Железнодорожные системы

  • Вид работы:
    Дипломная (ВКР)
  • Предмет:
    Неопределено
  • Язык:
    Русский
    ,
    Формат файла:
    MS Word
    84,18 kb
  • Опубликовано:
    2001-11-15
Вы можете узнать стоимость помощи в написании студенческой работы.
Помощь в написании работы, которую точно примут!

Железнодорожные системы

Введение

 

Для организации движения поездов, маневровой работы и обеспечения безопасности движения поездов на железнодорожном транспорте применяется определенная система пе­редачи информации с использованием сигналов. В качестве основного сигнального уст­ройства используется светофор. Показания светофора являются приказом и подлежат беспрекословному исполнению работниками железнодорожного транспорта. Система видимых и звуковых сигналов устанавливается Инструкцией по сигнализации на железных дорогах Российской Федерации. Видимые сигналы выражаются цветом, режимом горения ламп, формой, положением и числом огней. Звуковые сигналы выражаются числом и сочетани­ем звуков различной продолжительности.

Основными из средств автоматики и телемеханики, обеспечивающих безопасность движения и высокую пропускную способность железнодорожных линий, являются автоблокировка и автоматическая локомотивная сигнализация. Внедрение автоблокировки в комплекс диспетчерской централизации на однопутных линиях повышает их пропускную способность примерно на 25-50%.

Среди многих сложных вопросов ускорения научно-технического прогресса на железнодорожном транспорте в послед­нее время особую остроту и актуальность приобрела задача качест­венного совершенствования систем интервального регулирования движения поездов на основе широкого внедрения последних дости­жений науки и техники, поскольку это непосредственно связано с обеспечением безопасности, бесперебойности и экономичности пе­ревозок.

Большое внимание, которое уделяется развитию систем интер­вального регулирования движения поездов не случайно. Происходя­щий в последние годы спад промышленного производства привел к снижению объемов грузовых и пассажирских перевозок и значитель­ному осложнению экономического положения железнодорожного транспорта. Ухудшение экономического и финансового состояния отрасли не позволяет в должной мере поддерживать материально-техническую базу железнодорожного транспорта, в частности, сис­тем интервального регулирования движения поездов. Увеличение парка аппаратуры с просроченными датами профилактического об­служивания, акты вандализма по отношению к аппаратуре, содер­жащей драгоценные металлы, дефицит комплектующих изделий и ремонтных материалов, неизбежно вызывает рост числа потенци­ально опасных для движения поездов ситуаций.

Статистические данные по отказам устройств железнодорож­ной автоматики по дорогам России за последние два года показали, что одна четверть от общего числа отказов приходится на рельсовые цепи, около. 18% - на релейную и бесконтактную аппаратуру; почти 15% - на релейные шкафы и светофоры; 10,7% - на кабельные линии связи; 8,9% - на элементы защиты и другие устройства. В этой связи, решение вопросов повышения качества функционирования систем автоблокировки, автоматической локомотивной сигнализации, электрической централизации и других, имеет первостепенное зна­чение.

Совершенствование систем интервального регулирования дви­жения поездов требует учета ряда особенностей и выполнения часто противоречивых требований:

ü   решающего влияния показателей безопасности движения по­ездов на концепцию построения систем интервального регулирова­ния;

ü   многообразия условий работы;

ü   жестких ограничений в материально-технических, а ряде случаев и трудовых ресурсах.

Все это делает задачу обеспечения бесперебойности доставки грузов и удовлетворения запросов пассажиров в перевозках при со­хранении высокого уровня безопасности движения поездов сложной научно-технической проблемой.

Учитывая важную роль, которую играют системы интервального регулирования в обеспечении безопасности и бесперебойности дви­жения, комплекс работ по ее развитию выделен в научно-техническую проблему "Единый ряд перспективных микроэлек­тронных систем и устройств для управления движением поездов", выполняемую под руководством заслуженного деятеля науки и тех­ники Российской Федерации, академика Академии Транспорта Рос­сии, д.т.н., проф. В. М. Лисенкова. Наиболее крупными разработками, имеющими большое научное и народно-хозяйственное значение, являются:

1).Автоматическая локомотивная сигнализация повышенной по­мехозащищенности значности (АЛС-ЕН);

2).Микроэлектронная система автоблокировки (АБ-Е1);

3).Микроэлектронная система автоматической локомотивной сигнализации и система автоматического управления тормозами (АЛСЕ-САУТ);

4).Микропроцессорная система числовой кодовой автоблокиров­ки (АБ-ЧКЕ);

5).Микропроцессорная система автоблокировки с децентрализо­ванным размещением аппаратуры и рельсовыми цепями без изоли­рующих стыков (АБ-Е2);

6).Микропроцессорная система контроля состояний перегона для участков с полуавтоматической блокировкой (МСКП).

В результате широкого внедрения перечисленных разработок бу­дет достигнуто повышение уровня безопасности движения поездов, рост резервов пропускной способности участков, экономия капи­тальных вложений при строительстве и эксплуатационных расходов на содержание технических средств, улучшение условий труда и по­вышение культуры обслуживания.

Глава I. Эксплуатационная часть

1.1. Характеристика участка.

В данном дипломном проекте станцию А и Б связывает однопутный перегон. В пределах данного перегона построена числовая кодовая автоблокировка (АБ – ЧКЕ) электрифицированная по системе постоянного тока, со светофорами. Перегон разделён на блок участки длинной до 2000 метров. На границах блок участков установлены изолирующие стыки. В данном курсовом проекте применена четырехзначная сигнализация.

Вся аппаратура находится в релейных шкафах на перегоне, в которую входят ППМ, и сигнальные реле (Ж, ЖЗ, З) непосредственно для включения ламп огней светофора. Вход ППМ соединяется с рельсовой линией через дроссель-трансформатор и устройство защиты и согласования УЗС.

В отличие от не микропроцессорной числовой кодовой автоблокировки в рельсовую цепь поступают не коды от трансмиттерного реле, а амплитудно-модулированный сигнал от ППМ предыдущего блок участка. Который в дальнейшем расшифровывается, и включаются соответствующие сигнальные реле (Ж, ЖЗ, З), в зависимости от поездной ситуации. Если следующий блок участок занят, то на светофоре загорается красный огонь, если свободен один блок участок, то на светофоре горит желтый, если два, то желтый с зелёным, три и более – зелёный.

1.2. Система регулирования движения поездов на перегоне.

Регулировка движения поездов будет осуществляться с помощью светофоров. На перегонах применяются линзовые светофоры — мачтовые. Светофоры устанавливаются с правой стороны по направлению движения, с соблюдением габарита приближения строений на расстоянии 3100 мм от оси пути. Для светофоров используют железобетонные или металли­ческие мачты.

1.3. Обоснование необходимости внедрения устройств автоблокировки.

Непрерывный рост грузооборота железных дорог и повышение, скоростей движения требуют все большего увеличения пропускной способности железнодорожных линий. В связи с этим особое значение приобретает комплексная автоматизация и механизация процессов и перевозок, применение новых устройств автоматики, телемеханики, и связи. На железнодорожном транспорте наиболее эффективным средством регулирования движения поездов на перегонах является комплекс устройств автоматики, состоящей из автоблокировки; автоматической локомотивной сигнализации и диспетчерского контроля движения поездов.

