также отдельное
исследование главной части точки . В данной работе рассматривалась
лишь её дуальная составляющая. Но общая модель преобразования Пуанкаре
потребовала объединения в одну величину дуальной и главной частей вектора , существенно
увеличив его размерность. Автор полагает, что будущие исследования покажут
оправданность такого объединения. Кроме того, остаётся совершенно
нерассмотренной возможность замены скалярно-векторного сопряжения на
скалярно-алгебраическое в преобразовании Пуанкаре и следствия такой замены.
Список литературы
Для
подготовки данной работы были использованы материалы с сайта http://karataev.nm.ru/
Похожие работы на - Полуточка: модель скорости
|