Автоблокировка служит мощным средством для увеличения пропускной способности железнодорожных линий и повышения безопасности движения поездов. При движении поездов с различными скоростями автоблокировка обеспечивает увеличение участковой скорости за счет сокращения потерь времени при обгоне поездов. Кроме того, автоблокировка повышает производительность труда эксплуатационных работников, сокращает эксплуатационные расходы и обеспечивает высокую безопасность движения поездов.

В СССР автоблокировку начали внедрять с 1930 г. Первые участки Москва-Мытищи и Покровско-Стрешнево-Волоколамск общей протяженностью 140 км были оборудованы импортной аппаратурой. С 1932 г. Строительство автоблокировки ведется только на отечественной аппаратуре.

Во второй половине 30-х годов по разработкам Всесоюзного научно-исследовательского института железнодорожного транспорта (ЦНИИ МПС) была создана отечественная система автоматической локомотивной сигнализации (АЛС). Впервые эта система была внедрена на участке Москва-Серпухов. Одновременно с внедрением велись работы и по повышению надежности элементов автоблокировки.

На участках с тепловозной тягой нашла применение автоблокировка с импульсными рельсовыми цепями, которые позволяют делать блок-участки длиной до 2600 м. и исключают опасные отказы при влияний блуждающих токов. Для электрифицированных участков были разработаны кодовые рельсовые цепи, на основе которых построена числовая кодовая автоблокировка. Эта система позволила обеспечить связь между светофорами по рельсовым цепям без применения линейных проводов, а также осуществить автоматическую сигнализацию совместно с автоблокировкой.

С введением электрической тяги переменного тока появилась необходимость в кодовых рельсовых цепях с частотой питания, отличной от частоты тягового тока, обеспечивающих надежную защиту от опасных и мешающих влияний гармоник тока 50 Гц. В связи с этим были разработаны и нашли применение рельсовые цепи переменного тока частотой 75 Гц. С применением рельсовых цепей 75 Гц была построена числовая кодовая автоблокировка на ряде участков сети железных дорог.

Однако с введением рельсовых, цепей 75 Гц возникли трудности в преобразовании частоты 50 Гц в 75 Гц, а также в резервировании питания сигнальных установок. Эти трудности были устранены с введением рельсовых цепей переменного тока частотой 25 Гц. Для получения такой частоты используются статические преобразователи частоты 50/25 Гц, которые применяются на каждой сигнальной установке и получают основное питание от высоковольтной линии автоблокировки, а резервное от контактной сети переменного тока промышленной частоты. В настоящее время при новом строительстве на линиях с электротягой переменного тока применяются только рельсовые цепи 25 Гц.

С 1957 г. на железных дорогах нашей страны началось развитие высокоскоростного движения. В настоящее время поэтапно произошло повышение скоростей пассажирских поездов до 120, 140 и 160 км/ч. В связи с этим выявились недостатки типовой автоблокировки числового кода, заключающиеся в малой значности сигнализации автоблокировки и АЛС, недостаточном быстродействии аппаратуры, недостаточной надежности устройств в связи с использованием контактных элементов.

Дальнейшее развитие устройств автоблокировки осуществляется в двух направлениях: путем совершенствования существующих систем и создания новой системы на основе частотного кода. Частотная кодовая автоблокировка позволит увеличить значность, повысить быстродействие аппаратуры, обеспечить высокую надежность устройств в связи с использованием бесконтактной аппаратуры, а также применить рельсовые цепи с электрическими стыками или неограниченные рельсовые цепи.

Глава II. Техническая часть

2.1. Обоснование проектируемой системы автоблокировки.

Ограниченные функциональные возможности, низкие помехозащищенность и надежность чис­ловой кодовой автоблокировки не в полной мере удовлетворяют требованиям, предъявляемым к современным устройствам интервального регулирования. Дальнейшее совершенствование си­стем автоблокировки связано с переводом технических средств на современную элементную базу. Одной из систем, выполненных на новой элементной базе, является микропроцессорная система числовой кодовой автоблокировки АБ-ЧКЕ. Система АБ-ЧКЕ функционально и элек­тромагнитно совместима с числовой кодовой автоблокировкой. В отличие от числовой авто­блокировки микропроцессорный дешифратор различает кодовые комбинации желтого и зеленого огней и имеет на выходе сигнальные реле Ж, ЖЗ и З, что позволяет использовать четырёхзначную сигнализацию без применения дополнительных устройств.

Также нельзя забывать про важнейшую функцию систем интервального регулирования дви­жения поездов, которой является контроль состояний рельсовых линий (КРЛ). Аппаратура систем КРЛ предназначена для фиксации занятого или свободного, исправного или неисправного состояний участка пути. Основными требованиями, предъявляемыми к системам КРЛ, явля­ются: высокая степень надежности и безопасности функционирова­ния, а также обеспечение устойчивой работы в условиях действия различного рода дестабилизирующих факторов (помех от тягового тока, флуктуаций параметров рельсовой линии, нестабильности ха­рактеристик источников питания и ряда других).

Особенностью работы аппаратуры систем КРЛ является то, что им приходится функционировать в условиях воздействия интенсив­ных помех, создаваемых токами тяговой сети. Развитие сети элек­трифицированных железных дорог, наряду с увеличением мощности электроподвижного состава (ЭПС) и тяговых подстанций , характе­ризуется непрерывным ростом уровней токов , протекающих по рельсам , и усилением мешающего влияния на телемеханические ка­налы связи систем интервального регулирования движения поездов. В настоящее время на участках переменного тока величина тягового тока достигает нескольких сотен ампер , а на линиях , электрифици­рованных по системе постоянного тока - десятков тысяч ампер. В ре­зультате , ЭДС помех , наведенная на входе приемных устройств , может подавлять полезный или вызывать ложное срабатывание. Ха­рактерной особенностью мешающих сигналов, создаваемых токами тяговой сети в каналах КРЛ, являются априорная неопределенность, и непрерывная изменяемость во времени статистических свойств. Усложнение условий работы систем КРЛ требует наиболее полного учета различий в структурах полезных сигналов и помех. Успешное решение задачи обнаружения в условиях априорной неопределенно­сти о статистических характеристиках сигналов контроля и мешаю­щих воздействий становится возможным благодаря использованию методов адаптивной обработки полезных сигналов. Автоматическое изменение порога принятия решения, либо коэффициента возврата приемника позволяет существенно повысить устойчивость функцио­нирования систем КРЛ.

В настоящее время протяженность участков с пониженным со­противлением балласта на сети железных дорог России превышает 40 тыс. км. При этом прослеживается устойчивая тенденция расши­рения этого полигона. По сетевым данным от 11 до 20% всех неис­правностей в работе систем автоблокировки происходит из-за пони­женного сопротивления изоляции рельсовых линий. На отдельных участках количество отказов по этой причине достигает 65-68%. Расходы, вызванные отказами и неустойчивой работой систем КРЛ в условиях пониженного сопротивления балласта, в 5-8 раз превыша­ет суммарные затраты от повреждений остальных устройств желез­нодорожной автоматики. Например, при средних размерах движения в 100 пар поездов и весе поезда 4 тыс. тонн экономический ущерб (в ценах конца 1991 года) достигает 200,0 тыс. руб. в год на 1 км пути.

Успешному решению проблемы повышения устойчивости работы систем КРЛ служит разработка принципиально новых методов обна­ружения сигналов контроля состояний рельсовых линий, основанных на фиксировании относительного изменения информационных параметров. Применение методов обнаружения разладки случайных процессов, в комплексе с адаптивной обработкой сигналов контроля, позволяют, проектировать рельсовые цепи, устойчиво функциони­рующие при колебаниях сопротивления изоляции от десятков Ом*км до сотых долей Ом*км.

В настоящее время свыше 22,0 тыс. км железных дорог России оборудовано различными системами релейной полуавтоматической блокировки. На этих участках отсутствует контроль состояния рель­совых линий перегонов , система АЛСН начинает сигнализировать о положении входного светофора только на подходе к станции , на расстоянии менее длины тормозного пути , что за последние годы явилось одной из причин повышения аварийности работы железно­дорожного транспорта. Для устранения этих недостатков в приказе Министра путей сообщения № 19 Ц от 22.12.92 предусмотрено при­оритетное выполнение научно-исследовательских и опытно-конструкторских работ, направленных на создание систем, обеспе­чивающих контроль состояний и кодирование участков приближения и перегонов. Применение новых принципов обработки контрольных сигналов, в частности, методов обнаружения разладки, алгоритма кумулятивных сумм существенно увеличивает длину рельсовой це­пи, что дает возможность контролировать состояние межстанцион­ных перегонов, а также обеспечить работу системы АЛС. Использование микропроцессорной элементной базы позволяет реализовать в реальном масштабе времени помехоустойчивые мето­ды обработки сигналов, любые сложные алгоритмы функционирова­ния систем интервального регулирования и одновременно расширить их функциональные возможности. Например, в системах автоблоки­ровки появляется возможность контролировать сопротивление изо­ляции, прогнозировать состояние изолирующих стыков, получать информацию о техническом состоянии аппаратных средств и этим содействовать снижению эксплуатационных расходов. Внедрение микропроцессорной элементной базы в технику систем автоблоки­ровки позволяет устранить такие недостатки релейной аппаратуры, как низкая надежность, высокая инерционность и стоимость, боль­шие энерго и материалоемкость.

Отличительными чертами приемни­ков сигналов КРЛ на базе микропроцессорной техники являются, высокий уровень унификации элементов, возможность перепрограм­мирования на реализацию тех или иных функций без изменения со­става технических средств, возможность комплексирования и рас­ширения функций добавлением новых алгоритмов и программ в сис­тему математического обеспечения, сокращение расходов и упроще­ние этапов разработки и проектирования, автоматизация процессов диагностики и настройки аппаратуры при производстве, возмож­ность реализации алгоритмов выявления отказов, снижающих уро­вень безопасности движения поездов.

2.2. Требования ПТЭ к автоблокировке.

Устройства автоматической блокировки не должны допускать открытия выходного или проходного светофора до освобождения подвижным составом ограждаемого ими блок-участка (межстанционного или межпостового перегона), а также самопроизвольного закрытия светофора в результате перехода с основного на резервное электроснабжение или наоборот.

На однопутных перегонах, оборудованных автоматической блокировкой, после открытия на станции выходного светофора должна быть исключена возможность открытия соседней станцией выходных и проходных светофоров для отправления поездов на этот же перегон в противоположном направлении.

При автоматической блокировке все светофоры должны автоматически принимать запрещающее показание при входе поезда на ограждаемые ими блок-участки, а также в случае нарушения целости рельсовых цепей этих участков.

На станциях, расположенных на участках, оборудованных путевой блокировкой, эти устройства должны иметь ключи-жезлы для хозяйственных поездов, а на станциях участков с полуавтоматической блокировкой, где применяется подталкивание поездов с возвращением подталкивающего локомотива, - ключи-жезлы и для них.

На однопутных линиях, оборудованных автоматической блокировкой, а также на двухпутных перегонах с двусторонней автоблокировкой по каждому пути, на станциях, где производится маневровая работа с выходом маневрирующего состава за границу станции, устройства автоматической блокировки при необходимости дополняются связанными с ними маневровыми светофорами.

На станциях, расположенных на линиях, оборудованных автоматической и полуавтоматической блокировкой, должны быть устройства:

· не допускающие открытия входного светофора при маршруте, установленном на занятый путь;

· обеспечивающие на аппарате управления контроль занятости путей и стрелок.

При полуавтоматической блокировке на станциях могут быть устройства, позволяющие:

· выключение контроля свободности стрелочных изолированных участков в маршруте отправления из-за их неисправности;

· повторное открытие закрывшегося выходного светофора, если поезд фактически его не проследовал.

Автоматическая блокировка должна дополняться автоматической локомотивной сигнализацией и устройствами диспетчерского контроля, а полуавтоматическая блокировка - автоматической локомотивной сигнализацией на определенных участках путей.

Устройства диспетчерского контроля за движением поездов на участках, оборудованных автоблокировкой, должны обеспечивать контроль установленного направления движения (на однопутных перегонах), занятости блок-участков, главных и приемоотправочных путей на промежуточных станциях, показаний входных и выходных светофоров.

2.3. Характеристика проектируемой системы.

Микропроцессорная система автоблокировки АБ-ЧКЕ предназначена для контроля целостности и свободности рельсового пути, передачи информации между сигнальными точками о состоянии рельсовых линий, управления огнями проходных светофоров по условиям безопасности движения, а также для передачи дежурному электромеханику или диспетчеру дистанции информации о техническом состоянии аппаратуры сигнальных точек.

Система АБ-ЧКЕ обеспечивает формирование и передачу на локомотив информации о показаниях проходных светофоров. Автоблокировка АБ-ЧКЕ функционально и электромагнитно совместима с эксплуатируемыми релейной системой числовой кодовой автоблокировки и АЛСН.

Аппаратура АБ-ЧКЕ размещается в релейных шкафах, либо на стативах станционных систем централизации.

Состав аппаратуры для одиночной сигнальной точки – микропроцессорный путевой приемник ППМ.

Аппаратура АБ-ЧКЕ размещается в релейных шкафах, либо на стативах станционных систем централизации.

Один ППМ заменяет следующую аппаратуру релейной системы: БК-ДА, БС-ДА, БИ-ДА, ИМВШ-110 (ИВГ), КПТШ-715 (КПТШ-515), ТШ-65В (БКТ).

Вход приемника включен в рельсовую цепь через дроссель-трансформатор ДТ-0,2 (ДТ1 -150) и устрой­ство согласования и защиты УЗС. В качестве УЗС используется защитный блок-фильтр ЗБФ-1 (ФП-25). Дня защиты МПП-ЧКЕ от грозовых перенапряжений на его входе включается элект­ронный блок защиты БЗЭ-1 (в схеме не показан).

2.4. Конструктивные требования к аппаратуре.

Аппаратура контроля состояния рельсовых линий, приема и передачи сигналов рельсовых цепей конструктивно выполняется в виде отдельного блока (МПП).

Аппаратура управления огнями светофора и контроля це­лостности нитей его ламп выполнена без применения электромагнитных реле.

Аппаратура сопряжения системы АБ-ЧКЕ с системой дис­танционного контроля, передачи информации на станции, ограничи­вающие перегон, конструктивно выполняется без применения электромагнитных реле.

Показатели назначения

Рельсовая цепь системы АБ-ЧКЕ должна функционировать без дополнительной регулировки при изменении сопротивления изо­ляции в пределах от 0,6 Ом-км до 30 Ом-км.

Номинальная мощность передатчика системы КРЛ не долж­на превышать 300 ВА.

Система должна обеспечивать контроль состояний рельсо­вой линии длиной 2600 м при сопротивлении изоляции 1,0 Ом-км; 2000 м при сопротивлении от 0,6 Ом-км до 30 Ом-км; 1000 м при 0,1 Ом-км.

Система должна быть электромагнитно совместима с при­меняемыми в настоящее время системами управления движения поез­дов к станциям и искусственным сооружениям.

В системе предусмотрена защита от взаимных влияний рельсовых цепей одного и того же пути или различных пу­тей.

Система АБ-ЧКЕ должна быть функционально и электро­магнитно совместима с системой автоблокировки ЧКАБ, выполнен­ной на базе электромагнитных реле.

Инерционность системы АБ-ЧКЕ при изменении сигналь­ных показаний не должна превышать 3 с.

Несущие частоты сигналов КРЛ должны быть 25 и 75 Гц на участках с электротягой переменного тока и 50 Гц - на участках по­стоянного тока, а на участках с автономной тягой - 25, 50 или 75 Гц.

Напряжение на выходах источника питания блока МПП "+5 В", "-ОП" при номинальном входном напряжении питания должны иметь следующие значения: (5,0±0,1)В; (-15,0+0,1) В. Амплитуда пульсации напряжения не должны превышать следующих значений: 150 мВ и 70 мВ.

Отклонения выходных напряжений источников питания от номинальных значений при изменениях температуры окружающей среды от -50 °С до +60 °С должно быть в пределах: для выхода "+5 В" - не более ±0,15 В, для выхода "ОП" - не более ±10 %.

Отклонения выходных напряжений источников питания от номинальных значений при колебаниях входного напряжения питаю­щей сети в пределах +5 % и -10 % должны быть в следующих преде­лах: для выхода "+ 5В" - не более 3 %, для выхода "ОП" - 10 %.

Для включения электромагнитных реле блок МПП аппара­туры АБ-ЧКЕ должен формировать сигнал постоянного тока напря­жением не менее 12 В на нагрузке 1230 Ом.

Суммарный ток, потребляемый микропроцессорным бло­ком АБ-ЧКЕ, при номинальном напряжении питания должен быть не более 2 А.

Степень защиты микропроцессорного блока от воздейст­вия твердых тел диаметром более 1 мм и брызг воды должны соответ­ствовать Ж 44 по ГОСТ 14255-80.

На участках железных дорог с односторонним движением интервальное регулирование при движении по неправильному пути системой АБ-ЧКЕ должно осуществляться по сигналам АЛС.

В системе АБ-ЧКЕ должна быть предусмотрена защита, исключающая появление разрешающего показания на путевом свето­форе при кратковременной потере поездного шунта.

Аппаратура одной сигнальной точки системы АБ-ЧКЕ должна размещаться в релейном шкафу типа ШРУ-М.

Система АБ-ЧКЕ должна обеспечивать передачу на локомотив четырех сигнальных показаний.

2.5. Требования к надёжности системы АБ - ЧКЕ.

1.   Система автоблокировки АБ-ЧКЕ должна быть ремонтируе­мой и эксплуатируемой до предельного состояния.

2.   Аппаратура системы по определенности назначения должна относиться к изделиям конкретного назначения.

3.   По числу возможных состояний аппаратура АБ-ЧКЕ должна относиться к изделиям вида II.

4.   По режимам применения аппаратура АБ-ЧКЕ должна отно­ситься к изделиям, насчитанным на непрерывное длительное приме­нение.

5.   По последствиям отказов или достижению предельного со­стояния при применении система должна относиться к изделиям, от­казы или переход в предельное состояние которых не приводит к по­следствиям катастрофического характера.

6.   Аппаратура системы должна быть восстанавливаемой.

7.   Аппаратура системы АБ-ЧКЕ должна быть обслуживаемой и контролируемой перед применением.

8.   Надежность аппаратуры АБ-ЧКЕ в условиях и режимах экс­плуатации, установленных в п.п. 3.1-3.7, должна характеризоваться следующими значениями показателей:

- средняя наработка на отказ (Т0) аппаратуры сигнальной точки должна быть не менее 50000 ч;

- коэффициент готовности аппаратуры должен быть не менее 0,9999;

- полный средний срок службы системы должен быть не менее 15 лет.

9. Количественные значения показателей надежности, а также средний срок службы между средними ремонтами будут рассчитаны на последующих этапах разработки и уточнены по результатам экс­плуатационных испытаний.

10. Отклонения выходных напряжений источника питания МПП от номинального значения при эпизодических провалах напря­жения питающей сети длительностью 60 мс до уровня 0,5 Uном не должны превышать следующих значений: для выхода "5 В" - 3 %; для выхода "ОП" - 10 %.

11. Отклонение выходных напряжений источников питания от номинальных значений при воздействии несимметричных импульс­ных помех со средней длительностью 0,4 мкс и экспоненциальном за­коне распределения амплитудных значений (параметр закона распре­деления = 0,25-10-6) для выхода "5 В" не должен превышать - 3 %; для выхода "ОП"-±10%.

12. Требования по безопасности технических средств системы должны определяться в соответствии с требованиями с ОСТ 32.18-92. Безопасность технических средств микропроцессорной сис­темы АБ-ЧКЕ в условиях и режимах эксплуатации, установленных в п.п. 1-11 настоящего ТЗ должна характеризоваться следующими качественными и количественными показателями:

- аппаратурным резервированием 2^2;

-жесткой синхронизацией резервированных вычислительных ка­налов;

- периодическим тестированием и сравнением работы вычисли­тельных каналов (период диагностирования tд<300 мс);

- несимметричными отказами внешнего интерфейса;

- интенсивностью опасных отказов < 10-12 1/ч.

13. Опасными отказами технических средств системы АБ-ЧКЕ являются отказы, приводимые к смене показаний напольных светофо­ров на более разрешающие (вместо красного желтый или зеленый, вместо желтого - зеленый и т.п.).

14. Соответствие системы АБ-ЧКЕ требованиям безопасности, установленным в пункте 3.12, на этапе проектирования оценивают расчетным методом на основании данных об интенсивности отказов комплектующих изделий, о достоверности используемых мер контро­ля; на этапе предварительных испытаний - методом имитационного моделирования; на этапе серийного производства - контрольными испытаниями на стендах, физическим моделированием отказов.

15. Аппаратура системы АБ-ЧКЕ должна работать без сбоев при одновременном воздействии дестабилизирующих факторов пере­численных в п.п. 2.2.11, 2.2.12 и 2.10, 2.11.

2.6. Структурная схема микропроцессорного приемопередатчика.

Структурная схема микропроцессорного приёмопередатчика при­ведена на рис. 1. В схеме приняты следующие условные обозначения: АЦП1,АЦП2-аналого-цифровые преобразователи; МЦП1-1, МЦШ-2, МЦП2-1, МЦП2-2 - микропроцессорные контролеры; СК1, СК2-схемы контроля первого и второго каналов; СД - схема диагностики; СКИ-схема коммутации интерфейса; Ивв, Ивыв - интерфейсы ввода и вывода; БКТ1, БКТ2 - бесконтактные коммутаторы тока; Ком. вх.- коммутатор входной цепи; МИП-модуль источника питания.

Из рельсовой цепи на вход ППМ подаётся амплитудно-манипулированный сигнал. Через коммутатор Ком.вх. входной сигнал поступает на микросхемы аналого-цифрового преобразования АЦП1 и АЦП2 первого и второго каналов. Цифровые значения входного сигнала подаются на микропроцессорные контролеры. В контроллерах выпол­няются процедуры приёма, обработки и формирования сигналов в соот­ветствии с технологическим алгоритмом функционирования. В резуль­тате дешифрирования кодовых комбинаций включаются сигнальные ре­ле Ж, ЖЗ или 3.

Соответствие между принимаемыми кодовыми комбинациями и числом возбужденных сигнальных реле приведено в табл. 1. Соответствие между принимаемой кодовой комбинацией и состоянием сигнальных реле.

Таблица 1.

Принимаемая кодовая комбинация

Состояние сигнальных реле

КЖ

Ж, ЖЗ, 3

Ж

Ж, ЖЗ, 3

3

Ж, ЖЗ, 3

Отсутствие кодовых сигналов

Ж, ЖЗ, 3

 

Примечание: Черта над символами, обозначающими реле, означа­ет его возбуждённое состояние, а черта снизу - обесточенное.

В кодере, в зависимости от принятой информации, происходит формирование кодовых комбинаций, передаваемых в смежную рельсо­вую линию. Кодовая последовательность через интерфейс выходных цепей управляет работой бесконтактного коммутатора БКТЦ при пра­вильном направлении движения) или БКТ2 (при неправильном направ­лении движения). Амплитудно-манипулированные сигналы подаются в рельсовую цепь.

Контроль синхронной и синфазной работы комплектов, входящих в каналы ППМ, осуществляется схемами контроля. Для этого в каждом комплекте имеются контрольные точки, с которых через схемы сжатия информационные сигналы КТ подаются на схемы контроля СК1 и СК2. Нарушение синхронности и синфазности контрольных сигналов в пер­вом канале фиксируется СК1, а во втором - СК2. При отказе одного из комплектов гаснет индикаторный светодиод "Диагн.1", либо "Диагн.2". Схема диагностики СД обнаруживает неисправный канал и через схему коммутации интерфейса СКИ подключает внешние цепи к входам и вы­ходам исправного канала. В зависимости от этого загорается светодиод ведущего канала "Ведущ.1", либо "Ведущ.2".

На входы каналов через интерфейс ввода Ивв подаются сигналы контроля передаваемого кода. При движении по правильному направле­нию - по шине "Контр.код", а при неправильном направлении - по шине "Контр.код.н/н". С помощью контактов огневых реле КО, ЖО, ЗО про­веряется целостность нитей накала ламп светофора. От контакта реле Н через интерфейс ввода Ивв в ППМ поступает информация о смене на­правления движения. С помощью настроечных перемычек выбирается значность сигнализации, устанавливается режим работы ППМ - как сиг­нальной точки (с.т.) автоблокировки, либо как транслятора (трансл.), а также производится настройка ППМ на прием сигналов от передатчика с КПТШ-515, либо с КПТШ-715.

Инициализация каналов ППМ и запуск схем контроля СК1 и СК2 при первом включении и после перерывов электроснабжения осуществ­ляется схемой запуска СЗ. Управляющие импульсы СЗ инициализируют микропроцессорные контроллеры МЦП.

Бесконтактный коммутатор тока БКТ2 обеспечивает кодирование рельсовой цепи при движении поездов в неправильном направлении.

В выходном интерфейсе ППМ предусмотрены шины для передачи диагностической информации о состоянии аппаратных средств автобло­кировки по каналу связи дистанционного контроля.

Индикаторный светодиод "Вход" сигнализирует о принимаемых кодовых посылках. Индикаторы "Контр. код" и "Контр. код н/н" работают в соответствии с сформированными кодовыми посылками при движении поездов в правильном и неправильном направлениях.

Электропитание узлов ППМ осуществляется от встроенного ис­точника питания МИП. Для контроля наличия рабочих напряжений на шинах питания установлены индикаторные светодиоды.

2.7.Схема контроля для микропроцессорного приемопередатчика.

Схема контроля СК контролирует синхронность и синфазность работы комплектов, входящих в канал. Принципиальная схема Схемы контроля и перечень элементов приведены в Приложении 1. Входными яв­ляются сигналы свертки КТ1 и КТ2, поступающие с МЦП1 и МЦП2.

С помощью инвертора DD1 формируется сигнал КТ2

На выводы 3 и 4 выпрямительного моста VD1 поступают КТ1 и КТ2. Если они синхронны и находятся в противофазе, то с вывода 2 моста VD1 на катод фотодиода в оптроне ED1.1 подается положитель­ный потенциал, а с вывода 1 на анод фотодиода в оптроне ED1.2 пода­ется нулевой потенциал.

После подачи положительного импульса "Запуск!" на конденсатор С12, отрицательный потенциал с его обкладки подается на эмиттеры транзисторов VT1 и VT2. Далее на эмиттеры VT1 и VT2 отрицательный потенциал поступает при подаче контрольной частоты на выпрямительные диоды VD6 и VD7.

На конденсаторы СЗ и С4 с выхода таймера в противофазе подает­ся контрольная частота 89 кГц. При поступлении положительного им­пульса на С4, на базе VT2 - нулевой потенциал, который выше потен­циала эмиттера, и VT2 открыт. При поступлении паузы на С4, потенци­ал на одной его обкладке падает с +5 В до 0 В, на второй обкладке — с 0 В до -5 В, и потенциал базы VT2 становится ниже потенциала эмиттера. VT2 закрывается. Транзистор VT1 работает аналогично.

С коллекторов транзисторов VI1 и VT2 на катоды светодиодов в оптронах ED1.1 и ED1.2 в противофазе подается контрольная частота, импульсы которой имеют отрицательную полярность. Когда открыт VT2, через фотодиод оптрона ED1.1 на конденсатор С6 поступает поло­жительный потенциал с вывода 2 моста VD1. VT1 и ED1.2 при этом за­крыты.

Когда открыт VT1, через фотодиод оптрона ED1.2 на конденсатор С6 поступает нулевой потенциал с вывода 1 моста VD1. При этом VT2 и ED1.1 закрыты.

Когда с ED1.1 на С6 поступает положительный импульс, VT4 от­крыт и потенциал его эмиттера равен потенциалу коллектора, т.е. нулю. На резисторе R8 при этом падает 4,3 В и на открытом р-n переходе база-эмиттер транзистора VT4 падает 0,7 В.

Когда с ED1.2 на С6 поступает пауза, потенциал на одной его об­кладке изменяется с +5 В до 0 В, на второй обкладке с 0 В до -5 В. VT4 при этом закрыт, т.к. потенциал его базы (-5В) оказывается ниже потенциала эмиттера. На R8 при этом падает 9,3 В.

Когда VT4 закрыт, на эмиттер транзистора VT5 поступает отрица­тельный потенциал, и VT5 открыт. Когда VT4 открыт, то потенциал ба­зы транзистора VT5 равен потенциалу его эмиттера и VT5 закрыт.

Когда VT5 открыт, на базу транзисторов VT7 и VT8 поступает от­рицательный потенциал. При этом VT8 закрыт, a VT7 - открыт. Положи­тельным потенциалом, поступающим с эмиттера VT7 заряжается кон­денсатор С11. Во время заряда конденсатора С11 диод VD6 закрыт, VD7 - открыт.

Когда VT5 закрыт, на базу транзисторов VT7 и VT8 поступает от­рицательный потенциал. При этом VT7 закрывается, VT8 - открывается. Когда открывается VT8, потенциал на одной обкладке конденсатора СП изменяется с +5 В до 0 В, на второй обкладке — с 0 В до -5 В. Отрицательный потенциал с СП через открытый диод VD6 поступает на эмит­теры транзисторов VT1, VT2, и заряжает конденсатор С12. Когда диод VD6 закроется, на эмиттеры транзисторов VT1 и VT2 отрицательный потенциал будет поступать с обкладки конденсатора С12.

Импульс запуска для второго каскада схемы контроля "Запуск2" подается на конденсатор С13, и отрицательный потенциал с обкладки С13 поступает на эмиттер транзистора VT3. Далее на эмиттер VT3 отрицательный потенциал поступает при подаче контрольной частоты на конденсатор С10 и диоды VD6 и VD7.

На второй каскад схемы контроля с коллекторов транзисторов VT7 и VT8 поступает контрольная частота. Когда на конденсатор С2 поступает положительный импульс, транзистор VT3 открыт и на выводе 8 оптоэлектронного ключа DD3 — отрицательный потенциал. При этом DD3 открыт, и на его выходе - ноль.

Когда на С2 поступает пауза, VT3 закрыт, и ключ DD3 закрывает­ся. При этом на его выходе - единичный потенциал. Таким образом на выходе DD3 образуется контрольная частота. Через инвертор DD4.1 частота поступает на входы элементов DD4.2-DD4.5. Транзистор VT6 и микросхема DD4 представляют собой двухтактный инвертор. С инвер­тора контрольная частота поступает на конденсатор С10. Во время пауз отрицательный потенциал с С10 через открытый диод VD4 поступает на эмиттер транзистора VT3, и заряжает конденсатор С13. Когда диод VD4 закроется, на эмиттер транзистора VT3 отрицательный потенциал будет поступать с обкладки конденсатора С13.

Во втором каскаде схемы контроля должно соблюдаться число ин­версий, при котором не будет отрицательной обратной связи между вы­ходом двухтактного инвертора и оптоэлектронным ключом DD3. Т.е. когда открывается ключ DD3, на эмиттер VT3 должен поступать отри­цательный потенциал. В противном случае во втором каскаде может возникнуть генерация. Для соблюдения требуемого числа инверсий ис­пользуется DD4.1.

Выходом схемы контроля является вывод 10 инвертора DD4, с ко­торого контрольная частота поступает на модули ППМ.

Если сигналы КТ1 и КТ2 расходятся, то между выводами 1 и 2 выпрямительного моста VD1 отсутствует разность потенциалов. В результате оптроны ED 1.1 и ED 1.2 закрываются. На выходах первого и второго каскадов схемы контроля пропадает контрольная частота.

Если пропадает сигнал КТ2, то на эмиттеры транзисторов VT4 и VT5 перестает поступать отрицательный потенциал и на выходе схемы контроля пропадает контрольная частота.

Схема контроля соответствует требованиям необратимости защит­ного состояния. После пропадания частоты на выходах первого и второ­го каскадов, на эмиттеры транзисторов VT1 и VT2 в первом каскаде и VT3 во втором каскаде перестает поступать отрицательный потенциал и даже если КТ1 и КТ2 вновь совпадут, оптрон ED1 и ключ DD3 не будут открываться. Работа схемы может восстановится только после поступ­ления импульсов перезапуска на конденсаторы С12 и С13.

Схема контроля соответствует требованиям безопасности. Отказ любого из ее элементов не приводит к появлению контрольной частоты на выходе схемы контроля при расхождении или пропадании сигналов КТ1иКТ2.

2.8.Алгоритм обнаружения контрольного сигнала в системе АБ-ЧКЕ.

В приёмопередатчике системы АБ-ЧКЕ процедуры контроля со­стояния рельсовой линии, демодуляции, декодирования и формирования сигналов выполнены на программном уровне. Обнаружение полезного сигнала осуществляется методом поиска разладки случайного процесса. В алгоритме обнаружения учтены статистические характеристики деста­билизирующих факторов, позволяющие компенсировать их мешающее воздействие на функционирование рельсовой цепи.

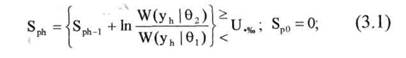
В ППМ использована простейшая процедура обнаружения разлад­ки - алгоритм кумулятивных сумм с отражающим экраном. Он пред­ставляет собой модифицированный последовательный анализ Вальда. Правило обнаружения разладки строится на сравнении на h-ом шаге ре­шающей статистики Sph с фиксированным порогом UПВ. Статистика Sph рассчитывается по формуле:

где W(yh2), W(yh1) - условные плотности распределения вероятно­стей наличия сигнала с параметрами Θ2 и Θ1 в выборке {yh}; Θ1 - ам­плитуда сигнала на входе приёмника в шунтовом, а Θ2 – в нормальном режимах; {ξ} = max{0, Sph}.

С целью повышения устойчивости работы автоблокировки, в усло­виях изменения в широких пределах сопротивления балласта, приёмник ППМ дополнен адаптивным алгоритмом обработки сигналов, обеспечи­вающим автоматическую регулировку порога обнаружения и коэффици­ента возврата.

Обнаружитель сигналов ППМ имеет следующие рабочие характери­стики. Вероятность обнаружения сигнала в шунтовом режиме при пороге обнаружения разладки - 20 и соотношении сигнал/помеха 3 не превышает 10-12. Вероятность правильного обнаружения в нормальном режиме не менее 0,99995.

Глава III. Технологическая часть.

3.1.Виды работ по техническому обслуживанию и ремонту.

Техническое обслуживание устройств автоблокиров­ки ведут работники дистанций сигнализации и связи. Все работы выполняют в соответствии с тре­бованиями Правил технической эксплуатации железных дорог Российской Федерации; Инструк­ции по сигнализации на железных дорогах Российской Федерации; Инструкции по обеспечению безопасности движения поездов при производстве работ по техническому обслуживанию и ремон­ту устройств СЦБ; Инструкции по техническому обслуживанию устройств сигнализации, центра­лизации и блокировки (СЦБ).

Для всех устройств СЦБ устанавливают постоянную периодичность технического обслуживания через точные ин­тервалы времени независимо от технического состояния устройств. Состав работы, перио­дичность выполнения и квалификация исполнителей определяются Инструкцией по тех­ническому обслуживанию устройств сигнализации, централизации и блокировки (СЦБ). Порядок выполнения работ определяется Инструкцией по обеспечению безопасности дви­жения поездов при производстве работ, техническому обслуживанию и ремонту устройств СЦБ. Время на выполнение отдельных работ по обслуживанию и ремонту устройств, ко­личество и квалификация исполнителей устанавливаются отраслевыми нормами времени на техническое обслуживание устройств сигнализации, централизации и блокировки.

Светофоры. По плану-графику проверяют обеспечение требуемой видимости огней светофо­ров. Дальность видимости должна быть такой, чтобы машинист после восприятия сигнала имел необходимое время для своевременного выполнения приказа, который ему передается сигна­лом. На прямых участках пути все огни проходных светофоров должны быть отчетливо разли­чимы из кабин управления днем и ночью не менее чем за 1000 м. На кривых участках пути види­мость сигналов должна быть обеспечена на расстоянии не менее 400 м. В сильнопересеченной местности (горы, глубокие выемки) допускается видимость на расстоянии менее 400 м, но не менее 200 м. Необходимая дальность видимости обеспечивается правильной наружной навод­кой светофоров, поддержанием заданного напряжения на лампах светофора, содержанием в чи­стоте оптической системы светофора и соблюдением порядка смены ламп.

Проверку видимости светофоров, как правило, совмещают со сменой светофорных ламп. Один раз в четыре недели видимость огней светофоров проверяет старший электромеханик визуально из кабины локомотива. Результат проверок оформляют актом (форма ШУ-60), который подписывают старший электромеханик и машинист локомотива. Смену светофор­ных ламп и измерение напряжения на лампах проводит электромеханик с электромонтером в сроки, указанные в технических указаниях по обслуживанию устройств сигнализации, цен­трализации и блокировки (СЦБ). О смене ламп и результатах измерения напряжений делают запись в карточке учета формы ШУ-61 с указанием номера и даты установки ламп.

Рельсовые цепи. При внешнем осмотре убеждаются в правильности установки, целостности и надежности крепления всех элементов рельсовой цепи. Порядок производства основных работ по обслуживанию рельсовых цепей регламентируется картами технических указаний. В соответствии с этими картами проверяют исправность стыковых соединителей, наличие зазора между подошвой рельса и балластом (не менее 30 мм), загрязненность рельсовых скреплений, состояние заземлений устройств СЦБ, присоединяемых к рельсам или среднему выводу дросселей-трансформаторов, а также перемычек от кабельных стоек и путевых дросселей-трансформаторов. У изолирующих сты­ков проверяют торцевой зазор в стыке, наличие торцевой прокладки, отсутствие наката в торце­вом зазоре, износ изолирующих прокладок. Торцевой зазор и толщина торцевой прокладки долж­на быть 5—10 мм. При неисправности изолирующих стыков их проверяют вольтметром с внутренним сопротивлением (39 +3,9) Ом.

При проверке рельсовой цепи на шунтовую чувствительность электромеханик по переносной радиосвязи или по другим видам связи связывается с дежурным по станции (ДСП) и просит разре­шения на выполнение работы. По разрешению ДСП электромеханик накладывает нормативный шунт 0,06 Ом на питающем и релейном концах рельсовой цепи у изолирующих стыков, а также на каждом ответвлении разветвленных рельсовых цепей и через каждые 100 м по всей длине однони-точной рельсовой цепи. Правильное выполнение шунтового эффекта электромеханик проверяет по отпусканию якоря путевого реле или совместно с ДСП — по индикации занятости путевых участков на табло. Если шунтовой эффект не выполняется, то электромеханик делает запись в Журнале осмотра. После того как ДСП распишется в Журнале осмотра, электромеханик присту­пает к выяснению причины отсутствия шунтового эффекта. Напряжение на путевом реле регули­руют изменением напряжения, подаваемого со вторичной обмотки путевого трансформатора. Со­противление ограничивающего резистора изменяют только до предельных значений, указанных в ормалях рельсовых цепей. При повышении напряжения на путевом реле выше нормального, рельсовые цепи регулируют незамедлительно и обязательно проверяют ток АЛС. Если напря­жение на путевом реле окажется ниже нормального, а на питающем трансформаторе соответ­ствует максимальному, то тщательно проверяют исправность рельсовых цепей для выяснения причины снижения напряжения на путевом реле и устранения этой причины. Надежная работа реле, трансформаторов, блоков и других приборов обеспечивается осмотрами, проводимыми не реже двух раз в год.

Аппаратура автоблокировки. Все реле закрытого типа и другая аппаратура подлежит перио­дической проверке электрических и механических характеристик, которую проводят работни­ки ремонтно-технических участков (РТУ) дистанции сигнализации и связи. Измеренные элект­рические и механические характеристики записывают в Журнал приемки аппаратуры. Все приборы СЦБ, имеющие приспособление для пломбирования, опломбировывают. Вскрытие приборов и опломбирование выполняют только работники РТУ или дорожной лаборатории службы сигнализации и связи. Приборы, не удовлетворяющие требованиям технических усло­вий, вскрывают и ремонтируют. Реле, трансмиттеры и другие приборы на перегоне заменяют в промежутке между поездами без прекращения действия автоблокировки. Реле смены направле­ния заменяют только с разрешения дежурного по станции. При замене приборов на перегоне требуется проверять работу сигнальной установки до прохода поезда.

Для повышения производительности труда, качества работ, надежности действия устройств авто­блокировки замену приборов, как правило, выполняет специализированная бригада. В распоряжении этой бригады имеются необходимые транспортные средства, оборудование для перевозки приборов.

3.2.Смена ламп светофоров на перегоне.

При производстве работ по смене ламп на светофоре необходимо соблюдать технику безопасности. Порядок выполнения организационных и технических мероприятий, обеспечивающих безопасность работ, а также меры безопасности при выполнении работ приведены в технологической карте 8,10 « По безопасному производству работ при техническом обслуживании и ремонте устройств СЦБ, автоматизированных и механизированных сортировочных горок и связи».

Электромеханик перед началом работ делает запись в «Журнале осмотра»- формы ДУ-46 о смене ламп на светофорах и о необходимости оповещения ДСП по переносной радио связи о передвижении подвижного состава в зоне производства работы.

Смену светофорных ламп электромеханик (электромонтер) выполняет после проследования поезда за светофор или же в свободное от движения поездов время по согласованию с поездным диспетчером или дежурным по близлежащей станции, на аппарате (пульте) управления которой по устройствам диспетчерского контроля осуществляется контроль сигнальных установок. По окончании смены ламп на светофоре электромеханик (электромонтер) извещает об этом по имеющимся в наличии средствам связи поездного диспетчера (дежурного по станции) и проверяет действие и видимость огней светофоров.

Периодичность смены ламп: смена однонитевых и двухнитевых ламп огней проходных светофоров путей, оборудованных автоблокировкой, без переключения на резервную нить производится один раз в квартал. Смена двухнитевых ламп с контролем переключения на резервную нить производится при перегорании основной нити.

Для проведения работ по смене ламп необходим комбинированный прибор Ц4380 или ампервольтметр ЭК-2346, или мультиметр Э7-63. Необходимы светофорные лампы в соответствии с технической документацией. Для подъема на мачту необходим монтерский предохранительный пояс. Кроме этого необходимы: перемычка из провода марки МГГ-50 с зажимами, кисть – флейц, отвертка 0,8х5,5х 200 мм, торцовые ключи с изолирующими рукоятками, технический лоскут, керосин, растворитель №646, ключи от релейного шкафа и светофорной головки, блокнот, карандаш.

Электромеханик, в случае необходимости по принципиальным схемам включения светофоров определяет типы применяемых светофорных ламп, их мощность, а также требуемое их количество с учетом некоторого запаса. Проверенные в ремонтно-технологическом участке (РТУ) дистанции сигнализации лампы по типу мощности готовят для замены заранее.

При подготовке к работе по смене ламп на светофорах каждую лампу визуально осматривают на отсутствие механических дефектов. При этом обращают внимание на то, чтобы нить лампы имела блестящую поверхность, а колба не имела потускнение и налёта белого цвета, проверяют также правильность распайки нитей лампы. Затем в блокнот переписывают номера ламп с указанием литерных знаков светофора, на котором она будет установлена. Каждая лампа, устанавливаемая на светофор, должна иметь отметку РТУ дистанции сигнализации о проверке. В РТУ светофорные лампы испытывают по специальной технологии. Установка на светофорах ламп, не проверенных в РТУ, не допускается. Для выполнения работ электромонтер готовит необходимый инструмент, измерительный прибор и материал. Электромеханик (электромонтер) проверяет состояние монтерского предохранительного пояса, обратив внимание на дату очередной проверки.

Однонитевые и двухнитевые лампы светофоров станций, однонитевые лампы проходных светофоров участков железных дорог, оборудованных устройствами автоблокировки для одностороннего движения поездов, двухнитевые лампы проходных светофоров участков железных дорог, оборудованных устройствами автоблокировки для двустороннего движения поездов, на светофорах линзового типа должны меняться в такой последовательности: лампа красного огня заменяется новой, снятая лампа красного огня устанавливается вместо лампы желтого огня, снятая лампа желтого огня вместо лампы зеленого огня.

Двухнитевые лампы проходных светофоров участков железных дорог, оборудованных устройствами автоблокировки для одностороннего движения поездов, однонитевые лампы проходных светофоров участков железных дорог, оборудованных устройствами автоблокировки для двустороннего движения поездов, на светофорах линзового типа должны меняться в такой последовательности: лампа красного огня заменяется новой, снятая лампа красного огня устанавливается вместо лампы желтого огня, лампа зеленого огня заменяется новой.

Для замены ранее установленной на светофоре двухнитевой лампы необходимо:

1. колпачок с контактными пружинами нажать до упора от себя, повернуть его против часовой стрелки, до совпадения рисок на колпачке и треугольной контактной колодке;

2. снять колпачок и изъять лампу, а затем установить другую (снятую) так, чтобы направляющий выступ втулки ламподержателя входил в вырез фланца; проверить отсутствие прокручивания лампы во втулке, надеть колпачок, для чего совместить риски колпачка и контактной колодки, нажать колпачок до упора от себя, повернуть по часовой стрелке и вытянуть его до упора на себя.

Для линзовых светофоров применяют лампы с одной нитью накаливания ЖС12-15 и ЖС12-25 напряжением 12 В, мощностью 15 и 25 Вт и двухнитевые лампы ЖС12 - 15+15 и ЖС12 - 25+25 напряжением 12 В, мощностью 15 и

25 Вт. Резервная нить накала двухнитевых ламп имеет минимальную продолжительность горения 300 часов.

Лампы мощностью 25 Вт для линзовых светофоров должны устанавливаются на проходных светофорах, расположенных на кривых участках железнодорожного пути.

О смене ламп на светофоре делается запись в карточке учета формы

ШУ–61 с указанием номера и даты установки лампы. Учетные карточки для станционных светофоров хранятся у электромеханика на станции, а для перегонных светофоров, включая входные - в релейном шкафу.

Одновременно со сменой светофорных ламп производится измерение напряжения на лампах светофора, проверка и чистка внутренней части светофорной головки, проверка состояния светофорной головки снаружи, проверка с пути видимости сигнальных огней светофоров.

3.2.Измерение напряжения на лампах светофоров.

Напряжение на лампах светофора необходимо измерять при отсутствии поезда перед светофором. Нахождение светофорной головки в открытом состоянии при приближении поезда к светофору не допускается.

Работы по техническому обслуживанию светофоров, расположенных в опасной зоне (менее 2м. от контактной сети, под напряжением) должны выполняться не менее чем двумя работниками. Запрещается выполнять работы на светофорах расположенных на расстоянии менее 2м от частей контактной сети, а также во время грозы, дождя и плохой видимости (туман, снегопад). При работе на светофорной мачте необходимо применять монтерский предохранительный пояс. Запрещается работать на одной светофорной мачте двум работникам, находящимся на разных уровнях. Все работы на светофорных мачтах во время движения поездов по соседним путям следует прекратить, находиться при этом на светофорной мачте запрещается. Электромеханик (ШН) и электромонтер (ШЦМ) перед началом работ на мачте светофора должны проверить исправность заземления, а при наличии искрового промежутка временно замкнуть его съемной медной перемычкой сечением не менее 50мм. По окончании работ перемычку надо снять. Подниматься на опоры и специальные конструкции контактной сети, не несущие устройства сигнализации и связи, запрещается.

Для измерения напряжения на лампах светофора можно использовать комбинированный прибор Ц4380, ампервольтомметр ЭК-2346 или мультиметр В7-63. Напряжение на лампах светофоров измеряют вольтметром с соответствующей шкалой. Напряжение измеряют на зажимах ламподержателя горящей лампы. На установленном светофоре и после перемонтажа в существующих цепях сигнальных огней, а также смены сигнальных трансформаторов напряжение следует измерять на всех лампах. При применение двухнитевых ламп напряжение следует измерять на основной и резервной нитях. Переключение схемы светофора с основной нити лампы на резервную осуществляют в светофорной головке с применением изоляционной пластинки, проложив ее между контактной пружиной и выводом лампы. Результаты измерения сравнивают с нормативными, учитывая при этом напряжение сети. При центральном питании устройств СЦБ напряжение сети измеряют в релейном помещении поста.

При дневном режиме питания напряжение на зажимах ламподержателя линзовых светофоров должно быть 11,5В (+0,5 -1,0.)В. Напряжение 11,5В для ламп линзовых светофоров должно быть при номинальном напряжении сети питания 115, 230 или 380 В. Изменение напряжения светофоров на +0,5 или -1,0В допускается при колебаниях напряжения сети питания соответственно на +0,5%, -1,0%. О результатах измерений напряжения делают запись в карточке учета формы ШУ-61. Учетные карточки для станционных светофоров хранятся у электромеханика на станции, а для перегонных светофоров, включая входные,- в релейном шкафу.

Похожие работы на - Железнодорожные системы

 

Не нашли материал для своей работы?
Поможем написать уникальную работу
Без плагиата!
Без нейросетей!